Stonikacidin A, an Antimicrobial 4-Bromopyrrole Alkaloid Containing L-Idonic Acid Core from the Northwestern Pacific Marine Sponge Lissodendoryx papillosa
Abstract
1. Introduction
2. Results and Discussion
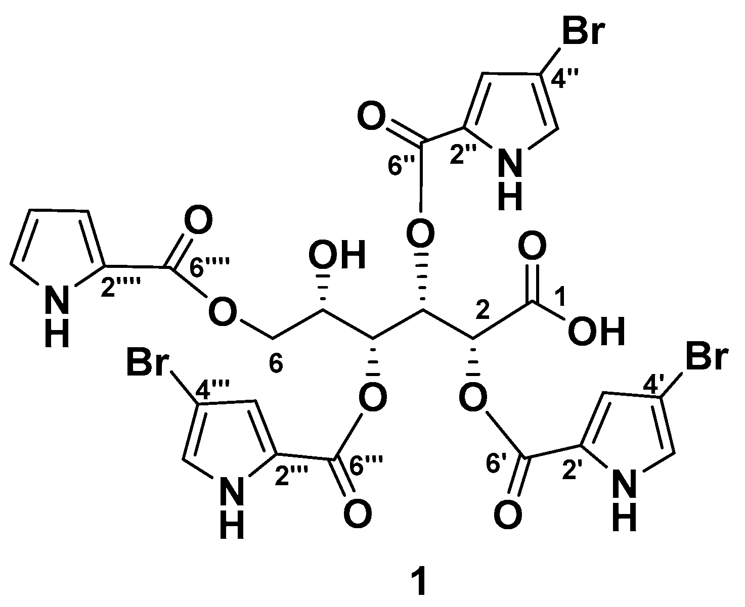
2.1. Isolation and Structure Elucidation
2.2. Proposed Biosynthetic Pathways for the Formation of Stonikacidin A (1)
2.3. Study of the Biological Activity of Stonikacidin A (1)
2.3.1. Antimicrobial Assay
2.3.2. Cytotoxic Activity
3. Materials and Methods
3.1. General Procedures
3.2. Animal Material
3.3. Extraction and Isolation
3.4. Compounds Characterization Data
3.5. Alkaline Hydrolysis Followed by Acetylation of Stonikacidin A (1)
3.6. Synthesis of D-Idose
3.7. Synthesis of L-Idose
3.8. Synthesis of Acetylated Methyl Aldonates
3.9. Determination of Absolute Configurations of the Idonic Acid Residue in Stonikacidin A (1)
3.10. Bioactivity Assay
3.10.1. Antimicrobial Action
Microbial Strains and Antimicrobial Assays
Sortase A Activity Inhibition Assay
Molecular Docking
3.10.2. Cytotoxic Activity Assay
Reagents and Antibodies for Biological Experiments
Cell Lines and Culture Conditions
MTT Assay
Statistical Analysis
4. Conclusions
Supplementary Materials
Author Contributions
Funding
Institutional Review Board Statement
Data Availability Statement
Acknowledgments
Conflicts of Interest
References
- Carroll, A.R.; Copp, B.R.; Grkovic, T.; Keyzers, R.A.; Prinsep, M.R. Marine Natural Products. Nat. Prod. Rep. 2024, 41, 162–207. [Google Scholar] [CrossRef]
- Mahamed, S.; Motal, R.; Govender, T.; Dlamini, N.; Khuboni, K.; Hadeb, Z.; Shaik, B.B.; Moodley, K.; Mohite, S.B.; Karpoormath, R. A concise review on marine bromopyrrole alkaloids as anticancer agents. Bioorg. Med. Chem. Lett. 2023, 80, 129102. [Google Scholar] [CrossRef] [PubMed]
- Chu, M.-J.; Li, M.; Zhao, Y. Dimeric pyrrole-imidazole alkaloids: Sources, structures, bioactivities and biosynthesis. Bioorg. Chem. 2023, 133, 106332. [Google Scholar] [CrossRef] [PubMed]
- Chu, M.J.; Li, M.; Ma, H.; Li, P.L.; Li, G.Q. Secondary metabolites from marine sponges of the genus Agelas: A comprehensive update insight on structural diversity and bioactivity. RSC Adv. 2022, 12, 7789–7820. [Google Scholar] [CrossRef]
- Hong, L.L.; Ding, Y.F.; Zhang, W.; Lin, H.W. Chemical and biological diversity of new natural products from marine sponges: A review (2009–2018). Mar. Life Sci. Technol. 2022, 4, 356–372. [Google Scholar] [CrossRef] [PubMed]
- Lima, E.; Medeiros, J. Marine organisms as alkaloid biosynthesizers of potential anti-Alzheimer agents. Mar. Drugs 2022, 20, 75. [Google Scholar] [CrossRef] [PubMed]
- Bian, C.; Wang, J.; Zhou, X.; Wu, W.; Guo, R. Recent advances on marine alkaloids from sponges. Chem. Biodivers. 2020, 17, e2000186. [Google Scholar] [CrossRef] [PubMed]
- Moodie, L.W.K.; Sepcic, K.; Turk, T.; Frangez, R.; Svenson, J. Natural cholinesterase inhibitors from marine organisms. Nat. Prod. Rep. 2019, 36, 1053–1092. [Google Scholar] [CrossRef]
- Sun, J.; Wu, J.; An, B.; De Voogd, N.J.; Cheng, W.; Lin, W. Bromopyrrole alkaloids with the inhibitory effects against the biofilm formation of gram negative bacteria. Mar. Drugs 2018, 16, 9. [Google Scholar] [CrossRef]
- Zhang, H.; Dong, M.; Chen, J.; Wang, H.; Tenney, K.; Crews, P. Bioactive secondary metabolites from the marine sponge genus Agelas. Mar. Drugs 2017, 15, 351. [Google Scholar] [CrossRef]
- Tanaka, N.; Kusama, T.; Kashiwada, Y.; Kobayashi, J. Bromopyrrole alkaloids from Okinawan marine sponges Agelas spp. Chem. Pharm. Bull. 2016, 64, 691–694. [Google Scholar] [CrossRef]
- Han, S.; Siegel, D.S.; Morrison, K.C.; Hergenrother, P.J.; Movassaghi, M. Synthesis and anticancer activity of all known (−)—Agelastatin alkaloids. J. Org. Chem. 2013, 78, 11970–11984. [Google Scholar] [CrossRef] [PubMed]
- Forte, B.; Malgesini, B.; Piutti, C.; Quartieri, F.; Scolaro, A.; Papeo, G. A Submarine Journey: The pyrrole-imidazole alkaloids. Mar. Drugs 2009, 7, 705–753. [Google Scholar] [CrossRef] [PubMed]
- Braekman, J.C.; Daloze, D.; Stoller, C.; Van Soest, R.W.M. Chemotaxonomy of Agelas (Porifera: Demospongiae). Biochem. Syst. Ecol. 1992, 20, 417–431. [Google Scholar] [CrossRef]
- Aiello, A.; D’Esposito, M.; Fattorusso, E.; Menna, M.; Muller, W.E.G.; Perovic-Ottstadt, S.; Schroder, H.C. Novel bioactive bromopyrrole alkaloids from the Mediterranean sponge Axinella verrucosa. Bioorg. Med. Chem. 2006, 14, 17–24. [Google Scholar] [CrossRef]
- Utkina, N.K.; Fedoreev, S.A.; Maksimov, O.B. Nitrogen-containing metabolites of the marine sponge Acanthella carteri. Chem. Nat. Compd. 1984, 20, 511–512. [Google Scholar] [CrossRef]
- Kobayashi, J.; Ohizumi, Y.; Nakamura, H.; Hirata, Y.; Wakamatsu, K.; Miyazawa, T. Hymenin, a novel α-adrenoceptor blocking agent from the Okinawan marine sponge Hymeniacidon sp. Experientia 1986, 42, 1064–1065. [Google Scholar] [CrossRef]
- Sirimangkalakitti, N.; Harada, K.; Yamada, M.; Arai, M.; Arisawa, M.A. New tetracyclic bromopyrrole-imidazole derivative through direct chemical diversification of substances present in natural product extract from marine sponge Petrosia (Strongylophora) sp. Molecules 2023, 28, 143. [Google Scholar] [CrossRef]
- Patel, K.; Laville, R.; Martin, M.T.; Tilvi, S.; Moriou, C.; Gallard, J.F.; Ermolenko, L.; Debitus, C.; Al-Mourabit, A. Unprecedented stylissazoles A-C from Stylissa carteri: Another dimension for marine pyrrole-2-aminoimidazole metabolite diversity. Angew. Chem. 2010, 49, 4775–4779. [Google Scholar] [CrossRef]
- Tsukamoto, S.; Kato, H.; Hirota, H.; Fusetani, N. Ceratinamides A and B: New antifouling dibromotyrosine derivatives from the marine sponge Pseudoceratina purpurea. Tetrahedron 1996, 52, 8181–8186. [Google Scholar] [CrossRef]
- Cychon, C.; Lichte, E.; Köck, M. The marine sponge Agelas citrina as a source of the new pyrrole–imidazole alkaloids citrinamines A–D and N-methylagelongine. Beilstein J. Org. Chem. 2015, 11, 2029–2037. [Google Scholar] [CrossRef] [PubMed]
- Cafieri, F.; Fattorusso, E.; Mangoni, A.; Taglialatela-Scafati, O. A novel bromopyrrole alkaloid from the sponge Agelas longissimi with antiserotonergic activity. Bioorg. Med. Chem. Lett. 1995, 5, 799–804. [Google Scholar] [CrossRef]
- Aiello, A.; D’Esposito, M.; Fattorusso, E.; Menna, M.; Muller, W.E.G.; Perovic-Ottstadt, S.; Tsuruta, H.; Gulder, T.A.M.; Bringmann, G. Daminin, a bioactive pyrrole alkaloid from the Mediterranean sponge Axinella Damicornis. Tetrahedron 2005, 61, 7266–7270. [Google Scholar] [CrossRef]
- Kobayashi, J.; Kanda, F.; Ishibashi, M.; Shigemori, H. Manzacidins A–C, novel tetrahydropyrimidine alkaloids from the Okinawan marine sponge Hymeniacidon sp. J. Org. Chem. 1991, 56, 4574–4576. [Google Scholar] [CrossRef]
- Kudryashova, E.K.; Makarieva, T.N.; Shubina, L.K.; Guzii, A.G.; Popov, R.S.; Menshov, A.S.; Berdyshev, D.V.; Pislyagin, E.A.; Menchinskaya, E.S.; Grebnev, B.B.; et al. Assimiloside a, a glycolipid with immunomodulatory activity from the northwestern pacific marine sponge Hymeniacidon Assim. J. Nat. Prod. 2023, 86, 2073–2078. [Google Scholar] [CrossRef]
- Lyakhova, E.G.; Kolesnikova, S.A.; Kalinovsky, A.I.; Berdyshev, D.V.; Pislyagin, E.A.; Kuzmich, A.S.; Popov, R.S.; Dmitrenok, P.S.; Makarieva, T.N.; Stonik, V.A. Lissodendoric acids A and B, manzamine-related alkaloids from the Far Eastern sponge Lissodendoryx Fla. Org. Lett. 2017, 19, 5320–5323. [Google Scholar] [CrossRef] [PubMed]
- Ushiyama, S.; Umaoka, H.; Kato, H.; Suwa, Y.; Morioka, H.; Rotinsulu, H.; Losung, F.; Mangindaan, R.E.P.; de Voogd, N.J.; Yokosawa, H.; et al. Manadosterols A and B, sulfonated sterol dimers inhibiting the Ubc13−Uev1A interaction, isolated from the marine sponge Lissodendoryx fibrosa. J. Nat. Prod. 2012, 75, 1495–1499. [Google Scholar] [CrossRef]
- Fontana, A.; Ciavatta, M.L.; Amodeo, P.; Cimino, G. Single solution phase conformation of new antiproliferative cembranes. Tetrahedron 1999, 55, 1143–1152. [Google Scholar] [CrossRef]
- Aiello, A.; Fattorusso, E.; Giordano, A.; Menna, M.; Muller, W.E.G.; Perovic-Ottstadt, S.; Schroder, H.C. Damipipecolin and damituricin, novel bioactive bromopyrrole alkaloids from the Mediterranean sponge Axinella damicornis. Bioorg. Med. Chem. 2007, 15, 5877–5887. [Google Scholar] [CrossRef] [PubMed]
- Foley, L.H.; Habgood, G.J.; Gallagher, K.S. Assignment of the 13C NMR shifts of brominated pyrrole derivatives. Magn. Reson. Chem. 1988, 26, 1037. [Google Scholar] [CrossRef]
- Nam, K.H. Glucose isomerase: Functions, structures, and applications. Appl. Sci. 2022, 12, 428. [Google Scholar] [CrossRef]
- Chen, Z.; Chen, J.; Zhang, W.; Zhang, T.; Guang, C.; Mu, W. Recent research on the physiological functions, applications, and biotechnological production of D-allose. Appl. Microbiol. Biotechnol. 2018, 102, 4269–4278. [Google Scholar] [CrossRef] [PubMed]
- Chen, Z.; Zhang, W.; Zhang, T.; Jiang, B.; Mu, W. Advances in the enzymatic production of L-hexoses. Appl. Microbiol. Biotechnol. 2016, 100, 6971–6979. [Google Scholar] [CrossRef]
- Carter-Franklin, J.N.; Butler, A. Vanadium bromoperoxidase-catalyzed biosynthesis of halogenated marine natural products. J. Am. Chem. Soc. 2004, 126, 15060–15066. [Google Scholar] [CrossRef]
- Hassan, R.M.; El-Maksoud, M.S.A.; Ghannam, I.A.Y.; El-Azzouny, A.A.S.; Aboul-Enein, M.N. Synthetic non-toxic anti-biofilm agents as a strategy in combating bacterial resistance. Eur. J. Med. Chem. 2023, 262, 115867. [Google Scholar] [CrossRef]
- Cascioferro, S.; Totsika, M.; Schillaci, D. Sortase A: An ideal target for anti-virulence drug development. Microb. Pathog. 2014, 77, 105–112. [Google Scholar] [CrossRef] [PubMed]
- Krishna, M.S.A.; Mohan, S.; Ashitha, K.T.; Chandramouli, M.; Kumaran, A.; Ningaiah, S.; Babu, K.S.; Somappa, S.B. Marine based natural products: Exploring the recent developments in the identification of antimicrobial agents. Chem. Biodivers. 2022, 19, 202200513. [Google Scholar] [CrossRef]
- Campana, R.; Favi, G.; Baffone, W.; Lucarini, S. Marine alkaloid 2,2-bis(6-bromo-3-indolyl) ethylamine and its synthetic derivatives inhibit microbial biofilms formation and disaggregate developed biofilms. Microorganisms 2019, 7, 28. [Google Scholar] [CrossRef]
- Stowe, S.D.; Richards, J.J.; Tucker, A.T.; Thompson, R.; Melander, C.; Cavanagh, J. Anti-biofilm compounds derived from marine sponges. Mar. Drugs 2011, 9, 2010–2035. [Google Scholar] [CrossRef]
- Won, T.H.; Jeon, J.-E.; Kim, S.-H.; Lee, S.-H.; Rho, B.J.; Oh, D.-C.; Oh, K.-B.; Shin, J. Brominated aromatic furanones and related esters from the ascidian Synoicum sp. J. Nat. Prod. 2012, 75, 2055–2061. [Google Scholar] [CrossRef]
- Bae, J.; Cho, E.; Park, J.S.; Won, T.H.; Seo, S.Y.; Oh, D.C.; Oh, K.B.; Shin, J. Isocadiolides A–H: Polybrominated aromatics from a Synoicum sp. ascidian. J. Nat. Prod. 2020, 83, 429–437. [Google Scholar] [CrossRef] [PubMed]
- Zong, Y.; Bice, W.; Ton-That, H.; Schneewind, O.; Narayana, S.V.L. Crystal structures of Staphylococcus aureus sortase A and its substrate complex. J. Biol. Chem. 2004, 279, 1383–31389. [Google Scholar] [CrossRef]
- Campanella, B.; Onor, M.; Ferrari, C.; D’Ulivo, A.; Bramanti, E. Direct, simple derivatization of disulfide bonds in proteins with organic mercury in alkaline medium without any chemical pre-reducing agents. Anal. Chim. Acta 2014, 843, 1–6. [Google Scholar] [CrossRef] [PubMed]
- Kudryavtsev, K.V.; Fedotcheva, T.A.; Shimanovsky, N.L. Inhibitors of sortases of gram-positive bacteria and their role in the treatment of infectious diseases (review). Pharm. Chem. J. 2021, 55, 751–756. Available online: https://link.springer.com/article/10.1007/s11094-021-02488-9 (accessed on 16 July 2024). [CrossRef]
- Hamilton, D.J.; Ábrányi-Balogh, P.; Keeley, A.; Petri, L.; Hrast, M.; Imre, T.; Wijtmans, M.; Gobec, S.; Esch, I.J.P.; Keserű, G.M. Bromo-cyclobutenaminones as new covalent UDP-N-acetylglucosamine enolpyruvyl transferase (MurA) inhibitors. Pharmaceuticals 2020, 13, 362. [Google Scholar] [CrossRef] [PubMed]
- Skarzynski, T.; Mistry, A.; Wonacott, A.; Hutchinson, S.E.; Kelly, V.A.; Duncan, K. Structure of UDP-N-acetylglucosamine enolpyruvyl transferase, an enzyme essential for the synthesis of bacterial peptidoglycan, complexed with substrate UDP-N-acetylglucosamine and the drug fosfomycin. Structure 1996, 4, 1465–1474. [Google Scholar] [CrossRef]
- von Amsberg, G.; Zilles, M.; Mansour, W.; Gild, P.; Alsdorf, W.; Kaune, M.; Böckelmann, L.; Hauschild, J.; Krisp, C.; Rohlfing, T.; et al. Salvage chemotherapy with cisplatin, ifosfamide, and paclitaxel in aggressive variant of metastatic castration-resistant prostate cancer. Int. J. Mol. Sci. 2022, 23, 14948. [Google Scholar] [CrossRef]
- Persidis, A. Cancer multidrug resistance. Nat. Biotechnol. 2000, 18, IT18–IT20. [Google Scholar] [CrossRef]
- Kopitzki, S.; Thiem, J. Short synthetic route to benzaldehyde-functionalized idose and talose derivatives by acetoxonium ion rearrangements. Eur. J. Org. Chem. 2013, 19, 4008–4016. [Google Scholar] [CrossRef]
- Wang, Z. Comprehensive Organic Name Reactions and Reagents; John Wiley & Sons: Hoboken, NJ, USA, 2010; pp. 3123–3128. [Google Scholar]
- Blanc-Muesser, M.; Defaye, J.A. Simple synthesis of L-idose. Synthesis 1977, 8, 568–569. [Google Scholar] [CrossRef]
- Moore, S.; Link, K.P. Carbohydrate characterization. I. The oxidation of aldoses by hypoiodite in methanol. II. The identification of seven aldomonosaccharides as benzimidazole derivatives. J. Biol. Chem. 1940, 133, 293–311. [Google Scholar] [CrossRef]
- Zhdanov, Y.A.; Korol’chenko, G.A.; Dorofeenko, G.N.; Gat’ko, G.G. A study of the properties of acyl perchlorates of the aldonic acids. Russ. J. Gen. Chem. 1969, 39, 1098. [Google Scholar]
- Robbins, G.B.; Upson, F.W. Some fully acetylated sugar acids and their derivatives. J. Am. Chem. Soc. 1940, 62, 1074–1076. [Google Scholar] [CrossRef]
- Gerwig, G.J.; Kamerling, J.P.; Vliegenthart, J.F. Determination of the absolute configuration of mono-saccharides in complex carbohydrates by capillary G.L.C. Carbohydr. Res. 1979, 77, 1–7. [Google Scholar] [CrossRef] [PubMed]
- Campbell, J. High-throughput assessment of bacterial growth inhibition by optical density measurements. Curr. Protoc. Chem. Biol. 2010, 2, 195–208. [Google Scholar] [CrossRef]
- Kifer, D.; Mužinić, V.; Klarić, M.Š. Antimicrobial potency of single and combined mupirocin and monoterpenes, thymol, menthol and 1, 8-cineole against Staphylococcus aureus planktonic and biofilm growth. J. Antibiot. 2016, 69, 689–696. Available online: https://www.nature.com/articles/ja201610 (accessed on 16 July 2024). [CrossRef]
- Grosdidier, A.; Zoete, V.; Michielin, O. SwissDock, a protein-small molecule docking web service based on EADock DSS. Nucleic Acids Res. 2011, 39, W270–W277. [Google Scholar] [CrossRef]
- Brooks, B.R.; Brooks, C.L., III; MacKerell, A.D., Jr.; Nilsson, L.; Petrella, R.J.; Roux, B.; Won, Y.; Archontis, G.; Bartels, C.; Boresch, S.; et al. CHARMM: The biomolecular simulation program. J. Comput. Chem. 2009, 30, 1545–1614. [Google Scholar] [CrossRef]
- Haberthür, U.; Caflisch, A. FACTS: Fast analytical continuum treatment of solvation. J. Comput. Chem. 2008, 29, 701–715. [Google Scholar] [CrossRef]
- Grosdidier, A.; Zoete, V.; Michielin, O. Fast docking using the CHARMM force field with EADock DSS. J. Comput. Chem. 2011, 32, 2149–2159. [Google Scholar] [CrossRef]
- Yurchenko, E.A.; Khmel, O.O.; Nesterenko, L.E.; Aminin, D.L. The Kelch/Nrf2 antioxidant system as a target for some marine fungal metabolites. Oxygen 2023, 3, 374–385. [Google Scholar] [CrossRef]
- Puhr, M.; Hoefer, J.; Schäfer, G.; Erb, H.H.H.; Oh, S.J.; Klocker, H.; Heidegger, I.; Neuwirt, H.; Culig, Z. Epithelial-to-mesenchymal transition leads to docetaxel resistance in prostate cancer and is mediated by reduced expression of miR-200c and miR-205. Am. J. Pathol. 2012, 181, 2188–2201. [Google Scholar] [CrossRef] [PubMed]
- Dyshlovoy, S.A.; Kaune, M.; Hauschild, J.; Kriegs, M.; Hoffer, K.; Busenbender, T.; Smirnova, P.A.; Zhidkov, M.E.; Poverennaya, E.V.; Oh-Hohenhorst, S.J.; et al. Efficacy and mechanism of action of marine alkaloid 3,10-dibromofascaplysin in drug-resistant prostate cancer cells. Mar. Drugs 2020, 18, 609. [Google Scholar] [CrossRef] [PubMed]
- Dyshlovoy, S.A.; Pelageev, D.N.; Hauschild, J.; Borisova, K.L.; Kaune, M.; Krisp, C.; Venz, S.; Sabutskii, Y.E.; Khmelevskaya, E.A.; Busenbender, T.; et al. Successful targeting of thewarburg effect in prostate cancer by glucose-conjugated 1,4-naphthoquinones. Cancers 2019, 11, 1690. [Google Scholar] [CrossRef] [PubMed]
- Orejola, J.; Luz, M.A.; Matsuo, Y.; Saito, Y.; Morita, K.; Tanaka, T. Characterization and cytotoxicity of ellagitannins from Stachyurus praecox fruit. Tetrahedron 2019, 55, 4042–4052. [Google Scholar] [CrossRef]
- Tanaka, T.; Tong, H.-H.; Xu, Y.-M.; Ishimaru, K.; Nonaka, G.-I.; Nishioka, I. Tannins and related compounds. CXVII. Isolation and characterization of three new ellagitannins, lagerstannins A, B and C, having a gluconic acid core, from Lagerstroemia speciosa (L.) PERS. Chem. Pharm. Bull. 1992, 40, 2975–2980. [Google Scholar] [CrossRef]
- Tanaka, T.; Nonaka, G.I.; Nishioka, I. Tannins and related compounds. XLI. Isolation and characterization of novel ellagitannins, punicacorteins A, B, C, and D, and punigluconin from the bark of Punica granatum L. Chem. Pharm. Bull. 1986, 34, 656–663. [Google Scholar] [CrossRef]
- Yoshida, T.; Tanaka, K.; Chen, X.M.; Okuda, T. Tannins from Hippophae rhamnoides. Phytochemistry 1991, 30, 663–666. [Google Scholar] [CrossRef]








| No. | δH, mult (J in Hz) | δC, a Type |
|---|---|---|
| 1 | 172.8, C | |
| 2 | 5.65, d (1.6) | 73.6, CH |
| 3 | 6.27, dd (1.6, 9.0) | 72.8, CH |
| 4 | 5.61, dd (1.6, 9.0) | 73.0, CH |
| 5 | 4.27, m | 68.4, CH |
| 6a | 4.10, dd (6.0, 10.0) | 64.6, CH2 |
| 6b | 4.28, m | |
| 2′ | 123.3, C | |
| 3′ | 6.90, d (1.6) | 125.03, b CH |
| 4′ | 98.1, C | |
| 5′ | 6.80, d (1.6) | 118.9, CH |
| 6′ | 160.6, C | |
| 2″ | 123.5, C | |
| 3″ | 6.88, d (1.6) | 124.7, CH |
| 4″ | 98.0, C | |
| 5″ | 6.76, d (1.6) | 118.8, CH |
| 6″ | 160.1, C | |
| 2‴ | 123.6, C | |
| 3‴ | 7.01, d (1.6) | 125.05, b CH |
| 4‴ | 98.3, C | |
| 5‴ | 6.98, d (1.6) | 119.0, CH |
| 6‴ | 160.7, C | |
| 2⁗ | 122.9, C | |
| 3⁗ | 6.67, dd (1.4, 3.6) | 117.2, CH |
| 4⁗ | 6.12, dd (2.4, 3.6) | 110.8, CH |
| 5⁗ | 6.91, dd (1.4, 2.4) | 124.9, b CH |
| 6⁗ | 162.1, C |
| Cluster | ∆G, kcal/mol | Energy, kcal/mol | H-Bond, Å | Hydrophobic Interactions |
|---|---|---|---|---|
| PDB ID 1T2P | ||||
| 0 | −8.939546 | −24.9548 | H18 … Pro163, 2.333 | Br … Ala92 Br … Val201, Val166, Val168 Gly167, Ile199, Ala104, Ile182, Leu169, Thr180 |
| 1 | −8.263234 | −9.9639 | H4 … Glu105, 2.260 | Br … Cys184, Gly192, Trp194 Br … Ala92, Leu97 Ala92, Cys184, Ala104, Ile182, Ile199 |
| PDB ID 1UAE | ||||
| 28 | −7.1534557 | 6.28514 | Lys88 … O, 2.825 | Br … Cys115, Br … Cys115, Br … Thr166 Gly118, Lys88, Ala119, Leu111 |
| 0 | −8.188495 | −17.8594 | H … Cys115, 2.005 H … Gly114, 2.022 | Br … Leu111 Gly114, Lys88, Gly113, Ala119, Gly118 |
Disclaimer/Publisher’s Note: The statements, opinions and data contained in all publications are solely those of the individual author(s) and contributor(s) and not of MDPI and/or the editor(s). MDPI and/or the editor(s) disclaim responsibility for any injury to people or property resulting from any ideas, methods, instructions or products referred to in the content. |
© 2024 by the authors. Licensee MDPI, Basel, Switzerland. This article is an open access article distributed under the terms and conditions of the Creative Commons Attribution (CC BY) license (https://creativecommons.org/licenses/by/4.0/).
Share and Cite
Tabakmakher, K.M.; Makarieva, T.N.; Sabutski, Y.E.; Kokoulin, M.S.; Menshov, A.S.; Popov, R.S.; Guzii, A.G.; Shubina, L.K.; Chingizova, E.A.; Chingizov, A.R.; et al. Stonikacidin A, an Antimicrobial 4-Bromopyrrole Alkaloid Containing L-Idonic Acid Core from the Northwestern Pacific Marine Sponge Lissodendoryx papillosa. Mar. Drugs 2024, 22, 396. https://doi.org/10.3390/md22090396
Tabakmakher KM, Makarieva TN, Sabutski YE, Kokoulin MS, Menshov AS, Popov RS, Guzii AG, Shubina LK, Chingizova EA, Chingizov AR, et al. Stonikacidin A, an Antimicrobial 4-Bromopyrrole Alkaloid Containing L-Idonic Acid Core from the Northwestern Pacific Marine Sponge Lissodendoryx papillosa. Marine Drugs. 2024; 22(9):396. https://doi.org/10.3390/md22090396
Chicago/Turabian StyleTabakmakher, Kseniya M., Tatyana N. Makarieva, Yuri E. Sabutski, Maxim S. Kokoulin, Alexander S. Menshov, Roman S. Popov, Alla G. Guzii, Larisa K. Shubina, Ekaterina A. Chingizova, Artur R. Chingizov, and et al. 2024. "Stonikacidin A, an Antimicrobial 4-Bromopyrrole Alkaloid Containing L-Idonic Acid Core from the Northwestern Pacific Marine Sponge Lissodendoryx papillosa" Marine Drugs 22, no. 9: 396. https://doi.org/10.3390/md22090396
APA StyleTabakmakher, K. M., Makarieva, T. N., Sabutski, Y. E., Kokoulin, M. S., Menshov, A. S., Popov, R. S., Guzii, A. G., Shubina, L. K., Chingizova, E. A., Chingizov, A. R., Yurchenko, E. A., Fedorov, S. N., Grebnev, B. B., von Amsberg, G., Dyshlovoy, S. A., Ivanchina, N. V., & Dmitrenok, P. S. (2024). Stonikacidin A, an Antimicrobial 4-Bromopyrrole Alkaloid Containing L-Idonic Acid Core from the Northwestern Pacific Marine Sponge Lissodendoryx papillosa. Marine Drugs, 22(9), 396. https://doi.org/10.3390/md22090396

