Chondroitin Sulfate Nanovectorized by LC-PUFAs Nanocarriers Extracted from Salmon (Salmo salar) by Green Process with Decreased Inflammatory Marker Expression in Interleukin-1β-Stimulated Primary Human Chondrocytes In Vitro Culture
Abstract
1. Introduction
| Molecule | Formula | Sources | Potential Application | References |
|---|---|---|---|---|
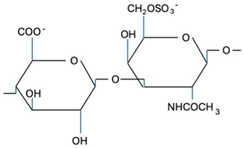
| CS-O | ![]() | Shark fins, human, synthetic | Anti-inflammatory, osteoarthritis, biotechnology precursor | [24,25,26] |
| CS-A | ![]() | Shark fins, bovine trachea, sturgeon notochord | Anti-inflammatory, repair the central nervous system, malarial vaccine | [27,28,29] |
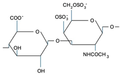
| CS-C | ![]() | Unknown | Anti-tumor | [30] |
| CS-E | ![]() | Unknown | Anti-thrombus, anti-viral, anti-inflammatory | [31,32,33] |
2. Results
2.1. FT-IR Spectroscopy of CS and Lipids Analyses
2.2. HPLC-MS Characterization of CS Disaccharides
2.3. Lipid TLC-FID (Iatroscan®) Analysis
2.4. GC-FID Analysis of Lipids
2.5. DLS Analysis of Liposome-Chondroitin Sulfate
2.6. Anti-Inflammatory Study of Chondroitin Sulfate-Liposomes on Human Chondrocytes
3. Materials and Methods
3.1. Reagent
3.2. Extraction of Chondroitin Sulfate and Lipids from Salmon Heads (Salmo salar)
3.2.1. Enzymatic Extraction
3.2.2. Purification of CS Fraction
3.2.3. Separation of Lipid Classes and Purification of Phospholipids
3.3. FT-IR Spectroscopy Analysis of CS and Lipids
3.4. Digestion of CS and Semi-Quantitative Analysis of Δdi-4S and Δdi-6S by HPLC-MS
3.5. TLC-FID (Iatroscan®) Analysis of Lipids
3.6. Fatty Acid Composition Analysis by GC-FID
3.7. Formulation of L-CS
3.8. DLS Analysis of L-CS
3.9. Anti-Inflammatory Study of CS-Liposomes on Human Chondrocytes
3.9.1. Collection and Culture of Chondrocytes
3.9.2. Study Design
3.9.3. Biocompatibility Assays
3.9.4. Nitrites Assay
3.9.5. Immuno-Enzymatic Assays (ELISAs)
3.9.6. RNA Extraction and Reverse Transcription-Polymerase Chain Reaction Analysis
3.9.7. Real-Time Quantitative Polymerase Chain Reaction
3.9.8. Statistical Analysis
4. Conclusions
Author Contributions
Funding
Institutional Review Board Statement
Data Availability Statement
Conflicts of Interest
Appendix A

References
- FAO. The State of World Fisheries and Aquaculture 2024; FAO: Rome, Italy, 2024; ISBN 978-92-5-138763-4. [Google Scholar]
- Vázquez, J.; Rodríguez-Amado, I.; Montemayor, M.; Fraguas, J.; González, M.; Murado, M. Chondroitin Sulfate, Hyaluronic Acid and Chitin/Chitosan Production Using Marine Waste Sources: Characteristics, Applications and Eco-Friendly Processes: A Review. Mar. Drugs 2013, 11, 747–774. [Google Scholar] [CrossRef] [PubMed]
- AFSSA. Report #2006-SA-0359, Maison-Alfort, Paris. 1 March 2010. Available online: https://www.anses.fr/fr/system/files/NUT2006sa0359.pdf (accessed on 6 September 2024).
- Hasan, M. Nanovectorisation de la Curcumine Sous Forme Liposomale: Interactions Biomolécule/Membrane, Transferts et Cytotoxicité Dans des Systèmes In Vitro. Ph.D. Thesis, Université de Lorraine, Metz, France, 2015. [Google Scholar]
- Mudiyanselage, J.J. Department of Food and Human Nutritional Sciences. Ph.D. Thesis, University of Manitoba Winnipeg, Winnipeg, MB, Canada, 2007. [Google Scholar]
- Chaves, M.A.; Ferreira, L.S.; Baldino, L.; Pinho, S.C.; Reverchon, E. Current Applications of Liposomes for the Delivery of Vitamins: A Systematic Review. Nanomaterials 2023, 13, 1557. [Google Scholar] [CrossRef] [PubMed]
- Shionoya, K.; Suzuki, T.; Takada, M.; Sato, K.; Onishi, S.; Dohmae, N.; Nishino, K.; Wada, T.; Linhardt, R.J.; Toida, T.; et al. Comprehensive Analysis of Chondroitin Sulfate and Aggrecan in the Head Cartilage of Bony Fishes: Identification of Proteoglycans in the Head Cartilage of Sturgeon. Int. J. Biol. Macromol. 2022, 208, 333–342. [Google Scholar] [CrossRef] [PubMed]
- Ricard-Blum, S.; Vivès, R.R.; Schaefer, L.; Götte, M.; Merline, R.; Passi, A.; Heldin, P.; Magalhães, A.; Reis, C.A.; Skandalis, S.S.; et al. A Biological Guide to Glycosaminoglycans: Current Perspectives and Pending Questions. FEBS J. 2024, 291, 3331–3366. [Google Scholar] [CrossRef] [PubMed]
- Zhang, W.; Xu, R.; Jin, X.; Wang, Y.; Hu, L.; Zhang, T.; Du, G.; Kang, Z. Enzymatic Production of Chondroitin Oligosaccharides and Its Sulfate Derivatives. Front. Bioeng. Biotechnol. 2022, 10, 951740. [Google Scholar] [CrossRef]
- Bougatef, H.; Volpi, N.; Ben Amor, I.; Capitani, F.; Maccari, F.; Gargouri, J.; Sila, A.; Bougatef, A. Chondroitin Sulfate from Heads of Corb: Recovery, Structural Analysis and Assessment of Anticoagulant Activity. Carbohydr. Res. 2024, 541, 109163. [Google Scholar] [CrossRef]
- Shi, C.; Deng, Y.; An, X.; Chen, Y.; Lv, X.; Liu, Q. Extraction, Physicochemical Properties, and In Vitro Antioxidant Activities of Chondroitin Sulfate from Bovine Nose Cartilage. Int. J. Food Sci. 2024, 2024, 6328378. [Google Scholar] [CrossRef]
- Unver, T.; Erenler, A.S.; Bingul, M.; Boga, M. Comparative Analysis of Antioxidant, Anticholinesterase, and Antibacterial Activity of Microbial Chondroitin Sulfate and Commercial Chondroitin Sulfate. Chem. Biodivers. 2023, 20, e202300924. [Google Scholar] [CrossRef]
- Tian, X.; Zhan, L.; Long, X.; Lin, J.; Zhang, Y.; Luan, J.; Peng, X.; Zhao, G. Multifunctional Natamycin Modified Chondroitin Sulfate Eye Drops with Anti-Inflammatory, Antifungal and Tissue Repair Functions Possess Therapeutic Effects on Fungal Keratitis in Mice. Int. J. Biol. Macromol. 2024, 279, 135290. [Google Scholar] [CrossRef]
- Brito, R.; Costa, D.; Dias, C.; Cruz, P.; Barros, P. Chondroitin Sulfate Supplements for Osteoarthritis: A Critical Review. Cureus 2023, 15, e40192. [Google Scholar] [CrossRef]
- Loeser, R.F.; Goldring, S.R.; Scanzello, C.R.; Goldring, M.B. Osteoarthritis: A Disease of the Joint as an Organ. Arthritis Rheum. 2012, 64, 1697. [Google Scholar] [CrossRef] [PubMed]
- Senni, K.; Gueniche, F.; Changotade, S.; Septier, D.; Sinquin, C.; Ratiskol, J.; Lutomski, D.; Godeau, G.; Guezennec, J.; Colliec-Jouault, S. Unusual Glycosaminoglycans from a Deep Sea Hydrothermal Bacterium Improve Fibrillar Collagen Structuring and Fibroblast Activities in Engineered Connective Tissues. Mar. Drugs 2013, 11, 1351–1369. [Google Scholar] [CrossRef] [PubMed]
- Chou, C.-H.; Jain, V.; Gibson, J.; Attarian, D.E.; Haraden, C.A.; Yohn, C.B.; Laberge, R.-M.; Gregory, S.; Kraus, V.B. Synovial Cell Cross-Talk with Cartilage Plays a Major Role in the Pathogenesis of Osteoarthritis. Sci. Rep. 2020, 10, 10868. [Google Scholar] [CrossRef] [PubMed]
- Terkawi, M.A.; Ebata, T.; Yokota, S.; Takahashi, D.; Endo, T.; Matsumae, G.; Shimizu, T.; Kadoya, K.; Iwasaki, N. Low-Grade Inflammation in the Pathogenesis of Osteoarthritis: Cellular and Molecular Mechanisms and Strategies for Future Therapeutic Intervention. Biomedicines 2022, 10, 1109. [Google Scholar] [CrossRef]
- Pelletier, J.-P.; DiBattista, J.A.; Roughley, P.; McCollum, R.; Martel-Pelletier, J. Cytokines and Inflammation in Cartilage Degradation. Rheum. Dis. Clin. N. Am. 1993, 19, 545–568. [Google Scholar] [CrossRef]
- Kim, H.-A.; Yeo, Y.; Jung, H.A.; Jung, Y.O.; Park, S.J.; Kim, S.J. Phase 2 Enzyme Inducer Sulphoraphane Blocks Prostaglandin and Nitric Oxide Synthesis in Human Articular Chondrocytes and Inhibits Cartilage Matrix Degradation. Rheumatology 2012, 51, 1006–1016. [Google Scholar] [CrossRef]
- Zhang, Y.-Y.; Yao, Y.-D.; Luo, J.-F.; Liu, Z.-Q.; Huang, Y.-M.; Wu, F.-C.; Sun, Q.-H.; Liu, J.-X.; Zhou, H. Microsomal Prostaglandin E2 Synthase-1 and Its Inhibitors: Molecular Mechanisms and Therapeutic Significance. Pharmacol. Res. 2022, 175, 105977. [Google Scholar] [CrossRef]
- Shang, X.B.; Wang, Y.J.; Cai, D.C.; Ma, S.; Wang, Z.; Zhu, Y.K.; Guo, H.H.; Wang, C.; Ma, X.; Hu, Z.Y.; et al. An Inducible Nitric Oxide Synthase Dimerization Inhibitor Prevents the Progression of Osteoarthritis. Front. Pharmacol. 2022, 13, 861183. [Google Scholar] [CrossRef]
- Restaino, O.F.; Schiraldi, C. Chondroitin Sulfate: Are the Purity and the Structural Features Well Assessed? A Review on the Analytical Challenges. Carbohydr. Polym. 2022, 292, 119690. [Google Scholar] [CrossRef]
- Ronca, F.; Palmieri, L.; Panicucci, P.; Ronca, G. Anti-Inflammatory Activity of Chondroitin Sulfate. Osteoarthr. Cartil. 1998, 6, 14–21. [Google Scholar] [CrossRef]
- Iovu, M.; Dumais, G.; Du Souich, P. Anti-Inflammatory Activity of Chondroitin Sulfate. Osteoarthr. Cartil. 2008, 16, S14–S18. [Google Scholar] [CrossRef] [PubMed]
- Zhang, W.; Xu, R.; Chen, J.; Xiong, H.; Wang, Y.; Pang, B.; Du, G.; Kang, Z. Advances and Challenges in Biotechnological Production of Chondroitin Sulfate and Its Oligosaccharides. Int. J. Biol. Macromol. 2023, 253, 126551. [Google Scholar] [CrossRef] [PubMed]
- Fraser, P.E.; Darabie, A.A.; McLaurin, J. Amyloid-β Interactions with Chondroitin Sulfate-Derived Monosaccharides and Disaccharides. J. Biol. Chem. 2001, 276, 6412–6419. [Google Scholar] [CrossRef] [PubMed]
- Alkhalil, A.; Achur, R.N.; Valiyaveettil, M.; Ockenhouse, C.F.; Gowda, D.C. Structural Requirements for the Adherence ofPlasmodium Falciparum-Infected Erythrocytes to Chondroitin Sulfate Proteoglycans of Human Placenta. J. Biol. Chem. 2000, 275, 40357–40364. [Google Scholar] [CrossRef]
- Zhang, W.; Zhang, P.; Wang, H.; Xu, R.; Xie, Z.; Wang, Y.; Du, G.; Kang, Z. Enhancing the Expression of Chondroitin 4-O-Sulfotransferase for One-Pot Enzymatic Synthesis of Chondroitin Sulfate A. Carbohydr. Polym. 2024, 337, 122158. [Google Scholar] [CrossRef]
- Pudełko, A.; Wisowski, G.; Olczyk, K.; Koźma, E.M. The Dual Role of the Glycosaminoglycan Chondroitin-6-sulfate in the Development, Progression and Metastasis of Cancer. FEBS J. 2019, 286, 1815–1837. [Google Scholar] [CrossRef]
- Sakai, T.; Kyogashima, M.; Kariya, Y.; Urano, T.; Takada, Y.; Takada, A. Importance of GlcUAb1-3GalNAc(4S,6S) in Chondroitin Sulfate E for t-PA- and u-PA-Mediated Glu-Plasminogen Activation. Thromb. Res. 2000, 100, 557–565. [Google Scholar] [CrossRef]
- Bergefall, K.; Trybala, E.; Johansson, M.; Uyama, T.; Naito, S.; Yamada, S.; Kitagawa, H.; Sugahara, K.; Bergström, T. Chondroitin Sulfate Characterized by the E-Disaccharide Unit Is a Potent Inhibitor of Herpes Simplex Virus Infectivity and Provides the Virus Binding Sites on gro2C Cells. J. Biol. Chem. 2005, 280, 32193–32199. [Google Scholar] [CrossRef]
- Li, J.; Elkhoury, K.; Barbieux, C.; Linder, M.; Grandemange, S.; Tamayol, A.; Francius, G.; Arab-Tehrany, E. Effects of Bioactive Marine-Derived Liposomes on Two Human Breast Cancer Cell Lines. Mar. Drugs 2020, 18, 211. [Google Scholar] [CrossRef]
- Velot, É.; Elkhoury, K.; Kahn, C.; Kempf, H.; Linder, M.; Arab-Tehrany, E.; Bianchi, A. Efficient TGF-Β1 Delivery to Articular Chondrocytes In Vitro Using Agro-Based Liposomes. Int. J. Mol. Sci. 2022, 23, 2864. [Google Scholar] [CrossRef]
- Velot, É.; Ducrocq, F.; Girardeau, L.; Hehn, A.; Piutti, S.; Kahn, C.; Linder, M.; Bianchi, A.; Arab-Tehrany, E. Hop Extract Anti-Inflammatory Effect on Human Chondrocytes Is Potentiated When Encapsulated in Rapeseed Lecithin Nanoliposomes. Int. J. Mol. Sci. 2022, 23, 12423. [Google Scholar] [CrossRef] [PubMed]
- Bianchi, A.; Velot, É.; Kempf, H.; Elkhoury, K.; Sanchez-Gonzalez, L.; Linder, M.; Kahn, C.; Arab-Tehrany, E. Nanoliposomes from Agro-Resources as Promising Delivery Systems for Chondrocytes. Int. J. Mol. Sci. 2020, 21, 3436. [Google Scholar] [CrossRef] [PubMed]
- Henna Lu, F.S.; Nielsen, N.S.; Timm-Heinrich, M.; Jacobsen, C. Oxidative Stability of Marine Phospholipids in the Liposomal Form and Their Applications. Lipids 2011, 46, 3–23. [Google Scholar] [CrossRef] [PubMed]
- Guedes, M.; Vieira, S.F.; Reis, R.L.; Ferreira, H.; Neves, N.M. Fishroesomes as Carriers with Antioxidant and Anti-Inflammatory Bioactivities. Biomed. Pharmacother. 2021, 140, 111680. [Google Scholar] [CrossRef]
- Virk, R.; Cook, K.; Cavazos, A.; Wassall, S.R.; Gowdy, K.M.; Shaikh, S.R. How Membrane Phospholipids Containing Long-Chain Polyunsaturated Fatty Acids and Their Oxidation Products Orchestrate Lipid Raft Dynamics to Control Inflammation. J. Nutr. 2024, 154, 2862–2870. [Google Scholar] [CrossRef]
- Yang, K.-R.; Tsai, M.-F.; Shieh, C.-J.; Arakawa, O.; Dong, C.-D.; Huang, C.-Y.; Kuo, C.-H. Ultrasonic-Assisted Extraction and Structural Characterization of Chondroitin Sulfate Derived from Jumbo Squid Cartilage. Foods 2021, 10, 2363. [Google Scholar] [CrossRef]
- Dong, F.; Quan, X.; Wang, Q.; Liu, Z.; Cui, T.; Wang, W.; Tang, D.; Zhang, R.; Zhang, C.; Wang, H.; et al. Purification, Structural Characterization, and Anticoagulant Activity Evaluation of Chondroitin Sulfate from Codfish (Gadus macrocephalus) Bones. Int. J. Biol. Macromol. 2022, 210, 759–767. [Google Scholar] [CrossRef]
- Cavalcanti, O.A.; Pineda, E.A.G.; Hechenleitner, A.A.W. Synthesis and Characterization of Phosphated Crosslinked Chondroitin Sulfate: Potential Ingredient for Specific Drug Delivery. Acta Farm. Bonaer. 2005, 24, 234. [Google Scholar]
- Garnjanagoonchorn, W.; Wongekalak, L.; Engkagul, A. Determination of Chondroitin Sulfate from Different Sources of Cartilage. Chem. Eng. Process. Process Intensif. 2007, 46, 465–471. [Google Scholar] [CrossRef]
- Wan, P.; Zhao, Z.; Wang, Q.-Z.; Chen, D.-W. Use of NMR, FTIR and GC–MS to Monitor the Oxidation Products of Phospholipids in Bighead Carp Head during Cooking Process. J. Food Compos. Anal. 2024, 127, 105984. [Google Scholar] [CrossRef]
- Osago, H.; Shibata, T.; Hara, N.; Kuwata, S.; Kono, M.; Uchio, Y.; Tsuchiya, M. Quantitative Analysis of Glycosaminoglycans, Chondroitin/Dermatan Sulfate, Hyaluronic Acid, Heparan Sulfate, and Keratan Sulfate by Liquid Chromatography–Electrospray Ionization–Tandem Mass Spectrometry. Anal. Biochem. 2014, 467, 62–74. [Google Scholar] [CrossRef] [PubMed]
- Uchisawa, H.; Okuzaki, B.; Ichita, J.; Matsue, H. Binding between Calcium Ions and Chondroitin Sulfate Chains of Salmon Nasal Cartilage Glycosaminoglycan. Int. Congr. Ser. 2001, 1223, 205–220. [Google Scholar] [CrossRef]
- López-Senra, E.; Casal-Beiroa, P.; López-Álvarez, M.; Serra, J.; González, P.; Valcarcel, J.; Vázquez, J.A.; Burguera, E.F.; Blanco, F.J.; Magalhães, J. Impact of Prevalence Ratios of Chondroitin Sulfate (CS)-4 and -6 Isomers Derived from Marine Sources in Cell Proliferation and Chondrogenic Differentiation Processes. Mar. Drugs 2020, 18, 94. [Google Scholar] [CrossRef] [PubMed]
- Maherani, B.; Arab-Tehrany, E.; Kheirolomoom, A.; Geny, D.; Linder, M. Calcein Release Behavior from Liposomal Bilayer; Influence of Physicochemical/Mechanical/Structural Properties of Lipids. Biochimie 2013, 95, 2018–2033. [Google Scholar] [CrossRef]
- Molversmyr, E.; Devle, H.M.; Naess-Andresen, C.F.; Ekeberg, D. Identification and Quantification of Lipids in Wild and Farmed Atlantic Salmon (Salmo salar), and Salmon Feed by GC-MS. Food Sci. Nutr. 2022, 10, 3117–3127. [Google Scholar] [CrossRef]
- Gbogouri, G.A.; Linder, M.; Fanni, J.; Parmentier, M. Analysis of Lipids Extracted from Salmon (Salmo salar) Heads by Commercial Proteolytic Enzymes. Eur. J. Lipid Sci. Technol. 2006, 108, 766–775. [Google Scholar] [CrossRef]
- Hanachi, A.; Bianchi, A.; Kahn, C.J.F.; Velot, E.; Arab-Tehrany, E.; Cakir-Kiefer, C.; Linder, M. Encapsulation of Salmon Peptides in Marine Liposomes: Physico-Chemical Properties, Antiradical Activities and Biocompatibility Assays. Mar. Drugs 2022, 20, 249. [Google Scholar] [CrossRef]
- Zhang, Z.; Ma, L.; Luo, J. Chondroitin Sulfate-Modified Liposomes for Targeted Co-Delivery of Doxorubicin and Retinoic Acid to Suppress Breast Cancer Lung Metastasis. Pharmaceutics 2021, 13, 406. [Google Scholar] [CrossRef]
- Bozzuto, G.; Molinari, A. Liposomes as Nanomedical Devices. Int. J. Nanomed. 2015, 10, 975–999. [Google Scholar] [CrossRef]
- Nguyen, M.; Battistoni, C.M.; Babiak, P.M.; Liu, J.C.; Panitch, A. Chondroitin Sulfate/Hyaluronic Acid-Blended Hydrogels Suppress Chondrocyte Inflammation under Pro-Inflammatory Conditions. ACS Biomater. Sci. Eng. 2024, 10, 3242–3254. [Google Scholar] [CrossRef]
- Bianchi, A.; Moulin, D.; Sebillaud, S.; Koufany, M.; Galteau, M.-M.; Netter, P.; Terlain, B.; Jouzeau, J.-Y. Contrasting Effects of Peroxisome-Proliferator-Activated Receptor (PPAR)γ Agonists on Membrane-Associated Prostaglandin E2 Synthase-1 in IL-1β-Stimulated Rat Chondrocytes: Evidence for PPARγ-Independent Inhibition by 15-Deoxy-Δ12,14prostaglandin J2. Arthritis Res. Ther. 2005, 7, R1325. [Google Scholar] [CrossRef] [PubMed]
- Francis, K.; Zheng, H.; Suskind, D.; Nuding, M.E.; Morton, G.; Schwartz, M.; Alonge, K.; Scarlett, J. Mo2041 Characterizing the Intestinal Chondroitin Sulfate Glycosaminoglycan Sulfation Signatute in Inflammatory Bowel Disease. Gastroenterology 2024, 166, S-1208. [Google Scholar] [CrossRef]
- Li, X.; Zhou, Y.; Chen, X.; Wang, H.; Yang, S.; Yang, J.; Song, Y.; Zhao, Z.; Zhang, H.; Wu, L. Semi-Synthetic Chondroitin Sulfate CS-Semi5 Upregulates miR-122-5p, Conferring a Therapeutic Effect on Osteoarthritis via the P38/MMP13 Pathway. Acta Pharm. Sin. B 2024, 14, 3528–3542. [Google Scholar] [CrossRef] [PubMed]
- Linder, M.; Matouba, E.; Fanni, J.; Parmentier, M. Enrichment of Salmon Oil with N-3 PUFA by Lipolysis, Filtration and Enzymatic Re-Esterification. Eur. J. Lipid. Sci. 2002, 104, 455–462. [Google Scholar] [CrossRef]
- Folch, J.; Lees, M.; Stanley, G.H.S. A Simple Method for The Isolation and Purification of Total Lipides from Animal Tissues. J. Biol. Chem. 1957, 226, 497–509. [Google Scholar] [CrossRef]
- Zhu, Y.; Zheng, X.; Zeng, Q.; Zhong, R.; Guo, Y.; Shi, F.; Liang, P. The Inhibitory Effect of Large Yellow Croaker Roe Phospholipid as a Potential Antioxidant on Fish Oil Oxidation Stability. Food Biosci. 2023, 56, 103291. [Google Scholar] [CrossRef]
- Chihaoui, M.; Lazreg, H.; M’hamed, A.C.; Bouchemal, N.; Chahed, L.; Messaoudi, I.; Majdoub, H.; Laschet, J.; Boisson-Vidal, C.; Mansour, M.B.; et al. Comparative Analysis of Physicochemical Characteristics of Chondroitin Sulfate from Avian Cartilage: Antioxidant, Anti-Inflammatory and Anti-Nociceptive Properties. Chem. Afr. 2024, 7, 1269–1282. [Google Scholar] [CrossRef]
- Takeda-Okuda, N.; Yeon, S.-J.; Matsumi, Y.; Matsuura, Y.; Hosaka, Y.Z.; Tamura, J. Quantitative, Compositional, and Immunohistochemical Analyses of Chondroitin Sulfate, Dermatan Sulfate, and Hyaluronan in Internal Organs of Deer (Cervus nippon centralis and C. n. yesoensis) and Cattle (Bos taurus). Int. J. Biol. Macromol. 2024, 261, 129680. [Google Scholar] [CrossRef]
- Morrison, W.R.; Smith, L.M. Preparation of Fatty Acid Methyl Esters and Dimethylacetals from Lipids with Boron Fluoride–Methanol. J. Lipid Res. 1964, 5, 600–608. [Google Scholar] [CrossRef]
- Kapoor, M.; Martel-Pelletier, J.; Lajeunesse, D.; Pelletier, J.-P.; Fahmi, H. Role of Proinflammatory Cytokines in the Pathophysiology of Osteoarthritis. Nat. Rev. Rheumatol. 2011, 7, 33–42. [Google Scholar] [CrossRef]
- Amin, A.R.; Dave, M.; Attur, M.; Abramson, S.B. COX-2, NO, and Cartilage Damage and Repair. Curr. Rheumatol. Rep. 2000, 2, 447–453. [Google Scholar] [CrossRef]
- Abramson, S.B.; Attur, M.; Amin, A.R.; Clancy, R. Nitric Oxide and Inflammatory Mediators in the Perpetuation of Osteoarthritis. Curr. Rheumatol. Rep. 2001, 3, 535–541. [Google Scholar] [CrossRef]






| Chondroitin Sulfate | Lipids | ||
|---|---|---|---|
| Bond | Wavenumber (cm−1) | Bond | Wavenumber (cm−1) |
| -OH, H2O | 3400 | -H-OO | 3250 |
| -CH | 2920 | -CH | 3005 |
| -CH | 2850 | -CH3 | 2958 |
| -C-O | 1625 | -CH2 | 2920 |
| -NH | 1550 | -CH3 | 2850 |
| -CO | 1373 | -CH2, -CH3 | 1450 |
| -CO | 1410 | Ester -CO | 1080 |
| -SO | 1220 | (-CH2–, -HC=CH-(cis)) | 720 |
| Fatty Acids | TAG | Glycolipids | Phospholipids |
|---|---|---|---|
| C14:0 | 3.68 ± 0.03 | 1.68 ± 0.10 | 2.71 ± 0.14 |
| C15:0 | 0.12 ± 0.01 | 0.27 ± 0.01 | 0.25 ± 0.25 |
| Iso C16:0 | 0.22 ± 0.01 | 0.49 ± 0.01 | 0.40 ± 0.01 |
| C16:0 | 10.80 ± 0.01 | 18.97 ± 0.05 | 17.15 ± 0.30 |
| C18:0 | 2.27 ± 0.04 | 5.53 ± 0.01 | 4.90 ± 0.08 |
| C20:0 | 0.57 ± 0.02 | 1.88 ± 0.02 | 2.20 ± 0.01 |
| Σ Saturates | 17.66 | 30.02 | 27.61 |
| C16:1 n-9 | 4.99 ± 0.01 | 2.96 ± 0.06 | 2.52 ± 0.07 |
| C18:1 n-9 | 28.88 ± 0.12 | 21.02 ± 0.01 | 18.10 ± 0.19 |
| C18:1 n-7 | 0.23 ± 0.01 | 0.33 ± 0.01 | 0.31 ± 0.01 |
| C20:1 n-11 | 7.99 ± 0.13 | 4.19 ± 0.09 | 3.57 ± 0.15 |
| C20:1 n-9 | 1.46 ± 0.07 | 0.57 ± 0.08 | 0.63 ± 0.11 |
| C20:1 n-7 | 0.17 ± 0.01 | 0.19 ± 0.03 | 0.25 ± 0.05 |
| C22:1 n-9 | 0.38 ± 0.02 | 0.40 ± 0.02 | 0.55 ± 0.04 |
| Σ Monoenes | 44.10 | 29.66 | 25.93 |
| C16:2 n-6 | 0.19 ± 0.01 | 0.34 ± 0.05 | 0.32 ± 0.01 |
| C16:2 n-4 | 0.36 ± 0.01 | 0.72 ± 0.01 | 0.54 ± 0.01 |
| C18:2 n-7 | 0.30 ± 0.02 | 0.16 ± 0.01 | 0.14 ± 0.01 |
| C18:2 n-6 | 7.24 ± 0.01 | 3.96 ± 0.01 | 3.66 ± 0.04 |
| C18:2 n-4 | 0.18 ± 0.01 | 0.26 ± 0.02 | 0.20 ± 0.01 |
| Σ Dienenes | 8.27 | 5.44 | 4.86 |
| C16:3 n-4 | 0.55 ± 0.02 | 0.53 ± 0.01 | 0.47 ± 0.02 |
| C18:3 n-6 | 0.20 ± 0.02 | 0.12 ± 0.01 | 0.13 ± 0.01 |
| C18:3 n-4 | 2.70 ± 0.10 | 1.63 ± 0.01 | 1.59 ± 0.02 |
| C18:3 n-3 | 8.33 ± 0.04 | 4.63 ± 0.01 | 3.90 ± 0.05 |
| C18:3 n-1 | 0.23 ± 0.01 | 0.25 ± 0.01 | 0.23 ± 0.01 |
| Σ Trienenes | 12.01 | 7.16 | 6.32 |
| C16:4 n-1 | 0.27 ± 0.05 | 0.36 ± 0.02 | 0.31 ± 0.09 |
| C18:4 n-3 | 0.59 ± 0.02 | 0.61 ± 0.01 | 0.59 ± 0.02 |
| C22:4 n-6 | 0.69 ± 0.01 | 2.93 ± 0.01 | 2.56 ± 0.12 |
| Σ Tetraenes | 1.55 | 3.90 | 3.46 |
| C20:5 n-3 | 4.89 ± 0.03 | 5.79 ± 0.02 | 7.44 ± 0.03 |
| C21:5 n-3 | 0.44 ± 0.01 | 0.63 ± 0.01 | 0.84 ± 0.07 |
| C22:5 n-3 | 1.82 ± 0.04 | 1.94 ± 0.05 | 2.31 ± 0.04 |
| Σ Pentaenes | 7.15 | 8.36 | 10.59 |
| C22:6n-3 | 7.12 ± 0.03 | 13.64 ± 0.02 | 19.38 ± 0.40 |
| Σ n-6 | 8.32 | 7.35 | 9.06 |
| Σ n-3 | 23.19 | 27.24 | 34.46 |
| n-6/n-3 | 0.36 | 0.27 | 0.26 |
| EPA/DHA | 0.69 | 0.42 | 0.38 |
| Day 0 | Day 7 | |||||
|---|---|---|---|---|---|---|
| Samples | Size (nm) | ζ Potential (mV) | PdI | Size (nm) | ζ Potential (mV) | PdI |
| L-E | 87.91 ± 3.19 | −20.60 ± 0.79 | 0.26 ± 0.01 | 95.12 ± 9.44 | −28.60 ± 0.66 | 0.268 ± 0.07 |
| L-CSl1 | 82.07 ± 0.98 | −20.30 ± 0.76 | 0.21 ± 0.01 | 123.56 ± 2.54 | −39.00 ± 0.46 | 0.282 ± 0.01 |
| L-CSl2 | 94.01 ± 0.99 | −21.20 ± 1.20 | 0.21 ± 0.01 | 148.33 ± 2.80 | −42.60 ± 0.58 | 0.247 ± 0.03 |
| L-CSh1 | 65.76 ± 1.95 | −16.20 ± 0.32 | 0.25 ± 0.01 | 74.41 ± 4.83 | −36.10 ± 0.43 | 0.310 ± 0.06 |
| L-CSh2 | 84.59 ± 1.12 | −19.90 ± 0.75 | 0.22 ± 0.01 | 173.33 ± 2.41 | −37.30 ± 0.28 | 0.364 ± 0.01 |
| L-CSs1 | 74.76 ± 0.34 | −19.30 ± 0.10 | 0.24 ± 0.01 | 144.13 ± 3.65 | −47.70 ± 0.80 | 0.254 ± 0.01 |
| L-CSs2 | 84.03 ± 0.88 | −15.50 ± 0.43 | 0.22 ± 0.01 | 132.96 ± 2.55 | −38.60 ± 0.55 | 0.389 ± 0.01 |
| Genes | Sequences 5′-3′ |
|---|---|
| Agg | Fwd: CTC-TAA-CCG-CCA-CGG-TCT-GA |
| Rev: ACT-AGC-ATG-ATT-GGT-ATC-AC | |
| COX-2 | Fwd: GCT-GGA-ACA-TGG-AAT-TAC-CCA |
| Rev: CTT-TCT-GTA-CTG-CGG-GTG-GAA | |
| mPGES-1 | Fwd: TGG-TCA-TCA-AGA-TGT-ACG-TGG-T |
| Rev: GGG-TCG-CTC-CTG-CAA-TAC-T | |
| iNOS | Fwd: TGC-AAT-GAA-TGG-GGA-AAA-AG |
| Rev: ATT-CTG-CTG-CTT-GCT-GAG-GT | |
| MMP1 | Fwd: AGG-TCT-CTG-AGG-GTC-AAG-CA |
| Rev: CTG-GTT-GAA-AAG-CAT-GAG-CA | |
| MMP3 | Fwd: GCA-GTT-TGC-TCA-GCC-TAT-CC |
| Rev: GAG-TGT-CGG-AGT-CCA-GCT-TC | |
| MMP13 | Fwd: TGG-TGG-TGA-TGA-AGA-TGA-TTT |
| Rev: TCT-AAG-CCG-AAG-AAA-GAC-TGC | |
| RP29 | Fwd: GGG-TCA-CCA-GCA-GCT-GTA-CT |
| Rev: CCG-ATA-TCC-TTC-GCG-TAC-TG |
Disclaimer/Publisher’s Note: The statements, opinions and data contained in all publications are solely those of the individual author(s) and contributor(s) and not of MDPI and/or the editor(s). MDPI and/or the editor(s) disclaim responsibility for any injury to people or property resulting from any ideas, methods, instructions or products referred to in the content. |
© 2024 by the authors. Licensee MDPI, Basel, Switzerland. This article is an open access article distributed under the terms and conditions of the Creative Commons Attribution (CC BY) license (https://creativecommons.org/licenses/by/4.0/).
Share and Cite
Pruvost, L.; Gerlei, M.; Paris, C.; Velot, É.; Kahn, C.J.-F.; Bianchi, A.; Linder, M. Chondroitin Sulfate Nanovectorized by LC-PUFAs Nanocarriers Extracted from Salmon (Salmo salar) by Green Process with Decreased Inflammatory Marker Expression in Interleukin-1β-Stimulated Primary Human Chondrocytes In Vitro Culture. Mar. Drugs 2024, 22, 571. https://doi.org/10.3390/md22120571
Pruvost L, Gerlei M, Paris C, Velot É, Kahn CJ-F, Bianchi A, Linder M. Chondroitin Sulfate Nanovectorized by LC-PUFAs Nanocarriers Extracted from Salmon (Salmo salar) by Green Process with Decreased Inflammatory Marker Expression in Interleukin-1β-Stimulated Primary Human Chondrocytes In Vitro Culture. Marine Drugs. 2024; 22(12):571. https://doi.org/10.3390/md22120571
Chicago/Turabian StylePruvost, Louis, Maureen Gerlei, Cédric Paris, Émilie Velot, Cyril J.-F. Kahn, Arnaud Bianchi, and Michel Linder. 2024. "Chondroitin Sulfate Nanovectorized by LC-PUFAs Nanocarriers Extracted from Salmon (Salmo salar) by Green Process with Decreased Inflammatory Marker Expression in Interleukin-1β-Stimulated Primary Human Chondrocytes In Vitro Culture" Marine Drugs 22, no. 12: 571. https://doi.org/10.3390/md22120571
APA StylePruvost, L., Gerlei, M., Paris, C., Velot, É., Kahn, C. J.-F., Bianchi, A., & Linder, M. (2024). Chondroitin Sulfate Nanovectorized by LC-PUFAs Nanocarriers Extracted from Salmon (Salmo salar) by Green Process with Decreased Inflammatory Marker Expression in Interleukin-1β-Stimulated Primary Human Chondrocytes In Vitro Culture. Marine Drugs, 22(12), 571. https://doi.org/10.3390/md22120571





