Structural Elucidation and Antiviral Properties of Pannosides from the Halophyte Aster tripolium L.
Abstract
1. Introduction
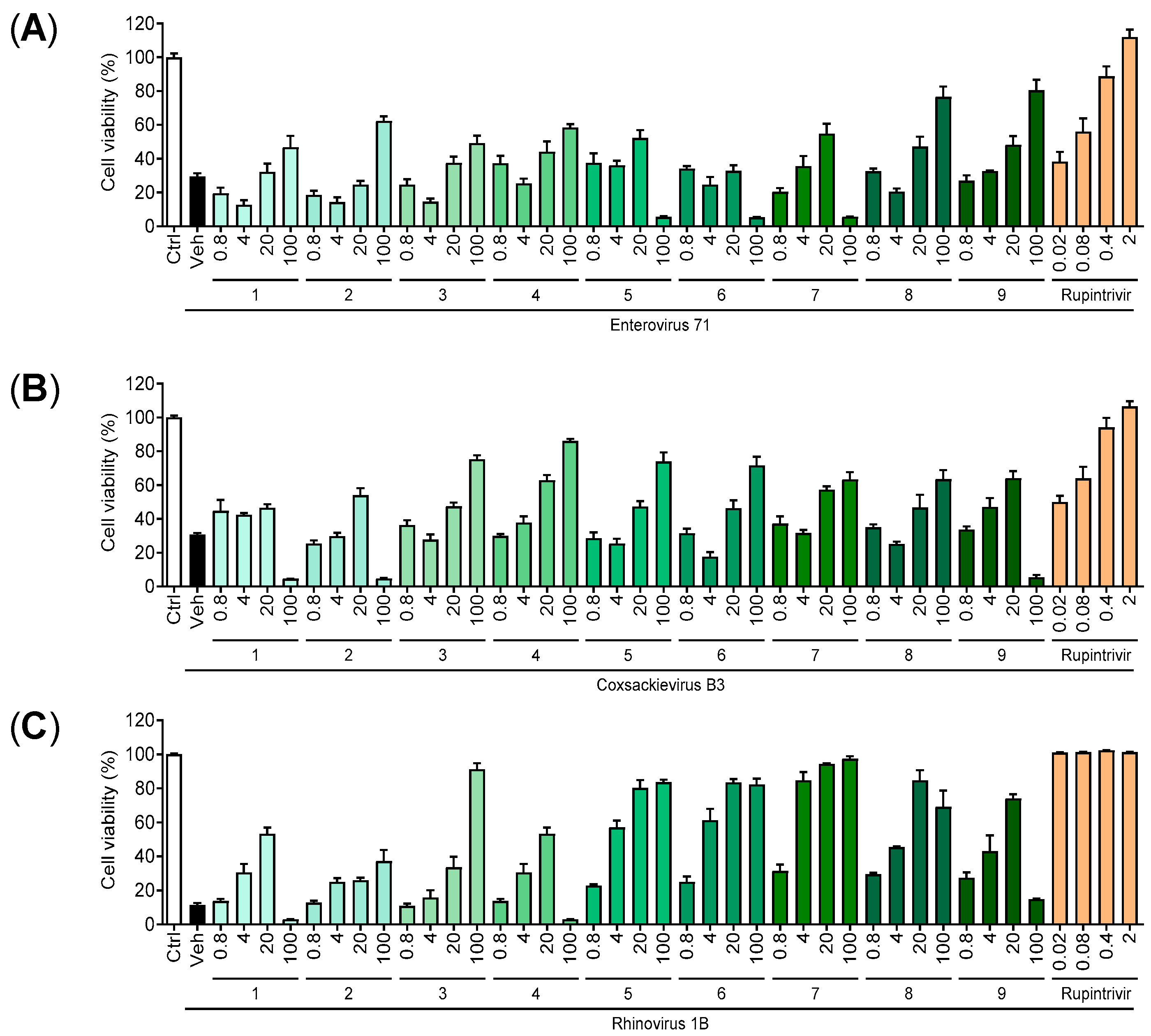
2. Results and Discussion
3. Experimental Section
3.1. General Experimental Procedures
3.2. Plant Collection, Extraction, and Compound Purification
- Pannoside F (1)
- Pannoside G (2)
- Pannoside H (3)
- Pannoside I (4)
- Medicagenic acid (1a)
- Zanhic acid (3a)
3.3. Determination of the Absolute Configuration of 3-HB Residues in Pannosides
3.4. Analyzes of Metabolites and Molecular Networking
3.5. Biological Assays
3.5.1. Cell Culture and Viruses
3.5.2. Antiviral Activity Assay
Supplementary Materials
Author Contributions
Funding
Institutional Review Board Statement
Data Availability Statement
Conflicts of Interest
References
- Coker, J.A. ‘All about’ extremophiles. Fac. Rev. 2023, 12, 27. [Google Scholar] [CrossRef] [PubMed]
- Reshi, Z.A.; Ahmad, W.; Lukatkin, A.S.; Javed, S.B. From nature to lab: A review of secondary metabolite biosynthetic pathways, environmental influences, and in vitro approaches. Metabolites 2023, 13, 895. [Google Scholar] [CrossRef] [PubMed]
- Roubi, M.; Elbouzidi, A.; Dalli, M.; Azizi, S.-E.; Aherkou, M.; Taibi, M.; Guerrouj, B.E.; Addi, M.; Gseyra, N. Phytochemical, antioxidant, and anticancer assessments of Atriplex halimus extracts: In silico and in vitro studies. Sci. Afr. 2023, 22, e01959. [Google Scholar] [CrossRef]
- Rahman, M.M.; Kim, M.J.; Kim, J.H.; Kim, S.H.; Go, H.K.; Kweon, M.H.; Kim, D.H. Desalted salicornia europaea powder and its active constituent, trans-ferulic acid, exert anti-obesity effects by suppressing adipogenic-related factors. Pharm. Biol. 2018, 56, 183–191. [Google Scholar] [CrossRef] [PubMed]
- Rahmani, R.; Arbi, K.; Aydi, S.; Hzami, A.; Tlahig, S.; Najar, R.; Aydi, S.; Debouba, M. Biochemical composition and biological activities of Salicornia europaea L. From southern tunisia. J. Food Meas. Charact. 2022, 16, 4833–4846. [Google Scholar] [CrossRef]
- Gu, D.; Fang, C.; Liu, J.; Jiang, Z.; Li, G.; Li, M.; Zhang, M.; Huang, Y. Chemical composition and cytotoxicity of Salicornia europaea L. Biochem. Syst. Ecol. 2023, 110, 104714. [Google Scholar] [CrossRef]
- Patel, S. Salicornia: Evaluating the halophytic extremophile as a food and a pharmaceutical candidate. 3 Biotech 2016, 6, 104. [Google Scholar] [CrossRef]
- Kamal, Z.; Ullah, F.; Ahmad, S.; Ayaz, M.; Sadiq, A.; Imran, M.; Ahmad, S.; Rahman, F.U.; Zeb, A. Saponins and solvent extracts from Atriplex laciniata L. Exhibited high anthelmintic and insecticidal activities. J. Tradit. Chin. Med. 2017, 37, 599–606. [Google Scholar] [CrossRef]
- Stanković, J.; Gođevac, D.; Tešević, V.; Dajić-Stevanović, Z.; Ćirić, A.; Soković, M.; Novaković, M. Antibacterial and antibiofilm activity of flavonoid and saponin derivatives from Atriplex tatarica against Pseudomonas aeruginosa. J. Nat. Prod. 2019, 82, 1487–1495. [Google Scholar] [CrossRef]
- Renna, M.; Gonnella, M.; Caretto, S.; Mita, G.; Serio, F. Sea fennel (Crithmum maritimum L.): From underutilized crop to new dried product for food use. Genet. Resour. Crop Evol. 2017, 64, 205–216. [Google Scholar] [CrossRef]
- Elekofehinti, O.O.; Iwaloye, O.; Olawale, F.; Ariyo, E.O. Saponins in cancer treatment: Current progress and future prospects. Pathophysiology 2021, 28, 250–272. [Google Scholar] [CrossRef] [PubMed]
- Um, S.; Lee, J.; Lee, Y.; Namkung, W.; Kim, S.H. Pentacyclic triterpenoids saponins pannosides A-E from Tripolium pannonicum. Front. Mar. Sci. 2023, 10, 1117407. [Google Scholar] [CrossRef]
- Chen, Y.; Ma, J.; Xu, M.; Liu, S. Antiviral nanoagents: More attention and effort needed? Nano Today 2020, 35, 100976. [Google Scholar] [CrossRef] [PubMed]
- Atanasov, A.G.; Zotchev, S.B.; Dirsch, V.M.; Orhan, I.E.; Banach, M.; Rollinger, J.M.; Barreca, D.; Weckwerth, W.; Bauer, R.; Bayer, E.A.; et al. Natural products in drug discovery: Advances and opportunities. Nat. Rev. Drug Discov. 2021, 20, 200–216. [Google Scholar] [CrossRef] [PubMed]
- Song, J.H.; Choi, H.J.; Song, H.H.; Hong, E.H.; Lee, B.R.; Oh, S.R.; Choi, K.; Yeo, S.G.; Lee, Y.P.; Cho, S.; et al. Antiviral activity of ginsenosides against coxsackievirus B3, enterovirus 71, and human rhinovirus 3. J. Ginseng. Res. 2014, 38, 173–179. [Google Scholar] [CrossRef]
- Michaelis, M.; Geiler, J.; Naczk, P.; Sithisarn, P.; Ogbomo, H.; Altenbrandt, B.; Leutz, A.; Doerr, H.W.; Cinatl, J. Glycyrrhizin inhibits highly pathogenic h5n1 influenza a virus-induced pro-inflammatory cytokine and chemokine expression in human macrophages. Med. Microbiol. Immunol. 2010, 199, 291–297. [Google Scholar] [CrossRef]
- Ashfaq, U.A.; Masoud, M.S.; Nawaz, Z.; Riazuddin, S. Glycyrrhizin as antiviral agent against hepatitis C virus. J. Transl. Med. 2011, 9, 112. [Google Scholar] [CrossRef]
- Wolkerstorfer, A.; Kurz, H.; Bachhofner, N.; Szolar, O.H. Glycyrrhizin inhibits influenza a virus uptake into the cell. Antivir. Res 2009, 83, 171–178. [Google Scholar] [CrossRef]
- Roner, M.R.; Tam, K.I.; Kiesling-Barrager, M. Prevention of rotavirus infections in vitro with aqueous extracts of Quillaja saponaria Molina. Future Med. Chem. 2010, 2, 1083–1097. [Google Scholar] [CrossRef]
- Kapusta, I.; Stochmal, A.; Perrone, A.; Piacente, S.; Pizza, C.; Oleszek, W. Triterpene saponins from barrel medic (Medicago truncatula) aerial parts. J. Agric. Food Chem. 2005, 53, 2164–2170. [Google Scholar] [CrossRef]
- Abd El-kader, A.M.; Mahmoud, B.K.; Hajjar, D.; Mohamed, M.F.A.; Hayallah, A.M.; Abdelmohsen, U.R. Antiproliferative activity of new pentacyclic triterpene and a saponin from Gladiolus Segetum Ker-Gawl corms supported by molecular docking study. RSC Adv. 2020, 10, 22730–22741. [Google Scholar] [CrossRef] [PubMed]
- Baxter, R.L.; Price, K.R.; Fenwick, G.R. Sapogenin structure: Analysis of the 13C- and 1H-NMR spectra of soyasapogenol B. J. Nat. Prod. 1990, 53, 298–302. [Google Scholar] [CrossRef]
- Angyal, S.J. The composition and conformation of sugars in solution. Angew. Chem. Int. Ed. Engl. 1969, 8, 157–166. [Google Scholar] [CrossRef]
- Yabuuchi, T.; Kusumi, T. Phenylglycine methyl ester, a useful tool for absolute configuration determination of various chiral carboxylic acids. J. Org. Chem. 2000, 65, 397–404. [Google Scholar] [CrossRef] [PubMed]
- Sharma, A.; Shahid, A.; Banerjee, R.; Kumar, K.J. Emerging insights into the structure-activity relationship of water-soluble polysaccharides in antiviral therapy. Eur. J. Med. Chem. Rep. 2024, 10, 100122. [Google Scholar] [CrossRef]
- Ajima, U.; Kolawole, J.; Falang, K.; Bukar, B.; Amagon, K.; Damen, J.; Agabi, Y.; Kutshik, R.; Longdet, I.; Gomerep, S.; et al. A review of the structure-activity relationships (SAR) of selected drugs with potential to be repurposed against SARS-COV-2. Asian J. Pharm. Pharmacol. 2021, 7, 38–46. [Google Scholar] [CrossRef]
- Wang, M.; Carver, J.J.; Phelan, V.V.; Sanchez, L.M.; Garg, N.; Peng, Y.; Nguyen, D.D.; Watrous, J.; Kapono, C.A.; Luzzatto-Knaan, T.; et al. Sharing and community curation of mass spectrometry data with global natural products social molecular networking. Nat. Biotechnol. 2016, 34, 828–837. [Google Scholar] [CrossRef]
- Shannon, P.; Markiel, A.; Ozier, O.; Baliga, N.S.; Wang, J.T.; Ramage, D.; Amin, N.; Schwikowski, B.; Ideker, T. Cytoscape: A software environment for integrated models of biomolecular interaction networks. Genome. Res. 2003, 13, 2498–2504. [Google Scholar] [CrossRef]
- Vichai, V.; Kirtikara, K. Sulforhodamine B colorimetric assay for cytotoxicity screening. Nat. Protoc. 2006, 1, 1112–1116. [Google Scholar] [CrossRef]
- Enkhtaivan, G.; Muthuraman, P.; Kim, D.H.; Mistry, B. Discovery of berberine based derivatives as anti-influenza agent through blocking of neuraminidase. Bioorganic Med. Chem. 2017, 25, 5185–5193. [Google Scholar] [CrossRef]
- Song, J.-H.; Mun, S.-H.; Yang, H.; Kwon, Y.S.; Kim, S.-R.; Song, M.-y.; Ham, Y.; Choi, H.-J.; Baek, W.-J.; Cho, S.; et al. Antiviral mechanisms of saucerneol from saururus chinensis against enterovirus A71, coxsackievirus A16, and coxsackievirus B3: Role of mitochondrial ROS and the STING/TKB-1/IRF3 pathway. Viruses 2024, 16, 16. [Google Scholar] [CrossRef] [PubMed]





| 1 | 2 | 3 | 4 | ||||||||||||
|---|---|---|---|---|---|---|---|---|---|---|---|---|---|---|---|
| Position | δH | Mult | δC | δH | Mult | δC | Position | δH | Mult | δC | δH | Mult | δC | ||
| (J in Hz) | (J in Hz) | (J in Hz) | (J in Hz) | ||||||||||||
| 1 | CH2 | 1.27 | m | 44.8 | 1.27 | m | 44.9 | 1 | CH2 | 1.27 | d (6.5) | 44.9 | 1.28 | m | 44.8 |
| 2.13 | m | 2.13 | m | 2.12 | m | 2.11 | m | ||||||||
| 2 | CH | 4.29 | m | 71.3 | 4.27 | t (3.5) | 71.2 | 2 | CH | 4.27 | m | 71.3 | 4.35 | m | 71.0 |
| 3 | CH | 4.07 | m | 86.9 | 4.07 | m | 86.7 | 3 | CH | 4.08 | m | 86.6 | 4.08 | m | 86.5 |
| 4 | C | 53.3 | 53.3 | 4 | C | 53.4 | 53.3 | ||||||||
| 5 | CH | 1.60 | m | 53.2 | 1.61 | m | 53.3 | 5 | CH | 1.57 | m | 53.4 | 1.60 | m | 53.1 |
| 6 | CH2 | 1.18 | m | 21.7 | 1.18 | m | 21.8 | 6 | CH2 | 1.18 | m | 21.7 | 1.12 | m | 21.5 |
| 1.67 | m | 1.67 | m | 1.63 | m | 1.64 | m | ||||||||
| 7 | CH2 | 1.38 | m | 33.5 | 1.38 | m | 33.4 | 7 | CH2 | 1.37 * | m | 33.7 | 1.34 | m | 33.4 |
| 1.51 | m | 1.51 | m | 1.48 | m | ||||||||||
| 8 | C | 41.0 | 41.1 | 8 | C | 41.3 | 41.3 | ||||||||
| 9 | CH | 1.60 | m | 49.5 | 1.60 | m | 49.3 | 9 | CH | 1.60 | m | 49.7 | 1.60 | m | 49.5 |
| 10 | C | 37.4 | 37.4 | 10 | C | 37.5 | 37.3 | ||||||||
| 11 | CH2 | 1.95 | m | 24.8 | 1.95 | m | 24.9 | 11 | CH2 | 1.95 | m | 24.8 | 1.95 | m | 24.6 |
| 2.02 | 2.01 | m | 2.01 | m | 2.01 | m | |||||||||
| 12 | CH | 5.28 | m | 123.5 | 5.29 | m | 123.5 | 12 | CH | 5.27 | m | 123.7 | 5.27 | m | 123.7 |
| 13 | C | 144.5 | 144.8 | 13 | C | 145.0 | 145.2 | ||||||||
| 14 | C | 43.3 | 43.3 | 14 | C | 43.3 | 43.1 | ||||||||
| 15 | CH2 | 1.18 | m | 29.0 | 1.18 | m | 28.9 | 15 | CH2l | 1.41 | m | 36.5 | 1.42 * | m | 36.5 |
| 1.60 | m | 1.59 | m | 1.70 | m | ||||||||||
| 16 | CH2 | 1.63 | m | 23.9 | 1.64 | m | 24.2 | 16 | CH | 4.42 | m | 75.1 | 4.43 | m | 75.1 |
| 2.07 | m | 2.06 | m | ||||||||||||
| 17 | C | 48.1 | 48.1 | 17 | C | 48.4 | 48.1 | ||||||||
| 18 | CH | 2.80 | m | 42.9 | 2.81 | m | 43.1 | 18 | CH | 2.82 | m | 43.0 | 2.83 | m | 42.9 |
| 19 | CH2 | 1.16 | m | 47.3 | 1.16 | m | 47.3 | 19 | CH2 | 1.15 | m | 47.6 | 1.14 | m | 47.5 |
| 1.74 | m | 1.73 | m | 1.73 | m | 1.73 | m | ||||||||
| 20 | C | 31.4 | 31.6 | 20 | C | 31.6 | 31.4 | ||||||||
| 21 | CH2 | 1.25 | m | 34.9 | 1.24 | m | 34.9 | 21 | CH2 | 1.24 | m | 35.1 | 1.23 | m | 34.9 |
| 1.41 | m | 1.41 | m | 1.42 | m | 1.43 | m | ||||||||
| 22 | CH2 | 1.60 | m | 33.0 | 1.61 | m | 33.0 | 22 | CH2 | 1.60 | m | 33.3 | 1.61 * | m | 33.3 |
| 1.74 | m | 1.74 | m | 1.76 | m | ||||||||||
| 23 | C | 181.6 | 181.7 | 23 | C | 181.8 | 181.8 | ||||||||
| 24 | CH3 | 1.39 | s | 13.8 | 1.41 | s | 13.7 | 24 | CH3 | 1.39 | s | 13.8 | 1.39 | s | 13.7 |
| 25 | CH3 | 1.29 | s | 17.5 | 1.29 | s | 17.5 | 25 | CH3 | 1.30 | s | 17.4 | 1.30 | s | 17.5 |
| 26 | CH3 | 0.81 | s | 17.9 | 0.80 | s | 18.0 | 26 | CH3 | 0.83 | s | 18.0 | 0.83 | s | 17.9 |
| 27 | CH3 | 1.18 | s | 26.3 | 1.18 | s | 26.3 | 27 | CH3 | 1.15 | s | 26.3 | 1.15 | s | 26.4 |
| 28 | C | 178.0 | 178.1 | 28 | C | 178.2 | n.d. | ||||||||
| 29 | CH3 | 0.94 | s | 24.1 | 0.95 | s | 24.3 | 29 | CH3 | 0.94 | s | 24.3 | 0.94 | s | 24.2 |
| 30 | CH3 | 0.91 | s | 33.4 | 0.91 | s | 33.7 | 30 | CH3 | 0.90 | s | 33.6 | 0.91 | s | 33.5 |
| 1 | 2 | 3 | 4 | ||||||||||||
|---|---|---|---|---|---|---|---|---|---|---|---|---|---|---|---|
| Position | δH | Mult (J in Hz) | δC | δH | Mult (J in Hz) | δC | Position | δH | Mult (J in Hz) | δC | δH | Mult (J in Hz) | δC | ||
| gluA | gluA | ||||||||||||||
| 1 | CH | 4.42 | d (7.5) | 104.8 | 4.41 | d (7.5) | 104.8 | 1 | CH | 4.40 | d (7.5) | 105.1 | 4.36 | d (7.5) | 105.1 |
| 2 | CH | 3.26 | m | 74.7 | 3.27 | m | 74.9 | 2 | CH | 3.25 | m | 74.9 | 3.25 | m | 75.0 |
| 3 | CH | 3.37 | m | 77.2 | 3.37 | m | 77.2 | 3 | CH | 3.35 | dd (9.0, 2.5) | 77.3 | 3.37 | m | 77.6 |
| 4 | CH | 3.79 | m | 76.3 | 3.79 | m | 76.5 | 4 | CH | 3.76 | m | 76.2 | 3.77 | m | 76.3 |
| 5 | CH | 3.49 | m | 73.1 | 3.49 | m | 73.4 | 5 | CH | 3.50 | m | 73.3 | 3.44 | m | 73.5 |
| 6 | C | 172.5 | 172.7 | 6 | C | 172.8 | 172.6 | ||||||||
| rha-1 | rha-1 | ||||||||||||||
| 1 | CH | 5.40 | d (8.0) | 94.9 | 5.40 | d (8.0) | 94.9 | 1 | CH | 5.41 | d (8.0) | 95.2 | 5.42 | d (8.0) | 95.1 |
| 2 | CH | 3.76 | m | 75.3 | 3.80 | m | 74.7 | 2 | CH | 3.80 | m | 76.4 | 3.75 | dd (9.5, 8.0) | 76.2 |
| 3 | CH | 3.88 | m | 74.8 | 3.90 | m | 74.9 | 3 | CH | 3.96 | m | 74.3 | 3.95 | dd (9.5, 3.5) | 74.3 |
| 4 | CH | 5.10 | m | 75.5 | 5.09 | m | 75.5 | 4 | CH | 5.10 | d (3.5) | 75.5 | 5.10 | dd (3.5, 1.0) | 75.4 |
| 5 | CH | 3.84 | m | 71.1 | 3.84 | m | 71.1 | 5 | CH | 3.86 | m | 71.1 | 3.85 | m | 71.0 |
| 6 | CH3 | 1.07 | d (6.0) | 16.8 | 1.08 | m | 16.7 | 6 | CH3 | 1.07 | d (6.5) | 16.6 | 1.07 | d (6.5) | 16.6 |
| rha-2 | rha-2 | ||||||||||||||
| 1 | CH | 5.33 | d (2.0) | 101.4 | 5.34 | d (2.0) | 101.5 | 1 | CH | 5.32 | d (2.0) | 99.3 | 5.32 | d (2.0) | 99.2 |
| 2 | CH | 3.93 | dd (3.5, 2.0) | 72.0 | 3.93 | dd (3.5, 2.0) | 72.0 | 2 | CH | 5.33 | m | 71.5 | 5.32 | m | 71.4 |
| 3 | CH | 3.81 | m | 72.6 | 3.82 | m | 72.4 | 3 | CH | 4.99 | dd (10.0, 3.5) | 73.5 | 5.00 | dd (10.0, 3.5) | 73.2 |
| 4 | CH | 3.51 | m | 84.9 | 3.54 | m | 85.2 | 4 | CH | 3.49 | m | 71.1 | 3.50 | t (10.0) | 71.1 |
| 5 | CH | 3.80 | m | 68.8 | 3.81 | m | 68.9 | 5 | CH | 3.88 | m | 70.6 | 3.89 | dd (10.0, 6.0) | 70.7 |
| 6 | CH3 | 1.30 | d (6.5) | 18.5 | 1.30 | m | 18.5 | 6 | CH3 | 1.29 | m | 18.2 | 1.29 | m | 18.3 |
| xyl | 1′ | C | 171.8 | 171.6 | |||||||||||
| 1 | CH | 4.53 | d (7.5) | 106.9 | 4.52 | d (7.5) | 106.8 | 2′ | CH3 | 2.07 | s | 20.8 | 2.08 | s | 20.8 |
| 2 | CH | 3.31 | m | 74.3 | 3.31 | m | 74.4 | 3′ | C | 172.3 | 172.2 | ||||
| 3 | CH | 4.85 | m | 79.4 | 4.86 | m | 79.4 | 4′ | CH3 | 1.99 | s | 21.0 | 1.99 | s | 21.0 |
| 4 | CH | 3.59 | m | 69.6 | 3.59 | m | 69.6 | ||||||||
| 5 | CH2 | 3.27 | m | 66.9 | 3.26 | m | 67.2 | 3-HB | |||||||
| 3.87 | m | 3.87 | m | 1′ | C | 171.9 | 171.9 | ||||||||
| 1′ | C | 173.1 | 172.9 | 2′ | CH2 | 2.72 * | dd (16.0, 6.0) | 41.5 | 2.71 * | dd (16.0, 6.0) | 41.5 | ||||
| 2′ | CH3 | 2.13 | s | 21.3 | 2.13 | s | 21.4 | 3′ | CH | 5.25 | dd (7.5, 6.0) | 69.2 | 5.26 | m | 69.9 |
| 4′ | CH3 | 1.32 | m | 20.1 | 1.39 | m | 13.7 | ||||||||
| 3-HB | 1″ | C | 171.4 | 171.2 | |||||||||||
| 1′ | C | 172.4 | 172.0 | 2″ | CH2 | 2.58 | m | 41.8 | 2.58 * | m | 41.8 | ||||
| 2′ | CH2 | 2.71 | dd (12.0, 6.5) | 41.2 | 2.58 * | m | 41.7 | 2.63 | |||||||
| 3′ | CH | 5.25 | m | 69.0 | 5.25 | m | 68.9 | 3″ | CH | 5.25 | m | 68.9 | 5.29 | m | 68.9 |
| 4′ | CH3 | 1.29 | d (6.5) | 19.9 | 1.28 | d (6.5) | 20.3 | 4″ | CH3 | 1.27 | d (6.5) | 20.1 | 1.29 | m | 17.2 |
| 1″ | C | 171.2 | 172.6 | 1‴ | C | 171.4 | 172.4 | ||||||||
| 2″ | CH2 | 2.55 * | m | 41.8 | 2.41 * | m | 45.1 | 2‴ | CH2 | 2.58 | m | 41.8 | 2.42 * | m | 45.0 |
| 2.63 | m | ||||||||||||||
| 3″ | CH | 5.24 | m | 68.7 | 4.14 | m | 65.6 | 3‴ | CH | 5.25 | m | 68.9 | 4.15 | t (6.5) | 65.6 |
| 4″ | CH3 | 1.25 | m | 19.9 | 1.20 | d (6.5) | 23.5 | 4‴ | CH3 | 1.27 | m | 20.1 | 1.20 | d (6.5) | 23.4 |
| 1‴ | C | 172.5 | 1⁗ | C | 172.6 | ||||||||||
| 2‴ | CH2 | 2.38 | dd (6.0, 2.5) | 44.9 | 2⁗ | CH2 | 2.41 * | m | 45.2 | ||||||
| 3‴ | CH | 4.15 | dt (7.5, 6.0) | 65.4 | 3⁗ | CH | 4.14 | q (6.5) | 65.6 | ||||||
| 4‴ | CH3 | 1.18 | d (6.0) | 23.2 | 4⁗ | CH3 | 1.19 | d (6.5) | 23.4 | ||||||
Disclaimer/Publisher’s Note: The statements, opinions and data contained in all publications are solely those of the individual author(s) and contributor(s) and not of MDPI and/or the editor(s). MDPI and/or the editor(s) disclaim responsibility for any injury to people or property resulting from any ideas, methods, instructions or products referred to in the content. |
© 2024 by the authors. Licensee MDPI, Basel, Switzerland. This article is an open access article distributed under the terms and conditions of the Creative Commons Attribution (CC BY) license (https://creativecommons.org/licenses/by/4.0/).
Share and Cite
Lee, J.; Song, J.-H.; Mun, S.-H.; Ko, H.-J.; Um, S.; Kim, S.H. Structural Elucidation and Antiviral Properties of Pannosides from the Halophyte Aster tripolium L. Mar. Drugs 2024, 22, 524. https://doi.org/10.3390/md22120524
Lee J, Song J-H, Mun S-H, Ko H-J, Um S, Kim SH. Structural Elucidation and Antiviral Properties of Pannosides from the Halophyte Aster tripolium L. Marine Drugs. 2024; 22(12):524. https://doi.org/10.3390/md22120524
Chicago/Turabian StyleLee, Jaeyoun, Jae-Hyoung Song, Seo-Hyeon Mun, Hyun-Jeong Ko, Soohyun Um, and Seung Hyun Kim. 2024. "Structural Elucidation and Antiviral Properties of Pannosides from the Halophyte Aster tripolium L." Marine Drugs 22, no. 12: 524. https://doi.org/10.3390/md22120524
APA StyleLee, J., Song, J.-H., Mun, S.-H., Ko, H.-J., Um, S., & Kim, S. H. (2024). Structural Elucidation and Antiviral Properties of Pannosides from the Halophyte Aster tripolium L. Marine Drugs, 22(12), 524. https://doi.org/10.3390/md22120524

