Microalgal Phenolics: Systematic Review with a Focus on Methodological Assessment and Meta-Analysis
Abstract
1. Introduction
2. Estimation of Total Phenolic Content by the Folin Ciocalteu Assay in Microalgae
2.1. Historical Perspective
2.2. Chlorophyll Interference
2.3. Other Interfering Molecules
2.4. Phenolic Response of Microalgae to Heavy Metal Stress
3. Qualitative and Quantitative Analysis of Phenolics in Microalgae with Liquid Chromatography (LC) Methods
3.1. Overview of Chromatographic Data
3.2. Incomplete Phenylpropanoid Metabolic Pathway
3.3. Biotic and Abiotic Degradation
3.4. Possible Uptake of Phenolics from Non-Defined Media
3.5. Accumulation of Phenolics Via Adsorption to the Cell Wall
4. Discussion
5. Methods
5.1. Data Collection
5.2. Data Treatment
5.3. Estimation of Chlorophyll Interference
5.4. Statistical Analysis
6. Conclusions
Supplementary Materials
Author Contributions
Funding
Data Availability Statement
Conflicts of Interest
References
- Lai, Y.-Z. Determination of Phenolic Hydroxyl Groups. In Methods in Lignin Chemistry; Lin, S.Y., Dence, C.W., Eds.; Springer: Berlin/Heidelberg, Germany, 1992; pp. 423–434. ISBN 978-3-642-74065-7. [Google Scholar]
- Goddéris, Y.; Donnadieu, Y.; Pohl, A. The Phanerozoic Climate. In Paleoclimatology; Ramstein, G., Landais, A., Bouttes, N., Sepulchre, P., Govin, A., Eds.; Springer International Publishing: Cham, Switzerland, 2021; pp. 359–383. ISBN 978-3-030-24982-3. [Google Scholar]
- 3Singh, S.; Kaur, I.; Kariyat, R. The Multifunctional Roles of Polyphenols in Plant-Herbivore Interactions. Int. J. Mol. Sci. 2021, 22, 1442. [Google Scholar] [CrossRef] [PubMed]
- Ahlawat, Y.K.; Singh, M.; Manorama, K.; Lakra, N.; Zaid, A.; Zulfiqar, F. Plant Phenolics: Neglected Secondary Metabolites in Plant Stress Tolerance. Braz. J. Bot. 2023, 47, 703–721. [Google Scholar] [CrossRef]
- Lone, R.; Baba, S.H.; Khan, S.; Al-Sadi, A.M.; Kamili, A.N. Phenolics: Key Players in Interaction Between Plants and Their Environment. In Plant Phenolics in Abiotic Stress Management; Lone, R., Khan, S., Mohammed Al-Sadi, A., Eds.; Springer Nature: Singapore, 2023; pp. 23–46. ISBN 978-981-19642-6-8. [Google Scholar]
- Huber, B.; Hammann, S.; Loeben, C.E.; Jha, D.K.; Vassão, D.G.; Larsen, T.; Spengler, R.N.; Fuller, D.Q.; Roberts, P.; Devièse, T.; et al. Biomolecular Characterization of 3500-Year-Old Ancient Egyptian Mummification Balms from the Valley of the Kings. Sci. Rep. 2023, 13, 12477. [Google Scholar] [CrossRef] [PubMed]
- Metwaly, A.M.; Ghoneim, M.M.; Eissa, I.H.; Elsehemy, I.A.; Mostafa, A.E.; Hegazy, M.M.; Afifi, W.M.; Dou, D. Traditional Ancient Egyptian Medicine: A Review. Saudi J. Biol. Sci. 2021, 28, 5823–5832. [Google Scholar] [CrossRef] [PubMed]
- Chassagne, F.; Huang, X.; Lyles, J.T.; Quave, C.L. Validation of a 16th Century Traditional Chinese Medicine Use of Ginkgo Biloba as a Topical Antimicrobial. Front. Microbiol. 2019, 10, 775. [Google Scholar] [CrossRef] [PubMed]
- Liu, Y.; Zhao, G.; Li, X.; Shen, Q.; Wu, Q.; Zhuang, J.; Zhang, X.; Xia, E.; Zhang, Z.; Qian, Y.; et al. Comparative Analysis of Phenolic Compound Metabolism among Tea Plants in the Section Thea of the Genus Camellia. Food Res. Int. 2020, 135, 109276. [Google Scholar] [CrossRef]
- Boronat, A.; Martínez-Huélamo, M.; Cobos, A.; De la Torre, R. Wine and Olive Oil Phenolic Compounds Interaction in Humans. Diseases 2018, 6, 76. [Google Scholar] [CrossRef]
- Torres, P.; Osaki, S.; Silveira, E.; dos Santos, D.Y.A.C.; Chow, F. Comprehensive Evaluation of Folin-Ciocalteu Assay for Total Phenolic Quantification in Algae (Chlorophyta, Phaeophyceae, and Rhodophyta). Algal Res. 2024, 80, 103503. [Google Scholar] [CrossRef]
- Santos, S.A.O.; Félix, R.; Pais, A.C.S.; Rocha, S.M.; Silvestre, A.J.D. The Quest for Phenolic Compounds from Macroalgae: A Review of Extraction and Identification Methodologies. Biomolecules 2019, 9, 847. [Google Scholar] [CrossRef]
- Ortega, A.; Geraldi, N.R.; Alam, I.; Kamau, A.A.; Acinas, S.G.; Logares, R.; Gasol, J.M.; Massana, R.; Krause-Jensen, D.; Duarte, C.M. Important Contribution of Macroalgae to Oceanic Carbon Sequestration. Nat. Geosci. 2019, 12, 748–754. [Google Scholar] [CrossRef]
- Mazzelli, A.; Buonanno, G.; Luzzi, D.M.; Cicci, A.; Piemonte, V.; Iaquaniello, G. Multi-Component Extraction Process of High Added Value Compounds from Microalgae with Supercritical CO2: A Technical and Economic Study. Chem. Eng. Res. Des. 2019, 150, 65–73. [Google Scholar] [CrossRef]
- Wiatrowski, M.; Klein, B.C.; Davis, R.W.; Quiroz-Arita, C.; Tan, E.C.D.; Hunt, R.W.; Davis, R.E. Techno-Economic Assessment for the Production of Algal Fuels and Value-Added Products: Opportunities for High-Protein Microalgae Conversion. Biotechnol. Biofuels Bioprod. 2022, 15, 8. [Google Scholar] [CrossRef] [PubMed]
- Schade, S.; Meier, T. Techno-Economic Assessment of Microalgae Cultivation in a Tubular Photobioreactor for Food in a Humid Continental Climate. Clean. Technol. Environ. Policy 2021, 23, 1475–1492. [Google Scholar] [CrossRef]
- Borenstein, M.; Hedges, L.V.; Higgins, J.P.T.; Rothstein, H.R. Introduction to Meta-Analysis; John Wiley & Sons, Ltd.: Hoboken, NJ, USA, 2009; p. 421. ISBN 978-0-470-05724-7. [Google Scholar]
- Ito, A. Phonological Prediction during Comprehension: A Review and Meta-Analysis of Visual-World Eye-Tracking Studies. J. Mem. Lang. 2024, 139, 104553. [Google Scholar] [CrossRef]
- Wu, B.; Yang, H.; Li, S.; Tao, J. The Effect of Biochar on Crop Productivity and Soil Salinity and Its Dependence on Experimental Conditions in Salt-Affected Soils: A Meta-Analysis. Carbon. Res. 2024, 3, 56. [Google Scholar] [CrossRef]
- Wilkinson, A.R.; Brewer, F.; Wright, H.; Whiteside, B.; Williams, A.; Harper, L.; Wilson, A.M. A Meta-Analysis of Semiconductor Materials Fabricated in Microgravity. NPJ Microgravity 2024, 10, 73. [Google Scholar] [CrossRef]
- McShane, B.B.; Böckenholt, U. Multilevel Multivariate Meta-Analysis Made Easy: An Introduction to MLMVmeta. Behav. Res. Methods 2023, 55, 2367–2386. [Google Scholar] [CrossRef]
- Nikolaeva, T.N.; Lapshin, P.V.; Zagoskina, N.V. Method for Determining the Total Content of Phenolic Compounds in Plant Extracts with Folin–Denis Reagent and Folin–Ciocalteu Reagent: Modification and Comparison. Russ. J. Bioorg. Chem. 2022, 48, 1519–1525. [Google Scholar] [CrossRef]
- Schendel, R.R.; Pandeya, P.R. Determination of (Total) Phenolics and Antioxidant Capacity in Food and Ingredients. In Nielsen’s Food Analysis; Ismail, B.P., Nielsen, S.S., Eds.; Springer International Publishing: Cham, Switzerland, 2024; pp. 419–429. ISBN 978-3-031-50643-7. [Google Scholar]
- Pérez, M.; Dominguez-López, I.; Lamuela-Raventós, R.M. The Chemistry Behind the Folin–Ciocalteu Method for the Estimation of (Poly)Phenol Content in Food: Total Phenolic Intake in a Mediterranean Dietary Pattern. J. Agric. Food Chem. 2023, 71, 17543–17553. [Google Scholar] [CrossRef]
- Folin, O.; Denis, W. Tyrosine in Proteins as Determined by a New Colorimetric Method. J. Biol. Chem. 1912, 12, 245–251. [Google Scholar] [CrossRef]
- Folin, O.; Ciocalteu, V. On Tyrosine and Tryptophane Determinations in Proteins. J. Biol. Chem. 1927, 73, 627–650. [Google Scholar] [CrossRef]
- Singleton, V.L.; Orthofer, R.; Lamuela-Raventós, R.M. Analysis of Total Phenols and Other Oxidation Substrates and Antioxidants by Means of Folin-Ciocalteu Reagent. Methods Enzymol. 1999, 299, 152–178. [Google Scholar] [CrossRef]
- Folin, O.; Denis, W. A New Colorimetric Method for the Determination of Vanillin in Flavoring Extracts. Ind. Eng. Chem. 1912, 4, 670–672. [Google Scholar] [CrossRef]
- Everette, J.D.; Bryant, Q.M.; Green, A.M.; Abbey, Y.A.; Wangila, G.W.; Walker, R.B. A Thorough Study of Reactivity of Various Compound Classes Towards the Folin-Ciocalteu Reagent. J. Agric. Food Chem. 2010, 58, 8139. [Google Scholar] [CrossRef]
- Li, H.B.; Cheng, K.W.; Wong, C.C.; Fan, K.W.; Chen, F.; Jiang, Y. Evaluation of Antioxidant Capacity and Total Phenolic Content of Different Fractions of Selected Microalgae. Food Chem. 2007, 102, 771–776. [Google Scholar] [CrossRef]
- Goiris, K.; Muylaert, K.; Fraeye, I.; Foubert, I.; Brabanter, J.D.; Cooman, L.D. Antioxidant Potential of Microalgae in Relation to Their Phenolic and Carotenoid Content. J. Appl. Phycol. 2012, 24, 1477–1486. [Google Scholar] [CrossRef]
- Garrido-Cardenas, J.A.; Manzano-Agugliaro, F.; Acien-Fernandez, F.G.; Molina-Grima, E. Microalgae Research Worldwide. Algal Res. 2018, 35, 50–60. [Google Scholar] [CrossRef]
- Mnari, A.B.; Harzallah, A.; Amri, Z.; Dhaou Aguir, S.; Hammami, M. Phytochemical Content, Antioxidant Properties, and Phenolic Profile of Tunisian Raisin Varieties (Vitis vinifera L.). Int. J. Food Prop. 2016, 19, 578–590. [Google Scholar] [CrossRef]
- Assefa, A.D.; Keum, Y.-S.; Saini, R.K. A Comprehensive Study of Polyphenols Contents and Antioxidant Potential of 39 Widely Used Spices and Food Condiments. Food Meas. 2018, 12, 1548–1555. [Google Scholar] [CrossRef]
- Cha, K.H.; Kang, S.W.; Kim, C.Y.; Um, B.H.; Na, Y.R.; Pan, C.-H. Effect of Pressurized Liquids on Extraction of Antioxidants from Chlorella Vulgaris. J. Agric. Food Chem. 2010, 58, 4756–4761. [Google Scholar] [CrossRef]
- Onofrejová, L.; Vasícková, J.; Klejdus, B.; Stratil, P.; Misurcová, L.; Krácmar, S.; Kopecký, J.; Vacek, J. Bioactive Phenols in Algae: The Application of Pressurized-Liquid and Solid-Phase Extraction Techniques. J. Pharm. Biomed. Anal. 2010, 51, 464–470. [Google Scholar] [CrossRef] [PubMed]
- Custódio, L.; Justo, T.; Silvestre, L.; Barradas, A.; Duarte, C.V.; Pereira, H.; Barreira, L.; Rauter, A.P.; Alberício, F.; Varela, J. Microalgae of Different Phyla Display Antioxidant, Metal Chelating and Acetylcholinesterase Inhibitory Activities. Food Chem. 2012, 131, 134–140. [Google Scholar] [CrossRef]
- El-Hamidi, M.; Zaher, F.A.; El-Shami, S.M. Interaction of Oilseed Pigments and Phospholipids in the Determination of Total Phenolic Compounds Using the Folin-Ciocalteu Reagent. Int. J. ChemTech Res. 2016, 9, 207–214. [Google Scholar]
- Ben Hamouda, M.; Kacem, A.; Achour, L.; Youssef, K.; Legrand, J.; Grizeau, D.; Dupre, C. Comparative Study on Photosynthetic and Antioxidant Activities of Haematococcus Pluvialis Vegetative and Resting Cells; UVA Light-induced Stimulation. J. Appl. Microbiol. 2022, 132, 4338–4348. [Google Scholar] [CrossRef] [PubMed]
- Andriopoulos, V.; Gkioni, M.D.; Koutra, E.; Mastropetros, S.G.; Lamari, F.N.; Hatziantoniou, S.; Kornaros, M. Total Phenolic Content, Biomass Composition, and Antioxidant Activity of Selected Marine Microalgal Species with Potential as Aquaculture Feed. Antioxidants 2022, 11, 1320. [Google Scholar] [CrossRef] [PubMed]
- Khawli, F.A.; Martí-Quijal, F.J.; Pallarés, N.; Barba, F.J.; Ferrer, E. Ultrasound Extraction Mediated Recovery of Nutrients and Antioxidant Bioactive Compounds from Phaeodactylum Tricornutum Microalgae. Appl. Sci. 2021, 2021, 1701. [Google Scholar] [CrossRef]
- Georgiopoulou, I.; Tzima, S.; Louli, V.; Magoulas, K. Supercritical CO2 Extraction of High-Added Value Compounds from Chlorella Vulgaris: Experimental Design, Modelling and Optimization. Molecules 2022, 27, 5884. [Google Scholar] [CrossRef]
- Goiris, K.; Colen, W.V.; Wilches, I.; León-Tamariz, F.; Cooman, L.D.; Muylaert, K. Impact of Nutrient Stress on Antioxidant Production in Three Species of Microalgae. Algal Res. 2015, 7, 51–57. [Google Scholar] [CrossRef]
- Maalej, A.; Dahmen-Ben Moussa, I.; Karray, F.; Chamkha, M.; Sayadi, S. Olive Oil By-Product’s Contribution to the Recovery of Phenolic Compounds from Microalgal Biomass: Biochemical Characterization, Anti-Melanogenesis Potential, and Neuroprotective Effect. Biomass Convers. Bioref. 2024, 14, 4299–4311. [Google Scholar] [CrossRef]
- Georgiopoulou, I.; Louli, V.; Magoulas, K. Comparative Study of Conventional, Microwave-Assisted and Supercritical Fluid Extraction of Bioactive Compounds from Microalgae: The Case of Scenedesmus Obliquus. Separations 2023, 10, 290. [Google Scholar] [CrossRef]
- Azaman, S.N.A.; Nagao, N.; Yusoff, F.M.; Tan, S.W.; Yeap, S.K. A Comparison of the Morphological and Biochemical Characteristics of Chlorella Sorokiniana and Chlorella Zofingiensis Cultured under Photoautotrophic and Mixotrophic Conditions. PeerJ 2017, 2017, e3473. [Google Scholar] [CrossRef] [PubMed]
- Smerilli, A.; Orefice, I.; Corato, F.; Olea, A.G.; Ruban, A.V.; Brunet, C. Photoprotective and Antioxidant Responses to Light Spectrum and Intensity Variations in the Coastal Diatom Skeletonema Marinoi. Environ. Microbiol. 2017, 19, 611–627. [Google Scholar] [CrossRef] [PubMed]
- Veas, R.; Rojas-Pirela, M.; Castillo, C.; Olea-Azar, C.; Moncada, M.; Ulloa, P.; Rojas, V.; Kemmerling, U. Microalgae Extracts: Potential Anti-Trypanosoma Cruzi Agents? Biomed. Pharmacother. 2020, 127, 110178. [Google Scholar] [CrossRef] [PubMed]
- Al-Rashed, S.A.; Ibrahim, M.M.; El-Gaaly, G.A.; Al-Shehri, S.; Mostafa, A. Evaluation of Radical Scavenging System in Two Microalgae in Response to Interactive Stresses of UV-B Radiation and Nitrogen Starvation. Saudi J. Biol. Sci. 2016, 23, 706–712. [Google Scholar] [CrossRef] [PubMed]
- Andriopoulos, V.; Lamari, F.N.; Hatziantoniou, S.; Kornaros, M. Production of Antioxidants and High Value Biomass from Nannochloropsis Oculata: Effects of pH, Temperature and Light Period in Batch Photobioreactors. Mar. Drugs 2022, 20, 552. [Google Scholar] [CrossRef]
- Georgiopoulou, I.; Tzima, S.; Pappa, G.; Louli, V.; Voutsas, E.; Magoulas, K. Experimental Design and Optimization of Recovering Bioactive Compounds from Chlorella Vulgaris through Conventional Extraction. Molecules 2021, 27, 29. [Google Scholar] [CrossRef]
- Georgiopoulou, I.; Tzima, S.; Louli, V.; Magoulas, K. Process Optimization of Microwave-Assisted Extraction of Chlorophyll, Carotenoid and Phenolic Compounds from Chlorella Vulgaris and Comparison with Conventional and Supercritical Fluid Extraction. Appl. Sci. 2023, 13, 2740. [Google Scholar] [CrossRef]
- Lomakool, S.; Ruangrit, K.; Jeerapan, I.; Tragoolpua, Y.; Pumas, C.; Srinuanpan, S.; Pekkoh, J.; Duangjan, K. Biological Activities and Phytochemicals Profiling of Different Cyanobacterial and Microalgal Biomass. Biomass Convers. Bioref. 2023, 13, 4195–4211. [Google Scholar] [CrossRef]
- Mishra, N.; Prasad, S.M.; Mishra, N. Influence of High Light Intensity and Nitrate Deprivation on Growth and Biochemical Composition of the Marine Microalgae Isochrysis Galbana. Braz. Arch. Biol. Technol. 2019, 62, e19180398. [Google Scholar] [CrossRef]
- Martins, C.B.; Ferreira, O.; Rosado, T.; Gallardo, E.; Silvestre, S.; Santos, L.M.A. Eustigmatophyte Strains with Potential Interest in Cancer Prevention and Treatment: Partial Chemical Characterization and Evaluation of Cytotoxic and Antioxidant Activity. Biotechnol. Lett. 2021, 43, 1487–1502. [Google Scholar] [CrossRef]
- Ahmed, F.; Fanning, K.; Netzel, M.; Turner, W.; Li, Y.; Schenk, P.M. Profiling of Carotenoids and Antioxidant Capacity of Microalgae from Subtropical Coastal and Brackish Waters. Food Chem. 2014, 165, 300–306. [Google Scholar] [CrossRef] [PubMed]
- Santhosh, S.; Manivannan, N.; Ragavendran, C.; Mathivanan, N.; Natarajan, D.; Hemalatha, N.; Dhandapani, R. Growth Optimization, Free Radical Scavenging and Antibacterial Potential of Chlorella sp. SRD3 Extracts against Clinical Isolates. J. Appl. Microbiol. 2019, 127, 481–494. [Google Scholar] [CrossRef] [PubMed]
- Mahmood, W.M.A.W.; Lorwirachsutee, A.; Theodoropoulos, C.; Gonzalez-Miquel, M. Polyol-Based Deep Eutectic Solvents for Extraction of Natural Polyphenolic Antioxidants from Chlorella Vulgaris. ACS Sustain. Chem. Eng. 2019, 7, 5018–5026. [Google Scholar] [CrossRef]
- Ismaiel, M.M.S. Effect of Nitrogen Regime on Antioxidant Parameters of Selected Prokaryotic and Eukaryotic Microalgal Species. Acta Physiol. Plant. 2016, 38, 154. [Google Scholar] [CrossRef]
- Ismaiel, M.M.S.; Said, A.A. Tolerance of Pseudochlorella Pringsheimii to Cd and Pb Stress: Role of Antioxidants and Biochemical Contents in Metal Detoxification. Ecotoxicol. Environ. Saf. 2018, 164, 704–712. [Google Scholar] [CrossRef]
- Cardoso, C.; Pereira, H.; Franca, J.; Matos, J.; Monteiro, I.; Pousão-Ferreira, P.; Gomes, A.; Barreira, L.; Varela, J.; Neng, N.; et al. Lipid Composition and Some Bioactivities of 3 Newly Isolated Microalgae (Tetraselmis sp. IMP3, Tetraselmis sp. CTP4, and Skeletonema sp.). Aquac. Int. 2020, 28, 711–727. [Google Scholar] [CrossRef]
- Martínez, R.; García-Beltrán, A.; Kapravelou, G.; Mesas, C.; Cabeza, L.; Perazzoli, G.; Guarnizo, P.; Rodríguez-López, A.; Andrés Vallejo, R.; Galisteo, M.; et al. In Vivo Nutritional Assessment of the Microalga Nannochloropsis Gaditana and Evaluation of the Antioxidant and Antiproliferative Capacity of Its Functional Extracts. Mar. Drugs 2022, 20, 318. [Google Scholar] [CrossRef]
- Gnanakani, P.E.; Santhanam, P.; Kumar, K.E.; Dhanaraju, M.D. Chemical Composition, Antioxidant, and Cytotoxic Potential of Nannochloropsis Species Extracts. J. Nat. Sci. Biol. Med. 2019, 10, 167–177. [Google Scholar] [CrossRef]
- Gkioni, M.D.; Andriopoulos, V.; Koutra, E.; Hatziantoniou, S.; Kornaros, M.; Lamari, F.N. Ultrasound-Assisted Extraction of Nannochloropsis Oculata with Ethanol and Betaine: 1,2-Propanediol Eutectic Solvent for Antioxidant Pigment-Rich Extracts Retaining Nutritious the Residual Biomass. Antioxidants 2022, 11, 1103. [Google Scholar] [CrossRef]
- Corrêa da Silva, M.G.; Pires Ferreira, S.; Dora, C.L.; Hort, M.A.; Giroldo, D.; Prates, D.F.; Radmann, E.M.; Bemvenuti, R.H.; Costa, J.A.V.; Badiale-Furlong, E.; et al. Phenolic Compounds and Antioxidant Capacity of Pediastrum Boryanum (Chlorococcales) Biomass. Int. J. Environ. Health. Res. 2022, 32, 168–180. [Google Scholar] [CrossRef]
- Choochote, W.; Suklampoo, L.; Ochaikul, D. Evaluation of Antioxidant Capacities of Green Microalgae. J. Appl. Phycol. 2014, 26, 43–48. [Google Scholar] [CrossRef]
- Bulut, O.; Sönmez, Ç.; Öktem, H.A. Hindakia Tetrachotoma ME03 (Chlorophyta) Has High Phenolic Content, Antioxidant Capacity, and Attenuates H2O2-Induced Oxidative Stress and Apoptosis in Human Cells. Phycologia 2023, 62, 293–302. [Google Scholar] [CrossRef]
- Bulut, O.; Akın, D.; Sönmez, Ç.; Öktem, A.; Yücel, M.; Öktem, H.A. Phenolic Compounds, Carotenoids, and Antioxidant Capacities of a Thermo-Tolerant Scenedesmus Sp. (Chlorophyta) Extracted with Different Solvents. J. Appl. Phycol. 2019, 31, 1675–1683. [Google Scholar] [CrossRef]
- Bernard, E.; Guéguen, C. Influence of Carbon Sources on the Phenolic Compound Production by Euglena Gracilis Using an Untargeted Metabolomic Approach. Biomolecules 2022, 12, 795. [Google Scholar] [CrossRef] [PubMed]
- Zhou, L.; Duan, X.; Li, K.; Hill, D.R.A.; Martin, G.J.O.; Suleria, H.A.R. Extraction and Characterization of Bioactive Compounds from Diverse Marine Microalgae and Their Potential Antioxidant Activities. Chem. Biodivers. 2023, 20, e202300602. [Google Scholar] [CrossRef]
- Tibbetts, S.M.; Milley, J.E.; Lall, S.P. Chemical Composition and Nutritional Properties of Freshwater and Marine Microalgal Biomass Cultured in Photobioreactors. J. Appl. Phycol. 2015, 27, 1109–1119. [Google Scholar] [CrossRef]
- Sun, Z.; Peng, X.; Liu, J.; Fan, K.-W.; Wang, M.; Chen, F. Inhibitory Effects of Microalgal Extracts on the Formation of Advanced Glycation Endproducts (AGEs). Food Chem. 2010, 120, 261–267. [Google Scholar] [CrossRef]
- Nezafatian, E.; Farhadian, O.; Daneshvar, E.; Bhatnagar, A. Investigating the Effects of Salinity and Light Stresses on Primary and Secondary Metabolites of Tetraselmis tetrathele: Total Phenolic Compounds, Fatty Acid Profile, and Biodiesel Properties. Biomass Bioenergy 2024, 181, 107050. [Google Scholar] [CrossRef]
- Keddar, M.N.; Ballesteros-Gómez, A.; Amiali, M.; Siles, J.A.; Zerrouki, D.; Martín, M.A.; Rubio, S. Efficient Extraction of Hydrophilic and Lipophilic Antioxidants from Microalgae with Supramolecular Solvents. Sep. Purif. Technol. 2020, 251, 117327. [Google Scholar] [CrossRef]
- Gam, D.H.; Kim, S.Y.; Kim, J.W. Optimization of Ultrasound-Assisted Extraction Condition for Phenolic Compounds, Antioxidant Activity, and Epigallocatechin Gallate in Lipid-Extracted Microalgae. Molecules 2020, 25, 454. [Google Scholar] [CrossRef]
- Gilbert-López, B.; Barranco, A.; Herrero, M.; Cifuentes, A.; Ibáñez, E. Development of New Green Processes for the Recovery of Bioactives from Phaeodactylum tricornutum. Food Res. Int. 2017, 99, 1056–1065. [Google Scholar] [CrossRef] [PubMed]
- Canelli, G.; Tevere, S.; Jaquenod, L.; Dionisi, F.; Rohfritsch, Z.; Bolten, C.J.; Neutsch, L.; Mathys, A. A Novel Strategy to Simultaneously Enhance Bioaccessible Lipids and Antioxidants in Hetero/Mixotrophic Chlorella vulgaris as Functional Ingredient. Bioresour. Technol. 2022, 347, 126744. [Google Scholar] [CrossRef] [PubMed]
- Cobos, M.; Pérez, S.; Braga, J.; Vargas-Arana, G.; Flores, L.; Paredes, J.D.; Maddox, J.D.; Marapara, J.L.; Castro, J.C. Nutritional Evaluation and Human Health-Promoting Potential of Compounds Biosynthesized by Native Microalgae from the Peruvian Amazon. World J. Microbiol. Biotechnol. 2020, 36, 121. [Google Scholar] [CrossRef] [PubMed]
- Abidizadegan, M.; Blomster, J.; Fewer, D.; Peltomaa, E. Promising Biomolecules with High Antioxidant Capacity Derived from Cryptophyte Algae Grown under Different Light Conditions. Biology 2022, 11, 1112. [Google Scholar] [CrossRef] [PubMed]
- da Silva, J.C.; Lombardi, A.T. Chlorophylls in Microalgae: Occurrence, Distribution, and Biosynthesis. In Pigments from Microalgae Handbook; Jacob-Lopes, E., Queiroz, M.I., Zepka, L.Q., Eds.; Springer International Publishing: Cham, Switzerland, 2020; pp. 1–18. ISBN 978-3-030-50971-2. [Google Scholar]
- Kilari, G.; Balakrishnan, S. In Vitro Antiproliferative Activity and Phytochemicals Screening of Extracts of the Freshwater Microalgae, Chlorochromonas Danica. Appl. Biochem. Biotechnol. 2023, 195, 534–555. [Google Scholar] [CrossRef]
- Ampofo, J.; Abbey, L. Microalgae: Bioactive Composition, Health Benefits, Safety and Prospects as Potential High-Value Ingredients for the Functional Food Industry. Foods 2022, 11, 1744. [Google Scholar] [CrossRef]
- León-Vaz, A.; Giráldez, I.; Moreno-Garrido, I.; Varela, J.; Vigara, J.; León, R.; Cañavate, J.P. Amino Acids Profile of 56 Species of Microalgae Reveals That Free Amino Acids Allow to Distinguish between Phylogenetic Groups. Algal Res. 2023, 74, 103181. [Google Scholar] [CrossRef]
- Olgun, F.A.O.; Ozyurt, D.; Berker, K.I.; Demirata, B.; Apak, R. Folin-Ciocalteu Spectrophotometric Assay of Ascorbic Acid in Pharmaceutical Tablets and Orange Juice with pH Adjustment and Pre-Extraction of Lanthanum(III)–Flavonoid Complexes. J. Sci. Food Agric. 2014, 94, 2401–2408. [Google Scholar] [CrossRef]
- Ghori, N.-H.; Ghori, T.; Hayat, M.Q.; Imadi, S.R.; Gul, A.; Altay, V.; Ozturk, M. Heavy Metal Stress and Responses in Plants. Int. J. Environ. Sci. Technol. 2019, 16, 1807–1828. [Google Scholar] [CrossRef]
- Neilands, J.B.; Nakamura, K. Detection, Determination, Isolation, Characterization and Regulation of Microbial Iron Chelates. In Handbook of Microbial Iron Chelates (1991); CRC Press: Boca Raton, FL, USA, 1991; ISBN 978-0-203-71236-8. [Google Scholar]
- Travieso, L.; Cañizares, R.O.; Borja, R.; Benítez, F.; Domínguez, A.R.; Dupeyrón, R.; Valiente, V. Heavy Metal Removal by Microalgae. Bull. Environ. Contam. Toxicol. 1999, 62, 144–151. [Google Scholar] [CrossRef]
- Strejckova, A.; Dvorak, M.; Klejdus, B.; Krystofova, O.; Hedbavny, J.; Adam, V.; Huska, D. The Strong Reaction of Simple Phenolic Acids during Oxidative Stress Caused by Nickel, Cadmium and Copper in the Microalga Scenedesmus Quadricauda. New Biotechnol. 2019, 48, 66–75. [Google Scholar] [CrossRef] [PubMed]
- Elleuch, J.; Ben Amor, F.; Chaaben, Z.; Frikha, F.; Michaud, P.; Fendri, I.; Abdelkafi, S. Zinc Biosorption by Dunaliella Sp. AL-1: Mechanism and Effects on Cell Metabolism. Sci. Total Environ. 2021, 773, 145024. [Google Scholar] [CrossRef] [PubMed]
- Sozmen, A.B.; Canbay, E.; Sozmen, E.Y.; Ovez, B. The Effect of Temperature and Light Intensity during Cultivation of Chlorella Miniata on Antioxidant, Anti-Inflammatory Potentials and Phenolic Compound Accumulation. Biocatal. Agric. Biotechnol. 2018, 14, 366–374. [Google Scholar] [CrossRef]
- Tsvetanova, F.V.; Boyadzhieva, S.S.; Coelho, J.A.P.; Yankov, D.S.; Stateva, R.P. Sustainable Transformation of Two Algal Species of Different Genera to High-Value Chemicals and Bioproducts. Molecules 2024, 29, 156. [Google Scholar] [CrossRef]
- .Haoujar, I.; Cacciola, F.; Abrini, J.; Mangraviti, D.; Giuffrida, D.; Majdoub, Y.O.E.; Kounnoun, A.; Miceli, N.; Taviano, M.F.; Mondello, L.; et al. The Contribution of Carotenoids, Phenolic Compounds, and Flavonoids to the Antioxidative Properties of Marine Microalgae Isolated from Mediterranean Morocco. Molecules 2019, 24, 4037. [Google Scholar] [CrossRef]
- López, A.; Rico, M.; Santana-Casiano, J.M.; González, A.G.; González-Dávila, M. Phenolic Profile of Dunaliella Tertiolecta Growing under High Levels of Copper and Iron. Environ. Sci. Pollut. Res. 2015, 22, 14820–14828. [Google Scholar] [CrossRef]
- Goiris, K.; Muylaert, K.; Voorspoels, S.; Noten, B.; Paepe, D.D.; Baart, G.J.E.; Cooman, L.D. Detection of Flavonoids in Microalgae from Different Evolutionary Lineages. J. Phycol. 2014, 50, 483–492. [Google Scholar] [CrossRef]
- Bhuvana, P.; Sangeetha, P.; Anuradha, V.; Ali, M.S. Spectral Characterization of Bioactive Compounds from Microalgae: N. Oculata and C. Vulgaris. Biocatal. Agric. Biotechnol. 2019, 19, 101094. [Google Scholar] [CrossRef]
- Klejdus, B.; Kopecký, J.; Benešová, L.; Vacek, J. Solid-Phase/Supercritical-Fluid Extraction for Liquid Chromatography of Phenolic Compounds in Freshwater Microalgae and Selected Cyanobacterial Species. J. Chromatogr. A 2009, 1216, 763–771. [Google Scholar] [CrossRef]
- Miranda, M.S.; Sato, S.; mancini-filho, J. Antioxidant Activity of the Microalga Chlorella Vulgaris Cultered on Special Conditions. Boll. Chim. Farm. 2001, 140, 165–168. [Google Scholar]
- Stirk, W.A.; Tarkowská, D.; Gruz, J.; Strnad, M.; Ördög, V.; van Staden, J. Effect of Gibberellins on Growth and Biochemical Constituents in Chlorella minutissima (Trebouxiophyceae). S. Afr. J. Bot. 2019, 126, 92–98. [Google Scholar] [CrossRef]
- Rico, M.; López, A.; Santana-Casiano, J.M.; González, A.G.; González-Dávila, M. Variability of the Phenolic Profile in the Diatom Phaeodactylum Tricornutum Growing under Copper and Iron Stress. Limnol. Oceanogr. 2013, 58, 144–152. [Google Scholar] [CrossRef]
- Scaglioni, P.T.; Quadros, L.; Paula, M.d.; Furlong, V.B.; Abreu, P.C.; Badiale-Furlong, E. Inhibition of Enzymatic and Oxidative Processes by Phenolic Extracts from Spirulina sp. and Nannochloropsis sp. Food Technol. Biotechnol. 2018, 56, 344–353. [Google Scholar] [CrossRef]
- Zimermann, J.D.A.F.; Sydney, E.B.; Cerri, M.L.; Carvalho, I.K.d.; Schafranski, K.; Sydney, A.C.N.; Vitali, L.; Gonçalves, S.; Micke, G.A.; Soccol, C.R.; et al. Growth Kinetics, Phenolic Compounds Profile and Pigments Analysis of Galdieria Sulphuraria Cultivated in Whey Permeate in Shake-Flasks and Stirred-Tank Bioreactor. J. Water Process Eng. 2020, 38, 101598. [Google Scholar] [CrossRef]
- Parkes, R.; McGee, D.; McDonnell, A.; Gillespie, E.; Touzet, N. Rapid Screening of Phenolic Compounds in Extracts of Photosynthetic Organisms Separated Using a C18 Monolithic Column Based HPLC-UV Method. J. Chromatogr. B 2022, 1213, 123521. [Google Scholar] [CrossRef] [PubMed]
- Santiago-Díaz, P.; Rivero, A.; Rico, M.; González González, A.; González-Dávila, M.; Santana-Casiano, M. Copper Toxicity Leads to Accumulation of Free Amino Acids and Polyphenols in Phaeodactylum Tricornutum Diatoms. Environ. Sci. Pollut. Res. Int. 2023, 30, 51261–51270. [Google Scholar] [CrossRef]
- Santana-Casiano, J.M.; González-Dávila, M.; González, A.G.; Rico, M.; López, A.; Martel, A. Characterization of Phenolic Exudates from Phaeodactylum tricornutum and Their Effects on the Chemistry of Fe(II)–Fe(III). Mar. Chem. 2014, 158, 10–16. [Google Scholar] [CrossRef]
- Zhu, J.; Tan, X.; Saadiah Hafid, H.; Wakisaka, M. A Novel Strategy to Promote Microalgal Growth and Lipid Productivity by Supplementation of Lignin Related Phenolic Elicitors. Fuel 2023, 334, 126775. [Google Scholar] [CrossRef]
- Almeida, A.M.; Marchiosi, R.; Abrahão, J.; Constantin, R.P.; dos Santos, W.D.; Ferrarese-Filho, O. Revisiting the Shikimate Pathway and Highlighting Their Enzyme Inhibitors|Phytochemistry Reviews. Phytochem. Rev. 2023, 23, 421–457. [Google Scholar] [CrossRef]
- da Silva, A.P.G.; Sganzerla, W.G.; John, O.D.; Marchiosi, R. A Comprehensive Review of the Classification, Sources, Biosynthesis, and Biological Properties of Hydroxybenzoic and Hydroxycinnamic Acids. Phytochem. Rev. 2023. [Google Scholar] [CrossRef]
- Zeb, A. Biosynthesis of Phenolic AntioxidantsAntioxidants. In Phenolic Antioxidants in Foods: Chemistry, Biochemistry and Analysis; Zeb, A., Ed.; Springer International Publishing: Cham, Switzerland, 2021; pp. 299–331. ISBN 978-3-030-74768-8. [Google Scholar]
- Tang, J.; Wang, J.; Gong, P.; Zhang, H.; Zhang, M.; Qi, C.; Chen, G.; Wang, C.; Chen, W. Biosynthesis and Biotechnological Synthesis of Hydroxytyrosol. Foods 2024, 13, 1694. [Google Scholar] [CrossRef] [PubMed]
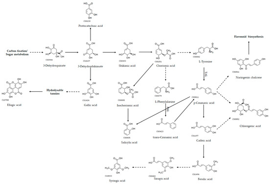
- Del Mondo, A.; Sansone, C.; Brunet, C. Insights into the Biosynthesis Pathway of Phenolic Compounds in Microalgae. Comput. Struct. Biotechnol. J. 2022, 20, 1901–1913. [Google Scholar] [CrossRef] [PubMed]
- Fu, L.; Li, Q.; Chen, C.; Zhang, Y.; Liu, Y.; Xu, L.; Zhou, Y.; Li, C.; Zhou, D.; Rittmann, B.E. Benzoic and Salicylic Acid Are the Signaling Molecules of CHlorella Cells for Improving Cell Growth. Chemosphere 2021, 265, 129084. [Google Scholar] [CrossRef] [PubMed]
- Zhao, Z.; Xue, W.; Wang, J.; Zhang, C.; Zhou, D. The Role of Trace P-Hydroxybenzoic Acid to Chlorella for Advanced Wastewater Treatment: Mitigating Bacterial Contamination and Boosting Biomass Recovery. Resour. Conserv. Recycl. 2023, 199, 107229. [Google Scholar] [CrossRef]
- Yang, H.; Zhao, Z.; Liu, Y.; Fu, L.; Zhou, D. The P-Hydroxybenzoic Acid Enhanced Lipid Accumulation of Chlorella under Antibiotic Stress. Resour. Conserv. Recycl. 2023, 190, 106758. [Google Scholar] [CrossRef]
- Wu, J.; Zhu, W.; Zhao, Q. Salicylic Acid Biosynthesis Is Not from Phenylalanine in Arabidopsis. J. Integr. Plant Biol. 2023, 65, 881–887. [Google Scholar] [CrossRef]
- Quintas-Nunes, F.; Brandão, P.R.; Barreto Crespo, M.T.; Glick, B.R.; Nascimento, F.X. Plant Growth Promotion, Phytohormone Production and Genomics of the Rhizosphere-Associated Microalga, Micractinium Rhizosphaerae sp. Nov. Plants 2023, 12, 651. [Google Scholar] [CrossRef]
- Le Person, A.; Lacoste, A.-S.; Cornard, J.-P. Photo-Degradation of Trans-Caffeic Acid in Aqueous Solution and Influence of Complexation by Metal Ions. J. Photochem. Photobiol. A: Chem. 2013, 265, 10–19. [Google Scholar] [CrossRef]
- Yáñez, E.; Santander, P.; Contreras, D.; Yañez, J.; Cornejo, L.; Mansilla, H. Homogeneous and Heterogeneous Degradation of Caffeic Acid Using Photocatalysis Driven by UVA and Solar Light. J. Environ. Sci. Health Part A 2015, 51, 78–85. [Google Scholar] [CrossRef]
- Venditti, F.; Cuomo, F.; Ceglie, A.; Avino, P.; Russo, M.V.; Lopez, F. Visible Light Caffeic Acid Degradation by Carbon-Doped Titanium Dioxide. Langmuir 2015, 31, 3627–3634. [Google Scholar] [CrossRef]
- Schnarr, L.; Olsson, O.; Ohls, S.; Webersinn, J.; Mauch, T.; Kümmerer, K. Flavonoids as Benign Substitutes for More Harmful Synthetic Chemicals-Effects of Flavonoids and Their Transformation Products on Algae. Sustain. Chem. Pharm. 2024, 38, 101473. [Google Scholar] [CrossRef]
- Lindner, A.V.; Pleissner, D. Utilization of Phenolic Compounds by Microalgae. Algal Res. 2019, 42, 101602. [Google Scholar] [CrossRef]
- Papazi, A.; Kotzabasis, K. Bioenergetic Strategy of Microalgae for the Biodegradation of Phenolic Compounds—Exogenously Supplied Energy and Carbon Sources Adjust the Level of Biodegradation. J. Biotechnol. 2007, 129, 706–716. [Google Scholar] [CrossRef] [PubMed]
- Yadav, N.; Ahn, H.-J.; Kurade, M.B.; Ahn, Y.; Park, Y.-K.; Khan, M.A.; Salama, E.-S.; Li, X.; Jeon, B.-H. Fate of Five Bisphenol Derivatives in Chlamydomonas Mexicana: Toxicity, Removal, Biotransformation and Microalgal Metabolism. J. Hazard. Mater. 2023, 454, 131504. [Google Scholar] [CrossRef] [PubMed]
- El Riachy, M.; Priego-Capote, F.; León, L.; Luque de Castro, M.D.; Rallo, L. Virgin Olive Oil Phenolic Profile and Variability in Progenies from Olive Crosses. J. Sci. Food Agric. 2012, 92, 2524–2533. [Google Scholar] [CrossRef]
- Okoro, V.; Azimov, U.; Munoz, J.; Hernandez, H.H.; Phan, A.N. Microalgae Cultivation and Harvesting: Growth Performance and Use of Flocculants-A Review. Renew. Sustain. Energy Rev. 2019, 115, 109364. [Google Scholar] [CrossRef]
- Hartley, R.D.; Whitehead, D.C. Phenolic Acids in Soils and Their Influence on Plant Growth and Soil Microbial Processes. In Soil Organic Matter and Biological Activity; Vaughan, D., Malcolm, R.E., Eds.; Springer Netherlands: Dordrecht, The Netherlands, 1985; pp. 109–149. ISBN 978-94-009-5105-1. [Google Scholar]
- Figueira, I.; Garcia, G.; Pimpão, R.C.; Terrasso, A.P.; Costa, I.; Almeida, A.F.; Tavares, L.; Pais, T.F.; Pinto, P.; Ventura, M.R.; et al. Polyphenols Journey through Blood-Brain Barrier towards Neuronal Protection. Sci. Rep. 2017, 7, 11456. [Google Scholar] [CrossRef]
- Peña-Torres, E.F.; González-Ríos, H.; Avendaño-Reyes, L.; Valenzuela-Grijalva, N.V.; Pinelli-Saavedra, A.; Muhlia-Almazán, A.; Peña-Ramos, E.A. Hydroxycinnamic Acids in Animal Production: Pharmacokinetics, Pharmacodynamics and Growth Promoting Effects. Rev. Rev. Mex. De. Cienc. Pecu. 2019, 10, 391–415. [Google Scholar] [CrossRef]
- Meza-Escalante, E.R.; Lepe-Martinié, L.; Díaz-Quiroz, C.; Serrano-Palacios, D.; Álvarez-Valencia, L.H.; Rentería-Mexía, A.; Gortáres-Moroyoqui, P.; Ulloa-Mercado, G. Capacity of Marine Microalga Tetraselmis Suecica to Biodegrade Phenols in Aqueous Media. Sustainability 2022, 14, 6674. [Google Scholar] [CrossRef]
- Mollo, L.; Drigo, F.; Moglie, M.; Norici, A. Screening for Tolerance to Natural Phenols of Different Algal Species: Toward the Phycoremediation of Olive Mill Wastewater. Algal Res. 2023, 75, 103256. [Google Scholar] [CrossRef]
- Lichtenthaler, H.K.; Buschmann, C.; Knapp, M. How to Correctly Determine the Different Chlorophyll Fluorescence Parameters and the Chlorophyll Fluorescence Decrease Ratio RFd of Leaves with the PAM Fluorometer. Photosynthetica 2005, 43, 379–393. [Google Scholar] [CrossRef]
- Song, Z.; Lye, G.J.; Parker, B.M. Morphological and Biochemical Changes in Phaeodactylum Tricornutum Triggered by Culture Media: Implications for Industrial Exploitation. Algal Res. 2020, 47, 101822. [Google Scholar] [CrossRef]
- Haro, P.; Sáez, K.; Gómez, P.I. Physiological Plasticity of a Chilean Strain of the Diatom Phaeodactylum Tricornutum: The Effect of Culture Conditions on the Quantity and Quality of Lipid Production. J. Appl. Phycol. 2017, 29, 2771–2782. [Google Scholar] [CrossRef]
- Şirin, P.A.; Serdar, S. Effects of Nitrogen Starvation on Growth and Biochemical Composition of Some Microalgae Species|Folia Microbiologica. Folia Microbiol. 2024, 69, 889–902. [Google Scholar] [CrossRef] [PubMed]
- Celente, G.; Rizzetti, T.; Schneider, R.; Harvey, P.; Sui, Y. Organic Carbon Is Ineffective in Enhancing the Growth of Dunaliella. Fermentation 2022, 8, 261. [Google Scholar] [CrossRef]
- Gim, G.H.; Ryu, J.; Kim, M.J.; Kim, P.I.; Kim, S.W. Effects of Carbon Source and Light Intensity on the Growth and Total Lipid Production of Three Microalgae under Different Culture Conditions. J. Ind. Microbiol. Biotechnol. 2016, 43, 605–616. [Google Scholar] [CrossRef]
- Ferreira, J.A.; Zwinderman, A.H. On the Benjamini-Hochberg Method. Ann. Stat. 2006, 34, 1827–1849. [Google Scholar] [CrossRef]
- Tomczak, M.; Tomczak-Łukaszewska, E. The Need to Report Effect Size Estimates Revisited. Overv. Some Recomm. Meas. Eff. Size 2014, 21, 19–25. [Google Scholar]









Disclaimer/Publisher’s Note: The statements, opinions and data contained in all publications are solely those of the individual author(s) and contributor(s) and not of MDPI and/or the editor(s). MDPI and/or the editor(s) disclaim responsibility for any injury to people or property resulting from any ideas, methods, instructions or products referred to in the content. |
© 2024 by the authors. Licensee MDPI, Basel, Switzerland. This article is an open access article distributed under the terms and conditions of the Creative Commons Attribution (CC BY) license (https://creativecommons.org/licenses/by/4.0/).
Share and Cite
Andriopoulos, V.; Kornaros, M. Microalgal Phenolics: Systematic Review with a Focus on Methodological Assessment and Meta-Analysis. Mar. Drugs 2024, 22, 460. https://doi.org/10.3390/md22100460
Andriopoulos V, Kornaros M. Microalgal Phenolics: Systematic Review with a Focus on Methodological Assessment and Meta-Analysis. Marine Drugs. 2024; 22(10):460. https://doi.org/10.3390/md22100460
Chicago/Turabian StyleAndriopoulos, Vasilis, and Michael Kornaros. 2024. "Microalgal Phenolics: Systematic Review with a Focus on Methodological Assessment and Meta-Analysis" Marine Drugs 22, no. 10: 460. https://doi.org/10.3390/md22100460
APA StyleAndriopoulos, V., & Kornaros, M. (2024). Microalgal Phenolics: Systematic Review with a Focus on Methodological Assessment and Meta-Analysis. Marine Drugs, 22(10), 460. https://doi.org/10.3390/md22100460

