Preparation of Attapulgite/CoFe2O4 Magnetic Composites for Efficient Adsorption of Tannic Acid from Aqueous Solution
Abstract
1. Introduction
2. Materials and Methods
2.1. Materials
2.2. Synthesis of ATP/CoFe2O4 Magnetic Composites
2.3. Characterization of the Magnetic Sorbent
2.4. Batch Adsorption Experiments
2.5. Analysis
3. Results and Discussion
3.1. Characterization
3.1.1. SEM and EDX
3.1.2. FTIR
3.1.3. XRD
3.1.4. VSM
3.2. TA Adsorption by ATP/CoFe2O4 Magnetic Composites
3.2.1. Adsorption Kinetics
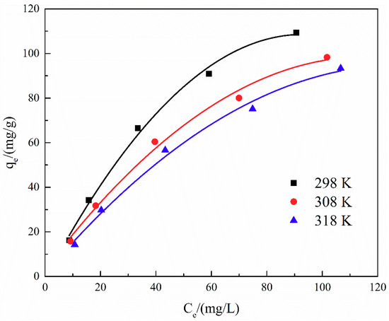
3.2.2. Adsorption Isotherms
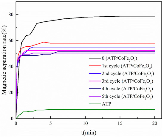
3.3. Recyclability and Magnetic Performance of ATP/CoFe2O4 Magnetic Composites
3.4. Removal Mechanisms of TA by ATP/CoFe2O4 Magnetic Composites
4. Conclusions
Author Contributions
Funding
Conflicts of Interest
References
- Sun, C.; Xiong, B.; Pan, Y.; Cui, H. Adsorption removal of tannic acid from aqueous solution by polyaniline: Analysis of operating parameters and mechanism. J. Colloid Interface Sci. 2017, 487, 175–181. [Google Scholar] [CrossRef] [PubMed]
- Jung, C.; Phal, N.; Oh, J.; Chu, K.H.; Jang, M.; Yoon, Y. Removal of humic and tannic acids by adsorption-coagulation combined systems with activated biochar. J. Hazard. Mater. 2015, 300, 808–814. [Google Scholar] [CrossRef] [PubMed]
- Fu, L.; Liu, F.; Ma, Y.; Tao, X.; Ling, C.; Li, A.; Shuang, C.; Li, Y. High-efficient technique to simultaneous removal of Cu(II), Ni(II) and tannic acid with magnetic resins: Complex mechanism behind integrative application. Chem. Eng. J. 2015, 263, 83–91. [Google Scholar] [CrossRef]
- Adeleye, A.S.; Conway, J.R.; Garner, K.; Huang, Y.; Su, Y.; Keller, A.A. Engineered nanomaterials for water treatment and remediation: Costs, benefits, and applicability. Chem. Eng. J. 2016, 286, 640–662. [Google Scholar] [CrossRef]
- Liu, L.; Tan, S.J.; Horikawa, T.; Do, D.D.; Nicholson, D.; Liu, J. Water adsorption on carbon—A review. Adv. Colloid Interface Sci. 2017, 250, 64–78. [Google Scholar] [CrossRef]
- Chong, Y.; Liu, K.; Liu, Y.; Wang, J.; Qiao, W.; Ling, L.; Long, D.; Bai, Z. Highly efficient removal of bulky tannic acid by millimeter-sized nitrogen-doped mesoporous carbon beads. AIChE J. 2017, 63, 3016–3025. [Google Scholar] [CrossRef]
- Hai, N.T.; You, S.; Hosseini-Bandegharaei, A.; Chao, H. Mistakes and inconsistencies regarding adsorption of contaminants from aqueous solutions: A critical review. Water Res. 2017, 120, 88–116. [Google Scholar]
- Xu, J.; Cao, Z.; Zhang, Y.; Yuan, Z.; Lou, Z.; Xu, X.; Wang, X. A review of functionalized carbon nanotubes and graphene for heavy metal adsorption from water: Preparation, application, and mechanism. Chemosphere 2018, 195, 351–364. [Google Scholar] [CrossRef]
- Asfaram, A.; Ghaedi, M.; Agarwal, S.; Tyagi, I.; Gupta, V.K. Removal of basic dye Auramine-O by ZnS:Cu nanoparticles loaded on activated carbon: Optimization of parameters using response surface methodology with central composite design. RSC Adv. 2015, 5, 18438–18450. [Google Scholar] [CrossRef]
- Bedin, K.C.; Martins, A.C.; Cazetta, A.L.; Pezoti, O.; Almeida, V.C. KOH-activated carbon prepared from sucrose spherical carbon: Adsorption equilibrium, kinetic and thermodynamic studies for Methylene Blue removal. Chem. Eng. J. 2016, 286, 476–484. [Google Scholar] [CrossRef]
- Wang, Y.; Feng, Y.; Jiang, J.; Yao, J. Designing of Recyclable Attapulgite for wastewater treatments: A review. ACS Sustainable Chem. Eng. 2019, 7, 1855–1869. [Google Scholar] [CrossRef]
- Wang, Y.; Feng, Y.; Zhang, X.; Zhang, X.; Jiang, J.; Yao, J. Alginate-based attapulgite foams as efficient and recyclable adsorbents for the removal of heavy metals. J. Colloid Interface Sci. 2018, 514, 190–198. [Google Scholar] [CrossRef] [PubMed]
- Li, W.; Mu, B.; Yang, Y. Feasibility of industrial-scale treatment of dye wastewater via bio-adsorption technology. Bioresour. Technol. 2019, 277, 157–170. [Google Scholar] [CrossRef] [PubMed]
- Wu, B.; Fang, L.; Fortner, J.D.; Guan, X.; Lo, I.M.C. Highly efficient and selective phosphate removal from wastewater by magnetically recoverable La(OH)3/Fe3O4 nanocomposites. Water Res. 2017, 126, 179–188. [Google Scholar] [CrossRef] [PubMed]
- Kausar, A.; Iqbal, M.; Javed, A.; Aftab, K.; Nazli, Z.; Bhatti, H.N.; Nouren, S. Dyes adsorption using clay and modified clay: A review. J. Mol. Liq. 2018, 256, 395–407. [Google Scholar] [CrossRef]
- Huang, Y.; Keller, A.A. EDTA functionalized magnetic nanoparticle sorbents for cadmium and lead contaminated water treatment. Water Res. 2015, 80, 159–168. [Google Scholar] [CrossRef] [PubMed]
- Xie, Y.; Shao, D.; Lu, X.; Hayat, T.; Alharbi, N.S.; Chen, C.; Song, G.; Chen, D.; Sun, Y. Spectroscopic investigation of enhanced adsorption of U (VI) and Eu (III) on magnetic attapulgite in binary system. Ind. Eng. Chem. Res. 2018, 57, 7533–7543. [Google Scholar] [CrossRef]
- Tang, J.; Mu, B.; Zong, L.; Zheng, M.; Wang, A. Facile and green fabrication of magnetically recyclable carboxyl-functionalized attapulgite/carbon nanocomposites derived from spent bleaching earth for wastewater treatment. Chem. Eng. J. 2017, 322, 102–114. [Google Scholar] [CrossRef]
- Tang, J.; Mu, B.; Zong, L.; Wang, A. One-step synthesis of magnetic attapulgite/carbon supported NiFe-LDHs by hydrothermal process of spent bleaching earth for pollutants removal. J. Cleaner Prod. 2018, 172, 673–685. [Google Scholar] [CrossRef]
- Dong, S.; Wang, Y.; Zhao, Y.; Zhou, X.; Zheng, H. La3+/La(OH)(3) loaded magnetic cationic hydrogel composites for phosphate removal: Effect of lanthanum species and mechanistic study. WaterRes 2017, 126, 433–441. [Google Scholar] [CrossRef]
- Li, X.; Lu, H.; Zhang, Y.; He, F.; Jing, L.; He, X. Fabrication of magnetic alginate beads with uniform dispersion of CoFe2O4 by the polydopamine surface functionalization for organic pollutants removal. Appl. Surf. Sci. 2016, 389, 567–577. [Google Scholar] [CrossRef]
- Rashid, M.; Price, N.T.; Gracia Pinilla, M.A.; O’Shea, K.E. Effective removal of phosphate from aqueous solution using humic acid coated magnetite nanoparticles. Water Res. 2017, 123, 353–360. [Google Scholar] [CrossRef] [PubMed]
- Du, Z.; Deng, S.; Zhang, S.; Wang, W.; Wang, B.; Huang, J.; Wang, Y.; Yu, G.; Xing, B. Selective and fast adsorption of perfluorooctane sulfonate from wastewater by magnetic fluorinated vermiculite. Environ. Sci. Technol. 2017, 51, 8027–8035. [Google Scholar] [CrossRef] [PubMed]
- Xu, J.; Hong, B.; Jin, H.; Jin, D.; Peng, X.; Wang, X. Magnetically separable CoFe2O4/CoxFey/activated carbon composites for Cd (II) removal from wastewater. Appl. Organomet. Chem. 2017, 31, e36628. [Google Scholar] [CrossRef]
- Ahmad, F.; Zhou, Y. Pitfalls and Challenges in Nanotoxicology: A case of cobalt ferrite (CoFe2O4) nanocomposites. Chem. Res. Toxicol. 2017, 30, 492–507. [Google Scholar] [CrossRef] [PubMed]
- Lin, Y.; Fang, G.; Deng, Y.; Shen, K.; Wu, T.; Li, M. Highly effective removal of methylene blue using a chemi-mechanical pretreated cellulose-based superabsorbent hydrogel. Bioresources 2018, 13, 8709–8722. [Google Scholar] [CrossRef]
- Naseri, M.G.; Halimah, M.K.; Dehzangi, A.; Kamalianfar, A.; Saion, E.B.; Mains, B.Y. A comprehensive overview on the structure and comparison of magnetic properties of nanocrystalline synthesized by a thermal treatment method. J. Phys. Chem. Solids 2014, 75, 315–327. [Google Scholar] [CrossRef]
- Reddy, D.H.K.; Lee, S. Magnetic biochar composite: Facile synthesis, characterization, and application for heavy metal removal. Colloids Surf., A 2014, 454, 96–103. [Google Scholar] [CrossRef]
- Chandraiah, M.R. Facile synthesis of zero valent iron magnetic biochar composites for Pb (II) removal from the aqueous medium. Alexandria Eng. J. 2016, 55, 619–625. [Google Scholar] [CrossRef]
- Wang, T.; Zhang, L.; Li, C.; Yang, W.; Song, T.; Tang, C.; Meng, Y.; Dai, S.; Wang, H.; Chai, L.; et al. Synthesis of Core-Shell Magnetic Fe3O4@poly (m-Phenylenediamine) Particles for Chromium Reduction and Adsorption. Environ. Sci. Technol. 2015, 49, 5654–5662. [Google Scholar] [CrossRef]
- Mitrogiannis, D.; Psychoyou, M.; Baziotis, I.; Inglezakis, V.J.; Koukouzas, N.; Tsoukalas, N.; Palles, D.; Kamitsos, E.; Oikonomou, G.; Markou, G. Removal of phosphate from aqueous solutions by adsorption onto Ca(OH)2 treated natural clinoptilolite. Chem. Eng. J. 2017, 320, 510–522. [Google Scholar] [CrossRef]
- Wang, F.; Sun, W.; Pan, W.; Xu, N. Adsorption of sulfamethoxazole and 17 beta-estradiol by carbon nanotubes/CoFe2O4 composites. Chem. Eng. J. 2015, 274, 17–29. [Google Scholar] [CrossRef]
- Sun, N.; Zhang, Y.; Ma, L.; Yu, S.; Li, J. Preparation and characterization of chitosanipurified attapulgite composite for sharp adsorption of humic acid from aqueous solution at low temperature. J. Taiwan Inst. Chem. Eng. 2017, 78, 96–103. [Google Scholar] [CrossRef]
- Zhang, Y.; Pan, B.; Shan, C.; Gao, X. Enhanced Phosphate Removal by Nanosized Hydrated La (III) Oxide Confined in Cross-linked Polystyrene Networks. Environ. Sci. Technol. 2016, 50, 1447–1454. [Google Scholar] [CrossRef] [PubMed]
- Guo, X.; He, C.; Sun, X.; Liang, X.; Chen, X.; Liu, X.Y. Adsorption of phenol from aqueous solution by four types of modified attapulgites. Int. J. Environ. Sci. Technol. 2019, 16, 793–800. [Google Scholar] [CrossRef]
- Yin, Z.; Liu, Y.; Tan, X.; Jiang, L.; Zeng, G.; Liu, S.; Tian, S.; Liu, S.; Liu, N.; Li, M. Adsorption of 17 beta-estradiol by a novel attapulgite/biochar nanocomposite: Characteristics and influencing factors. Process Saf. Environ. Prot. 2019, 121, 155–164. [Google Scholar] [CrossRef]
- Zhou, S.; Xue, A.; Zhang, Y.; Li, M.; Li, K.; Zhao, Y.; Xing, W. Novel polyamidoamine dendrimer-functionalized palygorskite adsorbents with high adsorption capacity for Pb2+ and reactive dyes. Appl. Clay Sci. 2015, 107, 220–229. [Google Scholar] [CrossRef]
- Pan, D.; Fan, Q.; Fan, F.; Tang, Y.; Zhang, Y.; Wu, W. Removal of uranium contaminant from aqueous solution by chitosan@attapulgite composite. Sep. Purif. Technol. 2017, 177, 86–93. [Google Scholar] [CrossRef]
- Tan, C.; Gao, N.; Fu, D.; Deng, J.; Deng, L. Efficient degradation of paracetamol with nanoscaled magnetic CoFe2O4 and MnFe2O4 as a heterogeneous catalyst of peroxymonosulfate. Sep. Purif. Technol. 2017, 175, 47–57. [Google Scholar] [CrossRef]
- Dehghani, F.; Hashemian, S.; Shibani, A. Effect of calcination temperature for capability of MFe2O4 (M = Co, Ni and Zn) ferrite spinel for adsorption of bromophenol red. J. Ind. Eng. Chem. 2017, 48, 36–42. [Google Scholar] [CrossRef]











| Element | Weight Percentage | Atomic Percentage | ||
|---|---|---|---|---|
| CoFe2O4 | ATP/CoFe2O4 | CoFe2O4 | ATP/CoFe2O4 | |
| C | 15.99 | 24.25 | 24.64 | 36.81 |
| N | 11.26 | / | 14.88 | / |
| O | 38.66 | 41.61 | 44.71 | 47.42 |
| Na | 9.77 | 2.67 | 7.86 | 2.11 |
| Mg | / | 1.71 | / | 1.28 |
| Al | / | 1.16 | / | 0.79 |
| Si | / | 7.2 | / | 4.67 |
| Ca | / | 0.41 | / | 0.19 |
| Fe | 8.46 | 13.77 | 5.25 | 4.49 |
| Co | 15.85 | 7.22 | 2.66 | 2.23 |
| Total | 100 | 100 | ||
| First-Order Kinetics | Second-Order Kinetics | |||||
|---|---|---|---|---|---|---|
| h | ||||||
| 0.6873 | 211.8122 | 0.0215 | 0.9779 | 147.0588 | 0.0002071 | 4.4783 |
| T/K | Langmuir | |||
|---|---|---|---|---|
| Equation | B | |||
| 298 | 1/qe = 0.5045/Ce + 0.0014 | 0.9841 | 714.2857 | 0.0028 |
| 308 | 1/qe = 0.5375/Ce + 0.0039 | 0.9964 | 256.4103 | 0.0073 |
| 318 | 1/qe = 0.7046/Ce + 0.0025 | 0.9906 | 400.0000 | 0.0035 |
| T/K | Freundlich | |||
|---|---|---|---|---|
| Equation | R22 | k | n | |
| 298 | ln qe = 0.8073ln Ce + 1.1963 | 0.9656 | 3.3079 | 1.2387 |
| 308 | ln qe = 0.7554ln Ce + 1.1881 | 0.9806 | 3.2808 | 1.3238 |
| 318 | ln qe = 0.8039ln Ce + 0.8727 | 0.9778 | 2.3934 | 1.2439 |
| T/K | |||
|---|---|---|---|
| 298 | −12.61 | −31.95 | −2.96 |
| 308 | −3.04 | ||
| 318 | −2.31 |
© 2019 by the authors. Licensee MDPI, Basel, Switzerland. This article is an open access article distributed under the terms and conditions of the Creative Commons Attribution (CC BY) license (http://creativecommons.org/licenses/by/4.0/).
Share and Cite
Teng, Y.; Liu, Z.; Yao, K.; Song, W.; Sun, Y.; Wang, H.; Xu, Y. Preparation of Attapulgite/CoFe2O4 Magnetic Composites for Efficient Adsorption of Tannic Acid from Aqueous Solution. Int. J. Environ. Res. Public Health 2019, 16, 2187. https://doi.org/10.3390/ijerph16122187
Teng Y, Liu Z, Yao K, Song W, Sun Y, Wang H, Xu Y. Preparation of Attapulgite/CoFe2O4 Magnetic Composites for Efficient Adsorption of Tannic Acid from Aqueous Solution. International Journal of Environmental Research and Public Health. 2019; 16(12):2187. https://doi.org/10.3390/ijerph16122187
Chicago/Turabian StyleTeng, Yue, Zhiying Liu, Ke Yao, Wenbin Song, Yongjun Sun, Hailing Wang, and Yanhua Xu. 2019. "Preparation of Attapulgite/CoFe2O4 Magnetic Composites for Efficient Adsorption of Tannic Acid from Aqueous Solution" International Journal of Environmental Research and Public Health 16, no. 12: 2187. https://doi.org/10.3390/ijerph16122187
APA StyleTeng, Y., Liu, Z., Yao, K., Song, W., Sun, Y., Wang, H., & Xu, Y. (2019). Preparation of Attapulgite/CoFe2O4 Magnetic Composites for Efficient Adsorption of Tannic Acid from Aqueous Solution. International Journal of Environmental Research and Public Health, 16(12), 2187. https://doi.org/10.3390/ijerph16122187

