Incidence and Characteristics of Endophthalmitis after Cataract Surgery in Poland, during 2010–2015
Abstract
1. Introduction
2. Materials and Methods
3. Results
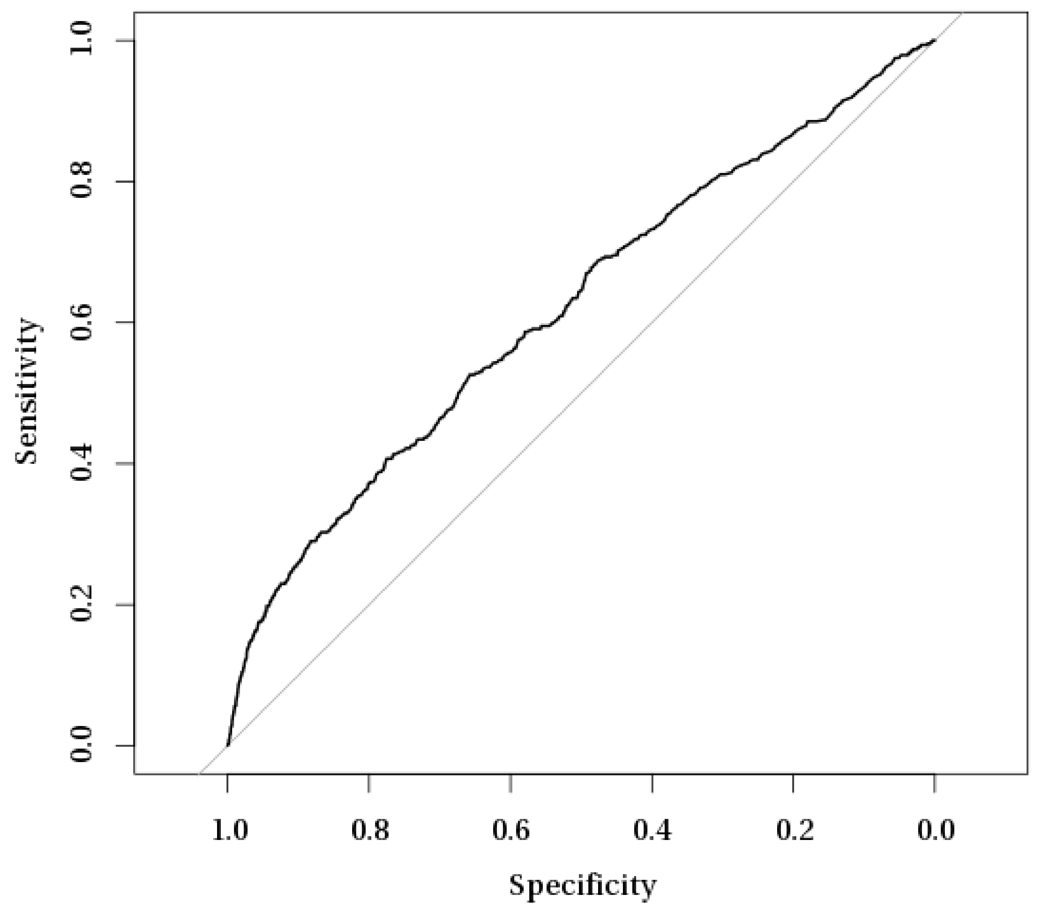
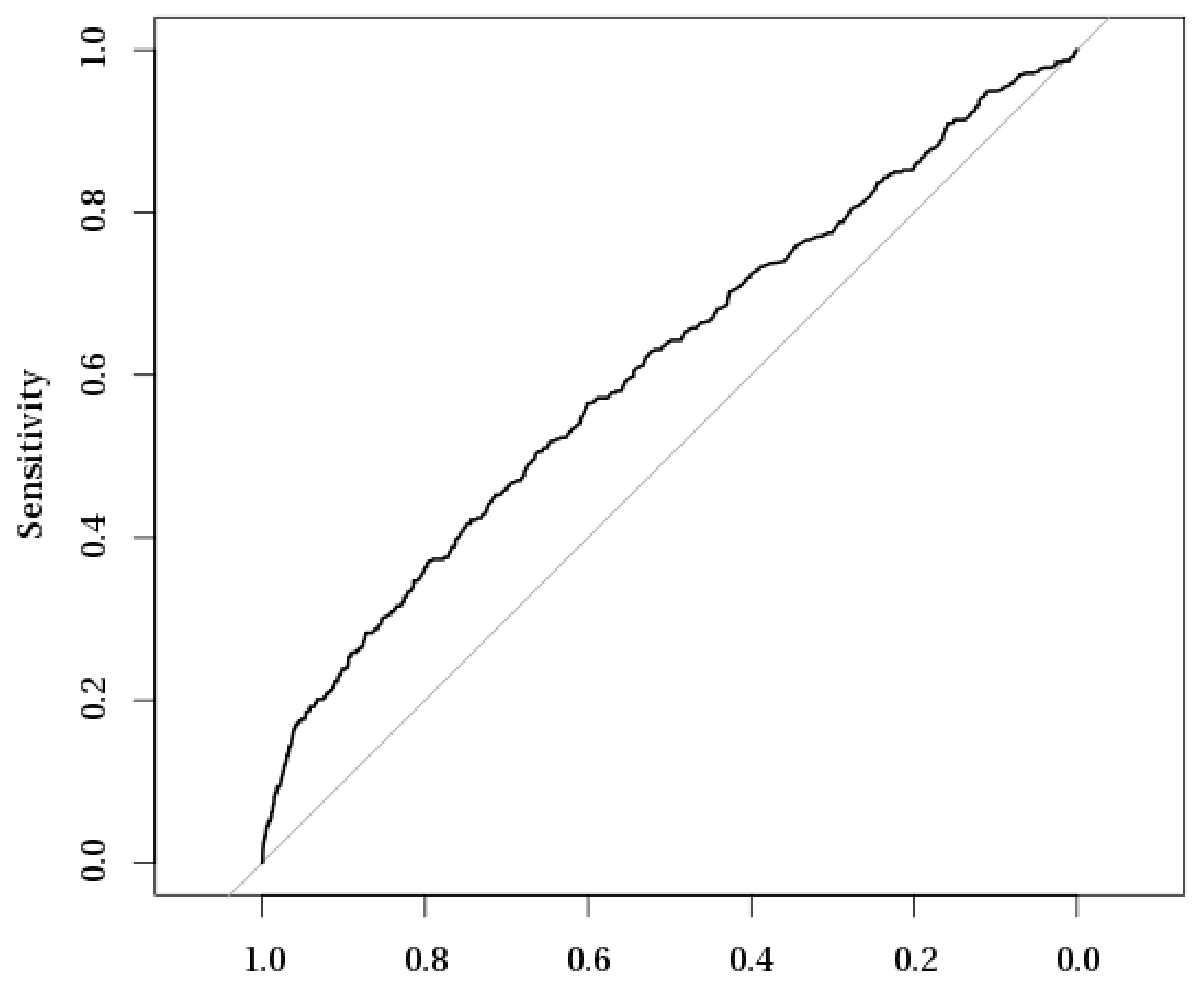
Multiple Logistic Regression Modeling
4. Discussion
5. Conclusions
Author Contributions
Funding
Acknowledgments
Conflicts of Interest
References
- Chen, Y.H.; Chen, J.T.; Tai, M.C.; Chou, Y.C.; Chen, C.L. Acute postcataract endophthalmitis at a referral center in northern Taiwan: Causative organisms, clinical features, and visual acuity outcomes after treatment: A retrospective cohort study. Medicine 2017, 96, e8941. [Google Scholar] [CrossRef] [PubMed]
- Jabbarvand, M.; Hashemian, H.; Khodaparast, M.; Jouhari, M.; Tabatabaei, A.; Rezaei, S. Endophthalmitis Occurring after Cataract Surgery: Outcomes of More Than 480,000 Cataract Surgeries, Epidemiologic Features, and Risk Factors. Ophthalmology 2016, 123, 295–301. [Google Scholar] [CrossRef] [PubMed]
- Endophthalmitis Study Group, European Society of Cataract & Refractive Surgeons. Prophylaxis of postoperative endophthalmitis following cataract surgery: Results of the ESCRS multicenter study and identification of risk factors. J. Cataract Refract. Surg. 2007, 33, 978–988. [Google Scholar] [CrossRef] [PubMed]
- Packer, M.; Chang, D.F.; Dewey, S.H.; Little, B.C.; Mamalis, N.; Oetting, T.A.; Talley-Rostov, A.; Yoo, S.H. Prevention, diagnosis, and management of acute postoperative bacterial endophthalmitis. J. Cataract Refract. Surg. 2011, 37, 1699–1714. [Google Scholar] [CrossRef] [PubMed]
- Kessel, L.; Flesner, P.; Andresen, J.; Erngaard, D.; Tendal, B.; Hjortdal, J. Antibiotic prevention of postcataract endophthalmitis: A systematic review and meta-analysis. Acta Ophthalmol. 2015, 93, 303–317. [Google Scholar] [CrossRef] [PubMed]
- Friling, E.; Lundström, M.; Stenevi, U.; Montan, P. Six-year incidence of endophthalmitis after cataract surgery: Swedish national study. J. Cataract Refract. Surg. 2013, 39, 15–21. [Google Scholar] [CrossRef] [PubMed]
- Creuzot-Garcher, C.; Benzenine, E.; Mariet, A.S.; de Lazzer, A.; Chiquet, C.; Bron, A.M.; Quantin, C. Incidence of Acute Postoperative Endophthalmitis after Cataract Surgery: A Nationwide Study in France from 2005 to 2014. Ophthalmology 2016, 123, 1414–1420. [Google Scholar] [CrossRef] [PubMed]
- Freeman, E.E.; Roy-Gagnon, M.-H.; Fortin, É.; Gauthier, D.; Popescu, M.; Boisjoly, H. Rate of Endophthalmitis After Cataract Surgery in Quebec, Canada, 1996–2005. Arch. Ophthalmol. 2010, 128, 230. [Google Scholar] [CrossRef] [PubMed]
- Hatch, W.V.; Cernat, G.; Wong, D.; Devenyi, R.; Bell, C.M. Risk Factors for Acute Endophthalmitis after Cataract Surgery: A Population-based Study. Ophthalmology 2009, 116, 425–430. [Google Scholar] [CrossRef] [PubMed]
- Nowak, M.S.; Grabska-Liberek, I.; Michalska-Małecka, K.; Grzybowski, A.; Kozioł, M.; Niemczyk, W.; Wieckowska, B.; Szaflik, J.P. Incidence and Characteristics of Cataract Surgery in Poland, during 2010–2015. Int. J. Environ. Res. Public Heal. 2018, 15, 435. [Google Scholar] [CrossRef] [PubMed]
- The National Registry Data. 2018. Available online: http://www.nfz.gov.pl (accessed on 21 August 2018).
- Statistical Office of Poland Data. Available online: http://www.stat.gov.pl (accessed on 21 August 2018).
- Keay, L.; Gower, E.W.; Cassard, S.D.; Tielsch, J.M.; Schein, O.D. Postcataract surgery endophthalmitis in the United States: Analysis of the complete 2003 to 2004 Medicare database of cataract surgeries. Ophthalmology 2012, 119, 914–922. [Google Scholar] [CrossRef] [PubMed]
- Wai, Y.Z.; Chew, L.M.F.; Mohamad, A.S.; Ang, C.L.; Chong, Y.Y.; Adnan, T.H.; Goh, P.-P.; Chew, F.L.M.; Salowi, M.A. The Malaysian cataract surgery registry: Incidence and risk factors of postoperative infectious endophthalmitis over a 7-year period. Int. J. Ophthalmol. 2018, 11, 1685–1690. [Google Scholar] [PubMed]
- Oh, B.-L.; Lee, J.S.; Lee, H.Y.; Yu, H.G. Change in Nationwide Incidence of Post-Cataract Surgery Endophthalmitis: Korean Cohort Study from 2002 to 2013. Ocul. Immunol. Inflamm. 2018, 28, 1–6. [Google Scholar] [CrossRef] [PubMed]
- Herrinton, L.J.; Shorstein, N.H.; Paschal, J.F.; Liu, L.; Contreras, R.; Winthrop, K.L.; Chang, W.J.; Melles, R.B.; Fong, D.S. Comparative Effectiveness of Antibiotic Prophylaxis in Cataract Surgery. Ophthalmology 2016, 123, 287–294. [Google Scholar] [CrossRef] [PubMed]
- Haripriya, A.; Chang, D.F.; Namburar, S.; Smita, A.; Ravindran, R.D. Efficacy of Intracameral Moxifloxacin Endophthalmitis Prophylaxis at Aravind Eye Hospital. Ophthalmology 2016, 123, 302–308. [Google Scholar] [CrossRef] [PubMed]
- Arshinoff, S.A.; Bastianelli, P.A. Incidence of postoperative endophthalmitis after immediate sequential bilateral cataract surgery. J. Cataract Refract. Surg. 2011, 37, 2105–2114. [Google Scholar] [CrossRef] [PubMed]
- Chen, Y.; Zhang, Y.; Li, X.; Yan, H. Incidence of acute-onset endophthalmitis after separate bilateral cataract surgeries less than 5 days apart. BMC Ophthalmol. 2019, 25, 32. [Google Scholar] [CrossRef] [PubMed]
- Gower, E.W.; Keay, L.J.; Stare, D.E.; Arora, P.; Cassard, S.D.; Behrens, A.; Tielsch, J.M.; Schein, O.D. Characteristics of Endophthalmitis after Cataract Surgery in the United States Medicare Population. Ophthalmology 2015, 122, 1625–1632. [Google Scholar] [CrossRef] [PubMed]
- Creuzot-Garcher, C.P.; Mariet, A.S.; Benzenine, E.; Daien, V.; Korobelnik, J.F.; Bron, A.M.; Quantin, C. Is combined cataract surgery associated with acute postoperative endophthalmitis? A nationwide study from 2005 to 2014. Br. J. Ophthalmol. 2018, 136, 1352–1358. [Google Scholar] [CrossRef] [PubMed]
- Schmier, J.K.; Hulme-Lowe, C.K.; Covert, D.W.; Lau, E.C. An updated estimate of costs of endophthalmitis following cataract surgery among Medicare patients: 2010–2014. Clin. Ophthalmol. 2016, 26, 2121–2127. [Google Scholar] [CrossRef] [PubMed]



| 2010 | 2011 | 2012 | 2013 | 2014 | 2015 | |
|---|---|---|---|---|---|---|
| No. of 0–18 year-olds | 7,643,553 | 7,630,880 | 7,531,582 | 7,431,731 | 7,367,066 | 7,309,001 |
| No. of cataract surgeries | 245 | 267 | 272 | 294 | 270 | 242 |
| No. with endophthalmitis | 0 | 0 | 0 | 0 | 0 | 0 |
| No. of 19–39 year-olds | 12,482,309 | 12,523,386 | 12,461,398 | 12,355,235 | 12,201,430 | 12,015,345 |
| No. of cataract surgeries | 1441 | 1305 | 1280 | 1324 | 1383 | 1384 |
| No. with endophthalmitis | 5 | 5 | 3 | 10 | 8 | 4 |
| No. of 40–49 year-olds | 4,792,211 | 4,822,159 | 4,838,436 | 4,879,816 | 4,956,005 | 5,064,587 |
| No. of cataract surgeries | 3007 | 2680 | 2620 | 2583 | 2849 | 2920 |
| No. with endophthalmitis | 7 | 9 | 4 | 6 | 6 | 4 |
| No. of 50–59 year-olds | 5,770,823 | 5,765,460 | 5,656,651 | 5,536,118 | 5,406,320 | 5,245,352 |
| No. of cataract surgeries | 15,598 | 13,397 | 13,203 | 13,188 | 14,645 | 14,001 |
| No. with endophthalmitis | 11 | 27 | 20 | 22 | 19 | 18 |
| No. of 60–69 year-olds | 3,682,048 | 3,931,289 | 4,171,206 | 4,409,809 | 4,642,821 | 4,888,294 |
| No. of cataract surgeries | 38,973 | 35,322 | 37,986 | 43,120 | 52,747 | 57,646 |
| No. with endophthalmitis | 46 | 43 | 49 | 59 | 53 | 42 |
| No. with age ≥70 years | 4,146,056 | 3,852,826 | 3,874,727 | 3,889,291 | 3,910,358 | 3,932,421 |
| No. of cataract surgeries | 141,819 | 122,035 | 126,644 | 134,212 | 156,970 | 160,905 |
| No. with endophthalmitis | 183 | 160 | 145 | 154 | 120 | 89 |
| Total No. | 38,517,000 | 38,526,000 | 38,534,000 | 38,502,000 | 38,484,000 | 38,455,000 |
| No of cataract surgeries | 201,083 | 175,006 | 182,005 | 194,721 | 228,864 | 237,098 |
| No. with endophthalmitis | 252 | 244 | 221 | 251 | 206 | 157 |
| Year | No. of Cataract Surgeries | No. of Cases of Acute POE | Incidence of Acute POE (%) | No. of Cases of Chronic POE | Incidence of Chronic POE (%) | Total Number of Cases of POE | Total Incidence of POE (%) |
|---|---|---|---|---|---|---|---|
| 2010 | 201,083 | 95 | 0.047 | 157 | 0.078 | 252 | 0.125 |
| 2011 | 175,006 | 95 | 0.054 | 149 | 0.085 | 244 | 0.139 |
| 2012 | 182,005 | 97 | 0.053 | 124 | 0.068 | 221 | 0.121 |
| 2013 | 194,721 | 118 | 0.061 | 133 | 0.068 | 251 | 0.129 |
| 2014 | 228,864 | 96 | 0.042 | 110 | 0.048 | 206 | 0.09 |
| 2015 | 237,098 | 83 | 0.035 | 74 | 0.031 | 157 | 0.066 |
| Total | 1,218,777 | 584 | 0.048 | 747 | 0.061 | 1331 | 0.109 |
| Acute POE n (%); Rate Per 1000 Surgeries | Chronic POE n (%); Rate Per 1000 Surgeries | Total Number of POE n (%); Rate Per 1000 Surgeries | |
|---|---|---|---|
| Age: | |||
| 0–18 | 0 (0.00%); 0.000 | 0 (0.00%); 0.000 | 0 (0.00%); 0.000 |
| 19–39 | 22 (3.77%); 2.710 | 13 (1.74%); 1.601 | 35 (2.63%); 4.311 |
| 40–49 | 16 (2.74%); 0.960 | 20 (2.68%); 1.200 | 36 (2.70%); 2.160 |
| 50–59 | 51 (8.73%); 0.607 | 66 (8.83%); 0.785 | 117 (8.79%); 1.392 |
| 60–69 | 125 (21.40%); 0.470 | 167 (22.36%); 0.628 | 292 (21.94%); 1.098 |
| 70+ | 370 (63.36%); 0.439 | 481 (64.39%); 0.570 | 851 (63.94%); 1.009 |
| Sex | |||
| Women | 328 (56.16%); 0.413 | 440 (58.90%); 0.554 | 768 (57.70%); 0.967 |
| Men | 256 (43.84%); 0.602 | 307 (41.10%); 0.773 | 563 (42.30%); 1.325 |
| Urban residence | 408 (69.86%); 0.454 | 539 (72.15%); 0.600 | 947 (71.15%); 1.054 |
| Rural residence | 176 (30.14%); 0.568 | 208 (27.85%); 0.671 | 384 (28.85%); 1.239 |
| Diabetes mellitus t. I | 24 (4.11%); 0.248 | 35 (4.69%); 0.361 | 59 (4.43%); 0.609 |
| Diabetes mellitus t. II | 99 (16.95%); 0.399 | 151 (20.21%); 0.609 | 250 (18.78%); 1.008 |
| No diabetes mellitus | 461 (78.94%); 0.527 | 561 (75.10%); 0.642 | 1022 (76.79%); 1.169 |
| Acute POE n (%) | Chronic POE n (%) | Total Number of POE n (%) | |
|---|---|---|---|
| Cataract surgery in multidisciplinary hospital | 559 (95.72%) | 704 (94.24%) | 1263 (94.89%) |
| Cataract surgery in non-multidisciplinary hospital | 25 (4.28%) | 43 (6.76%) | 68 (5.11%) |
| Surgical technique phacoemulsification | 561 (96.06%) | 691 (92.50%) | 1252 (94.06%) |
| Surgical technique extracapsular extraction | 23 (3.94%) | 56 (7.50%) | 79 (5.94%) |
| One-day cataract surgery | 219 (37.50%) | 215 (28.78%) | 434 (32.61%) |
| Non one-day cataract surgery | 365 (62.50%) | 532 (71.22%) | 897 (67.39%) |
| Cataract surgery combined with corneal transplantation | 0 (0.00%) | 16 (2.14%) | 16 (1.20%) |
| Cataract surgery combined with glaucoma filtration surgery | 4 (0.68%) | 16 (2.14%) | 20 (1.50%) |
| Cataract surgery combined with pars plana vitrectomy | 71 (12.16%) | 66 (8.84%) | 137 (10.30%) |
| Non-combined cataract surgery | 509 (87.16%) | 649 (86.88%) | 1158 (87.00%) |
| Variables | Acute POE OR, 95% CI, p-value | Chronic POE OR, 95% CI, p-value |
|---|---|---|
| Age, per year increase | 0.99 (0.98–1.00); p = 0.047 | 1.00 (0.99–1.01); p = 0.454 |
| Men vs. women | 1.35 (1.11–1.64); p = 0.003 | 1.28 (1.08–1.53); p = 0.005 |
| Rural residence | 1.22 (0.98–1.50); p = 0.069 | 0.98 (0.80–1.18); p = 0.811 |
| Type II diabetes mellitus | 1.18 (0.91–1.52); p = 0.198 | 1.42 (1.18–1.75); p = 0.001 |
| Extracapsular extraction | 1.40 (0.77–2.31); p = 0.226 | 3.09 (2.20–4.23); p = 0.000 |
| One-day surgery | 1.11 (0.90–1.36); p = 0.323 | 0.75 (0.61–0.91); p = 0.004 |
| Combined cataract surgery | 4.25 (3.09–5.74); p = 0.000 | 4.41 (3.38–5.67); p = 0.000 |
| Surgery in a non-multidisciplinary hospital | 0.77 (0.47–1.17); p = 0.246 | 0.87 (0.58–1.24); p = 0.474 |
| Epidemiological Study | Total Number of Cataract Extractions | Time Period (Years) | Total Incidence of POE n (%) | Incidence of Acute POE †n (%) | Incidence of Chronic POE ‡n (%) | Incidence Reduction From (%)–(%) |
|---|---|---|---|---|---|---|
| Nationwide Study in France (France) [7] | 6,371,242 | 2005–2014 | 6668 (0.105%) | 6668 (0.105%) | Not applicable (N/A) | 0.145%–0.053% |
| Medicare Database of Cataract Surgery (USA) [13] | 3,280,966 | 2003–2004 | 4,006 (0.122%) | 4,006 (0.122%) | N/A | 0.132%–0.111% |
| National Database of Hospitalizations—current study from Poland | 1,218,777 | 2010–2015 | 1331 (0.109%) | 584 (0.048%) | 747 (0.061%) | 0.125%–0.066% |
| Quebec State Control for Health Insurance (Canada) [8] | 490,690 | 1996–2005 | 754 (0.154%) | 754 § (0.154%) | N/A | 2.1%–0.8% β |
| Farabi Eye Hospital (Iran) [2] | 480,104 | 2006–2014 | 112 (0.023%) | 100 (0.021%) | 12 (0.002%) | N/A |
| Swedish National Study (Sweden) [6] | 464,996 | 2005–2010 | 135 (0.029%) | 135 (0.029%) | N/A | 0.03%–0.02% |
| Ontario Health Insurance Plan (Canada) [9] | 442,177 | 2002–2006 | 617 (0.139%) | 617 Γ (0.139%) | N/A | N/A |
| Kaiser Permanente (USA) [16] | 315,246 | 2005–2012 | 215 (0.068%) | 215 § (0.068%) | N/A | N/A |
| The Malaysian Cataract Surgery Registry (Malaysia) [14] | 163,503 | 2008–2014 | 131 (0.08%) | 131 (0.08%) | N/A | 0.11%–0.08% |
| Aravind Eye Hospital (India) [17] | 116,714 | 2014–2015 | 65 (0.056%) | 65 (0.065%) | N/A | N/A |
© 2019 by the authors. Licensee MDPI, Basel, Switzerland. This article is an open access article distributed under the terms and conditions of the Creative Commons Attribution (CC BY) license (http://creativecommons.org/licenses/by/4.0/).
Share and Cite
Nowak, M.S.; Grzybowski, A.; Michalska-Małecka, K.; Szaflik, J.P.; Kozioł, M.; Niemczyk, W.; Grabska-Liberek, I. Incidence and Characteristics of Endophthalmitis after Cataract Surgery in Poland, during 2010–2015. Int. J. Environ. Res. Public Health 2019, 16, 2188. https://doi.org/10.3390/ijerph16122188
Nowak MS, Grzybowski A, Michalska-Małecka K, Szaflik JP, Kozioł M, Niemczyk W, Grabska-Liberek I. Incidence and Characteristics of Endophthalmitis after Cataract Surgery in Poland, during 2010–2015. International Journal of Environmental Research and Public Health. 2019; 16(12):2188. https://doi.org/10.3390/ijerph16122188
Chicago/Turabian StyleNowak, Michał S., Andrzej Grzybowski, Katarzyna Michalska-Małecka, Jacek P. Szaflik, Milena Kozioł, Wojciech Niemczyk, and Iwona Grabska-Liberek. 2019. "Incidence and Characteristics of Endophthalmitis after Cataract Surgery in Poland, during 2010–2015" International Journal of Environmental Research and Public Health 16, no. 12: 2188. https://doi.org/10.3390/ijerph16122188
APA StyleNowak, M. S., Grzybowski, A., Michalska-Małecka, K., Szaflik, J. P., Kozioł, M., Niemczyk, W., & Grabska-Liberek, I. (2019). Incidence and Characteristics of Endophthalmitis after Cataract Surgery in Poland, during 2010–2015. International Journal of Environmental Research and Public Health, 16(12), 2188. https://doi.org/10.3390/ijerph16122188

