Abstract
Compound 1 (SMTP-7, also FGFC1), an isoindolone alkaloid from marine fungi Starchbotrys longispora FG216 and fungi Stachybotrys microspora IFO 30018, possessed diverse bioactivities such as thrombolysis, anti-inflammatory and anti-oxidative properties, and so on. It may be widely used for the treatment of various diseases, including cerebral infarction, stroke, ischemia/reperfusion damage, acute kidney injury, etc. Especially in cerebral infarction, compound 1 could reduce hemorrhagic transformation along with thrombolytic therapy, as the traditional therapies are accompanied with bleeding risks. In the latest studies, compound 1 selectively inhibited the growth of NSCLC cells with EGFR mutation, thus demonstrating its excellent anti-cancer activity. Herein, we summarized pharmacological activities, preparation of staplabin congeners—especially compound 1—and the mechanism of compound 1, with potential therapeutic applications.
1. Introduction
The hemostatic system, consisting of the coagulation and fibrinolytic systems, is a vital physiological function in inhibiting hemorrhage and accelerating wound healing [1,2]. Fibrinolysis is regulated by plasminogen and activated by physiologic plasminogen activators: tissue-type plasminogen activator (t-PA) and urokinase-type plasminogen activator (u-PA). Meanwhile, the level of activated plasmin could be inhibited through the block of plasminogen activation by several specific molecules [3,4]. However, various clinical cases indicated that hereditary or acquired factors would enhance or weaken fibrinolytic systems, causing the disorder between the coagulation and fibrinolytic systems, which led to hemorrhage or thrombosis. Compared with a hemorrhage, thrombus formation develops much more gradually and imperceptibly, leading many patients’ deaths [5]. Current drugs on thrombosis include aspirin, ticlopidine, warfarin, and heparin; however, the risk of bleeding is a concern [6]. Therefore, small molecules, with different mechanisms of fibrinolysis action, are desired for new antithrombotics and thrombolytics.
Natural products, historically, possess various bioactivities for the treatment of human diseases [7,8,9,10,11,12]. Marine products, due to the unique marine environments, provide special structures of compounds differing from terrestrial ones. Up to now, over 28,175 chemical entities have been identified, with hundreds of new compounds discovered every year [13]. Numerous marine molecules have been approved for clinical treatments, such as anticancer cytarabine and analgesic ziconotide [14,15,16].
In 1996, Kohyama et al. isolated SMTP-1 from fungi Stachybotrys microspora IFO 30018, with 20–30% higher plasminogen-fibrin binding action than staplabin, indicating the potential for thrombolysis therapy [17,18,19]. Staplabin, a triprenyl phenol, was the basic core of the SMTP family, and SMTP-1, as well as other congeners, were variants of staplabin (Figure 1) [17,20]. Then, a series of congeners, containing a tricyclic γ-lactam moiety, a geranylmethyl side-chain, and an N-linked side-chain, were isolated and showed plasminogen activation [21]. Compound 1 (Figure 2), with two staplabin cores bridged by ornithine, could increase urokinase-catalyzed plasminogen activation, fibrin binding of plasminogen, and fibrinolysis mediated by urokinase and plasminogen [20]. Meanwhile, it showed excellent clot clearance activity in vivo [22,23]. In a rat pulmonary embolism model, compound 1 (5 mg/kg) enhanced, by three-fold, the clot clearance rate above the spontaneous clearance group. Moreover, clot clearance of compound 1 was enhanced, further, in combination with u-PA [23].
Figure 1.
Structures of staplabin and SMTP-1.


Figure 2.
Structures of congeners and derivatives of staplabin.
At present, more than 60 congeners of staplabin have been isolated, which not only performed fibrinolysis activity but also exhibited various effects, such as anti-inflammatory, neuroprotection, and anti-cancer properties [1]. Other modified derivatives and structure–function relationships of compound 1 have also been studied. Scientists also confirmed the absolute configuration and preparation methods of congeners and derivatives, which shared similar absolute configuration (8S, 9S) and a staplabin core. Meanwhile, most monomeric analogues could be obtained by replacing the ornthine with non-basic amino acids or simple amines [24,25]. Herein, we focused on the diverse biological activities of compound 1, which is a congener of staplabin (Figure 2).
2. Pharmacological Activity
2.1. Thrombolytic Activity
Thromboembolic disease is a main cause of mortality and disability. For instance, stroke is responsible for 5.2% of all mortalities in the world [26]. Most of them are ischemic strokes, which would trigger transient or permanent occlusion of cerebral vessels causing brain infarcts, cerebral tissue death, and focal neuronal damage after blocking for 6 h [27]. Therefore, the key to saving stroke patients is solving thromboembolism in an efficient way. It is needed to search for more potent and safer drugs for the inhibition and treatment of ischemic symptoms.
In 1999, Hu et al. isolated compound 1 from the fungus S. microspora IFO 30018, with a preliminary determination for its plasminogen activation and fibrinolysis activity at 80–150 μM in vitro [20]. In 2010, Hashimoto et al. established a novel cerebral infarction model for predicting cerebral infarction, in which generated embolus transferred to the brain in the right common carotid artery of Mongolian gerbils, induced by acetic acid [28]. In the same year, they assessed the therapeutic effect of compound 1 and t-PA in the cerebral infarction model [29]. The fibrinolytic activity of compound 1 (<20% of positive control) was lower than t-PA (>140% of positive control) in the 3 h after administration, but the activity of compound 1 increased about 3.5-fold during 1–3 h and was higher than t-PA after 3 h. It was attributed that the activity of compound 1 gradually increased. Meanwhile, compound 1 extended the therapeutic time window. Compared with a clear infarct in the cerebral hemisphere by t-PA (10 mg/kg) treatment, there was no visible infarction in the group of compound 1 at 3 h after ischemia. More importantly, there was little hemorrhagic region with 10 mg/kg of compound 1, suggesting that it is a latent safe cerebral infarction therapy method. Hu et al., (2012) disclosed that compound 1 enhanced plasmin generation in vivo [20]. The level of plasmin-α2-antiplasmin complex, an indicator of plasmin formation, increased by 1.5-fold in male ICR mice after the treatment with 5 and 10 mg/kg of compound 1. In 2014, the antithrombotic activity of compound 1 was further demonstrated in the male cynomolgus monkey model [30,31], which achieved excellent effects (Table 1). In addition, Ito et al. found that the combination therapy with warfarin and compound 1, in the middle cerebral artery occlusion, improved the treatment safety and reduced hemorrhagic transformation [32]. Compound 1, as a safe thrombolytic agent, relieved the side effects, such as severe infarction, edema, and hemorrhage, induced by warfarin in the middle cerebral artery occlusion model. All mice treated with compound 1 survived and the hemorrhagic severity score (1.3 ± 0.5) indicated decreased hemorrhagic transformation.
Table 1.
The antithrombotic effect of compound 1 in the severe embolic stroke monkey model.
Then, Wang et al. isolated compound 1 from a rare marine fungus Stachybotrys longispora FG216 and evaluated its fibrinolysis activity [33]. Additionally, 0.1–0.4 mmol/L of compound 1 increased the Glu-plasminogen and Lys-plasminogen activation by 2.05–11.44 times in vitro. Meanwhile, 10 mg/kg compound 1 dissolved most pulmonary thrombus in the Wistar rat in vivo. Yan et al. further researched the thrombolysis and hemorrhagic activities of compound 1, from S. longispora FG216, in vitro and on acute pulmonary embolism Wistar rat model in vivo [34]. Compound 1, from 5 to 25 μM, induced fibrin hydrolysis in vitro; moreover, its thrombolytic activity was evaluated with fluorescence lung tissues in vivo. It was observed that compound 1, of 5 and 10 mg/kg, displayed effective dissolving capacity (less fluorescence halo). Meanwhile, the euglobulin lysis time (ELT) was shortened for 30 s by the treatment of compound 1 in the Wistar rat model. Shortening ELT was related to the activation of the fibrinolytic system. Therefore, compound 1 exhibited fibrinolytic activity in vivo. Compound 1 (5, 10, and 25 mg/kg), especially, did not induce fibrinogenolysis at 30 min and 2 h after administration, which suggested that compound 1 reduced the risk of hemorrhage. Thus, compound 1 was a potential thrombolytic agent without hemorrhage [34]. In 2021, Gao et al. detected that compound 1, with low concentration (0.096 mM), enhanced fibrinolytic activity by 2.2-fold in vitro; however, it inhibited fibrinolytic activity at excess doses (above 0.24 mM) [35].
Congeners 3, 5, and 7 enhanced fibrinolysis activities at 0.25 mM, in the 125I-Fibrin degradation experiment, by 2.3-fold, 1.9-fold, and 2.7-fold, respectively [36]. Congener 8 (80 μM) also increased fibrinolysis activity by eight-fold in the fibrin binding of 125I-plasminogen [20]. In 2003, Hu et al. isolated congeners 4, 6, and 9 with the activation effect on the urokinase-catalyzed plasminogen in vitro [24]. In 2012, congeners 11–13, isolated from S. microspore, showed similar plasminogen activation activities when compared with compound 1 [37]. In 2018, Shibata et al. evaluated fibrinolysis activities of congeners 12 and 17 in an acetic acid-induced cerebral infarction mouse model [38]. Compared with compound 1, of 10 mg/kg, congeners 12 and 17 reduced the size of the infarction area, neurological score, and edema percentage (Table 2).
Table 2.
The fibrinolysis activities of compound 1, as well as congeners 12 and 17.
To gain a deep insight into the antithrombotic effect, many studies attempted to illustrate the detailed mechanism for compound 1. Hashimoto et al., firstly, confirmed excellent thrombolytic activity of compound 1 (no visible infarction area after treatment with 10 mg/kg for 3 and 6 h) in an acetic acid-induced novel embolic cerebral infarction model in vivo. They hypothesized that compound 1 could relieve cerebral infarction by combined effects, giving rise to studies on other activities of compound 1 [28]. In 2010, they demonstrated that compound 1 possessed thrombolytic and anti-inflammatory activities [29]. By the treatment with compound 1, at 3 h after ischemia, mRNA expression of interleukin-1β (IL-1β), tumor necrosis factor-α (TNF-α), and interleukin-6 (IL-6) did not increase significantly. Therefore, compound 1 ameliorated hemorrhage and neurologic deficits, with a wide therapeutic time window in thrombolysis, by inhibiting inflammation. One year later, Akamatsu et al. further completed the anti-inflammatory mechanism of compound 1 in fibrinolysis [39]. Matrix metalloproteinase-9 (MMP-9) was significantly inhibited (92 kDa band) with compound 1 in transient focal cerebral ischemia, suggesting a cerebral neuroprotective effect of compound 1, on ischemia/reperfusion injury, and a reduction risk for hemorrhagic transformation. Moreover, compound 1 inhibited the expression of an early superoxide anion and nitrotyrosine for 2 h after ischemia/reperfusion, so it showed anti-oxidative activity to reduce ischemia/reperfusion damage [39]. In 2014, Hanshimoto et al. observed that reactive oxygen species could cause overexpression of proinflammatory cytokines [40]. Compound 1 inhibited the overexpression of a signal transducer and activator of transcription 3, to extend the therapeutic time window in thrombolysis therapy, by exhibiting its anti-oxidative effect. In addition, Huang et al. observed the inhibitory activity of compound 1 on pro-MMP-9, which inhibited the degradation of the basal membrane and the blood–brain barrier, reducing the risk of hemorrhage [41]. Moreover, Koyanagi et al., (2014) found compound 1 performed better plasminogen activation activity with the presence of physiological cofactors [42]. Compound 1, of 20–60 μmol/L, promoted the activation of Glu-plasminogen, by 10-fold, with phosphatidylcholine and phosphatidylserine. Meanwhile, compound 1 also showed promoted plasminogen activation activity, with the presence of gangliosides and oleic acid released from thrombus in the process of clot lysis. These endogenous cofactors might change the fifth kringle domain conformation of plasminogen to induce the interactions between compound 1 and the plasminogen, whose mechanism could be elucidated in detail in future.
Wu group also investigated the thrombolytic mechanism of compound 1. Compound 1 of 0.1–0.4 mmol/L activated the Glu-plasminogen and Lys-plasminogen (2.05–11.44 folds), but it had no fibrinolytic activity in the absence of u-PA or a plasminogen in vitro [33]. Meanwhile, the treatment, with 10 mg/kg of compound 1 after 24 h, performed efficiently in the pulmonary embolism Wistar rat model, meaning that u-PA and plasminogen mediated its thrombolytic effect. Furthermore, Wu group detected enzymatic kinetic parameters of compound 1 by chromogenic-substrate associated with p-nitroaniline from the enzymatic reaction [43]. The results indicated that the increase in kcat and kcat/Km activity was related to the concentration of compound 1, which exhibited 26.5-fold and 22.8-fold activity at 40 μg/mL. Moreover, the affinity of plasminogen and pro-uPA to the enzyme substrate presented a faint decrease with an increasing concentration of compound 1, as the Km increased (from 0.413 to 0.484 μmol/L) along with the increasing concentration of compound 1 (0–40 μg/mL). The results further proved that reciprocal activation of pro-uPA and plasminogen was critical to the fibrinolysis activity of compound 1, which enhanced the maximum catalytic efficiency and total catalytic activity of fibrinolysis. The fibrinolysis activity of compound 1 featured an enzymatic kinetic characteristic.
Wu group further studied the interaction mechanism between compound 1 and plasminogen [35]. The Glu-plasminogen, in the bloodstream, contains a Pan-apple domain (PAp), five kringle domains (KR1-KR5), and a serine protease domain (SP). Lysine-binding sites (LBS), in kringle domains of plasminogen, were essential for the interaction of plasminogen and compound 1 [44,45,46]. Compound 1, firstly, bound the LBS of KR1, while KR1 activated and mediated the interaction between plasminogen and the C-terminal lysine moiety on fibrin. KR5 dropped from PAp and was exposed to closed plasminogen temporarily [36]. Then, compound 1 formed hydrogen bonds with Asp518 and Asp534 in KR5, which induced conformational change and structural rearrangement. After that, additional LBSs on kringle domains were exposed, leading the movement of PAp. Therefore, these additional LBSs interacted with compound 1, causing an open conformation of plasminogen, which could be easily activated by u-PA (Figure 3). The theoretical binding mode showed that compound 1 formed a stable complex with Glu39, Thr41, and Arg43 in plasminogen with hydrogen bonds (Figure 4).
Figure 3.
The mechanism of plasminogen activation by compound 1.
Figure 4.
The interactions between compound 1 and plasminogen: (a) binding site; (b) the 3D docking model of compound 1 with plasminogen.
The structure–activity relationships of the plasminogen modulator compound 1 and its congeners have been studied in detail. Most congeners contain the same geranylmethyl side-chain, but they bear different N-linked side-chains. Congener 2 possessed a hydroxylated geranylmethyl side-chain [17] and could not enhance plasminogen binding to the activated plasminogen. Thus, the side-chain of geranylmethyl plays a key role in promoting plasminogen activation. In 2016, Otake et al. found that the geranylmethyl side-chain of congeners was critical to inhibitory activity of soluble expoxide hydrolase (sEH), an enzyme mediating anti-inflammatory action [47]. sEH lost inhibitory activity with the increasing number of hydroxyl groups on geranylmethyl side-chains or missing geranylmethyl side-chains, and the terminal hydroxy group of side-chain led to the damage of cellular localization. For the N-linked side-chain, Hasumi et al. isolated the simplest congener (SMTP-0) without an N-linked side-chain, which had no plasminogen activation effect [48] (Figure 5). It can be concluded that the N-linked side-chain was essential for plasminogen-modulating activity. In 2010, Hasegawa et al. confirmed the crucial role of the N-linked side chain in modulating plasminogen [21]. The congeners, without ionizable groups in N-linked side-chain, were inactive in plasminogen activation, such as with congener 10. Moreover, the congeners, with an aromatic group and a negatively ionizable group on the side-chain, were more active for the enhancement of plasminogen activation than those with an aliphatic group and a negatively ionizable group, such as congener 3 (Emax = 15-fold). Koide et al. further isolated a series of SMTP congeners with different N-linked side-chains and evaluated their bioactivities. Congeners 11 (Emax = 126-fold) and 12 (Emax = 159-fold) were as potent as compound 1 (Emax = 102-fold) in plasminogen-modulating activity [37]. Only these congeners could express higher plasminogen-modulating and anti-oxidative activities, and other isomers or phenolic hydroxy groups, at different positions, did not present satisfactory activities in plasminogen activation. Moreover, the congeners with N-linked side-chains showed anti-oxidative activities too. All the congeners bearing a phenolic hydroxy group and a carboxylic acid group displayed higher anti-oxidative activities. Congener 12, especially, possessed more than 1.7 times the anti-oxidative activity in comparison to compound 1 (Figure 5).
Figure 5.
Structure–activity relationships of congeners 11 and 12.
Pharmacokinetics is an essential evaluation system for the development of new drugs, which finally determines the metabolism and efficacy of drugs in vivo [49]. In 2013, Su et al. observed the pharmacokinetics and tissue distribution of compound 1 in Wistar rats [50]. Compound 1 had a half-life (t1/2) of ca. 22.37 min, and it was suitable for two-compartment models, by intravenous administration, for 10 and 20 mg/kg. From the viewpoint of tissue distribution, compound 1 was present in the highest concentration in the liver, but it had low or undetectable concentrations in the brain, suggesting that compound 1 did not cross the blood–brain barrier (the results were wrong, and compound 1 could cross the blood–brain barrier). In 2019, Ma et al. evaluated pharmacokinetic properties in beagle dogs and permeability characterization in Caco-2 cells [51]. t1/2 of compound 1 was determined in dogs’ brains, and t1/2, in beagle dogs, was about two times longer than in Wistar rats (48.7 min in average). Moreover, compound 1 performed low penetrability in a human Caco-2 cell’s monolayer model and the rapid distribution into organs, suggesting intravenous injection was more appropriate than oral. In addition, absorption and transportation characteristics of compound 1 had been studied [52]. In Caco-2 cells model, compound 1 expressed passive diffusion of the absorption pattern, and it was not the substrate of P-gp, indicating that compound 1 could cross the blood–brain barrier. Therefore, compound 1 had the potential to be a thrombolytic agent for the treatment of occluded cerebral vessels.
The modification of compound 1 enhanced fibrinolytic activity to access more efficient and safer thrombolytic agents. In 2021, Wang et al. synthesized a series of compound 1 derivatives through the modification of phenyl groups, at the C2-OH and C2′-OH positions on compound 1, and evaluated their fibrinolytic activities (Figure 6) [53] (The compound, modified by Wang et al., was the enantiomer of compound 1 (8S, 9S)). Derivative a, with methyl, and derivative b, with para-bromobenzyl, presented significant fibrinolytic activity with the EC50 values of 59.7 µM and 42.3 μM, respectively. Derivative b showed rapidly increasing fibrinolytic activity in the early stage (0–40 min), dose-dependently. Furthermore, derivative b displayed weak activities of inducing apoptosis and anti-inflammation on HeLa cells, suggesting that derivative b was a potential antithrombotic agent.
Figure 6.
The modification of compound 1.
2.2. Effects on Inflammation and Oxidant Related Damage: In Reperfusion of Occluded Vessels
A large portion of tissue damage in diseases is caused by inflammation. In 2000, it had already been confirmed that inflammation could affect the coagulation system and regulation, which was responsible for thrombotic complications in vivo [54]. In 2005, it was found that patients with inflammatory diseases were more likely to develop thrombosis. For instance, the patients with inflammatory bowel disease suffered from a three-fold risk of pulmonary embolism or vein thrombosis [55]. In 2008, the unique role of inflammation was focused in the formation of venous thrombus [56]. Thus, researchers investigated the relationship between the reduced damage of ischemia/reperfusion and anti-inflammatory activity by the treatment of compound 1.
Mammalian sEH contributes to inflammatory response through hydrolyzing lipid signaling molecules, and it has been developed as a potential therapeutic target [57,58]. More than 100 sEH inhibitor patents have been published for the treatment of diabetes, hypertension, pain, and cardiovascular diseases [59,60]. The geranylmethyl side-chain of compound 1 is crucial to the inhibitory activity of sEH [47]. Therefore, compound 1 and other staplabin congeners possessed great anti-inflammatory potential.
sEH is a bifunctional enzyme with a C-terminal domain (Cterm-EH) and an N-terminal domain (Nterm-phos). Cterm-EH catalyzes hydrolysis of epoxyeicosatrienoic acids (EETs, an endogenous signaling molecule involved anti-inflammation), and Nterm-phos hydrolyzes lipid phosphates [60,61,62]. Therefore, the inhibition to Cterm-EH is the key to inhibit inflammation. Mastsumoto et al. performed sEH inhibition kinetic analysis of congeners [63]. Congeners 14 (IC50 = 12 ± 1) and 15 (IC50 = 5 ± 2) had better Cterm-EH inhibitory activities in comparison to congeners 10 (IC50 > 100) and 16 (IC50 > 100). Therefore, although the geranylmethyl side-chain was essential to the inhibitory activity, the nature of N-linked side chains also affected the inhibitory potency of sEH (Figure 7). Compound 1 inhibited the hydrolysis of EETs with IC50 of 6.5 μM. SMTP-0 (IC50 = 1.2 μM) and congener 18 (IC50 = 9.2 μM) were also efficient for inhibiting the hydrolysis of EETs [63]. Meanwhile, both 10 mg/kg of compound 1 and congener 18 improved neuritis symptoms in a rat Guillain–Barré syndrome model, and they alleviated symptoms of ulcerative colitis and Crohn’s disease in mice. The results proved that compound 1 and staplabin congeners possessed great anti-inflammatory potential [63].
Figure 7.
The structure of congeners 14, 15, and the SARs study of inhibitory effect on Cterm-EH and Nterm-phos.
Occluded vessels reperfusion could produce reactive oxygen species (ROS), which would stimulate ischemic cells, secreting excessive pro-inflammatory and inflammatory cytokines, such as IL-6, IL-1β, and TNF-α. The overexpressed cytokines cause damage, hemorrhage, and even inflammation in cerebral vessels, which is a major factor in ischemic brain injury [64]. Shibata et al. observed little hemorrhagic region with compound 1 (10 mg/kg), in the model of cerebral infarction mice, in comparison with 10 mg/kg t-PA treatment; moreover, they investigated the involved mechanism [29]. mRNA expression of IL-6, IL-1β, and TNF-α were not increased by the treatment of compound 1, in comparison to t-PA treatment, at 3 h after ischemia. Hashimoto et al. found that compound 1 decreased expression of IL-6, the signal transducer and activator of transcription 3, S100 calcium binding protein A8, and MMP-9 by microarray and RT-PCR analysis [40]. Therefore, compound 1 inhibited the secretion of pro-inflammatory and inflammatory cytokines to improve the hemorrhage and ischemic brain injury. Meanwhile, Akamatsu et al. detected that superoxide anions (one ROS in cerebral ischemia) were observed by hydroethidine signals at 2 h after reperfusion [39]. Hydroethidine signal was reduced by the treatment of compound 1 in comparison to the vehicle group, meaning that compound 1 inhibited the production of ROS to decrease reperfusion damage. In addition, the treatment of compound 1 reduced the expression of nitrotyrosine and MMP-9, causing attenuated ischemic neuronal damage. Moreover, inflammatory tissue could release proteolytic enzymes of MMP-9, which is associated with blood–brain barrier breakdown and hemorrhagic complications in cerebral infarction [65]. Ito et al. indicated that compound 1 inhibited the activation of MMP-9 to protect the blood–brain barrier from destruction and hemorrhagic transformation (pro-MMP-9: 88.9 ± 34.2; MMP-9: 5.0 ± 1.6) in mice [32]. Besides, Huang et al. suggested that compound 1 could inhibit oxidative stress to reduce ischemia/reperfusion injury [41]. Compound 1 decreased the expression of 4-hydroxy-2-nonenal (4-NHE), 3-nitrotyrosine, and 8-hydroxy-2′-deoxyguanosine (8-OHdG) significantly, which provided therapeutic benefits for ischemic stroke. Therefore, compound 1 possessed anti-inflammatory and anti-oxidative activities in the reperfusion of occluded vessels (Figure 8).
Figure 8.
The anti-inflammatory and anti-oxidative mechanisms of compound 1 in ischemia–reperfusion damage.
2.3. Neuroprotective Activity
In 2011, Akamatsu et al. first confirmed the intrinsic neuroprotective effect of compound 1 [39]. In the photochemical-induced thrombotic occlusion model of cynomolgus monkeys, compound 1 of 10 mg/kg improved the neurologic deficit by 29% and cerebral hemorrhage by 51%, after treatment for 24 h, in comparison to the saline control group [29]. Then, Shibata et al. further explored the mechanism of reducing brain damage [66]. Compound 1 inhibited the expression of 4-NHE and neutrophil cytosolic factor 2 (Ncf2) after treatment for 1–3 h. Additionally, 4-NHE is an oxidized product of lipid peroxidation, Ncf2 can stimulate the NADPH oxidase complex to produce SOD, and their levels would increase in the infarction area [67]. Therefore, compound 1 reduced lipid peroxidation and the generation of SOD, in cerebral infarction, to possess neuroprotective activity [66]. Moreover, Ito et al. evaluated the activation of MMP-9 with compound 1 treatment in a mouse model. Compared with the control group, compound 1, of 10 mg/kg, inhibited the expression of MMP-9, which could digest the endothelial basal lamina and open the blood–brain barrier, causing neuro-inflammation [32]. Compound 1 showed less basal membrane damage and functional breakdown of the blood–brain barrier. Therefore, compound 1 reduced neuronal damage by inhibiting MMP-9 expression. In 2018, Huang et al. investigated the anti-inflammatory and antiapoptosis mechanisms of compound 1 for neuroprotective effects [68]. Compound 1, of 10 mg/kg, decreased the expression of NF-κB, TNF-α, and NLRP3-positive cells, which involved the alleviation of neuroinflammation. Meanwhile, compound 1 reduced the expression of cleaved-caspase-3, suggesting the inhibition in cell death progress. Therefore, compound 1 treatment demonstrated less necrosis of neurons and high neuroprotective activity in the peri-ischemic area. The results showed that the neuroprotective activity of compound 1 was attributed to the anti-oxidative, anti-inflammatory, and anti-apoptosis mechanisms in cerebral infarction.
In 2014, Matsumoto et al. found that congener 18 (10 mg/kg) (Figure 9) alleviated neuritis symptoms in a rat model presenting neuroprotective activity [63]. Shi et al. investigated the therapeutic effect of congener 18 in the neurovascular unit (NVU) and neurovascular trophic coupling damage [69]. Congener 18 ameliorated the NVU dissociation between pericyte, basal lamina, and astrocytic foot. It also improved the endothelial neuroprotective support for the outsider neurons. Moreover, congener 18 decreased the expression of TNF-α, 4-HNE, 8-OHdG, and cleaved caspase-3. Therefore, neuroprotective activity of congener 18 was due to its anti-inflammatory, anti-oxidative, and anti-apoptotic mechanisms. Congener 18, especially, had therapeutic potential for diabetic neuropathy symptoms [70]. Congener 18 (30 mg/kg) improved the mechanical allodynia, thermal hyperalgesia symptoms, and neurological degeneration of DN in a streptozotocin-induced diabetes mouse model.
Figure 9.
The structure of congener 18.
2.4. Effects on IgA Nephropathy and Acute Kidney Injury
IgA nephropathy (IgAN) has become a primary chronic glomerulonephritis worldwide, featuring mesangial cell proliferation and the deposition of IgA [71]. It causes a gradual decline in renal function, and 30% of patients will develop to the end stage of renal disease [72,73,74]. Kemmochi et al., (2012) investigated the therapeutic effects of compound 1 against IgAN [75]. In a mouse IgAN model, compound 1 (10 mg/kg) slightly reduced the deposition of IgA, but it had no effect on the serum concentration of IgA. The results suggested that compound 1 might inhibit the progression of IgAN through reducing the deposition of IgA in the glomerular mesangium. However, it was not effective in decreasing IgA production and treatment for terminal IgAN, indicating the limited therapeutic ability in IgAN.
Unlike IgAN, acute kidney injury (AKI) could cause rapid reduction in renal function [76]. The pathological condition of the kidney retained toxins and wastes, causing toxicosis and disorder in fluid, electrolyte, and acid–base balance [77]. It is estimated that 22% of hospitalized adults suffered from AKI [78]. Compound 1 showed less damage of ischemia-reperfusion in thrombolysis therapy. Meanwhile, ischemia-reperfusion played a major role in AKI renal damage. Therefore, in 2021, Shibata et al. studied the efficacy of compound 1 in renal damage [79]. Compound 1 improved the parameters of renal function (blood–urea nitrogen, creatinine levels in serum, creatinine clearance, and fractional excretion of sodium) and renal tubule damage. The therapeutic effect of compound 1 was derived from anti-inflammatory and anti-oxidative activities. The inhibition to sEH elevated the EET level, which inhibited tubular dysfunction and inflammatory factors, such as NF-κB, TNF-α, IL-6, and IL-1β. ROS production was also reduced after compound 1 treatment. Thus, the suppression of peroxidation led to less renal cell injury.
2.5. Effects on Cancer: Non-Small Cell Lung Cancer
The essence of cancer is the abnormal proliferation and differentiation of cells, which are dependent on angiogenesis [80]. Therefore, anti-cancer agents could identify and inhibit angiogenesis, thus representing an approach for cancer therapy [81]. Many patents on angiogenesis inhibitors have been published, such as angiostatin, endostatin, and thrombospondin. Therein, angiostatin is a hidden fragment of plasminogen with great antiangiogenic properties [82]. Congener 7 reduced vascular formation, along with proliferation and migration, to inhibit tumor growth and possessed plasminogen activation activity, causing a conformational change of plasminogen to dissolve thrombus [83]. Ohyama et al., (2004) reported that congener 7 also promoted the autoproteolytic of plasmin, inducing extensive fragmentation of the catalytic domain [83]. After urokinased-catalyzed plasminogen was activated by congener 7, the catalytic domain of plasmin (activated plasminogen) rapidly degraded into 68–77 kDa fragments. These fragments blocked proliferation, migration, and vascular formation of endothelial cells, at concentrations of 0.3–10 μg/mL, meaning they provide potential applications of congener 7 for cancer treatment.
As the most common lung cancer, non-small cell lung cancer (NSCLC) accounts for approximately 80–85% of lung cancer diseases [84]. The clinical drugs for treating NSCLC are the epidermal growth factor receptor (EGFR) and EGFR-targeted tyrosine kinase inhibitors (TKIs). However, more than 80% patients gradually showed drug resistance after about 1 year of treatment with EGFR-TKI. Thus, it is necessary to discover new anti-tumor agents for treating NSCLC [85]. In 2022, Yan et al. observed the effects of compound 1 on erlotinib-resistant NSCLC and explored the underlying mechanism [86]. NSCLC cells were sensitive to compound 1 with IC50 = 7.45 ± 0.57 μM in vitro, especially for erlotinib-resistant NSCLC H1975 cells (IC50 = 9.22 ± 0.84 μM); meanwhile, compound 1 was relatively safe for normal cells. The accumulation of cleaved-PARP, cleaved-caspase-3, Bax, and the reduction in Bcl-2 revealed that compound 1 induced the cell apoptosis of NSCLC cells [86]. Then, they discovered the underlying mechanism of treating erlotinib-resistant NSCLC. Compound 1 induced mitochondria-mediated apoptosis, leading to increased ROS and reduced GSH. Thus, compound 1 caused apoptosis of erlotinib-resistant NSCLC cells [86,87]. In addition, compound 1 also inhibited the PI3K/Akt signaling pathway and the EGFR/PI3K/Akt/mTOR pathway. The abnormal activation of the PI3K/Akt pathway could cause TKI resistance, as well as invasiveness and migration of NSCLC [85]. Moreover, compound 1 showed high binding affinity to EGFRT790M/L858R in molecular modeling, meaning compound 1 selectively exhibited anticancer activity on erlotinib-resistant NSCLC cells. Finally, compound 1 (10 mg/kg) had consistent anti-cancer effects in nude mice, meaning that it showed potential for erlotinib-resistant NSCLC therapy. In 2022, Feng et al. further observed that compound 1 downregulated the levels of CD4K and Cyclin D1 to arrest the cell cycle of PC9 cells at the G0/G1 phase [88]. Compound 1, especially, inhibited the viability and proliferation of PC9 cells through the inhibition of the NF-κB signaling pathway. The results indicated that compound 1 had excellent anti-cancer activity on EGFR-mutant NSCLC cells, but it had weak or no effect on wild-type EGFR cells. It can be concluded that compound 1 might depend on the EGFR status to induce apoptosis of NSCLC cells.
3. Preparation of Compound 1 and Staplabin Congeners
Hu et al. isolated SMTP congeners from S. microspora in 2001 [25]. They found that the use of amino acids and amino alcohols significantly increased the production of congeners, and the obtained products were related to the type of added amino acid. The production of compound 1 and congeners 3, 5, and 7 increased by 7 to 45-fold, with the addition of Orn, Phe, Leu, Trp, and Lys at 100 mg/mL, which acted as precursors in culture. Therefore, the addition of precursors was an important procedure in the preparation of compound 1 and staplabin congeners.
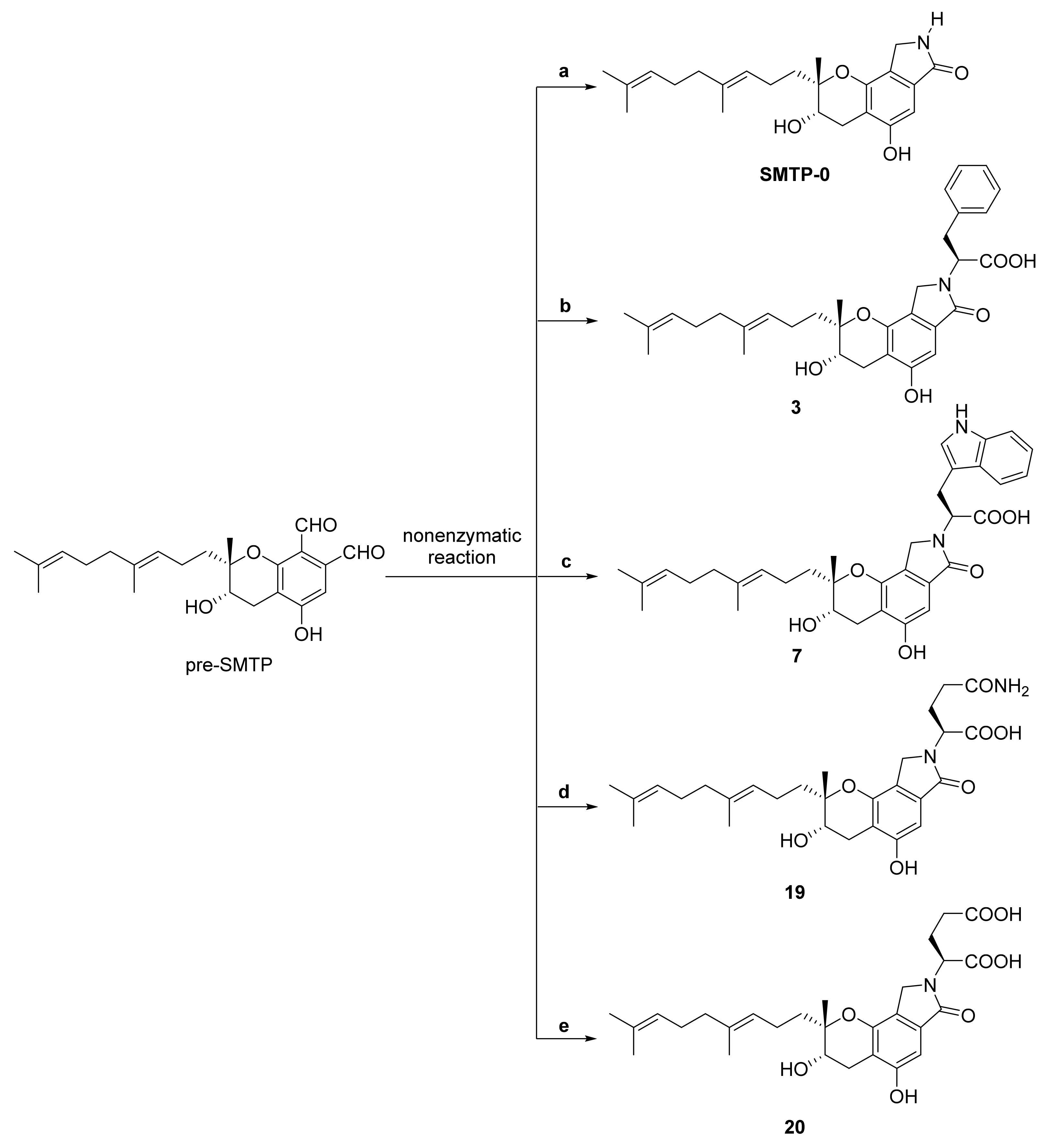
In 2012, Nishimura et al. isolated a new compound designated pre-SMTP from fungus S. microspora, which directly afforded SMTP congeners by reacting nonenzymatically (phthalaldehydes reaction) [89,90]. Pre-SMTP accumulated, with limited amounts of amine, in medium with S. microspora, and it consumed rapidly after increased amine feeding. Meanwhile, SMTP-0, as well as congeners 3, 7, 19, and 20 were afforded, by reaction of pre-SMTP, with ammonium chloride, L-phenylalanine, L-tryptophan, L-glutamine, and L-glutamic acid, respectively. Thus, it is available to synthesize a variety of congeners, with different N-linked side-chain structures, through nonenzymatic reaction between pre-SMTP and an amine (Figure 10).
Figure 10.
Synthesis of SMTP-0, as well as congeners 3, 7, 19, and 20, based on pre-SMTP (phthalaldehydes reaction). Pre-SMTP (100 μg/mL in acetone) was incubated with (a) 5 mg/mL ammonium acetate in acetic acid (1.5%, v/v); (b) 5 mg/mL L-phenylalanine in acetic acid (1.5%, v/v); (c) 5 mg/mL L-tryptophan in acetic acid (1.5%, v/v); (d) 5 mg/mL L-glutamine in acetone-water-acetic acid (50:50:1); (e) 5 mg/mL L-glutamic acid in acetone-water-acetic acid (50:50:1).
In 2013, Su et al. investigated the fermentation conditions of compound 1 isolated from S. longispora FG216 [91]. The results showed that the optimized fermentation conditions were as follows: 0.5% ornithine hydrochloride addition, 28 °C culture temperature, and 7 d (Figure 11a). The yield of compound 1 increased up to 1.98 g/L. In 2015, Wang et al. designed a metabolic regulation strategy to improve the production of compound 1 [92]. The results indicated that the carbon skeleton of compound 1 was synthesized through the shikimate and mevalonate pathways. Therefore, the addition of precursor shikimic acid and precursor sodium acetate increased the yield of compound 1 by 10.4%–14.6% (Figure 11b,c). Glucose and ornithine were the essential skeleton and structural core of compound 1, respectively, which involved the synthesis of compound 1. Along with 20 g/L glucose and 4.32 g/L L-ornithine provision, compound 1 increased up to 82.2 and 95.9 g/L (Figure 11d). During the fermentation, a transformation was observed from ornithine, FGFC3, and FGFC2 into compound 1. Further research is needed for promoting transformation from ornithine to compound 1, which will be able to increase production substantially (Figure 11e).
Figure 11.
The optimized method for a compound 1 culture. On fermentaion basal medium, inducers (or precursor), and conditions: (a) 0.5% ornithine hydochloride, 28 °C, 7 d, 1.98 g/L; (b) (i) 0.1 g/L shikimic acid, yield increased by 10.4%; (ii) 3 mmol/L sodium acetate, yield increased; (c) 0.09 mmol/L cerulenin, yield increased by 14.6%; (d) (i) 20g/L glucose, 82.2 g/L; (ii) 4.32 g/L, L-ornithine, 95.9 g/L; (iii) and (e) need further research.
Yin et al., (2017) studied the biosynthesis pathway in S. longispora FG216 [93]. The results were that three reported core genes and the nitrate reductase (NR) gene copy were the isoindolinone biosynthetic gene cluster in S. longispora FG216. NR is the rate-limiting enzyme of nitrate reduction. Therefore, nitrate reductase possibly played a role in the balance of ammonium ion concentration. Moreover, four new derivatives, 21–24, were obtained by various amino supplements in S. longispora FG216 (Figure 12).
Figure 12.
The structures of derivatives 21–24.
4. Conclusions
Compound 1 possesses rich bioactivities, such as excellent fibrinolytic, anti-inflammatory, and anti-oxidative activities. Compared with other anti-thrombotic agents, such as warfarin, compound 1 exhibits less hemorrhage risk for the treatment of thrombosis because it changes the conformation of plasminogen, in the presence of uPA, to activate the plasminogen. Moreover, the inhibition to sEH reduces inflammatory response, causing neuroprotection and less damage from the reperfusion of occluded vessels. The structure–activity relationships of compound 1 indicate that the N-linked side chain determines plasminogen activation activity, and the geranylmethyl side chain is essential for anti-inflammatory activity. Recent studies show that compound 1 possesses, surprisingly, anti-cancer activity toward EGFR-TKI-resistant NSCLC cells. Furthermore, the satisfactory pharmacokinetic property and optimized culture methods show that compound 1 has potential as a promising agent. Some modifications of compound 1 and staplabin congeners perform better in fibrinolytic or neuroprotective activity, thereby illustrating the high therapeutic potential.
Author Contributions
Conceptualization, investigation, data curation, writing—original draft preparation, and writing—review and editing, S.H.; methodology, formal analysis, project administration, R.S., Y.F. and S.W.; conceptualization, methodology, resources, supervision, project administration, W.W.; conceptualization, methodology, writing—review and editing, supervision, project administration, R.G. Funding acquisition, H.C. and Q.T. All authors have read and agreed to the published version of the manuscript.
Funding
This research was funded by the National Natural Science Foundation of China, grant number 81502955 and 82173731, Shanghai Frontiers Research Center of the Hadal Biosphere and the Science and Technology Research Project of Jiangxi Provincial Department of Education, grant number GJJ201115. Ruilong Sheng appreciated FCT-Fundação para a Ciência e a Tecnologia (Base Fund UIDB/00674/2020 and FCT employment fund 2021.00453.CEECIND) and ARDITI-Agência Regional para o Desenvolvimento da Investigação Tecnologia e Inovação through the project M1420-01-0145-FEDER-000005-CQM+(Madeira 14-20 Program) and ARDITI-CQM-2017-ISG-003 for sponsorship.
Institutional Review Board Statement
Studies not involving humans or animals.
Informed Consent Statement
Not applicable.
Data Availability Statement
Not applicable.
Acknowledgments
We gratefully acknowledged the financial support from the National Natural Science Foundation of China, Shanghai Frontiers Research Center of the Hadal Biosphere; the Science and Technology Research Project of Jiangxi Provincial Department of Education; FCT-Fundação para a Ciência e a Tecnologia, ARDITI-Agência Regional para o Desenvolvimento da Investigação Tecnologia e Inovação.
Conflicts of Interest
The authors declare no conflict of interest.
References
- Hasumi, K.; Suzuki, E. Impact of SMTP targeting plasminogen and soluble epoxide hydrolase on thrombolysis, inflammation, and ischemic stroke. Int. J. Mol. Sci. 2021, 22, 954. [Google Scholar] [CrossRef] [PubMed]
- Hasumi, K.; Yamamichi, S.; Harada, T. Small-molecule modulators of zymogen activation in the fibrinolytic and coagulation systems. FEBS J. 2010, 277, 3675–3687. [Google Scholar] [CrossRef]
- Rijken, D.C.; Lijnen, H.R. New insights into the molecular mechanisms of the fibrinolytic system. J. Thromb. Haemost. 2009, 7, 4–13. [Google Scholar] [CrossRef] [PubMed]
- Chang, Y.; Dabiri, G.; Damstetter, E.; Ebot, E.B.; Powers, J.G.; Phillips, T. Coagulation disorders and their cutaneous presentations: Pathophysiology. J. Am. Acad. Dermatol. 2016, 74, 783–792. [Google Scholar] [CrossRef]
- Booth, N.A. Fibrinolysis and thrombosis. Bailliere’s Best Pract. Res. Clin. Haematol. 1999, 12, 423–433. [Google Scholar] [CrossRef] [PubMed]
- Sashidhara, K.V.; Kumar, A.; Kumar, M.; Singh, S.; Jain, M.; Dikshit, M. Synthesis of novel 3-carboxamide-benzocoumarin derivatives as orally active antithrombotic agents. Bioorg. Med. Chem. Lett. 2011, 21, 7034–7040. [Google Scholar] [CrossRef] [PubMed]
- Waluyo, D.; Prabandari, E.E.; Pramisandi, A.; Hidayati, D.N.; Chrisnayanti, E.; Puspitasari, D.J.; Dewi, D.; Suryani; Kristiningrum; Oktaviani, A.N.; et al. Exploring natural microbial resources for the discovery of anti-malarial compounds. Parasitol. Int. 2021, 85, 102432. [Google Scholar] [CrossRef]
- Jing, L.; Luohao, L.; Runqing, Z.; Vuanghao, L.; Qianqian, S.; Lizhen, F. Natural products from the genus Daldinia and their bioactivities. Med. Res. 2021, 5, 210005. [Google Scholar]
- Xiaojing, S.; Hong, W.; Jiao, C.; Zhubin, Z.; Fanqiu, N. Chemical constituents and bioactivities of Aconitum episcopale. Med. Res. 2021, 5, 210001. [Google Scholar]
- Romano, G.; Costantini, M.; Sansone, C.; Lauritano, C.; Ruocco, N.; Ianora, A. Marine microorganisms as a promising and sustainable source of bioactive molecules. Mar. Environ. Res. 2017, 128, 58–69. [Google Scholar] [CrossRef]
- Hui, H.; Junwen, W.; Xueyan, L.; Wenhui, W.; Kejin, S.; Chaoyan, Z. Renoprotective effect of sulphate polysaccharide from brown algae on ethylene glycol-induced renal damage in rats. Med. Res. 2020, 4, 190010. [Google Scholar]
- Junwen, W.; Xueyan, L.; Chaoyan, Z. Recent advances on bioactivity of seaweed polysaccharides. Med. Res. 2019, 3, 200003. [Google Scholar]
- Malve, H. Exploring the ocean for new drug developments: Marine pharmacology. J. Pharm. BioAllied Sci. 2016, 8, 83–91. [Google Scholar] [CrossRef]
- Phuphanich, S.; Maria, B.; Braeckman, R.; Chamberlain, M. A pharmacokinetic study of intra-CSF administered encapsulated cytarabine (DepoCyt) for the treatment of neoplastic meningitis in patients with leukemia, lymphoma, or solid tumors as part of a phase III study. J. Neuro-Oncol. 2007, 81, 201–208. [Google Scholar] [CrossRef]
- Jimenez, P.C.; Wilke, D.V.; Branco, P.C.; Bauermeister, A.; Rezende-Teixeira, P.; Gaudêncio, S.P.; Costa-Lotufo, L.V. Enriching cancer pharmacology with drugs of marine origin. Br. J. Pharmacol. 2020, 177, 3–27. [Google Scholar] [CrossRef]
- Martinez, A. Marine-derived drugs in neurology. Curr. Opin. Investig. Drugs 2007, 8, 525–530. [Google Scholar]
- Kohyama, T.; Hasumi, K.; Hamanaka, A.; Endo, A. SMTP-1 and -2, novel analogs of staplabin produced by Stachybotrys microspora IFO30018. J. Antibiot. 1997, 50, 172–174. [Google Scholar] [CrossRef]
- Takayasu, R.; Hasumi, K.; Shinohara, C.; Endo, A. Enhancement of fibrin binding and activation of plasminogen by staplabin through induction of a conformational change in plasminogen. FEBS Lett. 1997, 18, 58–62. [Google Scholar] [CrossRef]
- Shinohara, C.; Hasumi, K.; Hatsumi, W.; Endo, A. Saplabin, a novel fungal triprenyl phenol which stimulates the binding of plasminogen to fibrin and U937 Cells. J. Antibiot. 1996, 49, 961–966. [Google Scholar] [CrossRef]
- Hu, W.; Ohyama, S.; Hasumi, K. Activation of fibrinolysis by SMTP-7 and -8, novel staplabin analogs with a pseudosymmetric structure. J. Antibiot. 2000, 53, 241–247. [Google Scholar] [CrossRef]
- Hasegawa, K.; Koide, H.; Hu, W.; Nishimura, N.; Narasaki, R.; Kitano, Y.; Hasumi, K. Structure-activity relationships of 11 new congeners of the SMTP plasminogen modulator. J. Antibiot. 2010, 63, 589–593. [Google Scholar] [CrossRef]
- Miyazaki, T.; Kimura, Y.; Ohata, H.; Hashimoto, T.; Shibata, K.; Hasumi, K.; Honda, K. Distinct effects of tissue-type plasminogen activator and SMTP-7 on cerebrovascular inflammation following thrombolytic reperfusion. Stroke 2011, 42, 1097–1104. [Google Scholar] [CrossRef]
- Hu, W.; Narasaki, R.; Nishimura, N.; Hasumi, K. SMTP (Stachybotrys microspora triprenyl phenol) enhances clot clearance in a pulmonary embolism model in rats. Thromb. J. 2012, 10, 2. [Google Scholar] [CrossRef]
- Hu, W.; Kitano, Y.; Hasumi, K. SMTP-4D, -5D, -6D, -7D and -8D, a new series of the non-lysine-analog plasminogen modulators with a D-amino acid moiety. J. Antibiot. 2003, 56, 832–837. [Google Scholar] [CrossRef][Green Version]
- Hu, W.; Narasaki, R.; Ohyama, S.; Hasumi, K. Selective production of staplabin and SMTPs in cultures of Stachybotrys microspora fed with precursor amines. J. Antibiot. 2001, 54, 962–966. [Google Scholar] [CrossRef]
- Benjamin, E.J.; Blaha, M.J.; Chiuve, S.E.; Cushman, M.; Das, S.R.; Deo, R.; de Ferranti, S.D.; Floyd, J.; Fornage, M.; Gillespie, C.; et al. Heart disease and stroke statistics—2017 update: A report from the American Heart Association. Circulation 2017, 135, e146–e603. [Google Scholar] [CrossRef]
- Zhao, Y.; Zhang, X.; Chen, X.; Wei, Y. Neuronal injuries in cerebral infarction and ischemic stroke: From mechanisms to treatment (review). Int. J. Mol. Med. 2022, 49, 15. [Google Scholar] [CrossRef]
- Hashimoto, T.; Shibata, K.; Nobe, K.; Hasumi, K.; Honda, K. A novel embolic model of cerebral infarction and evaluation of Stachybotrys microspora triprenyl phenol-7 (SMTP-7), a novel fungal triprenyl phenol metabolite. J. Pharmacol. Sci. 2010, 114, 41–49. [Google Scholar] [CrossRef] [PubMed]
- Shibata, K.; Hashimoto, T.; Nobe, K.; Hasumi, K.; Honda, K. A novel finding of a low-molecular-weight compound, SMTP-7, having thrombolytic and anti-inflammatory effects in cerebral infarction of mice. Naunyn-Schmiedeberg’s Arch. Pharmacol. 2010, 382, 245–253. [Google Scholar] [CrossRef] [PubMed]
- Sawada, H.; Nishimura, N.; Suzuki, E.; Zhuang, J.; Hasegawa, K.; Takamatsu, H.; Honda, K.; Hasumi, K. SMTP-7, a novel small-molecule thrombolytic for ischemic stroke: A study in rodents and primates. J. Cereb. Blood Flow Metab. 2014, 34, 235–241. [Google Scholar] [CrossRef] [PubMed]
- Suzuki, E.; Nishimura, N.; Yoshikawa, T.; Kunikiyo, Y.; Hasegawa, K.; Hasumi, K. Efficacy of SMTP-7, a small-molecule anti-inflammatory thrombolytic, in embolic stroke in monkeys. Pharmacol. Res. Perspect. 2018, 6, e00448. [Google Scholar] [CrossRef]
- Ito, A.; Niizuma, K.; Shimizu, H.; Fujimura, M.; Hasumi, K.; Tominaga, T. SMTP-7, a new thrombolytic agent, decreases hemorrhagic transformation after transient middle cerebral artery occlusion under warfarin anticoagulation in mice. Brain Res. 2014, 1578, 38–48. [Google Scholar] [CrossRef]
- Wang, G.; Wu, W.; Zhu, Q.; Fu, S.; Wang, X.; Hong, S.; Guo, R.; Bao, B. Identification and fibrinolytic evaluation of an isoindolone derivative isolated from a rare marine fungus Stachybotrys longispora FG216. Chin. J. Chem. 2015, 33, 1089–1095. [Google Scholar] [CrossRef]
- Yan, T.; Wu, W.; Su, T.; Chen, J.; Zhu, Q.; Zhang, C.; Wang, X.; Bao, B. Effects of a novel marine natural product: Pyrano indolone alkaloid fibrinolytic compound on thrombolysis and hemorrhagic activities in vitro and in vivo. Arch. Pharmacal. Res. 2015, 8, 1530–1540. [Google Scholar] [CrossRef]
- Gao, C.; Shen, Q.; Tang, P.; Cao, Y.; Lin, H.; Li, B.; Sun, P.; Bao, B.; Wu, W. In vitro study of the fibrinolytic activity via single chain urokinase-type plasminogen activator and molecular docking of FGFC1. Molecules 2021, 26, 1816. [Google Scholar] [CrossRef]
- Hasumi, K.; Ohyama, S.; Kohyama, T.; Ohsaki, Y.; Takayasu, R.; Endo, A. Isolation of SMTP-3, 4, 5 and -6, novel analogs of staplabin, and their effects on plasminogen activation and fibrinolysis. J. Antibiot. 1998, 51, 1059–1068. [Google Scholar] [CrossRef]
- Koide, H.; Hasegawa, K.; Nishimura, N.; Narasaki, R.; Hasumi, K. A new series of the SMTP plasminogen modulators with a phenylamine-based side chain. J. Antibiot. 2012, 65, 361–367. [Google Scholar] [CrossRef]
- Shibata, K.; Hashimoto, T.; Hasumi, K.; Honda, K.; Nobe, K. Evaluation of the effects of a new series of SMTPs in the acetic acid-induced embolic cerebral infarct mouse model. Eur. J. Pharmacol. 2018, 818, 221–227. [Google Scholar] [CrossRef]
- Akamatsu, Y.; Saito, A.; Fujimura, M.; Shimizu, H.; Mekawy, M.; Hasumi, K.; Tominaga, T. Stachybotrys microspora triprenyl phenol-7, a novel fibrinolytic agent, suppresses superoxide production, matrix metalloproteinase-9 expression, and thereby attenuates ischemia/reperfusion injury in rat brain. Neurosci. Lett. 2011, 503, 110–114. [Google Scholar] [CrossRef]
- Hashimoto, T.; Shibata, K.; Ohata, H.; Hasumi, K.; Honda, K. Altered gene expression in an embolic stroke model after thrombolysis with tissue plasminogen activator and Stachybotrys microspora triprenyl phenol-7. J. Pharmacol. Sci. 2014, 125, 99–106. [Google Scholar] [CrossRef]
- Huang, Y.; Ohta, Y.; Shang, J.; Li, X.; Liu, X.; Shi, X.; Feng, T.; Yamashita, T.; Sato, K.; Takemoto, M.; et al. Reduction of ischemia reperfusion-related brain hemorrhage by Stachybotrys microspora triprenyl phenol-7 in mice with antioxidant effects. J. Stroke Cerebrovasc. Dis. 2018, 27, 3521–3528. [Google Scholar] [CrossRef]
- Koyanagi, K.; Narasaki, R.; Yamamichi, S.; Suzuki, E.; Hasumi, K. Mechanism of the action of SMTP-7, a novel small-molecule modulator of plasminogen activation. Blood Coagul. Fibrinolysis 2014, 25, 316–321. [Google Scholar] [CrossRef]
- Guo, R.H.; Duan, D.; Hong, S.T.; Zhou, Y.; Wang, F.; Wang, S.J.; Wu, W.H.; Bao, B. A marine fibrinolytic compound FGFC1 stimulating enzymatic kinetic parameters of a reciprocal activation system based on a single chain urokinase-type plasminogen activator and plasminogen. Process Biochem. 2018, 68, 190–196. [Google Scholar] [CrossRef]
- Rahman, M.N.; Becker, L.; Petrounevitch, V.; Hill, B.C.; Jia, Z.; Koschinsky, M.L. Comparative analyses of the lysine binding site properties of apolipoprotein(a) kringle IV types 7 and 10. Biochemistry 2002, 41, 1149–1155. [Google Scholar] [CrossRef]
- Xue, Y.; Bodin, C.; Olsson, K. Crystal structure of the native plasminogen reveals an activation-resistant compact conformation. J. Thromb. Haemostasis. 2012, 10, 1385–1396. [Google Scholar] [CrossRef]
- Law, R.H.P.; Abu-Ssaydeh, D.; Whisstock, J.C. New insights into the structure and function of the plasminogen/plasmin system. Curr. Opin. Struct. Biol. 2013, 23, 836–841. [Google Scholar] [CrossRef]
- Otake, S.; Ogawa, N.; Kitano, Y.; Hasumi, K.; Suzuki, E. Isoprene side-chain of SMTP is essential for soluble epoxide hydrolase inhibition and cellular localization. Nat. Prod. Commun. 2016, 11, 223–227. [Google Scholar] [CrossRef]
- Hasumi, K.; Hasegawa, K.; Kitano, Y. Isolation and absolute configuration of SMTP-0, a simplest congener of the SMTP family nonlysine-analog plasminogen modulators. J. Antibiot. 2007, 60, 463–468. [Google Scholar] [CrossRef]
- Yellepeddi, V.; Rower, J.; Liu, X.; Kumar, S.; Rashid, J.; Sherwin, C.M.T. State-of-the-art review on physiologically based pharmacokinetic modeling in pediatric drug development. Clin. Pharmacokinet. 2019, 58, 1–13. [Google Scholar] [CrossRef]
- Su, T.; Wu, W.; Yan, T.; Zhang, C.; Zhu, Q.; Bao, B. Pharmacokinetics and tissue distribution of a novel marine fibrinolytic compound in Wistar rat following intravenous administrations. J. Chromatogr. B Anal. Technol. Biomed. Life Sci. 2013, 942, 77–82. [Google Scholar] [CrossRef]
- Ma, Z.; Guo, R.; Elango, J.; Bao, B.; Wu, W. Evaluation of marine diindolinonepyrane in vitro and in vivo: Permeability characterization in Caco-2 cells monolayer and pharmacokinetic properties in Beagle dogs. Mar. Drugs 2019, 17, 651. [Google Scholar] [CrossRef] [PubMed]
- You, H.S.; Zhang, H.F.; Dong, Y.L.; Chen, S.Y.; Wang, M.Y.; Dong, W.H.; Xing, J.F. Absorption and transportation characteristics of scutellarin and scutellarein across Caco-2 monolayer model. Zhongxiyi Jiehe Xuebao 2010, 8, 863–869. [Google Scholar] [CrossRef] [PubMed]
- Wang, Y.; Chen, H.; Sheng, R.; Fu, Z.; Fan, J.; Wu, W.; Tu, Q.; Guo, R. Synthesis and bioactivities of marine pyran-isoindolone derivatives as potential antithrombotic agents. Mar. Drugs 2021, 19, 218. [Google Scholar] [CrossRef] [PubMed]
- Esmon, C.T. Does inflammation contribute to thrombotic events? Haemostasis 2000, 30, 34–40. [Google Scholar] [CrossRef] [PubMed]
- Irving, P.M.; Pasi, K.J.; Rampton, D.S. Thrombosis and inflammatory bowel disease. Clin. Gastroenterol. Hepatol. 2005, 3, 617–628. [Google Scholar] [CrossRef]
- Wakefield, T.W.; Myers, D.D.; Henke, P.K. Mechanisms of venous thrombosis and resolution. Arterioscler. Thromb. Vasc. Biol. 2008, 28, 387–391. [Google Scholar] [CrossRef]
- Harris, T.R.; Hammock, B.D. Soluble epoxide hydrolase: Gene structure, expression and deletion. Gene 2013, 526, 61–74. [Google Scholar] [CrossRef]
- Morisseau, C.; Hammock, B.D. Impact of soluble epoxide hydrolase and epoxyeicosanoids on human health. Annu. Rev. Pharmacol. Toxicol. 2013, 53, 37–58. [Google Scholar] [CrossRef]
- Shen, H.C.; Hammock, B.D. Discovery of inhibitors of soluble epoxide hydrolase: A target with multiple potential therapeutic indications. J. Med. Chem. 2012, 55, 1789–1808. [Google Scholar] [CrossRef]
- Newman, J.W.; Morisseau, C.; Hammock, B.D. Epoxide hydrolases: Their roles and interactions with lipid metabolism. Prog. Lipid Res. 2005, 44, 1–51. [Google Scholar] [CrossRef]
- Thomson, S.J.; Askari, A.; Bishop-Bailey, D. Anti-inflammatory effects of epoxyeicosatrienoic acids. Int. J. Vasc. Med. 2012, 2012, 605101. [Google Scholar] [CrossRef]
- Ulu, A.; Harris, T.R.; Morisseau, C.; Miyabe, C.; Inoue, H.; Schuster, G.; Dong, H.; Iosif, A.M.; Liu, J.Y.; Weiss, R.H.; et al. Anti-inflammatory effects of ω-3 polyunsaturated fatty acids and soluble epoxide hydrolase inhibitors in angiotensin-II-dependent hypertension. J. Cardiovasc. Pharmacol. 2013, 62, 285–297. [Google Scholar] [CrossRef]
- Matsumoto, N.; Suzuki, E.; Ishikawa, M.; Shirafuji, T.; Hasumi, K. Soluble epoxide hydrolase as an anti-inflammatory target of the thrombolytic stroke drug SMTP-7. J. Biol. Chem. 2014, 289, 35826–35838. [Google Scholar] [CrossRef]
- Dirnagl, U.; Iadecola, C.; Moskowitz, M.A. Pathobiology of ischemic stroke: An integrated view. Trends Neurosci. 1999, 22, 391–397. [Google Scholar] [CrossRef]
- Rosell, A.; Cuadrado, E.; Ortega-Aznar, A.; Hernández-Guillamon, M.; Lo, E.H.; Montaner, J. MMP-9-positive neutrophil infiltration is associated to blood-brain barrier breakdown and basal lamina type IV collagen degradation during hemorrhagic transformation after human ischemic stroke. Stroke 2008, 39, 1121–1126. [Google Scholar] [CrossRef]
- Shibata, K.; Hashimoto, T.; Nobe, K.; Hasumi, K.; Honda, K. Neuroprotective mechanisms of SMTP-7 in cerebral infarction model in mice. Naunyn-Schmiedeberg’s Arch. Pharmacol. 2011, 384, 103–108. [Google Scholar] [CrossRef]
- Adibhatla, R.M.; Hatcher, J.F. Phospholipase A2, reactive oxygen species, and lipid peroxidation in cerebral ischemia. Free Radic. Biol. Med. 2006, 40, 376–387. [Google Scholar] [CrossRef]
- Huang, Y.; Ohta, Y.; Shang, J.; Morihara, R.; Nakano, Y.; Fukui, Y.; Liu, X.; Shi, X.; Feng, T.; Yamashita, T.; et al. Antineuroinflammatory effect of SMTP-7 in ischemic mice. J. Stroke Cerebrovasc. Dis. 2018, 27, 3084–3094. [Google Scholar] [CrossRef]
- Shi, X.; Ohta, Y.; Shang, J.; Morihara, R.; Nakano, Y.; Fukui, Y.; Liu, X.; Feng, T.; Huang, Y.; Sato, K.; et al. Neuroprotective effects of SMTP-44D in mice stroke model in relation to neurovascular unit and trophic coupling. J. Neurosci. Res. 2018, 96, 1887–1899. [Google Scholar] [CrossRef]
- Shinouchi, R.; Shibata, K.; Hashimoto, T.; Jono, S.; Hasumi, K.; Nobe, K. SMTP-44D improves diabetic neuropathy symptoms in mice through its antioxidant and anti-inflammatory activities. Pharmacol. Res. Perspect. 2020, 8, e00648. [Google Scholar] [CrossRef]
- Pop-Busui, R.; Boulton, A.J.; Feldman, E.L.; Bril, V.; Freeman, R.; Malik, R.A.; Sosenko, J.M.; Ziegler, D. Diabetic neuropathy: A position statement by the American Diabetes Association. Diabetes Care 2017, 40, 136–154. [Google Scholar] [CrossRef] [PubMed]
- Tesfaye, S.; Boulton, A.J.; Dickenson, A.H. Mechanisms and management of diabetic painful distal symmetrical polyneuropathy. Diabetes Care 2013, 36, 2456–2465. [Google Scholar] [CrossRef]
- Tomino, Y. IgA nephropathy: Lessons from an animal model, the ddY mouse. J. Nephrol. 2008, 21, 463–467. [Google Scholar] [PubMed]
- Mubarak, M. IgA nephropathy: An update on pathogenesis and classification. J. Coll. Physicians Surg. Pak. 2011, 21, 230–233. [Google Scholar] [PubMed]
- Kemmochi, S.; Hayashi, H.; Taniai, E.; Hasumi, K.; Sugita-Konishi, Y.; Kumagai, S.; Mitsumori, K.; Shibutani, M. Protective effect of Stachybotrys microspora triprenyl phenol-7 on the deposition of IgA to the glomerular mesangium in nivalenol-induced IgA nephropathy using BALB/c mice. J. Toxicol. Pathol. 2012, 25, 149–154. [Google Scholar] [CrossRef] [PubMed][Green Version]
- Abuelo, J.G. Normotensive ischemic acute renal failure. N. Engl. J. Med. 2007, 357, 797–805. [Google Scholar] [CrossRef] [PubMed]
- Bonventre, J.V.; Yang, L. Cellular pathophysiology of ischemic acute kidney injury. J. Clin. Investig. 2011, 121, 4210–4221. [Google Scholar] [CrossRef]
- Susantitaphong, P.; Cruz, D.N.; Cerda, J.; Abulfaraj, M.; Alqahtani, F.; Koulouridis, I.; Jaber, B.L.; Acute Kidney Injury Advisory Group of The American Society of Nephrology. World incidence of AKI: A meta-analysis. Clin. J. Am. Soc. Nephrol. 2013, 8, 1482–1493. [Google Scholar] [CrossRef]
- Shibata, K.; Hashimoto, T.; Hasumi, K.; Nobe, K. Potent efficacy of Stachybotrys microspora triprenyl phenol-7, a small molecule having anti-inflammatory and antioxidant activities, in a mouse model of acute kidney injury. Eur. J. Pharmacol. 2021, 910, 174496. [Google Scholar] [CrossRef]
- Ross, R. Successful growth of tumours. Nature 1989, 339, 16–17. [Google Scholar] [CrossRef]
- Gately, S.; Twardowski, P.; Stack, M.S.; Cundiff, D.L.; Grella, D.; Castellino, F.J.; Enghild, J.; Kwaan, H.C.; Lee, F.; Kramer, R.A.; et al. The mechanism of cancer-mediated conversion of plasminogen to the angiogenesis inhibitor angiostatin. Proc. Natl. Acad. Sci. USA 1997, 94, 10868–10872. [Google Scholar] [CrossRef] [PubMed]
- Dhanabal, M.; Sethuraman, N. Endogenous angiogenesis inhibitors as therapeutic agents: Historical perspective and future direction. Recent Pat. Anti-Cancer Drug Discov. 2006, 1, 223–236. [Google Scholar] [CrossRef] [PubMed]
- Ohyama, S.; Harada, T.; Chikanishi, T.; Miura, Y.; Hasumi, K. Nonlysine-analog plasminogen modulators promote autoproteolytic generation of plasmin(ogen) fragments with angiostatin-like activity. Eur. J. Biochem. 2004, 271, 809–820. [Google Scholar] [CrossRef] [PubMed]
- Miller, K.D.; Fidler-Benaoudia, M.; Keegan, T.H.; Hipp, H.S.; Jemal, A.; Siegel, R.L. Cancer statistics for adolescents and young adults, 2020. CA-Cancer J. Clin. 2020, 70, 443–459. [Google Scholar] [CrossRef]
- Chan, S.K.; Gullick, W.J.; Hill, M.E. Mutations of the epidermal growth factor receptor in non-small cell lung cancer—Search and destroy. Eur. J. Cancer 2006, 42, 17–23. [Google Scholar] [CrossRef]
- Yan, S.; Zhang, B.; Feng, J.; Wu, H.; Duan, N.; Zhu, Y.; Zhao, Y.; Shen, S.; Zhang, K.; Wu, W.; et al. FGFC1 selectively inhibits erlotinib-resistant non-small cell lung cancer via elevation of ROS mediated by the EGFR/PI3K/Akt/mTOR pathway. Front. Pharmacol. 2022, 12, 764699. [Google Scholar] [CrossRef]
- Joseph, B.; Marchetti, P.; Formstecher, P.; Kroemer, G.; Lewensohn, R.; Zhivotovsky, B. Mitochondrial dysfunction is an essential step for killing of non-small cell lung carcinomas resistant to conventional treatment. Oncogene 2017, 36, 4818. [Google Scholar] [CrossRef]
- Feng, J.; Li, S.; Zhang, B.; Duan, N.; Zhou, R.; Yan, S.; Elango, J.; Liu, N.; Wu, W. FGFC1 exhibits anti-cancer activity via inhibiting NF-κB signaling pathway in EGFR-mutant NSCLC cells. Mar. Drugs 2022, 20, 76. [Google Scholar] [CrossRef]
- Nishimura, Y.; Suzuki, E.; Hasegawa, K.; Nishimura, N.; Kitano, Y.; Hasumi, K. Pre-SMTP, a key precursor for the biosynthesis of the SMTP plasminogen modulators. J. Antibiot. 2012, 65, 483–485. [Google Scholar] [CrossRef]
- Do Minh, T.; Johnson, A.L.; Jones, J.E.; Senise, P.P., Jr. Reactions of phthalaldehyde with ammonia and amines. J. Org. Chem. 1977, 42, 4217–4221. [Google Scholar] [CrossRef]
- Su, T.; Bao, B.; Yan, T.; Zhang, C.; Bu, Y.; Wu, W. Response surface methodology to optimize marine microbe culture for producing fungi fibrinolytic compound. Chin. J. Biotechnol. 2013, 29, 857–861. [Google Scholar]
- Wang, M.; He, H.; Na, K.; Cai, M.; Zhou, X.; Zhao, W.; Zhang, Y. Designing novel glucose/ornithine replenishment strategies by biosynthetic and bioprocess analysis to improve fibrinolytic FGFC1 production by the marine fungus Stachybotrys longispora. Process Biochem. 2015, 50, 2012–2018. [Google Scholar] [CrossRef]
- Yin, Y.; Fu, Q.; Wu, W.; Cai, M.; Zhou, X.; Zhang, Y. Producing novel fibrinolytic isoindolinone derivatives in marine fungus Stachybotrys longispora FG216 by the rational supply of amino compounds according to its biosynthesis pathway. Mar. Drugs 2017, 15, 214. [Google Scholar] [CrossRef]
Publisher’s Note: MDPI stays neutral with regard to jurisdictional claims in published maps and institutional affiliations. |
© 2022 by the authors. Licensee MDPI, Basel, Switzerland. This article is an open access article distributed under the terms and conditions of the Creative Commons Attribution (CC BY) license (https://creativecommons.org/licenses/by/4.0/).