Subcritical Water Hydrolysis of Comb Pen Shell (Atrina pectinata) Edible Parts to Produce High-Value Amino Acid Products
Abstract
:1. Introduction
2. Results and Discussion
2.1. Proximate Compositions
2.2. Hydrolysis Efficiency and the Changes in Molecular Weight (MW)
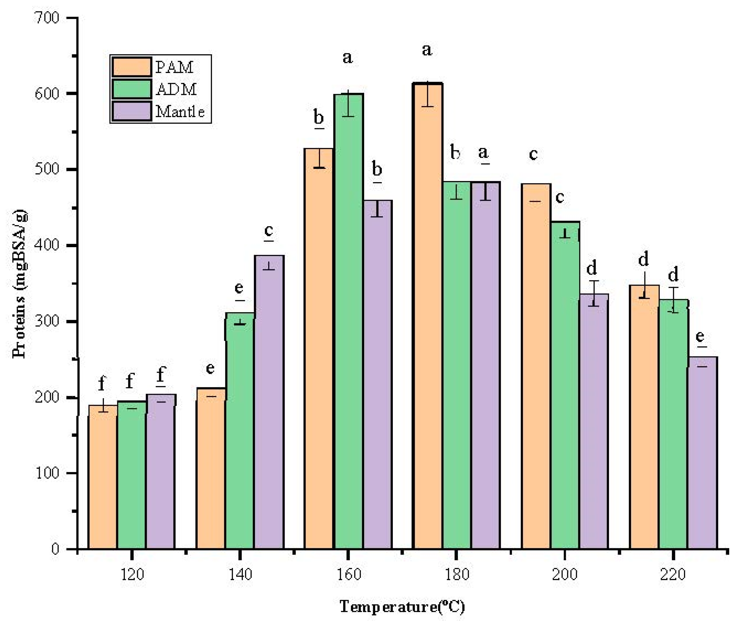
2.3. Content of Total Protein and Reducing Sugar, and Color Changes of the Hydrolysates
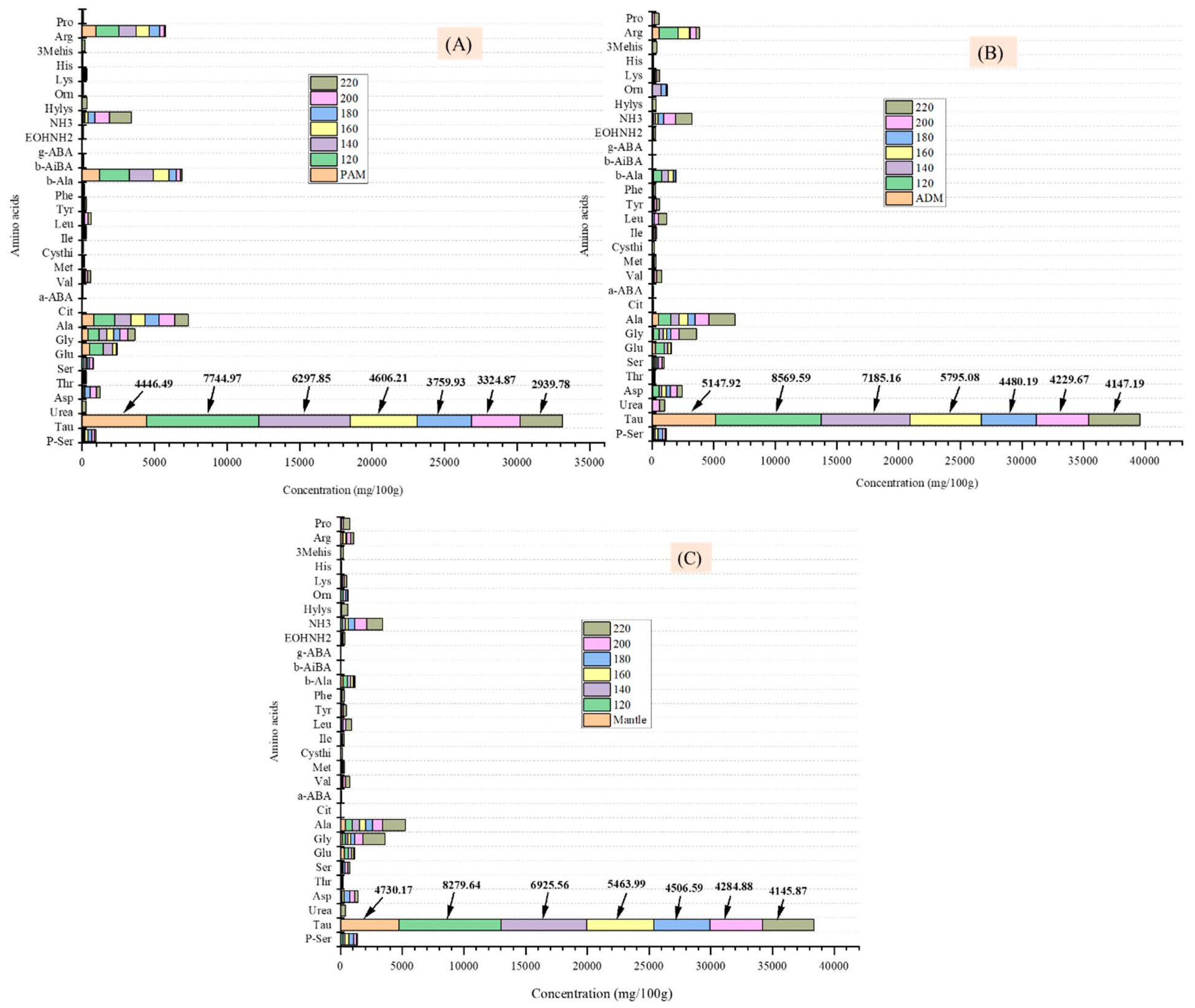
2.4. Bound and Free Amino Acid Content
2.5. Taurine Content
2.6. Antioxidant Capacity of the Hydrolysates
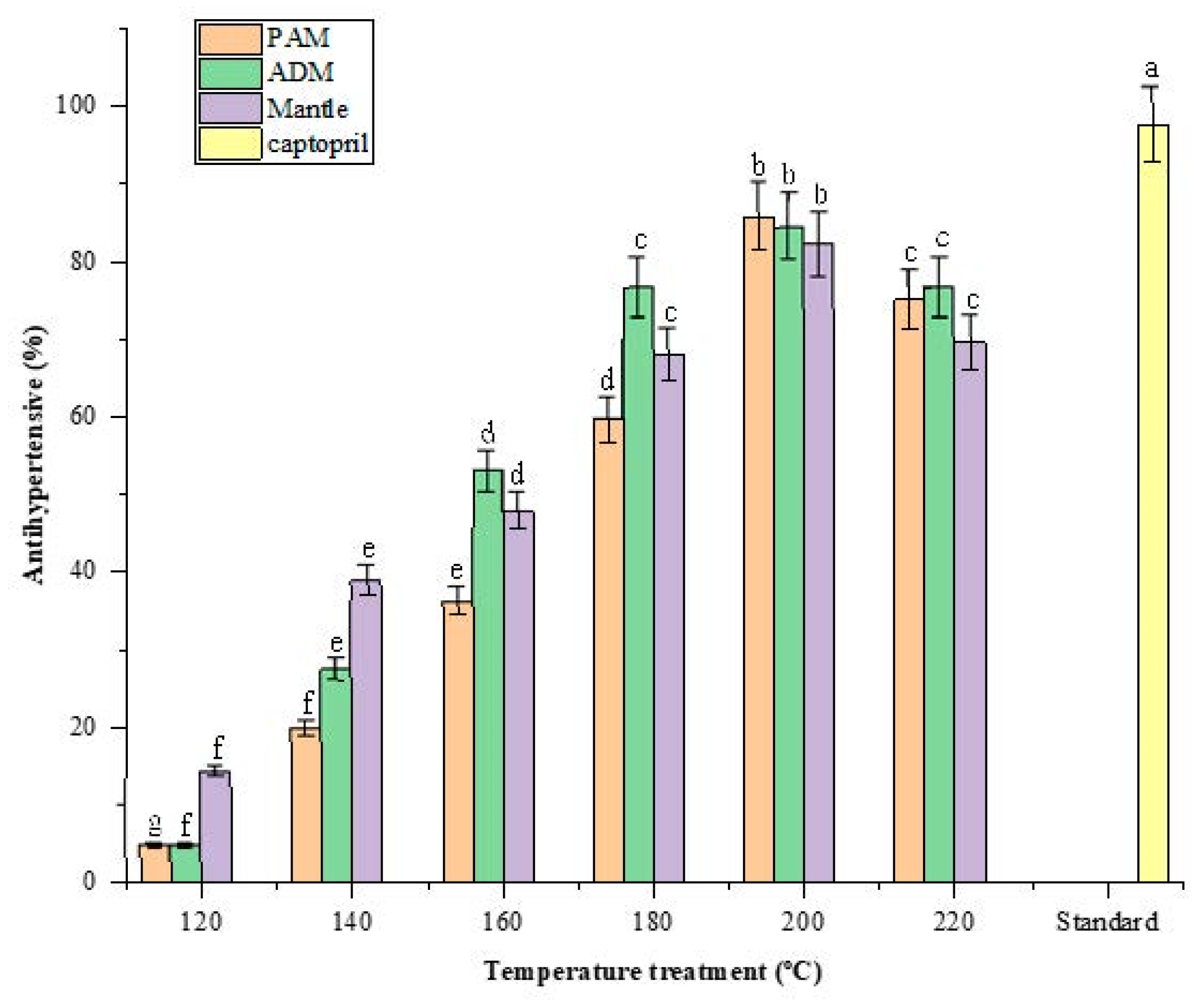
2.7. Effect on the Antihypertensive Activity
3. Materials and Methods
3.1. Materials
3.2. Approximate Compositions Analysis
3.3. Subcritical Water Extraction
3.4. Reducing Sugar
3.5. Total Protein Content
3.6. Antioxidant Capacity
3.7. Antihypertensive Activity
3.8. Analysis of Bound and Free Amino Acids
3.9. Measurement of Color
3.10. Gel Permeation Chromatography (GPC)
3.11. Statistical Analysis
4. Conclusions
Author Contributions
Funding
Institutional Review Board Statement
Informed Consent Statement
Conflicts of Interest
References
- An, H.S.; Lee, J.W.; Dong, C.M. Population genetic structure of Korean pen shell (Atrina pectinata) in Korea inferred from microsatellite marker analysis. Genes Genom. 2012, 34, 681–688. [Google Scholar] [CrossRef]
- Lee, H.-J.; Roy, V.C.; Ho, T.C.; Park, J.-S.; Jeong, Y.-R.; Lee, S.-C.; Kim, S.-Y.; Chun, B.-S. Amino Acid, Profiles and Biopotentiality of Hydrolysates Obtained from Comb Penshell (Atrina pectinata) Viscera Using Subcritical Water Hydrolysis. Mar. Drugs 2021, 19, 137. [Google Scholar] [CrossRef] [PubMed]
- Pereira, C.G.; Meireles, M.A.A. Supercritical fluid extraction of bioactive compounds: Fundamentals, applications and economic perspectives. Food Bioproc. Tech. 2010, 3, 340–372. [Google Scholar] [CrossRef]
- Akgün, M.; Akgün, N.A.; Dinçer, S. Phase behaviour of essential oil components in supercritical carbon dioxide. J. Supercrit. Fluids 1999, 15, 117–125. [Google Scholar] [CrossRef]
- Jeong, Y.-R.; Park, J.-S.; Nkurunziza, D.; Cho, Y.-J.; Chun, B.-S. Valorization of blue mussel for the recovery of free amino acids rich products by subcritical water hydrolysis. J. Supercrit. Fluids 2021, 169, 105135. [Google Scholar] [CrossRef]
- Essien, S.O.; Young, B.; Baroutian, S. Recent advances in subcritical water and supercritical carbon dioxide extraction of bioactive compounds from plant materials. Trends Food Sci. Technol. 2020, 97, 156–169. [Google Scholar] [CrossRef]
- Plaza, M.; Turner, C. Pressurized hot water extraction of bioactives. Trends Analyt. Chem. 2015, 71, 39–54. [Google Scholar] [CrossRef] [Green Version]
- Lachos-Perez, D.; Baseggio, A.M.; Mayanga-Torres, P.C.; Maróstica, M.R.; Rostagno, M.A.; Martínez, J.; Forster-Carneiro, T. Subcritical water extraction of flavanones from defatted orange peel. J. Supercrit. Fluids 2018, 138, 7–16. [Google Scholar] [CrossRef]
- Zhang, J.; Wen, C.; Zhang, H.; Duan, Y.; Ma, H. Recent advances in the extraction of bioactive compounds with subcritical water: A review. Trends Food Sci. Technol. 2020, 95, 183–195. [Google Scholar] [CrossRef]
- Ramos, L.; Kristenson, E.M.; Brinkman, U.T. Current use of pressurised liquid extraction and subcritical water extraction in environmental analysis. J. Chromatogr. A 2002, 975, 3–29. [Google Scholar] [CrossRef]
- Watchararuji, K.; Goto, M.; Sasaki, M.; Shotipruk, A. Value-added subcritical water hydrolysate from rice bran and soybean meal. Bioresour Technol. 2008, 99, 6207–6213. [Google Scholar] [CrossRef] [PubMed]
- Thaipong, K.; Boonprakob, U.; Crosby, K.; Cisneros-Zevallos, L.; Byrne, D.H. Comparison of ABTS, DPPH, FRAP, and ORAC assays for estimating antioxidant activity from guava fruit extracts. J. Food Compos. Anal. 2006, 19, 669–675. [Google Scholar] [CrossRef]
- Hwang, I.G.; Kim, H.Y.; Woo, K.S.; Lee, J.; Jeong, H.S. Biological activities of Maillard reaction products (MRPs) in a sugar–amino acid model system. Food Chem. 2011, 126, 221–227. [Google Scholar] [CrossRef]
- Asaduzzaman, A.K.M.; Chun, B.-S. Recovery of functional materials with thermally stable antioxidative properties in squid muscle hydrolyzates by subcritical water. J. Food Sci. Technol. 2015, 52, 793–802. [Google Scholar] [CrossRef] [PubMed] [Green Version]
- Ahmed, R.; Chun, B.-S. Subcritical water hydrolysis for the production of bioactive peptides from tuna skin collagen. J. Supercrit. Fluids 2018, 141, 88–96. [Google Scholar] [CrossRef]
- Sato, N.; Quitain, A.T.; Kang, K.; Daimon, H.; Fujie, K. Reaction kinetics of amino acid decomposition in high-temperature and high-pressure water. Ind. Eng. Chem. Res. 2004, 43, 3217–3222. [Google Scholar] [CrossRef]
- Kumar, V.; Chandra, R. Characterisation of manganese peroxidase and laccase producing bacteria capable for degradation of sucrose glutamic acid-Maillard reaction products at different nutritional and environmental conditions. World J. Microbiol. Biotechnol. 2018, 34, 32. [Google Scholar] [CrossRef] [Green Version]
- Hao, G.; Cao, W.; Li, T.; Chen, J.; Zhang, J.; Weng, W.; Osako, K.; Ren, H. Effect of temperature on chemical properties and antioxidant activities of abalone viscera subcritical water extract. J. Supercrit. Fluids 2019, 147, 17–23. [Google Scholar] [CrossRef]
- Caine, J.J.; Geracioti, T.D. Taurine, energy drinks, and neuroendocrine effects. Cleve Clin. J. Med. 2016, 83, 895–904. [Google Scholar] [CrossRef] [Green Version]
- Wright, C.E.; Tallan, H.H.; Lin, Y.Y.; Gaull, G.E. Taurine: Biological update. Annu. Rev. Biochem. 1986, 55, 427–453. [Google Scholar] [CrossRef]
- Benjakul, S.; Lertittikul, W.; Bauer, F. Antioxidant activity of Maillard reaction products from a porcine plasma protein–sugar model system. Food Chem. 2005, 93, 189–196. [Google Scholar] [CrossRef]
- Getachew, A.T.; Lee, H.J.; Cho, Y.J.; Chae, S.J.; Chun, B.S. Optimization of polysaccharides extraction from Pacific oyster (Crassostrea gigas) using subcritical water: Structural characterization and biological activities. Int. J. Biol. Macromol. 2019, 121, 852–861. [Google Scholar] [CrossRef] [PubMed]
- Romdhane, M.B.; Haddar, A.; Ghazala, I.; Jeddou, K.B.; Helbert, C.B.; Ellouz-Chaabouni, S. Optimization of polysaccharides extraction from watermelon rinds: Structure, functional and biological activities. Food Chem. 2017, 216, 355–364. [Google Scholar] [CrossRef]
- Udenigwe, C.C.; Aluko, R.E. Food protein-derived bioactive peptides: Production, processing, and potential health benefits. J. Food Sci. 2012, 77, R11–R24. [Google Scholar] [CrossRef] [PubMed]
- Xu, Y.-J.; Arneja, A.S.; Tappia, P.S.; Dhalla, N.S. The potential health benefits of taurine in cardiovascular disease. Exp. Clin. Cardiol. 2008, 13, 57. [Google Scholar] [PubMed]
- Saqib, A.A.N.; Whitney, P.J. Differential behaviour of the dinitrosalicylic acid (DNS) reagent towards mono-and di-saccharide sugars. Biomass Bioenerg. 2011, 35, 4748–4750. [Google Scholar] [CrossRef]







| Compositions | PAM (%) | ADM (%) | Mantle (%) |
|---|---|---|---|
| Crude lipid | 2.72 ± 0.80 a | 3.72 ± 1.33 b | 3.68 ± 0.49 b |
| Crude protein | 64.70 ± 1.24 a | 66.80 ± 1.08 a | 64.90 ± 1.11 a |
| Moisture | 2.02 ± 0.13 a | 1.91 ± 0.09 a | 3.08 ± 0.13 b |
| Ash | 5.35 ± 0.02 a | 8.98 ± 0.15 b | 16.65 ± 0.32 c |
| Carbohydrate | 25.21 ± 0.55 a | 18.59 ± 0.66 b | 11.69 ± 0.51 c |
| Samples | Average Molecular Weight (Da) | |||||
|---|---|---|---|---|---|---|
| 120 °C | 140 °C | 160 °C | 180 °C | 200 °C | 220 °C | |
| PAM | 993,368 | 679,527 | 367,247 | 172,730 | 7169 | 1292 |
| ADM | 816,004 | 551,550 | 323,440 | 138,939 | 1652 | 1264 |
| Mantle | 1,010,109 | 475,506 | 237,344 | 114,841 | 1826 | 1324 |
| Temperatures (°C) | PAM | ADM | Mantle | ||||||
|---|---|---|---|---|---|---|---|---|---|
| L * | a * | b * | L * | a * | b * | L * | a * | b * | |
| 120 | 60.41 ± 1.9 a | 1.08 ± 0.15 c | 6.65 ± 0.11 d | 55.76 ± 1.11 b | 1.01 ± 0.08 c | 14.17 ± 0.5 b | 58.87 ± 2.53 a | 0.33 ± 0.06 d | 7.56 ± 0.15 e |
| 140 | 62.58 ± 1.12 a | −0.10 ± 0.03 f | 8.61 ± 0.13 c | 63.27 ± 1.21 a | −0.57 ± 0.09 d | 9.95 ± 0.16 d | 61.93 ± 1.82 a | −0.76 ± 0.08 e | 11.51 ± 0.89 c |
| 160 | 57.72 ± 0.86 b | 0.44 ± 0.08 e | 17.47 ± 1.21 b | 55.33 ± 1.50 b | 0.90 ± 0.92 c | 19.17 ± 0.27 a | 49.22 ± 1.81 b | 1.22 ± 0.55 c | 15.34 ± 0.99 b |
| 180 | 53.10 ± 1.11 c | 2.94 ± 0.53 b | 24.41 ± 1.23 a | 44.67 ± 1.27 c | 4.96 ± 0.06 b | 18.46 ± 0.94 a | 44.22 ± 1.35 c | 4.48 ± 0.04 b | 17.71 ± 1.51 a |
| 200 | 31.99 ± 0.96 d | 6.16 ± 0.95 a | 2.15 ± 0.10 e | 38.01 ± 0.98 d | 9.17 ± 1.16 a | 12.16 ± 0.41 c | 38.64 ± 1.12 d | 9.53 ± 0.08 a | 8.79 ± 0.12 d |
| 220 | 30.56 ± 0.82 d | 0.69 ± 0.09 d | −0.39 ± 0.03 f | 34.93 ± 0.88 e | 9.55 ± 0.55 a | 7.49 ± 0.19 e | 35.67 ± 1.42 e | 8.55 ± 0.89 a | 7.31 ± 1.31 e |
| Amino Acid Compositions | Content (mg/g) | ||
|---|---|---|---|
| PAM | ADM | Mantle | |
| Aspartic acid | 53.96 | 65.34 | 53.70 |
| Threonine | 23.05 | 27.77 | 24.67 |
| Serine | 26.38 | 33.46 | 29.48 |
| Glutamic acid | 78.69 | 90.96 | 78.51 |
| Glycine | 22.67 | 38.08 | 55.52 |
| Alanine | 46.82 | 53.23 | 42.59 |
| Cysteine | 3.97 | 5.88 | 5.63 |
| Valine | 13.61 | 17.26 | 15.64 |
| Methionine | 14.00 | 11.34 | 11.99 |
| Isoleucine | 11.06 | 12.83 | 10.97 |
| Leucine | 44.80 | 52.67 | 37.98 |
| Tyrosine | 16.89 | 20.63 | 15.97 |
| Phenylalanine | 29.84 | 19.19 | 17.74 |
| Lysine | 39.35 | 42.14 | 31.62 |
| NH3 | 6.83 | 8.52 | 7.36 |
| Histidine | 8.83 | 9.27 | 7.37 |
| Arginine | 49.36 | 57.38 | 44.27 |
| Hypro | 0.00 | 5.78 | 13.02 |
| Proline | 15.81 | 25.57 | 32.13 |
Publisher’s Note: MDPI stays neutral with regard to jurisdictional claims in published maps and institutional affiliations. |
© 2022 by the authors. Licensee MDPI, Basel, Switzerland. This article is an open access article distributed under the terms and conditions of the Creative Commons Attribution (CC BY) license (https://creativecommons.org/licenses/by/4.0/).
Share and Cite
Chun, B.-S.; Lee, S.-C.; Ho, T.-C.; Micomyiza, J.-B.; Park, J.-S.; Nkurunziza, D.; Lee, H.-J. Subcritical Water Hydrolysis of Comb Pen Shell (Atrina pectinata) Edible Parts to Produce High-Value Amino Acid Products. Mar. Drugs 2022, 20, 357. https://doi.org/10.3390/md20060357
Chun B-S, Lee S-C, Ho T-C, Micomyiza J-B, Park J-S, Nkurunziza D, Lee H-J. Subcritical Water Hydrolysis of Comb Pen Shell (Atrina pectinata) Edible Parts to Produce High-Value Amino Acid Products. Marine Drugs. 2022; 20(6):357. https://doi.org/10.3390/md20060357
Chicago/Turabian StyleChun, Byung-Soo, Seung-Chan Lee, Truc-Cong Ho, Jean-Bosco Micomyiza, Jin-Seok Park, David Nkurunziza, and Hee-Jeong Lee. 2022. "Subcritical Water Hydrolysis of Comb Pen Shell (Atrina pectinata) Edible Parts to Produce High-Value Amino Acid Products" Marine Drugs 20, no. 6: 357. https://doi.org/10.3390/md20060357
APA StyleChun, B.-S., Lee, S.-C., Ho, T.-C., Micomyiza, J.-B., Park, J.-S., Nkurunziza, D., & Lee, H.-J. (2022). Subcritical Water Hydrolysis of Comb Pen Shell (Atrina pectinata) Edible Parts to Produce High-Value Amino Acid Products. Marine Drugs, 20(6), 357. https://doi.org/10.3390/md20060357

