Secondary Metabolites from the Mangrove Ecosystem-Derived Fungi Penicillium spp.: Chemical Diversity and Biological Activity
Abstract
1. Introduction
2. Structural and Biological Activity Studies
2.1. Alkaloids
2.1.1. Diketopiperazines
2.1.2. Indole-Diterpenoid Alkaloids
2.1.3. Quinolinone, Isoquinoline and Quinolone Alkaloids
2.1.4. Sclerotioramines
2.1.5. Pyridine Derivatives
2.1.6. Benzodiazepines
2.1.7. Other Alkaloids
2.2. Polyketides
2.2.1. Lactone Derivatives
2.2.2. Pyrone Derivatives
2.2.3. Azaphilone Derivatives
2.2.4. Other Polyketides
2.3. Terpenoids
2.3.1. Sesquiterpene
2.3.2. Meroterpenoids
2.4. Benzene Derivatives
2.5. Steroids
2.6. Other Classes
3. Comprehensive Overview and Conclusions
Author Contributions
Funding
Institutional Review Board Statement
Data Availability Statement
Conflicts of Interest
References
- Wu, M.; Li, Y.; Shen, H.; Zhang, Y.; Cong, W.; Hu, X.; Shi, Y.; Hu, H. A β-lactamase responsive peptide inhibits MRSA infection through self-assembled nanonet. Adv. Healthc. Mater. 2024, 13, e2402453. [Google Scholar] [CrossRef] [PubMed]
- Kothari, A.; Kherdekar, R.; Mago, V.; Uniyal, M.; Mamgain, G.; Kalia, R.B.; Kumar, S.; Jain, N.; Pandey, A.; Omar, B.J. Age of antibiotic resistance in MDR/XDR clinical pathogen of Pseudomonas aeruginosa. Pharmaceuticals 2023, 16, 1230. [Google Scholar] [CrossRef] [PubMed]
- Macedo, D.; Berrio, I.; Escandon, P.; Gamarra, S.; Garcia-Effron, G. Mechanism of azole resistance in Candida vulturna, an emerging multidrug resistant pathogen related with Candida haeumulonii and Candida auris. Mycoses 2024, 67, e13757. [Google Scholar] [CrossRef]
- Jangir, P.; Kalra, S.; Tanwar, S.; Bari, V.K. Azole resistance in Candida auris: Mechanisms and combinatorial therapy. APMIS 2023, 131, 442–462. [Google Scholar] [CrossRef]
- Kaur, R.; Bhardwaj, A.; Gupta, S. Cancer treatment therapies: Traditional to modern approaches to combat cancers. Mol. Biol. Rep. 2023, 50, 9663–9676. [Google Scholar] [CrossRef] [PubMed]
- Thai, A.A.; Solomon, B.J.; Sequist, L.V.; Gainor, J.F.; Heist, R.S. Lung cancer. Lancet 2021, 98, 535–554. [Google Scholar] [CrossRef]
- Ristaino, J.B.; Anderson, P.K.; Bebber, D.P.; Brauman, K.A.; Cunniffe, N.J.; Fedoroff, N.V.; Finegold, C.; Garrett, K.A.; Gilligan, C.A.; Jones, C.M.; et al. The persistent threat of emerging plant disease pandemics to global food security. Proc. Natl. Acad. Sci. USA 2021, 118, e2022239118. [Google Scholar] [CrossRef] [PubMed]
- Halawa, E.M. Challenges of bacteriophages application in controlling bacterial plant diseases and how to overcome them. J. Genet. Eng. Biotechnol. 2023, 21, 98. [Google Scholar] [CrossRef] [PubMed]
- Blunt, J.W.; Copp, B.R.; Keyzers, R.A.; Munro, M.H.; Prinsep, M.R. Marine natural products. Nat. Prod. Rep. 2014, 31, 160–258. [Google Scholar] [CrossRef] [PubMed]
- Blunt, J.W.; Copp, B.R.; Keyzers, R.A.; Munro, M.H.; Prinsep, M.R. Marine natural products. Nat. Prod. Rep. 2015, 32, 116–211. [Google Scholar] [CrossRef]
- Blunt, J.W.; Copp, B.R.; Keyzers, R.A.; Munro, M.H.; Prinsep, M.R. Marine natural products. Nat. Prod. Rep. 2016, 33, 382–431. [Google Scholar] [CrossRef] [PubMed]
- Blunt, J.W.; Copp, B.R.; Keyzers, R.A.; Munro, M.H.; Prinsep, M.R. Marine natural products. Nat. Prod. Rep. 2017, 34, 235–294. [Google Scholar] [CrossRef]
- Blunt, J.W.; Carroll, A.R.; Copp, B.R.; Davis, R.A.; Keyzers, R.A.; Prinsep, M.R. Marine natural products. Nat. Prod. Rep. 2018, 35, 8–53. [Google Scholar] [CrossRef] [PubMed]
- Carroll, A.R.; Copp, B.R.; Davis, R.A.; Keyzers, R.A.; Prinsep, M.R. Marine natural products. Nat. Prod. Rep. 2019, 36, 122–173. [Google Scholar] [CrossRef] [PubMed]
- Carroll, A.R.; Copp, B.R.; Davis, R.A.; Keyzers, R.A.; Prinsep, M.R. Marine natural products. Nat. Prod. Rep. 2020, 37, 175–223. [Google Scholar] [CrossRef] [PubMed]
- Carroll, A.R.; Copp, B.R.; Davis, R.A.; Keyzers, R.A.; Prinsep, M.R. Marine natural products. Nat. Prod. Rep. 2021, 38, 362–413. [Google Scholar] [CrossRef] [PubMed]
- Carroll, A.R.; Copp, B.R.; Davis, R.A.; Keyzers, R.A.; Prinsep, M.R. Marine natural products. Nat. Prod. Rep. 2022, 39, 1122–1171. [Google Scholar] [CrossRef] [PubMed]
- Carroll, A.R.; Copp, B.R.; Davis, R.A.; Keyzers, R.A.; Prinsep, M.R. Marine natural products. Nat. Prod. Rep. 2023, 40, 275–325. [Google Scholar] [CrossRef]
- Carroll, A.R.; Copp, B.R.; Grkovic, T.; Keyzers, R.A.; Prinsep, M.R. Marine natural products. Nat. Prod. Rep. 2024, 41, 162–207. [Google Scholar] [CrossRef] [PubMed]
- Haldar, S.; Nazareth, S.W. Diversity of fungi from mangrove sediments of Goa, India, obtained by metagenomic analysis using Illumina sequencing. 3 Biotech 2019, 9, 164. [Google Scholar] [CrossRef] [PubMed]
- Nathan, V.K.; Vijayan, J.; Ammini, P. Comparison of bacterial diversity from two mangrove ecosystems from India through metagenomic sequencing. Reg. Stud. Mar. Sci. 2020, 35, 101184. [Google Scholar] [CrossRef]
- Chen, Y.; Yang, W.; Zou, G.; Chen, S.; Pang, J.; She, Z. Bioactive polyketides from the mangrove endophytic fungi Phoma sp. SYSU-SK-7. Fitoterapia 2019, 139, 104369. [Google Scholar] [CrossRef] [PubMed]
- Wu, M.D.; Chen, J.J.; Cheng, M.J. Secondary metabolites with antifungal activities from mangrove derived fungus Monascus purpureus WMD2424. Mar. Drugs 2023, 21, 200. [Google Scholar] [CrossRef] [PubMed]
- He, F.; Li, X.; Yu, J.H.; Zhang, X.; Nong, X.; Chen, G.; Zhu, K.; Wang, Y.Y.; Bao, J.; Zhang, H. Secondary metabolites from the mangrove sediment-derived fungus Penicillium pinophilum SCAU037. Fitoterapia 2019, 136, 104177. [Google Scholar] [CrossRef]
- Lu, Y.; Villegas-Moreno, J.; Clark, B.R. Secondary metabolites from Penicillium chrysogenum WX6 and their chemotaxonomic significance. Biochem. Syst. Ecol. 2024, 116, 104858. [Google Scholar] [CrossRef]
- Rong, X.; Zhang, L.; He, W.; Guo, Z.; Lv, H.; Bai, J.; Yu, L.; Zhang, L.; Zhang, T. Exploration of diverse secondary metabolites from Penicillium brasilianum by co-culturing with Armillaria mellea. Appl. Microbiol. Biotechnol. 2024, 108, 462. [Google Scholar] [CrossRef]
- Chen, S.; Cai, R.; Liu, Z.; Cui, H.; She, Z. Secondary metabolites from mangrove-associated fungi: Source, chemistry and bioactivities. Nat. Prod. Rep. 2022, 39, 560–595. [Google Scholar] [CrossRef]
- Luo, Y.; Luo, X.; Zhang, T.; Li, S.; Liu, S.; Ma, Y.; Wang, Z.; Jin, X.; Liu, J.; Wang, X. Anti-tumor secondary metabolites originating from fungi in the South China Sea’s mangrove ecosystem. Bioengineering 2022, 9, 776. [Google Scholar] [CrossRef]
- Yu, Y.; Wang, Z.; Xiong, D.; Zhou, L.; Kong, F.; Wang, Q. New secondary metabolites of mangrove-associated strains. Mar. Drugs 2024, 22, 372. [Google Scholar] [CrossRef] [PubMed]
- Gao, Y.; Wang, J.; Meesakul, P.; Zhou, J.; Liu, J.; Liu, S.; Wang, C.; Cao, S. Cytotoxic compounds from marine fungi: Sources, structures, and bioactivity. Mar. Drugs 2024, 22, 70. [Google Scholar] [CrossRef] [PubMed]
- Lv, F.; Zeng, Y. Novel bioactive natural products from marine-derived Penicillium fungi: A review (2021–2023). Mar. Drugs 2024, 22, 191. [Google Scholar] [CrossRef]
- Li, K.; Chen, S.; Pang, X.; Cai, J.; Zhang, X.; Liu, Y.; Zhu, Y.; Zhou, X. Natural products from mangrove sediments-derived microbes: Structural diversity, bioactivities, biosynthesis, and total synthesis. Eur. J. Med. Chem. 2022, 230, 114117. [Google Scholar] [CrossRef]
- Bai, M.; Zheng, C.J.; Chen, G.Y. Austins-type meroterpenoids from a mangrove-derived Penicillium sp. J. Nat. Prod. 2021, 84, 2104–2110. [Google Scholar] [CrossRef] [PubMed]
- Zeng, W.N.; Cai, J.; Wang, B.; Chen, L.Y.; Pan, C.X.; Chen, S.J.; Huang, G.L.; Zheng, C.J. A new bioactive isocoumarin from the mangrove-derived fungus Penicillium sp. TGM112. J. Asian Nat. Prod. Res. 2022, 24, 679–684. [Google Scholar] [CrossRef]
- Hao, B.C.; Zheng, Y.Y.; Li, Z.H.; Zheng, C.J.; Wang, C.Y.; Chen, M. Targeted isolation of prenylated indole alkaloids from the marine-derived fungus Penicillium janthinellum HK1-6 using molecular networking. Nat. Prod. Res. 2024, 38, 2252–2257. [Google Scholar] [CrossRef] [PubMed]
- Wang, J.W.; Liu, Y.Y.; Chen, G.Y.; Zheng, C.J.; Nong, X.H. Alkaloid-metabolites from the mangrove-derived fungus Penicillium robsamsonii HNNU0006. Fitoterapia 2024, 175, 105906. [Google Scholar] [CrossRef] [PubMed]
- Long, K.Y.; Dai, D.C.; Zheng, C.J.; Wang, Y.T.; Song, X.M.; Chen, X.; Zhou, X.M.; Chen, G.Y. Three new long-chain polyenes from the mangrove-derived fungus Penicillium herquei JX4. J. Asian Nat. Prod. Res. 2023, 25, 422–428. [Google Scholar] [CrossRef] [PubMed]
- Wang, B.; Nong, X.H.; Zeng, W.N.; Li, S.S.; Li, G.Y.; Liu, J.; Zheng, C.J. Study on bioactive secondary metabolites from the mangrove-derived fungus Penicillium verruculosum TGM14. Chem. Nat. Compd. 2022, 58, 812–815. [Google Scholar] [CrossRef]
- Mei, R.Q.; Wang, B.; Zeng, W.N.; Huang, G.L.; Chen, G.Y.; Zheng, C.J. Bioactive isocoumarins isolated from a mangrove-derived fungus Penicillium sp. MGP11. Nat. Prod. Res. 2022, 36, 1260–1265. [Google Scholar] [CrossRef]
- Ji, R.N.; Wu, J.T.; Hao, B.C.; Zhu, X.H.; Xue, J.C.; Zheng, C.J.; Chen, M. A new eudesmane sesquiterpenoid from the marine-derived fungus Penicillium sp. HK1-22. Chem. Nat. Compd. 2023, 59, 285–287. [Google Scholar] [CrossRef]
- Mei, R.Q.; Wang, B.; Zeng, W.N.; Huang, G.L.; Chen, G.Y.; Zheng, C.J. Austin meroterpenoids from mangrove-derived fungus penicillium sp. MGP11 with α-glucosidase inhibitory activity. Chem. Nat. Compd. 2022, 58, 777–779. [Google Scholar] [CrossRef]
- Wang, B.; Chen, Q.H.; Jiang, T.; Cai, Y.W.; Huang, G.L.; Sun, X.P.; Zheng, C.J. Secondary metabolites from the mangrove-derived fungus Penicillium verruculosum and their bioactivities. Chem. Nat. Compd. 2021, 57, 588–591. [Google Scholar] [CrossRef]
- Zeng, W.N.; Huang, G.L.; Wang, B.; Cai, J.; Zheng, C.J. Secondary metabolites and bioactivities of Penicillium sp. sourced from mangrove from 2007 to 2020. Chin. J. Org. Chem. 2021, 41, 4255. [Google Scholar] [CrossRef]
- Zhu, M.; Yang, Z.; Wang, H.; Gan, Q.; Zhang, G.; Che, Q.; Zhu, T.; Gu, Q.; Han, B.; Li, D. Penispirozines A-H, three classes of dioxopiperazine alkaloids with spirocyclic skeletons isolated from the mangrove-derived Penicillium janthinellum. J. Nat. Prod. 2020, 83, 2647–2654. [Google Scholar] [CrossRef] [PubMed]
- He, L.M.; Zhao, Z.F.; Zhang, M.K.; Xiang, Z.J.; Hong, K.; Fang, F.K.; Cai, Y.S. Peniciisoquinoline A: A new tetrahydroisoquinoline from mangrove-derived fungus Penicillium sp. DM27. J. Holist. Integr. Pharm. 2022, 3, 248–254. [Google Scholar] [CrossRef]
- Liu, S.Z.; He, F.M.; Bin, Y.L.; Li, C.F.; Xie, B.Y.; Tang, X.X.; Qiu, Y.K. Bioactive compounds derived from the marine-derived fungus MCCC3A00951 and their influenza neuraminidase inhibition activity in vitro and in silico. Nat. Prod. Res. 2021, 35, 5621–5628. [Google Scholar] [CrossRef] [PubMed]
- Ding, W.; Wang, F.; Li, Q.; Xue, Y.; Dong, Z.; Tian, D.; Chen, M.; Zhang, Y.; Hong, K.; Tang, J. Isolation and characterization of anti-Inflammatory sorbicillinoids from the mangrove-derived fungus Penicillium sp. DM815. Chem. Biodivers. 2021, 18, e2100229. [Google Scholar] [CrossRef] [PubMed]
- Liu, S.Z.; Tang, X.X.; He, F.M.; Jia, J.X.; Hu, H.; Xie, B.Y.; Li, M.Y.; Qiu, Y.K. Two new compounds from a mangrove sediment-derived fungus Penicillium polonicum H175. Nat. Prod. Res. 2022, 36, 2370–2378. [Google Scholar] [CrossRef]
- Cai, J.; Wang, X.; Yang, Z.; Tan, Y.; Peng, B.; Liu, Y.; Zhou, X. Thiodiketopiperazines and alkane derivatives produced by the mangrove sediment-derived fungus Penicillium ludwigii SCSIO 41408. Front. Microbiol. 2022, 13, 857041. [Google Scholar] [CrossRef] [PubMed]
- Hu, J.; Wu, Y.W.; Wang, C.F.; Zhai, R.Q.; Shao, C.L.; Zheng, J.Y.; Wei, M.Y. Secondary metabolites of the mangrove-derived fungus Penicillium sp. and their biological activities. China J. Mar. Drugs 2023, 42, 13–18. [Google Scholar]
- Hou, Z.M.; Yu, S.Q.; Tao, M.; Xia, C.B.; Xia, Y.L.; Wu, X.F.; Dong, C.Z. New purinyl-steroid and other constituents from the marine fungus penicillium brefeldianum ABC190807: Larvicidal activities against aedes aegypti. J. Chem. 2021, 2021, 6640552. [Google Scholar] [CrossRef]
- Zheng, Y.Y.; Shen, N.X.; Liang, Z.Y.; Shen, L.; Chen, M.; Wang, C.Y. Paraherquamide J, a new prenylated indole alkaloid from the marine-derived fungus Penicillium janthinellum HK1-6. Nat. Prod. Res. 2020, 34, 378–384. [Google Scholar] [CrossRef]
- Liang, Z.Y.; Shen, N.X.; Zhou, X.J.; Zheng, Y.Y.; Chen, M.; Wang, C.Y. Bioactive indole diterpenoids and polyketides from the marine-derived fungus Penicillium javanicum. Chem. Nat. Compd. 2020, 56, 379–382. [Google Scholar] [CrossRef]
- Cai, J.; Li, M.; Chen, C.; Yang, B.; Gao, C.; Liu, Y.; Luo, X.; Tan, Y.; Zhou, X. Peniditerpenoids A and B: Oxidized indole diterpenoids with osteoclast differentiation inhibitory activity from a mangrove-sediment-derived Penicillium sp. J. Nat. Prod. 2024, 87, 1401–1406. [Google Scholar] [CrossRef] [PubMed]
- Wang, X.X.; Chen, Z.L.; Zhang, J.S.; Liu, H.S.; Ma, R.P.; Liu, X.P.; Li, M.Y.; Ge, D.; Bao, J.; Zhang, H. Indole diterpenes from mangrove sediment-derived fungus Penicillium sp. UJNMF0740 Protect PC12 cells against 6-OHDA-induced neurotoxicity via regulating the PI3K/Akt pathway. Mar. Drugs 2023, 21, 593. [Google Scholar] [CrossRef] [PubMed]
- Newaz, A.W.; Yong, K.; Yi, W.; Wu, B.; Zhang, Z. Antimicrobial metabolites from the indonesian mangrove sediment-derived fungus Penicillium chrysogenum sp. ZZ1151. Nat. Prod. Res. 2023, 37, 1702–1708. [Google Scholar] [CrossRef] [PubMed]
- Liu, Y.; Xue, X.; Zhou, L.; Yang, W.; She, Z.; Liao, Q.; Feng, Y.; Chen, X.; Zhang, Y. Quinolinones alkaloids with AChE inhibitory activity from mangrove endophytic fungus Penicillium citrinum YX-002. Chem. Biodivers. 2023, 20, e202300735. [Google Scholar] [CrossRef]
- Chen, C.M.; Chen, W.H.; Pang, X.Y.; Liao, S.R.; Wang, J.F.; Lin, X.P.; Yang, B.; Zhou, X.F.; Luo, X.W.; Liu, Y.H. Pyrrolyl 4-quinolone alkaloids from the mangrove endophytic fungus Penicillium steckii SCSIO 41025: Chiral resolution, configurational assignment, and enzyme inhibitory activities. Phytochemistry 2021, 186, 112730. [Google Scholar] [CrossRef]
- Li, J.; Li, Z.; Chen, T.; Ye, G.; Qiu, L.; Long, Y. New azaphilones from mangrove endophytic fungus Penicillium sclerotiorin SCNU-F0040. Nat. Prod. Res. 2023, 37, 296–304. [Google Scholar] [CrossRef]
- Jiang, H.; Cai, R.; Zang, Z.; Yang, W.; Wang, B.; Zhu, G.; Yuan, J.; She, Z. Azaphilone derivatives with anti-inflammatory activity from the mangrove endophytic fungus Penicillium sclerotiorum ZJHJJ-18. Bioorg. Chem. 2022, 122, 105721. [Google Scholar] [CrossRef]
- Jia, H.; Wu, L.; Liu, R.; Li, J.; Liu, L.; Chen, C.; Li, J.; Zhang, K.; Liao, J.; Long, Y. Penifuranone A: A novel alkaloid from the mangrove endophytic fungus Penicillium crustosum SCNU-F0006. Int. J. Mol. Sci. 2024, 25, 5032. [Google Scholar] [CrossRef] [PubMed]
- Chen, C.M.; Chen, W.H.; Tao, H.M.; Yang, B.; Zhou, X.F.; Luo, X.W.; Liu, Y.H. Diversified polyketides and nitrogenous compounds from the mangrove endophytic fungus Penicillium steckii SCSIO 41025. Chin. J. Chem. 2021, 39, 2132–2140. [Google Scholar] [CrossRef]
- Wang, Y.R.; Dong, Y.L.; Li, X.M.; Shi, X.S.; Li, H.L.; Meng, L.H.; Xu, R.; Wang, B.G. Curvularin derivatives from the marine mangrove derived fungus Penicillium sumatrense MA-325. Phytochemistry 2024, 220, 114000. [Google Scholar] [CrossRef]
- Gan, Y.M.; Xia, J.L.; Zhao, L.Y.; Liu, K.; Tang, Z.Z.; Huang, B.Y.; Bai, M. Two new isocoumarins isolated from a mangrove-derived Penicillium sp. Phytochem. Lett. 2022, 50, 21–24. [Google Scholar] [CrossRef]
- Zheng, Y.; Chen, X.; Chen, L.; Shen, L.; Fu, X.; Chen, Q.; Wang, C. Isolation and neuroprotective activity of phenolic derivatives from the marine-derived fungus Penicillium janthinellum. J. Ocean Univ. China 2020, 19, 700–706. [Google Scholar] [CrossRef]
- Chen, C.; Ye, G.; Tang, J.; Li, J.; Liu, W.; Wu, L.; Long, Y. New polyketides from mangrove endophytic fungus Penicillium sp. BJR-P2 and their anti-inflammatory activity. Mar. Drugs 2022, 20, 583. [Google Scholar] [CrossRef] [PubMed]
- Cao, G.P.; Xia, J.L.; Zhao, L.Y.; Tang, Z.Z.; Lin, X.; Liu, Y.H.; Gao, C.H.; Liu, K.; Bai, M. Penicixanthene E, a new xanthene isolated from a mangrove-derived fungus Penicillium sp. J. Antibiot. 2022, 75, 526–529. [Google Scholar] [CrossRef]
- Qiu, P.; Cai, R.L.; Li, L.; She, Z.G. Three new isocoumarin derivatives from the mangrove endophytic fungus Penicillium sp. YYSJ-3. Chin. J. Nat. Med. 2020, 18, 256–260. [Google Scholar] [CrossRef]
- Shen, N.; Liang, Z.; Liu, Q.; Tu, C.; Dong, K.; Wang, C.; Chen, M. Antifungal secondary metabolites isolated from mangrove rhizosphere soil-derived penicillium fungi. J. Ocean Univ. China 2020, 19, 717–721. [Google Scholar] [CrossRef]
- Liu, F.; Wang, W.; Wang, F.; Zhou, L.; Luo, G.; Zhang, G.; Zhu, T.; Che, Q.; Li, D. Polyketide derivatives from the mangrove-derived fungus Penicillium sp. HDN15-312. Mar. Drugs 2024, 22, 360. [Google Scholar] [CrossRef]
- Peng, B.; Cai, J.; Xiao, Z.; Liu, M.; Li, X.; Yang, B.; Fang, W.; Huang, Y.Y.; Chen, C.; Zhou, X.; et al. Bioactive polyketides and benzene derivatives from two mangrove sediment-derived fungi in the Beibu Gulf. Mar. Drugs 2023, 21, 327. [Google Scholar] [CrossRef] [PubMed]
- Yang, S.Q.; Li, X.M.; Chen, X.D.; Li, X.; Wang, B.G. Three new α-pyrone derivatives from the soil-derived fungus Penicillium herquei MA-370. Nat. Prod. Res. 2024, 38, 2983–2988. [Google Scholar] [CrossRef] [PubMed]
- Wang, L.; Shi, Y.; Che, Q.; Zhu, T.; Zhang, G.; Zhang, X.; Li, M.; Li, D. Penipyrols C-G and methyl-penipyrol A, α-pyrone polyketides from the mangrove derived fungus Penicillium sp. HDN-11-131. Bioorg. Chem. 2021, 113, 104975. [Google Scholar] [CrossRef]
- Wang, W.; Wang, M.; Wang, X.B.; Li, Y.Q.; Ding, J.L.; Lan, M.X.; Gao, X.; Zhao, D.L.; Zhang, C.S.; Wu, G.X. Phytotoxic azaphilones from the mangrove-derived fungus Penicillium sclerotiorum HY5. Front. Microbiol. 2022, 13, 880874. [Google Scholar] [CrossRef] [PubMed]
- Chen, C.; Xiao, L.; Luo, X.; Cai, J.; Huang, L.; Tao, H.; Zhou, X.; Tan, Y.; Liu, Y. Identifying marine-derived tanzawaic acid derivatives as novel inhibitors against osteoclastogenesis and osteoporosis via downregulation of NF-κB and NFATc1 activation. J. Med. Chem. 2024, 67, 2602–2618. [Google Scholar] [CrossRef]
- Yang, S.Q.; Mándi, A.; Li, X.M.; Liu, H.; Li, X.; Balázs Király, S.; Kurtán, T.; Wang, B.G. Separation and configurational assignment of stereoisomeric phenalenones from the marine mangrove-derived fungus Penicillium herquei MA-370. Bioorg. Chem. 2021, 106, 104477. [Google Scholar] [CrossRef]
- Afiyatullov, S.S.; Antonov, A.S.; Pivkin, M.V.; Denisenko, V.A.; Popov, R.S.; Ngoc, N.T.D.; Leshchenko, E.V. New cadinane-type sesquiterpene from marine isolate of the fungus Penicillium oxalicum KMM 4683. Chem. Nat. Compd. 2021, 57, 187–189. [Google Scholar] [CrossRef]
- Wu, Q.; Chang, Y.; Che, Q.; Li, D.; Zhang, G.; Zhu, T. Citreobenzofuran D-F and phomenone A-B: Five novel sesquiterpenoids from the mangrove-derived fungus penicillium sp. HDN13-494. Mar. Drugs 2022, 20, 137. [Google Scholar] [CrossRef] [PubMed]
- Chen, T.; Yang, W.; Li, T.; Yin, Y.; Liu, Y.; Wang, B.; She, Z. Hemiacetalmeroterpenoids A-C and astellolide Q with antimicrobial activity from the marine-derived fungus Penicillium sp. N-5. Mar. Drugs 2022, 20, 514. [Google Scholar] [CrossRef] [PubMed]
- Qin, Y.Y.; Li, W.S.; Zhang, X.; Yu, Z.X.; Li, X.B.; Chen, H.Y.; Chen, G.Y. Meroterpenoids possessing diverse rearranged skeletons with anti-inflammatory activity from the mangrove-derived fungus Penicillium sp. HLLG-122. Chin. J. Chem. 2023, 41, 2507–2517. [Google Scholar] [CrossRef]
- Qin, Y.Y.; Zou, L.H.; Lei, X.G.; Su, J.W.; Yang, R.X.; Xie, W.J.; Li, W.S.; Chen, G.Y. OSMAC strategy integrated with molecular networking discovery peniciacetals A-I, nine new meroterpenoids from the mangrove-derived fungus Penicillium sp. HLLG-122. Bioorg. Chem. 2023, 130, 106271. [Google Scholar] [CrossRef]
- Chen, T.; Liu, Y.F.; Huang, Y.; Yang, W.C.; Sun, B.; Tan, Q.; Wei, T.Y.; Wang, B.; Yuan, J.; She, Z.G. Cyclohexenoneterpenes A-J: Cytotoxic meroterpenoids from mangrove-associated fungus Penicillium sp. N-5. Phytochemistry 2023, 215, 113868. [Google Scholar] [CrossRef]
- Bai, M.; Gao, C.H.; Liu, K.; Zhao, L.Y.; Tang, Z.Z.; Liu, Y.H. Two new benzophenones isolated from a mangrove-derived fungus Penicillium sp. J. Antibiot 2021, 74, 821–824. [Google Scholar] [CrossRef]
- Zhou, G.J.; Xiong, W.J.; Xu, W.; Dou, Z.R.; Liu, B.C.; Li, X.L.; Du, H.; Li, H.F.; Jiang, B.; Wang, K.L.; et al. Diversity and anti-infectious components of cultivable rhizosphere fungi derived from three species of Astragalus plants in Northwestern Yunnan, China. J. Fungi 2024, 10, 736. [Google Scholar] [CrossRef] [PubMed]
- Jia, S.L.; Chi, Z.; Liu, G.L.; Hu, Z.; Chi, Z.M. Fungi in mangrove ecosystems and their potential applications. Crit. Rev. Biotechnol. 2020, 40, 852–864. [Google Scholar] [CrossRef] [PubMed]
- Gribble, G.W. A survey of recently discovered naturally occurring organohalogen compounds. J. Nat. Prod. 2024, 87, 1285–1305. [Google Scholar] [CrossRef]





























| Compounds | Producing Strains | Habitats | Genbank Accession | Bioactivities | Refs |
|---|---|---|---|---|---|
| Penispirozines A–B (1–2) | P. janthinellum HDN13-309 | Mangrove Sonneratia caseolaris, Hainan, China | KM659023 | [44] | |
| Penispirozine C (3) | P. janthinellum HDN13-309 | Mangrove Sonneratia caseolaris, Hainan, China | KM659023 | increased the expression (SOD2 and HO-1) at 10 μM | [44] |
| Penispirozine D (4) | P. janthinellum HDN13-309 | Mangrove Sonneratia caseolaris, Hainan, China | KM659023 | increased the expression (SOD2 and HO-1) at 10 μM | [44] |
| Penispirozines E–H (5–8) | P. janthinellum HDN13-309 | Mangrove Sonneratia caseolaris, Hainan, China | KM659023 | [44] | |
| Brevianamide F (9) | Penicillium sp. DM27 | Rhizosphere soil of mangrove Bruguiera gymnorrhiza, Chantaburi, Thailand | - | [45] | |
| Maculosin (10) | Penicillium sp. DM27 | Rhizosphere soil of mangrove Bruguiera gymnorrhiza, Chantaburi, Thailand | - | [45] | |
| Okaramine U (11) | Penicillium sp. DM27 | Rhizosphere soil of mangrove Bruguiera gymnorrhiza, Chantaburi, Thailand | - | [45] | |
| Cyclo(trp-phe) (12) | P. polonicum MCCC3A00951 | Mangrove sediments, Fujian, China | - | [45] | |
| (3E)-3-[(1H-imidazol-4-yl) Methylidene]-6-[(1H-indol-3-yl)methyl]piperazine-2,5-dione (13) | Penicillium sp. DM815 | Rhizosphere soil of mangrove Hibiscus tiliaceus, Hainan, China | NR111815 | [47] | |
| Fructigenine A (14) | P. polonicum H175 | Mangrove sediment, Fujian, China | KY978580 | [48] | |
| Aurantiomide C (15) | P. polonicum H175 | Mangrove sediment, Fujian, China | KY978580 | [48] | |
| Adametizine C (16) | P. ludwigii SCSIO 41408 | Mangrove sediment, Hainan, China | OL823084. | MIC (anti-Erysipelothrix rhusiopathiae) 50 µg/mL MIC (anti-S. suis) 100 µg/mL IC50 (cytotoxicity-22Rv1) 13.9 µM IC50 (LPS-induced NF-κB) 8.2 µM | [49] |
| Adametizine A (17) | P. ludwigii SCSIO 41408 | Mangrove sediment, Hainan, China | OL823084. | MIC (anti-Erysipelothrix rhusiopathiae) 100 µg/mL IC50 (cytotoxicity-22Rv1) 13.0 µM IC50 (NF-κB inhibitory activity) 15.1 µM | [49] |
| DC1149B (18) | P. ludwigii SCSIO 41408 | Mangrove sediment, Hainan, China | OL823084. | MIC (anti-Erysipelothrix rhusiopathiae) 50 µg/mL MIC (anti-S. suis) 50 µg/mL IC50 (cytotoxicity-22Rv1) 13.6 µM IC50 (cytotoxicity-PC-3) 5.1 µM | [49] |
| Outovirin B (19) | P. ludwigii SCSIO 41408 | Mangrove sediment, Hainan, China | OL823084. | MIC (anti-Erysipelothrix rhusiopathiae) 100 µg/mL MIC (anti-S. suis) 100 µg/mL | [49] |
| Pretrichodermamide E (20) | P. ludwigii SCSIO 41408 | Mangrove sediment, Hainan, China | OL823084. | MIC (anti-Erysipelothrix rhusiopathiae) 50 µg/mL MIC (anti-S. suis) 100 µg/mL IC50 (NF-κB inhibitory activity) 12.6 µM | [49] |
| Peniciadametizine A (21) | P. ludwigii SCSIO 41408 | Mangrove sediment, Hainan, China | OL823084. | [49] | |
| Bisdethiobis (methylthio)-acetylapoaranotin (22) | Penicillium sp. HS-N-29 | Mangrove Acanthus ilicifolius, South China Sea | MW178203. | [50] | |
| Alternarosin A (23) | Penicillium sp. HS-N-29 | Mangrove Acanthus ilicifolius, South China Sea | MW178203 | [50] | |
| Fumitremorgin A (24) | P. brefeldianum ABC190807 | Mangrove sediment, Hainan, China | MN264643 | LC50 (larvicidal activity) 0.337 mg/mL | [51] |
| Paraherquamides J, K, A and E (25–28) | P. janthinellum HK1-6 | Mangrove rhizosphere soil, Hainan, China | KY412802 | [52] | |
| Notoamide X (29) | P. janthinellum HK1-6 | Mangrove rhizosphere soil, Hainan, China | KY412802 | [52] | |
| Paspaline (30) | P. javanicum HK1-23 | Mangrove rhizosphere soil, Hainan, China | MH877078 | [53] | |
| 3-Deoxo-4b-deoxypaxilline (31) | P. javanicum HK1-23 | Mangrove rhizosphere soil, Hainan, China | MH877078 | [53] | |
| 6,7-dehydropaxilline (32) | P. javanicum HK1-23 | Mangrove rhizosphere soil, Hainan, China | MH877078 | [53] | |
| Emindole SB (33) | P. javanicum HK1-23 | Mangrove rhizosphere soil, Hainan, China | MH877078 | MIC (anti-S. aureus) 6.25 µg/mL | [53] |
| Paspalinine (34) | P. javanicum HK1-23 | Mangrove rhizosphere soil, Hainan, China | MH877078 | [53] | |
| Paspalitrems C and A (35–36) | P. javanicum HK1-23 | Mangrove rhizosphere soil, Hainan, China | MH877078 | [53] | |
| Peniditerpenoid A (37) | Penicillium sp. SCSIO 41411 | Mangrove sediment, Guangdong, China | OQ052995 | IC50 (NF-κB inhibitory activity) 11 µM | [54] |
| Peniditerpenoid B (38) | Penicillium sp. SCSIO 41411 | Mangrove sediment, Guangdong, China | OQ052995 | [54] | |
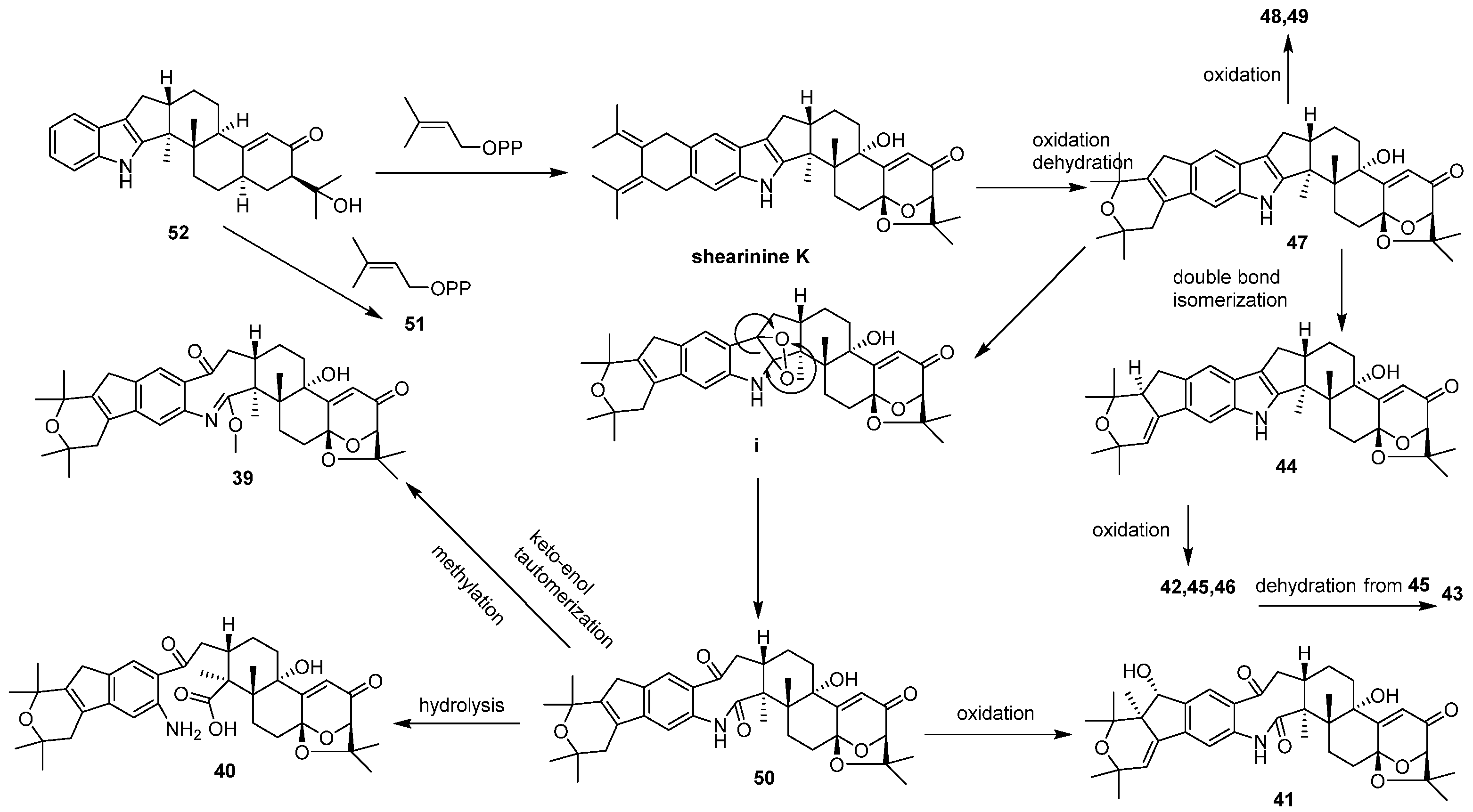
| Shearinine R (39) | Penicillium sp. UJNMF0740 | Rhizosphere soil of mangrove Kandelia candel, Hainan, China | NR111508 | [55] | |
| Shearinine S (40) | Penicillium sp. UJNMF0740 | Rhizosphere soil of mangrove Kandelia candel, Hainan, China | NR111508 | [55] | |
| 22-Hydroxyshearinine I (41) | Penicillium sp. UJNMF0740 | Rhizosphere soil of mangrove Kandelia candel, Hainan, China | NR111508 | [55] | |
| Shearinine T (42) | Penicillium sp. UJNMF0740 | Rhizosphere soil of mangrove Kandelia candel, Hainan, China | NR111508 | [55] | |
| 22,23-Dehydro-shearinineA (43) | Penicillium sp. UJNMF0740 | Rhizosphere soil of mangrove Kandelia candel, Hainan, China | NR111508 | Protective effects (6-OHDA-induced PC12) 5.1 µM | [55] |
| Shearinine A (44) | Penicillium sp. UJNMF0740 | Rhizosphere soil of mangrove Kandelia candel, Hainan, China | NR111508 | IC50 (anti-S. aureus) 48.4 µM | [55] |
| Shearinines D–E (45–46) | Penicillium sp. UJNMF0740 | Rhizosphere soil of mangrove Kandelia candel, Hainan, China | NR111508 | [55] | |
| Shearinine F (47) | Penicillium sp. UJNMF0740 | Rhizosphere soil of mangrove Kandelia candel, Hainan, China | NR111508 | IC50 (anti-S. aureus) 47.6 µM | [55] |
| Shearinine G (48) | Penicillium sp. UJNMF0740 | Rhizosphere soil of mangrove Kandelia candel, Hainan, China | NR111508 | [55] | |
| 22-Hydroxylshearinine F (49) | Penicillium sp. UJNMF0740 | Rhizosphere soil of mangrove Kandelia candel, Hainan, China | NR111508 | [55] | |
| Shearinine H (50) | Penicillium sp. UJNMF0740 | Rhizosphere soil of mangrove Kandelia candel, Hainan, China | NR111508 | [55] | |
| Paspalitrem C (51), | Penicillium sp. UJNMF0740 | Rhizosphere soil of mangrove Kandelia candel, Hainan, China | NR111508 | [55] | |
| Dehydroxypaxilline (52) | Penicillium sp. UJNMF0740 | Rhizosphere soil of mangrove Kandelia candel, Hainan, China | NR111508 | [55] | |
| Penicioxa A (53) | P. robsamsonii HNNU0006 | Rhizospheric soil of mangrove Sonneratia paracaseolaris, Hainan, China | MZ477207 | [36] | |
| Oxaline (54) | P. robsamsonii HNNU0006 | Rhizospheric soil of mangrove Sonneratia paracaseolaris, Hainan, China | MZ477207 | [36] | |
| Meleagrin (55) | Penicillium sp. DM27 | Rhizosphere soil of mangrove Bruguiera gymnorrhiza, Chantaburi, Thailand | - | [45] | |
| Neooxaline (56) | Penicillium sp. DM27 | Rhizosphere soil of mangrove Bruguiera gymnorrhiza, Chantaburi, Thailand | - | [45] | |
| Peniciherquamide A (57) | P. chrysogenum ZZ1151 | Mangrove sediment, Indonesia | - | [56] | |
| Preparaherquamide (58) | P. chrysogenum ZZ1151 | Mangrove sediment, Indonesia | - | [56] | |
| Quinolactone A (59) | P. citrinum YX-002 | Mangrove Thespesia populnea, Guangdong, China | MN826202 | IC50 (inhibited-AChE) 27.6 μML | [57] |
| Quinolactacin C1 (60) | P. citrinum YX-002 | Mangrove Thespesia populnea, Guangdong, China | MN826202 | [57] | |
| 3-epi-quinolactacin C1(61) | P. citrinum YX-002 | Mangrove Thespesia populnea, Guangdong, China | MN826202 | [57] | |
| Quinolactacin A2 (62) | P. citrinum YX-002 | Mangrove Thespesia populnea, Guangdong, China | MN826202 | [57] | |
| Quinolactacin B2 (63) | P. citrinum YX-002 | Mangrove Thespesia populnea, Guangdong, China | MN826202 | IC50 (inhibited-AChE) 19.4 μM | [57] |
| Quinolactacin D (64) | P. citrinum YX-002 | Mangrove Thespesia populnea, Guangdong, China | MN826202 | [57] | |
| Peniciisoquinoline A (65) | Penicillium sp. DM27 | Rhizosphere soil of Bruguiera gymnorrhiza, Thailand | - | [45] | |
| (±)-Oxypenicinoline A (66) | P. steckii SCSIO 41025 | Mangrove Avicennia marina, Guangdong, China | MW033549 | IC50 (α-glucosidase-inhibitory) 317.8 μM | [58] |
| (±)-Oxypenicinolines B–D (67–69) | P. steckii SCSIO 41025 | Mangrove Avicennia marina, Guangdong, China | MW033549 | [58] | |
| Penicinolines F–G (70–71) | P. steckii SCSIO 41025 | Mangrove Avicennia marina, Guangdong, China | MW033549 | [58] | |
| 1,2,3,11β-Tetrahydroquinolactacide (72) | P. steckii SCSIO 41025 | Mangrove Avicennia marina, Guangdong, China | MW033549 | [58] | |
| Quinolactacide (73) | P. steckii SCSIO 41025 | Mangrove Avicennia marina, Guangdong, China | MW033549 | IC50 (α-glucosidase-inhibitory) 365.9 μM | [58] |
| Penicinoline (74) | P. steckii SCSIO 41025 | Mangrove Avicennia marina, Guangdong, China | MW033549 | IC50 (inhibited-AChE) 187.3 μM | [58] |
| Methyl-penicinoline (75) | P. steckii SCSIO 41025 | Mangrove Avicennia marina, Guangdong, China | MW033549 | [58] | |
| Penicinoline E (76) | P. steckii SCSIO 41025 | Mangrove Avicennia marina, Guangdong, China | MW033549 | IC50 (inhibited-AChE) 68.5 μM | [58] |
| Quinolonimide (77) | P. steckii SCSIO 41025 | Mangrove Avicennia marina, Guangdong, China | MW033549 | [58] | |
| 4-Oxo-1,4-dihydroquinoline-3-carboxamide (78) | P. steckii SCSIO 41025 | Mangrove Avicennia marina, Guangdong, China | MW033549 | [58] | |
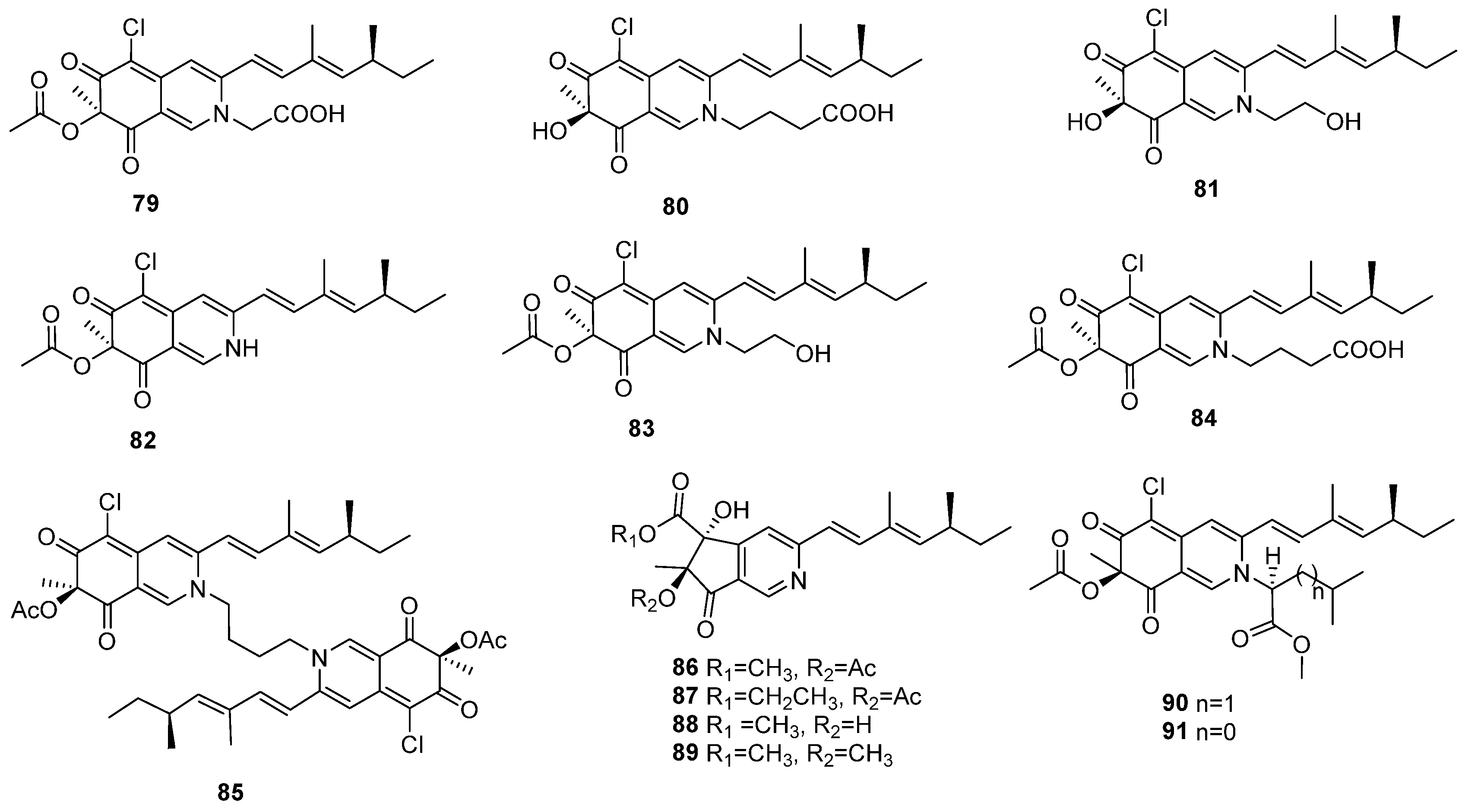
| Sclerketide E (79) | P. sclerotiorin SCNU-F0040 | Mangrove Bruguiera gymnorhiza, Guangdong, China | MW541637 | IC50 (α-glucosidase-inhibitory) 102.3 μM | [59] |
| Sclerketide F (80) | P. sclerotiorin SCNU-F0040 | Mangrove Bruguiera gymnorhiza, Guangdong, China | MW541637 | IC50 (α-glucosidase-inhibitory) 217.5 μM IC50 (inhibited-cyclooxygenase-2) 47.8 μM | [59] |
| Sclerketide G (81) | P. sclerotiorin SCNU-F0040 | Mangrove Bruguiera gymnorhiza, Guangdong, China | MW541637 | [59] | |
| Scleratioramine (82) | P. sclerotiorin SCNU-F0040 | Mangrove Bruguiera gymnorhiza, Guangdong, China | MW541637 | [59] | |
| Isochromophilone VI (83) | P. sclerotiorin SCNU-F0040 | Mangrove Bruguiera gymnorhiza, Guangdong, China | MW541637 | [59] | |
| Isochromophilone IX (84) | P. sclerotiorin SCNU-F0040 | Mangrove Bruguiera gymnorhiza, Guangdong, China | MW541637 | [59] | |
| Penazaphilone G (85) | P. sclerotiorin SCNU-F0040 | Mangrove Bruguiera gymnorhiza, Guangdong, China | MW541637 | [59] | |
| Sclerazaphilones A–B (86–87) | P. sclerotiorum ZJHJJ-18 | Mangrove Hibiscus tiliaceus, Guangdong, China | LC206671 | [60] | |
| Sclerazaphilone C (88) | P. sclerotiorum ZJHJJ-18 | Mangrove Hibiscus tiliaceus, Guangdong, China | LC206671 | IC50 (anti-inflammatory) 7.87 µM | [60] |
| Sclerazaphilone D (89) | P. sclerotiorum ZJHJJ-18 | Mangrove Hibiscus tiliaceus, Guangdong, China | LC206671 | IC50 (anti-inflammatory) 6.30 µM | [60] |
| Sclerazaphilone E (90) | P. sclerotiorum ZJHJJ-18 | Mangrove Hibiscus tiliaceus, Guangdong, China | LC206671 | IC50 (anti-inflammatory) 9.45 µM | [60] |
| Sclerazaphilone F (91) | P. sclerotiorum ZJHJJ-18 | Mangrove Hibiscus tiliaceus, Guangdong, China | LC206671 | [60] | |
| Pyripyropenes V–W (92–93) | P. robsamsonii HNNU0006 | Rhizosphere soil of mangrove Sonneratia paracaseolaris, Hainan, China | MZ477207 | [36] | |
| Pyripyropene A (94) | P. robsamsonii HNNU0006 | Rhizosphere soil of mangrove Sonneratia paracaseolaris, Hainan, China | MZ477207 | [36] | |
| (4E)-1-(4,6-Dihydroxy-5-methylpyridin-3-yl)hex-4-en-1-one (95) | Penicillium sp. DM815 | Rhizosphere soil of mangrove Hibiscus tiliaceus, Hainan, China | NR111815 | [47] | |
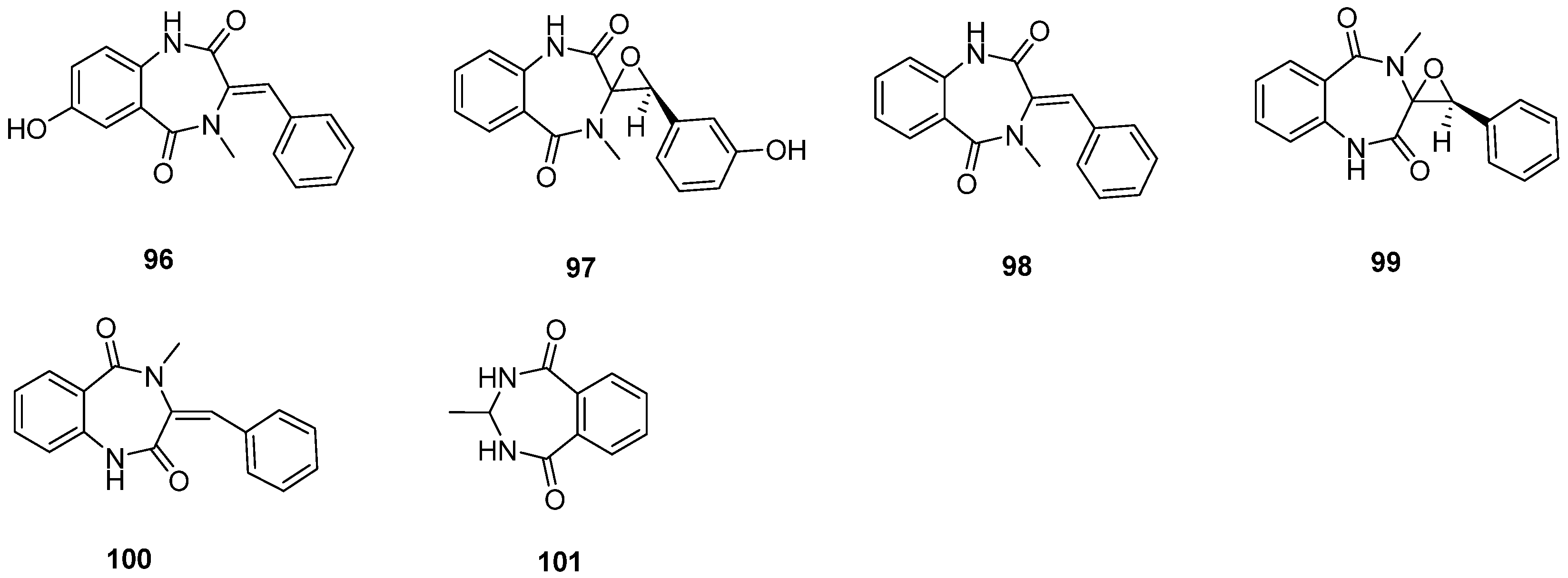
| 7-Hydroxy-3,10-dehydrocyclopeptine (96) | P. polonicum MCCC3A00951 | Mangrove sediment, Fujian, China | - | [46] | |
| Arctosin (97) | P. polonicum MCCC3A00951 | Mangrove sediment, Fujian, China | - | [46] | |
| 3,10-dehydrocyclopeptine (98) | P. polonicum MCCC3A00951 | Mangrove sediment, Fujian, China | - | [36] | |
| Cyclopenin (99) | P. polonicum H175 | Mangrove sediments, Fujian, China | KY978580 | [48] | |
| Cyclopeptine (100) | P. polonicum H175 | Mangrove sediments, Fujian, China | KY978580 | [48] | |
| 2-Chlorounguinol (101) | P. citrinum YX-002 | Mangrove Thespesia populnea, Guangdong, China | MN826202 | [57] | |
| 3-O-Meth-ylviridicatin (102) | P. polonicum MCCC3A00951 | Mangrove sediment, Fujian, China | - | [46] | |
| Carbostyril (103) | P. polonicum MCCC3A00951 | Mangrove sediment, Fujian, China | - | [46] | |
| Aspergillusidone A (104) | P. citrinum YX-002 | Mangrove Thespesia populnea, Guangdong, China | MN826202 | [57] | |
| Chrysogine (105) | Penicillium sp. DM815 | Rhizosphere soil of mangrove Hibiscus tiliaceus, Hainan, China | NR111815 | [47] | |
| Penifuranone A (106) | P. crustosum SCNU-F0006 | Mangrove Acanthus ilicifolius, Guangdong, China | MH345907 | MIC (anti-Fusarium oxysporum and Penicillium italicum) 0.25 mg/mL IC50 (anti-inflammatory) 37.01 µM IC50 (antioxidation) 180.2 µM | [61] |
| Viridicatin (107) | P. crustosum SCNU-F0006 | Mangrove Acanthus ilicifolius, Guangdong, China | MH345907 | MIC (anti-Fusarium oxysporum) 0.25 mg/mL MIC (anti-Penicillium italicum) 0.5 mg/mL MIC (anti-Pseudomonas aeruginosa) 0.125 mg/mL | [61] |
| Viridicatol (108) | P. crustosum SCNU-F0006 | Mangrove Acanthus ilicifolius, Guangdong, China | MH345907 | [61] | |
| Penicilquei E (109) | P. herquei JX4. | Mangrove Ceriops tagal, South China Sea | MF663569 | IC50 (anti-inflammatory) 12.18 ± 0.08 µM | [37] |
| Penicilquei F (110) | P. herquei JX4. | Mangrove Ceriops tagal, South China Sea | MF663569 | IC50 (anti-inflammatory) 0.52 ± 0.12 µM | [37] |
| 3-Methyl-4 (3H)-quinazolinone (111) | P. polonicum H175 | Mangrove sediment, Fujian, China | KY978580 | [48] | |
| Thymine (112) | P. chrysogenum ZZ1151 | Mangrove sediment, Indonesia | - | [56] | |
| (8R,9S)-Dhydroisoflavipucine (113), | P. chrysogenum ZZ1151 | Mangrove sediment, Indonesia | - | [56] | |
| Uridine (114) | P. chrysogenum ZZ1151 | Mangrove sediment, Indonesia | - | [56] | |
| Penicmariae-crucis C acid (115) | P. steckii SCSIO 41025 | Mangrove Avicennia marina, Guangdong, China | - | [62] | |
| N-(6-Hydroxy-2-oxoindolin-3-ylidene)-5′-methoxy-5′-oxobutyl-amine oxide (116) | P. steckii SCSIO 41025 | Mangrove Avicennia marina, Guangdong, China | - | [62] | |
| 6-Hydroxyindole-3-carboxylic acid (117) | P. steckii SCSIO 41025 | Mangrove Avicennia marina, Guangdong, China | - | IC50 (α-glucosidase-inhibitory) 64.1 μM | [62] |
| N-acetyl-β-oxotryptamine (118) | P. steckii SCSIO 41025 | Mangrove Avicennia marina, Guangdong, China | - | [62] | |
| 6-Hydroxy-N-acetyl-β-oxotryptamine (119) | P. steckii SCSIO 41025 | Mangrove Avicennia marina, Guangdong, China | - | IC50 (α-glucosidase-inhibitory) 191.4 μM | [62] |
| GKK1032C (120) | P. steckii SCSIO 41025 | Mangrove Avicennia marina, Guangdong, China | - | MIC (anti-Staphylococcus aureus) 3.9 μg/mL | [62] |
| Trichodermamide C (121) | P. steckii SCSIO 41025 | Mangrove Avicennia marina, Guangdong, China | - | [62] | |
| Sumalarin D (122) | P. sumatrense MA-325 | Mangrove Bruguiera sexangular, Hainan, China | MH171490 | MIC (anti-Vibrio alginolyticus) 16 μg/mL MIC (anti-Vibrio harveyi) 8 μg/mL | [63] |
| Sumalarin E (123) | P. sumatrense MA-325 | Mangrove Bruguiera sexangular, Hainan, China | MH171490 | MIC (anti-Vibrio alginolyticus and V. harveyi) 64 μg/mL | [63] |
| Sumalarin F (124) | P. sumatrense MA-325 | Mangrove Bruguiera sexangular, Hainan, China | MH171490 | [63] | |
| Sumalarin G (125) | P. sumatrense MA-325 | Mangrove Bruguiera sexangular, Hainan, China | MH171490 | [63] | |
| Curvularin (126) | P. sumatrense MA-325 | Mangrove Bruguiera sexangular, Hainan, China | MH171490 | MIC (anti-Vibrio alginolyticus and V. harveyi) 64 μg/mL | [63] |
| Dehydrocurvularin (127) | P. sumatrense MA-325 | Mangrove Bruguiera sexangular, Hainan, China | MH171490 | MIC (anti-Vibrio alginolyticus) 4 μg/mL MIC (anti-Vibrio harveyi) 8 μg/mL IC50 (cytotoxicity-5673, HCT 116, 786-O, Hela) 3.5, 10.6, 10.9, 14.9 µM | [63] |
| Peniciisocoumarins I–J (128–129) | Penicillium sp. GXIMD 03001 | Rhizosphere soil of Kandelia candel, Beibu Gulf, China | MZ971273 | [64] | |
| 3(R)-7-Hydroxy-8-methoxy-3-(4-oxopentyl) isochroman-1-one (130) | Penicillium sp. GXIMD 03001 | Rhizosphere soil of Kandelia candel, Beibu Gulf, China | MZ971273 | [64] | |
| Penicimarin C (131) | Penicillium sp. GXIMD 03001 | Rhizosphere soil of Kandelia candel, Beibu Gulf, China | MZ971273 | [64] | |
| Aspergillumarin B (132) | P. verruculosum TGM14 | Mangrove Xylocarpus granatum, South China Sea | MT071117 | [38] | |
| Aspergilactone B (133) | P. verruculosum TGM14 | Mangrove Xylocarpus granatum, South China Sea | MT071117 | [38] | |
| Territrem B (134) | P. verruculosum TGM14 | Mangrove Xylocarpus granatum, South China Sea | MT071117 | [38] | |
| 6-(2-Acetyl-3,5-dihydroxybenzyl)-4-hydroxy-3-methyl-2H-pyran-2-one (135) | P. janthinellum HK1-6 | Mangrove rhizosphere soil, Hainan, China | KY412802 | [65] | |
| Penicillol A(136) | Penicillium sp. BJR-P2 | Mangrove Avicennia marinav, Yangjiang Hailing Island, China | NA793386 | [66] | |
| Penicillol B (137) | Penicillium sp. BJR-P2 | Mangrove Avicennia marinav, Yangjiang Hailing Island, China | NA793386 | IC50 (anti-inflammatory) 12 µM | [66] |
| Dichlorodiaportal (138) | Penicillium sp. BJR-P2 | Mangrove Avicennia marinav, Yangjiang Hailing Island, China | NA793386 | [66] | |
| Citreoviranol (139) | Penicillium sp. BJR-P2 | Mangrove Avicennia marinav, Yangjiang Hailing Island, China | NA793386 | [66] | |
| 5,6,8-Trihydroxy-4-(1′-hydro-xyethyl) Isocoumarin (140) | Penicillium sp. GXIMD 03101 | Mangrove Acanthus ilicifolius, South China Sea | MZ971181 | [67] | |
| Penicimarins L–M (141–142) | Penicillium sp. MGP11 | Mangrove Xylocarpus granatum, Hainan, China | MT889935 | [39] | |
| Peniciisocoumarin E (143) | Penicillium sp. MGP11 | Mangrove Xylocarpus granatum, Hainan, China | MT889935 | [39] | |
| Aspergillumarin A (144) | Penicillium sp. MGP11 | Mangrove Xylocarpus granatum, Hainan, China | MT889935 | [39] | |
| Penicimarin I (145) | Penicillium sp. MGP11 | Mangrove Xylocarpus granatum, Hainan, China | MT889935 | IC50 (α-glucosidase-inhibitory) 776.5 μM | [39] |
| Peniciisocoumarin F (146) | Penicillium sp. MGP11 | Mangrove Xylocarpus granatum, Hainan, China | MT889935 | [39] | |
| Penicilloxalone B (147) | Penicillium sp. MGP11 | Mangrove Xylocarpus granatum, Hainan, China | MT889935 | [39] | |
| Penicimarin G (148) | Penicillium sp. MGP11 | Mangrove Xylocarpus granatum, Hainan, China | MT889935 | IC50 (antioxidation) 4.6 µM IC50 (α-glucosidase-inhibitory) 683.7 μM | [39] |
| Penicimarin H (149) | Penicillium sp. MGP11 | Mangrove Xylocarpus granatum, Hainan, China | MT889935 | IC50 (α-glucosidase-inhibitory) 868.7 μM | [39] |
| (S)-6,8-Dihydroxy-5-(methoxymethyl)-3,7-dimethylisochroman-1-one (150) | Penicillium sp. YYSJ-3 | Mangrove Heritiera littoralis, Guangdong, China | JN676120 | [68] | |
| (S)-6,8-Dihydroxy-3,5,7-trimethyl-isochroman-1-one (151) | Penicillium sp. YYSJ-3 | Mangrove Heritiera littoralis, Guangdong, China | JN676120 | [68] | |
| (R)-2-Chloro-3-(8-hydroxy-6-methoxy-1-oxo-1H-isochromen-3-yl) propyl acetate (152) | Penicillium sp. YYSJ-3 | Mangrove Heritiera littoralis, Guangdong, China | JN676120 | IC50 (α-glucosidase-inhibitory) 100.6 μM | [68] |
| Monaschromone (153) | Penicillium sp. YYSJ-3 | Mangrove Heritiera littoralis, Guangdong, China | JN676120 | [68] | |
| Pinophol G (154) | P. herquei JX4 | Mangrove Ceriops tagal, South China Sea | MF663569 | IC50 (anti-inflammatory) 33.26 ± 0.14 µM | [37] |
| Penicillic acid (155) | P. anthinellum HK1-6 | Mangrove rhizosphere soil, South China Sea | MF663569 | [69] | |
| Brefeldin A (156) | P. anthinellum HK1-6 | Mangrove rhizosphere soil, South China Sea | MF663569 | for Rhizoctonia solani and R. cerealis, with 67.5%, 76% growth inhibition, respectively, at 50 μg/mL | [69] |
| 7-Dehydrobrefeldin A (157) | P. brefeldianum ABC190807 | Mangrove sediment, Hainan, China | MN264643 | [51] | |
| (+)-(5R, 5′R)-3, 3′-Methylenebistetronic acid (158) | P. crustosum SCNU-F0006 | Mangrove Acanthus ilicifolius, Guangdong, China | MH171490 | MIC (anti-Fusarium oxysporum, Penicillium italicum) 0.25 mg/mL, MIC (anti-Colletrichum litchi, Pseudomonas aeruginosa) 0.5 mg/mL, MIC (anti-Salmonella typhimurium, Escherichia coli, Staphylococcus aureus) 1 mg/mL IC50 (anti-inflammatory) 37.01 µM IC50 (antioxidation) 120.5 µM | [63] |
| Astalaminoid C (159) | Penicillium sp. HDN15-312 | Mangrove sediment, Hainan, China | MK41874 | IC50 (antioxidation) 32.11 µM | [70] |
| (+)-Semivioxanthin (160) | Penicillium sp. HS-N-29 | Mangrove Acanthus ilicifolius, South China Sea | MW178203 | anti-angiogenic activities to zebrafish embryo at 1 μg/mL | [50] |
| (−)-Striatisporolide A (161) | Penicillium sp. HS-N-29 | Mangrove Acanthus ilicifolius, South China Sea | MW178203 | [50] | |
| Penialidins C (162) | Penicillium sp. SCSIO 41411 | Mangrove sediment, Guangdong, China | [71] | ||
| 7-Hydroxy-2-(hydroxymethyl)-5-methyl-4H-chromen-4-one (163) | P. janthinellum HK1-6 | Mangrove rhizosphere soil, Hainan, China | KY412802 | [65] | |
| Penialidin A (164) | P. javanicum HK1-23 | Mangrove rhizosphere soil, Hainan, China | MH877078 | MIC (anti-Staphylococcus aureus strains ATCC ATCC 29213, ATCC 43300) 3.13, 12.5 μg/mL | [53] |
| Penialidin C (165) | P. javanicum HK1-23 | Mangrove rhizosphere soil, Hainan, China | MH877078 | MIC (anti-Staphylococcus aureus strains ATCC 33591, ATCC 25923, ATCC 29213, ATCC 43300) 12.5, 25, 6.25, 0.78 μg/mL | [53] |
| Talamin E (166) | Penicillium sp. HDN15-312 | Mangrove sediment, Hainan, China | MK41874 | IC50 (antioxidation) 6.79 µM | [70] |
| Talamin B (167) | Penicillium sp. HDN15-312 | Mangrove sediment, Hainan, China | MK41874 | [70] | |
| Annularin L (168) | P. herquei MA-370 | Rhizosphere soil of mangrove Rhizophora mucronata, Hainan, China | JQ863240 | MIC (anti-Escherichia coli, Vibrio alginolyticus, and Pseudomonas aeruginosa) 64 μg/mL MIC (anti-Edwardsiella tarda, Micrococcus luteus) 32 μg/mL | [72] |
| Annularin M (169) | P. herquei MA-370 | Rhizosphere soil of mangrove Rhizophora mucronata, Hainan, China | JQ863240 | MIC (anti-Edwardsiella tarda) 32 μg/mL MIC (Escherichia coli, Micrococcus luteus, and Pseudomonas aeruginosa) 64 μg/mL | [72] |
| Annularin N (170) | P. herquei MA-370 | Rhizosphere soil of mangrove Rhizophora mucronata, Hainan, China | JQ863240 | [72] | |
| Peninaphone A (171) | Penicillium sp. HK1-22 | Mangrove rhizosphere soil | MK790264 | antibacterial circles (Enterococcus faecium ATCC 35667 and E. faecium ATCC 51299) 11.9, and 11.2 mm at 25 μg per disk | [40] |
| Peninaphone B (172) | Penicillium sp. HK1-22 | Mangrove rhizosphere soil | MK790264 | antibacterial circles (Enterococcus faecium ATCC 35667 and E. faecium ATCC 51299) 11.7, and 16.8 mm at 25 μg per disk | [40] |
| Trichopyrone (173) | Penicillium sp. DM815 | Mangrove rhizosphere soil of Hibiscus tiliaceus,Hainan, China | NR111815 | [47] | |
| 6-Acetyl-4-methoxy-3,5-dimethyl-2H-pyran-2-one (174) | P. polonicum H175 | Mangrove sediment, Fujian, China | KY978580 | [48] | |
| 4-Hydroxy-3,6-dimethyl-2H-pyran-2-one (175) | P. polonicum H175 | Mangrove sediment, Fujian, China | KY978580 | [48] | |
| Verrucosidinol (176) | P. polonicum H175 | Mangrove sediment, Fujian, China | KY978580 | [48] | |
| Methyl verrucosidinol (177) | P. polonicum H175 | Mangrove sediment, Fujian, China | KY978580 | [48] | |
| Verrucosidinol acetate (178) | P. polonicum H175 | Mangrove sediment, Fujian, China | KY978580 | [48] | |
| Normethylverrucosidin (179) | P. polonicum H175 | Mangrove sediment, Fujian, China | KY978580 | [48] | |
| Verrucosidin (180) | P. polonicum H175 | Mangrove sediment, Fujian, China | KY978580 | [48] | |
| Deoxyverrucosidin (181) | P. polonicum H175 | Mangrove sediment, Fujian, China | KY978580 | [48] | |
| Aurantiogrisidinol (182) | P. polonicum H175 | Mangrove sediment, Fujian, China | KY978580 | [48] | |
| Penicyrone A (183) | P. polonicum H175 | Mangrove sediment, Fujian, China | KY978580 | [48] | |
| Citreoviridins H–I (184–185) | Penicillium sp. BJR-P2 | Mangrove Avicennia marinav, Yangjiang Hailing Island | JNA793386 | [66] | |
| Citreopyrone D (186) | Penicillium sp. BJR-P2 | Mangrove Avicennia marinav, Yangjiang Hailing Island, | JNA793386 | [66] | |
| Penipyrol C (187) | Penicillium sp. HDN-11-131 | Rhizosphere soil of mangrove Rhizophora stylosa, Guangxi, China | MW261857 | induce pancreatic β-cell regeneration in zebrafish at 10 μM | [73] |
| Penipyrols D–G (188–191) | Penicillium sp. HDN-11-13 | Rhizosphere soil of mangrove Rhizophora stylosa, Guangxi, China | MW261857 | [73] | |
| Methyl-penipyrol A (192) | Penicillium sp. HDN-11-13 | Rhizosphere soil of mangrove Rhizophora stylosa, Guangxi, China | MW261857 | [73] | |
| Penipyrol A (193) | Penicillium sp. HDN-11-13 | Rhizosphere soil of mangrove Rhizophora stylosa, Guangxi, China | MW261857 | [73] | |
| Isochromophilone H (194) | P. sclerotiorum HY5 | Unidentified mangrove sample, South China Sea | MG827186 | [74] | |
| Sclerotiorin A (195) | P. sclerotiorum HY5 | Unidentified mangrove sample, South China Sea | MG827186 | [74] | |
| Sclerotiorin B (196) | P. sclerotiorum HY5 | Unidentified mangrove sample, South China Sea | MG827186 | EC50 (phytotoxicity-plumule of Amaranthus retroflexus) 320.84 µM EC50 (phytotoxicity-radicle of Amaranthus retroflexus) 271.48 µM | [74] |
| Ochlephilone (197) | P. sclerotiorum HY5 | Unidentified mangrove sample, South China Sea | MG827186 | EC50 (phytotoxicity-plumule of Amaranthus retroflexus) 287.074 µM EC50 (phytotoxicity-radicle of Amaranthus retroflexus) 234.87µM | [74] |
| Isochromophilone Ⅳ (198) | P. sclerotiorum HY5 | Unidentified mangrove sample, South China Sea | MG827186 | [74] | |
| Isochromophilone J (199) | P. sclerotiorum HY5 | Unidentified mangrove sample, South China Sea | MG827186 | [74] | |
| Isochromophilone I (200) | P. sclerotiorum HY5 | Unidentified mangrove sample, South China Sea | MG827186 | EC50 (phytotoxicity-plumule of Amaranthus retroflexus) 288.36 µM EC50 (phytotoxicity-radicle of Amaranthus retroflexus) 240.30 µM | [74] |
| Geumsanol G (201) | P. sclerotiorin SCNU-F0040 | Mangrove Bruguiera gymnorhiza, Guangdong, China | MW541637 | [59] | |
| 6-((3E,5E)-5, 7-Dimethyl-2-methyl-enenona-3, 5-dienyl)-2, 4-dihydroxy-3-methylbenza-ldehyde (202) | P. sclerotiorin SCNU-F0040 | Mangrove Bruguiera gymnorhiza, Guangdong, China | MW541637 | [59] | |
| Sclerazaphilone G (203) | P. sclerotiorum ZJHJJ-18 | Mangrove Hibiscus tiliaceus, Guangdong, China | MW922390 | IC50 (anti-inflammatory) 36.50 µM | [60] |
| Sclerazaphilone H (204) | P. sclerotiorum ZJHJJ-18 | Mangrove Hibiscus tiliaceus, Guangdong, China | MW922390 | [60] | |
| Sclerazaphilone I (205) | P. sclerotiorum ZJHJJ-18 | Mangrove Hibiscus tiliaceus, Guangdong, China | MW922390 | IC50 (anti-inflammatory) 46.87 µM | [60] |
| Penicisteck acids A–D (206–209) | P. steckii SCSIO 41025 | Mangrove Avicennia marina Guangdong, China | MW033549 | [62] | |
| Tanzawaic acids B and Z (210–211) | P. steckii SCSIO 41025 | Mangrove Avicennia marina Guangdong, China | MW033549 | [62] | |
| Penicisteck acid I (212) | P. steckii SCSIO 41025 | Mangrove Avicennia marina Guangdong, China | MW033549 | [75] | |
| epi-penitanzacid G (213) | P. steckii SCSIO 41025 | Mangrove Avicennia marina Guangdong, China | MW033549 | IC50 (NF-κB inhibitory activity) 13.67µM | [75] |
| Penicisteck acids J and K (214–215) | P. steckii SCSIO 41025 | Mangrove Avicennia marina Guangdong, China | MW033549 | [75] | |
| Penicisteck acids L and M (216–217) | P. steckii SCSIO 41025 | Mangrove Avicennia marina Guangdong, China | MW033549 | [75] | |
| Penicisteck acid N (218) | P. steckii SCSIO 41025 | Mangrove Avicennia marina Guangdong, China | MW033549 | IC50 (NF-κB inhibitory activity) 21.81 µM | [75] |
| Penicisteck acid O (219) | P. steckii SCSIO 41025 | Mangrove Avicennia marina Guangdong, China | MW033549 | [75] | |
| Penicisteck acid P (220) | P. steckii SCSIO 41025 | Mangrove Avicennia marina Guangdong, China | MW033549 | IC50 (NF-κB inhibitory activity) 26.29 µM | [75] |
| Penicisteck acid Q (221) | P. steckii SCSIO 41025 | Mangrove Avicennia marina Guangdong, China | MW033549 | IC50 (NF-κB inhibitory activity) 19.84 µM | [75] |
| Penicisteck acid R (222) | P. steckii SCSIO 41025 | Mangrove Avicennia marina Guangdong, China | MW033549 | [75] | |
| Penicisteck acid S (223) | P. steckii SCSIO 41025 | Mangrove Avicennia marina Guangdong, China | MW033549 | IC50 (NF-κB inhibitory activity) 12.92 µM | [75] |
| Penicisteck acid T (224) | P. steckii SCSIO 41025 | Mangrove Avicennia marina Guangdong, China | MW033549 | IC50 (NF-κB inhibitory activity) 12.84 µM | [75] |
| Penicisteck acid U (225) | P. steckii SCSIO 41025 | Mangrove Avicennia marina Guangdong, China | MW033549 | IC50 (NF-κB inhibitory activity) 14.39 µM | [75] |
| Penicisteck acid V (226) | P. steckii SCSIO 41025 | Mangrove Avicennia marina Guangdong, China | MW033549 | IC50 (NF-κB inhibitory activity) 20.55 µM | [75] |
| Penicisteck acid W (227) | P. steckii SCSIO 41025 | Mangrove Avicennia marina Guangdong, China | MW033549 | [75] | |
| Penicisteck acid X (228) | P. steckii SCSIO 41025 | Mangrove Avicennia marina Guangdong, China | MW033549 | [75] | |
| Penicisteck acid Y (229) | P. steckii SCSIO 41025 | Mangrove Avicennia marina Guangdong, China | MW033549 | IC50 (NF-κB inhibitory activity) 17.95 µM | [75] |
| Arohynapenes A and B (230–231) | P. steckii SCSIO 41025 | Mangrove Avicennia marina Guangdong, China | MW033549 | [75] | |
| Tanzawaic acids X, A, D and N (232–235) | P. steckii SCSIO 41025 | Mangrove Avicennia marina Guangdong, China | MW033549 | [75] | |
| Tanzawaic acid O (236) | P. steckii SCSIO 41025 | Mangrove Avicennia marina Guangdong, China | MW033549 | IC50 (NF-κB inhibitory activity) 14.04 µM | [75] |
| Tanzawaic acid V (237) | P. steckii SCSIO 41025 | Mangrove Avicennia marina Guangdong, China | MW033549 | IC50 (NF-κB inhibitory activity) 12.37 µM | [75] |
| Tanzawaic acid C (238) | P. steckii SCSIO 41025 | Mangrove Avicennia marina Guangdong, China | MW033549 | [75] | |
| Tanzawaic acids E and M (239–240) | P. steckii SCSIO 41025 | Mangrove Avicennia marina Guangdong, China | MW033549 | IC50 (NF-κB inhibitory activity) 14.61 µM | [75] |
| 10-Hydroxytanzawaic acid T (241) | P. steckii SCSIO 41025 | Mangrove Avicennia marina Guangdong, China | MW033549 | [75] | |
| Tanzawaic acid Z1 (242) | P. steckii SCSIO 41025 | Mangrove Avicennia marina Guangdong, China | MW033549 | [75] | |
| Tanzawaic acid S (243) | P. steckii SCSIO 41025 | Mangrove Avicennia marina Guangdong, China | MW033549 | IC50 (NF-κB inhibitory activity) 18.70 µM | [75] |
| Tanzawaic acid H (244) | P. steckii SCSIO 41025 | Mangrove Avicennia marina Guangdong, China | MW033549 | [75] | |
| Penitanzacid H (245) | P. steckii SCSIO 41025 | Mangrove Avicennia marina Guangdong, China | MW033549 | IC50 (NF-κB inhibitory activity) 16.74 µM | [75] |
| 12Z,14E-tanzawaic acid D (246) | P. steckii SCSIO 41025 | Mangrove Avicennia marina Guangdong, China | MW033549 | [75] | |
| Brefeldin G (247) | Penicillium sp. SCSIO 41411 | Mangrove sediment, Guangdong, China | NR138263 | [71] | |
| Furantides A–B (248–249) | Penicillium sp. HDN15-312 | Mangrove forest, Hainan, China | MK41874 | [70] | |
| Arugosinacid A (250) | Penicillium sp. HDN15-312 | Mangrove forest, Hainan, China | MK41874 | IC50 (antioxidation) 56.92 µM | [70] |
| Terrein (251) | P. verruculosum TGM14 | Mangrove Xylocarpus granatum, South China Sea | MT071117 | [38] | |
| Cis-(3R,4S)-3,4-Dihydro-3,4,8 Trihydroxynaphthalen-1(2H)-one (252) | P. citrinum QJF-22 | Mangrove Kandelia candel, Hainan, China | MN319561 | IC50 (anti-inflammatory) 44.7 µM | [35] |
| Penicixanthene E (253) | Penicillium sp. GXIMD 03101 | Mangrove Acanthus ilicifolius, South China Sea | MZ971181 | IC50 (cytotoxicity-SW1990) 23.8 µM | [67] |
| Trans-3,4-dihydro-3,4,8-trihydroxynaphthalen-1(2H)-one (254) | P. polonicum H175 | Mangrove sediment, Fujian, China | KY978580 | [48] | |
| 10,11,16,17-Tetrahydrobislongiquinolide (255) | Penicillium sp. DM815 | Rhizosphere soil of mangrove Hibiscus tiliaceus, Hainan, China | NR111815 | [47] | |
| Epitetrahydrotrichodimer ether (256) | Penicillium sp. DM815 | Rhizosphere soil of mangrove Hibiscus tiliaceus, Hainan, China | NR111815 | IC50 (anti-inflammatory) 10 µM | [47] |
| (9′R)-Tetrahydrotricho-dimer ether (257) | Penicillium sp. DM815 | Rhizosphere soil of mangrove Hibiscus tiliaceus, Hainan, China | NR111815 | IC50 (anti-inflammatory) 10 µM | [47] |
| Trichobisvertinol A (258) | Penicillium sp. DM815 | Rhizosphere soil of mangrove Hibiscus tiliaceus, Hainan, China | NR111815 | [47] | |
| Dihydrotrichodermolide (259) | Penicillium sp. DM815 | Rhizosphere soil of mangrove Hibiscus tiliaceus, Hainan, China | NR111815 | [47] | |
| Aceneoherqueinone A (260) | P. herquei MA-370 | Rhizosphere soil of mangrove Rhizophora mucronata, Hainan, China | JQ863240 | IC50 (inhibited-ACE) 3.10 μM | [76] |
| Aceneoherqueinone B (261) | P. herquei MA-370 | Rhizosphere soil of Rhizophora mucronata, Hainan, China | JQ863240 | IC50 (inhibited-ACE) 11.28 μM | [76] |
| (+)-Aceatrovenetinone A (262) | P. herquei MA-370 | Rhizosphere soil of mangrove Rhizophora mucronata, Hainan, China | JQ863240 | [76] | |
| (+)-Aceatrovenetinone B (263) | P. herquei MA-370 | Rhizosphere soil of mangrove Rhizophora mucronata, Hainan, China | JQ863240 | [76] | |
| (−)-Aceatrovenetinone A (264) | P. herquei MA-370 | Rhizosphere soil of mangrove Rhizophora mucronata, Hainan, China | JQ863240 | [76] | |
| (−)-Aceatrovenetinone B (265) | P. herquei MA-370 | Rhizosphere soil of mangrove Rhizophora mucronata, Hainan, China | JQ863240 | [76] | |
| (−)-Scleroderolide (266) | P. herquei MA-370 | Rhizosphere soil of mangrove Rhizophora mucronata, Hainan, China | JQ863240 | [76] | |
| (+)-Scleroderolide (267) | P. herquei MA-370 | Rhizosphee soil of Rhizophora mucronata, Hainan, China | JQ863240 | [76] | |
| (3β,4β,5β,6β,7β,9β,10α)-4,6-Epoxy-7-hydroxy-9-cadinanol (268) | P. oxalicum KMM 4683 | Mangrove leaves, South China Sea | - | [77] | |
| Artemihedinic acid N (269) | Penicillium sp. HK1-22 | Mangrove rhizosphere soil | MK790264 | [40] | |
| Citreobenzofurans D–F (270–272) | Penicillium sp. HDN13-494 | Mangrove rhizosphere soil, Hainan, China. | OM283301 | [78] | |
| Phomenone A (273) | Penicillium sp. HDN13-494 | Mangrove rhizosphere soil, Hainan, China. | OM283301 | [78] | |
| Phomenone B (274) | Penicillium sp. HDN13-494 | Mangrove rhizosphere soil, Hainan, China. | OM283301 | [78] | |
| Xylarenone A (275) | Penicillium sp. HDN13-494 | Mangrove rhizosphere soil, Hainan, China. | OM283301 | MIC (anti-Bacillus subtilis) 6.25 µM | [78] |
| Astellolide Q (276) | Penicillium sp. N-5 | Rhizosphere soil of mangrove Avicennia marina, Guangdong, China | ON926808 | MIC (anti-Penicillium italicum) 25 μg/mL MIC (anti-Colletrichum gloeosporioides) 25 μg/mL | [79] |
| Compound V (277) | Penicillium sp. N-5 | Rhizosphere soil of mangrove Avicennia marina, Guangdong, China | ON926808 | [79] | |
| Penicianstinoid C (278) | Penicillium sp. TGM112 | Mangrove Brguiera sexangula, South China Sea | - | IC50 (Inhibited-Helicoverpa armigera larvae) 100 μg/mL | [32] |
| Penicianstinoid D (279) | Penicillium sp. TGM112 | Mangrove Brguiera sexangula, South China Sea | - | [32] | |
| Penicianstinoid E (280) | Penicillium sp. TGM112 | Mangrove Brguiera sexangula, South China Sea | - | IC50 (Inhibited-Helicoverpa armigera larvae) 200 μg/mL | [32] |
| Preaustinoid A2 (281) | Penicillium sp. MGP11 | Root of mangrove Xylocarpus granatum, Hainan, China | MT889935 | [41] | |
| Preaustinoid D (282) | Penicillium sp. MGP11 | Root of mangrove Xylocarpus granatum, Hainan, China | MT889935 | IC50 (α-glucosidase-inhibitory) 249.5 μM | [41] |
| 11β-Acetoxyisoaustinone (283) | Penicillium sp. MGP11 | Root of mangrove Xylocarpus granatum, Hainan, China | MT889935 | IC50 (α-glucosidase-inhibitory) 224.5 μM | [41] |
| Austinolide (284) | Penicillium sp. MGP11 | Root of mangrove Xylocarpus granatum, Hainan, China | MT889935 | [41] | |
| Austinol (285) | Penicillium sp. MGP11 | Root of mangrove Xylocarpus granatum, Hainan, China | MT889935 | [41] | |
| Austin (286) | Penicillium sp. MGP11 | Root of mangrove Xylocarpus granatum, Hainan, China | MT889935 | IC50 (α-glucosidase-inhibitory) 252.3 μM | [41] |
| Dehydroaustinol (287) | Penicillium sp. MGP11 | Root of mangrove Xylocarpus granatum, Hainan, China | MT889935 | IC50 (α-glucosidase-inhibitory) 270.4 μM | [41] |
| Acetoxydehydroaustin (288) | Penicillium sp. MGP11 | Root of mangrove Xylocarpus granatum, Hainan, China | MT889935 | IC50 (α-glucosidase-inhibitory) 289.7 μM | [41] |
| Littoreanoids A–E (289–293) | Penicillium sp. HLLG-122 | Mangrove Lumnitzera littorea, Hainan, China | OL305061 | [80] | |
| Littoreanoid F (294) | Penicillium sp. HLLG-122 | Mangrove Lumnitzera littorea, Hainan, China | OL305061 | IC50 (anti-inflammatory) 30.41 µM | [80] |
| Littoreanoids G–J (295–298) | Penicillium sp. HLLG-122 | Mangrove Lumnitzera littorea, Hainan, China | OL305061 | [80] | |
| Littoreanoid K (299) | Penicillium sp. HLLG-122 | Mangrove Lumnitzera littorea, Hainan, China | OL305061 | IC50 (anti-inflammatory) 19.02 µM | [80] |
| Littoreanoids L–O (300–303) | Penicillium sp. HLLG-122 | Mangrove Lumnitzera littorea, Hainan, China | OL305061 | [80] | |
| Hemiacetalmeroterpenoid A (304) | Penicillium sp. N-5 | Rhizosphere soil of mangrove Avicennia marina, Guangdong, China | ON926808 | MIC (anti-Bacillus Subtilis, Colletrichum gloeosporioides) 6. 25 μg/mL MIC (anti-Methicillin-Resistent Staphyococcus aureus) 6. 25 μg/mL | [79] |
| Hemiacetalmeroterpenoids B–C (305–306) | Penicillium sp. N-5 | Rhizosphere soil of mangrove Avicennia marina, Guangdong, China | ON926808 | [79] | |
| 3-Deacetyl-citreohybridonol (307) | Penicillium sp. N-5 | Rhizosphere soil of mangrove Avicennia marina, Guangdong, China | ON926808 | [79] | |
| Citreohybridone A (308) | Penicillium sp. N-5 | Rhizosphere soil of mangrove Avicennia marina, Guangdong, China | ON926808 | MIC (anti-Penicillium italicum, Colletrichum gloeosporioides) 1.56, 3.13 μg/mL | [79] |
| 3,5-Dimethylorsellinic acid-based meroterpenoid 2 (309) | Penicillium sp. N-5 | Rhizosphere soil of mangrove Avicennia marina, Guangdong, China | ON926808 | MIC (anti-Penicillium italicum, Colletrichum gloeosporioides) 12.5, 25 μg/mL | [79] |
| Andrastin A (310) | Penicillium sp. N-5 | Rhizosphere soil of mangrove Avicennia marina, Guangdong, China | ON926808 | MIC (anti-Penicillium italicum, Colletrichum gloeosporioides) 25 μg/mL | [79] |
| Andrastin B (311) | Penicillium sp. N-5 | Rhizosphere soil of mangrove Avicennia marina, Guangdong, China | ON926808 | MIC (anti-Penicillium italicum, Colletrichum gloeosporioides) 6.25 μg/mL MIC (anti-Salmonella typhimuriums) 3.13 μg/mL | [79] |
| Andrastin C (312) | Penicillium sp. N-5 | Rhizosphere soil of mangrove Avicennia marina, Guangdong, China | ON926808 | [79] | |
| Andrastone C (313) | Penicillium sp. N-5 | Rhizosphere soil of mangrove Avicennia marina, Guangdong, China | ON926808 | [79] | |
| Penimeroterpenoid A (314) | Penicillium sp. N-5 | Rhizosphere soil of mangrove Avicennia marina, Guangdong, China | ON926808 | [79] | |
| 23-Deoxocitreohybridonol (315) | Penicillium sp. N-5 | Rhizosphere soil of mangrove Avicennia marina, Guangdong, China | ON926808 | [79] | |
| 6α-Hydroxyandrastin B (316) | Penicillium sp. N-5 | Rhizosphere soil of mangrove Avicennia marina, Guangdong, China | ON926808 | [79] | |
| Peniciacetal A (317) | Penicillium sp. HLLG-122 | Mangrove Lumnitzera littorea, Hainan, China | OL305061 | [81] | |
| Peniciacetal B (318) | Penicillium sp. HLLG-122 | Mangrove Lumnitzera littorea, Hainan, China | OL305061 | IC50 (cytotoxicity-MCF-7) 24.0 µM | [81] |
| Peniciacetal C (319) | Penicillium sp. HLLG-122 | Mangrove Lumnitzera littorea, Hainan, China | OL305061 | IC50 (cytotoxicity-HepG2, MCF-7) 24.7, 42.1 µM | [81] |
| Peniciacetal D (320) | Penicillium sp. HLLG-122 | Mangrove Lumnitzera littorea, Hainan, China | OL305061 | [81] | |
| Peniciacetal E (321) | Penicillium sp. HLLG-122 | Mangrove Lumnitzera littorea, Hainan, China | OL305061 | IC50 (cytotoxicity-MCF-7) 24.0 µM | [81] |
| Peniciacetal F (322) | Penicillium sp. HLLG-122 | Mangrove Lumnitzera littorea, Hainan, China | OL305061 | IC50 (cytotoxicity-HepG2, MCF-7) 24.1, 25.4 µM | [81] |
| Peniciacetals G–I (323–324) | Penicillium sp. HLLG-122 | Mangrove Lumnitzera littorea, Hainan, China | OL305061 | [81] | |
| Berkeleyacetal A (326) | Penicillium sp. HLLG-122 | Mangrove Lumnitzera littorea, Hainan, China | OL305061 | [81] | |
| Chrysogenolides B–D (327–329) | Penicillium sp. HLLG-122 | Mangrove Lumnitzera littorea, Hainan, China | OL305061 | [81] | |
| Chrysogenolide E (330) | Penicillium sp. HLLG-122 | Mangrove Lumnitzera littorea, Hainan, China | OL305061 | C50 (cytotoxicity-HepG2, MCF-7, HL-60, A549, HCT116, H929) 6.6, 14.8, 3.2, 5.7, 6.9, 3.0 µM | [81] |
| Citreohybridonol (331) | Penicillium sp. DM815 | Rhizosphere soil of Hibiscus tiliaceus, Hainan, China | NR111815 | [47] | |
| Cyclohexenoneterpenes A–E (332–336) | Penicillium sp. N-5 | Rhizosphere soil of mangrove Avicennia marina, Guangdong, China | ON926808 | [82] | |
| Cyclohexenoneterpenes F–G (337–338) | Penicillium sp. N-5 | Rhizosphere soil of mangrove Avicennia marina, Guangdong, China | ON926808 | [82] | |
| Cyclohexenoneterpene H (339) | Penicillium sp. N-5 | Rhizosphere soil of mangrove Avicennia marina, Guangdong, China | ON926808 | [82] | |
| Cyclohexenoneterpene I (340) | Penicillium sp. N-5 | Rhizosphere soil of mangrove Avicennia marina, Guangdong, China | ON926808 | [82] | |
| Cyclohexenoneterpene J (341) | Penicillium sp. N-5 | Rhizosphere soil of mangrove Avicennia marina, Guangdong, China | ON926808 | IC50 (cytotoxicity-HCT-116) 8.7 µM | [82] |
| Peniginsengin A (342) | Penicillium sp. N-5 | Rhizosphere soil of mangrove Avicennia marina, Guangdong, China | ON926808 | [82] | |
| Penicyclones E (343) | Penicillium sp. N-5 | Rhizosphere soil of mangrove Avicennia marina, Guangdong, China | ON926808 | [82] | |
| 22-Deacetyl-yanuthone A (344) | Penicillium sp. N-5 | Rhizosphere soil of mangrove Avicennia marina, Guangdong, China | ON926808 | IC50 (cytotoxicity-HCT-116) 8.2 µM | [82] |
| Bisorbicillinol (345) | Penicillium sp. N-5 | Rhizosphere soil of mangrove Avicennia marina, Guangdong, China | ON926808 | IC50 (cytotoxicity-HCT-116) 2.6 µM | [82] |
| 22-Deacetylyanuthone A (346) | Penicillium sp. N-5 | Rhizosphere soil of mangrove Avicennia marina, Guangdong, China | ON926808 | IC50 (cytotoxicity-SNB-19) 15.8 µM | [82] |
| Penicillone A (347) | Penicillium sp. N-5 | Rhizosphere soil of mangrove Avicennia marina, Guangdong, China | ON926808 | [82] | |
| Penicyclones A (348) | Penicillium sp. N-5 | Rhizosphere soil of mangrove Avicennia marina, Guangdong, China | ON926808 | [82] | |
| 4′-Oxomacrophrin A (349) | Penicillium sp. N-5 | Rhizosphere soil of mangrove Avicennia marina, Guangdong, China | ON926808 | IC50 (cytotoxicity-HCT-116) 1.4 µM IC50 (cytotoxicity-MDA-MB-435) 1.4 µM | [82] |
| Macrophorin A (350) | Penicillium sp. N-5 | Rhizosphere soil of mangrove Avicennia marina, Guangdong, China | ON926808 | [82] | |
| Purpurogemutantin (351) | Penicillium sp. N-5 | Rhizosphere soil of mangrove Avicennia marina, Guangdong, China | ON926808 | [82] | |
| Stachyline H (352) | Penicillium sp. SCSIO 41411 | Mangrove sediment, Guangdong, China | NR138263 | 22.3% (inhibitory ratio-AChE) at μM | [71] |
| Stachyline I (353) | Penicillium sp. SCSIO 41411 | Mangrove sediment, Guangdong, China | NR138263 | 19.9% (inhibitory ratio-AChE) at μM | [71] |
| Stachyline J (354) | Penicillium sp. SCSIO 41411 | Mangrove sediment, Guangdong, China | NR138263 | [71] | |
| Stachyline G (355) | Penicillium sp. SCSIO 41411 | Mangrove sediment, Guangdong, China | NR138263 | [71] | |
| Stachyline F (356) | Penicillium sp. SCSIO 41411 | Mangrove sediment, Guangdong, China | NR138263 | [71] | |
| (E)-4-(4-Hydroxy-3-methylbut-2-enyloxy)benzaldehyde (357) | Penicillium sp. SCSIO 41411 | Mangrove sediment, Guangdong, China | NR138263 | [71] | |
| Stachyline E (358) | Penicillium sp. SCSIO 41411 | Mangrove sediment, Guangdong, China | NR138263 | [71] | |
| 3,5-Dihydro-xy-2-(2-(2-hydroxy-6-methylphenyl)-2-oxoethyl)-4-me-thylbenzaldehyde (359) | P. janthinellum HK1-6 | Mangrove rhizosphere soil, Hainan, China | KY412802 | [65] | |
| 3-Hydroxy-5-methylphenyl 2,4-dihydroxy-6-methylben-zoate (360) | P. janthinellum HK1-6 | Mangrove rhizosphere soil, Hainan, China | KY412802 | [65] | |
| Lecanoric acid (361), | P. janthinellum HK1-6 | Mangrove rhizosphere soil, Hainan, China | KY412802 | [65] | |
| Orsellinic acid (362) | P. janthinellum HK1-6 | Mangrove rhizosphere soil, Hainan, China | KY412802 | [65] | |
| Orcinol (363) | P. janthinellum HK1-6 | Mangrove rhizosphere soil, Hainan, China | KY412802 | [65] | |
| Peniprenylphenol A (364) | P. chrysogenum ZZ1151 | Mangrove sediment, Indonesia | - | [56] | |
| 1,2-seco-trypacidin (365), | P. chrysogenum ZZ1151 | Mangrove sediment, Indonesian | - | [56] | |
| Communol G (366) | P. chrysogenum ZZ1151 | Mangrove sediment, Indonesia | - | MIC (anti-MRSA) 25 μg/mL | [56] |
| Clavatol (367) | P. chrysogenum ZZ1151 | Mangrove sediment, Indonesia | - | [56] | |
| 4-Hydroxybenzeneacetic acid methyl ester (368) | P. chrysogenum ZZ1151 | Mangrove sediment, Indonesia | - | [56] | |
| 2,5-Dihydroxyphenylacetic acid methyl ester (369), | P. chrysogenum ZZ1151 | Mangrove sediment, Indonesia | - | MIC (anti-Candida albicans) 25 μg/mL | [56] |
| 2-Hydroxyphenylacetic acid methyl ester (370) | P. chrysogenum ZZ1151 | Mangrove sediment, Indonesia | [56] | ||
| 4-Hydroxyphenylethanone (371) | P. chrysogenum ZZ1151 | Mangrove sediment, Indonesia | - | MIC (anti-MRSA) 25 μg/mL | [56] |
| 2′,3′-Dihydrosorbicillin (372) | Penicillium sp. DM815 | Rhizosphere soil of Hibiscus tiliaceus, Hainan, China | NR111815 | [47] | |
| 4-((S)-2-Hydroxybut-3-ynyloxy)-benzoic acid (373) | P. polonicum H175 | Mangrove sediment, Fujian, China | KY978580 | [48] | |
| Penipratynolene (374) | P. polonicum H175 | KY978580 | [48] | ||
| Sephenone A (375) | P. robsamsonii HNNU0006 | Rhizosphere soil of mangrove Sonneratia paracaseolaris, Hainan, China | MZ477207 | IC50 (cytotoxicity-A549) 8.7 9.71 ± 0.34 μg/mL | [36] |
| 5,9,11-Trimethoxy-3,13-dihydroxybenzophenone (376) | P. robsamsonii HNNU0006 | Rhizosphere soil of mangrove Sonneratia paracaseolaris, Hainan, China | MZ477207 | IC50 (cytotoxicity-A549) 9.66 ± 0.17 μg/mL | [36] |
| Stachybogrisephenone B (377) | P. robsamsonii HNNU0006 | Rhizosphere soil of mangrove Sonneratia paracaseolaris, Hainan, China | MZ477207 | IC50 (cytotoxicity-A549) 5.68 ± 0.21 μg/mL | [36] |
| 4-Chloro-7,4′-dihydroxy-5,2′-dimethoxy-2-methylformate-6′-methybenzophone (378) | P. robsamsonii HNNU0006 | Rhizosphere soil of mangrove Sonneratia paracaseolaris, Hainan, China | MZ477207 | [36] | |
| Penibenzophenone C (379) | Penicillium sp. | Mangrove Acanthus ilicifolius, South China Sea | KJ466981 | MIC (anti-MRSA) 3.12 μg/mL | [83] |
| Penibenzophenone D (380) | Penicillium sp. | Mangrove Acanthus ilicifolius, South China Sea | KJ466981 | MIC (anti-MRSA) 6.25 μg/mL | [83] |
| Sulochrin (381) | Penicillium sp. | Mangrove Acanthus ilicifolius, South China Sea | KJ466981 | [83] | |
| Hydoxysulochrin (382) | Penicillium sp. | Mangrove Acanthus ilicifolius, South China Sea | KJ466981 | [83] | |
| Cytosporone B (383) | Penicillium sp. YYSJ-3 | Mangrove Heritiera littoralis, Guangdong, China | JN676120 | [68] | |
| Dothiorelone C (384) | Penicillium sp. YYSJ-3 | Mangrove Heritiera littoralis, Guangdong, China | JN676120 | IC50 (α-glucosidase-inhibitory) 133.4 μM | [68] |
| Cytosporone A (385) | Penicillium sp. YYSJ-3 | Mangrove Heritiera littoralis, Guangdong, China | JN676120 | IC50 (α-glucosidase-inhibitory) 130.9 μM | [68] |
| Enicisteck acid E (386) | P. steckii SCSIO 41025 | Mangrove Avicennia marina, Guangdong, China | MW033549 | [75] | |
| Penicisteck acid F (387) | P. steckii SCSIO 41025 | Mangrove Avicennia marina, Guangdong, China | MW033549 | IC50 (NF-κB inhibitory activity) 12.54 µM | [75] |
| Penicisteck acid G (388) | P. steckii SCSIO 41025 | Mangrove Avicennia marina, Guangdong, China | MW033549 | IC50 (NF-κB inhibitory activity) 12.36 µM | [75] |
| Penicisteck acid H (389) | P. steckii SCSIO 41025 | Mangrove Avicennia marina, Guangdong, China | MW033549 | IC50 (NF-κB inhibitory activity) 13.83 µM | [75] |
| Ergosterol (390) | P. verruculosum TGM14 | Mangrove Xylocarpus granatum, South China Sea | MT071117 | [42] | |
| Ganodermaside A (391) | P. verruculosum TGM14 | Mangrove Xylocarpus granatum, South China Sea | MT071117 | [42] | |
| 5α,8α-Epidioxyergosta-6,22-dien-3β-ol (392) | P. verruculosum TGM14 | Mangrove Xylocarpus granatum, South China Sea | MT071117 | [42] | |
| (3β,5α,6β,22E)-Ergosta-7,22-diene-3,5,6-triol (393) | P. verruculosum TGM14 | Mangrove Xylocarpus granatum, South China Sea | MT071117 | [42] | |
| (20S,22E,24R)-Ergosta-7,22-diene-3β,5α,6β,9-tetraol (394) | P. verruculosum TGM14 | Mangrove Xylocarpus granatum, South China Sea | MT071117 | [42] | |
| Ergosta-4,6,8(14),22-tetraen-3-(6-amino-9H-purin-9-yl (395), | P. brefeldianum ABC190807 | Mangrove sediment, Hainan, China | MN264643 | [51] | |
| (22E)-Ergosta-4,6,8(14),22-tetraen-3-one (396) | P. brefeldianum ABC190807 | Mangrove sediment, Hainan, China | MN264643 | [51] | |
| Ergosterol peroxide (397) | P. brefeldianum ABC190807 | Mangrove sediment, Hainan, China | MN264643 | [51] | |
| 9,12-Octadecadieonic acid (398) | Penicillium sp. SCSIO 41411 | Mangrove sediment, Beibu Gulf, China | NR138263 | [71] | |
| α-Linolenic acid (399) | Penicillium sp. SCSIO 41411 | Mangrove sediment, Beibu Gulf, China | NR138263 | MIC (anti-Streptococcus suis) 100 μg/mL | [71] |
| Linoleic acid (400) | Penicillium sp. SCSIO 41411 | Mangrove sediment, Beibu Gulf, China | NR138263 | MIC (anti-Streptococcus suis) 100 μg/mL | [71] |
| Monlinoleate (401) | Penicillium sp. SCSIO 41411 | Mangrove sediment, Beibu Gulf, China | NR138263 | [71] | |
| Verrucosal (402) | P. polonicum MCCC3A00951 | Mangrove sediment, Fujian, China | - | [57] | |
| Penicillquei C (403) | P. verruculosum TGM14 | Mangrove Xylocarpus granatum, South China Sea | MT071117 | [38] | |
| Talaromydien A (404) | P. verruculosum TGM14 | Mangrove Xylocarpus granatum, South China Sea | MT071117 | [38] | |
| Penicillquei A (405) | P. verruculosum TGM14 | Mangrove Xylocarpus granatum, South China Sea | MT071117 | [38] | |
| (S)-(3E,5Z,10E)-8-Hydroxy-trideca-3,5,10,12-tetraen-2-one (406) | P. citrinum QJF-22 | Mangrove Kandelia candel, Hainan, China | MN319561 | [35] | |
| Methyl-1′-(N-hydroxyacetamido)butanoate (407) | P. steckii SCSIO 41025 | Mangrove Avicennia marina, Guangdong, China | MW033549 | [62] | |
| Penicillar E (408) | P. herquei JX4 | Mangrove Ceriops tagal, South China Sea | MF663569 | IC50 (anti-inflammatory) 38.86 ± 0.06 µM | [37] |
| (2E,4E)-5-((2S,3S,4R,5R)-3,4-Dihydroxy-2,4,5-trimethyl-tetrahydrofuran-2-yl)-2,4-dimethylpenta-2,4-dienal (409) | P. polonicum H175 | Mangrove sediment, Fujian, China | KY978580 | [48] | |
| Aspterric acid (410) | P. polonicum H175 | Mangrove sediment, Fujian, China | KY978580 | Excellent hypoglycaemic effect at 10 μM | [48] |
| 3,4-Dihydroxybenzaldehyde (411) | P. polonicum H175 | Mangrove sediment, Fujian, China | KY978580 | [48] | |
| Penicimumide (412) | P. chrysogenum ZZ1151 | Mangrove sediment, Indonesian | - | MIC (anti-Escherichia coli) 13 μg/mL | [56] |
| 2-Methyl-3-(5-oxohexyl) maleic acid (413) | P. ludwigii SCSIO 41408 | Mangrove sediment, Hainan, China | OL823084. | [49] | |
| 2-(4-Hydroxyhexyl)-3-methylmaleic acid (414) | P. ludwigii SCSIO 41408 | Mangrove sediment, Hainan, China | OL823084. | [49] | |
| 3-(Ethoxycarbonyl)-2-methylenenonanoic acid (415) | P. ludwigii SCSIO 41408 | Mangrove sediment, Hainan, China | OL823084. | Suppressed RANKL-induced osteoclast differentiation in BMMCs at 10 µM | [49] |
| 7-Hydroxy-3-(methoxycarbonyl)-2-methylenenonanoic acid (416) | P. ludwigii SCSIO 41408 | Mangrove sediment, Hainan, China | OL823084. | [49] | |
| Citreoviral (417) | Penicillium sp. BJR-P2 | Mangrove Avicennia marinav, Yangjiang Hailing Island, China | NA793386 | [66] |
Disclaimer/Publisher’s Note: The statements, opinions and data contained in all publications are solely those of the individual author(s) and contributor(s) and not of MDPI and/or the editor(s). MDPI and/or the editor(s) disclaim responsibility for any injury to people or property resulting from any ideas, methods, instructions or products referred to in the content. |
© 2024 by the authors. Licensee MDPI, Basel, Switzerland. This article is an open access article distributed under the terms and conditions of the Creative Commons Attribution (CC BY) license (https://creativecommons.org/licenses/by/4.0/).
Share and Cite
Zhou, G.; Cai, J.; Wang, B.; Diao, W.; Zhong, Y.; Pan, S.; Xiong, W.; Huang, G.; Zheng, C. Secondary Metabolites from the Mangrove Ecosystem-Derived Fungi Penicillium spp.: Chemical Diversity and Biological Activity. Mar. Drugs 2025, 23, 7. https://doi.org/10.3390/md23010007
Zhou G, Cai J, Wang B, Diao W, Zhong Y, Pan S, Xiong W, Huang G, Zheng C. Secondary Metabolites from the Mangrove Ecosystem-Derived Fungi Penicillium spp.: Chemical Diversity and Biological Activity. Marine Drugs. 2025; 23(1):7. https://doi.org/10.3390/md23010007
Chicago/Turabian StyleZhou, Guojun, Jin Cai, Bin Wang, Wenjiao Diao, Yu Zhong, Shaodan Pan, Weijia Xiong, Guolei Huang, and Caijuan Zheng. 2025. "Secondary Metabolites from the Mangrove Ecosystem-Derived Fungi Penicillium spp.: Chemical Diversity and Biological Activity" Marine Drugs 23, no. 1: 7. https://doi.org/10.3390/md23010007
APA StyleZhou, G., Cai, J., Wang, B., Diao, W., Zhong, Y., Pan, S., Xiong, W., Huang, G., & Zheng, C. (2025). Secondary Metabolites from the Mangrove Ecosystem-Derived Fungi Penicillium spp.: Chemical Diversity and Biological Activity. Marine Drugs, 23(1), 7. https://doi.org/10.3390/md23010007

