Mobile Measurements of Particulate Matter in a Car Cabin: Local Variations, Contrasting Data from Mobile versus Stationary Measurements and the Effect of an Opened versus a Closed Window
Abstract
1. Introduction
2. Materials and Methods
2.1. Measurement of Particulate Matter
2.2. Driving Routes
2.2.1. In-Cabin PM Concentration (Local Differences in Concentration and Particle Size Distribution)
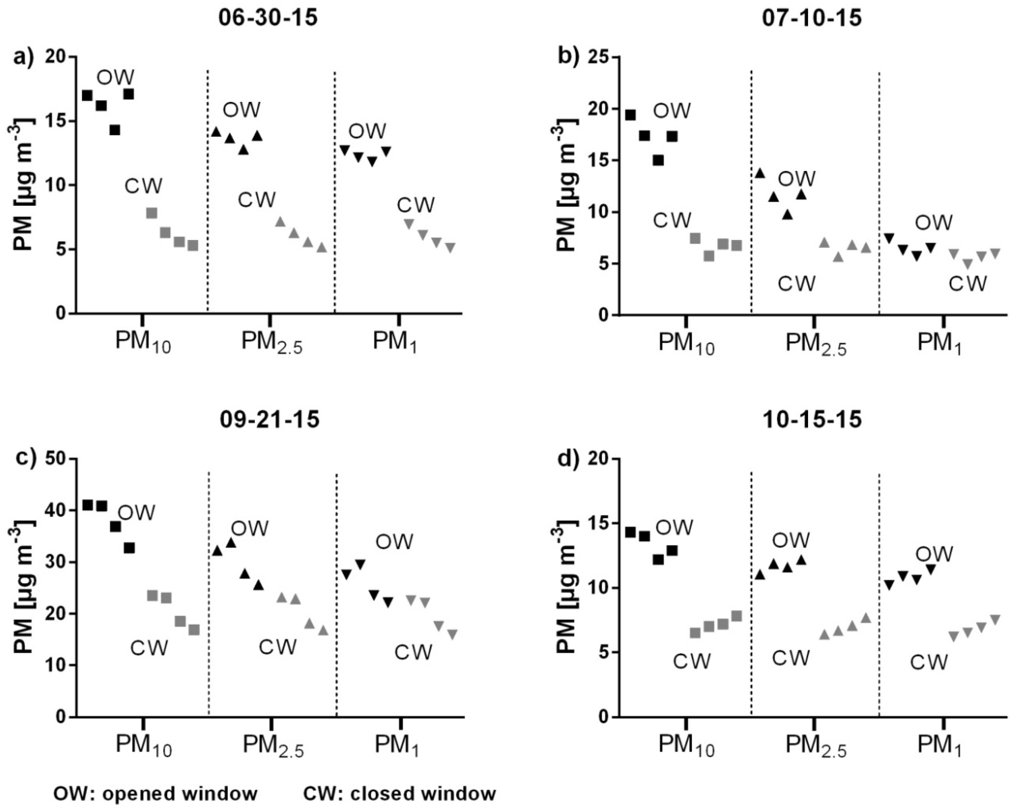
2.2.2. In-Cabin PM Concentration—Opened Window versus Closed Window
2.3. Statistics
3. Results
3.1. Local Variations of In-Cabin PM Concentrations and Particle Size Distribution
3.2. PM In-Cabin versus PM AQMS
3.3. In-Cabin PM Concentration—Opened Window versus Closed Window
4. Discussion
4.1. Variations in the Local Particle Concentration and Size Distribution within the Urban Area
4.2. Comparability of Stationary versus Mobile Measured Particulate Matter
4.3. Comparison of In-Cabin PM Exposure on Drivers between Rides with an Opened and Closed Window
4.4. Limitation of the Study
5. Conclusions
Supplementary Materials
Author Contributions
Funding
Acknowledgments
Conflicts of Interest
References
- Thorpe, A.; Harrison, R.M. Sources and properties of non-exhaust particulate matter from road traffic: A review. Sci. Total Environ. 2008, 400, 270–282. [Google Scholar] [CrossRef] [PubMed]
- Marcazzan, G.M.; Vaccaro, S.; Valli, G.; Vecchi, R. Characterisation of PM10 and PM2.5 particulate matter in the ambient air of Milan (Italy). Atmos. Environ. 2001, 35, 4639–4650. [Google Scholar] [CrossRef]
- Charron, A.; Harrison, R.M.; Quincey, P. What are the sources and conditions responsible for exceedences of the 24 h PM10 limit value (50 μgm−3) at a heavily trafficked London site? Atmos. Environ. 2007, 41, 1960–1975. [Google Scholar] [CrossRef]
- Colbeck, I. (Ed.) Aerosol Science: Technology and Applications; Wiley: Chichester, UK, 2014. [Google Scholar]
- Air Quality Expert Group. Particulate Matter in the United Kingdom; Defra: London, UK, 2005. [Google Scholar]
- EPA. Research on Health and Environmental Effects of Air Quality. 2017. Available online: https://www.epa.gov/air-research/research-health-and-environmental-effects-air-quality (accessed on 21 April 2017).
- Auchincloss, A.H.; Diez Roux, A.V.; Dvonch, J.T.; Brown, P.L.; Barr, R.G.; Daviglus, M.L.; Goff, D.C.; Kaufman, J.D.; O’Neill, M.S. Associations between recent exposure to ambient fine particulate matter and blood pressure in the Multi-ethnic Study of Atherosclerosis (MESA). Environ. Health Perspect. 2008, 116, 486–491. [Google Scholar] [CrossRef] [PubMed]
- Katsouyanni, K.; Touloumi, G.; Spix, C.; Schwartz, J.; Balducci, F.; Medina, S.; Rossi, G.; Wojtyniak, B.; Sunyer, J.; Bacharova, L.; et al. Short-term effects of ambient sulphur dioxide and particulate matter on mortality in 12 European cities: Results from time series data from the APHEA project. Air Pollution and Health: A European Approach. BMJ 1997, 314, 1658–1663. [Google Scholar] [CrossRef] [PubMed]
- Delfino, R.J.; Zeiger, R.S.; Seltzer, J.M.; Street, D.H. Symptoms in Pediatric Asthmatics and Air Pollution: Differences in Effects by Symptom Severity, Anti-Inflammatory Medication Use and Particulate Averaging Time. Environ. Health Perspect. 1998, 106, 751–761. [Google Scholar] [CrossRef] [PubMed]
- Michaels, R.A.; Kleinman, M.T. Incidence and Apparent Health Significance of Brief Airborne Particle Excursions. Aerosol Sci. Technol. 2000, 32, 93–105. [Google Scholar] [CrossRef]
- Pope, C.A.; Burnett, R.T.; Thun, M.J.; Calle, E.E.; Krewski, D.; Ito, K.; Thurston, G.D. Lung cancer, cardiopulmonary mortality, and long-term exposure to fine particulate air pollution. JAMA 2002, 287, 1132–1141. [Google Scholar] [CrossRef] [PubMed]
- Brook, R.D.; Rajagopalan, S.; Pope, C.A.; Brook, J.R.; Bhatnagar, A.; Diez-Roux, A.V.; Holguin, F.; Hong, Y.; Luepker, R.V.; Mittleman, M.A.; et al. Particulate matter air pollution and cardiovascular disease: An update to the scientific statement from the American Heart Association. Circulation 2010, 121, 2331–2378. [Google Scholar] [CrossRef] [PubMed]
- Dejmek, J.; Selevan, S.G.; Benes, I.; Solansky, I.; Sram, R.J. Fetal growth and maternal exposure to particulate matter during pregnancy. Environ. Health Perspect. 1999, 107, 475–480. [Google Scholar] [CrossRef] [PubMed]
- Creason, J.; Neas, L.; Walsh, D.; Williams, R.; Sheldon, L.; Liao, D.; Shy, C. Particulate matter and heart rate variability among elderly retirees: The Baltimore 1998 PM study. J. Expo. Anal. Environ. Epidemiol. 2001, 11, 116–122. [Google Scholar] [CrossRef] [PubMed]
- Liao, D.; Creason, J.; Shy, C.; Williams, R.; Watts, R.; Zweidinger, R. Daily Variation of Particulate Air Pollution and Poor Cardiac Autonomic Control in the Elderly. Environ. Health Perspect. 1999, 107, 521–525. [Google Scholar] [CrossRef] [PubMed]
- Williams, R.; Creason, J.; Zweidinger, R.; Watts, R.; Linda Sheldon Shy, C. Indoor, outdoor, and personal exposure monitoring of particulate air pollution: The Baltimore elderly epidemiology-exposure pilot study. Atmos. Environ. 2000, 34, 4193–4204. [Google Scholar] [CrossRef]
- Umweltbundesamt. Air Monitoring Networks: Station Database of the Environmental Agency. 2017. Available online: http://www.env-it.de/stationen/public/language.do;jsessionid=301985B5B53A47A60F18CE16DCEDC92E?language=en (accessed on 11 September 2017).
- Kaur, S.; Nieuwenhuijsen, M.J.; Colvile, R.N. Fine particulate matter and carbon monoxide exposure concentrations in urban street transport microenvironments. Atmos. Environ. 2007, 41, 4781–4810. [Google Scholar] [CrossRef]
- Uibel, S.; Scutaru, C.; Mueller, D.; Klingelhoefer, D.; Hoang, D.M.L.; Takemura, M.; Fischer, A.; Spallek, M.F.; Unger, V.; Quarcoo, D.; et al. Mobile air quality studies (MAQS) in inner cities: Particulate matter PM10 levels related to different vehicle driving modes and integration of data into a geographical information program. J. Occup. Med. Toxicol. 2012, 7, 20. [Google Scholar] [CrossRef] [PubMed]
- Groneberg, J.D.A.; Scutaru, C.; Lauks, M.; Takemura, M.; Fischer, T.C.; Kölzow, S.; van Mark, A.; Uibel, S.; Wagner, U.; Vitzthum, K.; et al. Mobile Air Quality Studies (MAQS)—An International Project; Universitätsbibliothek Johann Christian Senckenberg: Frankfurt am Main, Germany, 2010. [Google Scholar]
- Weijers, E. Variability of particulate matter concentrations along roads and motorways determined by a moving measurement unit. Atmos. Environ. 2004, 38, 2993–3002. [Google Scholar] [CrossRef]
- Gulliver, J.; Briggs, D.J. Personal exposure to particulate air pollution in transport microenvironments. Atmos. Environ. 2004, 38, 1–8. [Google Scholar] [CrossRef]
- MID. Mobilität in Deutschland 2008: Ergebnisbericht Struktur—Aufkommen—Emissionen—Trends; Infas, DLR: Bonn/Berlin, Germany, 2010. [Google Scholar]
- Krzyzanowski, M. Health Effects of Transport-Related Air Pollution: Summary for Policy Makers; WHO Regional Office for Europe: Copenhagen, Denmark, 2005. [Google Scholar]
- Wichmann, J.; Janssen, N.; Vanderzee, S.; Brunekreef, B. Traffic-related differences in indoor and personal absorption coefficient measurements in Amsterdam, the Netherlands. Atmos. Environ. 2005, 39, 7384–7392. [Google Scholar] [CrossRef]
- van Roosbroeck, S.; Hoek, G.; Meliefste, K.; Janssen, N.A.H.; Brunekreef, B. Validity of Residential Traffic Intensity as an Estimate of Long-Term Personal Exposure to Traffic-Related Air Pollution among Adults. Environ. Sci. Technol. 2008, 42, 1337–1344. [Google Scholar] [CrossRef] [PubMed]
- Zensus. Kreisfreie Städte und Landkreise nach Fläche und Bevölkerung auf Grundlage des ZENSUS 2011 und Bevölkerungsdichte; Statistisches Bundesamt: Wiesbaden, Germany, 2011.
- Bukowiecki, N.; Dommen, J.; Prévôt, A.; Richter, R.; Weingartner, E.; Baltensperger, U. A mobile pollutant measurement laboratory—Measuring gas phase and aerosol ambient concentrations with high spatial and temporal resolution. Atmos. Environ. 2002, 36, 5569–5579. [Google Scholar] [CrossRef]
- Praml, G.; Schierl, R. Dust exposure in Munich public transportation: A comprehensive 4-year survey in buses and trams. Int. Arch. Occup. Environ. Health 2000, 73, 209–214. [Google Scholar] [CrossRef] [PubMed]
- Gugamsetty, B. Source Characterization and Apportionment of PM10, PM2.5 and PM0.1 by Using Positive Matrix Factorization. Aerosol Air Qual. Res. 2012, 12, 491–496. [Google Scholar] [CrossRef]
- Kittelson, D.B.; Watts, W.F.; Johnson, J.P. Nanoparticle emissions on Minnesota highways. Atmos. Environ. 2004, 38, 9–19. [Google Scholar] [CrossRef]
- Fiebig, M.; Wiartalla, A.; Holderbaum, B.; Kiesow, S. Particulate emissions from diesel engines: Correlation between engine technology and emissions. J. Occup. Med. Toxicol. 2014, 9, 6. [Google Scholar] [CrossRef] [PubMed]
- Jain, S. Exposure to in-vehicle respirable particulate matter in passenger vehicles under different ventilation conditions and seasons. Sustain. Environ. Res. 2017, 27, 87–94. [Google Scholar] [CrossRef]
- Greenwood, S.J.; Coxon, J.E.; Biddulph, T.; Bennett, J. An Investigation to Determine the Exhaust Particulate Size Distributions for Diesel, Petrol, and Compressed Natural Gas Fuelled Vehicles. In An Investigation to Determine the Exhaust Particulate Size Distributions for Diesel, Petrol, and Compressed Natural Gas Fuelled Vehicles; SAE International400 Commonwealth Drive: Warrendale, PA, USA, 1996. [Google Scholar]
- Graskow, B.R.; Kittelson, D.B.; Ahmadi, M.R.; Morris, J.E. Exhaust Particulate Emissions from a Direct Injection Spark Ignition Engine. In Exhaust Particulate Emissions from a Direct Injection Spark Ignition Engine; SAE International400 Commonwealth Drive: Warrendale, PA, USA, 1999. [Google Scholar]
- Lv, G.; Song, C.; Pan, S.; Gao, J.; Cao, X. Comparison of number, surface area and volume distributions of particles emitted from a multipoint port fuel injection car and a gasoline direct injection car. Atmos. Pollut. Res. 2014, 5, 753–758. [Google Scholar] [CrossRef]
- Chowdhury, Z.; Zheng, M.; Schauer, J.J.; Sheesley, R.J.; Salmon, L.G.; Cass, G.R.; Russell, A.G. Speciation of ambient fine organic carbon particles and source apportionment of PM 2.5 in Indian cities. J. Geophys. Res. 2007, 112, 111. [Google Scholar] [CrossRef]
- BAFU. Feinstaub PM 10: Fragen und Antworten zu Eigenschaften, Emissionen, Immissionen, Auswirkungen und Massnahmen; Budesamt für Umwelt, Wald und Landwirtschaft: Bern, Switzerland, 2006. [Google Scholar]
- Gee, I.L.; Raper, D.W. Commuter exposure to respirable particles inside buses and by bicycle. Sci. Total Environ. 1999, 235, 403–405. [Google Scholar] [CrossRef]
- Hessiches Landesamt für Naturschutz, Umwelt und Geologie: Air monitoring network Hessen. 2018. Available online: https://www.hlnug.de/fileadmin/scripts/recherche/info/FrankfurtFriedbergerLandstr.pdf (accessed on 24 November 2018).
- Geiss, O. Exposure to Particulate Matter in Vehicle Cabins of Private Cars. Aerosol Air Qual. Res. 2010, 10, 581–588. [Google Scholar] [CrossRef]
- Geiss, O.; Tirendi, S.; Barrero-Moreno, J.; Kotzias, D. Investigation of volatile organic compounds and phthalates present in the cabin air of used private cars. Environ. Int. 2009, 35, 1188–1195. [Google Scholar] [CrossRef] [PubMed]
- Boogaard, H.; Borgman, F.; Kamminga, J.; Hoek, G. Exposure to ultrafine and fine particles and noise during cycling and driving in 11 Dutch cities. Atmos. Environ. 2009, 43, 4234–4242. [Google Scholar] [CrossRef]
- Briggs, D.J.; de Hoogh, K.; Morris, C.; Gulliver, J. Effects of travel mode on exposures to particulate air pollution. Environ. Int. 2008, 34, 12–22. [Google Scholar] [CrossRef] [PubMed]
- Van Wijnen, J.H.; Verhoeff, A.P.; Jans, H.W.; van Bruggen, M. The exposure of cyclists, car drivers and pedestrians to traffic-related air pollutants. Int. Arch. Occup. Environ. Health 1995, 67, 187–193. [Google Scholar] [CrossRef] [PubMed]
- Kingham, S.; Meaton, J.; Sheard, A.; Lawrenson, O. Assessment of exposure to traffic-related fumes during the journey to work. Transp. Res. Part D Transp. Environ. 1998, 3, 271–274. [Google Scholar] [CrossRef]
- Tartakovsky, L.; Baibikov, V.; Czerwinski, J.; Gutman, M.; Kasper, M.; Popescu, D.; Mark, V.; Zvirin, Y. In-vehicle particle air pollution and its mitigation. Atmos. Environ. 2013, 64, 320–328. [Google Scholar] [CrossRef]
- Alm, S.; Jantunen, M.J.; Vartiainen, M. Urban commuter exposure to particle matter and carbon monoxide inside an automobile. J. Expo. Anal. Environ. Epidemiol. 1999, 9, 237–244. [Google Scholar] [CrossRef] [PubMed]
- European Union. Official Journal of the European Union L 152, 11.06.2008: Directive 2008/50/EC of the European Parliament and of the Council of 21 May 2008 on Ambient Air Quality and Cleaner Air for Europe; Publications Office of the European Union: Luxembourg, 2008. [Google Scholar]
- Riediker, M.; Devlin, R.B.; Griggs, T.R.; Herbst, M.C.; Bromberg, P.A.; Williams, R.W.; Cascio, W.E. Cardiovascular effects in patrol officers are associated with fine particulate matter from brake wear and engine emissions. Part. Fibre Toxicol. 2004, 1, 2. [Google Scholar] [CrossRef] [PubMed]
- Gualtieri, G.; Toscano, P.; Crisci, A.; Di Lonardo, S.; Tartaglia, M.; Vagnoli, C.; Zaldei, A.; Gioli, B. Influence of road traffic, residential heating and meteorological conditions on PM10 concentrations during air pollution critical episodes. Environ. Sci. Pollut. Res. Int. 2015, 22, 19027–19038. [Google Scholar] [CrossRef] [PubMed]
- Dockery, D.W.; Pope, C.A.; Xu, X.; Spengler, J.D.; Ware, J.H.; Fay, M.E.; Ferris, B.G.; Speizer, F. An association between air pollution and mortality in six U.S. cities. N. Engl. J. Med. 1993, 329, 1753–1759. [Google Scholar] [CrossRef] [PubMed]
- Pope, C.A.; Thun, M.J.; Namboodiri, M.M.; Dockery, D.W.; Evans, J.S.; Speizer, F.E.; Heath, C.W., Jr. Particulate air pollution as a predictor of mortality in a prospective study of U.S. adults. Am. J. Respir. Crit. Care Med. 1995, 151 Pt 1, 669–674. [Google Scholar] [CrossRef]
- Miller, F.J.; Gardner, D.E.; Graham, J.A.; Lee, R.E.; Wilson, W.E.; Bachmann, J.D. Size Considerations for Establishing a Standard for Inhalable Particles. J. Air Pollut. Control Assoc. 1979, 29, 610–615. [Google Scholar] [CrossRef]
- Apte, J.S.; Kirchstetter, T.W.; Reich, A.H.; Deshpande, S.J.; Kaushik, G.; Chel, A.; Marshall, J.D.; Nazaroff, W.W. Concentrations of fine, ultrafine, and black carbon particles in auto-rickshaws in New Delhi, India. Atmos. Environ. 2011, 45, 4470–4480. [Google Scholar] [CrossRef]
- Muala, A.; Sehlstedt, M.; Bion, A.; Österlund, C.; Bosson, J.A.; Behndig, A.F.; Pourazar, J.; Bucht, A.; Boman, C.; Mudway, I.S.; et al. Assessment of the capacity of vehicle cabin air inlet filters to reduce diesel exhaust-induced symptoms in human volunteers. Environ. Health 2014, 13, 16. [Google Scholar] [CrossRef] [PubMed]








| (a) | (b) | ||||||
|---|---|---|---|---|---|---|---|
| OW | CW | OW | CW | ||||
| Date | Time | Date | Time | Date | Time | Date | Time |
| 05-22-15 | 11:59–12:39 | 05-22-15 | 11:11–11:52 | 05-22-15 | 12:26 | 05-22-15 | 11:36 |
| 05-22-15 | 14:26–15:09 | 05-22-15 | 13:42–14:23 | 05-22-15 | 14:53 | 05-22-15 | 14:07 |
| 05-29-15 | 12:42–13:18 | 05-29-15 | 12:03–12:39 | 05-29-15 | 13:05 | 05-29-15 | 12:25 |
| 05-29-15 | 15:50–16:39 | 05-29-15 | 15:00–15:45 | 05-29-15 | 16:18 | 05-29-15 | 15:22 |
| 10-15-15 | 14:57–15:32 | 10-20-15 | 11:20–11:54 | 10-15-15 | 15:17 | 10-20-15 | 11:40 |
| 10-20-15 | 10:42–11:14 | 10-20-15 | 14:50–15:23 | 10-20-15 | 10:59 | 10-20-15 | 15:08 |
| 10-20-15 | 11:57–12:32 | 12-01-15 | 11:56–12:32 | 10-20-15 | 12:17 | 12-01-15 | 13:17 |
| 10-20-15 | 14:09–14:45 | 12-01-15 | 17:36–18:13 | 10-20-15 | 14:31 | 12-01-15 | 18:58 |
| 12-01-15 | 11:16–11:51 | 12-02-15 | 15:09–15:50 | 12-01-15 | 12:37 | 12-02-15 | 16:31 |
| 12-01-15 | 16:47–17:32 | 01-06-16 | 15:38–16:12 | 12-01-15 | 18:11 | 01-06-16 | 15:59 |
| 12-02-15 | 09:26–10:00 | 01-07-16 | 15:55–15:27 | 12-02-15 | 10:47 | 01-07-16 | 11:48 |
| 01-06-16 | 14:55–15:33 | 01-13-16 | 18:17–18:57 | 01-06-16 | 12:47 | 01-07-16 | 15:13 |
| 01-07-16 | 14:17–14:50 | 01-06-16 | 15:16 | 01-13-16 | 14:52 | ||
| 01-13-16 | 17:31–18:10 | 01-07-16 | 14:35 | 01-13-16 | 19:41 | ||
| 01-13-16 | 17:52 | ||||||
| Time | Time | ||||
|---|---|---|---|---|---|
| Date | OW | CW | Date | OW | CW |
| 06-30-15 | 16:21–16:31 | 16:34–16:44 | 09-21-15 | 10:55–11:04 | 11:07–11:17 |
| 16:46–16:56 | 16:59–17:09 | 11:18–11:28 | 11:31–11:41 | ||
| 17:10–17:20 | 17:24–17:33 | 11:42–11:52 | 11:55–12:05 | ||
| 17:34–17:44 | 17:48–17:58 | 12:07–12:17 | 12:20–12:32 | ||
| 07-10-15 | 10:52–11:02 | 11:05–11:15 | 10-15-15 | 11:48–11:57 | 12:00–12:09 |
| 11:28–11:38 | 11:41–11:50 | 12:10–12:19 | 12:24–12:34 | ||
| 11:53–12:02 | 12:05–12:15 | 12:35–12:45 | 12:48–12:57 | ||
| 12:23–12:33 | 12:36–12:46 | 12:58–13:08 | 13:11–13:20 | ||
| In-Cabin [µg m−3] | PMAQMS [µg m−3] | |||||
|---|---|---|---|---|---|---|
| Min | Max | Min | Max | |||
| OW | PMmean | PM10 | 17.1 | 63.7 | 6.4 | 35.7 |
| PM2.5 | 12.9 | 43.2 | 3.1 | 26.6 | ||
| PM1 | 10.6 | 39.5 | - | - | ||
| PMcoarse | 3.6 | 21.6 | 2.1 | 9.0 | ||
| PMdirect | PM10 | 18.1 | 75.7 | 6.4 | 36.7 | |
| PM2.5 | 13.5 | 62.7 | 3.6 | 27.3 | ||
| PM1 | 11.5 | 56.7 | - | - | ||
| PMcoarse | 1.7 | 21.7 | 1.9 | 9.4 | ||
| CW | PMmean | PM10 | 4.9 | 27.5 | 6.3 | 33.5 |
| PM2.5 | 4.5 | 26.4 | 3.4 | 24.6 | ||
| PM1 | 4.2 | 25.9 | - | - | ||
| PMcoarse | 0.2 | 1.9 | 2.0 | 8.9 | ||
| PMdirect | PM10 | 5.3 | 26.5 | 5.5 | 33.5 | |
| PM2.5 | 5.1 | 26.4 | 5.0 | 24.6 | ||
| PM1 | 4.9 | 25.8 | - | - | ||
| PMcoarse | 0.0 | 2.5 | 0.5 | 8.9 | ||
| PMmean vs. PMAQMS | PMdirect vs. PMAQMS | ||||
|---|---|---|---|---|---|
| Spearman | p-Value | Spearman | p-Value | ||
| OW | PM10 | 0.88 | <0.001 | 0.67 | 0.008 |
| PM2.5 | 0.93 | <0.001 | 0.82 | 0.001 | |
| PMcoarse | 0.29 | 0.31 | −0.21 | 0.46 | |
| CW | PM10 | 0.81 | 0.002 | 0.78 | 0.001 |
| PM2.5 | 0.85 | <0.001 | 0.88 | <0.001 | |
| PMcoarse | −0.14 | 0.67 | −0.21 | 0.47 | |
| PMmean/PMAQMS (Means of All Rides) | PMdirect/PMAQMS (Means of All Rides) | ||
|---|---|---|---|
| OW | PM10 | 2.2 (CV: 0.29) | 2.2 (CV: 0.46) |
| PM2.5 | 2.5 (CV: 0.38) | 2.7 (CV: 0.43) | |
| PMcoarse | 2.0 (CV: 0.68) | 1.7 (CV: 0.80) | |
| CW | PM10 | 1.0 (CV: 0.28) | 0.9 (CV: 0.20) |
| PM2.5 | 1.4 (CV: 0.26) | 1.3 (CV: 0.21) | |
| PMcoarse | 0.2 (CV: 0.82) | 0.1 (CV: 1.23) |
© 2018 by the authors. Licensee MDPI, Basel, Switzerland. This article is an open access article distributed under the terms and conditions of the Creative Commons Attribution (CC BY) license (http://creativecommons.org/licenses/by/4.0/).
Share and Cite
Dröge, J.; Müller, R.; Scutaru, C.; Braun, M.; Groneberg, D.A. Mobile Measurements of Particulate Matter in a Car Cabin: Local Variations, Contrasting Data from Mobile versus Stationary Measurements and the Effect of an Opened versus a Closed Window. Int. J. Environ. Res. Public Health 2018, 15, 2642. https://doi.org/10.3390/ijerph15122642
Dröge J, Müller R, Scutaru C, Braun M, Groneberg DA. Mobile Measurements of Particulate Matter in a Car Cabin: Local Variations, Contrasting Data from Mobile versus Stationary Measurements and the Effect of an Opened versus a Closed Window. International Journal of Environmental Research and Public Health. 2018; 15(12):2642. https://doi.org/10.3390/ijerph15122642
Chicago/Turabian StyleDröge, Janis, Ruth Müller, Cristian Scutaru, Markus Braun, and David A. Groneberg. 2018. "Mobile Measurements of Particulate Matter in a Car Cabin: Local Variations, Contrasting Data from Mobile versus Stationary Measurements and the Effect of an Opened versus a Closed Window" International Journal of Environmental Research and Public Health 15, no. 12: 2642. https://doi.org/10.3390/ijerph15122642
APA StyleDröge, J., Müller, R., Scutaru, C., Braun, M., & Groneberg, D. A. (2018). Mobile Measurements of Particulate Matter in a Car Cabin: Local Variations, Contrasting Data from Mobile versus Stationary Measurements and the Effect of an Opened versus a Closed Window. International Journal of Environmental Research and Public Health, 15(12), 2642. https://doi.org/10.3390/ijerph15122642

