A Review of Sponge-Derived Diterpenes: 2009–2022
Abstract
1. Introduction
2. The Characteristics of Diterpenes from Sponges
3. Isolation, Structure, and Bioactivities of Diterpenes from Sponges
3.1. Acanthella
| Compound Number | Compound Name | Producing Sponge | Activity | Reference |
|---|---|---|---|---|
| Cytotoxicity to cancer cell lines | ||||
| 1–2 | Cavernenes A–B | Acanthella cavernosa | Cytotoxicity against the HCT-116 cell line, with IC50 values of 6.31 and 8.99 µM, respectively | [30] |
| 5 | Kalihinene E | Acanthella cavernosa | Cytotoxicity against the HCT-116, HeLa, QGY-7701, and MDA-MB-231 cell lines, with IC50 values of 14.36, 13.36, 17.78, and 12.84 µM, respectively | [30] |
| 11 | Kalihinol O | Acanthella cavernosa | Cytotoxicity against HCT-116 cells, with an IC50 value of 5.97 µM | [32] |
| 12 | Kalihinol P | Acanthella cavernosa | Cytotoxicity against HCT-116 and H1299 cells, with IC50 values of 10.68 and 26.21 µM, respectively | [32] |
| 13–14 | Kalihinols Q–R | Acanthella cavernosa | Cytotoxicity against HCT-116 cells, with IC50 values of 20.55 and 13.44 µM, respectively | [32] |
| 17 | 10-Epi-kalihinol X | Acanthella sp. | Cytotoxicity against the A549 cell line, with an IC50 value of 9.30 µg/mL | [33] |
| 20 | Axistatin 1 | Agelas axifera Hentschel | Cytotoxicity against P388, BXPC-3, MCF-7, SF-268, NCI-H460, KM20L2, and DU-145 cells, with GI50 (50% growth inhibition) values of 19.8, 4.8, 5.7, 3.6, 4.6, 4.1, and 4.8 µM, respectively | [34] |
| 21 | Axistatin 2 | Agelas axifera Hentschel | Cytotoxicity against P388, BXPC-3, MCF-7, SF-268, NCI-H460, KM20L2, and DU-145 cells, with GI50 values of 22.8, 5.5, 6.8, 3.9, 4.3, 4.1, and 5.0 µM, respectively | [34] |
| 22 | Axistatin 3 | Agelas axifera Hentschel | Cytotoxicity against P388, BXPC-3, MCF-7, SF-268, NCI-H460, KM20L2, and DU-145 cells, with GI50 values of 8.9, 6.0, 5.8, 3.5, 5.4, 6.9, and 7.5 µM, respectively | [34] |
| 27 | Nemoechine G | Agelas aff. nemoechinata | Cytotoxicity against Jurkat cell lines, with an IC50 of 17.1 µM | [35] |
| 28 | Nemoechine D | Agelas aff. nemoechinata | Cytotoxicity against the human promyelocytic leukemia HL-60 cell line, with an IC50 value of 9.9 µM | [36] |
| 36 | (+)-Agelasine B | Agelas mauritiana | Cytotoxicity toward the cancer cell lines PC9, A549, HepG2, MCF-7, and U937, with IC50 values of 5.08, 14.07, 9.76, 7.64, and 4.49 µM, respectively | [37] |
| 40 | Iso-agelasine C | Agelas nakamurai | Cytotoxicity against HL-60, K562, and HCT-116 cell lines, with IC50 values of 25.3, 28.9, and 38.8 µM, respectively | [38] |
| 41 | Iso-agelasidine B | Agelas nakamurai | Cytotoxicity against HL-60 and K562 cell lines, with IC50 values of 33.0 and 39.2 µM, respectively | [38] |
| 42 | (−)-Agelasine D | Agelas nakamurai | Cytotoxicity against L5178Y mouse lymphoma cells, with an IC50 value of 4.03 µM | [39] |
| 43 | (−)-Agelamide D | Agelas nakamurai | Cytotoxicity against L5178Y mouse lymphoma cells, with an IC50 value of 12.5 µM | [39,40,41] |
| 42 | (−)-Agelasine D | Agelas nakamurai | Cytotoxic to Hep3B cells, with a GI50 of 9.9 µM | [41] |
| 43 | (−)-Agelamide D | Agelas nakamurai | Cytotoxic to Hep3B cells, with a GI50 of 12.0 µM | [41] |
| 99 | NN * | Dysidea cf. arenaria | Cytotoxicity against NBT-T2 rat bladder epithelial cells, with an IC50 value of 1.9 µg/mL | [42] |
| 103–104 | NN | Dysidea cf. arenaria | Cytotoxicity against NBT-T2 rat bladder epithelial cells, with IC50 values of 1.8 and 4.2 µg/mL, respectively | [42] |
| 105–108 | NN | Dysidea cf. arenaria | Cytotoxicity against the NBT-T2 cell line, with IC50 values of 3.1, 1.9, 8.4, and 3.1 µM, respectively | [43] |
| 112 | 2,5-Dihydroxy-homoverrucos-(3)-ene | Halichondria sp. | Cytotoxicity against the human multiple myeloma cell line RPMI-8266, with an IC50 of 49.0 µM | [44] |
| 113 | 2-Hydroxy-5-oxo-homoverrucos-(3)-ene | Halichondria sp. | Cytotoxicity against RPMI-8266 cells, with an IC50 of 65.8 µM | [44] |
| 114 | 5,18-Dihydroxy-homoverrucosane | Halichondria sp. | Cytotoxicity against RPMI-8266 cells, with an IC50 of 32.7 µM | [44] |
| 115 | 5-Hydroxy-18-aldehyde-homoverrucosane | Halichondria sp. | Cytotoxicity against RPMI-8266 cells, with an IC50 of 49.3 µM | [44] |
| 116 | Halioxepine | Haliclona sp. | Cytotoxicity against NBT-T2 cells, with an IC50 of 4.8 µg/mL | [45] |
| 124–125, 127–128,130 | Hamigerans M–Q | Hamigera tarangaensis | Cytotoxicity against the HL-60 cell line, with IC50 values of 6.9, 19.5, 14.7, 21.3, and 33.3 µM, respectively | [46] |
| 126 | 18-Epi-hamigeran N | Hamigera tarangaensis | Cytotoxicity against the HL-60 cell line, with an IC50 value of 14.1 µM | [46] |
| 129 | 18-Epi-hamigeran P | Hamigera tarangaensis | Cytotoxicity against the HL-60 cell line, with an IC50 value of 11.6 µM | [46] |
| 136 | 3β-Hydroxyspongia-13(16),14-diene-2-one | Hyattella aff. intestinalis | Cytotoxicity against NBT-T2 cells, with an IC50 value of 24.1 µM | [47] |
| 143 | 6,10,18-Triacetoxy-2E,7E-dolabelladien | Luffariella variabilis | Cytotoxicity against the MDA-MB-231 cell line, with an IC50 value of 11.57 µM | [48] |
| 145 | NN | Pseudoaxinella flava | Cytotoxicity against the PC3 cell line, with an IC50 value of 7 µM | [49] |
| 172 | 3β-Hydroxyspongia-13(16),14-dien-2-one | Spongia tubulifera | Activity against A549, human skin melanoma A2058, hepatocyte carcinoma HepG2, and pancreas carcinoma MiaPaca-2 cell lines, with IC50 values of 88.1, 71.4, 91.3, and 90.0 µM, respectively | [50] |
| 191 | Epoxynorspongian E | Spongia sp. | Activity against the PC3 and PBL-2H3 cell lines, with IC50 values of 24.8 and 27.2 µM, respectively | [51] |
| 199 | 2β,3α,19-Triacetoxy-17-hydroxyspongia-13(16),14-diene | Spongia officinalis Linnaeus, 1759 | Cytotoxicity against the K562 cell line, with an IC50 value of 7.3 µM | [52] |
| 206 | Ceylonamide G | Spongia sp. | Inhibited the growth of DU145 cells in two-dimensional monolayer culture, with an IC50 of 6.9 µM; also effective on spheroids of a three-dimensional DU145 cell culture model with a minimum effective concentration of 10 µM | [53] |
| 209–211 | Gracilins J–L | Spongionella sp. | Cytotoxic activity against K562 cells and normal human peripheral blood mononuclear cells (PBMCs), with IC50 values of 15 and 30, 8.5 and 9, and 2.65 and 3 µM, respectively | [54] |
| 212 | 3′-Norspongiolactone | Spongionella sp. | Cytotoxic activity against K562 cells and normal PBMCs, with IC50 values of 12 and 30 µM, respectively | [54] |
| 213 | Spongionellol A | Spongionella sp. | Activity in the cell lines PC3, PC3-DR, DU145, DU145-DR, 22Rv1, VCaP, and LNCaP, with IC50 values of 0.96, 1.23, 0.94, 1.53, 2.64, 1.30, and 1.02 µM, respectively | [55] |
| 224 | Luakuliide A | Unidentified | Activity against HL-60 cells, with an IC50 value of 21.7 µM | [56] |
| 227 | Chromodorolide D | Unidentified | Cytotoxicity against the NBT-T2 cell line, with an IC50 value of 5.6 µg/mL | [57] |
| 228 | NN | Unidentified | Cytotoxicity against the NBT-T2 cell line, with an IC50 value of 12 µg/mL | [57] |
| Antibacterial activity | ||||
| 25 | 10-Hydro-9-hydroxyagelasine F | Agelas nakamurai | Inhibited the growth of Mycobacterium smegmatis, with inhibition zones of 10 mm at 20 µg/disc | [58] |
| 33 | (+)-10-Epiagelasine B | Agelas citrina | Active against Staphylococcus aureus ATCC 29213, S. aureus USA300LAC, Streptococcus pneumoniae ATCC 49619, S. pneumoniae 549 CHUAC, Enterococcus faecalis ATCC 29212, E. faecalis 256 CHUAC, and E. faecium 214 CHUAC, with MIC (minimum inhibitory concentration) values of 1, 2, 4, 8, 4, 4, and 4 µg/mL, respectively | [59] |
| 36 | (+)-Agelasine B | Agelas mauritiana | Active against a panel of methicillin-resistant S. aureus (MRSA) clinical strains 2010-260, 2010-210, 2010-292, and 2010-300, as well as a methicillin-susceptible S. aureus strain H608, with MIC90 values of 2, 1, 2, 1, and 2 µg/mL, respectively | [37] |
| 40 | Iso-agelasine C | Agelas nakamurai | Antibacterial activities against Proteusbacillus vulgaris, with an MIC value of 18.75 µg/mL | [38] |
| 46–49 | Agelasines O–R | Agelas sp. | Inhibited the growth of S. aureus and Bacillus subtilis, with MIC values of 16 and 16, 32 and 32, 8 and 8, and 8 and 8 µg/mL, respectively | [60] |
| 51 | Agelasine T | Agelas sp. | Inhibited the growth of S. aureus and B. subtilis, with MIC values of 16 and 16 µg/mL, respectively | [60] |
| 66 | Eleganstone A | Dactylospongia elegans | Antibacterial activity against Escherichia coli, B. subtilis, and S. aureus, with an MIC value of 64 µg/mL | [61] |
| 67 | (1R*,2E,4R*,8E,10S*, 11S*,12R*)-10,18-diacetoxydolabella-2,8-dien-6-one | Dactylospongia elegans | Antibacterial activity against E. coli, B. subtilis, and S. aureus, with an MIC value of 64 µg/mL | [61] |
| 85 | Dendrillin B | Dendrilla antarctica | Achieved 90% eradication at 100 µg/mL in the MRSA biofilm assay | [62] |
| 88 | Darwinolide | Dendrilla membranosa | Cytotoxicity against MRSA, with an MIC of 132.9 μM, and activity against the biofilm formation of the same MRSA strain, with an IC50 value of 33.2 µM | [63] |
| 138 | Monamphilectine A | Hymeniacidon sp. | Showed 43% and 38% of the bactericidal strength of the β-lactam antibiotics carbenicillin and amphicillin, respectively, against E. coli at a concentration of 150 nM | [64] |
| 203 | Spongenolactone A | Spongia sp. | Exhibited 46%, 47%, and 93% inhibition against S. aureus at 50, 100, and 200 µM, respectively | [65] |
| 204 | Spongenolactone B | Spongia sp. | Displayed 24%, 42%, and 40% inhibition against S. aureus at 50, 100, and 200 µM, respectively | [65] |
| Antituberculosis activity | ||||
| 57–59 | Macfarlandins F–H | Chelonaplysilla sp. | Inhibited Mycobacterium tuberculosis, with MIC values of >20, 49, and >20 µg/mL, respectively | [66] |
| 138 | Monamphilectine A | Hymeniacidon sp. | Activity against M. tuberculosis H37Rv, with an MIC value of 15.3 µg/mL | [64] |
| 219 | 7-Methylaminoisoneoamphilecta-1(14),15-diene | Svenzea flava | Activity against M. tuberculosis H37Rv, with an MIC value of 15 µg/mL | [67] |
| 220 | 7-Formamidoisoneoamphilecta-1(14),15-diene | Svenzea flava | Activity against M. tuberculosis H37Rv, with an MIC value of 32 µg/mL | [67] |
| Antifungal activity | ||||
| 40 | Iso-agelasine C | Agelas nakamurai | Activity against Candida albicans, with an MIC value of 4.69 µg/mL | [38] |
| 41 | Iso-agelasidine B | Agelas nakamurai | Activity against C. albicans, with an MIC value of 2.34 µg/mL | [38] |
| 46 | Agelasine O | Agelas sp. | Inhibited the growth of Trichophyton mentagrophytes and Cryptococcus neoformans, with IC50 values of 32 and 16 µg/mL, respectively | [60] |
| 47 | Agelasine P | Agelas sp. | Inhibited the growth of C. neoformans, with an IC50 value of 32 µg/mL | [60] |
| 48–49 | Agelasines Q–R | Agelas sp. | Inhibited the growth of Aspergillus niger, T. mentagrophytes, C. albicans, and C. neoformans, both with IC50 values of 16, 16, 16, and 8 µg/mL, respectively | [60] |
| 51 | Agelasine T | Agelas sp. | Inhibited the growth of C. neoformans, with an IC50 value of 16 µg/mL | [60] |
| Antiparasitic activity | ||||
| 60 | 8-Isocyanoamphilecta-11(20),15-diene | Ciocalapata sp. | Activity against Plasmodium falciparum K1, with an IC50 value of 0.98 µM | [68] |
| 61 | (1S,3S,4R,7S,8S,11S,12S,13S,15R,20R)-7-Formamido-20-isocy-anoisocycloamphilectane | Cymbastela hooperi | Inhibitory effects on three strains of P. falciparum (FCR3F86, W2, and D6), with an average IC50 value of 0.5 µg/mL | [69] |
| 62 | (1S,3S,4R,7S,8S,11S,12S,13S,15R,20R)-7,20-Diformamidoisocy-cloamphilectane | Cymbastela hooperi | Inhibitory effects on P. falciparum FCR3F86, with an IC50 value of 14.8 µg/mL | [69] |
| 83 | Membranoid B | Dendrilla antarctica | Activity against Leishmania donovani (IC50 0.8 µM), with no discernible cytotoxicity against uninfected J774A.1 cells | [70] |
| 84 | Membranoid D | Dendrilla antarctica | Activity against L. donovani (IC50 1.4 µM), with no discernible cytotoxicity against uninfected J774A.1 cells | [70] |
| 85 | Dendrillin B | Dendrilla antarctica | Activity against the leishmaniasis parasite, with an IC50 value of 3.5 µM | [62] |
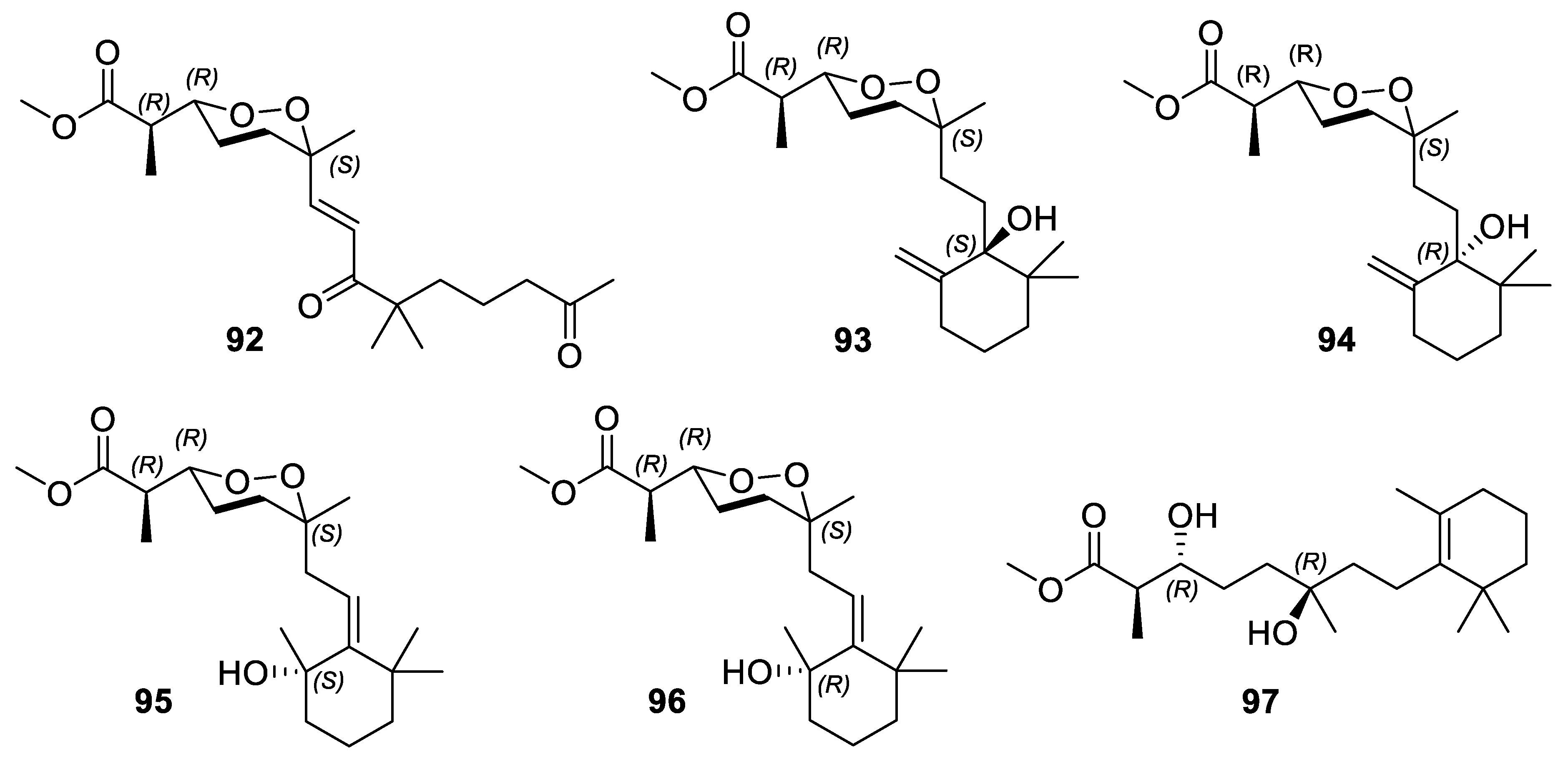
| 92 | Diacarperoxide H | Diacarnus megaspinorhabdosa | Activity against P. falciparum (W2 clones) in vitro, with an IC50 value of 12.9 µM | [71] |
| 93 | Diacarperoxide I | Diacarnus megaspinorhabdosa | Activity against P. falciparum (W2 and D6 clones) in vitro, with IC50 values of 4.8 and 7.9 µM, respectively | [71] |
| 94 | Diacarperoxide J | Diacarnus megaspinorhabdosa | Activity against P. falciparum (W2 and D6 clones) in vitro, with IC50 values of 1.8 and 1.6 µM, respectively | [71] |
| 138 | Monamphilectine A | Hymeniacidon sp. | Activity against a chloroquine-resistant (CQ-R) P. falciparum W2 strain, with an IC50 value of 0.60 µM | [64] |
| 217–218 | Monamphilectines B–C | Svenzea flava | Activity against P. falciparum, with IC50 values of 44.5 and 43.3 nM, respectively | [72] |
| Anti-inflammatory activity | ||||
| 133–134 | Hipposponlachnins A–B | Hippospongia lachne | Inhibitory activity on the release of β-hexosaminidase in DNP-IgE-stimulated RBL-2H3 cells, with IC50 values of 49.37 and 23.91 µM, respectively | [73] |
| 141 | Erectcyanthin B | Hyrtios erectus | Inhibited 5-LOX, COX-2, and COX-1, with IC50 values of 0.88, 0.98, and 1.09 mM, respectively | [74] |
| 193 | Sponalactone | Spongia officinalis | Inhibitory activity on the lipopolysaccharide (LPS)-induced nitric oxide (NO) production in RAW264.7 macrophages, with an IC50 value of 32 µM | [75] |
| 194 | 17-O-acetylepispongiatriol | Spongia officinalis | Inhibitory activity on the LPS-induced NO production in RAW264.7 macrophages, with an IC50 value of 15 µM | [75] |
| 195 | 17-O-acetylspongiatriol | Spongia officinalis | Inhibitory activity on the LPS-induced NO production in RAW264.7 macrophages, with an IC50 value of 12 µM | [75] |
| 196 | 15α,16α-Dimethoxy-15,16-dihydroepispongiatrio | Spongia officinalis | Inhibitory activity on the LPS-induced NO production in RAW264.7 macrophages, with an IC50 value of 22 µM | [75] |
| 197 | 15α-Ethoxyepispongiatriol-16(15H)-one | Spongia officinalis | Inhibitory activity on the LPS-induced NO production in RAW264.7 macrophages, with an IC50 value of 12 µM | [75] |
| 198 | 17-Dehydroxysponalactone | Spongia sp. | Inhibited superoxide anion generation (91%) and elastase release (90%) at 10 µM, with IC50 values of 3.37 and 4.07 µM, respectively | [76] |
| 203–205 | Spongenolactones A–C | Spongia sp. | Inhibitory activity against superoxide anion generation in fMLF/CB-stimulated human neutrophils, with IC50 values of 16.5, 13.1, and 17.4 µM, respectively | [65] |
| 221 | Tedanol | Tedania ignis | Showed anti-inflammatory activity through the inhibition of carrageenan-induced paw edema in mice | [77] |
| Antifouling activity | ||||
| 11–16 | Kalihinols O–T | Acanthella cavernosa | Activity against Balanus amphitrite larvae, with EC50 (50% effective concentration) values of 1.43, 0.72, 1.48, 1.16, 0.53, and 0.74 µM, respectively | [32] |
| 42 | (−)-Agelasine D | Agelas nakamurai | Inhibited the growth of planktonic forms of the biofilm-forming bacteria Staphylococcus epidermidis (MIC < 0.0877 µM), but did not inhibit biofilm formation | [39] |
| 43 | (−)-Agelamide D | Agelas nakamurai | Inhibited only the biofilm formation but not the growth of S. epidermidis | [39] |
| 81 | 9,11-Dihydrogracilin A | Dendrilla antarctica | Reduced the area covered by the fouling organisms | [78] |
| 82 | 9,11-Dihydrogracillinone A | Dendrilla antarctica | Reduced the area covered by the fouling organisms | [78] |
| 139 | Hymerhabdrin A | Hymerhabdia sp. | Toxic against larvae of the barnacle Balanus amphitrite, with an IC50 of 3.6 µg/mL | [79] |
| Inhibition of osteoclasts | ||||
| 153–154 | Ceylonamides A–B | Spongia ceylonensis | Inhibitory effects on RANKL-induced osteoclastogenesis in RAW264 macrophages, with IC50 values of 13 and 18 µM, respectively | [80] |
| 160 | Ceylonin A | Spongia ceylonensis | Inhibited the RANKL-induced formation of multinuclear osteoclasts in RAW264 cells by 70% (50 µM), in a dose-dependent manner, without cytotoxicity | [81] |
| 163–165 | Ceylonins D–F | Spongia ceylonensis | Inhibited the RANKL-induced formation of multinuclear osteoclasts by 28%, 47%, and 31%, respectively | [81] |
| Others | ||||
| 43 | (−)-Agelamide D | Agelas nakamurai | Enhanced the radiation sensitivity of Hep3B cells; enhanced the efficacy of radiotherapy in a hepatocellular carcinoma (HCC) xenograft mouse model | [41] |
| 53–55 | Agelasines W–Y | Astrosclera willeyana | Inhibited the Cbl-b protein that negatively regulates T-cell activation, with IC50 values of 57, 72, and 66 µM, respectively | [82] |
| 116 | Halioxepine | Haliclona sp. | Activity against 1,1-diphenyl-2-picrylhydrazyl (DPPH), with an IC50 of 3.2 µg/mL | [45] |
| 141 | Erectcyanthin B | Hyrtios erectus | Scavenged DPPH and ABTS+, with IC50 values of 0.45 and 0.40 mM, respectively | [74] |
| 141 | Erectcyanthin B | Hyrtios erectus | Activity against 3-hydroxy-3-methylglutaryl-coenzyme A reductase, with an IC50 value of 0.07 mM | [74] |
| 144 | Niphateolide A | Niphates olemda | Inhibited the p53-Hdm2 (human Mdm2) interaction, with an IC50 value of 16 µM | [83] |
| 146 | Raspadiene | Raspailia bouryesnaultae | Inhibited the replication of HSV-1 (KOS and 29R strains) at 100 µg/mL by 83% and 74%, respectively | [84] |
| 151 | 18-Nor-3,5,17-trihydroxyspongia-3,13(16),14-trien-2-one | Spongia sp. | Inhibited aromatase in a dose-dependent manner, with an IC50 value of 34.4 µM | [85] |
| 151 | 18-Nor-3,5,17-trihydroxyspongia-3,13(16),14-trien-2-one | Spongia sp. | Doubled the quinone reductase 1 (QR1) activity in cultured Hepa 1c1c7 cells at 11.2 µM | [85] |
| 209 | Gracilin J | Spongionella sp. | Restored mitochondrial activity of neurons to control levels of 98.9% ± 4.7% (p < 0.001) at 0.1 µM, reversing the 28.6% ± 3.4% decrease caused by 200 µM H2O2 treatment | [86] |
| 214 | 26-O-etfhylstrongylophorine-14 | Strongylophora strongilata | Inhibiting protein tyrosine phosphatase 1B (PTP1B), associated with type 2 diabetes, with an IC50 value of 8.7 µM | [87] |
3.2. Acanthodendrilla
3.3. Agelas
3.4. Astrosclera
3.5. Cacospongia
3.6. Chelonaplysilla
3.7. Ciocalapata
3.8. Cymbastela
3.9. Dactylospongia
3.10. Darwinella
3.11. Dendrilla
3.12. Diacarnus
3.13. Dysidea
3.14. Fascaplysinopsis
3.15. Halichondria
3.16. Haliclona
3.17. Hamigera
3.18. Hippospongia
3.19. Hyattella
3.20. Hymeniacidon
3.21. Hymerhabdia
3.22. Hyrtios
3.23. Luffariella
3.24. Niphates
3.25. Pseudoaxinella
3.26. Raspailia
3.27. Spongia
3.28. Spongionella
3.29. Strongylophora
3.30. Stylissa
3.31. Svenzea
3.32. Tedania
3.33. Theonella
3.34. Others
4. Conclusions
Author Contributions
Funding
Institutional Review Board Statement
Informed Consent Statement
Conflicts of Interest
References
- Van Soest, R.W.M.; Boury-Esnault, N.; Vacelet, J.; Dohrmann, M.; Erpenbeck, D.; De Voogd, N.J.; Santodomingo, N.; Vanhoorne, B.; Kelly, M.; Hooper, J.N.A. Global diversity of sponges (Porifera). PLoS ONE 2012, 7, e35105. [Google Scholar] [CrossRef] [PubMed]
- Carroll, A.R.; Copp, B.R.; Davis, R.A.; Keyzers, R.A.; Prinsep, M.R. Marine natural products. Nat. Prod. Rep. 2022, 39, 1122–1171. [Google Scholar] [CrossRef] [PubMed]
- Carroll, A.R.; Copp, B.R.; Davis, R.A.; Keyzers, R.A.; Prinsep, M.R. Marine natural products. Nat. Prod. Rep. 2023, 40, 275–325. [Google Scholar] [CrossRef] [PubMed]
- Carroll, A.R.; Copp, B.R.; Grkovic, T.; Keyzers, R.A.; Prinsep, M.R. Marine natural products. Nat. Prod. Rep. 2024, 41, 162–207. [Google Scholar] [CrossRef]
- Ivanchina, N.V.; Kalinin, V.I. Triterpene and steroid glycosides from marine sponges (Porifera, Demospongiae): Structures, taxonomical distribution, biological activities. Molecules 2023, 28, 2503. [Google Scholar] [CrossRef]
- Bian, C.; Wang, J.; Zhou, X.; Wu, W.; Guo, R. Recent advances on marine alkaloids from sponges. Chem. Biodivers. 2020, 17, e2000186. [Google Scholar] [CrossRef]
- Hong, L.-L.; Ding, Y.-F.; Zhang, W.; Lin, H.-W. Chemical and biological diversity of new natural products from marine sponges: A review (2009–2018). Mar. Life Sci. Technol. 2022, 4, 356–372. [Google Scholar] [CrossRef]
- Hanson, J.R. Diterpenoids. Nat. Prod. Rep. 1984, 1, 171–180. [Google Scholar] [CrossRef]
- Hanson, J.R. Diterpenoids. Nat. Prod. Rep. 1984, 1, 339–348. [Google Scholar] [CrossRef]
- Hanson, J.R. Diterpenoids. Nat. Prod. Rep. 1984, 1, 533–544. [Google Scholar] [CrossRef]
- Hanson, J.R. Diterpenoids. Nat. Prod. Rep. 2009, 26, 1156–1171. [Google Scholar] [CrossRef] [PubMed]
- Hanson, J.R. Diterpenoids of terrestrial origin. Nat. Prod. Rep. 2011, 28, 1755–1772. [Google Scholar] [CrossRef] [PubMed]
- Qiu, P.; Xia, J.; Zhang, H.; Lin, D.; Shao, Z. A review of diterpenes from marine-derived fungi: 2009–2021. Molecules 2022, 27, 8303. [Google Scholar] [CrossRef] [PubMed]
- Mehbub, M.F.; Yang, Q.; Cheng, Y.; Franco, C.M.M.; Zhang, W. Marine sponge-derived natural products: Trends and opportunities for the decade of 2011–2020. Front. Mar. Sci. 2024, 11, 1462825. [Google Scholar] [CrossRef]
- Mehbub, M.F.; Perkins, M.V.; Zhang, W.; Franco, C.M.M. New marine natural products from sponges (Porifera) of the order Dictyoceratida (2001 to 2012); a promising source for drug discovery, exploration and future prospects. Biotechnol. Adv. 2016, 34, 473–491. [Google Scholar] [CrossRef]
- Elgoud Said, A.A.; Mahmoud, B.K.; Attia, E.Z.; Abdelmohsen, U.R.; Fouad, M.A. Bioactive natural products from marine sponges belonging to family Hymedesmiidae. RSC Adv. 2021, 11, 16179–16191. [Google Scholar] [CrossRef]
- Li, F.; Kelly, M.; Tasdemir, D. Chemistry, chemotaxonomy and biological activity of the Latrunculid sponges (order Poecilosclerida, family Latrunculiidae). Mar. Drugs 2021, 19, 27. [Google Scholar] [CrossRef]
- Shady, N.H.; Fouad, M.A.; Kamel, M.S.; Schirmeister, T.; Abdelmohsen, U.R. Natural product repertoire of the genus Amphimedon. Mar. Drugs 2019, 17, 19. [Google Scholar] [CrossRef]
- He, Q.; Miao, S.; Ni, N.; Man, Y.; Gong, K. A review of the secondary metabolites from the marine sponges of the genus Aaptos. Nat. Prod. Commun. 2020, 15, 1934578X2095143. [Google Scholar] [CrossRef]
- de Sousa, L.H.N.; de Araujo, R.D.; Sousa-Fontoura, D.; Menezes, F.G.; Araujo, R.M. Metabolities from marine sponges of the genus Callyspongia: Occurrence, biological activity, and NMR data. Mar. Drugs 2021, 19, 663. [Google Scholar] [CrossRef]
- Zhu, J.; Liu, Y.; Liu, Z.; Wang, H.; Zhang, H. Bioactive nitrogenous secondary metabolites from the marine sponge genus Haliclona. Mar. Drugs 2019, 17, 682. [Google Scholar] [CrossRef] [PubMed]
- Lee, Y.-J.; Cho, Y.; Huynh Nguyen Khanh, T. Secondary metabolites from the marine sponges of the genus Petrosia: A literature review of 43 years of research. Mar. Drugs 2021, 19, 122. [Google Scholar] [CrossRef] [PubMed]
- Caso, A.; da Silva, F.B.; Esposito, G.; Teta, R.; Sala, G.D.; Cavalcanti, L.P.A.N.; Valverde, A.L.; Martins, R.C.C.; Costantino, V. Exploring chemical diversity of Phorbas sponges as a source of novel lead compounds in drug discovery. Mar. Drugs 2021, 19, 667. [Google Scholar] [CrossRef]
- Bai, X.; Liu, Y.; Wang, H.; Zhang, H. Natural products from the marine sponge subgenus Reniera. Molecules 2021, 26, 1097. [Google Scholar] [CrossRef]
- Wu, Q.; Nay, B.; Yang, M.; Ni, Y.; Wang, H.; Yao, L.; Li, X. Marine sponges of the genus Stelletta as promising drug sources: Chemical and biological aspects. Acta Pharm. Sin. B 2019, 9, 237–257. [Google Scholar] [CrossRef]
- El-Demerdash, A.; Atanasov, A.G.; Horbanczuk, O.K.; Tammam, M.A.; Abdel-Mogib, M.; Hooper, J.N.A.; Sekeroglu, N.; Al-Mourabit, A.; Kijjoa, A. Chemical diversity and biological activities of marine sponges of the genus Suberea: A systematic review. Mar. Drugs 2019, 17, 115. [Google Scholar] [CrossRef]
- Campos Aguiar, A.C.; Parisi, J.R.; Granito, R.N.; Freitas de Sousa, L.R.; Muniz Renno, A.C.; Gazarini, M.L. Metabolites from marine sponges and their potential to treat malarial protozoan parasites infection: A systematic review. Mar. Drugs 2021, 19, 134. [Google Scholar] [CrossRef]
- Khan, S.; Al-Fadhli, A.A.; Tilvi, S. Discovery of cytotoxic natural products from Red Sea sponges: Structure and synthesis. Eur. J. Med. Chem. 2021, 220, 113491. [Google Scholar] [CrossRef] [PubMed]
- Ramanjooloo, A.; Andersen, R.J.; Bhaw-Luximon, A. Marine sponge-derived/inspired drugs and their applications in drug delivery systems. Futur. Med. Chem. 2021, 13, 487–504. [Google Scholar] [CrossRef]
- Xu, Y.; Lang, J.H.; Jiao, W.H.; Wang, R.P.; Peng, Y.; Song, S.J.; Zhang, B.H.; Lin, H.W. Formamido-diterpenes from the South China Sea sponge Acanthella cavernosa. Mar. Drugs 2012, 10, 1445–1458. [Google Scholar] [CrossRef]
- Wu, Q.; Chen, W.T.; Li, S.W.; Ye, J.Y.; Huan, X.J.; Gavagnin, M.; Yao, L.G.; Wang, H.; Miao, Z.H.; Li, X.W.; et al. Cytotoxic nitrogenous terpenoids from two South China Sea nudibranchs Phyllidiella pustulosa, Phyllidia coelestis, and their sponge-prey Acanthella cavernosa. Mar. Drugs 2019, 17, 56. [Google Scholar] [CrossRef] [PubMed]
- Xu, Y.; Li, N.; Jiao, W.-H.; Wang, R.-P.; Peng, Y.; Qi, S.-H.; Song, S.-J.; Chen, W.-S.; Lin, H.-W. Antifouling and cytotoxic constituents from the South China Sea sponge Acanthella cavernosa. Tetrahedron 2012, 68, 2876–2883. [Google Scholar] [CrossRef]
- Sun, J.-Z.; Chen, K.-S.; Yao, L.-G.; Liu, H.-L.; Guo, Y.-W. A new kalihinol diterpene from the Hainan sponge Acanthella sp. Arch. Pharmacal Res. 2009, 32, 1581–1584. [Google Scholar] [CrossRef]
- Pettit, G.R.; Tang, Y.; Zhang, Q.; Bourne, G.T.; Arm, C.A.; Leet, J.E.; Knight, J.C.; Pettit, R.K.; Chapuis, J.C.; Doubek, D.L.; et al. Isolation and structures of axistatins 1–3 from the Republic of Palau marine sponge Agelas axifera Hentschel. J. Nat. Prod. 2013, 76, 420–424. [Google Scholar] [CrossRef]
- Li, T.; Wang, B.; de Voogd, N.J.; Tang, X.-L.; Wang, Q.; Chu, M.-J.; Li, P.-L.; Li, G.-Q. Two new diterpene alkaloids from the South China Sea Sponge Agelas aff. nemoechinata. Chin. Chem. Lett. 2016, 27, 1048–1051. [Google Scholar] [CrossRef]
- An, L.; Song, W.; Tang, X.; de Voogd, N.J.; Wang, Q.; Chu, M.; Li, P.; Li, G. Alkaloids and polyketides from the South China Sea sponge Agelas aff. nemoechinata. RSC Adv. 2017, 7, 14323–14329. [Google Scholar] [CrossRef]
- Hong, L.-L.; Sun, J.-B.; Yang, F.; Liu, M.; Tang, J.; Sun, F.; Jiao, W.-H.; Wang, S.-P.; Zhang, W.; Lin, H.-W. New diterpene alkaloids from the marine sponge Agelas mauritiana. RSC Adv. 2017, 7, 23970–23976. [Google Scholar] [CrossRef]
- Chu, M.J.; Tang, X.L.; Qin, G.F.; Sun, Y.T.; Li, L.; de Voogd, N.J.; Li, P.L.; Li, G.Q. Pyrrole derivatives and diterpene alkaloids from the South China Sea Sponge Agelas nakamurai. Chem. Biodivers. 2017, 14, e1600446. [Google Scholar] [CrossRef]
- Hertiani, T.; Edrada-Ebel, R.; Ortlepp, S.; van Soest, R.W.M.; de Voogd, N.J.; Wray, V.; Hentschel, U.; Kozytska, S.; Mueller, W.E.G.; Proksch, P. From anti-fouling to biofilm inhibition: New cytotoxic secondary metabolites from two Indonesian Agelas sponges. Bioorg. Med. Chem. 2010, 18, 1297–1311. [Google Scholar] [CrossRef]
- Paulsen, B.; Fredriksen, K.A.; Petersen, D.; Maes, L.; Matheeussen, A.; Naemi, A.O.; Scheie, A.A.; Simm, R.; Ma, R.; Wan, B.J.; et al. Synthesis and antimicrobial activities of N6-hydroxyagelasine analogs and revision of the structure of ageloximes. Bioorg. Med. Chem. 2019, 27, 620–629. [Google Scholar] [CrossRef]
- Choi, C.; Cho, Y.; Son, A.; Shin, S.W.; Lee, Y.J.; Park, H.C. Therapeutic potential of (−)-agelamide D, a diterpene alkaloid from the marine sponge Agelas sp., as a natural radiosensitizer in hepatocellular carcinoma models. Mar. Drugs 2020, 18, 500. [Google Scholar] [CrossRef] [PubMed]
- Agena, M.; Tanaka, C.; Hanif, N.; Yasumoto-Hirose, M.; Tanaka, J. New cytotoxic spongian diterpenes from the sponge Dysideai cf. arenaria. Tetrahedron 2009, 65, 1495–1499. [Google Scholar] [CrossRef]
- Shingaki, M.; Wauke, T.; Ahmadi, P.; Tanaka, J. Four cytotoxic spongian diterpenes from the sponge Dysidea cf. arenaria. Chem. Pharm. Bull. 2016, 64, 272–275. [Google Scholar] [CrossRef] [PubMed]
- Tian, Y.-Q.; Gu, B.-B.; Jiao, W.-H.; Lin, H.-W. Four homoverrucosane-type diterpenes from the marine sponge Halichondria sp. Tetrahedron 2020, 76, 131697. [Google Scholar] [CrossRef]
- Trianto, A.; Hermawan, I.; de Voogd, N.J.; Tanaka, J. Halioxepine, a new meroditerpene from an Indonesian sponge Haliclona sp. Chem. Pharm. Bull. 2011, 59, 1311–1313. [Google Scholar] [CrossRef] [PubMed]
- Dattelbaum, J.D.; Singh, A.J.; Field, J.J.; Miller, J.H.; Northcote, P.T. The nitrogenous hamigerans: Unusual amino acid-derivatized aromatic diterpenoid metabolites from the New Zealand marine sponge Hamigera tarangaensis. J. Org. Chem. 2015, 80, 304–312. [Google Scholar] [CrossRef]
- Ahmadi, P.; Haruyama, T.; Kobayashi, N.; de Voogd, N.J.; Tanaka, J. Spongian diterpenes from the sponge Hyattella aff. intestinalis. Chem. Pharm. Bull. 2017, 65, 874–877. [Google Scholar] [CrossRef]
- Luo, X.-C.; Wang, Q.; Tang, X.-L.; Li, P.-L.; Li, G.-Q. One cytotoxic steroid and other two new metabolites from the South China Sea sponge Luffariella variabilis. Tetrahedron Lett. 2021, 65, 152762. [Google Scholar] [CrossRef]
- Lamoral-Theys, D.; Fattorusso, E.; Mangoni, A.; Perinu, C.; Kiss, R.; Costantino, V. Evaluation of the antiproliferative activity of diterpene isonitriles from the sponge Pseudoaxinella flava in apoptosis-sensitive and apoptosis-resistant cancer cell lines. J. Nat. Prod. 2011, 74, 2299–2303. [Google Scholar] [CrossRef]
- Pech-Puch, D.; Rodríguez, J.; Cautain, B.; Sandoval-Castro, C.A.; Jimenez, C. Cytotoxic furanoditerpenes from the sponge Spongia tubulifera collected in the Mexican Caribbean. Mar. Drugs 2019, 17, 416. [Google Scholar] [CrossRef]
- Liang, Y.-Q.; Liao, X.-J.; Zhao, B.-X.; Xu, S.-H. Novel 3,4-seco-3,19-dinorspongian and 5,17-epoxy-19-norspongian diterpenes from the marine sponge Spongia sp. Org. Chem. Front. 2020, 7, 3253–3261. [Google Scholar] [CrossRef]
- Jin, T.; Li, P.; Wang, C.; Tang, X.; Yv, X.; Li, K.; Luo, L.; Ou, H.; Li, G. Two new spongian diterpene derivatives from the aquaculture sponge Spongia officinalis Linnaeus, 1759. Nat. Prod. Res. 2021, 37, 216–226. [Google Scholar] [CrossRef] [PubMed]
- Jomori, T.; Setiawan, A.; Sasaoka, M.; Arai, M. Cytotoxicity of new diterpene alkaloids, ceylonamides G-I, isolated from Indonesian marine sponge of Spongia sp. Nat. Prod. Commun. 2019, 14, 1934578X1985729. [Google Scholar] [CrossRef]
- Rateb, M.E.; Houssen, W.E.; Schumacher, M.; Harrison, W.T.; Diederich, M.; Ebel, R.; Jaspars, M. Bioactive diterpene derivatives from the marine sponge Spongionella sp. J. Nat. Prod. 2009, 72, 1471–1476. [Google Scholar] [CrossRef] [PubMed]
- Dyshlovoy, S.A.; Shubina, L.K.; Makarieva, T.N.; Hauschild, J.; Strewinsky, N.; Guzii, A.G.; Menshov, A.S.; Popov, R.S.; Grebnev, B.B.; Busenbender, T.; et al. New diterpenes from the marine sponge Spongionella sp. overcome drug resistance in prostate cancer by inhibition of P-glycoprotein. Sci. Rep. 2022, 12, 13570. [Google Scholar] [CrossRef]
- Barber, J.M.; Leahy, D.C.; Miller, J.H.; Northcote, P.T. Luakuliides A–C, cytotoxic labdane diterpenes from a Tongan dictyoceratid sponge. Tetrahedron Lett. 2015, 56, 6314–6318. [Google Scholar] [CrossRef]
- Uddin, M.H.; Hossain, M.K.; Nigar, M.; Roy, M.C.; Tanaka, J. New cytotoxic spongian-class rearranged diterpenes from a marine sponge. Chem. Nat. Compd. 2012, 48, 412–415. [Google Scholar] [CrossRef]
- Abdjul, D.B.; Yamazaki, H.; Kanno, S.; Takahashi, O.; Kirikoshi, R.; Ukai, K.; Namikoshi, M. Structures and biological evaluations of agelasines isolated from the Okinawan marine sponge Agelas nakamurai. J. Nat. Prod. 2015, 78, 1428–1433. [Google Scholar] [CrossRef]
- Pech-Puch, D.; Forero, A.M.; Carlos Fuentes-Monteverde, J.; Lasarte-Monterrubio, C.; Martinez-Guitian, M.; Gonzalez-Salas, C.; Guillen-Hernandez, S.; Villegas-Hernandez, H.; Beceiro, A.; Griesinger, C.; et al. Antimicrobial diterpene alkaloids from an Agelas citrina sponge collected in the Yucatán Peninsula. Mar. Drugs 2022, 20, 298. [Google Scholar] [CrossRef]
- Kubota, T.; Iwai, T.; Takahashi-Nakaguchi, A.; Fromont, J.; Gonoi, T.; Kobayashi, J.I. Agelasines O–U, new diterpene alkaloids with a 9-N-methyladenine unit from a marine sponge Agelas sp. Tetrahedron 2012, 68, 9738–9744. [Google Scholar] [CrossRef]
- Yu, H.-B.; Gu, B.-B.; Wang, S.-P.; Cheng, C.-W.; Yang, F.; Lin, H.-W. New diterpenoids from the marine sponge Dactylospongia elegans. Tetrahedron 2017, 73, 6657–6661. [Google Scholar] [CrossRef]
- Bory, A.; Shilling, A.J.; Allen, J.; Azhari, A.; Roth, A.; Shaw, L.N.; Kyle, D.E.; Adams, J.H.; Amsler, C.D.; McClintock, J.B.; et al. Bioactivity of spongian diterpenoid scaffolds from the Antarctic sponge Dendrilla antarctica. Mar. Drugs 2020, 18, 327. [Google Scholar] [CrossRef] [PubMed]
- von Salm, J.L.; Witowski, C.G.; Fleeman, R.M.; McClintock, J.B.; Amsler, C.D.; Shaw, L.N.; Baker, B.J. Darwinolide, a new diterpene scaffold that inhibits methicillin-resistant Staphylococcus aureus biofilm from the Antarctic sponge Dendrilla membranosa. Org. Lett. 2016, 18, 2596–2599. [Google Scholar] [CrossRef]
- Avilés, E.; Rodríguez, A.D. Monamphilectine A, a potent antimalarial β-lactam from marine sponge Hymeniacidon sp.: Isolation, structure, semisynthesis, and bioactivity. Org. Lett. 2010, 12, 5290–5293. [Google Scholar] [CrossRef] [PubMed]
- Tai, C.-J.; Ahmed, A.F.; Chao, C.-H.; Yen, C.-H.; Hwang, T.-L.; Chang, F.-R.; Huang, Y.M.; Sheu, J.-H. Spongenolactones A–C, bioactive 5,5,6,6,5-pentacyclic spongian diterpenes from the Red Sea sponge Spongia sp. Mar. Drugs 2022, 20, 498. [Google Scholar] [CrossRef]
- de Oliveira, J.A.M.; Williams, D.E.; Bonnett, S.; Johnson, J.; Parish, T.; Andersen, R.J. Diterpenoids isolated from the Samoan marine sponge Chelonaplysilla sp. inhibit Mycobacterium tuberculosis growth. J. Antibiot. 2020, 73, 568–573. [Google Scholar] [CrossRef] [PubMed]
- Avilés, E.; Rodríguez, A.D.; Vicente, J. Two rare-class tricyclic diterpenes with antitubercular activity from the Caribbean sponge Svenzea flava. Application of vibrational circular dichroism spectroscopy for determining absolute configuration. J. Org. Chem. 2013, 78, 11294–11301. [Google Scholar] [CrossRef]
- Wattanapiromsakul, C.; Chanthathamrongsiri, N.; Bussarawit, S.; Yuenyongsawad, S.; Plubrukarn, A.; Suwanborirux, K. 8-Isocyanoamphilecta-11(20),15-diene, a new antimalarial isonitrile diterpene from the sponge Ciocalapata sp. Can. J. Chem. 2009, 87, 612–618. [Google Scholar] [CrossRef]
- Wright, A.D.; Lang-Unnasch, N. Diterpene formamides from the tropical marine sponge Cymbastela hooperi and their antimalarial activity in vitro. J. Nat. Prod. 2009, 72, 492–495. [Google Scholar] [CrossRef]
- Shilling, A.J.; Witowski, C.G.; Maschek, J.A.; Azhari, A.; Vesely, B.A.; Kyle, D.E.; Amsler, C.D.; McClintock, J.B.; Baker, B.J. Spongian diterpenoids derived from the Antarctic sponge Dendrilla antarcticai are potent inhibitors of the Leishmania Parasite. J. Nat. Prod. 2020, 83, 1553–1562. [Google Scholar] [CrossRef]
- Yang, F.; Zou, Y.; Wang, R.P.; Hamann, M.T.; Zhang, H.J.; Jiao, W.H.; Han, B.N.; Song, S.J.; Lin, H.W. Relative and absolute stereochemistry of diacarperoxides: Antimalarial norditerpene endoperoxides from marine sponge Diacarnus megaspinorhabdosa. Mar. Drugs 2014, 12, 4399–4416. [Google Scholar] [CrossRef] [PubMed]
- Avilés, E.; Prudhomme, J.; Le Roch, K.G.; Rodríguez, A.D. Structures, semisyntheses, and absolute configurations of the antiplasmodial alpha-substituted beta-lactam monamphilectines B and C from the sponge Svenzea flava. Tetrahedron 2015, 71, 487–494. [Google Scholar] [CrossRef][Green Version]
- Hong, L.L.; Yu, H.B.; Wang, J.; Jiao, W.H.; Cheng, B.H.; Yang, F.; Zhou, Y.J.; Gu, B.B.; Song, S.J.; Lin, H.W. Unusual anti-allergic diterpenoids from the marine sponge Hippospongia lachne. Sci. Rep. 2017, 7, 43138. [Google Scholar] [CrossRef]
- Chakraborty, K.; Francis, P. Erectcyanthins A–C from marine sponge Hyrtios erectus: Anti-dyslipidemic agents attenuate hydroxymethylglutaryl coenzyme A reductase. Nat. Prod. Res. 2021, 36, 5676–5687. [Google Scholar] [CrossRef]
- Chen, Q.; Mao, Q.; Bao, M.; Mou, Y.; Fang, C.; Zhao, M.; Jiang, W.; Yu, X.; Wang, C.; Dai, L.; et al. Spongian diterpenes including one with a rearranged skeleton from the marine sponge Spongia officinalis. J. Nat. Prod. 2019, 82, 1714–1718. [Google Scholar] [CrossRef] [PubMed]
- Tai, C.J.; Huang, C.Y.; Ahmed, A.F.; Orfali, R.S.; Alarif, W.M.; Huang, Y.M.; Wang, Y.H.; Hwang, T.L.; Sheu, J.H. An anti-inflammatory 2,4-cyclized-3,4-secospongian diterpenoid and furanoterpene-related metabolites of a marine sponge Spongia sp. from the Red Sea. Mar. Drugs 2021, 19, 38. [Google Scholar] [CrossRef]
- Costantino, V.; Fattorusso, E.; Mangoni, A.; Perinu, C.; Cirino, G.; De Gruttola, L.; Roviezzo, F. Tedanol: A potent anti-inflammatory ent-pimarane diterpene from the Caribbean Sponge Tedania ignis. Bioorg. Med. Chem. 2009, 17, 7542–7547. [Google Scholar] [CrossRef] [PubMed]
- Prieto, I.M.; Paola, A.; Perez, M.; Garcia, M.; Blustein, G.; Schejter, L.; Palermo, J.A. Antifouling diterpenoids from the sponge Dendrilla antarctica. Chem. Biodivers. 2022, 19, e202100618. [Google Scholar] [CrossRef]
- Fang, S.T.; Yan, B.F.; Yang, C.Y.; Miao, F.P.; Ji, N.Y. Hymerhabdrin A, a novel diterpenoid with antifouling activity from the intertidal sponge Hymerhabdia sp. J. Antibiot. 2017, 70, 1043–1046. [Google Scholar] [CrossRef]
- El-Desoky, A.H.; Kato, H.; Angkouw, E.D.; Mangindaan, R.E.; de Voogd, N.J.; Tsukamoto, S. Ceylonamides A-F, nitrogenous spongian diterpenes that inhibit RANKL-induced osteoclastogenesis, from the marine sponge Spongia ceylonensis. J. Nat. Prod. 2016, 79, 1922–1928. [Google Scholar] [CrossRef]
- El-Desoky, A.H.; Kato, H.; Kagiyama, I.; Hitora, Y.; Losung, F.; Mangindaan, R.E.; de Voogd, N.J.; Tsukamoto, S. Ceylonins A-F, spongian diterpene derivatives that inhibit RANKL-induced formation of multinuclear osteoclasts, from the marine sponge Spongia ceylonensis. J. Nat. Prod. 2017, 80, 90–95. [Google Scholar] [CrossRef] [PubMed]
- Jiang, W.; Wang, D.; Wilson, B.A.P.; Kang, U.; Bokesch, H.R.; Smith, E.A.; Wamiru, A.; Goncharova, E.I.; Voeller, D.; Lipkowitz, S.; et al. Agelasine diterpenoids and Cbl-b inhibitory ageliferins from the coralline demosponge Astrosclera willeyana. Mar. Drugs 2021, 19, 361. [Google Scholar] [CrossRef] [PubMed]
- Kato, H.; Nehira, T.; Matsuo, K.; Kawabata, T.; Kobashigawa, Y.; Morioka, H.; Losung, F.; Mangindaan, R.E.P.; de Voogd, N.J.; Yokosawa, H.; et al. Niphateolide A: Isolation from the marine sponge Niphates olemda and determination of its absolute configuration by an ECD analysis. Tetrahedron 2015, 71, 6956–6960. [Google Scholar] [CrossRef]
- Lhullier, C.; de Oliveira Tabalipa, E.; Nienkotter Sarda, F.; Sandjo, L.P.; Zanchett Schneider, N.F.; Carraro, J.L.; Oliveira Simoes, C.M.; Schenkel, E.P. Clerodane diterpenes from the marine sponge Raspailia bouryesnaultae collected in South Brazil. Mar. Drugs 2019, 17, 57. [Google Scholar] [CrossRef]
- Parrish, S.M.; Yoshida, W.Y.; Kondratyuk, T.P.; Park, E.J.; Pezzuto, J.M.; Kelly, M.; Williams, P.G. Spongiapyridine and related spongians isolated from an Indonesian Spongia sp. J. Nat. Prod. 2014, 77, 1644–1649. [Google Scholar] [CrossRef]
- Leiros, M.; Sanchez, J.A.; Alonso, E.; Rateb, M.E.; Houssen, W.E.; Ebel, R.; Jaspars, M.; Alfonso, A.; Botana, L.M. Spongionella secondary metabolites protect mitochondrial function in cortical neurons against oxidative stress. Mar. Drugs 2014, 12, 700–718. [Google Scholar] [CrossRef] [PubMed]
- Lee, J.S.; Abdjul, D.B.; Yamazaki, H.; Takahashi, O.; Kirikoshi, R.; Ukai, K.; Namikoshi, M. Strongylophorines, new protein tyrosine phosphatase 1B inhibitors, from the marine sponge Strongylophora strongilata collected at Iriomote Island. Bioorg. Med. Chem. Lett. 2015, 25, 3900–3902. [Google Scholar] [CrossRef]
- Costa, M.; Fernandez, R.; Perez, M.; Thorsteinsdottir, M. Two new spongian diterpene analogues isolated from the marine sponge Acanthodendrilla sp. Nat. Prod. Res. 2020, 34, 1053–1060. [Google Scholar] [CrossRef]
- Chu, M.J.; Li, M.; Ma, H.; Li, P.L.; Li, G.Q. Secondary metabolites from marine sponges of the genus Agelas: A comprehensive update insight on structural diversity and bioactivity. RSC Adv. 2022, 12, 7789–7820. [Google Scholar] [CrossRef]
- Zhang, H.; Dong, M.; Chen, J.; Wang, H.; Tenney, K.; Crews, P. Bioactive secondary metabolites from the marine sponge genus Agelas. Mar. Drugs 2017, 15, 351. [Google Scholar] [CrossRef]
- Pejin, B.; Glumac, M. A brief review of potent anti-CNS tumourics from marine sponges: Covering the period from 1994 to 2014. Nat. Prod. Res. 2018, 32, 375–384. [Google Scholar] [CrossRef] [PubMed]
- Thawabteh, A.M.; Thawabteh, A.; Lelario, F.; Bufo, S.A.; Scrano, L. Classification, toxicity and bioactivity of natural diterpenoid alkaloids. Molecules 2021, 26, 4103. [Google Scholar] [CrossRef]
- Stout, E.P.; Yu, L.C.; Molinski, T.F. Antifungal diterpene alkaloids from the Caribbean sponge Agelas citrina: Unified configurational assignments of agelasidines and agelasines. Eur. J. Org. Chem. 2012, 2012, 5131–5135. [Google Scholar] [CrossRef] [PubMed]
- Lee, S.; Tanaka, N.; Kobayashi, J.; Kashiwada, Y. Agelamasines A and B, diterpene alkaloids from an Okinawan marine sponge Agelas sp. J. Nat. Med. 2018, 72, 364–368. [Google Scholar] [CrossRef]
- Zhang, X.; Li, P.L.; Qin, G.F.; Li, S.; de Voogd, N.J.; Tang, X.L.; Li, G.Q. Isolation and absolute configurations of diversiform C17, C21 and C25 terpenoids from the marine sponge Cacospongia sp. Mar. Drugs 2018, 17, 14. [Google Scholar] [CrossRef] [PubMed]
- Wojnar, J.M.; Dowle, K.O.; Northcote, P.T. The Oxeatamides: Nitrogenous spongian diterpenes from the New Zealand marine sponge Darwinella oxeata. J. Nat. Prod. 2014, 77, 2288–2295. [Google Scholar] [CrossRef]
- MC, A.R.; Williams, D.E.; Gubiani, J.R.; Parra, L.L.; Santos, M.F.; Ferreira, D.D.; Mesquita, J.T.; Tempone, A.G.; Ferreira, A.G.; Padula, V.; et al. Rearranged terpenoids from the marine sponge Darwinella cf. oxeata and its predator, the nudibranch Felimida grahami. J. Nat. Prod. 2017, 80, 720–725. [Google Scholar] [CrossRef]
- Hayton, J.B.; Grant, G.D.; Carroll, A.R. Three new spongian diterpenes from the marine sponge Dendrilla rosea. Aust. J. Chem. 2019, 72, 964–968. [Google Scholar] [CrossRef]
- Katavic, P.L.; Jumaryatno, P.; Hooper, J.N.A.; Blanchfield, J.T.; Garson, M.J. Oxygenated terpenoids from the Australian sponges Coscinoderma matthewsi and Dysidea sp., and the nudibranch Chromodoris albopunctata. Aust. J. Chem. 2012, 65, 531–538. [Google Scholar] [CrossRef]
- Qin, G.F.; Tang, X.L.; de Voogd, N.J.; Li, P.L.; Li, G.Q. Cytotoxic components from the Xisha sponge Fascaplysinopsis reticulata. Nat. Prod. Res. 2020, 34, 790–796. [Google Scholar] [CrossRef]
- Woolly, E.F.; Singh, A.J.; Russell, E.R.; Miller, J.H.; Northcote, P.T. Hamigerans R and S: Nitrogenous diterpenoids from the New Zealand marine sponge Hamigera tarangaensis. J. Nat. Prod. 2018, 81, 387–393. [Google Scholar] [CrossRef] [PubMed]
- Gross, H.; Wright, A.D.; Reinscheid, U.; König, G.M. Three new spongian diterpenes from the Fijian marine sponge Spongia sp. Nat. Prod. Commun. 2009, 4, 315–322. [Google Scholar] [CrossRef] [PubMed]
- El-Desoky, A.H.; Kato, H.; Tsukamoto, S. Ceylonins G-I: Spongian diterpenes from the marine sponge Spongia ceylonensis. J. Nat. Med. 2017, 71, 765–769. [Google Scholar] [CrossRef] [PubMed]
- Han, G.Y.; Sun, D.Y.; Liang, L.F.; Yao, L.G.; Chen, K.X.; Guo, Y.W. Spongian diterpenes from Chinese marine sponge Spongia officinalis. Fitoterapia 2018, 127, 159–165. [Google Scholar] [CrossRef]
- Liang, Y.-Q.; Liao, X.-J.; Lin, J.-L.; Xu, W.; Chen, G.-D.; Zhao, B.-X.; Xu, S.-H. Spongiains A–C: Three new spongian diterpenes with ring A rearrangement from the marine sponge Spongia sp. Tetrahedron 2019, 75, 3802–3808. [Google Scholar] [CrossRef]
- Jin, T.; Li, P.; Wang, C.; Tang, X.; Yu, X.; Sun, F.; Luo, L.; Ou, H.; Li, G. Jellynolide A, pokepola esters, and sponalisolides from the aquaculture sponge Spongia officinalis L. Phytochemistry 2022, 194, 113006. [Google Scholar] [CrossRef]
- Liang, Y.; Liao, X.; Ling, L.; Yang, Y.; Zhao, B.; Xu, S. A new dinorspongian diterpene with pyridyl D-ring from the marine sponge Spongia sp. Chin. J. Org. Chem. 2022, 42, 901–904. [Google Scholar] [CrossRef]
- Chanthathamrongsiri, N.; Yuenyongsawad, S.; Wattanapiromsakul, C.; Plubrukarn, A. Bifunctionalized amphilectane diterpenes from the sponge Stylissa cf. massa. J. Nat. Prod. 2012, 75, 789–792. [Google Scholar] [CrossRef]
- Ota, K.; Hamamoto, Y.; Eda, W.; Tamura, K.; Sawada, A.; Hoshino, A.; Mitome, H.; Kamaike, K.; Miyaoka, H. Amitorines A and B, nitrogenous diterpene metabolites of Theonella swinhoei: Isolation, structure elucidation, and asymmetric synthesis. J. Nat. Prod. 2016, 79, 996–1004. [Google Scholar] [CrossRef]
- Taufa, T.; Subramani, R.; Northcote, P.T.; Keyzers, R.A. Natural products from Tongan marine organisms. Molecules 2021, 26, 4534. [Google Scholar] [CrossRef]
- Saha, P.; Rahman, F.I.; Hussain, F.; Rahman, S.M.A.; Rahman, M.M. Antimicrobial diterpenes: Recent development from natural sources. Front. Pharmacol. 2022, 12, 820312. [Google Scholar] [CrossRef] [PubMed]

















Disclaimer/Publisher’s Note: The statements, opinions and data contained in all publications are solely those of the individual author(s) and contributor(s) and not of MDPI and/or the editor(s). MDPI and/or the editor(s) disclaim responsibility for any injury to people or property resulting from any ideas, methods, instructions or products referred to in the content. |
© 2024 by the authors. Licensee MDPI, Basel, Switzerland. This article is an open access article distributed under the terms and conditions of the Creative Commons Attribution (CC BY) license (https://creativecommons.org/licenses/by/4.0/).
Share and Cite
Xia, J.; Chen, X.; Li, G.; Qiu, P.; Wang, W.; Shao, Z. A Review of Sponge-Derived Diterpenes: 2009–2022. Mar. Drugs 2024, 22, 447. https://doi.org/10.3390/md22100447
Xia J, Chen X, Li G, Qiu P, Wang W, Shao Z. A Review of Sponge-Derived Diterpenes: 2009–2022. Marine Drugs. 2024; 22(10):447. https://doi.org/10.3390/md22100447
Chicago/Turabian StyleXia, Jinmei, Xiangwei Chen, Guangyu Li, Peng Qiu, Weiyi Wang, and Zongze Shao. 2024. "A Review of Sponge-Derived Diterpenes: 2009–2022" Marine Drugs 22, no. 10: 447. https://doi.org/10.3390/md22100447
APA StyleXia, J., Chen, X., Li, G., Qiu, P., Wang, W., & Shao, Z. (2024). A Review of Sponge-Derived Diterpenes: 2009–2022. Marine Drugs, 22(10), 447. https://doi.org/10.3390/md22100447

