Novel Harziane Diterpenes from Deep-Sea Sediment Fungus Trichoderma sp. SCSIOW21 and Their Potential Anti-Inflammatory Effects
Abstract
:1. Introduction
2. Results and Discussion
3. Materials and Methods
3.1. General Experimental Procedures
3.2. Fungal Strain and Fermentation
3.3. Extraction and Isolation
3.4. Spectral Data of the Compounds
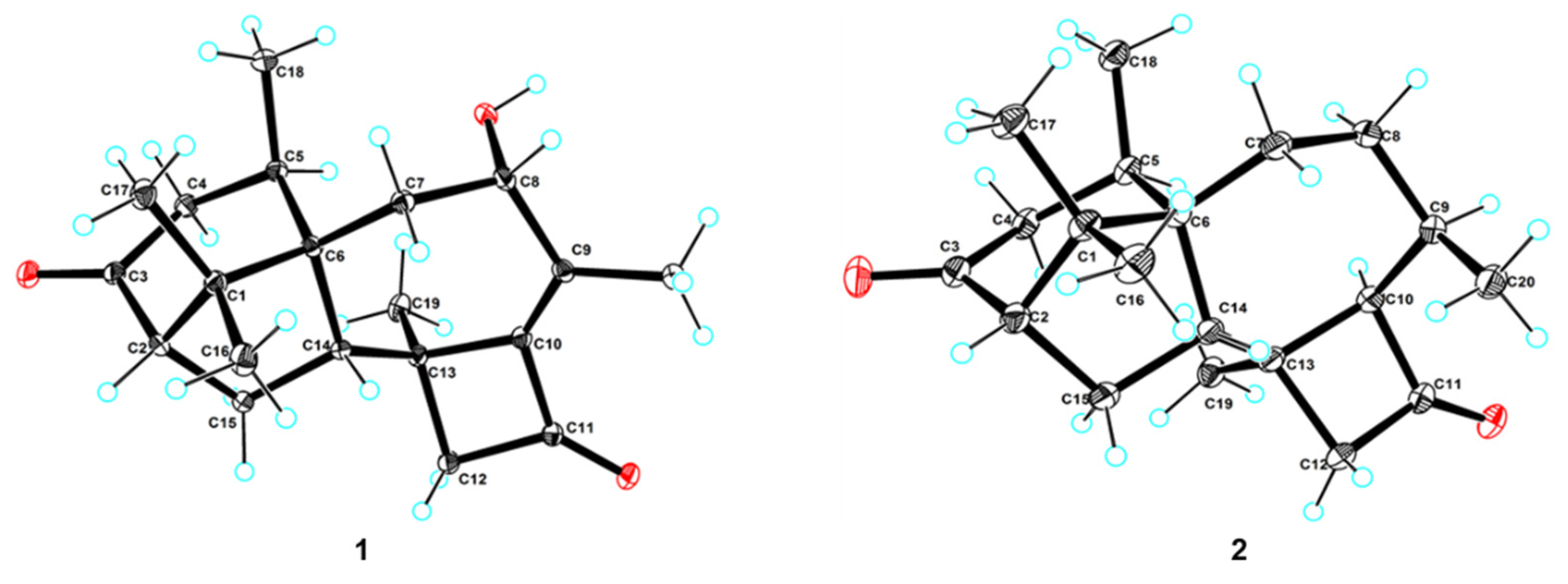
3.5. X-ray Crystal Analysis of Compounds 1 and 2
3.6. ECD Computational Methods
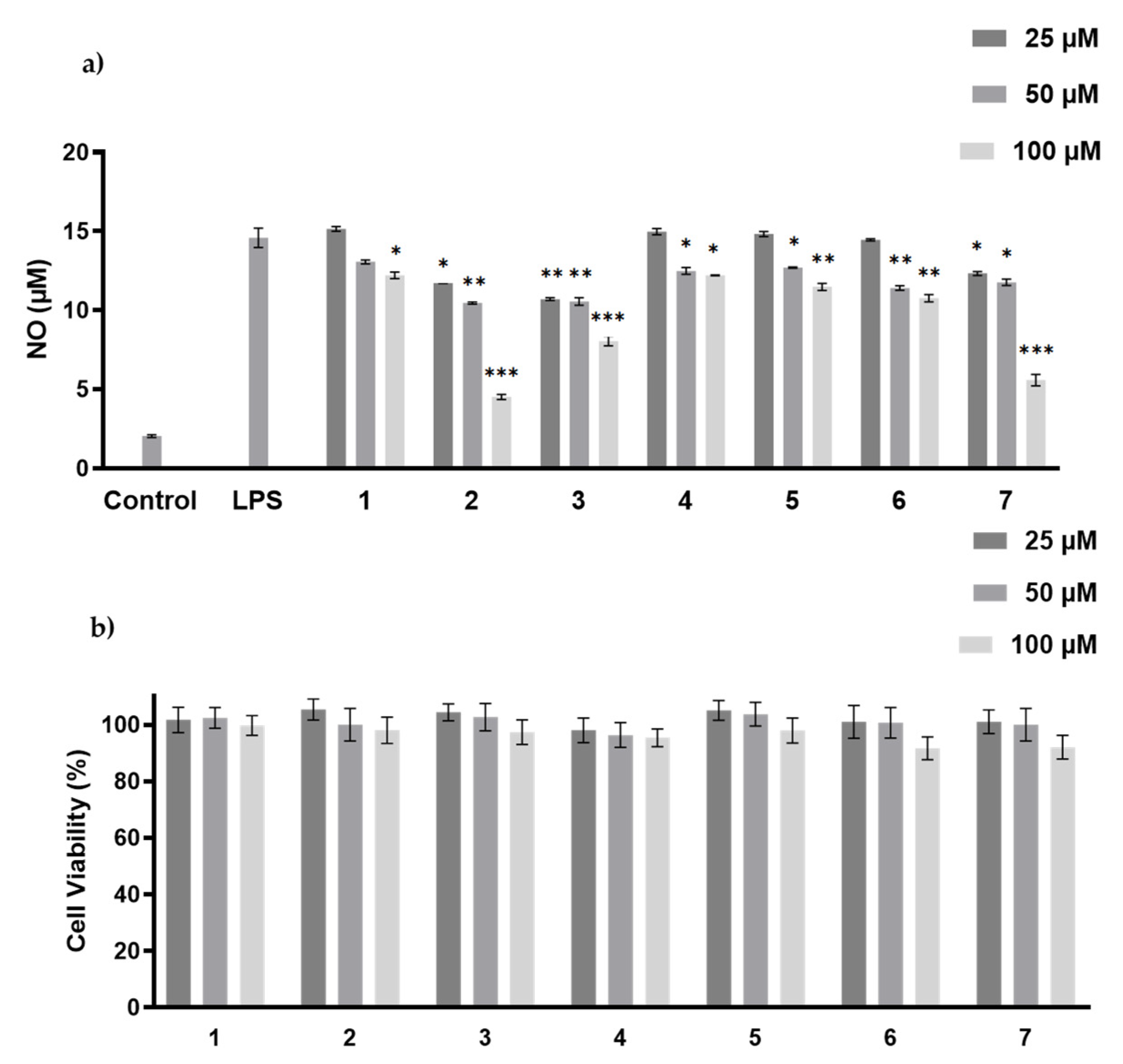
3.7. MTT and NO Production Inhibitory Assay
3.8. Anti-Fungal Activities
4. Conclusions
Supplementary Materials
Author Contributions
Funding
Informed Consent Statement
Data Availability Statement
Acknowledgments
Conflicts of Interest
References
- Zain Ul Arifeen, M.; Ma, Y.N.; Xue, Y.R.; Liu, C.H. Deep-sea fungi could be the new arsenal for bioactive molecules. Mar. Drugs 2019, 18, 9. [Google Scholar] [CrossRef] [PubMed] [Green Version]
- Carroll, A.R.; Copp, B.R.; Davis, R.A.; Keyzers, R.A.; Prinsep, M.R. Marine natural products. Nat. Prod. Rep. 2021, 38, 362–413. [Google Scholar] [CrossRef]
- Ghisalberti, E.L.; Hockless, D.C.R.; Rowland, C.; White, A.H. Harziandione, a new class of diterpene from Trichoderma harzianum. J. Nat. Prod. 1992, 55, 1690–1694. [Google Scholar] [CrossRef]
- Wang, X.; Jin, X.Y.; Zhou, J.C.; Zhu, R.X.; Qiao, Y.N.; Zhang, J.Z.; Li, Y.; Zhang, C.Y.; Chen, W.; Chang, W.Q.; et al. Terpenoids from the Chinese liverwort Heteroscyphus coalitus and their anti-virulence activity against Candida albicans. Phytochemistry 2020, 174, 112324. [Google Scholar] [CrossRef]
- Song, Y.P.; Fang, S.T.; Miao, F.P.; Yin, X.L.; Ji, N.Y. Diterpenes and sesquiterpenes from the marine algicolous fungus Trichoderma harzianum X-5. J. Nat. Prod. 2018, 81, 2553–2559. [Google Scholar] [CrossRef] [PubMed]
- Song, Y.P.; Liu, X.H.; Shi, Z.Z.; Miao, F.P.; Fang, S.T.; Ji, N.Y. Bisabolane, cyclonerane, and harziane derivatives from the marine-alga-endophytic fungus Trichoderma asperellum cf44-2. Phytochemistry 2018, 152, 45–52. [Google Scholar] [CrossRef] [PubMed]
- Song, Y.P.; Miao, F.P.; Liang, X.R.; Yin, X.L.; Ji, N.Y. Harziane and cadinane terpenoids from the alga-endophytic fungus Trichoderma asperellum A-YMD-9-2. Phytochem. Lett. 2019, 32, 38–41. [Google Scholar] [CrossRef]
- Li, W.Y.; Liu, Y.; Lin, Y.T.; Liu, Y.C.; Guo, K.; Li, X.N.; Luo, S.H.; Li, S.H. Antibacterial harziane diterpenoids from a fungal symbiont Trichoderma atroviride isolated from Colquhounia coccinea var. mollis. Phytochemistry 2020, 170, 112198. [Google Scholar] [CrossRef]
- Shi, T.; Shao, C.L.; Liu, Y.; Zhao, D.L.; Cao, F.; Fu, X.M.; Yu, J.Y.; Wu, J.S.; Zhang, Z.K.; Wang, C.Y. Terpenoids from the coral-derived fungus Trichoderma harzianum (XS-20090075) induced by chemical epigenetic manipulation. Front. Microbiol. 2020, 11, 572. [Google Scholar] [CrossRef]
- Miao, F.P.; Liang, X.R.; Yin, X.L.; Wang, G.; Ji, N.Y. Absolute configurations of unique harziane diterpenes from Trichoderma species. Org. Lett. 2012, 14, 3815–3817. [Google Scholar] [CrossRef]
- Adelin, E.; Servy, C.; Martin, M.T.; Arcile, G.; Iorga, B.I.; Retailleau, P.; Bonfill, M.; Ouazzani, J. Bicyclic and tetracyclic diterpenes from a Trichoderma symbiont of Taxus baccata. Phytochemistry 2014, 97, 55–61. [Google Scholar] [CrossRef]
- Zhang, M.; Liu, J.M.; Zhao, J.L.; Li, N.; Chen, R.D.; Xie, K.B.; Zhang, W.J.; Feng, K.P.; Yan, Z.; Wang, N.; et al. Two new diterpenoids from the endophytic fungus Trichoderma sp. Xy24 isolated from mangrove plant Xylocarpus granatum. Chin. Chem. Lett. 2016, 27, 957–960. [Google Scholar] [CrossRef]
- Zhang, M.; Liu, J.; Chen, R.; Zhao, J.; Xie, K.; Chen, D.; Feng, K.; Dai, J. Microbial oxidation of harzianone by Bacillus sp. IMM-006. Tetrahedron 2017, 73, 7195–7199. [Google Scholar] [CrossRef]
- Zhang, M.; Liu, J.; Chen, R.; Zhao, J.; Xie, K.; Chen, D.; Feng, K.; Dai, J. Two Furanharzianones with 4/7/5/6/5 ring system from microbial transformation of harzianone. Org. Lett. 2017, 19, 1168–1171. [Google Scholar] [CrossRef] [PubMed]
- Zhao, D.L.; Yang, L.J.; Shi, T.; Wang, C.Y.; Shao, C.L.; Wang, C.Y. Potent phytotoxic harziane diterpenes from a soft coral-derived strain of the fungus Trichoderma harzianum XS-20090075. Sci. Rep. 2019, 9, 13345. [Google Scholar] [CrossRef] [Green Version]
- Zou, J.X.; Song, Y.P.; Ji, N.Y. Deoxytrichodermaerin, a harziane lactone from the marine algicolous fungus Trichoderma longibrachiatum A-WH-20-2. Nat. Prod. Res. 2021, 35, 216–221. [Google Scholar] [CrossRef]
- Zou, J.X.; Song, Y.P.; Zeng, Z.Q.; Ji, N.Y. Proharziane and harziane derivatives from the marine algicolous fungus Trichoderma asperelloides RR-dl-6-11. J. Nat. Prod. 2021, 84, 1414–1419. [Google Scholar] [CrossRef]
- Li, X.; Xia, Z.; Tang, J.; Wu, J.; Tong, J.; Li, M.; Ju, J.; Chen, H.; Wang, L. Identification and biological evaluation of secondary metabolites from marine derived fungi-Aspergillus sp. SCSIOW3, cultivated in the presence of epigenetic modifying agents. Molecules 2017, 22, 1302. [Google Scholar] [CrossRef] [Green Version]
- Wang, L.; Li, M.; Lin, Y.; Du, S.; Liu, Z.; Ju, J.; Suzuki, H.; Sawada, M.; Umezawa, K. Inhibition of cellular inflammatory mediator production and amelioration of learning deficit in flies by deep sea Aspergillus-derived cyclopenin. J. Antibiot. 2020, 73, 622–629. [Google Scholar] [CrossRef]
- Wang, L.; Li, M.; Tang, J.; Li, X. Eremophilane sesquiterpenes from a deep marine-derived fungus, Aspergillus sp. SCSIOW2, cultivated in the presence of epigenetic modifying agents. Molecules 2016, 21, 473. [Google Scholar] [CrossRef] [PubMed] [Green Version]
- Wang, L.; Umezawa, K. Cellular signal transductions and their inhibitors derived from deep-sea organisms. Mar. Drugs. 2021, 19, 205. [Google Scholar] [CrossRef]
- Zhou, X.; Fang, P.; Tang, J.; Wu, Z.; Li, X.; Li, S.; Wang, Y.; Liu, G.; He, Z.; Gou, D.; et al. A novel cyclic dipeptide from deep marine-derived fungus Aspergillus sp. SCSIOW2. Nat. Prod. Res. 2016, 30, 52–57. [Google Scholar] [CrossRef] [PubMed]
- Lu, X.; He, J.; Wu, Y.; Du, N.; Li, X.; Ju, J.; Hu, Z.; Umezawa, K.; Wang, L. Isolation and characterization of new anti-inflammatory and antioxidant components from deep marine-derived fungus Myrothecium sp. Bzo-l062. Mar. Drugs 2020, 18, 597. [Google Scholar] [CrossRef]
- Mannina, L.; Segre, A.L.; Ritieni, A.; Fogliano, V.; Vinale, F.; Randazzo, G.; Maddau, L.; Bottalico, A. A new fungal growth inhibitor from Trichoderma viride. Tetrahedron 1997, 53, 3135–3144. [Google Scholar] [CrossRef]
- Sheldrick, G. SHELXT—Integrated space-group and crystal-structure determination. Acta. Crystallogr. A Found. Adv. 2015, 71, 3–8. [Google Scholar] [CrossRef] [Green Version]
- Sheldrick, G. Crystal structure refinement with SHELXL. Acta. Crystallogr. C Struct. Chem. 2015, 71, 3–8. [Google Scholar] [CrossRef] [PubMed]
- Frisch, M.J.T.; Trucks, G.W.; Schlegel, H.B.; Scuseria, G.E.; Robb, M.A.; Cheeseman, J.R.; Scalmani, G.; Barone, V.; Mennucci, B.; Petersson, G.A.; et al. Gaussian 09 Revision D. 01; Gaussian Inc.: Wallingford, CT, USA, 2009. [Google Scholar]
- Bruhn, T.; Schaumlöffel, A.; Hemberger, Y.; Bringmann, G. SpecDis: Quantifying the comparison of calculated and experimental electronic circular dichroism spectra. Chirality 2013, 25, 243–249. [Google Scholar] [CrossRef]
- Zhai, M.M.; Qi, F.M.; Li, J.; Jiang, C.X.; Hou, Y.; Shi, Y.P.; Di, D.L.; Zhang, J.W.; Wu, Q.X. Isolation of secondary metabolites from the soil-derived fungus Clonostachys rosea YRS-06, a biological control agent, and evaluation of antibacterial activity. J. Agric. Food Chem. 2016, 64, 2298–2306. [Google Scholar] [CrossRef] [PubMed]






| 1 | 4 | 5 | 6 | 7 | |
|---|---|---|---|---|---|
| No. | δH (J in Hz) | δH (J in Hz) | δH (J in Hz) | δH (J in Hz) | δH (J in Hz) |
| 1 | |||||
| 2 | 2.06, d (8.0) | 2.26, dd (11.0, 8.0) | |||
| 2-OH | 4.17, s | 4.14, s | |||
| 3α | 1.81, m b | 1.77, m | 1.78, m | 1.80, m | |
| 3β | 1.32, dd (12.0, 7.0) | 1.30, dd (12.0, 7.0) | 1.23, m | 1.31, m b | |
| 4α | 2.92, dd (17.0, 11.0) | 1.80, m | 1.85, m | 1.89, m | 1.85, m |
| 4β | 1.84, d (17.0) | 1.64, d (12.0) | 1.60, m | 1.48, dd (14.0, 6.0) | 1.34, m |
| 5 | 3.38, m | 2.13, t (8.0) | 2.71, t (8.0) | 2.75, t (8.0) | 2.32, m b |
| 6 | |||||
| 7α | 2.16, dd (15.0, 5.0) | 1.76, m b | 2.11, dd (15.0, 5.0) | 2.14, dd (15.0, 5.0) | 2.35, m b |
| 7β | 1.36, dd (15.0, 2.0) | 1.28, m | 1.36, dd (15.0, 2.0) | 1.30, dd (15.0, 2.0) | 1.90, ddd (13.0, 7.0, 2.0) |
| 8α | 4.24, d (5.0, 2.0) | 2.52, m | 4.21, dd (5.0, 2.0) | 4.22, dd (5.0, 2.0) | 1.98, dd (13.0, 7.0) |
| 8β | 1.88, ddd (16.0, 6.0, 2.0) | 1.29, m b | |||
| 8-OH | 5.31, brs | 5.45, brs | |||
| 9 | |||||
| 10 | |||||
| 11 | |||||
| 12α | 2.77, d (16.0) | 2.60, d (16.0) | 2.65, d (16.0) | 2.71, d (16.0) | 2.98, d (16.0) |
| 12β | 2.33, d (16.0) | 2.26, d (16.0) | 2.29, d (16.0) | 2.33, d (16.0) | 2.34, d (16.0) |
| 13 | |||||
| 14 | 2.57, dd (11.0, 9.0) | 2.21, dd (12.0, 9.0) | 2.33, dd (12.0, 9.0) | 1.56, m | 2.07, d (6.0) |
| 15α | 1.98, m | 1.58, dd (13.0.0, 9.0) | 1.65, m | 1.84, m | 3.65, d (6.0) |
| 15β | 1.49, dd (14.0, 9.0) | 1.69, dd (13.0,12.0) | 1.57, m | 1.35, m | |
| 16 | 0.93, s | 0.81, s | 0.82, s | 0.80, s | 0.84, s |
| 17 | 0.91, s | 0.66, s | 0.70, s | 0.84, s | 0.89, s |
| 18α | 1.18, d (7.0) | 3.41, m | 3.85, d (10.0) | 3.89, d (10.0) | 0.99, d (7.0) |
| 18β | 3.28, m | 3.23, m | 3.26, m | ||
| 18-OH | 4.39, t (6.0) | ||||
| 19 | 1.53, s | 1.39, s | 1.46, s | 1.51, s | 1.43, s |
| 20 | 2.04, s | 2.01, s | 2.03, s | 2.03, s | 2.02, s |
| 1 | 4 | 5 | 6 | 7 | |
|---|---|---|---|---|---|
| No. | δC, Type | δC, Type | δC, Type | δC, Type | δC, Type |
| 1 | 50.5, C | 48.5, C | 49.2, C | 51.1, C | 48.2, C |
| 2 | 58.9, CH | 77.9, C | 77.4, C | 51.8, CH | 75.9, C |
| 3 | 213.6, C | 33.2, CH2 | 33.5, CH2 | 25.5, CH2 | 30.4, CH2 |
| 4 | 43.2, CH2 | 22.6, CH2 | 23.9, CH2 | 22.0, CH2 | 25.2, CH2 |
| 5 | 31.4, CH | 40.1, CH | 41.7, CH | 42.4, CH | 27.5, CH |
| 6 | 51.7, C | 52.7, C | 53.1, C | 45.7, C | 50.7, C |
| 7 | 33.0, CH2 | 30.2, CH2 | 34.3, CH2 | 33.7, CH2 | 29.3, CH2 |
| 8 | 72.4, CH | 29.3, CH2 | 73.5, CH | 73.1, CH | 31.5, CH2 |
| 9 | 144.4, C | 145.5, C | 143.0, C | 143.1, C | 145.8, C |
| 10 | 150.4, C | 149.7, C | 150.0, C | 150.6, C | 149.6, C |
| 11 | 199.6, C | 198.2, C | 200.0, C | 200.1, C | 198.2, C |
| 12 | 58.8, CH2 | 59.2, CH2 | 58.9, CH2 | 58.9, CH2 | 59.1, CH2 |
| 13 | 40.1, C | 40.0, C | 40.7, C | 40.9, C | 40.0, C |
| 14 | 52.2, CH2 | 50.6, CH | 50.5, CH | 42.4, CH | 60.1, CH |
| 15 | 26.1, CH | 35.6, CH2 | 35.7, CH2 | 27.1, CH2 | 73.5, CH |
| 16 | 25.6, CH3 | 19.7, CH3 | 20.1, CH3 | 25.8, CH3 | 20.5, CH3 |
| 17 | 23.4, CH3 | 18.9, CH3 | 19.0, CH3 | 21.9, CH3 | 19.7, CH3 |
| 18 | 22.8, CH3 | 63.9, CH2 | 65.6, CH2 | 65.9, CH2 | 19.9, CH3 |
| 19 | 20.2, CH3 | 21.6, CH3 | 21.0, CH3 | 21.0, CH3 | 22.3, CH3 |
| 20 | 20.1, CH3 | 22.0, CH3 | 20.2, CH3 | 20.2, CH3 | 21.9, CH3 |
Publisher’s Note: MDPI stays neutral with regard to jurisdictional claims in published maps and institutional affiliations. |
© 2021 by the authors. Licensee MDPI, Basel, Switzerland. This article is an open access article distributed under the terms and conditions of the Creative Commons Attribution (CC BY) license (https://creativecommons.org/licenses/by/4.0/).
Share and Cite
Li, H.; Liu, X.; Li, X.; Hu, Z.; Wang, L. Novel Harziane Diterpenes from Deep-Sea Sediment Fungus Trichoderma sp. SCSIOW21 and Their Potential Anti-Inflammatory Effects. Mar. Drugs 2021, 19, 689. https://doi.org/10.3390/md19120689
Li H, Liu X, Li X, Hu Z, Wang L. Novel Harziane Diterpenes from Deep-Sea Sediment Fungus Trichoderma sp. SCSIOW21 and Their Potential Anti-Inflammatory Effects. Marine Drugs. 2021; 19(12):689. https://doi.org/10.3390/md19120689
Chicago/Turabian StyleLi, Hongxu, Xinyi Liu, Xiaofan Li, Zhangli Hu, and Liyan Wang. 2021. "Novel Harziane Diterpenes from Deep-Sea Sediment Fungus Trichoderma sp. SCSIOW21 and Their Potential Anti-Inflammatory Effects" Marine Drugs 19, no. 12: 689. https://doi.org/10.3390/md19120689
APA StyleLi, H., Liu, X., Li, X., Hu, Z., & Wang, L. (2021). Novel Harziane Diterpenes from Deep-Sea Sediment Fungus Trichoderma sp. SCSIOW21 and Their Potential Anti-Inflammatory Effects. Marine Drugs, 19(12), 689. https://doi.org/10.3390/md19120689

