Abstract
Diterpenoids from marine-derived organisms represent a prolific source of secondary metabolites, characterized by their exceptionally promising chemical structures and pronounced pharmacological properties. In recent years, marine diterpenoids have garnered considerable attention and are regarded as a prominent area of scientific research. As a vital class of metabolites, diterpenoids show diverse biological activities, encompassing antibacterial, antifungal, antiviral, anti-inflammatory, inhibitory, and cytotoxic activities, among others. With the rapid advancement of equipment and identified technology, there has been a tremendous surge in the discovery rate of novel diterpenoid skeletons and bioactivities derived from marine fungi over the past decade. The present review compiles the reported diterpenoids from marine fungal sources mainly generated from January 2000 to December 2024. In this paper, 515 diterpenoids from marine organisms are summarized. Among them, a total of 281 structures from various fungal species are included, comprising 55 from sediment, 39 from marine animals (predominantly invertebrates, including 17 from coral and 22 from sponges), and 53 from marine plants (including 34 from algae and 19 from mangrove). Diverse biological activities are exhibited in 244 compounds, and among these, 112 compounds showed great anti-tumor activity (45.90%) and 110 metabolites showed remarkable cytotoxicity (45.08%). Furthermore, these compounds displayed a range of diverse bioactivities, including potent anti-oxidant activity (2.87%), promising anti-inflammatory activity (1.64%), great anti-bacterial activity (1.64%), notable anti-thrombotic activity (1.23%), etc. Moreover, the diterpenoids’ structural characterization and biological activities are additionally elaborated upon. The present critical summary provides a comprehensive overview of the reported knowledge regarding diterpenoids derived from marine fungi, invertebrates, and aquatic plants. The systematic review presented herein offers medical researchers an extensive range of promising lead compounds for the development of marine drugs, thereby furnishing novel and valuable pharmaceutical agents.
1. Introduction
The ocean contains a vast array of biological resources, and marine natural products present unparalleled structural diversity and novelty relative to terrestrial sources [1]. Among these, it’s worth noting that diterpenoids represent one of the most crucial classes of terpenoids and demonstrate superexcellent physiological activities [2]. Meanwhile, the most abundant diterpenoids are found in the ocean. In recent years, an increasing number of research studies have focused on discovering novel diterpenes from marine-derived fungi [3,4].
Herein, we have provided a comprehensive overview of marine diterpenoids, mainly covering the time from 2000 up to 2024 based on source classification, focusing on diterpenoids isolated from marine fungi. In total, 515 diterpenoid chemical structures are encompassed in this review, accompanied by an in-depth discussion of their bioactivities. By collecting information about their biological activities, pharmacologists are empowered to efficiently and easily identify marine diterpenes as potential drug candidates. The reported literature search was conducted employing diverse publishers and databases, including PubMed, Web of Science, ScienceDirect, Google Scholar, SciFinder, Scopus, Elsevier, Wiley, SpringerLink, and ACS Publications, applying specific keywords (diterpenoid, diterpene, marine fungi, marine invertebrates, and marine plants). Meanwhile, for a well-structured and comprehensive review, the diterpenoid compounds are classified into four categories based on their origin: marine fungi, marine invertebrates, marine plants, and mangroves (Figure 1). It should be noted that marine animal-derived diterpenoids are only found in marine invertebrates; “Marine invertebrates” is therefore considered as the appropriate taxonomic category rather than “Marine animals”. The standard procedures for acquiring diterpenes from marine organisms typically involve sample collection, separation, purification, identification, and bioactivity evaluation (Figure 2).
Figure 1.
Sources of marine diterpenoids include marine fungi, marine invertebrates, and marine plants.
Figure 2.
The separation process of compounds: (1) Biological sample collection; (2) Extract sample with PE/CH2Cl2/EtOAc/n-BuOH/MeOH; (3) Sample separation and purification; (4) Sample semi-preparation by HPLC; (5) Raw data acquisition and data analysis employing LC-MS, NMR, and HPLC; (6) Structure elucidation and bioactivity assay.
2. Diterpenoids from Marine Fungi
Marine-sourced fungi are among the most prolific producers of bioactive natural products. Fungi have been demonstrated to be brilliant sources of bioactive compounds as potential sources of novel drugs [5,6]. As one of the richest producers of marine compounds, the diterpenes isolated from marine microorganisms account for nearly half in quantitative terms. The significant bioactive diversity exhibited by marine microorganisms has led to a wide array of natural compounds [7,8,9,10,11]. Given the scarcity of compounds sourced from marine bacteria, our review commences with an examination of diterpenoids derived from marine fungi. We summarized 286 compounds in this part, comprising 57 from sediment-sourced fungi, 39 from marine animal-sourced fungi (predominantly invertebrate-sourced, including 17 coral-sourced and 22 sponge-sourced), 37 from marine plants (algae)-derived fungi, and 19 from mangrove-derived fungi. If classified according to the fungal genus, the majority of diterpenoids are predominantly found in the genus Botryotinia (30.25%), Aspergillus (15.66%), Penicillium (15.30%), and Trichoderma (12.10%) (Figure 3). The bioactivities of these marine fungi-derived diterpenoids are elaborated in Table 1.
Figure 3.
The diterpenoids from marine fungi in this review are divided by the origin of the genus.
Marine fungi produce a diverse range of diterpenes with various carbon skeletons, typically consisting of four isoprene units linked in a “head-to-tail” manner, forming a carbon skeleton with 20 carbon atoms and representing an important category of marine terpenoids. Based on the latest research, these diterpenes can be classified into several types, including acyclic or monocyclic, bicyclic, tricyclic, tetracyclic, and more complex structures [12]. Among these, the cembrane-type diterpenes make up one of the largest groups, characterized by a 14-carbon ring skeleton containing five-, six-, seven-, or eight-membered lactone rings [12]. Figure 4 shows the cyclization mode and basic skeleton of the cembrane-type diterpenoids [13]. In addition, meroterpenoids, such as those isolated from marine soft coral-associated Aspergillus fungi with a 6/6/6 tricyclic skeleton, are also common and are derived through specific biosynthetic pathways (e.g., the DMOA pathway). Meanwhile, harziane-type diterpenoids possess a unique 6-5-4-7 tetracyclic carbon skeleton and are relatively rare in nature. These diterpenes are of significant interest due to their unique structural properties and biological activities. Future research will focus on analyzing the diversity of carbon skeletons and biosynthetic pathways of marine fungal diterpenoids to provide more comprehensive data support for related research fields.
Figure 4.
The cyclization mode and basic skeleton of the cembrane-type diterpenoids.
2.1. Sediment-Sourced Fungi
As one of the most widespread sources of fungi, numerous diterpenoids have been discovered in marine sediments. This section provides a concise overview of 57 diterpenoids obtained from fungi isolated from sediment, showcasing their respective structures while emphasizing their profound biological activity.
2.1.1. Penicillium sp.
A study on the sea sediment-derived fungi Penicillium sp. TJ403-2 yielded three new diterpenoids identified as 13β-hydroxy conidiogenone C (1, Figure 5), 12β-hydroxy conidiogenone C (2, Figure 5), and 12β-hydroxy conidiogenone D (3, Figure 5) [14]. With an IC50 value of 2.19 ± 0.25 µM—threefold lower than the p.c. (positive control) indomethacin (IC50 = 8.76 µM)—compound 8 showed significant anti-inflammatory activity against LPS-induced NO production in RAW 264.7 cells [14]. In addition, 13β-hydroxy conidiogenone C (1) could strongly inhibit the production of cell cytokines, interleukin-1beta (IL-1β), interleukin-13 (IL-13), tumor necrosis factor-α (TNF-α), granulocyte-macrophage colony-stimulating factor (GM-CSF), macrophage inflammatory protein (MIP-1β), and monocyte chemoattractant protein-1 (MCP-1); suppress inducible nitric oxide synthesis (iNOS) and cyclooxygenase-2 (COX-2) protein expression in a dose-dependent manner; and abolish the nuclear translocation of nuclear factor-kappa B (NF-kB) p65 in LPS-activated RAW 264.7 cells [14]. As further study concluded its inhibition of the NF-kB-activated pathway, it is evident that compound 8 is a promising starting point for the development of new anti-inflammatory agents [14]. Another sea sediment-derived fungi, Penicillium granulatum MCCC 3A00475, produced a new spirotetracyclic diterpenoid with a 5/5/5/5 spiro-carbon skeleton structure, named spirograterpene A (4, Figure 5) [15]. It displayed anti-allergic effects on immunoglobulin E (IgE)-mediated rat mast RBL-2H3 cells with an inhibition rate of 18% at 20 µg/mL, and with loratadine serving as a positive control, it was 35% at the same concentration [15].
Figure 5.
Chemical structures of diterpenoids from sediment-sourced fungi (1–14).
The isolation of three new cyclopiane diterpenoids, conidiogenols C and D (5 and 6, Figure 5) and conidiogenone L (7, Figure 5), was reported from Penicillium sp. YPGA11, a deep-sea-sediment fungi collected in the West Pacific Ocean at a depth of −4500 m [16]. The bioassay study proved the inhibitory effects against five esophageal HTCLs (EC109, KYSE70, EC9706, KYSE30, and KYSE450), in which compounds 5 and 7 showed weak inhibitory effects with inhibition rates less than 36% at an initial concentration of 50 µM [16]. Compound 6 showed more potent activity and was further tested for IC50 values. The IC50 values of compound 6 ranged from 36.80 to 54.7 µM (cisplatin as the p.c., 5.62 µM—7.96 µM), illustrating that it could exert moderate antiproliferative effects [16].
Xylarinonericin E (8, Figure 5), a novel glycosyl ester, was found in the fermentation broth of the fungi Penicillium sp. H1 from the sediments of the Beibu Gulf [17]. This compound displayed moderate antifungal activity against Fusarium oxysporum f. sp. Cubense with an MIC value of 32.0 µM/mL, and the MIC of the positive drug ketoconazole was 2.0 µM/mL [17].
A further study on the fungi Penicillium sp. F23-2 derived from deep-sea sediment demonstrated the isolation of six new diterpenoids, named conidiogenones B–G (9–14, Figure 5) [18]. The cytotoxic activities of all compounds were evaluated on HL-60, A-549, BEL-7402, and MOLT-4 cell lines [18]. Compounds 11, 12, and 14 showed notable cytotoxicity against the A-549 cell line with IC50 values of 9.3, 15.1, and 8.3 µM, respectively, while compounds 9 and 13 displayed much weaker cytotoxicity with IC50 values of 40.3 and 42.2 µM, respectively [18]. To the HL-60 cell line, compounds 11, 12, and 14 displayed potent cytotoxicity with IC50 values of 5.3, 8.5, and 1.1 µM, respectively, while compounds 9 and 13 showed weak activity with IC50 values of 28.2 and 17.8 µM, respectively [18]. It is worth mentioning that compound 10 showed ultra-high activity against the HL-60 and BEL-7402 cell lines, with IC50 values of 0.038 and 0.97 µM [18]. Compounds 11, 13, and 14 displayed moderate to weak cytotoxicity against the BEL-7402 cell line with IC50 values of 11.7, 17.1, and 43.8 µM, respectively [18]. In addition, they also showed biological activities against the MOLT-4 cell line with IC50 values of 21.1, 25.8, and 4.7 µM, respectively [18].
From the sea-sediment fungi Penicillium sp. YPCMAC1, collected at a depth of −4500 m in the western Pacific Ocean, penicindopene A (15, Figure 6), an indole diterpenoid containing a 3-hydroxy-2-indolone moiety, was isolated [19]. It displayed moderate cytotoxicity against the A-549 and HeLa cell lines with IC50 values of 15.2 and 20.5 µM, respectively [19].
Figure 6.
Chemical structures of diterpenoids from sediment-sourced fungi (15–23).
2.1.2. Trichoderma sp.
Trichosordarin A (16, Figure 6), a new sordarin derivative with a unique norditerpenoid aglycone, was discovered from Trichoderma harzianum R5, a deep-sea sediment-derived fungi collected in the Bohai Sea [20]. It is toxic to the marine zooplankton A. salina with an LC50 value of 233 µM. Still, it displayed weak inhibitory activity against two marine phytoplankton species (Amphidinium carterae and Phaeocysti globosa), with inhibition rates at 100 µg/mL of 20.6% and 8.1%, respectively [20].
Five new harziane-type diterpenoids were isolated from a deep-sea sediment-derived fungi Trichoderma sp. SCSIOW21, named harzianols K-O (19–23, Figure 6), along with two known compounds, hazianol J (17, Figure 5) and harzianol A (18, Figure 6) [21]. Harzianol J (17), harzianol A (18), and harzianol O (23) exhibited an anti-inflammatory effect with 81.8%, 46.8%, and 50.5% NO inhibition at 100 µM, respectively [21].
2.1.3. Aspergillus sp.
Further investigations reported nineteen diterpenoids (24–42, Figure 7) isolated from the marine sediment-derived fungi Aspergillus wentii SD-310, including two tetranorlabdane diterpenoids, asperolides D and E (24 and 25); six isopimarane-type diterpenoids, wentinoids A-F (26–31); ten undescribed rare 20-nor-isopimarane diterpenoid epimers, aspewentin A (32) and aspewentins D-L (33–41); and a new methylated derivative, aspewentin M (42) [22,23,24,25]. To the aquatic pathogens Edwardsiella tarda, compound 24 displayed moderate inhibitory activities with an MIC value of 16 µg/mL. At the same time, it is weaker against chloramphenicol and ampicillin with MIC values 8.0 and 2.0 µg/mL, respectively, which were used as positive controls [22]. Biological assay revealed the cytotoxicity of asperolides E (25) against HeLa, MCF-7, and NCI-H446 cell lines, with IC50 values of 10.0, 11.0, and 16.0 µM, respectively, and moderate activity against the Edwardsiella tarda, with an MIC value of 16 µg/mL [22]. Compound 24 and compounds 26–28 exhibited inhibitory activities against aquatic bacteria Edwardsiella tarda, Micrococcus luteus, Pseudomonas aeruginosa, Vibrio harveyi, and V. parahemolyticus, with the same MIC value of 4.0 µg/mL [22,23]. To the plant bacteria Fusarium graminearum, compounds 24 and 28 displayed substantial inhibitory activities with MIC values of 2.0 and 4.0 µg/mL, respectively, which were more potent than the positive control, amphotericin B, with an MIC value of 8.0 µg/mL [22,23]. The selective inhibition of wentinoid A (26) against four plants’ pathogenic fungi (Phytophthora parasitica, Fusarium oxysporum f. sp. lycopersici, Fusarium graminearum, and Botryosphaeria dothidea) proved that it may be a potential antifungal agent [23]. To aquatic pathogens (M. luteus, E. tarda, V. harveyi, P. aeruginosa, and V. parahemolyticus), compounds 33 and 35–38 offered remarkable inhibition, each with MIC values of 4.0 µg/mL, compared with the positive control chloramphenicol, with the MIC values of 8.0, 8.0, 4.0, 4.0, and 1.0 µg/mL, respectively [24]. Compounds 33 and 37 showed potent activity against plant pathogenic fungi F. graminearum with MIC values of 2.0 and 4.0 µg/mL, which showed more activity than the positive control (amphotericin B) with an MIC value of 8.0 µg/mL [24].
Figure 7.
Chemical structures of diterpenoids from sediment-sourced fungi (24–42).
Furthermore, the bioactive test for brine shrimp lethality against Artemia salina showed that these compounds have no appreciable activity (LD50 > 10 µg/mL) [22,23,24,25]. In addition, an activity test showed that compound 38 has biological activity toward E. coli with an MIC value of 32 µg/mL. In contrast, aspewentins I and G (38 and 39) showed notable inhibitory activities against three marine bacteria (E. tarda, V. harveyi, and V. parahaemolyticus), with the same MIC value of 8.0 µg/mL [25]. In addition, compounds 38 and 39 displayed inhibitory activities toward zoonotic pathogens between human and aquatic animals, such as Escherichia coli, Edwardsiella tarda, Vibrio harveyi, and V. parahaemolyticus [25]. Thus, aspewentin M (42) may prove to be a beneficial antifungal agent for its potent antimicrobial activities against some plant pathogenic fungi (Fusarium graminearum, etc.), and compound 42 exhibited activity against F.graminearum with an MIC value of 4.0 µg/mL, which was the same MIC as for the p.c. amphotericin B. Thus, compounds with an R absolute configuration at C-10 are more active than those with an S configuration, for compounds 38 and 39 were more active against pathogenic bacteria than compounds 40–42 [25]. However, compound 42 displayed more muscular inhibitory activities of F. graminearum with methoxylation at C-14 than compounds 38–41 [25].
2.1.4. Eutypella sp.
The sea-sediment-derived fungal strain from the South China Sea, Eutypella scoparia, produced six bioactive pimarane-type diterpenoids (43–48, Figure 8), identified as isopimara-8(14),15-diene (43), libertellenone A (44), scopararane B (45), diaporthein A (46), diaporthein B (47), and 11-deoxydiaporthein A (48) [26]. The bioactive test on SF-268 (human glioma cell line), MCF-7 (human breast adenocarcinoma cell line), and NCI-H460 (human non-small cell lung cancer cell line) revealed the selective cytotoxic activities of compound 44 (IC50 = 20.5, 12.0, and 40.2 µM), and the significant cytotoxicity of compound 47 (IC50 = 9.2, 4.4, and 9.9 µM), while compounds 45, 50, and 52 only showed its moderate cytotoxicity against the MCF-7 cell line with IC50 values of 38.8, 16.4, and 21.8 µM, respectively [26]. However, none of the other diterpenoids displayed any activities toward the three cell lines [26].
Figure 8.
Chemical structures of diterpenoids from sediment-sourced fungi (43–55).
A recent study of Eutypella scoparia FS26, a marine-derived fungi from the sediment of the South China Sea, led to the isolation of five unprecedented oxygenated pimarane diterpenoids, named scopararanes C-G (49–53, Figure 8) [27]. Among them, scopararane C (49) and scopararane D (50) showed cytotoxic activities towards the MCF-7 cell line with IC50 values of 35.9 and 25.6 µM, respectively, while compounds 51 and 53 exhibited much weaker cytotoxicity with IC50 values of 74.1 µM and 85.5 µM, respectively [27]. To SF-268 and NCI-H460 cell lines, compound 50 displayed moderate cytotoxicity with IC50 values of 43.5 µM and 46.1 µM, respectively, while other diterpenoids did not exhibit any activities [27].
Two pimarane-type diterpenoids, scopararane H (54, Figure 8) and scopararane I (55, Figure 8), were first obtained from a deep-sea sediment-derived fungi Eutypella sp. FS46 (at a depth of −292 m) [28]. Scopararane I (55) exhibited moderate inhibitory activities against MCF-7, NCI-H460, and SF-268 cell lines with IC50 values of 83.91, 13.59, and 25.31 µg/mL, respectively [28].
2.2. Marine Invertebrates-Sourced Fungi
Abundant quantities of diterpenoids have been isolated from endophytic fungi associated with marine animals, predominantly derived from invertebrates such as corals and sponges. This section lists a compilation of 17 diterpenoids identified in corals and 22 diterpenoids found in sponges.
2.2.1. Coral-Sourced Fungi
Trichoderma harzianum XS20090075, a fungus derived from soft coral, produced seven novel harziane diterpenoids, including harzianelactones A and B (56 and 57, Figure 9), both with a 6/5/7/5-fused carbocyclic core containing a lactone ring system, and harzianones A-D (58–61, Figure 9) and harziane (62, Figure 9) [29]. These compounds are evaluated for phytotoxicity and all displayed notable activities against seedling growth of amaranth and lettuce [29].
Figure 9.
Chemical structures of diterpenoids from coral-sourced fungi (56–72).
Six new sordarin tetracyclic diterpenoid glycosides, moriniafungusns B-G (63–68, Figure 9), and a new sordaricin tetracyclic diterpenoid, sordaricin B (69, Figure 9), were isolated from the fungi Curvularia hawaiiensis TA2615 derived from the Weizhou coral reefs in the South China Sea [30]. These compounds exhibited diverse antifungal activity, which indicates that the glycosyl moiety, the length of the aliphatic acid side chain, and C-2 carboxylic acid may have impacts on antifungal activity; for example, compound 66 showed its potent antifungal activity against Candida albicans ATCC10231 with an MIC value of 2.9 µM [30].
A study reported the isolation of three novel dolabellane-type diterpenoids from a coral-derived fungi Stachybotrys chartarum TJ403-SS6, named stachatranones A-C (70–72, Figure 9) [31]. Among them, stachatranone B (71) showed selective biological activities, for not only did it exhibit an inhibitory effect against Acinetobacter baumannii (MIC = 16 µg/mL), with amikacin and vancomycin used as positive controls (MIC = 2, 8 µg/mL), but it also displayed an inhibitory effect against Enterococcus faecalis (MIC = 32 µg/mL), with vancomycin serving as the positive control (MIC = 0.5 µg/mL) [31].
2.2.2. Sponge-Sourced Fungi
Trichodermanins C-H (73–78, Figure 10), six new diterpenoids that possess a fused 6-5-6-6 ring system, were obtained from the sponge-derived fungal strain Trichoderma harzianum OUPS-111D-4 from a piece of a marine sponge Halichondria okadai [32,33]. In the cytotoxicity assay towards three cancer cell lines, P388, HL-60, and L1210, trichodermanins C (73) exhibited potent activity with IC50 values ranging from 6.8 to 7.9 µM, and compounds 75 and 76 showed weaker activity, ranging from 41.5 to 125.2 µM, while the p.c. 5-fluorouracil displayed IC50 values ranging from 4.5 to 6.1 µM [32,33].
Figure 10.
Chemical structures of diterpenoids from sponge-sourced fungi (73–80).
From the culture of the sea fungi Cryptosphaeria eunomia var. Eunomia, collected from a sponge growing off Pohnpei Island in the South Pacific, four pimarane-type diterpenoids were isolated, named 11-deoxydiaporthein A (48), diaporthein A (46), diaporthein B (47), and scopararane A (79, Figure 10) [34].
One unprecedented diterpenoid from the marine sponge-derived fungi Actinomadura sp. SpB081030SC-15 was reported, named compound JBIR-65 (80, Figure 10) [35]. It is the only compound that has been produced by the genus Actinomadura since 2009 [35]. The report demonstrated that compound JBIR-65 can protect neuronal hybridoma N18-RE-105 cells from L-glutamate toxicity with an EC50 value of 31 µM, but it is weaker than the representative antioxidant α-tocopherol with an EC50 value of 6.3 µM [35].
Aspergillus candidus HDN15-152, marine fungi derived from a sponge, produced four new indole diterpenoids and ascandinines A-D (81–84, Figure 11) [36]. Except for ascandinine A, the three compounds left all have rare 6/5/5/6/6/6/6 fused ring systems [36]. Bioactivity assay showed that compound 83 showed anti-influenza virus A (H1N1) activity with an IC50 value of 26 µM, with ribavirin serving as the positive control (IC50 = 31 µM). In comparison, compound 84 showed potent cytotoxic activity against HL-60 cells with an IC50 value of 7.8 µM [36].
Figure 11.
Chemical structures of diterpenoids from sponge-sourced fungi (81–84).
Various compounds were reported from the sponge-derived genus Arthrinium. Arthrinins A-D (85–88, Figure 12), myrocin D (89, Figure 12), and myrocin A (90, Figure 12) are six diterpenoids obtained from the marine sponge-derived fungi Arthrinium sp. [37]. Compounds 89 and 90 inhibited vascular endothelial growth factor A (VEGF-A)-dependent endothelial cell sprouting (IC50 = 2.6, 3.7 µM), with sunitinib used as a positive control (IC50 = 0.12 µM), which proved the antitumor activity of myrocin D [37]. To the L5178Y (mouse lymphoma) tumor cell line, it also exhibited notable antiproliferative activities (IC50 = 2.05, 2.74 µM), with kahalalide F serving as a positive control (IC50 = 4.30 µM) [37]. However, myrocin D (89) and myrocin A (90) showed no inhibitory activity for the protein kinase and weak activities against K-562, A2780 (human ovarian cancer line), and A2780CisR (cisplatin-resistant human ovarian cancer cells), with IC50 values of 50.3, 41.3, 66.0, and 42.0, 28.2, 154.7 µM, respectively, with cisplatin used as the positive control (IC50 = 7.80, 0.80, and 8.40 µM) [37].
Figure 12.
Chemical structures of diterpenoids from sponge-sourced fungi (85–94).
Another type of fungi of the genus Arthrinium, Arthrinium sacchari, isolated three undescribed compounds, named myrocin D (91, Figure 12), libertellenone E (92, Figure 12), and libertellenone F (93, Figure 12) [38]. The result of the vitro angiogenesis assay on human umbilical vascular endothelial cell (HUVEC) sprouting induced by VEGF-A revealed that compounds 91 and 92 have no antitumoral potential [38].
It should be noted that two compounds isolated from different strains of Arthrinium by other researchers, compounds 89 and 91, were named the same, myrocin D [37,38]. The close timing of submission and acceptance of the two articles is speculated to be the probable cause of the coincidence [37,38].
Investigation of Neosartorya paulistensis, a rare marine sponge-derived fungi, led to a meroditerpenoid, sartorypyrone C (94, Figure 12) [39]. It has no apparent antibacterial activity against four reference strains (Staphylococcus aureus, Bacillus subtilis, Escherichia coli, and Pseudomonas aeruginosa) [39].
2.3. Marine Algae-Derived Fungi
A plethora of bioactive compounds have recently been discovered in marine plants, showcasing their remarkable biological potential [40,41,42]. Fungi isolated from marine plants serve as another valuable reservoir of marine diterpenoids, with endophytic fungi from algae being the primary source. This section encompasses a comprehensive collection of 37 diterpenoids derived from endophytic algae-sourced fungi, including both red algae-sourced fungi and brown algae-sourced fungi.
2.3.1. Trichoderma sp.
The marine brown algae-derived fungus Trichoderma citrinoviride cf-27 has been found to produce a furan-bearing fusicoccane diterpenoid, trichocitrin (95, Figure 13), and a new norditerpenoid with an unprecedented skeleton, citrinovirin (96, Figure 13) [43,44]. To E. coli, compound 95 showed antibacterial activity with an inhibitory diameter of 8.0 mm at 20 µg/disc. At the same time, Prorocentrum donghaiense exhibited anti-microalgal solid capability with 54.1% growth inhibition at 80 µg/mL [43,44]. Compound 96 showed inhibitory activity towards S. aureus (MIC = 12.4 µg/mL), exhibited toxicity against the marine zooplankton Artemia salina (LC50 = 65.6 µg/mL), and displayed 14.1–37.2% inhibition of three marine phytoplankton species (C. marina, H. akashiwo, and P. donghaiense) at 100 µg/mL [43,44]. However, citrinovirin (96) is conducive to the growth of Scrippsiella trochoidea, a marine phytoplankton [43,44].
Figure 13.
Chemical structures of diterpenoids from algae-sourced fungi (95–99).
A new diterpenoid antipode, (+)-wickerol A (97, Figure 13), was discovered from Trichoderma asperellum d1-34, a fungus derived from marine brown algae [45]. The biologic investigation of compound 97 showed that it has inhibitory activity against E. coli and S. aureus, with the same inhibitory diameter of 8.0 mm at 30 µg/disc, and displayed lethal activity against A. salina with an LC50 value of 12.0 µg/mL [45].
Trichoderma harzianum X-5, a fungus derived from the marine brown algae Laminaria japonica, furnished two undescribed diterpenoids, named 3R-hydroxy-9R,10R-dihydroharzianone (98, Figure 13) and 11Rmethoxy-5,9,13-proharzitrien-3-ol (99, Figure 13) [46]. The biologic activities of two compounds were evaluated on four phytoplankton species (Chattonella marina, Heterosigma akashiwo, Karlodinium veneficum, and Prorocentrum donghaiense) [46]. Results demonstrated the inhibitory activity of compound 104 against Chattonella marina with an IC50 value of 7.0 µg/mL, and compound 105 showed a notable inhibitory effect on the growth of all four kinds of phytoplankton, with IC50 values of 1.2, 1.3, 3.2, and 4.3 µg/mL, respectively, with K2Cr2O7 as the positive control (IC50 = 0.46, 0.98, 0.89, and 1.9 µM) [46].
Three novel harziane diterpenoids were found from the algicolous fungi Trichoderma asperelloides RR-dl-6-11, identified as 3S-hydroxy-9R,10R-dihydroharzianone, 3Shydroxytrichodermaerin, and methyl 3S-hydroxy-10,11-seco-harzianate (100–102, Figure 14) [47]. There is no inhibitory activity exhibited against any of the tested marine bacteria by these compounds at 100 µg/disc [47].
Figure 14.
Chemical structures of diterpenoids from algae-sourced fungi (100–106).
Deoxytrichodermaerin (103, Figure 14), an undescribed harziane lactone with an ester linkage between C-10 and C-11, was isolated from the cultivation of an endophyte, Trichoderma longibrachiatum A-WH-20-2, which was derived from the marine red algae Laurencia okamurai [48]. To four marine phytoplankton strains (C. marina, H. akashiwo, K. veneficum, and P. donghaiense), deoxytrichodermaerin (103) and the other two isolates (harzianol A and harzianone) showed strong inhibition, with IC50 values ranging from 0.53 to 2.7 µg/mL [48]. Compound 111 exhibited toxicity against the marine zooplankton A. salina with an LC50 value of 19 µg/mL, which confirmed that the lactone unit in deoxytrichodermaerin may have some contribution to these activities [48].
The isolation of one new harziane diterpenoid, 3S-hydroxyharzianone (104, Figure 14), which may be an intermediate in the biosynthesis of harziandione from harzianone, was concluded by an investigation of a marine red algae-derived endophytic fungus, Trichoderma asperellum A-YMD-9-2 [49]. The bioactive assay showed that compound 104 has a significant inhibition against three red tide-related phytoplankton species (C. marina, H. akashiwo, K. veneficum, and P. donghaiense) with IC50 values ranging from 3.1 to 7.7 µg/mL, and its inhibitory ability is primarily due to the hydroxyl group at C-3 [49]. In addition, compound 104 displayed weak inhibition against five marine-derived pathogenic bacteria (four different strains of Vibrio and a P. citrea), at 40 µg/disc [49].
Harzianone (105, Figure 14), a new harziane dieterpene, was obtained from a seaweed-derived fungus Trichoderma longibrachiatum [50]. It showed 82.6% lethality in brine shrimp (Artemia salina L.) larvae at 100 µg/mL [50]. Moreover, the antibacterial activity of harzianone was evaluated on Escherichia coli and Staphylococcus aureus at 30 µg/disk, with inhibitory diameters of 8.3 and 7.0 mm, respectively, while chloramphenicol as the positive control exhibited inhibitory diameters of 22 mm at 20 µg/disc [50].
Two fungal strains, Trichoderma citrinoviride cf-27 and Trichoderma asperellum cf44-2, were isolated from the surface of seaweed [43,51]. Among them, the fungus Trichoderma citrinoviride cf-27 was proven to be the source of a new diterpenoid, named trichocitrin (95) [43,51]. Trichocitrin formed an 8.0 mm inhibition zone against Escherichia coli at 20 µg/disk [43,51]. In addition, the isolation of one novel compound, 11-hydroxy-9-harzien-3-one (106, Figure 14), was reported from the fermentation of the fungus Trichoderma asperellum cf44-2 [43,51].
2.3.2. Aspergillus sp.
From the brown algal-derived fungus Aspergillus wentii EN-48, three new norditerpenoids, asperolides A-C (107–109, Figure 15), were acquired [52]. No bioactivity was reported [52,53].
Figure 15.
Chemical structures of diterpenoids from algae-sourced fungi (107–117).
From the red algae-derived fungus Aspergillus oryzae, two new indole diterpenoid derivatives asporyzins A and B (110 and 111, Figure 15), one new indole diterpenoid asporyzin C (112, Figure 15), and three known related indole diterpenoids were discovered [54]. However, the three new compounds 110–112 did not exhibit any antibacterial activity against Escherichia coli or antifungal activity against plant pathogens Colletotrichum lagenarium and Fusarium oxysporum [54].
The team of Zhang et al. reported the isolation of two undescribed indole diterpenoids derived from a red algae-derived fungus Aspergillus nidulans EN-330, named 19-hydroxypenitrem A (113, Figure 15) and 19-hydroxypenitrem E 114, Figure 15) [55]. Compound 113 exhibited antibacterial activity against pathogens Edwardsiella tarda, Vibrio anguillarum, Escherichia coli, and Staphylococcus aureus, with MIC values of 16, 32, 16, and 16 µg/mL, respectively, with chloramphenicol used as the positive control (MIC = 16, 0.5, 2, and 2 µg/mL) [55].
The fermentation of the fungus Aspergillus wentii na-3, a fungus derived from the surface of Sargassum algae, was the source of three novel norditerpenoids (115–117, Figure 15) [56]. In the assay of inhibitory activity, compound 116 exhibited inhibitory activities against the marine zooplankton Artemia salina with an LC50 of 6.36 µM, and compound 115 showed activity against two marine phytoplankton species (Chattonella marina and Heterosigma akashiwo), with LC50 values of 0.81 and 2.88 µM, respectively [56].
2.3.3. Penicillium sp.
Two unusual diterpenoids, cyclopiasconidiogenones H and I (118 and 119, Figure 16), were isolated by Gao et al. from a red algae-derived fungus Penicillium chrysogenum QEN-24S [57]. No bioactivity of the two compounds was reported in the antimicrobial test [57].
Figure 16.
Chemical structures of diterpenoids from algae-sourced fungi (118–128).
2.3.4. Unidentified Fungi
There were nine new diterpenoids found from a marine red algal-derived unidentified fungus, including phomactin I (120, Figure 16), 13-epiphomactin I (121, Figure 16), phomactin J (122, Figure 16), phomactins K-M (123–125, Figure 16), and phomactins N-P (126–128) [53,58]. These compounds were tested for cytotoxicity against HUVECs, NHDF (normal human dermal fibroblasts) cells, and HeLa cells, but they did not show any activity [53,58].
2.4. Mangrove-Derived Fungi
Mangroves thrive in seawater, typically found at the confluence of terrestrial and ocean mudflats. Due to their unique growth habit, mangroves are classified into a separate category. This section summarizes 19 diterpenoids isolated from fungi originating from mangroves.
A study on the marine mangrove-derived endophytic fungus Trichoderma sp. Xy24 led to the discovery of two novel harziane diterpenoids, (9R, 10R)-dihydro-harzianone (129, Figure 17) and harzianelactone (130, Figure 17) [59]. To the HeLa and MCF-7 cell lines, compound 129 showed selective cytotoxicity with IC50 values of 30.1 and 30.7 µM, respectively, whereas compound 130 was inactive at 10 mM [59].
Figure 17.
Chemical structures of diterpenoids from mangrove-sourced fungi (129–141).
Aspergillus versicolor, a fungus derived from marine mangroves, produced two new oxoindolo diterpenoids, anthcolorin G (131, Figure 17) and anthcolorin H (132, Figure 17) [60]. Compound 132 exhibited weak activity against HeLa cells, with an IC50 value of 43.7 µM [60].
The mangrove-derived fungus Eupenicillium sp. HJ002 resulted in the isolation and identification of three new indole diterpenoids, penicilindoles A-C (133–135, Figure 17) [61]. The bioactivities of compounds 138–140 were evaluated on human A-549, HeLa, and HepG2 cell lines by the MTT method [62]. Among them, compound 133 exhibited potent activities against human A-549 and HepG2 cell lines (IC50 = 5.5, 1.5 µM), with adriamycin used as the positive control (IC50 = 0.002, 0.1 µM), and 36.8 and 76.9 µM, respectively, for 5-fluoracil [62].
The fungus Penicillium camemberti OUCMDZ-1492, which was isolated from the culture of marine mangroves, afforded six novel indole diterpenoids (136–141, Figure 17) [61]. Against the H1N1 virus, weak activities were exerted by compounds 136–138 and 140, with IC50 values of 28.3, 38.9, 32.2, and 73.3 µM, respectively [61].
Gao et al. discovered six indole diterpenoids from the fungal strain Mucorirregularis QEN-189 isolated from mangroves, named rhizovarins A–F (142–147, Figure 18) [63]. With IC50 values of 11.5, 6.3, and 9.2 µM, respectively, compounds 142, 143, and 147 exhibited moderate activities toward the A-549 cancer cell line, with adriamycin serving as the positive control (IC50 = 0.3 µM) [63]. Additionally, compounds 142 and 143 showed notable activities against the HL-60 cancer cell line with IC50 values of 9.6 and 5.0 µM, respectively, compared to adriamycin (IC50 = 0.067 µM) [63].
Figure 18.
Chemical structures of diterpenoids from mangrove-sourced fungi (142–147).
2.5. Miscellaneous
In addition to marine sediments, marine invertebrates, marine plants, and mangroves, a few other sources of fungi have also been found to contain diterpenoids, such as seawater, marine ascidians, and sea anemones. However, their sources are limited in quantity and have not been classified separately. Furthermore, some compounds obtained from marine sources have not been clearly described and are included in this section.
2.5.1. Penicillium sp.
Three undescribed cyclopiane diterpenoids exhibiting a rare rigid 6/5/5/5 fused tetracyclic ring framework were isolated from the deep-sea fungi Penicillium commune MCCC 3A00940, including conidiogenone K (149, Figure 19), conidiogenol B (150, Figure 19), and the first naturally occurring cyclopiane diterpenoid enantiomer, conidiogenone J (148) [64]. However, when tested for antiallergic effects in immunoglobulin E (IgE)-mediated rat basophilic leukemia RBL2H3 cells, none of these compounds showed biological activity [64].
Figure 19.
Chemical structures of diterpenoids from other-sourced fungi (148–157).
An unusual 19-nor labdane-type diterpenoid, named penitholabene (151, Figure 19), was obtained from the marine fungal strain Penicillium thomii YPGA3, which was derived from the deep-sea water at a depth of −4500 m in the Yap Trench (West Pacific Ocean) [65]. This compound was confirmed to be the first 19-nor labdane-type diterpenoid found in nature [65]. To the α-glucosidase, it displayed an inhibitory effect, with an IC50 value of 282 µM, which was more active than the positive control, acarbose (1330 µM) [65].
Penicillium sp. AS-79, a fungus derived from the sea anemone, produced three novel indole diterpenoids, named 22-hydroxylshearinine F (152, Figure 19), 6-hydroxylaspalinine (153, Figure 19), and 7-O-acetylemindole SB (154, Figure 19) [66]. In the evaluation of bioactivity, compound 153 exhibited activity against the aquatic pathogen Vibrio parahaemolyticus with an MIC of 64.0 µg/mL, compared to the positive control chloromycetin, with the MIC value of 0.5 µg/mL [66].
The study on the marine fungus Penicillium sp. KFD28, which was derived from the bivalve mollusk, led to the discovery of fifteen indole diterpenoids (155–169, Figure 19 and Figure 20) [67]. Among them, compound 161 was the first one featuring a rare pyridine-containing heptacyclic ring system, and compound 159 represented a unique 6/5/5/6/6/5/5 heptacyclic system [67]. To protein tyrosine phosphatase (PTP1B), Compounds 155, 156, 159, 160, 162, 163, and 168 exhibited great inhibitory activities with IC50 values of 1.7, 2.4, 14, 27, 23, 31.5, and 9.5 µM, respectively, compared to the positive control Na3VO4, with an IC50 value of 1.6 µM [67]. Additionally, compound 167 showed weak activity against HeLa cells with an IC50 value of 36.3 µM, compared to the positive control cisplatin, which was 8.6 µM [67].
Figure 20.
Chemical structures of diterpenoids from other-sourced fungi (158–169).
2.5.2. Botryotinia sp.
The team of Niu et al. obtained an undescribed rare pimarane diterpenoid, featuring a ∆9(11) double bond, named botryopimarene A (170, Figure 21), and eight new diterpenoids, botryotins A–H (171–178, Figure 21), representing three new carbon skeletons with 6/6/5/5 (171), 6/6/5/6 (172–176), and 6/6/6/5 (177 and 178) tetracyclic scaffolds, from a deep-sea fungi Botryotinia fuckeliana MCCC in the western Pacific Ocean at a depth of −5572 m [68,69]. Botryopimarene A (170) was isolated from Botryotinia fuckeliana MCCC 3A00494, while compounds 171–178 lacked strain numbers in the original text. Botryotins A–H (171–178) played inactive against six HTCLs (HL-60, BEL-7402, BIU-87, PANC-1, HeLa-S3, and ECA109), each with IC50 values less than 20 µM, while compound 153 showed moderate antiallergic activity in RBL-2H3 cells, with an IC50 value of 0.2 mM, compared to the loratadine as p.c. (IC50 = 0.1 mM) [68,69].
Figure 21.
Chemical structures of diterpenoids from other-sourced fungi (170–178).
Further work conducted on the same strain led to the discovery of another 71 unprecedented diterpenoids, A1–A71 (179–249, Figure 22, Figure 23 and Figure 24), all belonging to aphidicolin congeners [70]. Among these diterpenoids, compounds 222–236 and 237–243 are new 6/6/5/6/5 pentacyclic aphidicolanes featuring tetrahydrofuran and dihydrofuran rings, respectively, and compounds 231–236 are rare noraphidicolins [70]. Compound 179 proved helpful as a potent cytotoxic lead compound due to its notable activities against T24 and HL-60 cells (IC50 = 2.5, 6.1 µM) [70].
Figure 22.
Chemical structures of diterpenoids from other-sourced fungi (179–195).
Figure 23.
Chemical structures of diterpenoids from other-sourced fungi (196–226).
Figure 24.
Chemical structures of diterpenoids from other-sourced fungi (227–249).
2.5.3. Micromonospora sp.
A novel ∆8(9)-pimarane diterpenoid, isopimara-2-one-3-ol-8,15-diene (250, Figure 25), was found by the team of Mullowney et al. from a marine-derived Micromonospora sp. in Vietnam’s east sea [71]. Combined with murine ovarian surface epithelial (MOSE) and murine oviductal epithelial (MOE), this compound showed no apparent cytotoxicity against two ovarian cancer cell lines (OVCAR4 and Kuramochi), with doxorubicin used as a positive control (LC50 = 0.078 µM) [71].
Figure 25.
Chemical structures of diterpenoids from other-sourced fungi (250–262).
Two unreported halimane-type diterpenoids micromonohalimanes A (251, Figure 25) and B (252, Figure 25) were isolated from the fermentation of Micromonospora sp. WMMC-218 is a fungus derived from the marine ascidian Symlegma brakenhielmi [72]. Their unique secondary metabolite profiles were determined by LC-MS-based metabolomics [72]. Compound 252 inhibited the methicillin-resistant Staphylococcus aureus with an MIC value of 40 µg/mL, compared to the positive control, vancomycin, with an MIC value of 1 µg/mL [72].
2.5.4. Acremonium sp.
On a wort agar medium treated with potassium bromide, ten new diterpenoids were identified, which were the secondary metabolites of the fungus Acremonium striatisporum KMM 4401 isolated from the marine holothurian Eupentacta fraudatrix, and they were named virescenosides Z9-Z18 (253–262, Figure 25) [73]. Compounds 253, 254, 256, and 257 could observably decrease ROS production in macrophages under 10µM LPS stimulation [73]. Among them, compound 254 exhibited the most activity for inducing downregulation of ROS production by 45%. Moreover, at a concentration of 1 µM, virescenoside Z10 (254) and Z13 (257) decreased the NO production in LPS-stimulated macrophages [73].
2.5.5. Aspergillus sp.
Two indole diterpenoids were isolated from the fungus Aspergillus flavus OUCMDZ-2205 derived from the Penaeus vannamei by Sun et al., identified as (2R, 4bR, 6aS, 12bS, 12cS, 14aS)-4b-Deoxyβ-aflatrem (263, Figure 26) and (2R, 4bS), 6aS, 12bS, 12cR)-9-Isopentenylpaxilline D (264, Figure 26) [74]. The biological assay revealed the cytotoxicity of compounds 263 and 264 against the A-549 cell cycle in the S phase with IC50 values of 10 µM [74]. In addition, compound 263 contributes to attenuating vascular complications of diabetes, due to its inhibition against the kinase PKC-β with an IC50 value of 15.6 µM [74]. A new indole diterpenoid, (3R, 9S, 12R, 13S, 17S, 18S)-2-carbonyl3hydroxylemeniveol (265, Figure 26), was isolated from a marine-derived fungus Aspergillus versicolor ZZ761 [75]. Compound 265 showed activity against Escherichia coli and Candida albicans with MIC values of 20.6 and 22.8 µM, respectively [75].
Figure 26.
Chemical structures of diterpenoids from other-sourced fungi (263–272).
The isolation of six rare indole diterpenoids, noonindoles A–F (266–271, Figure 26), was revealed from the Australian marine-derived fungus Aspergillus noonimiae CMB-M0339 [76]. Their structures were determined by detailed spectroscopic and X-ray crystallographic analysis [76]. Only compound 266 showed moderate antifungal activity against the fungi Candida albicans [76].
From the culture extract of the marine-derived fungus Aspergillus aculeatinus WHUF0198, one unprecedented norditerpenoid was isolated by the team of Wu et al., namely aculeaterpene A (272, Figure 26) [77]. With the help of spectroscopic analysis, including 1D and 2D NMR and HR-ESI-MS experiments, the structure of compound 272 was expounded in detail, and its absolute configurations were displayed by comparing their experimental or calculated ECD spectra [77].
2.5.6. Epicoccum sp.
The Apostichopus japonicus-associated fungi Epicoccum sp. HS-1 produced a new isopimarane diterpenoid (273, Figure 27) [78]. It exhibited significant inhibitory effects on α-glucosidase, with an IC50 value of 4.6 µM, higher than the p.c. resveratrol, with IC50 = 31.2 µM [78].
Figure 27.
Chemical structures of diterpenoids from other-sourced fungi (273–281).
2.5.7. Talaromyces sp.
One new diterpenoid, roussoellol C (274, Figure 27), was obtained from the marine-derived fungus Talaromyces purpurogenus PP-414, which was isolated from a beach in Qinhuangdao, Hebei Province [79]. It exhibited cytotoxic activity against the MCF-7 cells with an IC50 of 6.5 µM [79].
2.5.8. Libertella sp.
Marine-derived fungi Libertella sp. produced four diterpenoids, including libertellenone A (44), and libertellenones B-D (275–277, Figure 27) [80]. They showed weak activity against Candida albicans with MIC values less than 160 µg/mL [80]. Furthermore, significant cytotoxicity against HCT-116 (human adenocarcinoma cell line) was exerted by libertellenone D (277) with an IC50 value of 0.76 µM, while the other three compounds showed weaker activities (IC50 = 15, 15, and 53 µM) [80].
2.5.9. Eutypella sp.
From the culture extract of Eutypella sp. D-1, the fungi isolated from the Arctic region, three undescribed pimarane diterpenoids, eutypellenoids A–C (278–280, Figure 27), and a known compound, eutypenoid C (281, Figure 27), were reported [81]. Among these diterpenoids, a range of biological activity was shown by compound 279 [81]. To Staphylococcus aureus and Escherichia coli, compound 279 displayed antibacterial activities with MIC values of 8 and 8 µg/mL, respectively [81]. To Candida parapsilosis, Candida albicans, Candida glabrata, and Candida tropicalis, compound 279 exhibited antifungal activities with MIC values of 8, 8, 16, and 32 µg/mL, respectively [81]. To the HCT-116 cell line, compound 279 showed moderate cytotoxic activity with an IC50 value of 3.7 µM [81].
3. Diterpenoids from Marine Invertebrates
Marine invertebrates are a special source of natural products, with great biological and pharmacological activities [82,83,84,85]. Among marine invertebrate sources, marine-derived diterpenes are mainly obtained from sponges and corals [86]. In all, we identified 162 diterpenes isolated from marine invertebrates, including 46 from sponges (28.40%), 106 from coral (65.43%), and 10 from sea hare (6.17%). Various biological activities exerted by the activities of these compounds are summarized below.
3.1. Sponge
Spongenolactones A-C (282–284, Figure 28), three novel 5,5,6,6,5-pentacyclic spongian diterpenes, were isolated from a Red Sea sponge Spongia sp. [87]. The biological activities of these compounds were evaluated, and all exhibited inhibitory effects against superoxide anion generation in fMLF/CB-stimulated human neutrophils [87]. Additionally, compared to spongenolactone B (283), spongenolactone A (282) was more active against the growth of Staphylococcus aureus [87].
Figure 28.
Chemical structures of diterpenoids from sponges (282–296).
The South China Sea sponge Spongia officinalis produced five new diterpenes (285–289, Figure 28), including sponalactone (285), which was a 5,5,6,6,5-pentacyclic diterpene, and two unprecedented spongian diterpenes, 17-O-acetylepispongiatriol (286) and 17-O-acetylspongiatriol (287), together with two novel spongian diterpene artifacts, namely 15α,16α-dimethoxy-15,16-dihydroepispongiatriol (288) and 15α-ethoxyepispongiatriol-16(15H)-one (289) [88]. To LPS-induced NO production in RAW264.7 macrophages, compounds 285–289 showed moderate inhibitory activities, with IC50 values of 12–32 µM [88].
Many experiments have been carried out on the Indonesian marine sponge Spongia ceylonensis. El-Desoky et al. isolated seven new spongian diterpenes, ceylonamides A-F (290–295, Figure 28) and 15α,16-dimethoxyspongi-13-en-19-oic acid (296, Figure 28) from the Spongia ceylonensis [89,90]. Their investigation on RANKL-induced osteoclastogenesis in RAW264 macrophages showed the significant inhibition of compound 290 with an IC50 value of 13 µM, and 18 µM of compound 291 [89,90].
The isolation of a rare A-ring contracted secospongian diterpene 17-dehydroxysponalactone (297, Figure 29) was revealed from a Red Sea sponge Spongia sp. [91]. Compound 297 exhibited noncytotoxicity but showed strong inhibitory activity against the superoxide anion generation and elastase release in the fMLF/CB-induced neutrophils, so it was supposed to be a promising candidate for further development of anti-inflammatory agents [91]. A study on the marine sponge Raspailia bouryesnaultae derived from South Brazil led to the discovery of one novel diterpene, raspadiene (298, Figure 29), and four diterpenes (299–302, Figure 29), which were elucidated as isomers of clerodane diterpenes previously obtained from plants, named kerlinic acid (299), kerlinic acid methyl ester (300), annonene (301), and 6-hydroxyannonene (302) [92]. In the evaluation of antiproliferative activities on human cancer cell line A549, the diterpenes with a hydroxyl group at C-6 showed moderate cytotoxic activity, with IC50 values lower than 25 µM [92]. Besides, compound 298 exhibited inhibitory activities against HSV-1 (KOS and 29R strains) replication by 83% and 74%, respectively, which proved that it may be a promising compound against herpes simplex virus type 1 (HSV-1, KOS, and 29R strains) [92].
Figure 29.
Chemical structures of diterpenoids from sponges (297–302).
The chemical investigation of marine sponge Agelas nakamurai Hoshino resulted in three novel N-methyladenine-containing diterpenes (303–305, Figure 30), namely 2oxoagelasines A (303) and F (304) and 10-hydro-9-hydroxyagelasine F (305) [93]. At 20 µg/disc, compound 304 exhibited inhibition against the growth of Mycobacterium smegmatis with inhibition zones of 10 mm [93]. In addition, compounds 303 and 304 showed significant activities against M. smegmatis [93].
Figure 30.
Chemical structures of diterpenoids from sponges (303–310).
A diterpene alkaloid, (-)-Agelamide D (306, Figure 30), was isolated from the marine sponge Agelas sp. [94]. It exerted active tumor growth inhibition by radiation without systemic toxicities and enhanced radiation-induced ATF4 expression and apoptotic cell death; these results proved that it could be a natural radiosensitizer in hepatocellular carcinoma models [94].
Four undescribed diterpenes (307–310, Figure 30) were obtained from the marine sponge Dysidea cf. Arenaria, collected from Irabu Island [95]. To NBT-T2 cells, four compounds all exhibited cytotoxicity with IC50 values of 3.1, 1.9, 8.4, and 3.1 µM, respectively [95].
The Okinawan marine sponge Strongylophora strongilata produced one novel meroditerpene, namely 26-O-ethylstrongylophorine-14 (311, Figure 31), together with six known strongylophorines (312–317, Figure 30): 26-O-methylstrongylophorine-16 (312) and strongylophorines-2 (313), -3 (314), -8 (315), -15 (316), and -17 (317) [96]. The inhibitory effect against protein tyrosine phosphatase 1B (PTP1B) was evaluated, and compounds 311–317 showed inhibition with IC50 values of 8.7, 8.5, >24.4, 9.0, 21.2, 11.9, and 14.8 lM, respectively, with oleanolic acid as the positive control (IC50 = 0.7 lM) [96]. It is worth mentioning that this is the first study to confirm the inhibition activities of meroditerpenes towards PTP1B [96].
Figure 31.
Chemical structures of diterpenoids from sponges (311–318).
The isolation of a highly oxygenated diterpene, named Gagunin D (GD) (318, Figure 31), was revealed from the marine sponge Phorbas sp. [97]. It has been proven that GD exhibits cytotoxicity against human leukemia cells [97]. The biological assay showed the significant activities of GD; it not only could suppress the expression of tyrosinase and increase the rate of tyrosinase degradation but also inhibited tyrosinase enzymatic activity [97]. With GD’s numerous effects on tyrosinase, which is the key to skin pigmentation controls, it is supposed to be a potential candidate for cosmetic formulations due to its multi-functional properties [97].
The investigation of the marine sponge Hippospongia lachne, collected from the South China Sea, led to the isolation of two new anti-allergic diterpenoids, hipposponlachnins A (319, Figure 32) and B (320, Figure 32) [98]. Compounds 319 and 320 inhibited the release of biomarker β-hexosaminidase and the production of pro-inflammatory cytokine IL-4 and lipid mediator LTB4 in DNP-IgE stimulated RBL-2H3 cells [98].
Figure 32.
Chemical structures of diterpenoids from sponges (319–327).
Tedanol (321, Figure 32), which was a brominated and sulfated ent-pimarane diterpene, was obtained from the Caribbean sponge Tedania ignis [99]. It showed great anti-inflammatory activity at 1 mg/kg in a mouse model of inflammation in vivo [99]. In addition, in acute (4 h) and subchronic (48 h) phases, tedanol (321) could potently significantly reduce carrageenan-induced inflammation, which demonstrates that it has the potential to be a model of new anti-inflammatory molecules with low gastrointestinal toxicity [99].
Further study by the same team led to the isolation of three new spongian diterpenes, named ceylonins G–I (322–324, Figure 32), but they did not exhibit inhibition against USP7 [100].
The sponge Agelas citrina, which was derived from the coasts of the Yucatán Peninsula (Mexico), produced three undescribed diterpene alkaloids (325–327, Figure 32), namely (+)-8-epiagelasine T (325), (+)-10-epiagelasine B (326), and (+)-12-hydroxyagelasidine C (327) [101]. Among them, compound 326 exhibited the most activity against the Gram-positive pathogens (Staphylococcus aureus, Streptococcus pneumoniae, Enterococcus faecalis) with an MIC in the range of 1–8 µg/mL, while other compounds showed lower activities [101].
3.2. Coral
3.2.1. Sarcophyton sp.
Mililatensols A–C (328–330, Figure 33), three novel diterpenes bearing unusual sarsolenane and capnosane skeletons, were isolated from the soft coral Sarcophyton mililatensis collected from the South China Sea [102]. By molecular docking, these compounds were proven to be potential inhibitors towards SARS-CoV-2 Mpro due to their great activities in the preliminary virtual screening of inhibitory potential against SARS-CoV-2 [102].
Figure 33.
Chemical structures of diterpenoids from coral (328–340).
The isolation of five novel capnosane diterpenes, named sarboettgerins A–E (331–335, Figure 33), was revealed from the South China Sea soft coral Sarcophyton boettgeri [103]. Compound 335 exhibited significant anti-neuroinflammatory activity against LPS-induced NO release in BV-2 microglial cells in the biological assay, so it is a promising new type of neuroprotective agent in the future [103].
The first investigation of the red sea soft coral Sarcophyton convolutum afforded five highly oxygenated cembrenoids, sarcoconvolutum A–E (336–340, Figure 33) [104]. Their cytotoxicity was evaluated on lung adenocarcinoma, cervical cancer, and oral-cavity carcinoma (A549, HeLa, and HSC-2, respectively) [104]. Among them, compound 339 exhibited the most activity, showing cytotoxic activity against cell lines A549 and HSC-2 with IC50 values of 49.70 and 53.17 µM, respectively [104].
Two novel pyranosyl cembranoid diterpenes, 9-hydroxy-7,8dehydro-sarcotrocheliol (341, Figure 34) and 8,9-expoy-sarcotrocheliol acetate (342, Figure 34), were obtained from the soft coral Sarcophyton trocheliophorum [105].
Figure 34.
Chemical structures of diterpenoids from coral (341–346).
Waixenicin A (343, Figure 34), a new xenicane diterpenoid, was isolated from the Hawaiian soft coral Sarcothelia edmondsoni [106]. The bioactive test proved that waixenicin A reduced hypoxic-ischemic brain injury and preserved long-term behavioral outcomes in mouse neonates [106]. As the most potent and specific inhibitor available for TRPM7, which is an emerging drug target for CNS diseases and disorders, waixenicin A is thought to be a viable and potential drug lead for these disorders [106].
3.2.2. Nephthea sp.
Hsiao et al. isolated two unprecedented 15-hydroxycembranoid diterpenes (344–346, Figure 34), namely 2β-hydroxy-7β,8α-epoxynephthenol (344) and 2β-hydroxy-11α,12β-epoxynephthenol (3345), and a novel natural cembrane-type epoxynephthenol (346) from extracts of the octocoral Nephthea columnaris [107].
3.2.3. Sinularia sp.
Numerosols A–D (347–350, Figure 35), four novel cembrane-based diterpenes, were isolated from the Taiwanese soft coral Sinularia numerosa [108]. No significant activity was shown in the bioassay [108].
Figure 35.
Chemical structures of diterpenoids from coral (347–357).
Xisha soft coral Sinularia polydactyla afforded three uncommon novel diterpenes with unprecedented carbon skeletons (351–355, Figure 35), together with a new prenyleudesmane type diterpene, sinupol (354, Figure 35), and a new capnosane type diterpenoid, sinulacetate (355, Figure 35) [109]. Through extensive spectroscopic analysis, the comparison of their NMR data with those of related compounds, and time-dependent density functional theory electronic circular dichroism (TDDFT ECD) calculations, the structure of compounds 354 and 355 was demonstrated [109]. They showed notable activity against protein tyrosine phosphatase 1B (PTP1B), and since PTP1B is a promising drug target for type II diabetes and obesity, compounds 354 and 355 may contribute to the treatment of type II diabetes and obesity [109].
Two new compounds, (4R*, 5R*, 9S*, 10R*, 11Z)4-methoxy-9-((dimethylamino)-methyl)-12,15-epoxy-11(13)-en-decahydronaphthalen-16-ol (356, Figure 35) and the lobane (1R*, 2R*, 4S*, 15E)-loba-8,10,13(14),15(16)-tetraen-17,18-diol-17-acetate (357, Figure 35), were produced by the Australian soft coral Sinularia sp. [110]. The two compounds inhibited the growth of three human tumor cell lines (SF-268, MCF-7, and H460), and compound 356 showed a lower activity with a GI50 value of 70–175 µM [110].
3.2.4. Lobophytum sp.
Four undescribed cembrane-type diterpenes, namely lobocrasols A–D (358–361, Figure 36), were obtained from the methanol extract of the soft coral Lobophytum crassum [111]. Compounds 358 and 359 showed potent inhibition against TNFa-induced NF-jB transcriptional activity in HepG2 cells in a dose-dependent manner (IC50 = 6.30 ± 0.42, 6.63 ± 0.11 lM) [111]. Additionally, these compounds could decrease the gene expression levels in HepG2 cells in cyclooxygenase-2 (COX-2) and inducible nitric oxide synthase (iNOS) to inhibit transcription [111].
Figure 36.
Chemical structures of diterpenoids from coral (358–365).
Further study on the soft coral Lobophytum crassum yielded ten new cembranoid diterpenes (362–371, Figure 36 and Figure 37), locrassumins A–G (362–368), (−)-laevigatol B (369), (−)-isosarcophine (370), and (−)-7R, 8S-dihydroxydeepoxysarcophytoxide (371) [112]. The bioactive test demonstrated the moderate inhibition of compounds 362 and 368, against lipopolysaccharide (LPS)-induced nitric oxide (NO) production with IC50 values of 8–24 µM [112].
Figure 37.
Chemical structures of diterpenoids from coral (366–375).
Four novel cembranoid diterpenes, namely crassumols D–G (372–375, Figure 37), were obtained from the methanol extract of the Vietnamese soft coral Lobophytum crassum [113]. Their structures were revealed by spectroscopic methods [113].
3.2.5. Junceella sp.
The South China Sea Gorgonian Coral, Junceella gemmacea, produced four new briarane diterpenoids, named junceellolides M–P (376–379, Figure 38) [114]. In an in vitro biological investigation on A549, MG63, and SMMC-7721 cell lines, however, none of these compounds exhibited growth inhibitory activity [114].
Figure 38.
Chemical structures of diterpenoids from coral (376–384).
3.2.6. Briareum sp.
The study of the methanolic extract of Briareum asbestinum, an octocoral collected in Bocas del Toro, on the Caribbean side of Panama, resulted in the discovery of three new eunicellin-type diterpenes (380–382, Figure 38), named briarellin T (380), asbestinin 27 (381), and asbestinin 28 (382), together with a known compound, asbestinin 17 (383, Figure 38) [115]. Compounds 380–383 were obtained by reversed-phase solid-phase extraction (SPE) and HPLC purification. Their potential for anti-inflammatory activity was well proven through the downregulation of the pro-inflammatory cytokines TNF-α, IL-6, IL-1β, and IL-8 as well as the reduction of COX-2 expression in LPS-induced THP-1 macrophages [115].
Excavatolide B (384, Figure 38), a marine-derived diterpenoid with great pharmacological activity, was isolated from Formosan gorgonian Briareum excavatum [116]. In the evaluation of the mRNA expression of the proinflammatory mediators, inducible nitric oxide synthase (iNOS) and cyclooxygenase-2 (COX-2), in lipopolysaccharide (LPS)-challenged murine macrophages (RAW 264.7), excavatolide B exhibited significant inhibition [116]. It could potentially deaden carrageenan-induced nociceptive behaviors, mechanical allodynia, thermal hyperalgesia, weight-bearing deficits, and paw edema [116]. In addition, excavatolide B (384) also showed inhibitory activity against iNOS and the infiltration of immune cells in carrageenan-induced inflammatory paw tissue [116].
3.2.7. Anthelia sp.
Two new marine-derived diterpenes, including a trinor-dolabellane diterpenoid, sangiangol A (385, Figure 39), and one dolabellane diterpenoid, sangiangol B (386, Figure 39), were identified from an Indonesian marine soft coral, Anthelia sp. [117]. Their structures were determined by spectral and molecular modelling studies [117]. In addition, the bioassay showed the moderate cytotoxicity of two compounds against an NBT-T2 cell line (0.5–10 µg/mL) [117].
Figure 39.
Chemical structures of diterpenoids from coral (385–398).
3.2.8. Cespitularia sp.
Twelve new verticillane-type diterpenes and norditerpenes were isolated from the soft coral Cespitularia sp. [118]. Among them, there are eight novel verticillane-type diterpenes, cespitulins H–O (387–394, Figure 39), one new cyclic verticillane-type diterpenoidal, amide cespitulactam L (395, Figure 39), and three new verticillane-type norditerpenes, cespitulins P–R (396–398, Figure 39) [118]. Their structure elucidation was achieved by extensive spectroscopic analyses, including 2D NMR experiments [118]. The investigation demonstrated the similarity between the structural framework of verticillane-type derivatives and the tricyclic taxane skeleton, and the soft coral genus Cespitularia was the only source of the structural framework of verticillane-type derivatives [118]. Compounds 387–389 showed great anti-inflammatory activities, especially 387 and 388; not only could they potently inhibit the production of TNF-α and NO, but they also displayed potent suppression of the expression of iNOS and the COX-2 gene [118].
3.2.9. Klyxum sp.
The soft coral Klyxum simplex produced four novel eunicellin-based diterpenes, simplexins P–S (399–402, Figure 40), and the known simplexin A (403, Figure 40) [119]. The structures of four new compounds were clarified by extensive spectroscopic analysis, including 1D and 2D NMR experiments [119]. Compounds 399 and 401–403 showed cytotoxicity against a limited panel of cancer cell lines, especially 401 [119].
Figure 40.
Chemical structures of diterpenoids from coral (399–403).
3.2.10. Vietnamese Soft Corals
Thirty-four cembrane-type diterpenes (404–433, Figure 41, Figure 42 and Figure 43) were isolated from Vietnamese soft corals. Only 12 of them had anti-protozoal activities, including 7S, 8S-epoxy-1,3,11-cembratriene-16-oic methyl ester (404), (1R, 4R, 2E, 7E, 11E)-cembra-2,7,11-trien-4-ol (405), lobocrasols A-C (409–411), laevigatol A (413), crassumols D-G (378–381), (1S, 2E, 4S, 6E, 8S, 11S)-2,6,12(20)-cembrantriene-4,8,11-triol (415), sinumaximol A (416), sinumaximol C (417), and 13-Epi-scabrolide C (420) [120]. Among them, compounds 404, 405, 409, 411, 415, 417, and 420 exhibited activities against bloodstream forms of T. brucei [120]. Meanwhile, lobocrasol A (409) and lobocrasol C (411) showed potent and selective activity against L. donovani [120]. It is worth mentioning that laevigatol A (413) was the only compound that showed moderate antiplasmodial activity with an IC50 of no more than 5.0 µM [120]. However, none of these compounds showed obvious cytotoxicity [120].
Figure 41.
Chemical structures of diterpenoids from coral (404–414).
Figure 42.
Chemical structures of diterpenoids from coral (415–424).
Figure 43.
Chemical structures of diterpenoids from coral (425–433).
3.3. Sea Hare
From the sea hare Aplysia. Dactylomela, five brominated diterpenes (434–438, Figure 44) were discovered, including parguerol (434), parguerol 16-acetate (435), deoxyparguerol (436), isoparguerol (437), and isoparguerol 16-acetate (438) [121]. Compounds 434–438 showed potent inhibition against P388 murine leukemia cells (IC50 = 8.3, 8.6, 0.86, 10.1, 1.0 µM) [121].
Figure 44.
Chemical structures of diterpenoids from sea hare (434–443).
The chemical investigation of the sea hare Aplysia pulmonica from the South China Sea contributed to the isolation of five brominated ent-pimarane diterpenoids, namely compounds 439 and 440–443 [122]. To Artemia salina, compounds 442 and 443 showed low toxicity at a concentration of 0.5 µM [122]. In addition, with ciprooxacin used as the positive control, these compounds were evaluated for antibacterial activity towards E. coli, S. aureus, S. albus, B. cereus, V. parahemolyticus, V. anguillarum, and P. putida, but no significant results were reported [122].
4. Diterpenoids from Marine Plants
Plants produce numerous natural products and are another important source of diterpenes [123]. Plant diterpenes are important metabolites with various industrial and biological values [124,125,126]. Marine algae and mangroves are important components of marine ecosystems and two major sources of marine diterpenes [127]. In this part, a total of 56 diterpenoids of marine plant origin are summarized; all were derived from algae.
4.1. Algae
Two ent-pimarane diternpenes, 15-bromo-2,7,16,19-tetraacetoxy-9(11)-parguerene (444, Figure 45) and 15-bromo-2,7,16-tetraacetoxy-9(11)-parguerene (445, Figure 45), were found from Laurencia obtusa (Hudson) Lamouroux, the marine red algae from the Teuri island of Hokkaido [128]. This is the first time that an ent-pimarne diterpenoid was isolated from a marine organism [128]. Compound 444 exhibited cytotoxicity, but 445 did not [128]. Moreover, eight brominated diterpenoids, compounds 446–453 (Figure 45), were isolated from the same plant [128]. In the biological test of cytotoxic activity, compounds 446, 450, 451, and 453 showed cytotoxic activity against HeLa, with IC50 values of 5.7, 0.68, 10.8, and 11.6 µM, respectively, and against P388 cell lines, with IC50 values of 6.5, 2.5, 14.6, and 18.3 µM, respectively, while no significant activity was exhibited by the other compounds [128].
Figure 45.
Chemical structures of diterpenoids from algae (444–453).
Three new dolabellane diterpenes, dolabelladienols A–C (454–456, Figure 46), together with three known dolabellane diterpenes (457–459, Figure 46) were isolated from the marine brown algae Dictyota pfaffii, collected from Atol das Rocas, in Northeast Brazil [129]. The structures of three new compounds were identified as (1R*, 2E, 4R*, 7S, 10S*, 11S*, 12R*)10,18-diacetoxy-7-hydroxy-2,8(17)-dolabelladiene (454), (1R*, 2E, 4R*, 7R*, 10S*, 11S*, 12R*)10, 18-diacetoxy-7-hydroxy-2, 8(17)-dolabelladiene (455), and (1R*, 2E, 4R*, 8E, 10S*, 11S, 12R*)10, 18-diacetoxy-7-hydroxy-2, 8-dolabelladiene (456) [129]. Compounds 454 and 455 exhibited more active anti-HIV-1 activities than compound 457, with IC50 values of 2.9 and 4.1 µM, while their cytotoxic activity against MT-2 lymphocyte tumor cells was lower [129]. The results demonstrate that these compounds could be promising anti-HIV-1 agents [129].
Figure 46.
Chemical structures of diterpenoids from algae (454–462).
The study on the Jamaican macroalga Canistrocarpus cervicornis resulted in the discovery of two new dolastane diterpenes, 4R-acetoxy-8S,9S-epoxy-14S-hydroxy-7-oxodolastane (460, Figure 46) and 4R-hydroxy-8S,9S-epoxy-14S-hydroxy-7-oxodolastane (461, Figure 46), together with the known dolastane (4R, 9S, 14S)-4,9,14-trihydroxydolast-1(15), 7-diene (462, Figure 45) [130]. Compounds 460–462 exhibited moderate and concentration-dependent cytotoxic activity against human tumor cell lines PC3 and HT29 [130].
One unprecedented brominated diterpene of the dactylomelane family was isolated from the red algae Sphaerococcus coronopifolius, namely sphaerodactylomelol (463, Figure 47) [131]. Tests were carried out on the activity of compound 463, and it exhibited antimicrobial activity against S. aureus with an IC50 value of 96.3 µM [131]. To HepG-2 cells, compound 463 showed cytotoxicity with an IC50 value of 720 µM and induced inhibition of cell proliferation with an IC50 value of 280 µM [131].
Figure 47.
Chemical structures of diterpenoids from algae (463–471).
From the extracts of the red algae Sphaerococcus coronopifolius, which was collected from the coastline of the Ionian Sea in Greece, eight novel diterpenes (464–471, Figure 47) bearing five different carbocycles were discovered [132]. In vitro growth inhibitory activity of compounds 464–471 was evaluated on one murine cancer cell line (B16F10) and five human cancer cell lines (A549, Hs683, MCF7, U373); compounds 468 and 471 showed antitumor activity with IC50 values 15 and 16 µM, respectively, and doxorubicin was used as a positive control [132].
Four new acyclic diterpenes (472–475, Figure 48) were isolated from the brown algae Bifurcaria bifurcate, and their structures were revealed by means of 1D and 2D NMR, HRMS, and FT-IR spectroscopy [133]. At 100 µg/mL test concentration, compound 473 showed inhibition against the growth of cancer cells (78.8%), while compounds 472, 473, and 475 did not exhibit that activity [133].
Figure 48.
Chemical structures of diterpenoids from algae (472–484).
Further investigation on the brown seaweed Bifurcaria bifurcate led to the isolation of six new acyclic diterpenes (476–481, Figure 48), eleganolone (482), and eleganonal (483), as well as bifurcatriol (484) [134,135,136]. The bioassay revealed that compounds 476–481 exhibited moderate inhibition against the growth of the MDA-MB-231 cell line, with IC50 values ranging from 11.6 to 32.0 µg/mL [134]. Eleganolone (482) and eleganonal (483) exerted antioxidant potential by FRAP and ORAC assays, which demonstrated that they may be potential candidates for further neuroprotection assays of PD [135]. For the malaria parasite P. falciparum, bifurcatriol (484) showed the highest activity (IC50 = 0.65 µg/mL) with low cytotoxicity (IC50 = 56.6 µg/mL) [136].
The brown algae of the genus Dictyota produced five new diterpenes (485–489, Figure 49), including pachydictyols B (485a/485b) and C (486) isolated from Dictyota dichotoma and pachydictyol A (487), isopachydictyol A (488), and dichotomanol (489), which were obtained from Dictyota menstrualis [137,138]. Weak antimicrobial properties were exhibited by pachydictyol B (485a) [138]. The extract of crude algal exerted notable activities against the breast carcinoma tumor cell line MCF7 with an IC50 value of 0.6 µg/mL−1, whereas those compounds isolated from it only showed very weak activity [138]. Compounds 487–489 were useful in the studies of more active antithrombotic prototypes [137].
Figure 49.
Chemical structures of diterpenoids from algae (485–494).
Further study on the Dictyota brown algae led to the isolation of another five novel diterpenes, including four new hydroazulenes (490–494, Figure 49), (8R, 11R)-8,11-diacetoxypachydictyol A (490), (8R*, 11R*)-6-O-acetyl-8-acetoxy-11-hydroxypachydictyol A (491), (8R*, 11S*)-8-acetoxy-11-hydroxypachydictyol A (492), and (8R*, 11S*)-6-O-acetyl-8,11-dihydroxypachydictyol A (493), and a secohydroazulene derivative, named 7Z-7,8-seco-7,11-didehydro-8- acetoxypachydictyol A (494) [139]. Extensive spectral analysis and comparison with reported data elucidated the structure of the compounds [139]. Additionally, potent antioxidant activities against H2O2-induced oxidative damage in neuron-like PC12 cells at a low concentration of 2 µM were significantly exhibited by all compounds [139].
Three diterpenes (495–497, Figure 50), neorogioltriol (495), neorogioldiol (496), and O11,15-cyclo-14-bromo-14,15-dihydrorogiol-3,11-diol (497), were isolated from the red algae Laurencia [140]. All three compounds could suppress macrophage activation and promote an M2-like anti-inflammatory phenotype. Thus, they have proven to be useful in the development of anti-inflammatory agents targeting macrophage polarization mechanisms [140].
Figure 50.
Chemical structures of diterpenoids from algae (495–499).
Enhoidin A (498, Figure 50) and Enhoidin B (499, Figure 50), two undescribed diterpenes bearing a rare gibberellane skeleton, were obtained from the stems and leaves of tropical seagrass Enhalus acoroides in the South China Sea [141]. The structures of the two compounds were established by spectroscopic analysis, including 1D and 2D NMR techniques and HR-ESI-MS [141]. To four human cancer cell lines (MCF-7, HCT-116, HepG-2, and HeLa), all compounds exhibited moderate cytotoxic activities [141].
4.2. Mangrove
Mangroves are also important sources of a class of marine diterpenoid compounds. However, few relevant studies have been conducted. Sixteen mangrove-derived diterpenoids are listed in this section.
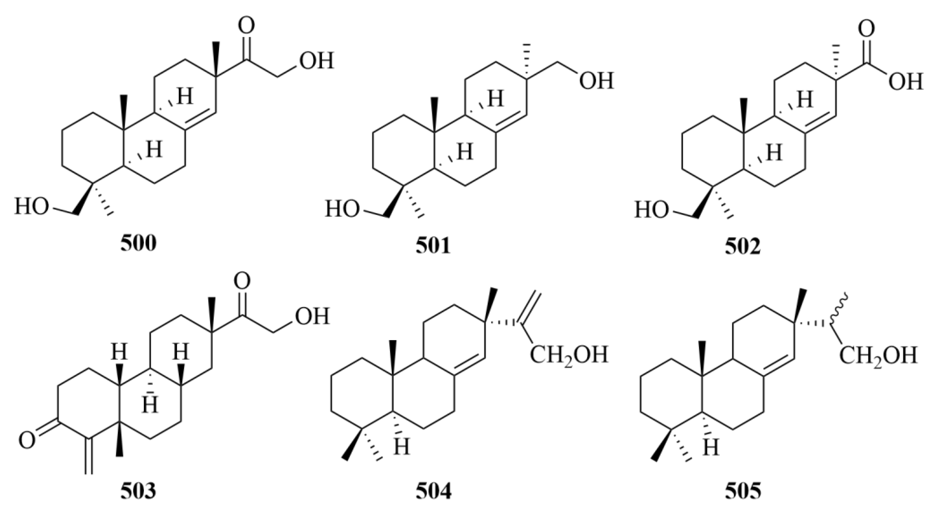
The isolation of four undescribed diterpenes, tagalons A–D (500–503, Figure 51), was revealed from the Chinese mangrove, Ceriops tagal [142]. To the human breast cancer cell line MT-1, compounds 502 and 503 showed selective cytotoxicities with IC50 values of 3.75 and 8.07 µM, respectively [142].
Figure 51.
Chemical structures of diterpenoids from mangroves (500–505).
The structures of two isopimarane diterpenes were revealed from the chloroform extract of the roots of Ceriops tagal from Maruhubi Mangrove Reserve in Zanzibar, Tanzania, and named isopimar-8(14)-en-16-hydroxy-15-one (504, Figure 51) and isopimar-8(14)-en-15,16-diol (505, Figure 51) [143]. Their antibacterial activities were evaluated on five Gram-positive and five Gram-negative bacterial strains [143]. The result showed that compound 504 has low antibacterial activity against Bacillus cereus, Staphylococcus aureus, and Micrococcus kristinae (each with MIC values of 100 µg/mL) and lower activity towards Streptococcus pyrogens and Salmonella pooni (MIC = 500, 250 µg/mL), with chloramphenicol serving as the positive control (each with MIC values of 1.0 µg/mL) [143]. However, compound 505 did not show antibacterial activity in the test [143].
The methanol extracts of the stems of marine mangrove Bruguiera gymnorrhiza from Xiamen, China, were the source of two isopimarane diterpenes, compounds 506 and 507 (Figure 52) [144]. With an IC50 value of 22.9 µM, compound 506 displayed moderate cytotoxicity against K562 chronic myeloid leukemia cells. However, no activity was exhibited by compound 507 [144].
Figure 52.
Chemical structures of diterpenoids from mangroves (506–515).
The further study gained four ent-pimarane diterpenoids (508–511, Figure 52) from the same mangrove plant [144]. The cytotoxic activity against K562, HeLa, and L-929 (mouse fibroblasts) cell lines of compound 508–511 were tested, and only compound 510 showed weaker cytotoxicity on L-929 (IC50 = 30.6 µM) [144].
Three ent-isopimarane diterpenes (512–514, Figure 52), agallochaols A (512) and B (513) and compound 514, together with agallochaone A (515, Figure 52), were obtained from the Chinese mangrove Excoecaria agallocha L. [145,146,147]. Among them, compounds 512–513 were isolated from the MeOH extract of the stems and leaves of the mangrove, and they had no activity against A-549 human lung cancer cells, whereas the MeOH extract of Excoecaria agallocha L. exhibited weak antitumor activity [145,146,147].
5. Bioactivities of Diterpenoids from Marine-Derived Fungi
Natural diterpenoids have attracted considerable interest because of their powerful pharmacological activities, including cytotoxic, anti-inflammatory, anticancer, analgesic, antitumor, and antidiabetic activities [148,149,150,151,152,153], which are of great significance for drug research for conditions such as tuberculosis (TB) [154,155], leukemia [156], and breast cancer [157]. Through our classification of 515 compounds from the year 2000 to the year 2024, there are 244 compounds that demonstrated bioactivities, and the surprising potential of the anti-tumor and cytotoxic activity of marine-derived diterpenoids is demonstrated, for 112 compounds showed significant anti-tumor activity (45.90%), and another 110 compounds exhibited potent cytotoxicity (45.08%). In addition, other various bioactivities are also displayed by some diterpenes, such as anti-oxidant activity (2.87%), anti-inflammatory activity (1.64%), anti-bacterial activity (1.64%), and anti-thrombotic activity (1.23%) (Figure 53). The bioactivities of these marine fungi-derived diterpenoids are elaborated in this work (Table 1, Table 2 and Table 3). In addition, the structure-activity relations of active compounds are included as well.
Figure 53.
Bioactivities of marine-derived diterpenoids.
Table 2.
Marine invertebrate-derived compounds with various bioactivities.
Table 3.
Marine plant-derived compounds with various bioactivities.
Table 1.
Marine fungi-derived compounds with various bioactivities.
Table 1.
Marine fungi-derived compounds with various bioactivities.
| Source | NO. | Compound | Producing Organism | Extract/Fraction | Activity | References |
|---|---|---|---|---|---|---|
| Sediment | 1 | Harzianol J | Trichoderma sp. SCSIOW21 | BuOH extract | An anti-inflammatory effect with 81.8% and NO inhibition at 100 µM | [21] |
| Sediment | 2 | Harzianol A | Trichoderma sp. SCSIOW21 | BuOH extract | An anti-inflammatory effect with 46.8% and NO inhibition at 100 µM | [21] |
| Sediment | 7 | Harzianol O | Trichoderma sp. SCSIOW21 | BuOH extract | An anti-inflammatory effect with 50.5% and NO inhibition at 100 µM | [21] |
| Sediment | 8 | 13β-hydroxy conidiogenone C | Penicillium sp. TJ403-2 | EtOAc extract | A significant anti-inflammatory activity against LPS-induced NO production in RAW 264.7 cells, with an IC50 value of 2.19 µM | [14] |
| Sediment | 11 | Spirograterpene A | Penicillium granulatum MCCC 3A00475 | EtOAc extract | Anti-allergic effects on immunoglobulin E (IgE)-mediated rat mast RBL-2H3 cells with the inhibition rate of 18% at 20 µg/mL | [15] |
| Sediment | 12 | Conidiogenol C | Penicillium sp. YPGA11 | EtOAc extract | Weak inhibitory effects with inhibition rates below 36% at an initial concentration of 50 µM against five esophageal HTCLs (EC109, KYSE70, EC9706, KYSE30, and KYSE450) | [16] |
| Sediment | 13 | Conidiogenol D | Penicillium sp. YPGA11 | EtOAc extract | Weak inhibitory effects against five esophageal HTCLs (EC109, KYSE70, EC9706, KYSE30, and KYSE450) with an IC50 value ranging from 36.80 to 54.7 µM | [16] |
| Sediment | 14 | Conidiogenone L | Penicillium sp. YPGA11 | EtOAc extract | Weak inhibitory effects with inhibition rates below 36% at an initial concentration of 50 µM against five esophageal HTCLs (EC109, KYSE70, EC9706, KYSE30, and KYSE450) | [16] |
| Sediment | 15 | Xylarinonericin E | Penicillium sp. H1 | EtOAc extract | A moderate antifungal activity against Fusarium oxysporum f. sp. cubense, with an MIC value of 32.0 µM | [17] |
| Sediment | 16 | Conidiogenone B | Penicillium sp. F23-2 | EtOAc extract | Weak cytotoxicities against the A-549 cell line and HL-60 cell line with IC50 values of 40.3 and 28.2 µM, respectively | [19] |
| Sediment | 17 | Conidiogenone C | Penicillium sp. F23-2 | EtOAc extract | Exceptional potency against the HL-60 and BEL-7402 cell lines, with IC50 values of 0.038 and 0.97 µM | [19] |
| Sediment | 18 | Conidiogenone D | Penicillium sp. F23-2 | EtOAc extract | Cytotoxicities against the A-549, HL-60, BEL-7402, and MOLT-4 cell lines with IC50 values of 9.3, 5.3, 11.7, and 21.1 µM, respectively | [19] |
| Sediment | 19 | Conidiogenone E | Penicillium sp. F23-2 | EtOAc extract | Significant cytotoxicities against the A-549 cell line and HL-60 cell line with IC50 values of 15.1 and 8.5 µM, respectively | [19] |
| Sediment | 20 | Conidiogenone F | Penicillium sp. F23-2 | EtOAc extract | Cytotoxicities against the A-549, HL-60, BEL-7402, and MOLT-4 cell lines with IC50 values of 42.2, 17.8, 17.1, and 25.8 µM, respectively | [19] |
| Sediment | 21 | Conidiogenone G | Penicillium sp. F23-2 | EtOAc extract | Cytotoxicities against the A-549, HL-60, BEL-7402, and MOLT-4 cell lines with IC50 values of 8.3, 1.1, 43.8, and 4.7 µM, respectively | [19] |
| Sediment | 22 | Penicindopene A | Penicillium sp. YPCMAC1 | EtOAc extract | Moderate cytotoxicities against the A-549 and HeLa cell lines with IC50 values of 15.2 and 20.5 µM, respectively | [19] |
| Sediment | 23 | Trichosordarin A | Trichoderma harzianum R5 | CH2Cl2 and MeOH (1:1, v/v) extract | Toxicity towards the marine zooplankton A. salina with an LC50 value of 233 µM; weak inhibitory activities against two marine phytoplankton species (Amphidinium carterae and Phaeocysti globosa), with inhibition rates at 100 µg/mL of 20.6% and 8.1%, respectively | [20] |
| Sediment | 24 | Asperolide D | Aspergillus wentii SD-310 | EtOAc extract | Moderate inhibitory activities towards the aquatic pathogens Edwardsiella tarda and the plant bacteria Fusarium graminearum with MIC values of 16 and 2 µg/mL, respectively; inhibitory activities against aquatic bacteria Edwardsiella tarda, Micrococcus luteus, Pseudomonas aeruginosa, Vibrio harveyi, and V. parahemolyticus, with the same MIC value of 4.0 µg/mL | [22] |
| Sediment | 25 | Asperolide E | Aspergillus wentii SD-310 | EtOAc extract | Cytotoxicities against HeLa, MCF-7, and NCI-H446 cell lines, with IC50 values of 10.0, 11.0, and 16.0 µM, respectively, and moderate activity against Edwardsiella tarda, with an MIC value of 16 µg/mL | [22] |
| Sediment | 26 | Wentinoid A | Aspergillus wentii SD-310 | EtOAc extract | Inhibitory activities against aquatic bacteria Edwardsiella tarda, Micrococcus luteus, Pseudomonas aeruginosa, Vibrio harveyi, and V. parahemolyticus, with the same MIC value of 4.0 µg/mL; selective inhibition against four plant pathogenic fungi (Phytophthora parasitica, Fusarium oxysporum f. sp. lycopersici, Fusarium graminearum, and Botryosphaeria dothidea) | [23] |
| Sediment | 27 | Wentinoid B | Aspergillus wentii SD-310 | EtOAc extract | Inhibitory activities against aquatic bacteria Edwardsiella tarda, Micrococcus luteus, Pseudomonas aeruginosa, Vibrio harveyi, and V. parahemolyticus, with the same MIC value of 4.0 µg/mL | [23] |
| Sediment | 28 | Wentinoid C | Aspergillus wentii SD-310 | EtOAc extract | Inhibitory activities against aquatic bacteria Edwardsiella tarda, Micrococcus luteus, Pseudomonas aeruginosa, Vibrio harveyi, and V. parahemolyticus, with the same MIC value of 4.0 µg/mL; notable inhibitory activities towards the plant bacteria Fusarium graminearum with MIC values of 4.0 µg/mL | [23] |
| Sediment | 33 | Aspewentin D | Aspergillus wentii SD-310 | EtOAc extract | Significant inhibition against aquatic pathogens (M. luteus, E. tarda, V. harveyi, P. aeruginosa, and V. parahemolyticus), each with MIC values of 4.0 µg/mL, compared with the positive control chloramphenicol, with MIC values of 8.0 µg/mL; potent activity against plant pathogenic fungi F. graminearum with MIC values of 2.0 µg/mL. | [24] |
| Sediment | 35 | Aspewentin F | Aspergillus wentii SD-310 | EtOAc extract | Great inhibition against aquatic pathogens (M. luteus, E. tarda, V. harveyi, P. aeruginosa, and V. parahemolyticus), each with MIC values of 4.0 µg/mL, compared with the positive control chloramphenicol, with the MIC values of 8.0 µg/mL | [24] |
| Sediment | 36 | Aspewentin G | Aspergillus wentii SD-310 | EtOAc extract | Significant inhibition against aquatic pathogens (M. luteus, E. tarda, V. harveyi, P. aeruginosa, and V. parahemolyticus), each with MIC values of 4.0 µg/mL, compared with the positive control chloramphenicol, with the MIC values of 4.0 µg/mL | [24] |
| Sediment | 37 | Aspewentin H | Aspergillus wentii SD-310 | EtOAc extract | Significant inhibition against aquatic pathogens (M. luteus, E. tarda, V. harveyi, P. aeruginosa, and V. parahemolyticus), each with MIC values of 4.0 µg/mL, compared with the positive control chloramphenicol, with the MIC values of 4.0 µg/mL | [24] |
| Sediment | 38 | Aspewentin I | Aspergillus wentii SD-310 | EtOAc extract | Notable inhibitory activities against three marine bacteria (E. tarda, V. harveyi, and V. parahaemolyticus), with an MIC value of 8.0 µg/mL; inhibitory activities toward zoonotic pathogens between human and aquatic animals, such as Escherichia coli, Edwardsiella tarda, Vibrio harveyi, and V. parahaemolyticus; great inhibition against aquatic pathogens (M. luteus, E. tarda, V. harveyi, P. aeruginosa, and V. parahemolyticus), each with MIC values of 4.0 µg/mL, compared with the positive control chloramphenicol, with the MIC values of 1.0 µg/mL | [25] |
| Sediment | 39 | Aspewentin J | Aspergillus wentii SD-310 | EtOAc extract | Notable inhibitory activities against three marine bacteria (E. tarda, V. harveyi, and V. parahaemolyticus), with an MIC value of 8.0 µg/mL; inhibitory activities toward zoonotic pathogens between human and aquatic animals, such as Escherichia coli, Edwardsiella tarda, Vibrio harveyi, and V. parahaemolyticus; potent inhibition against aquatic pathogens (M. luteus, E. tarda, V. harveyi, P. aeruginosa, and V. parahemolyticus) | [25] |
| Sediment | 40 | Aspewentin K | Aspergillus wentii SD-310 | EtOAc extract | Activity against pathogenic bacteria | [25] |
| Sediment | 41 | Aspewentin L | Aspergillus wentii SD-310 | EtOAc extract | Activity against pathogenic bacteria | [25] |
| Sediment | 42 | Aspewentin M | Aspergillus wentii SD-310 | EtOAc extract | Activity against F. graminearum with an MIC value of 4.0 µg/mL | [25] |
| Sediment | 44 | Libertellenone A | Eutypella scoparia | EtOAc extract | Selective cytotoxic activities against SF-268, MCF-7, and NCI-H460 (IC50 = 20.5, 12.0, and 40.2 µM) | [26] |
| Sediment | 47 | Diaporthein B | Eutypella scoparia | EtOAc extract | Significant cytotoxicity against SF-268, MCF-7, and NCI-H460 (IC50 = 9.2, 4.4, and 9.9 µM) | [26] |
| Sediment | 48 | 11-deoxydiaporthein A | Eutypella scoparia | EtOAc extract | Moderate cytotoxicity against the MCF-7 cell line with IC50 = 38.8 µM | [26] |
| Sediment | 49 | Scopararane C | Eutypella scoparia | EtOAc extract | Moderate cytotoxicity against the MCF-7 cell line with IC50 = 16.4 µM | [26] |
| Sediment | 50 | Scopararane D | Eutypella scoparia FS26 | EtOAc extract | Cytotoxic activity towards the MCF-7 cell line with an IC50 value of 25.6 µM; moderate cytotoxic activities against SF-268 and NCI-H460 cell lines with IC50 values of 43.5 µM and 46.1 µM. | [27] |
| Sediment | 51 | Scopararane E | Eutypella scoparia FS26 | EtOAc extract | Cytotoxic activity towards the MCF-7 cell line with IC50 values of 74.1 µM | [27] |
| Sediment | 53 | Scopararane G | Eutypella scoparia FS26 | EtOAc extract | Cytotoxic activities towards the MCF-7 cell line with IC50 values of 85.5 µM | [27] |
| Sediment | 55 | Scopararane I | Eutypella sp. FS46 | EtOAc extract | Moderate inhibitory activity against NCI-H460 and SF268 cell lines with IC50 values of 13.59 and 25.31 µg/mL | [28] |
| Coral | 56 | Harzianelactone A | Trichoderma harzianum XS20090075 | EtOAc extract | Notable activities against seedling growth of amaranth and lettuce | [29] |
| Coral | 57 | Harzianelactone B | Trichoderma harzianum XS20090075 | EtOAc extract | Notable activities against seedling growth of amaranth and lettuce | [29] |
| Coral | 58 | Harzianone A | Trichoderma harzianum XS20090075 | EtOAc and CH2Cl2-MeOH (v/v, 1:1) extract | Notable activities against seedling growth of amaranth and lettuce | [29] |
| Coral | 59 | Harzianone B | Trichoderma harzianum XS20090075 | EtOAc and CH2Cl2-MeOH (v/v, 1:1) extract | Notable activities against seedling growth of amaranth and lettuce | [29] |
| Coral | 60 | Harzianone C | Trichoderma harzianum XS20090075 | EtOAc and CH2Cl2-MeOH (v/v, 1:1) extract | Notable activities against seedling growth of amaranth and lettuce | [29] |
| Coral | 61 | Harzianone D | Trichoderma harzianum XS20090075 | EtOAc and CH2Cl2-MeOH (v/v, 1:1) extract | Notable activities against seedling growth of amaranth and lettuce | [29] |
| Coral | 62 | Harziane | Trichoderma harzianum XS20090075 | EtOAc and CH2Cl2-MeOH (v/v, 1:1) extract | Notable activities against seedling growth of amaranth and lettuce | [29] |
| Coral | 63 | Moriniafungusn B | Curvularia hawaiiensis TA2615 | EtOAc extract | Diverse antifungal activity | [30] |
| Coral | 64 | Moriniafungusn C | Curvularia hawaiiensis TA2615 | EtOAc extract | Diverse antifungal activity | [30] |
| Coral | 65 | Moriniafungusn D | Curvularia hawaiiensis TA2615 | EtOAc extract | Diverse antifungal activity | [30] |
| Coral | 66 | Moriniafungusn E | Curvularia hawaiiensis TA2615 | EtOAc extract | Potent antifungal activity against Candida albicans ATCC10231 with an MIC value of 2.9 µM | [30] |
| Coral | 67 | Moriniafungusn F | Curvularia hawaiiensis TA2615 | EtOAc extract | Diverse antifungal activity | [30] |
| Coral | 68 | Moriniafungusn G | Curvularia hawaiiensis TA2615 | EtOAc extract | Diverse antifungal activity | [30] |
| Coral | 69 | Sordaricin B | Curvularia hawaiiensis TA2615 | EtOAc extract | Diverse antifungal activity | [30] |
| Coral | 71 | Stachatranone B | Stachybotrys chartarum TJ403-SS6 | EtOAc extract | An inhibitory effect against Acinetobacter baumannii (MIC = 16 µg/mL) and an inhibitory effect against Enterococcus faecalis (MIC = 32 µg/mL) | [31] |
| Sponge | 73 | Trichodermanin C | Trichoderma harzianum OUPS-111D-4 | EtOAc extract | Potent activities towards three cancer cell lines, P388, HL-60, and L1210, with IC50 values ranging from 6.8 to 7.9 µM | [32,33] |
| Sponge | 75 | Trichodermanin E | Trichoderma harzianum OUPS-111D-4 | EtOAc extract | Moderate activities towards three cancer cell lines, P388, HL-60, and L1210 | [32,33] |
| Sponge | 76 | Trichodermanin F | Trichoderma harzianum OUPS-111D-4 | EtOAc extract | Moderate activities towards three cancer cell lines, P388, HL-60, and L1210 | [32,33] |
| Sponge | 80 | Compound JBIR-65 | Actinomadura sp. | EtOAc extract | An ability to protect neuronal hybridoma N18-RE-105 cells from L-glutamate toxicity, with an EC50 value of 31 µM | [35] |
| Sponge | 83 | Ascandinine C | Aspergillus candidus HDN15-152 | EtOAc extract | Anti-influenza virus A (H1N1) activity with an IC50 value of 26 µM, with ribavirin served as the positive control (IC50 = 31 µM) | [36] |
| Sponge | 84 | Ascandinines D | Aspergillus candidus HDN15-152 | EtOAc extract | Strong cytotoxic activity against HL-60 cells with an IC50 value of 7.8 µM | [36] |
| Sponge | 85 | Myrocin A | Arthrinium sp. | Methanolic extract | Vascular endothelial growth factor A (VEGF-A)-dependent endothelial cell sprouting (IC50 = 3.7 µM); notable antiproliferative activities against L5178Y (mouse lymphoma) tumor cell line (IC50 = 2.05 µM); no inhibitory activity for the protein kinase and weak activities against K-562, A2780 (human ovarian cancer line), and A2780CisR (cisplatin-resistant human ovarian cancer cells) with IC50 values of 50.3, 41.3, and 66.0 µM, with cisplatin used as the positive control (IC50 = 7.80, 0.80, and 8.40 µM). | [37] |
| Sponge | 88 | Arthritis D | Arthrinium sp. | Methanolic extract | Vascular endothelial growth factor A (VEGF-A)-dependent endothelial cell sprouting (IC50 = 2.6 µM); notable antiproliferative activities against L5178Y (mouse lymphoma) tumor cell line (IC50 = 2.74 µM) | [37] |
| Sponge | 89 | Myrocin D | Arthrinium sp. | Methanolic extract | No inhibitory activity for the protein kinase and weak activities against K-562, A2780 (human ovarian cancer line), and A2780CisR (cisplatin-resistant human ovarian cancer cells) with IC50 values of 42.0, 28.2, and 154.7 µM, respectively, with cisplatin used as the positive control (IC50 = 7.80, 0.80, and 8.40 µM). | [37] |
| Algae | 95 | Trichocitrin | Trichoderma citrinoviride cf-27 | CH2Cl2 and MeOH (1:1, v/v) extract | An 8.0 mm inhibition zone against Escherichia coli at 20 µg/disk | [43,44] |
| Algae | 96 | Citrinovirin | Dictyopteris prolifera | EtOAc extract | Inhibitory activity towards S. aureus (MIC = 12.4 µg/mL); toxicity against the marine zooplankton Artemia salina (LC50 = 65.6 µg/mL); a 14.1–37.2% inhibition of three marine phytoplankton species (C. marina, H. akashiwo, and P. donghaiense) at 100 µg/mL. | [43,44] |
| Algae | 97 | (+)-wickerol A | Trichoderma asperellum d1-34 | EtOAc extract | Inhibitory activity against E. coli and S. aureus, with the same inhibitory diameters of 8.0 mm at 30 µg/disc; lethal activity against A. salina with an LC50 value of 12.0 µg/mL | [45] |
| Algae | 98 | 3R-hydroxy-9R,10R-dihydroharzianone | Trichoderma harzianum X-5 | CH2Cl2 and MeOH (1:1, v/v) extract | Inhibitory activity against Chattonella marina with an IC50 value of 7.0 µg/mL | [46] |
| Algae | 99 | 11Rmethoxy-5,9,13-proharzitrien-3-ol | Trichoderma harzianum X-5 | EtOAc extract | Notable inhibitory effect on the growth of all four kinds of phytoplankton, with IC50 values of 1.2, 1.3, 3.2, and 4.3 µg/mL, respectively, with K2Cr2O7 as a positive control (IC50 = 0.46, 0.98, 0.89, and 1.9 µM) | [46] |
| Algae | 103 | Deoxytrichoderma-erin | Trichoderma longibrachiatum A-WH-20-2 | EtOAc extract | Strong inhibition offour marine phytoplankton strains (C. marina, H. akashiwo, K. veneficum, and P. donghaiense) with IC50 values ranging from 0.53 to 2.7 µg/mL; toxicity against the marine zooplankton A. salina with a LC50 value of 19 µg/mL | [48] |
| Algae | 104 | 3S-hydroxyharzianone | Trichoderma asperellum A-YMD-9-2 | CH2Cl2 and MeOH (1:1, v/v) extract | Significant inhibition of four marine phytoplankton strains (C. marina, H. akashiwo, K. veneficum, and P. donghaiense) with IC50 values ranging from 3.1 to 7.7 µg/mL; weak inhibition against five marine-derived pathogenic bacteria (four different strains of Vibrio and a P. citrea), at 40 µg/disc | [49] |
| Algae | 105 | Harzianone | Trichoderma longibrachiatum | / | 82.6% of lethality in brine shrimp (Artemia salina L.) larvae at 100 µg/mL and exhibition of antibacterial activity against Escherichia coli and Staphylococcus aureus at 30 µg/disk, with inhibitory diameters of 8.3 and 7.0 mm, respectively | [50] |
| Algae | 113 | 19-hydroxypenitrem A | Aspergillus nidulans EN-330 | Acetone extract | Antibacterial activity against pathogens Edwardsiella tarda, Vibrio anguillarum, Escherichia coli, and Staphylococcus aureus, with MIC values of 16, 32, 16, and 16 µg/mL, respectively | [55] |
| Algae | 115 | Compound 115 | Aspergillus wentii na-3 | CHCl3 and MeOH (1:1, v/v) extract | Activities against two marine phytoplankton species (Chattonella marina and Heterosigma akashiwo) with LC50 values of 0.81 and 2.88 µM | [56] |
| Algae | 116 | Compound 116 | Aspergillus wentii na-3 | CHCl3 and MeOH (1:1, v/v) extract | Inhibitory activities against the marine zooplankton Artemia salina with an LC50 of 6.36 µM | [56] |
| Mangrove | 129 | (9R, 10R)-dihydro-harzianone | Trichoderma sp. Xy24 | / | Selective cytotoxicities toward the HeLa and MCF-7 cell lines with IC50 values of 30.1 and 30.7 µM | [59] |
| Mangrove | 130 | Harzianelactone | Trichoderma sp. Xy24 | / | Inactive cytotoxicities to the HeLa and MCF-7 cell lines with IC50 values of 10 mM | [59] |
| Mangrove | 132 | Anthcolorin H | Aspergillus versicolor | EtOAc extract | Weak activity against HeLa cells, with an IC50 value of 43.7 µM | [60] |
| Mangrove | 133 | Penicilindole A | Eupenicillium sp. HJ002 | EtOAc extract | Potent activities against human A-549 and HepG2 cell lines (IC50 = 5.5, 1.5 µM), with adriamycin used as the positive control (IC50 = 0.002, 0.1 µM), and 36.8 and 76.9 µM, respectively, for 5-fluoracil | [62] |
| Mangrove | 136 | Compound 141 | Penicillium camemberti OUCMDZ-1492 | EtOAc extract | Weak activities against the H1N1 virus, with IC50 values of 28.3 µM | [61] |
| Mangrove | 137 | Compound 142 | Penicillium camemberti OUCMDZ-1492 | EtOAc extract | Weak activities against the H1N1 virus, with IC50 values of 38.9 µM | [61] |
| Mangrove | 138 | Compound 143 | Penicillium camemberti OUCMDZ-1492 | EtOAc extract | Weak activities against the H1N1 virus, with IC50 values of 32.2 µM | [61] |
| Mangrove | 140 | Compound 145 | Penicillium camemberti OUCMDZ-1492 | EtOAc extract | Weak activities against the H1N1 virus, with IC50 values of 73.3 µM | [61] |
| Mangrove | 142 | Rhizovarin A | Mucor irregularis QEN-189 | MeOH and EtOAc extract | Moderate activities towards the A-549 cancer cell line, with IC50 values of 11.5 µM; notable activities against the HL-60 cancer cell line with IC50 values of 9.6 µM | [63] |
| Mangrove | 143 | Rhizovarin B | Mucor irregularis QEN-189 | MeOH and EtOAc extract | Moderate activities towards the A-549 cancer cell line, with IC50 values of 6.3 µM; notable activities against the HL-60 cancer cell line with IC50 values of 5.0 µM | [63] |
| Mangrove | 147 | Rhizovarin F | Mucor irregularis QEN-189 | MeOH and EtOAc extract | Moderate activities towards the A-549 cancer cell line, with an IC50 value of 9.2 µM | [63] |
| Miscellaneous | 151 | Penitholabene | Penicillium thomii YPGA3 | EtOAc extract | An inhibitory effect against the α-glucosidasewith an IC50 value of 282 µM | [65] |
| Miscellaneous | 153 | 6-hydroxylaspalinine | Penicillium sp. AS-79 | EtOAc extract | Activity against the aquatic pathogen Vibrio parahaemolyticus with an MIC of 64.0 µg/mL | [66] |
| Miscellaneous | 155 | Compound 155 | Penicillium sp. KFD28 | EtOAc extract | Potent inhibitory activities against protein tyrosine phosphatase (PTP1B) with IC50 values of 1.7 µM | [67] |
| Miscellaneous | 156 | Compound 156 | Penicillium sp. KFD28 | EtOAc extract | Potent inhibitory activities againstprotein tyrosine phosphatase (PTP1B) with IC50 values of 2.4 µM | [67] |
| Miscellaneous | 159 | Compound 159 | Penicillium sp. KFD28 | EtOAc extract | Potent inhibitory activities against protein tyrosine phosphatase (PTP1B) with IC50 values of 14 µM | [67] |
| Miscellaneous | 160 | Compound 160 | Penicillium sp. KFD28 | EtOAc extract | Potent inhibitory activities against protein tyrosine phosphatase (PTP1B) with IC50 values of 27 µM | [67] |
| Miscellaneous | 162 | Compound 162 | Penicillium sp. KFD28 | EtOAc extract | Potent inhibitory activities againstprotein tyrosine phosphatase (PTP1B) with IC50 values of 23 µM | [67] |
| Miscellaneous | 163 | Compound 163 | Penicillium sp. KFD28 | EtOAc extract | Potent inhibitory activities against protein tyrosine phosphatase (PTP1B) with IC50 values of 31.5 µM | [67] |
| Miscellaneous | 167 | Compound 167 | Penicillium sp. KFD28 | EtOAc extract | Weak activity against HeLa cells with an IC50 value of 36.3 µM | [67] |
| Miscellaneous | 168 | Compound 168 | Penicillium sp. KFD28 | EtOAc extract | Potent inhibitory activities against protein tyrosine phosphatase (PTP1B) with IC50 values of 9.5 µM | [67] |
| Miscellaneous | 171 | Botryotins A | Botryotinia fuckeliana MCCC | CHCl3/MeOH (1:1) extract | Being inactive against six HTCLs (HL-60, BEL-7402, BIU-87, PANC-1, HeLa-S3, and ECA109), each with the IC50 less than 20 µM; moderate antiallergic activity in RBL-2H3 cells with an IC50 value of 0.2 mM | [68,69] |
| Miscellaneous | 172 | Botryotins B | Botryotinia fuckeliana MCCC | CHCl3/MeOH (1:1) extract | Being inactive against six HTCLs (HL-60, BEL-7402, BIU-87, PANC-1, HeLa-S3, and ECA109), each with IC50 values less than 20 µM | [68,69] |
| Miscellaneous | 173 | Botryotins C | Botryotinia fuckeliana MCCC | CHCl3/MeOH (1:1) extract | Being inactive against six HTCLs (HL-60, BEL-7402, BIU-87, PANC-1, HeLa-S3, and ECA109), each with IC50 values less than 20 µM | [68,69] |
| Miscellaneous | 174 | Botryotins D | Botryotinia fuckeliana MCCC | CHCl3/MeOH (1:1) extract | Being inactive against six HTCLs (HL-60, BEL-7402, BIU-87, PANC-1, HeLa-S3, and ECA109), each with IC50 values less than 20 µM | [68,69] |
| Miscellaneous | 175 | Botryotins E | Botryotinia fuckeliana MCCC | CHCl3/MeOH (1:1) extract | Being inactive against six HTCLs (HL-60, BEL-7402, BIU-87, PANC-1, HeLa-S3, and ECA109), each with IC50 less than 20 µM | [68,69] |
| Miscellaneous | 176 | Botryotins F | Botryotinia fuckeliana MCCC | CHCl3/MeOH (1:1) extract | Being inactive against six HTCLs (HL-60, BEL-7402, BIU-87, PANC-1, HeLa-S3, and ECA109), each with IC50 less than 20 µM | [68,69] |
| Miscellaneous | 177 | Botryotins G | Botryotinia fuckeliana MCCC | CHCl3/MeOH (1:1) extract | Being inactive against six HTCLs (HL-60, BEL-7402, BIU-87, PANC-1, HeLa-S3, and ECA109), each with IC50 less than 20 µM | [68,69] |
| Miscellaneous | 178 | Botryotins H | Botryotinia fuckeliana MCCC | CHCl3/MeOH (1:1) extract | Being inactive against six HTCLs (HL-60, BEL-7402, BIU-87, PANC-1, HeLa-S3, and ECA109), each with IC50 less than 20 µM | [68,69] |
| Miscellaneous | 179 | A1 | Botryotinia fuckeliana MCCC | EtOAc extract | Useful as a potent cytotoxic lead compound due to its notable activities against T24 and HL-60 cells (IC50 = 2.5, 6.1 µM) | [70] |
| Miscellaneous | 252 | Micromonohalimane B | Micromonospora sp. WMMC-218 | Acetone extract | Inhibition of the methicillin-resistant Staphylococcus aureus with an MIC value of 40 µg/mL | [72] |
| Miscellaneous | 253 | Virescenosides Z9 | Acremonium striatisporum KMM 4401 | CHCl3-EtOH (2:1, v/v, 2.5 L) extract | Observably decreased ROS production in macrophages under 10 µM LPS stimulation. | [73] |
| Miscellaneous | 254 | Virescenoside Z10 | Acremonium striatisporum KMM 4401 | CHCl3-EtOH (2:1, v/v, 2.5 L) extract | Observably decreased ROS production in macrophages under 10 µM LPS stimulation, inducing downregulation of ROS production by 45%, and decreased NO production in LPS-stimulated macrophages at a concentration of 1 µM | [73] |
| Miscellaneous | 256 | Virescenosides Z12 | Acremonium striatisporum KMM 4401 | CHCl3-EtOH (2:1, v/v, 2.5 L) extrac | Observably decreased ROS production in macrophages under 10µM LPS stimulation | [73] |
| Miscellaneous | 257 | Virescenoside Z13 | Acremonium striatisporum KMM 4401 | CHCl3-EtOH (2:1, v/v, 2.5 L) extract | Observably decreased ROS production in macrophages under 10µM LPS stimulation, and decreased the NO production in LPS-stimulated macrophages at a concentration of 1 µM | [73] |
| Miscellaneous | 263 | (2R, 4bR, 6aS, 12bS, 12cS, 14aS)-4b-Deoxyβ-aflatrem | Aspergillus flavus OUCMDZ-2205 | EtOAc extract | Cytotoxicity against the A-549 cell cycle in the S phase with IC50 values of 10 µM; inhibition against the kinase PKC-β with an IC50 value of 15.6 µM | [74] |
| Miscellaneous | 264 | (2R, 4bS), 6aS, 12bS, 12cR)-9-Isopentenylpaxillin-e D | Aspergillus flavus OUCMDZ-2205i | EtOAc extract | Cytotoxicity against the A-549 cell cycle in the S phase with IC50 values of 10 µM | [74] |
| Miscellaneous | 265 | (3R, 9S, 12R, 13S, 17S, 18S)-2-carbonyl3hydroxylemeniveol | Aspergillus versicolor ZZ761 | / | Activity against Escherichia coli and Candida albicans with MIC values of 20.6 and 22.8 µM, respectively | [75] |
| Miscellaneous | 266 | Noonindole A | Aspergillus noonimiae CMB-M0339 | EtOAc extract | Moderate antifungal activity against the fungi Candida albicans | [76] |
| Miscellaneous | 273 | Compound 273 | Epicoccum sp. HS-1 | Ethyl acetate (1:1, v/v) extract | Inhibition of α-glucosidase with IC50 values of 4.6 µM, higher than the p.c. resveratrol, with IC50 = 31.2 µM | [78] |
| Miscellaneous | 274 | Roussoellol C | Talaromyces purpurogenus PP-414 | EtOAc extract | Cytotoxic activity against the MCF-7 cells with an IC50 of 6.5 µM | [79] |
| Miscellaneous | 275 | Libertellenone B | Libertella sp. | EtOAc extract | Weak activities against HCT-116 (human adenocarcinoma cell line) (IC50 = 15 µM) | [35] |
| Miscellaneous | 276 | Libertellenone C | Libertella sp. | EtOAc extract | Weak activities against HCT-116 (human adenocarcinoma cell line) (IC50 = 53 µM) | [35] |
| Miscellaneous | 277 | Libertellenone D | Libertella sp. | EtOAc extract | Significant cytotoxicity against HCT-116 (human adenocarcinoma cell line) (IC50 = 53 µM) | [35] |
| Miscellaneous | 279 | Eutypellenoid B | Eutypella sp. D-1 | CH2Cl2/CH3OH (1:1, v/v) extract | Antibacterial activities against Staphylococcus aureus and Escherichia coli with MIC values of 8 and 8 µg/mL; antifungal activities against Candida parapsilosis, Candida albicans, Candida glabrata, and Candida tropicalis with MIC values of 8, 8, 16, and 32 µg/mL, respectively; moderate cytotoxic activity against the HCT-116 cell line with IC50 value of 3.7 µM | [81] |
6. Conclusions and Perspectives
Diterpenoids are widely distributed in marine organisms and exhibit diverse pharmacological activities. This paper offers a comprehensive review of 515 diterpenoids discovered in the marine field over the past last two decades. Based on their origin, the diterpenoids from marine organisms are divided into three distinct groups, namely 281 marine fungi-sourced diterpenoids, 162 marine invertebrate-derived diterpenoids, and 72 marine plant-associated diterpenoids. We demonstrate the chemical structure of these compounds and elucidate their significance in biological activity. Marine diterpenoids exhibit a plethora of activities, encompassing significant anti-tumor activity and cytotoxicity, anti-oxidant activity, anti-inflammatory activity, anti-bacterial activity, and anti-thrombotic activity, among others. Consequently, marine-derived diterpenoids undeniably hold potential as candidates for novel drug development.
Author Contributions
Conceptualization, X.M. and S.Y.; methodology, X.M.; investigation, S.Y., P.W., and W.L.; resources, Y.S.; data curation, X.J. and Y.P.; writing—original draft preparation, X.M. and S.Y.; writing—review and editing, Q.S., L.Q., and H.L.; visualization, S.Y., M.Z., P.W., and W.L.; supervision, L.Q. and H.L.; project administration, X.M. and Y.S. All authors have read and agreed to the published version of the manuscript.
Funding
This research was funded by the Zhejiang Provincial Natural Science Foundation of China (LQ22H270004, LTGC24H270001), Zhejiang Provincial Medicine and Health Science and Technology Plan Project (2022490995), Zhejiang Province Traditional Chinese Medicine Science and Technology Project (2023ZF087), and Zhejiang Chinese Medical University Research Foundation (2023JKZKTS24).
Data Availability Statement
Not applicable.
Acknowledgments
The authors gratefully acknowledge the experimental support from the Public Platform of Pharmaceutical Research Center, Academy of Chinese Medical Science, Zhejiang Chinese Medical University.
Conflicts of Interest
The authors declare no conflicts of interest.
Abbreviations
| Abbreviation | Full Name |
| A2780CisR | Cisplatin-resistant human ovarian cancer cells |
| A-549 | Human non-small cell lung cancer cells |
| BEL-7402 | Human liver cancer cells |
| BuOH | Butanol |
| COX-2 | Cyclooxygenase-2 |
| ECD | Electronic circular dichroism |
| EtOAc | Ethyl acetate |
| GM-CSF | Granulocyte-macrophage colony stimulating factor |
| HepG2 | Human hepatocelular carcinomas |
| HL-60 | Human promyelocytic leukemia cells |
| HPLC | High-performance liquid chromatography |
| HR-ESI-MS | High-resolution electrospray ionization mass spectroscopy |
| HUVEC | Human umbilical vascular endothelial cell |
| IC50 | Half maximal inhibitory concentration |
| IgE | Immunoglobulin E |
| IL-13 | Interleukin-13 |
| IL-1β | Interleukin-1beta |
| iNOS | Inducible nitric oxide synthesis |
| LC-MS | Liquid chromatograph mass spectrometer |
| LPS | Lipopolysaccharide |
| MCF-7 | Human breast adenocarcinoma cell line |
| MCP-1 | Monocyte chemoattractant protein-1 |
| MeOH | Methanol |
| MIC | Minimum inhibitory concentration |
| MIP-1β | Macrophage inflammatory protein |
| MOE | Murine oviductal epithelial |
| MOSE | Murine ovarian surface epithelial |
| MTT | Methyl thiazolyl tetrazolium |
| n-BuOH | N-Bromosuccinimide |
| NCI-H460 | Human non-small cell lung cancer cell line |
| NF-kB | Nuclear factor-kappa B |
| NHDF | Normal human dermal fibroblasts |
| NMR | Nuclear magnetic resonance spectroscopy |
| p.c. | Positive control |
| PE | Polyethylene |
| PTP1B | Protein tyrosine phosphatase |
| RBL-2H3 | Rat basophilic leukemia cells |
| ROS | Reactive oxygen species |
| SF-268 | Human glioma cell line |
| TB | Tuberculosis |
| TNF-α | Tumor necrosis factor-α |
| VEGF-A | Vascular endothelial growth factor A |
References
- Abdelmohsen, U.R.; Balasubramanian, S.; Oelschlaeger, T.A.; Grkovic, T.; Pham, N.B.; Quinn, R.J.; Hentschel, U. Potential of marine natural products against drug-resistant fungal, viral, and parasitic infections. Lancet Infect. Dis. 2017, 17, e30–e41. [Google Scholar] [CrossRef] [PubMed]
- Li, X.; Zhao, H.; Chen, X. Screening of Marine Bioactive Antimicrobial Compounds for Plant Pathogens. Mar. Drugs 2021, 19, 69. [Google Scholar] [CrossRef] [PubMed]
- Nweze, J.A.; Mbaoji, F.N.; Li, Y.M.; Yang, L.Y.; Huang, S.S.; Chigor, V.N.; Eze, E.A.; Pan, L.X.; Zhang, T.; Yang, D.F. Potentials of marine natural products against malaria, leishmaniasis, and trypanosomiasis parasites: A review of recent articles. Infect. Dis. Poverty 2021, 10, 9. [Google Scholar] [CrossRef]
- Romano, G.; Almeida, M.; Varela Coelho, A.; Cutignano, A.; Gonçalves, L.G.; Hansen, E.; Khnykin, D.; Mass, T.; Ramšak, A.; Rocha, M.S.; et al. Biomaterials and Bioactive Natural Products from Marine Invertebrates: From Basic Research to Innovative Applications. Mar. Drugs 2022, 20, 219. [Google Scholar] [CrossRef]
- Wu, C.; Jiang, M.L.; Jiang, R.; Pang, T.; Zhang, C.J. The roles of fungus in CNS autoimmune and neurodegeneration disorders. Front. Immunol. 2022, 13, 1077335. [Google Scholar] [CrossRef]
- Yang, B.; Huang, J.; Zhou, X.; Lin, X.; Liu, J.; Liao, S.; Wang, J.; Liu, F.A.; Tao, H.; Liu, Y. The Fungal Metabolites with Potential Antiplasmodial Activity. Curr. Med. Chem. 2018, 25, 3796–3825. [Google Scholar] [CrossRef]
- Wiese, J.; Imhoff, J.F. Marine bacteria and fungi as promising source for new antibiotics. Drug Dev. Res. 2019, 80, 24–27. [Google Scholar] [CrossRef]
- Imhoff, J.F. Natural Products from Marine Fungi—Still an Underrepresented Resource. Mar. Drugs 2016, 14, 19. [Google Scholar] [CrossRef]
- Deshmukh, S.K.; Prakash, V.; Ranjan, N. Marine Fungi: A Source of Potential Anticancer Compounds. Front. Microbiol. 2017, 8, 2536. [Google Scholar] [CrossRef]
- Elissawy, A.M.; El-Shazly, M.; Ebada, S.S.; Singab, A.B.; Proksch, P. Bioactive terpenes from marine-derived fungi. Mar. Drugs 2015, 13, 1966–1992. [Google Scholar] [CrossRef]
- Carroll, A.R.; Copp, B.R.; Grkovic, T.; Keyzers, R.A.; Prinsep, M.R. Marine natural products. Nat. Prod. Rep. 2024, 41, 162–207. [Google Scholar] [CrossRef] [PubMed]
- Zhang, L.; Li, D.; Chen, X.; Zhao, F. Marine-Derived Diterpenes from 2019 to 2024: Structures, Biological Activities, Synthesis and Potential Applications. Mar. Drugs 2025, 23, 72. [Google Scholar] [CrossRef] [PubMed]
- Zhang, N.; Xu, W.; Yan, Y.; Chen, M.; Li, H.; Chen, L. Cembrane diterpenoids: Chemistry and pharmacological activities. Phytochemistry 2023, 212, 113703. [Google Scholar] [CrossRef] [PubMed]
- Li, F.; Sun, W.; Zhang, S.; Gao, W.; Lin, S.; Yang, B.; Chai, C.; Li, H.; Wang, J.; Hu, Z.; et al. New cyclopiane diterpenes with anti-inflammatory activity from the sea sediment-derived fungus Penicillium sp. TJ403-2. Chin. Chem. Lett. 2020, 31, 197–201. [Google Scholar] [CrossRef]
- Niu, S.; Fan, Z.W.; Xie, C.L.; Liu, Q.; Luo, Z.H.; Liu, G.; Yang, X.W. Spirograterpene A, a Tetracyclic Spiro-Diterpene with a Fused 5/5/5/5 Ring System from the Deep-Sea-Derived Fungus Penicillium granulatum MCCC 3A00475. J. Nat. Prod. 2017, 80, 2174–2177. [Google Scholar] [CrossRef]
- Cheng, Z.; Li, Y.; Xu, W.; Liu, W.; Liu, L.; Zhu, D.; Kang, Y.; Luo, Z.; Li, Q. Three new cyclopiane-type diterpenes from a deep-sea derived fungus Penicillium sp. YPGA11 and their effects against human esophageal carcinoma cells. Bioorg. Chem. 2019, 91, 103129. [Google Scholar] [CrossRef]
- Wang, C.; Gao, Y.; Lei, F.; Tan, X.; Yi, X. A new glycosyl ester isolated from marine-derived Penicillium sp. Chin. Tradit. Herb. Drugs 2019, 50, 2518–2523. [Google Scholar]
- Du, L.; Li, D.; Zhu, T.; Cai, S.-X.; Wang, F.; Xiao, X.; Gu, Q. New alkaloids and diterpenes from a deep ocean sediment derived fungus Penicillium sp. Tetrahedron 2009, 65, 1033–1039. [Google Scholar] [CrossRef]
- Liu, L.; Xu, W.; Li, S.; Chen, M.; Cheng, Y.; Yuan, W.; Cheng, Z.; Li, Q. Penicindopene A, a new indole diterpene from the deep-sea fungus Penicillium sp. YPCMAC1. Nat. Prod. Res. 2019, 33, 2988–2994. [Google Scholar] [CrossRef]
- Liang, X.R.; Ma, X.Y.; Ji, N.Y. Trichosordarin A, a norditerpene glycoside from the marine-derived fungus Trichoderma harzianum R5. Nat. Prod. Res. 2020, 34, 2037–2042. [Google Scholar] [CrossRef]
- Li, H.; Liu, X.; Li, X.; Hu, Z.; Wang, L. Novel Harziane Diterpenes from Deep-Sea Sediment Fungus Trichoderma sp. SCSIOW21 and Their Potential Anti-Inflammatory Effects. Mar. Drugs 2021, 19, 689. [Google Scholar] [CrossRef] [PubMed]
- Li, X.-D.; Li, X.; Li, X.-M.; Xu, G.-M.; Zhang, P.; Meng, L.-H.; Wang, B.-G. Tetranorlabdane Diterpenoids from the Deep Sea Sediment-Derived Fungus Aspergillus wentii SD-310. Planta Med. 2016, 82, 877–881. [Google Scholar] [CrossRef] [PubMed]
- Li, X.; Li, X.-D.; Li, X.-M.; Xu, G.-M.; Liu, Y.; Wang, B.-G. Wentinoids A–F, six new isopimarane diterpenoids from Aspergillus wentii SD-310, a deep-sea sediment derived fungus. RSC Adv. 2017, 7, 4387–4394. [Google Scholar] [CrossRef]
- Li, X.-D.; Li, X.-M.; Li, X.; Xu, G.-M.; Liu, Y.; Wang, B.-G. Aspewentins D–H, 20-Nor-isopimarane Derivatives from the Deep Sea Sediment-Derived Fungus Aspergillus wentii SD-310. J. Nat. Prod. 2016, 79, 1347–1353. [Google Scholar] [CrossRef]
- Li, X.D.; Li, X.; Li, X.M.; Xu, G.M.; Liu, Y.; Wang, B.G. 20-Nor-Isopimarane Epimers Produced by Aspergillus wentii SD-310, a Fungal Strain Obtained from Deep Sea Sediment. Mar. Drugs 2018, 16, 440. [Google Scholar] [CrossRef]
- Sun, L.; Li, D.L.; Chen, Y.C.; Tao, M.H.; Dan, F.J.; Zhang, W.M. Secondary metabolites of marine fungus Eutypella scoparia from the South China Sea and their antitumor activities. Chin. Tradit. Herb. Drugs 2011, 42, 432–436. [Google Scholar]
- Sun, L.; Li, D.; Tao, M.; Chen, Y.; Dan, F.; Zhang, W. Scopararanes C–G: New oxygenated pimarane diterpenes from the marine sediment-derived fungus Eutypella scoparia FS26. Mar. Drugs 2012, 10, 539–550. [Google Scholar] [CrossRef]
- Liu, H.; Zhang, L.; Chen, Y.; Li, S.; Tan, G.; Sun, Z.; Pan, Q.; Ye, W.; Li, H.; Zhang, W. Cytotoxic pimarane-type diterpenes from the marine sediment-derived fungus Eutypella sp. FS46. Nat. Prod. Res. 2017, 31, 404–410. [Google Scholar] [CrossRef]
- Zhao, D.L.; Yang, L.J.; Shi, T.; Wang, C.Y.; Shao, C.L.; Wang, C.Y. Potent Phytotoxic Harziane Diterpenes from a Soft Coral-Derived Strain of the Fungus Trichoderma harzianum XS-20090075. Sci. Rep. 2019, 9, 13345. [Google Scholar] [CrossRef]
- Zhang, M.Q.; Xu, K.X.; Xue, Y.; Cao, F.; Yang, L.J.; Hou, X.M.; Wang, C.Y.; Shao, C.L. Sordarin Diterpene Glycosides with an Unusual 1,3-Dioxolan-4-one Ring from the Zoanthid-Derived Fungus Curvularia hawaiiensis TA26-15. J. Nat. Prod. 2019, 82, 2477–2482. [Google Scholar] [CrossRef]
- Yang, B.; He, Y.; Lin, S.; Zhang, J.; Li, H.; Wang, J.; Hu, Z.; Zhang, Y. Antimicrobial Dolabellanes and Atranones from a Marine-Derived Strain of the Toxigenic Fungus Stachybotrys chartarum. J. Nat. Prod. 2019, 82, 1923–1929. [Google Scholar] [CrossRef] [PubMed]
- Yamada, T.; Suzue, M.; Arai, T.; Kikuchi, T.; Tanaka, R. Trichodermanins C–E, New Diterpenes with a Fused 6-5-6-6 Ring System Produced by a Marine Sponge-Derived Fungus. Mar. Drugs 2017, 15, 169. [Google Scholar] [CrossRef] [PubMed]
- Yamada, T.; Fujii, A.; Kikuchi, T. New Diterpenes with a Fused 6-5-6-6 Ring System Isolated from the Marine Sponge-Derived Fungus Trichoderma harzianum. Mar. Drugs 2019, 17, 480. [Google Scholar] [CrossRef] [PubMed]
- Yoshida, S.; Kito, K.; Ooi, T.; Kanoh, K.; Shizuri, Y.; Kusumi, T. Four Pimarane Diterpenes from Marine Fungus: Chloroform Incorporated in Crystal Lattice for Absolute Configuration Analysis by X-ray. Chem. Lett. 2007, 36, 1386–1387. [Google Scholar] [CrossRef]
- Takagi, M.; Motohashi, K.; Khan, S.T.; Hashimoto, J.; Shin-Ya, K. JBIR-65, a new diterpene, isolated from a sponge-derived Actinomadura sp. SpB081030SC-15. J. Antibiot. 2010, 63, 401–403. [Google Scholar] [CrossRef]
- Zhou, G.; Sun, C.; Hou, X.; Che, Q.; Zhang, G.; Gu, Q.; Liu, C.; Zhu, T.; Li, D. Ascandinines A–D, Indole Diterpenoids, from the Sponge-Derived Fungus Aspergillus candidus HDN15-152. J. Org. Chem. 2021, 86, 2431–2436. [Google Scholar] [CrossRef]
- Ebada, S.S.; Schulz, B.; Wray, V.; Totzke, F.; Kubbutat, M.H.G.; Müller, W.E.G.; Hamacher, A.; Kassack, M.U.; Lin, W.; Proksch, P. Arthrinins A–D: Novel diterpenoids and further constituents from the sponge derived fungus Arthrinium sp. Bioorg. Med. Chem. 2011, 19, 4644–4651. [Google Scholar] [CrossRef]
- Tsukada, M.; Fukai, M.; Miki, K.; Shiraishi, T.; Suzuki, T.; Nishio, K.; Sugita, T.; Ishino, M.; Kinoshita, K.; Takahashi, K.; et al. Chemical Constituents of a Marine Fungus, Arthrinium sacchari. J. Nat. Prod. 2011, 74, 1645–1649. [Google Scholar] [CrossRef]
- Gomes, N.M.; Bessa, L.J.; Buttachon, S.; Costa, P.M.; Buaruang, J.; Dethoup, T.; Silva, A.M.; Kijjoa, A. Antibacterial and antibiofilm activities of tryptoquivalines and meroditerpenes isolated from the marine-derived fungi Neosartorya paulistensis, N. laciniosa, N. tsunodae, and the soil fungi N. fischeri and N. siamensis. Mar. Drugs 2014, 12, 822–839. [Google Scholar] [CrossRef]
- Liu, T.; Li, Q.; Xu, X.; Li, G.; Tian, C.; Zhang, T. Molecular mechanisms of anti-cancer bioactivities of seaweed polysaccharides. Chin. Herb. Med. 2022, 14, 528–534. [Google Scholar] [CrossRef]
- Behzadnia, A.; Moosavi-Nasab, M.; Oliyaei, N. Anti-biofilm activity of marine algae-derived bioactive compounds. Front. Microbiol. 2024, 15, 1270174. [Google Scholar] [CrossRef] [PubMed]
- Ahirwar, A.; Kesharwani, K.; Deka, R.; Muthukumar, S.; Khan, M.J.; Rai, A.; Vinayak, V.; Varjani, S.; Joshi, K.B.; Morjaria, S. Microalgal drugs: A promising therapeutic reserve for the future. J. Biotechnol. 2022, 349, 32–46. [Google Scholar] [CrossRef] [PubMed]
- Liang, X.R.; Miao, F.P.; Song, Y.P.; Guo, Z.Y.; Ji, N.Y. Trichocitrin, a new fusicoccane diterpene from the marine brown alga-endophytic fungus Trichoderma citrinoviride cf-27. Nat. Prod. Res. 2016, 30, 1605–1610. [Google Scholar] [CrossRef] [PubMed]
- Liang, X.R.; Miao, F.P.; Song, Y.P.; Liu, X.H.; Ji, N.Y. Citrinovirin with a new norditerpene skeleton from the marine algicolous fungus Trichoderma citrinoviride. Bioorg. Med. Chem. Lett. 2016, 26, 5029–5031. [Google Scholar] [CrossRef]
- Liang, X.R.; Miao, F.P.; Song, Y.P.; Guo, Z.Y.; Ji, N.Y. Diterpenes and steroids from marine alga-endophytic fungus Trichoderma asperellum dl-34. Chem. Bioeng. 2016, 33, 32–36. [Google Scholar]
- Song, Y.P.; Fang, S.T.; Miao, F.P.; Yin, X.L.; Ji, N.Y. Diterpenes and Sesquiterpenes from the Marine Algicolous Fungus Trichoderma harzianum X-5. J. Nat. Prod. 2018, 81, 2553–2559. [Google Scholar] [CrossRef]
- Zou, J.X.; Song, Y.P.; Zeng, Z.Q.; Ji, N.Y. Proharziane and Harziane Derivatives from the Marine Algicolous Fungus Trichoderma asperelloides RR-dl-6-11. J. Nat. Prod. 2021, 84, 1414–1419. [Google Scholar] [CrossRef]
- Zou, J.X.; Song, Y.P.; Ji, N.Y. Deoxytrichodermaerin, a harziane lactone from the marine algicolous fungus Trichoderma longibrachiatum A-WH-20-2. Nat. Prod. Res. 2021, 35, 216–221. [Google Scholar] [CrossRef]
- Song, Y.-P.; Miao, F.-P.; Liang, X.-R.; Yin, X.-L.; Ji, N.-Y. Harziane and cadinane terpenoids from the alga-endophytic fungus Trichoderma asperellum A-YMD-9-2. Phytochem. Lett. 2019, 32, 38–41. [Google Scholar] [CrossRef]
- Miao, F.P.; Liang, X.R.; Yin, X.L.; Wang, G.; Ji, N.Y. Absolute configurations of unique harziane diterpenes from Trichoderma species. Org. Lett. 2012, 14, 3815–3817. [Google Scholar] [CrossRef]
- Song, Y.P.; Liu, X.H.; Shi, Z.Z.; Miao, F.P.; Fang, S.T.; Ji, N.Y. Bisabolane, cyclonerane, and harziane derivatives from the marine-alga-endophytic fungus Trichoderma asperellum cf44-2. Phytochemistry 2018, 152, 45–52. [Google Scholar] [CrossRef] [PubMed]
- Sun, H.F.; Li, X.M.; Meng, L.; Cui, C.M.; Gao, S.S.; Li, C.S.; Huang, C.G.; Wang, B.G. Asperolides A–C, tetranorlabdane diterpenoids from the marine alga-derived endophytic fungus Aspergillus wentii EN-48. J. Nat. Prod. 2012, 75, 148–152. [Google Scholar] [CrossRef] [PubMed]
- Ishino, M.; Kamauchi, H.; Takatori, K.; Kinoshita, K.; Sugita, T.; Koyama, K. Three novel phomactin-type diterpenes from a marine-derived fungus. Tetrahedron Lett. 2016, 57, 4341–4344. [Google Scholar] [CrossRef]
- Qiao, M.F.; Ji, N.Y.; Liu, X.H.; Li, K.; Zhu, Q.M.; Xue, Q.Z. Indoloditerpenes from an algicolous isolate of Aspergillus oryzae. Bioorg. Med. Chem. Lett. 2010, 20, 5677–5680. [Google Scholar] [CrossRef]
- Zhang, P.; Li, X.-M.; Li, X.; Wang, B.-G. New indole-diterpenoids from the algal-associated fungus Aspergillus nidulans. Phytochem. Lett. 2015, 12, 182–185. [Google Scholar] [CrossRef]
- Miao, F.P.; Liang, X.R.; Liu, X.H.; Ji, N.Y. Aspewentins A–C, norditerpenes from a cryptic pathway in an algicolous strain of Aspergillus wentii. J. Nat. Prod. 2014, 77, 429–432. [Google Scholar] [CrossRef]
- Gao, S.S.; Li, X.M.; Zhang, Y.; Li, C.S.; Wang, B.G. Conidiogenones H and I, two new diterpenes of Cyclopiane class from a marine-derived endophytic fungus Penicillium chrysogenum QEN-24S. Chem. Biodivers. 2011, 8, 1748–1753. [Google Scholar] [CrossRef]
- Ishino, M.; Kinoshita, K.; Takahashi, K.; Sugita, T.; Shiro, M.; Hasegawa, K.; Koyama, K. Phomactins K–M, three novel phomactin-type diterpenes from a marine-derived fungus. Tetrahedron 2012, 68, 8572–8576. [Google Scholar] [CrossRef]
- Zhang, M.; Liu, J.-M.; Zhao, J.-L.; Li, N.; Chen, R.-D.; Xie, K.-B.; Zhang, W.-J.; Feng, K.-P.; Yan, Z.; Wang, N.; et al. Two new diterpenoids from the endophytic fungus Trichoderma sp. Xy24 isolated from mangrove plant Xylocarpus granatum. Chin. Chem. Lett. 2016, 27, 957–960. [Google Scholar] [CrossRef]
- Elsbaey, M.; Tanaka, C.; Miyamoto, T. New secondary metabolites from the mangrove endophytic fungus Aspergillus versicolor. Phytochem. Lett. 2019, 32, 70–76. [Google Scholar] [CrossRef]
- Fan, Y.; Wang, Y.; Liu, P.; Fu, P.; Zhu, T.; Wang, W.; Zhu, W. Indole-diterpenoids with anti-H1N1 activity from the aciduric fungus Penicillium camemberti OUCMDZ-1492. J. Nat. Prod. 2013, 76, 1328–1336. [Google Scholar] [CrossRef] [PubMed]
- Zheng, C.J.; Bai, M.; Zhou, X.M.; Huang, G.L.; Shao, T.M.; Luo, Y.P.; Niu, Z.G.; Niu, Y.Y.; Chen, G.Y.; Han, C.R. Penicilindoles A-C, Cytotoxic Indole Diterpenes from the Mangrove-Derived Fungus EuPenicillium sp. HJ002. J. Nat. Prod. 2018, 81, 1045–1049. [Google Scholar] [CrossRef] [PubMed]
- Gao, S.S.; Li, X.M.; Williams, K.; Proksch, P.; Ji, N.Y.; Wang, B.G. Rhizovarins A–F, Indole-Diterpenes from the Mangrove-Derived Endophytic Fungus Mucor irregularis QEN-189. J. Nat. Prod. 2016, 79, 2066–2074. [Google Scholar] [CrossRef]
- Niu, S.; Fan, Z.; Tang, X.; Liu, Q.; Shao, Z.; Liu, G.; Yang, X.-W. Cyclopiane-type diterpenes from the deep-sea-derived fungus Penicillium commune MCCC 3A00940. Tetrahedron Lett. 2018, 59, 375–378. [Google Scholar] [CrossRef]
- Li, Y.; Liu, W.; Han, S.; Zhang, J.; Xu, W.; Li, Q.; Cheng, Z. Penitholabene, a rare 19-nor labdane-type diterpenoid from the deep-sea-derived fungus Penicillium thomii YPGA3. Fitoterapia 2020, 146, 104691. [Google Scholar] [CrossRef]
- Hu, X.Y.; Meng, L.H.; Li, X.; Yang, S.Q.; Li, X.M.; Wang, B.G. Three New Indole Diterpenoids from the Sea-Anemone-Derived Fungus Penicillium sp. AS-79. Mar. Drugs 2017, 15, 137. [Google Scholar] [CrossRef]
- Kong, F.D.; Fan, P.; Zhou, L.M.; Ma, Q.Y.; Xie, Q.Y.; Zheng, H.Z.; Zheng, Z.H.; Zhang, R.S.; Yuan, J.Z.; Dai, H.F.; et al. Four Indole Terpenoids with Potent Protein Tyrosine Phosphatase Inhibitory Activity from the Marine-Derived Fungus Penicillium sp. KFD28. Org. Lett. 2019, 21, 4864–4867. [Google Scholar] [CrossRef]
- Niu, S.; Peng, G.; Xia, J.M.; Xie, C.L.; Li, Z.; Yang, X.W. A New Pimarane Diterpenoid from the Botryotinia fuckeliana Fungus Isolated from Deep-Sea Water. Chem. Biodivers. 2019, 16, e1900519. [Google Scholar] [CrossRef]
- Niu, S.; Xie, C.L.; Xia, J.M.; Liu, Q.M.; Peng, G.; Liu, G.M.; Yang, X.W. Botryotins A–H, Tetracyclic Diterpenoids Representing Three Carbon Skeletons from a Deep-Sea-Derived Botryotinia fuckeliana. Org. Lett. 2020, 22, 580–583. [Google Scholar] [CrossRef]
- Niu, S.; Xia, J.M.; Li, Z.; Yang, L.H.; Yi, Z.W.; Xie, C.L.; Peng, G.; Luo, Z.H.; Shao, Z.; Yang, X.W. Aphidicolin Chemistry of the Deep-Sea-Derived Fungus Botryotinia fuckeliana MCCC 3A00494. J. Nat. Prod. 2019, 82, 2307–2331. [Google Scholar] [CrossRef]
- Mullowney, M.W.; Ó hAinmhire, E.; Tanouye, U.; Burdette, J.E.; Pham, V.C.; Murphy, B.T. A Pimarane Diterpene and Cytotoxic Angucyclines from a Marine-Derived Micromonospora sp. in Vietnam’s East Sea. Mar. Drugs 2015, 13, 5815–5827. [Google Scholar] [CrossRef] [PubMed]
- Zhang, Y.; Adnani, N.; Braun, D.R.; Ellis, G.A.; Barns, K.J.; Parker-Nance, S.; Guzei, I.A.; Bugni, T.S. Micromonohalimanes A and B: Antibacterial Halimane-Type Diterpenoids from a Marine Micromonospora Species. J. Nat. Prod. 2016, 79, 2968–2972. [Google Scholar] [CrossRef] [PubMed]
- Zhuravleva, O.I.; Antonov, A.S.; Oleinikova, G.K.; Khudyakova, Y.V.; Popov, R.S.; Denisenko, V.A.; Pislyagin, E.A.; Chingizova, E.A.; Afiyatullov, S.S. Virescenosides From the Holothurian-Associated Fungus Acremonium striatisporum Kmm 4401. Mar. Drugs 2019, 17, 616. [Google Scholar] [CrossRef] [PubMed]
- Sun, K.; Li, Y.; Guo, L.; Wang, Y.; Liu, P.; Zhu, W. Indole diterpenoids and isocoumarin from the fungus, Aspergillus flavus, isolated from the prawn, Penaeus vannamei. Mar. Drugs 2014, 12, 3970–3981. [Google Scholar] [CrossRef] [PubMed]
- Zhang, D.; Yi, W.; Ge, H.; Zhang, Z.; Wu, B. A new antimicrobial indoloditerpene from a marine-sourced fungus aspergillus versicolor ZZ761. Nat. Prod. Res. 2021, 35, 3114–3119. [Google Scholar] [CrossRef]
- Kankanamge, S.; Khalil, Z.G.; Bernhardt, P.V.; Capon, R.J. Noonindoles A–F: Rare Indole Diterpene Amino Acid Conjugates from a Marine-Derived Fungus, Aspergillus noonimiae CMB-M0339. Mar. Drugs 2022, 20, 698. [Google Scholar] [CrossRef]
- Wu, J.; Zhang, H.; He, L.M.; Xue, Y.Q.; Jia, J.; Wang, S.B.; Zhu, K.K.; Hong, K.; Cai, Y.S. A New Fusicoccane-Type Norditerpene and a New Indone from the Marine-Derived Fungus Aspergillus aculeatinus WHUF0198. Chem. Biodivers. 2021, 18, e2100562. [Google Scholar] [CrossRef]
- Xia, X.; Qi, J.; Liu, Y.; Jia, A.; Zhang, Y.; Liu, C.; Gao, C.; She, Z. Bioactive isopimarane diterpenes from the fungus, Epicoccum sp. HS-1, associated with Apostichopus japonicus. Mar. Drugs 2015, 13, 1124–1132. [Google Scholar] [CrossRef]
- Wang, W.; Wan, X.; Liu, J.; Wang, J.; Zhu, H.; Chen, C.; Zhang, Y. Two New Terpenoids from Talaromyces purpurogenus. Mar. Drugs 2018, 16, 150. [Google Scholar] [CrossRef]
- Oh, D.-C.; Jensen, P.R.; Kauffman, C.A.; Fenical, W. Libertellenones A–D: Induction of cytotoxic diterpenoid biosynthesis by marine microbial competition. Bioorg. Med. Chem. 2005, 13, 5267–5273. [Google Scholar] [CrossRef]
- Yu, H.B.; Wang, X.L.; Xu, W.H.; Zhang, Y.X.; Qian, Y.S.; Zhang, J.P.; Lu, X.L.; Liu, X.Y. Eutypellenoids A–C, New Pimarane Diterpenes from the Arctic Fungus Eutypella sp. D-1. Mar. Drugs 2018, 16, 284. [Google Scholar] [CrossRef] [PubMed]
- González, Y.; Torres-Mendoza, D.; Jones, G.E.; Fernandez, P.L. Marine Diterpenoids as Potential Anti-Inflammatory Agents. Mediat. Inflamm. 2015, 2015, 263543. [Google Scholar] [CrossRef] [PubMed]
- Wright, A.E.; Collins, J.E.; Roberts, B.; Roberts, J.C.; Winder, P.L.; Reed, J.K.; Diaz, M.C.; Pomponi, S.A.; Chakrabarti, D. Antiplasmodial Compounds from Deep-Water Marine Invertebrates. Mar. Drugs 2021, 19, 179. [Google Scholar] [CrossRef]
- Santacruz, L.; Thomas, O.P.; Duque, C.; Puyana, M.; Tello, E. Comparative Analyses of Metabolomic Fingerprints and Cytotoxic Activities of Soft Corals from the Colombian Caribbean. Mar. Drugs 2019, 17, 37. [Google Scholar] [CrossRef]
- Torres-García, I.; López-Martínez, J.L.; Muñoz-Dorado, M.; Rodríguez-García, I.; Álvarez-Corral, M. Marine Terpenic Endoperoxides. Mar. Drugs 2021, 19, 661. [Google Scholar] [CrossRef]
- Thawabteh, A.M.; Thawabteh, A.; Lelario, F.; Bufo, S.A.; Scrano, L. Classification, Toxicity and Bioactivity of Natural Diterpenoid Alkaloids. Molecules 2021, 26, 4103. [Google Scholar] [CrossRef]
- Tai, C.J.; Ahmed, A.F.; Chao, C.H.; Yen, C.H.; Hwang, T.L.; Chang, F.R.; Huang, Y.M.; Sheu, J.H. Spongenolactones A–C, Bioactive 5,5,6,6,5-Pentacyclic Spongian Diterpenes from the Red Sea Sponge Spongia sp. Mar. Drugs 2022, 20, 498. [Google Scholar] [CrossRef]
- Chen, Q.; Mao, Q.; Bao, M.; Mou, Y.; Fang, C.; Zhao, M.; Jiang, W.; Yu, X.; Wang, C.; Dai, L.; et al. Spongian Diterpenes Including One with a Rearranged Skeleton from the Marine Sponge Spongia officinalis. J. Nat. Prod. 2019, 82, 1714–1718. [Google Scholar] [CrossRef]
- El-Desoky, A.H.; Kato, H.; Angkouw, E.D.; Mangindaan, R.E.; de Voogd, N.J.; Tsukamoto, S. Ceylonamides A–F, Nitrogenous Spongian Diterpenes That Inhibit RANKL-Induced Osteoclastogenesis, from the Marine Sponge Spongia ceylonensis. J. Nat. Prod. 2016, 79, 1922–1928. [Google Scholar] [CrossRef]
- El-Desoky, A.H.; Kato, H.; Kagiyama, I.; Hitora, Y.; Losung, F.; Mangindaan, R.E.; de Voogd, N.J.; Tsukamoto, S. Ceylonins A–F, Spongian Diterpene Derivatives That Inhibit RANKL-Induced Formation of Multinuclear Osteoclasts, from the Marine Sponge Spongia ceylonensis. J. Nat. Prod. 2017, 80, 90–95. [Google Scholar] [CrossRef]
- Tai, C.J.; Huang, C.Y.; Ahmed, A.F.; Orfali, R.S.; Alarif, W.M.; Huang, Y.M.; Wang, Y.H.; Hwang, T.L.; Sheu, J.H. An Anti-Inflammatory 2,4-Cyclized-3,4-Secospongian Diterpenoid and Furanoterpene-Related Metabolites of a Marine Sponge Spongia sp. from the Red Sea. Mar. Drugs 2021, 19, 38. [Google Scholar] [CrossRef] [PubMed]
- Lhullier, C.; de Oliveira Tabalipa, E.; Nienkotter Sarda, F.; Sandjo, L.P.; Zanchett Schneider, N.F.; Carraro, J.L.; Oliveira Simoes, C.M.; Schenkel, E.P. Clerodane Diterpenes from the Marine Sponge Raspailia bouryesnaultae Collected in South Brazil. Mar. Drugs 2019, 17, 57. [Google Scholar] [CrossRef] [PubMed]
- Abdjul, D.B.; Yamazaki, H.; Kanno, S.; Takahashi, O.; Kirikoshi, R.; Ukai, K.; Namikoshi, M. Structures and Biological Evaluations of Agelasines Isolated from the Okinawan Marine Sponge Agelas nakamurai. J. Nat. Prod. 2015, 78, 1428–1433. [Google Scholar] [CrossRef] [PubMed]
- Choi, C.; Cho, Y.; Son, A.; Shin, S.W.; Lee, Y.J.; Park, H.C. Therapeutic Potential of (-)-Agelamide D, a Diterpene Alkaloid from the Marine Sponge Agelas sp. as a Natural Radiosensitizer in Hepatocellular Carcinoma Models. Mar. Drugs 2020, 18, 500. [Google Scholar] [CrossRef]
- Shingaki, M.; Wauke, T.; Ahmadi, P.; Tanaka, J. Four Cytotoxic Spongian Diterpenes from the Sponge Dysidea cf. arenaria. Chem. Pharm. Bull. 2016, 64, 272–275. [Google Scholar] [CrossRef]
- Lee, J.S.; Abdjul, D.B.; Yamazaki, H.; Takahashi, O.; Kirikoshi, R.; Ukai, K.; Namikoshi, M. Strongylophorines, new protein tyrosine phosphatase 1B inhibitors, from the marine sponge Strongylophora strongilata collected at Iriomote Island. Bioorg. Med. Chem. Lett. 2015, 25, 3900–3902. [Google Scholar] [CrossRef]
- Lee, H.Y.; Jang, E.J.; Bae, S.Y.; Jeon, J.E.; Park, H.J.; Shin, J.; Lee, S.K. Anti-Melanogenic Activity of Gagunin D, a Highly Oxygenated Diterpenoid from the Marine Sponge Phorbas sp. via Modulating Tyrosinase Expression and Degradation. Mar. Drugs 2016, 14, 212. [Google Scholar] [CrossRef]
- Hong, L.L.; Yu, H.B.; Wang, J.; Jiao, W.H.; Cheng, B.H.; Yang, F.; Zhou, Y.J.; Gu, B.B.; Song, S.J.; Lin, H.W. Unusual Anti-allergic Diterpenoids from the Marine Sponge Hippospongia lachne. Sci. Rep. 2017, 7, 43138. [Google Scholar] [CrossRef]
- Costantino, V.; Fattorusso, E.; Mangoni, A.; Perinu, C.; Cirino, G.; De Gruttola, L.; Roviezzo, F. Tedanol: A potent anti-inflammatory ent-pimarane diterpene from the Caribbean Sponge Tedania ignis. Bioorg. Med. Chem. 2009, 17, 7542–7547. [Google Scholar] [CrossRef]
- El-Desoky, A.H.; Kato, H.; Tsukamoto, S. Ceylonins G–I: Spongian diterpenes from the marine sponge Spongia ceylonensis. J. Nat. Med. 2017, 71, 765–769. [Google Scholar] [CrossRef]
- Pech-Puch, D.; Forero, A.M.; Fuentes-Monteverde, J.C.; Lasarte-Monterrubio, C.; Martinez-Guitian, M.; González-Salas, C.; Guillén-Hernández, S.; Villegas-Hernández, H.; Beceiro, A.; Griesinger, C.; et al. Antimicrobial Diterpene Alkaloids from an Agelas citrina Sponge Collected in the Yucatán Peninsula. Mar. Drugs 2022, 20, 298. [Google Scholar] [CrossRef] [PubMed]
- Bu, Q.; Yang, M.; Yan, X.Y.; Li, S.W.; Ge, Z.Y.; Zhang, L.; Yao, L.G.; Guo, Y.W.; Liang, L.F. Mililatensols A–C, New Records of Sarsolenane and Capnosane Diterpenes from Soft Coral Sarcophyton mililatensis. Mar. Drugs 2022, 20, 566. [Google Scholar] [CrossRef] [PubMed]
- Du, Y.Q.; Chen, J.; Wu, M.J.; Zhang, H.Y.; Liang, L.F.; Guo, Y.W. Uncommon Capnosane Diterpenes with Neuroprotective Potential from South China Sea Soft Coral Sarcophyton boettgeri. Mar. Drugs 2022, 20, 602. [Google Scholar] [CrossRef]
- Mohamed, T.A.; Elshamy, A.I.; Abdel-Tawab, A.M.; AbdelMohsen, M.M.; Ohta, S.; Pare, P.W.; Hegazy, M.F. Oxygenated Cembrene Diterpenes from Sarcophyton convolutum: Cytotoxic Sarcoconvolutum A–E. Mar. Drugs 2021, 19, 519. [Google Scholar] [CrossRef]
- Shaaban, M.; Issa, M.Y.; Ghani, M.A.; Hamed, A.; Abdelwahab, A.B. New pyranosyl cembranoid diterpenes from Sarcophyton trocheliophorum. Nat. Prod. Res. 2019, 33, 24–33. [Google Scholar] [CrossRef]
- Sun, H.S.; Horgen, F.D.; Romo, D.; Hull, K.G.; Kiledal, S.A.; Fleig, A.; Feng, Z.P. Waixenicin A, a marine-derived TRPM7 inhibitor: A promising CNS drug lead. Acta Pharmacol. Sin. 2020, 41, 1519–1524. [Google Scholar] [CrossRef]
- Hsiao, T.H.; Cheng, C.H.; Wu, T.Y.; Lu, M.C.; Chen, W.F.; Wen, Z.H.; Dai, C.F.; Wu, Y.C.; Sung, P.J. New cembranoid diterpenes from the cultured octocoral Nephthea columnaris. Molecules 2015, 20, 13205–13215. [Google Scholar] [CrossRef]
- Tseng, Y.J.; Yang, Y.C.; Wang, S.K.; Duh, C.Y. Numerosol A–D, new cembranoid diterpenes from the soft coral Sinularia numerosa. Mar. Drugs 2014, 12, 3371–3380. [Google Scholar] [CrossRef]
- Ye, F.; Zhu, Z.D.; Gu, Y.C.; Li, J.; Zhu, W.L.; Guo, Y.W. Further New Diterpenoids as PTP1B Inhibitors from the Xisha Soft Coral Sinularia polydactyla. Mar. Drugs 2018, 16, 103. [Google Scholar] [CrossRef]
- Wright, A.D.; Nielson, J.L.; Tapiolas, D.M.; Liptrot, C.H.; Motti, C.A. A great barrier reef Sinularia sp. yields two new cytotoxic diterpenes. Mar. Drugs 2012, 10, 1619–1630. [Google Scholar] [CrossRef]
- Thao, N.P.; Luyen, B.T.; Ngan, N.T.; Song, S.B.; Cuong, N.X.; Nam, N.H.; Kiem, P.V.; Kim, Y.H.; Minh, C.V. New anti-inflammatory cembranoid diterpenoids from the Vietnamese soft coral Lobophytum crassum. Bioorg. Med. Chem. Lett. 2014, 24, 228–232. [Google Scholar] [CrossRef] [PubMed]
- Zhao, M.; Cheng, S.; Yuan, W.; Xi, Y.; Li, X.; Dong, J.; Huang, K.; Gustafson, K.R.; Yan, P. Cembranoids from a Chinese Collection of the Soft Coral Lobophytum crassum. Mar. Drugs 2016, 14, 111. [Google Scholar] [CrossRef] [PubMed]
- Cuong, N.X.; Thao, N.P.; Luyen, B.T.; Ngan, N.T.; Thuy, D.T.; Song, S.B.; Nam, N.H.; Kiem, P.V.; Kim, Y.H.; Minh, C.V. Cembranoid diterpenes from the soft coral Lobophytum crassum and their anti-inflammatory activities. Chem. Pharm. Bull. 2014, 62, 203–208. [Google Scholar] [CrossRef] [PubMed]
- Zhou, W.; Li, J.; E, H.C.; Liu, B.S.; Tang, H.; Gerwick, W.H.; Hua, H.M.; Zhang, W. Briarane diterpenes from the South China Sea gorgonian coral, Junceella gemmacea. Mar. Drugs 2014, 12, 589–600. [Google Scholar] [CrossRef]
- Gutierrez, M.; Santamaria, R.; Gomez-Reyes, J.F.; Guzman, H.M.; Avila-Roman, J.; Motilva, V.; Talero, E. New Eunicellin-Type Diterpenes from the Panamanian Octocoral Briareum Asbestinum. Mar. Drugs 2020, 18, 84. [Google Scholar] [CrossRef]
- Lin, Y.Y.; Lin, S.C.; Feng, C.W.; Chen, P.C.; Su, Y.D.; Li, C.M.; Yang, S.N.; Jean, Y.H.; Sung, P.J.; Duh, C.Y.; et al. Anti-Inflammatory and Analgesic Effects of the Marine-Derived Compound Excavatolide B Isolated from the Culture-Type Formosan Gorgonian Briareum excavatum. Mar. Drugs 2015, 13, 2559–2579. [Google Scholar] [CrossRef]
- Hanif, N.; Murni, A.; Tanaka, J. Sangiangols A and B, Two New Dolabellanes from an Indonesian Marine Soft Coral, Anthelia sp. Molecules 2020, 25, 3803. [Google Scholar] [CrossRef]
- Lin, Y.C.; Lin, C.C.; Chu, Y.C.; Fu, C.W.; Sheu, J.H. Bioactive Diterpenes, Norditerpenes, and Sesquiterpenes from a Formosan Soft Coral Cespitularia sp. Pharmaceuticals 2021, 14, 1252. [Google Scholar] [CrossRef]
- Wu, S.L.; Su, J.H.; Huang, C.Y.; Tai, C.J.; Sung, P.J.; Liaw, C.C.; Sheu, J.H. Simplexins P–S, eunicellin-based diterpenes from the soft coral Klyxum simplex. Mar. Drugs 2012, 10, 1203–1211. [Google Scholar] [CrossRef]
- Thao, N.P.; Luyen, B.T.; Brun, R.; Kaiser, M.; Van Kiem, P.; Van Minh, C.; Schmidt, T.J.; Kang, J.S.; Kim, Y.H. Anti-Protozoal Activities of Cembrane-Type Diterpenes from Vietnamese Soft Corals. Molecules 2015, 20, 12459–12468. [Google Scholar] [CrossRef]
- Schmitz, F.J.; Michaud, D.P.; Schmidt, P.G. Marine natural products: Parguerol, deoxyparguerol, and isoparguerol. New brominated diterpenes with modified pimarane skeletons from the sea hare Aplysia dactylomela. J. Am. Chem. Soc. 1982, 104, 6415–6423. [Google Scholar] [CrossRef]
- Bian, W.-T.; You, Z.-J.; Wang, C.-Y.; Shao, C.-L. Brominated Pimarane Diterpenoids from the sea Hare Aplysia pulmonica from the South China Sea. Chem. Nat. Compd. 2014, 50, 557–559. [Google Scholar] [CrossRef]
- Zerbe, P.; Bohlmann, J. Plant diterpene synthases: Exploring modularity and metabolic diversity for bioengineering. Trends Biotechnol. 2015, 33, 419–428. [Google Scholar] [CrossRef] [PubMed]
- Bathe, U.; Tissier, A. Cytochrome P450 enzymes: A driving force of plant diterpene diversity. Phytochemistry 2019, 161, 149–162. [Google Scholar] [CrossRef] [PubMed]
- Chen, Y.; Hu, B.; Xing, J.; Li, C. Endophytes: The novel sources for plant terpenoid biosynthesis. Appl. Microbiol. Biotechnol. 2021, 105, 4501–4513. [Google Scholar] [CrossRef]
- Pelot, K.A.; Chen, R.; Hagelthorn, D.M.; Young, C.A.; Addison, J.B.; Muchlinski, A.; Tholl, D.; Zerbe, P. Functional Diversity of Diterpene Synthases in the Biofuel Crop Switchgrass. Plant Physiol. 2018, 178, 54–71. [Google Scholar] [CrossRef]
- Zidorn, C. Secondary metabolites of seagrasses (Alismatales and Potamogetonales; Alismatidae): Chemical diversity, bioactivity, and ecological function. Phytochemistry 2016, 124, 5–28. [Google Scholar] [CrossRef]
- Suzuki, T.; Takeda, S.; Hayama, N.; Tanaka, I.; Komiyama, K. The Structure of Brominated Diterpene from the Marine Red Alga Laurencia obtusa (Hudson) Lamouroux. Chem. Lett. 2006, 18, 969–970. [Google Scholar] [CrossRef]
- Pardo-Vargas, A.; de Barcelos Oliveira, I.; Stephens, P.R.; Cirne-Santos, C.C.; de Palmer Paixao, I.C.; Ramos, F.A.; Jimenez, C.; Rodriguez, J.; Resende, J.A.; Teixeira, V.L.; et al. Dolabelladienols A–C, new diterpenes isolated from Brazilian brown alga Dictyota pfaffii. Mar. Drugs 2014, 12, 4247–4259. [Google Scholar] [CrossRef]
- Campbell, S.; Murray, J.; Delgoda, R.; Gallimore, W. Two New Oxodolastane Diterpenes from the Jamaican Macroalga Canistrocarpus cervicornis. Mar. Drugs 2017, 15, 150. [Google Scholar] [CrossRef]
- Rodrigues, D.; Alves, C.; Horta, A.; Pinteus, S.; Silva, J.; Culioli, G.; Thomas, O.P.; Pedrosa, R. Antitumor and antimicrobial potential of bromoditerpenes isolated from the red alga, Sphaerococcus coronopifolius. Mar. Drugs 2015, 13, 713–726. [Google Scholar] [CrossRef] [PubMed]
- Smyrniotopoulos, V.; de Andrade Tomaz, A.C.; Vanderlei de Souza, M.F.; Leitao da Cunha, E.V.; Kiss, R.; Mathieu, V.; Ioannou, E.; Roussis, V. Halogenated Diterpenes with In Vitro Antitumor Activity from the Red Alga Sphaerococcus coronopifolius. Mar. Drugs 2019, 18, 29. [Google Scholar] [CrossRef] [PubMed]
- Smyrniotopoulos, V.; Firsova, D.; Fearnhead, H.; Grauso, L.; Mangoni, A.; Tasdemir, D. Density Functional Theory (DFT)-Aided Structure Elucidation of Linear Diterpenes from the Irish Brown Seaweed Bifurcaria bifurcata. Mar. Drugs 2021, 19, 42. [Google Scholar] [CrossRef]
- Smyrniotopoulos, V.; Merten, C.; Firsova, D.; Fearnhead, H.; Tasdemir, D. Oxygenated Acyclic Diterpenes with Anticancer Activity from the Irish Brown Seaweed Bifurcaria bifurcata. Mar. Drugs 2020, 18, 581. [Google Scholar] [CrossRef]
- Silva, J.; Alves, C.; Freitas, R.; Martins, A.; Pinteus, S.; Ribeiro, J.; Gaspar, H.; Alfonso, A.; Pedrosa, R. Antioxidant and Neuroprotective Potential of the Brown Seaweed Bifurcaria bifurcata in an in vitro Parkinson’s Disease Model. Mar. Drugs 2019, 17, 85. [Google Scholar] [CrossRef]
- Smyrniotopoulos, V.; Merten, C.; Kaiser, M.; Tasdemir, D. Bifurcatriol, a New Antiprotozoal Acyclic Diterpene from the Brown Alga Bifurcaria bifurcata. Mar. Drugs 2017, 15, 245. [Google Scholar] [CrossRef]
- Pereira, R.C.; Lourenco, A.L.; Terra, L.; Abreu, P.A.; Laneuville Teixeira, V.; Castro, H.C. Marine Diterpenes: Molecular Modeling of Thrombin Inhibitors with Potential Biotechnological Application as an Antithrombotic. Mar. Drugs 2017, 15, 79. [Google Scholar] [CrossRef]
- Abou-El-Wafa, G.S.; Shaaban, M.; Shaaban, K.A.; El-Naggar, M.E.; Maier, A.; Fiebig, H.H.; Laatsch, H. Pachydictyols B and C: New diterpenes from Dictyota dichotoma Hudson. Mar. Drugs 2013, 11, 3109–3123. [Google Scholar] [CrossRef]
- Wu, J.; Xi, Y.; Li, G.; Zheng, Y.; Wang, Z.; Wang, J.; Fang, C.; Sun, Z.; Hu, L.; Jiang, W.; et al. Hydroazulene Diterpenes from a Dictyota Brown Alga and Their Antioxidant and Neuroprotective Effects Against Cerebral Ischemia-Reperfusion Injury. J. Nat. Prod. 2021, 84, 1306–1315. [Google Scholar] [CrossRef]
- Daskalaki, M.G.; Vyrla, D.; Harizani, M.; Doxaki, C.; Eliopoulos, A.G.; Roussis, V.; Ioannou, E.; Tsatsanis, C.; Kampranis, S.C. Neorogioltriol and Related Diterpenes from the Red Alga Laurencia Inhibit Inflammatory Bowel Disease in Mice by Suppressing M1 and Promoting M2-Like Macrophage Responses. Mar. Drugs 2019, 17, 97. [Google Scholar] [CrossRef]
- Wang, X.B.; Sun, Z.H.; Fan, L.X.; Liu, Y.Y.; Feng, J.; Ma, G.X.; Chen, D.L. Two novel diterpenes from the stems and leaves of tropical seagrass Enhalus acoroides in the South China sea. Nat. Prod. Res. 2021, 35, 1465–1473. [Google Scholar] [CrossRef] [PubMed]
- Zhang, X.; Li, W.; Shen, L.; Wu, J. Four new diterpenes from the mangrove Ceriops tagal and structure revision of four dolabranes with a 4,18-epoxy group. Fitoterapia 2018, 124, 1–7. [Google Scholar] [CrossRef] [PubMed]
- Chacha, M.; Mapitse, R.; Afolayan, A.J.; Majinda, R.R.T. Antibacterial Diterpenes from the Roots of Ceriops tagal. Nat. Prod. Commun. 2008, 3, 1934578X0800300104. [Google Scholar] [CrossRef]
- Han, L.; Huang, X.; Sattler, I.; Dahse, H.M.; Fu, H.; Grabley, S.; Lin, W. Three new pimaren diterpenoids from marine mangrove plant, Bruguiera gymnorrhiza. Pharmazie 2005, 60, 705–707. [Google Scholar] [CrossRef]
- Wang, J.-D.; Guo, Y.-W. Agallochaols A and B, Two New Diterpenes from the Chinese Mangrove Excoecaria agallocha L. Helv. Chim. Acta 2004, 87, 2829–2833. [Google Scholar] [CrossRef]
- Li, X.; Lei, J.; Zheng, Y.-N.; Sattler, I.; Lin, W.-H. New ent-Isopimarane Diterpene from Mangrove Excoecaria agallocha L. Chem. Res. Chin. Univ. 2007, 23, 541–543. [Google Scholar] [CrossRef]
- Kang, J.; Chen, R.Y.; Yu, D.Q. A new isopimarane-type diterpene and a new natural atisane-type diterpene from Excoecaria agallocha. J. Asian Nat. Prod. Res. 2005, 7, 729–734. [Google Scholar] [CrossRef]
- Dai, L.P.; Li, X.F.; Feng, Q.M.; Zhang, L.X.; Liu, Q.Y.; Xu, E.P.; Wu, H.; Wang, Z.M. Isolation and identification of two pairs of cytotoxic diterpene tautomers and their tautomerization mechanisms. Sci. Rep. 2020, 10, 1442. [Google Scholar] [CrossRef]
- Mohammed, A.; Tajuddeen, N.; Ibrahim, M.A.; Isah, M.B.; Aliyu, A.B.; Islam, M.S. Potential of diterpenes as antidiabetic agents: Evidence from clinical and pre-clinical studies. Pharmacol. Res. 2022, 179, 106158. [Google Scholar] [CrossRef]
- Saha, P.; Rahman, F.I.; Hussain, F.; Rahman, S.M.A.; Rahman, M.M. Antimicrobial Diterpenes: Recent Development From Natural Sources. Front. Pharmacol. 2021, 12, 820312. [Google Scholar] [CrossRef]
- Wang, M.; Li, H.; Xu, F.; Gao, X.; Li, J.; Xu, S.; Zhang, D.; Wu, X.; Xu, J.; Hua, H.; et al. Diterpenoid lead stevioside and its hydrolysis products steviol and isosteviol: Biological activity and structural modification. Eur. J. Med. Chem. 2018, 156, 885–906. [Google Scholar] [CrossRef] [PubMed]
- Yamashita, H.; Takeda, K.; Haraguchi, M.; Abe, Y.; Kuwahara, N.; Suzuki, S.; Terui, A.; Masaka, T.; Munakata, N.; Uchida, M.; et al. Four new diterpenoid alkaloids from Aconitum japonicum subsp. subcuneatum. J. Nat. Med. 2018, 72, 230–237. [Google Scholar] [CrossRef] [PubMed]
- Zheng, G.; Jin, P.; Huang, L.; Zhang, Q.; Meng, L.; Yao, G. Structurally diverse diterpenoids from Pieris japonica as potent analgesics. Bioorg. Chem. 2020, 99, 103794. [Google Scholar] [CrossRef]
- Prieto, J.M.; Silveira, D. Natural Cytotoxic Diterpenoids, a Potential Source of Drug Leads for Melanoma Therapy. Curr. Pharm. Des. 2018, 24, 4237–4250. [Google Scholar] [CrossRef]
- Ndjoubi, K.O.; Sharma, R.; Hussein, A.A. The Potential of Natural Diterpenes Against Tuberculosis: An Updated Review. Curr. Pharm. Des. 2020, 26, 2909–2932. [Google Scholar] [CrossRef]
- Sarkar, S.; Gopal, P.K.; Paul, S. Diterpenoids-potential chemopreventive and chemotherapeutic agents in leukemia. Curr. Pharm. Biotechnol. 2014, 15, 127–142. [Google Scholar] [CrossRef]
- Luan, S.; Gao, Y.; Liang, X.; Zhang, L.; Yin, L.; He, C.; Liu, S.; Yin, Z.; Yue, G.; Zou, Y.; et al. Synthesis and structure-activity relationship of lipo-diterpenoid alkaloids with potential target of topoisomerase IIα for breast cancer treatment. Bioorg. Chem. 2021, 109, 104699. [Google Scholar] [CrossRef]
Disclaimer/Publisher’s Note: The statements, opinions and data contained in all publications are solely those of the individual author(s) and contributor(s) and not of MDPI and/or the editor(s). MDPI and/or the editor(s) disclaim responsibility for any injury to people or property resulting from any ideas, methods, instructions or products referred to in the content. |
© 2025 by the authors. Licensee MDPI, Basel, Switzerland. This article is an open access article distributed under the terms and conditions of the Creative Commons Attribution (CC BY) license (https://creativecommons.org/licenses/by/4.0/).




















































