Distribution and Level of Bioactive Monoacylglycerols in 12 Marine Microalgal Species
Abstract
1. Introduction
2. Results
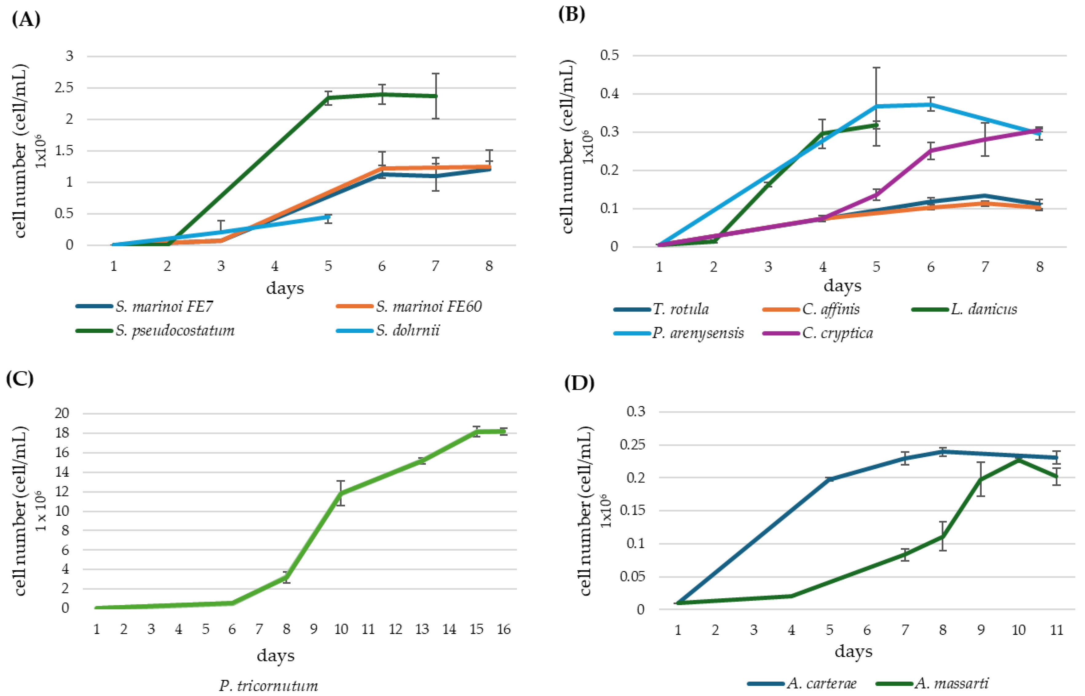
2.1. Microalgae Culturing and Extraction
2.2. LC-MS Analysis of MAGs
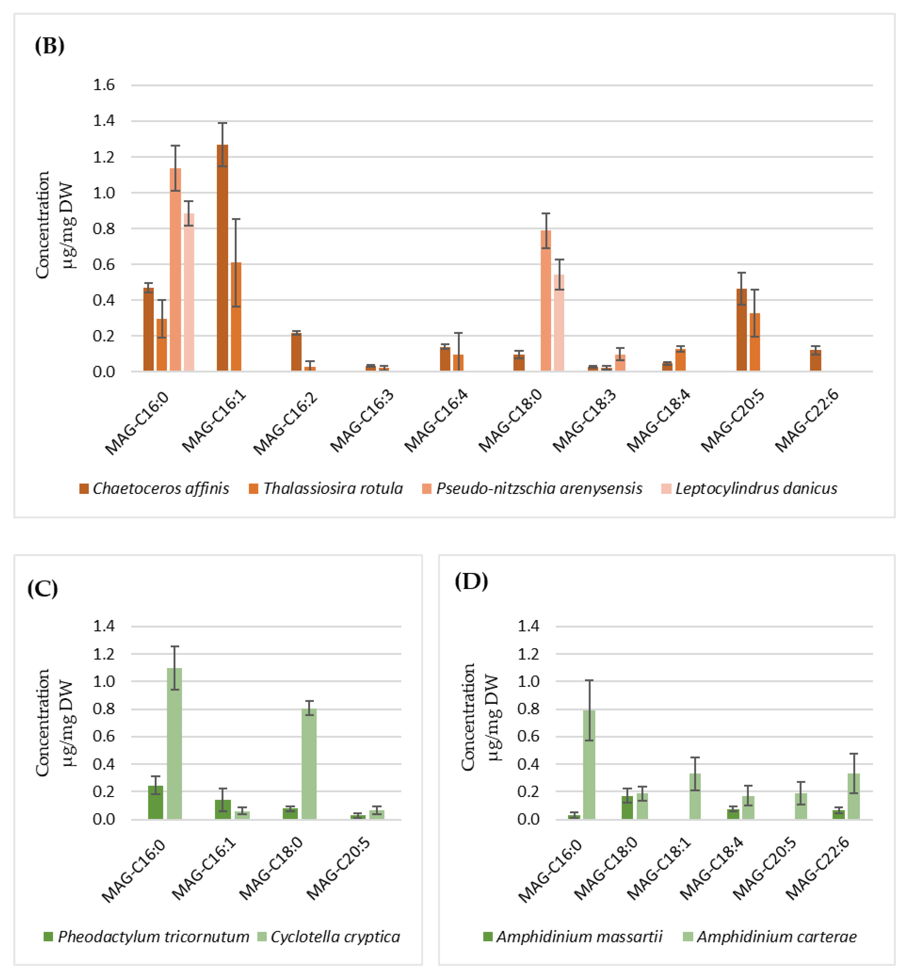
2.3. Quantitative LC-MS Analysis of MAGs
2.4. FAME Analysis
2.5. Lipid Profiling by LC-MS
3. Discussion
4. Materials and Methods
4.1. General Techniques and Chemicals
4.2. Biological Material
4.3. Microalgae Culturing
4.4. Microalgal Cell Pellet Extraction
4.5. Quantitative Analysis of MAGs
4.6. Total Fatty Acid Analysis by GC-MS
4.7. Untargeted Lipidomics by UHPLC-HRESIMS
5. Conclusions
Supplementary Materials
Author Contributions
Funding
Data Availability Statement
Acknowledgments
Conflicts of Interest
References
- Sigwart, J.D.; Blasiak, R.; Jaspars, M.; Jouffray, J.B.; Tasdemir, D. Unlocking the Potential of Marine Biodiscovery. Nat. Prod. Rep. 2021, 38, 1235–1242. [Google Scholar] [CrossRef]
- Carroll, A.R.; Copp, B.R.; Davis, R.A.; Keyzers, R.A.; Prinsep, M.R. Marine Natural Products. Nat. Prod. Rep. 2023, 40, 273–325. [Google Scholar] [CrossRef] [PubMed]
- Haque, N.; Parveen, S.; Tang, T.; Wei, J.; Huang, Z. Marine Natural Products in Clinical Use. Mar. Drugs 2022, 20, 528. [Google Scholar] [CrossRef]
- Santaniello, G.; Nebbioso, A.; Altucci, L.; Conte, M. Recent Advancement in Anticancer Compounds from Marine Organisms: Approval, Use and Bioinformatic Approaches to Predict New Targets. Mar. Drugs 2023, 21, 24. [Google Scholar] [CrossRef]
- Mobin, S.M.A.; Chowdhury, H.; Alam, F. Commercially Important Bioproducts from Microalgae and Their Current Applications-A Review. In Energy Procedia; Elsevier Ltd.: Amsterdam, The Netherlands, 2019; Volume 160, pp. 752–760. [Google Scholar]
- Gangl, D.; Zedler, J.A.Z.; Rajakumar, P.D.; Martinez, E.M.R.; Riseley, A.; Włodarczyk, A.; Purton, S.; Sakuragi, Y.; Howe, C.J.; Jensen, P.E.; et al. Biotechnological Exploitation of Microalgae. J. Exp. Bot. 2015, 66, 6975–6990. [Google Scholar] [CrossRef]
- Dolganyuk, V.; Andreeva, A.; Budenkova, E.; Sukhikh, S.; Babich, O.; Ivanova, S.; Prosekov, A.; Ulrikh, E. Study of Morphological Features and Determination of the Fatty Acid Composition of the Microalgae Lipid Complex. Biomolecules 2020, 10, 1571. [Google Scholar] [CrossRef]
- Udayan, A.; Pandey, A.K.; Sirohi, R.; Sreekumar, N.; Sang, B.I.; Sim, S.J.; Kim, S.H.; Pandey, A. Production of Microalgae with High Lipid Content and Their Potential as Sources of Nutraceuticals. Phytochem. Rev. 2023, 22, 833–860. [Google Scholar] [CrossRef]
- Cointet, E.; Wielgosz-Collin, G.; Méléder, V.; Gonçalves, O. Lipids in Benthic Diatoms: A New Suitable Screening Procedure. Algal Res. 2019, 39, 101425. [Google Scholar] [CrossRef]
- D’Ippolito, G.; Sardo, A.; Paris, D.; Vella, F.M.; Adelfi, M.G.; Botte, P.; Gallo, C.; Fontana, A. Potential of Lipid Metabolism in Marine Diatoms for Biofuel Production. Biotechnol. Biofuels 2015, 8, 28. [Google Scholar] [CrossRef]
- Priyadarshani, I.; Rath, B. Commercial and Industrial Applications of Micro Algae-A Review. Res. Artic. J. Algal Biomass Utln 2012, 3, 89–100. [Google Scholar]
- Smee, D.F.; Bailey, K.W.; Wong, M.H.; O’Keefe, B.R.; Gustafson, K.R.; Mishin, V.P.; Gubareva, L.V. Treatment of Influenza A (H1N1) Virus Infections in Mice and Ferrets with Cyanovirin-N. Antivir. Res. 2008, 80, 266–271. [Google Scholar] [CrossRef]
- Volk, R.B. A Newly Developed Assay for the Quantitative Determination of Antimicrobial (Anticyanobacterial) Activity of Both Hydrophilic and Lipophilic Test Compounds without Any Restriction. Microbiol. Res. 2008, 163, 161–167. [Google Scholar] [CrossRef]
- Volk, R.B.; Furkert, F.H. Antialgal, Antibacterial and Antifungal Activity of Two Metabolites Produced and Excreted by Cyanobacteria during Growth. Microbiol. Res. 2006, 161, 180–186. [Google Scholar] [CrossRef]
- Lauritano, C.; Andersen, J.H.; Hansen, E.; Albrigtsen, M.; Escalera, L.; Esposito, F.; Helland, K.; Hanssen, K.; Romano, G.; Ianora, A. Bioactivity Screening of Microalgae for Antioxidant, Anti-Inflammatory, Anticancer, Anti-Diabetes, and Antibacterial Activities. Front. Mar. Sci. 2016, 3, 68. [Google Scholar] [CrossRef]
- Martínez Andrade, K.A.; Lauritano, C.; Romano, G.; Ianora, A. Marine Microalgae with Anti-Cancer Properties. Mar. Drugs 2018, 16, 165. [Google Scholar] [CrossRef]
- Martínez, K.A.; Lauritano, C.; Druka, D.; Romano, G.; Grohmann, T.; Jaspars, M.; Martín, J.; Díaz, C.; Cautain, B.; de la Cruz, M.; et al. Amphidinol 22, a New Cytotoxic and Antifungal Amphidinol from the Dinoflagellate Amphidinium carterae. Mar. Drugs 2019, 17, 385. [Google Scholar] [CrossRef]
- Manzo, E.; Cutignano, A.; Pagano, D.; Gallo, C.; Barra, G.; Nuzzo, G.; Sansone, C.; Ianora, A.; Urbanek, K.; Fenoglio, D.; et al. A New Marine-Derived Sulfoglycolipid Triggers Dendritic Cell Activation and Immune Adjuvant Response. Sci. Rep. 2017, 7, 6286. [Google Scholar] [CrossRef]
- Ziaco, M.; Fioretto, L.; Nuzzo, G.; Fontana, A.; Manzo, E. Short Gram-Scale Synthesis of Sulfavant A. Org. Process Res. Dev. 2020, 24, 2728–2733. [Google Scholar] [CrossRef]
- Manzo, E.; Fioretto, L.; Gallo, C.; Ziaco, M.; Nuzzo, G.; D’Ippolito, G.; Borzacchiello, A.; Fabozzi, A.; de Palma, R.; Fontana, A. Preparation, Supramolecular Aggregation and Immunological Activity of the Bona Fide Vaccine Adjuvant Sulfavant S. Mar. Drugs 2020, 18, 451451. [Google Scholar] [CrossRef]
- Cutignano, A.; Conte, M.; Tirino, V.; Del Vecchio, V.; De Angelis, R.; Nebbioso, A.; Altucci, L.; Romano, G. Cytotoxic Potential of the Marine Diatom Thalassiosira rotula: Insights into Bioactivity of 24-Methylene Cholesterol. Mar. Drugs 2022, 20, 595. [Google Scholar] [CrossRef]
- Sansone, C.; Nuzzo, G.; Galasso, C.; Casotti, R.; Fontana, A.; Romano, G.; Ianora, A. The Marine Dinoflagellate Alexandrium andersoni Induces Cell Death in Lung and Colorectal Tumor Cell Lines. Mar. Biotechnol. 2018, 20, 343–352. [Google Scholar] [CrossRef] [PubMed]
- Sansone, C.; Braca, A.; Ercolesi, E.; Romano, G.; Palumbo, A.; Casotti, R.; Francone, M.; Ianora, A. Diatom-Derived Polyunsaturated Aldehydes Activate Cell Death in Human Cancer Cell Lines but Not Normal Cells. PLoS ONE 2014, 9, e101220. [Google Scholar] [CrossRef] [PubMed]
- Romano, G.; Manzo, E.; Russo, G.L.; D’Ippolito, G.; Cutignano, A.; Russo, M.; Fontana, A. Design and Synthesis of Pro-Apoptotic Compounds Inspired by Diatom Oxylipins. Mar. Drugs 2013, 11, 4527–4543. [Google Scholar] [CrossRef]
- Sannino, F.; Parrilli, E.; Apuzzo, G.A.; de Pascale, D.; Tedesco, P.; Maida, I.; Perrin, E.; Fondi, M.; Fani, R.; Marino, G.; et al. Pseudoalteromonas haloplanktis Produces Methylamine, a Volatile Compound Active against Burkholderia cepacia Complex Strains. New Biotechnol. 2017, 35, 13–18. [Google Scholar] [CrossRef] [PubMed]
- Miceli, M.; Cutignano, A.; Conte, M.; Ummarino, R.; Romanelli, A.; Ruvo, M.; Leone, M.; Mercurio, F.A.; Doti, N.; Manzo, E.; et al. Monoacylglycerides from the Diatom Skeletonema marinoi Induce Selective Cell Death in Cancer Cells. Mar. Drugs 2019, 17, 625. [Google Scholar] [CrossRef] [PubMed]
- Dhayal, S.; Welters, H.J.; Morgan, N.G. Structural Requirements for the Cytoprotective Actions of Mono-Unsaturated Fatty Acids in the Pancreatic β-Cell Line, BRIN-BD11. Br. J. Pharmacol. 2008, 153, 1718–1727. [Google Scholar] [CrossRef] [PubMed]
- Chevalier, L.; Vachon, A.; Plourde, M.D.S. Pharmacokinetics of Supplemental Omega-3 Fatty Acids Esterified in Monoglycerides, Ethyl Esters, or Triglycerides in Adults in a Randomized Crossover Trial. J. Nutr. 2021, 151, 1111–1118. [Google Scholar] [CrossRef] [PubMed]
- Champigny, C.M.; Cormier, R.P.J.; Simard, C.J.; St-Coeur, P.D.; Fortin, S.; Pichaud, N. Omega-3 Monoacylglyceride Effects on Longevity, Mitochondrial Metabolism and Oxidative Stress: Insights from Drosophila melanogaster. Mar. Drugs 2018, 16, 453. [Google Scholar] [CrossRef] [PubMed]
- Feltes, M.M.C.; de Oliveira, D.; Block, J.M.; Ninow, J.L. The Production, Benefits, and Applications of Monoacylglycerols and Diacylglycerols of Nutritional Interest. Food Bioproc Tech. 2013, 6, 17–35. [Google Scholar] [CrossRef]
- Younes, M.; Aquilina, G.; Castle, L.; Engel, K.H.; Fowler, P.; Frutos Fernandez, M.J.; Fürst, P.; Gürtler, R.; Husøy, T.; Manco, M.; et al. Opinion on the Re-Evaluation of Mono- and Diglycerides of Fatty Acids (E 471) as Food Additive in Foods for Infants below 16 Weeks of Age and Follow-up of Their Re-Evaluation as Food Additives for Uses in Foods for All Population Groups. EFSA J. 2021, 19, e06885. [Google Scholar] [CrossRef]
- Younes, M.; Aggett, P.; Aguilar, F.; Crebelli, R.; Dusemund, B.; Filipic, M.; Frutos, M.J.; Galtier, P.; Gott, D.; Gundert-Remy, U.; et al. Re-Evaluation of Mono-and Di-Glycerides of Fatty Acids (E 471) as Food Additives. EFSA J. 2017, 15, e05045. [Google Scholar] [CrossRef] [PubMed]
- Food Standards Agency Safety. Assessment RP1057 Outcome of Assessment of the Extension of Use of Mono- and Diglycerides (E 471). Available online: https://www.food.gov.uk/research/research-projects/safety-assessment-rp1057-outcome-of-assessment-of-the-extension-of-use-of-mono-and-diglycerides-e-471 (accessed on 19 May 2024).
- Sellem, L.; Srour, B.; Javaux, G.; Chazelas, E.; Chassaing, B.; Viennois, E.; Debras, C.; Salamé, C.; Druesne-Pecollo, N.; Esseddik, Y.; et al. Food Additive Emulsifiers and Risk of Cardiovascular Disease in the NutriNet-Santé Cohort: Prospective Cohort Study. BMJ 2023, 382, e076058. [Google Scholar] [CrossRef] [PubMed]
- Sellem, L.; Srour, B.; Javaux, G.; Chazelas, E.; Chassaing, B.; Viennois, E.; Debras, C.; Druesne-Pecollo, N.; Esseddik, Y.; de Edelenyi, F.S.; et al. Food Additive Emulsifiers and Cancer Risk: Results from the French Prospective NutriNet-Santé Cohort. PLoS Med. 2024, 21, e1004338. [Google Scholar] [CrossRef] [PubMed]
- Compton, D.L.; Vermillion, K.E.; Laszlo, J.A. Acyl Migration Kinetics of 2-Monoacylglycerols from Soybean Oil via 1H NMR. JAOCS J. Am. Oil Chem. Soc. 2007, 84, 343–348. [Google Scholar] [CrossRef]
- Gerecht, A.; Romano, G.; Ianora, A.; d’Ippolito, G.; Cutignano, A.; Fontana, A. Plasticity of Oxylipin Metabolism among Clones of the Marine Diatom Skeletonema marinoi (Bacillariophyceae). J. Phycol. 2011, 47, 1050–1056. [Google Scholar] [CrossRef] [PubMed]
- Zhu, D.; Zhang, J.; Hashem, J.; Gao, F.; Chen, C. Inhibition of 2-Arachidonoylglycerol Degradation Enhances Glial Immunity by Single-Cell Transcriptomic Analysis. J. Neuroinflamm. 2023, 20, 17. [Google Scholar] [CrossRef] [PubMed]
- Sugaya, Y.; Yamazaki, M.; Uchigashima, M.; Kobayashi, K.; Watanabe, M.; Sakimura, K.; Kano, M. Crucial Roles of the Endocannabinoid 2-Arachidonoylglycerol in the Suppression of Epileptic Seizures. Cell Rep. 2016, 16, 1405–1415. [Google Scholar] [CrossRef] [PubMed]
- Baggelaar, M.P.; Maccarrone, M.; van der Stelt, M. 2-Arachidonoylglycerol: A Signaling Lipid with Manifold Actions in the Brain. Prog. Lipid Res. 2018, 71, 1–17. [Google Scholar] [CrossRef] [PubMed]
- Zhao, S.; Poursharifi, P.; Mugabo, Y.; Levens, E.J.; Vivot, K.; Attane, C.; Iglesias, J.; Peyot, M.; Joly, E.; Madiraju, S.R.M.; et al. α/β-Hydrolase Domain-6 and Saturated Long Chain Monoacylglycerol Regulate Insulin Secretion Promoted by Both Fuel and Non-Fuel Stimuli. Mol. Metab. 2015, 4, 940–950. [Google Scholar] [CrossRef]
- Zhao, S.; Mugabo, Y.; Iglesias, J.; Xie, L.; Delghingaro-Augusto, V.; Lussier, R.; Peyot, M.L.; Joly, E.; Taïb, B.; Davis, M.A.; et al. α/β-Hydrolase Domain-6-Accessible Monoacylglycerol Controls Glucose-Stimulated Insulin Secretion. Cell Metab. 2014, 19, 993–1007. [Google Scholar] [CrossRef]
- Zhao, S.; Mugabo, Y.; Ballentine, G.; Attane, C.; Iglesias, J.; Poursharifi, P.; Zhang, D.; Nguyen, T.A.; Erb, H.; Prentki, R.; et al. α/β-Hydrolase Domain 6 Deletion Induces Adipose Browning and Prevents Obesity and Type 2 Diabetes. Cell Rep. 2016, 14, 2872–2888. [Google Scholar] [CrossRef] [PubMed]
- Morin, C.; Rousseau, E.; Blier, P.U.; Fortin, S. Effect of Docosahexaenoic Acid Monoacylglyceride on Systemic Hypertension and Cardiovascular Dysfunction. Am. J. Physiol. Heart Circ. Physiol. 2015, 309, H93–H102. [Google Scholar] [CrossRef] [PubMed]
- Poursharifi, P.; Madiraju, S.R.M.; Prentki, M. Monoacylglycerol Signalling and ABHD6 in Health and Disease. Diabetes Obes. Metab. 2017, 19, 76–89. [Google Scholar] [CrossRef] [PubMed]
- Andersen, R.A.; Kawachi, M. Traditional Microalgae Isolation Techniques. In Algal Culturing Techniques; Elsevier: Amsterdam, The Netherlands, 2005. [Google Scholar]
- Sarno, D.; Kooistra, W.H.C.F.; Medlin, L.K.; Percopo, I.; Zingone, A. Diversity in the Genus Skeletonema (Bacillariophyceae). II. An Assessment of the Taxonomy of S. Costatum-like Species with the Description of Four New Species. J. Phycol. 2005, 41, 151–176. [Google Scholar] [CrossRef]
- Lim, H.C.; Tan, S.N.; Teng, S.T.; Lundholm, N.; Orive, E.; David, H.; Quijano-Scheggia, S.; Leong, S.C.Y.; Wolf, M.; Bates, S.S.; et al. Phylogeny and Species Delineation in the Marine Diatom Pseudo-Nitzschia (Bacillariophyta) Using Cox1, LSU, and ITS2 RRNA Genes: A Perspective in Character Evolution. J. Phycol. 2018, 54, 234–248. [Google Scholar] [CrossRef] [PubMed]
- Nanjappa, D.; Kooistra, W.H.C.F.; Zingone, A. A Reappraisal of the Genus Leptocylindrus (Bacillariophyta), with the Addition of Three Species and the Erection of Tenuicylindrus Gen. Nov. J. Phycol. 2013, 49, 917–936. [Google Scholar] [CrossRef] [PubMed]
- Guillard, R.R.; Ryther, J.H. Studies of Marine Planktonic Diatoms. I. Cyclotella nana Hustedt, and Detonula confervacea (Cleve) Gran. Can. J. Microbiol. 1962, 8, 229–239. [Google Scholar] [CrossRef]
- Keller, M.D.; Selvin, R.C.; Claus, W.; Guillard, R.R.L. Media for the culture of oceanic ultraphytoplankton. J. Phycol. 1987, 23, 633–638. [Google Scholar] [CrossRef]
- Cutignano, A.; Luongo, E.; Nuzzo, G.; Pagano, D.; Manzo, E.; Sardo, A.; Fontana, A. Profiling of Complex Lipids in Marine Microalgae by UHPLC/Tandem Mass Spectrometry. Algal. Res. 2016, 17, 348–358. [Google Scholar] [CrossRef]
- Ahmed, N.; Asif, S.; Arfan, M.; Mahmood, Q.; Islam, A.; Gatasheh, M.K.; Zia, M. Synthesis and Characterization of Short α and β-Mixed Peptides with Excellent Anti-Lipase Activities. Molecules 2024, 29, 765. [Google Scholar] [CrossRef]





| Microalgal Species | Biomass Yield (g FW/L) | Biomass Yield (g DW/L) | Lipid Yield (mg/g DW) |
|---|---|---|---|
| Skeletonema marinoi FE7 | 0.61 ± 0.03 | 0.13 ± 0.01 | 124.47 ± 33.32 |
| Skeletonema marinoi FE60 | 0.70 ± 0.05 | 0.17 ± 0.01 | 112.60 ± 6.33 |
| Skeletonema dohrnii | 0.52 ± 0.02 | 0.10 ± 0.01 | 110.33 ± 6.98 |
| Skeletonema pseudocostatum | 0.63 ± 0.04 | 0.14 ± 0.01 | 142.85 ± 21.01 |
| Chaetoceros affinis | 0.97 ± 0.06 | 0.10 ± 0.01 | 171.14 ± 14.03 |
| Thalassiosira rotula | 0.59 ± 0.02 | 0.10 ± 0.00 | 261.18 ± 28.50 |
| Pseudo-nitzschia arenysensis | 0.31 ± 0.02 | 0.03 ± 0.00 | 121.04 ± 12.41 |
| Leptocylindrus danicus | 0.41 ± 0.01 | 0.05 ± 0.00 | 170.40 ± 7.28 |
| Cyclotella cryptica | 0.24 ± 0.02 | 0.05 ± 0.00 | 223.48 ± 7.18 |
| Phaeodactylum tricornutum | 1.52 ± 0.12 | 0.34 ± 0.02 | 177.53 ± 39.31 |
| Amphidinium carterae | 0.66 ± 0.06 | 0.12 ± 0.01 | 200.71 ± 18.55 |
| Amphidinium massartii | 0.49 ± 0.09 | 0.09 ± 0.02 | 226.89 ± 25.60 |
| Selected MAGs | Calibration Curve Equation | R2 |
|---|---|---|
| MAG-C16:0 | y = 0.376283 + 2.66559x | 0.9923 |
| MAG-C16:3 | y = 0.0336387 + 3.44269x | 0.9926 |
| MAG-C18:0 | y = 1.35265 + 3.62941x | 0.9930 |
| MAG-C18:1 | y = 1.13375 + 2.03456x | 0.9926 |
| MAG-C18:2 | y = 0.495324 + 3.39005x | 0.9973 |
| MAG-C20:4 | y = 0.204654 + 4.369x | 0.9944 |
| MAG-C20:5 | y = 0.458159 + 2.94969x | 0.9919 |
| MAG-C22:6 | y = 1.0052 + 4.21918x | 0.9942 |
| Diatoms | Dinoflagellates | ||||||||||||
|---|---|---|---|---|---|---|---|---|---|---|---|---|---|
| FAME | Rt | S. marinoi FE7 | S. marinoi FE60 | S. dohrnii | S. pseudocostatum | T. rotula | C. affinis | P. tricornutum | P. arenysensis | L. danicus | C. cryptica | A. carterae | A. massartii |
| C14:0 | 8.52 | 8.25 ± 0.25 | 8.42 ± 0.39 | 8.07 ± 0.15 | 15.21 ± 0.36 | 26.35 ± 0.78 | 15.19 ± 0.73 | 3.85 ± 0.08 | 11.82 ± 0.14 | 12.15 ± 0.44 | 2.89 ± 0.07 | 1.76 ± 0.33 | |
| C15:0 | 10.85 | 0.45 ± 0.03 | 0.30 ± 0.01 | 0.47 ± 0.01 | 0.59 ± 0.02 | 0.76 ± 0.03 | 0.67 ± 0.04 | 0.17 ± 0.03 | 0.71 ± 0.13 | 0.51 ± 0.09 | 0.66 ± 0.02 | 0.12 ± 0.01 | |
| C16:4 ω1 | 12.46 | 4.19 ± 0.13 | 5.97 ± 0.23 | 5.22 ± 0.15 | 9.29 ± 0.08 | 1.44 ± 0.32 | 2.23 ± 0.50 | 1.67 ± 0.15 | 4.51 ± 0.46 | 4.28 ± 0.40 | |||
| C16:3 ω4 | 12.62 | 8.87 ± 0.37 | 5.85 ± 0.08 | 10.33 ± 0.07 | 7.75 ± 0.02 | 0.86 ± 0.11 | 0.69 ± 0.07 | 2.69 ± 0.29 | 5.89 ± 0.20 | 1.15 ± 0.14 | 13.86 ± 0.31 | ||
| C16:1 ω7 | 12.93 | 33.63 ± 0.39 | 33.11 ± 1.66 | 28.77 ± 0.32 | 23.10 ± 0.23 | 40.68 ± 0.98 | 38.62 ± 1.69 | 34.37 ± 0.33 | 31.92 ± 0.24 | 29.40 ± 0.89 | 31.51 ± 0.11 | 0.37 ± 0.03 | 0.03 ± 0.02 |
| C16:2 ω3 | 13.01 | 4.98 ± 0.12 | 5.98 ± 0.08 | 4.91 ± 0.37 | 3.51 ± 0.07 | 1.43 ± 0.09 | 4.45 ± 0.25 | 1.64 ± 0.18 | 5.18 ± 0.26 | 8.25 ± 0.65 | 3.21 ± 0.04 | ||
| C16:0 | 13.45 | 6.74 ± 0.17 | 6.64 ± 0.27 | 7.61 ± 0.17 | 5.08 ± 0.10 | 11.24 ± 0.51 | 18.06 ± 0.83 | 18.56 ± 0.41 | 7.64 ± 0.69 | 9.80 ± 0.34 | 18.44 ± 0.07 | 33.20 ± 1.90 | 20.12 ± 0.40 |
| C18:3 ω6 | 17.46 | 0.22 ± 0.03 | 0.19 ± 0.02 | 0.27 ± 0.01 | 0.43 ± 0.00 | 0.18 ± 0.02 | 0.14 ± 0.02 | ||||||
| C18:3 ω3 | 17.56 | 0.23 ± 0.05 | 0.44 ± 0.05 | 0.11 ± 0.02 | 1.56 ± 0.07 | 0.45 ± 0.10 | 0.54 ± 0.03 | 0.38 ± 0.00 | 0.49 ± 0.05 | 0.14 ± 0.02 | 0.13 ± 0.01 | 0.07 ± 0.07 | |
| C18:5 ω3 + C18:4 ω3 | 17.75 | 3.88 ± 0.04 | 2.21 ± 0.15 | 3.48 ± 0.04 | 1.35 ± 0.06 | 2.09 ± 0.45 | 0.48 ± 0.10 | 1.38 ± 0.09 | 0.74 ± 0.07 | 0.74 ± 0.13 | 3.90 ± 0.07 | 16.55 ± 1.52 | 21.90 ± 0.39 |
| C18:2 ω6 | 18.00 | 0.77 ± 0.03 | 1.23 ± 0.04 | 1.24 ± 0.01 | 0.62 ± 0.02 | 0.75 ± 0.03 | 0.32 ± 0.02 | 2.34 ± 0.14 | 1.89 ± 0.03 | 4.63 ± 0.49 | 0.19 ± 0.02 | 1.14 ± 0.03 | 0.45 ± 0.06 |
| C18:1 ω9 | 18.19 | 0.39 ± 0.00 | 0.78 ± 0.05 | 0.73 ± 0.02 | 1.78 ± 0.01 | 2.73 ± 0.03 | 0.82 ± 0.09 | 3.60 ± 0.02 | 5.59 ± 0.41 | 4.97 ± 1.35 | 0.22 ± 0.00 | 9.31 ± 2.24 | 1.20 ± 0.03 |
| C18:1 ω7 | 18.32 | 1.18 ± 0.16 | 1.23 ± 0.05 | 1.76 ± 0.04 | 0.26 ± 0.02 | 1.99 ± 0.11 | 2.36 ± 0.11 | 0.54 ± 0.00 | 1.59 ± 0.24 | 0.78 ± 0.09 | 0.58 ± 0.03 | 1.22 ± 0.42 | 0.01 ± 0.01 |
| C18:2 ωx | 18.50 | 1.35 ± 0.26 | 0.64 ± 0.27 | 2.28 ± 0.29 | 3.21 ± 0.06 | 2.25 ± 0.03 | 2.03 ± 0.13 | 0.42 ± 0.07 | 4.22 ± 0.33 | 4.63 ± 0.49 | 2.00 ± 0.05 | 5.35 ± 0.71 | 3.86 ± 0.20 |
| C18:0 | 18.87 | 0.61 ± 0.09 | 0.85 ± 0.16 | 0.60 ± 0.05 | 0.60 ± 0.00 | 0.72 ± 0.02 | 1.03 ± 0.03 | 0.62 ± 0.05 | 0.91 ± 0.11 | 0.87 ± 0.10 | 0.53 ± 0.04 | 3.20 ± 0.08 | 3.60 ± 0.03 |
| AA | 22.45 | 0.10 ± 0.01 | 0.11 ± 0.03 | 0.05 ± 0.01 | 0.35 ± 0.04 | 0.22 ± 0.05 | 0.41 ± 0.20 | 0.48 ± 0.03 | |||||
| EPA | 22.65 | 21.43 ± 0.37 | 22.92 ± 1.78 | 20.91 ± 0.30 | 23.66 ± 0.43 | 4.63 ± 1.02 | 11.76 ± 2.61 | 25.82 ± 0.37 | 9.10 ± 1.97 | 13.57 ± 1.29 | 19.11 ± 0.17 | 10.60 ± 0.86 | 17.36 ± 0.18 |
| C21:0 | 24.30 | 0.07 ± 0.01 | 0.37 ± 0.05 | 5.55 ± 0.21 | 6.96 ± 0.11 | ||||||||
| DHA | 27.51 | 2.83 ± 0.04 | 3.12 ± 0.36 | 3.35 ± 0.08 | 3.45 ± 0.12 | 0.31 ± 0.10 | 0.53 ± 0.16 | 1.35 ± 0.02 | 0.51 ± 0.15 | 2.89 ± 0.21 | 2.58 ± 0.07 | 7.91 ± 1.01 | 21.18 ± 0.66 |
| C22:0 | 29.50 | 0.04 ± 0.00 | 0.09 ± 0.00 | 1.76 ± 0.31 | 1.16 ± 0.05 | 1.82 ± 0.04 | |||||||
| C24:0 | 31.91 | 0.26 ± 0.02 | 2.26 ± 0.08 | 5.04 ± 0.85 | 0.02 ± 0.00 | 2.42 ± 0.11 | 0.95 ± 0.04 | ||||||
| SFA | 16.05 ± 0.21 | 16.31 ± 0.73 | 16.75 ± 0.11 | 21.50 ± 0.44 | 39.15 ± 1.16 | 35.27 ± 1.61 | 25.59 ± 0.14 | 28.24 ± 2.16 | 23.62 ± 0.68 | 22.54 ± 0.02 | 47.41 ± 1.81 | 33.45 ± 0.29 | |
| MUFA | 35.19 ± 0.51 | 35.21 ± 1.67 | 31.26 ± 0.30 | 25.15 ± 0.22 | 45.44 ± 1.10 | 41.87 ± 1.88 | 38.23 ± 0.10 | 39.10 ± 0.65 | 35.15 ± 1.52 | 32.32 ± 0.09 | 10.90 ± 1.87 | 1.24 ± 0.05 | |
| PUFA | 48.75 ± 0.59 | 48.48 ± 2.26 | 51.99 ± 0.38 | 53.35 ± 0.66 | 15.40 ± 2.03 | 22.87 ± 3.49 | 37.48 ± 0.71 | 32.66 ± 2.41 | 41.23 ± 2.20 | 45.14 ± 0.07 | 41.69 ± 3.68 | 65.29 ± 0.32 | |
Disclaimer/Publisher’s Note: The statements, opinions and data contained in all publications are solely those of the individual author(s) and contributor(s) and not of MDPI and/or the editor(s). MDPI and/or the editor(s) disclaim responsibility for any injury to people or property resulting from any ideas, methods, instructions or products referred to in the content. |
© 2024 by the authors. Licensee MDPI, Basel, Switzerland. This article is an open access article distributed under the terms and conditions of the Creative Commons Attribution (CC BY) license (https://creativecommons.org/licenses/by/4.0/).
Share and Cite
Santaniello, G.; Falascina, G.; Ziaco, M.; Fioretto, L.; Sardo, A.; Carelli, M.; Conte, M.; Romano, G.; Cutignano, A. Distribution and Level of Bioactive Monoacylglycerols in 12 Marine Microalgal Species. Mar. Drugs 2024, 22, 258. https://doi.org/10.3390/md22060258
Santaniello G, Falascina G, Ziaco M, Fioretto L, Sardo A, Carelli M, Conte M, Romano G, Cutignano A. Distribution and Level of Bioactive Monoacylglycerols in 12 Marine Microalgal Species. Marine Drugs. 2024; 22(6):258. https://doi.org/10.3390/md22060258
Chicago/Turabian StyleSantaniello, Giovanna, Gianna Falascina, Marcello Ziaco, Laura Fioretto, Angela Sardo, Martina Carelli, Mariarosaria Conte, Giovanna Romano, and Adele Cutignano. 2024. "Distribution and Level of Bioactive Monoacylglycerols in 12 Marine Microalgal Species" Marine Drugs 22, no. 6: 258. https://doi.org/10.3390/md22060258
APA StyleSantaniello, G., Falascina, G., Ziaco, M., Fioretto, L., Sardo, A., Carelli, M., Conte, M., Romano, G., & Cutignano, A. (2024). Distribution and Level of Bioactive Monoacylglycerols in 12 Marine Microalgal Species. Marine Drugs, 22(6), 258. https://doi.org/10.3390/md22060258

