Abstract
Two new polyketides, 8-O-methylnodulisporin F (1) and nodulisporin H (2), two new naphthoquinones, 5-hydroxy-2-methoxy-6,7-dimethyl-1,4-naphthoquinone (3) and 5-hydroxy-2-methoxynaphtho[9–c]furan-1,4-dione (4), and a new naphthofuran 1,3,8-trimethoxynaphtho[9–c]furan (5), along with five known compounds 4-O-methyl eleutherol (6), 2-acetyl-7-methoxybenzofuran (7), (-)-orthosporin (8), diaporthin (9), and 6-hydroxymellein (10), were obtained from the EtOAc extract of the mangrove-derived fungus Daldinia eschscholtzii HJ004. The structures of the isolated compounds were elucidated by extensive NMR and MS analyses, while the absolute configurations of the stereogenic carbons were established based on experimental and calculated electronic circular dichroism spectra. Compounds 4 and 7 displayed a potent inhibitory activity against α-glucosidase with the IC50 values of 5.7 and 1.1 μg/mL, respectively. Compounds 1 and 2 showed a moderate antibacterial activity against Staphylococcus aureus, methicillin-resistant S. aureus (MRSA) and Bacillus cereus, with minimum inhibitory concentration (MIC) values ranging from 6.25 to 12.5 μg/mL. Compound 3 exhibited antibacterial activity against B. cereus with the MIC value of 12.5 μg/mL.
1. Introduction
Diabetes poses a serious threat to cardiovascular diseases, and is the eleventh common cause of disability worldwide. According to the 8th edition of the International Diabetes Federation Diabetes Atlas 2017, more than 425 million people worldwide are suffering from diabetes, and China alone accounts for one-third of that [1,2]. Around 90% of all cases of diabetes were Type 2 diabetes mellitus [3,4,5]. α-Glucosidase, a crucial enzyme that breaks down complex carbohydrates for absorption, plays a key role in the treatment of diabetes. α-Glucosidase inhibitors such as natural products acarbose and voglibose can reduce the impact of carbohydrates on blood glucose level and prevent the digestion of carbohydrates, indicating that natural compounds play an important role in a discovery of anti-diabetic drugs [6,7].
Mangrove-derived fungi can produce secondary metabolites with novel structures and biological activities [8]. In our ongoing research on mangrove-derived fungi, we have found some new bioactive metabolites (including metabolites with inhibitory activity against α-glucosidase) [9,10,11,12,13,14]. A mangrove-derived fungus Daldinia eschscholtzii HJ004 attracted our attention due to the inhibitory activity against α-glucosidase of its EtOAc extract, and three polyketide derivatives with strong inhibitory activity against α-glucosidase have been isolated [9]. A further chemical investigation of the fermentation broth resulted in the identification of two new polyketides 8-O-methylnodulisporin F (1) [15] and nodulisporin H (2) [15], two new naphthoquinones 5-hydroxy-2-methoxy-6,7-dimethyl-1,4-naphthoquinone (3), and 5-hydroxy-2-methoxynaphtho[9–c]furan-1,4-dione (4), and a new naphthofuran 1,3,8-trimethoxynaphtho [9–c] furan (5), together with five known compounds, 4-O-methyl eleutherol (6) [16], 2-acetyl-7-methoxybenzofuran (7) [17], (-)-orthosporin (8) [18], diaporthin (9) [18], and 6-hydroxymellein (10) [19] (Figure 1). The electronic circular dichroism (ECD) calculation method was used to establish the absolute configurations of the stereogenic carbons in 1 and 2. Herein we report the isolation, structure elucidation, antibacterial activity, and inhibitory activity against α-glucosidase of these compounds.
Figure 1.
Chemical structures of 1–10.
2. Results and Discussion
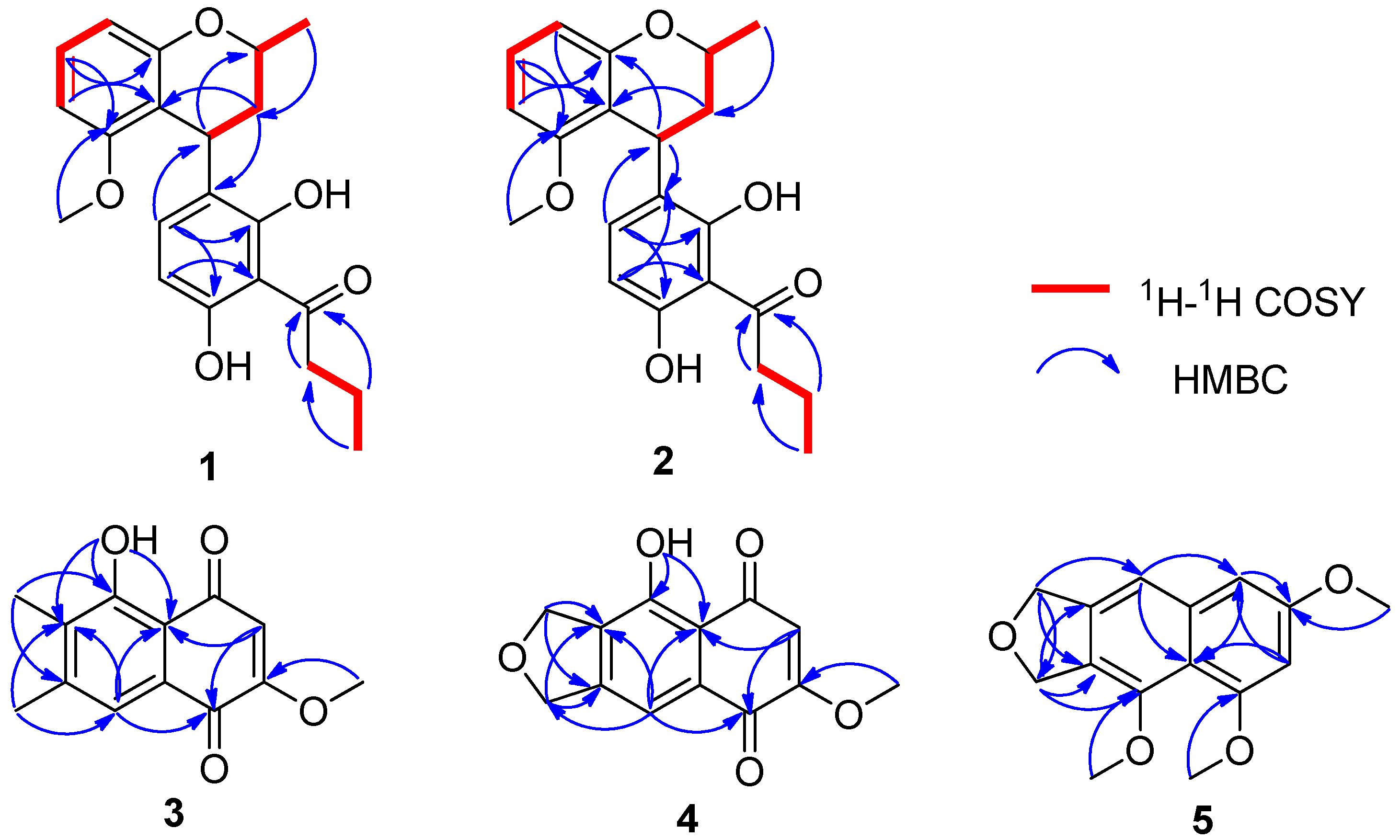
Compound 1 was isolated as a white amorphous powder. Its molecular formula C21H24O5 (ten degrees of unsaturation) was determined by the [+]-HR-ESI-MS ion peak at m/z 357.1693 [M + H]+ (calcd. for 357.1697, C21H25O5) (Figure S8). The 1H NMR spectrum (Figure S1) of 1 indicated the presence of five aromatic protons at δH 7.14 (dd, J = 8.0, 7.8 Hz), 6.64 (d, J = 8.0 Hz), 6.55 (d, J = 8.0 Hz), 6.42 (d, J = 7.8 Hz), and 6.07 (d, J = 8.0 Hz), and a methoxyl signal at δH 3.63 (s). In addition, in the sp3 region of the 1H NMR spectrum, with the help of DEPT-135 and HMQC spectra (Figures S1, S3 and S4), two methine protons at δH 4.54 (dd, J = 5.2, 0.8 Hz) and 3.98 (ddq, J = 11.6, 6.4, 2.0 Hz), three methylenes at δH 3.12 (t, J = 7.2 Hz), (2.07 (dt, J = 14.0, 2.0 Hz), 1.89 (ddd, J = 14.0, 11.6, 5.2 Hz)), and 1.75 (m), and two methyls at δH 1.30 (d, J = 6.4 Hz) and 1.01 (t, J = 7.4 Hz) were observed, respectively. The 13C NMR spectrum showed 21 carbon signals, which, in combination with DEPT-135 and HSQC spectra (Figures S2–S4), can be categorized as three methyls (δC 55.8, 21.5, and 14.1), three methylene sp3 (δC 46.8, 34.5, and 17.9), two methine sp3 (δC 67.9 and 29.5), five methine sp2 (δC 135.3, 128.1, 109.7, 105.4, and 102.2), seven non-protonated sp2 (δC 161.0, 158.1, 156.8, 156.2, 126.0, 111.7, and 109.5) and one carbonyl (δC 208.1) carbons. The above NMR data suggested that the structure of 1 was very similar to that of nodulisporin F [20] except for the presence of the methoxyl group (δH 3.63/δC 55.7). That the methoxyl group was located at C-8′ was confirmed by the HMBC correlation from 8′-OMe (δH 3.63) to C-8′ (δC 158.1) and the NOESY correlation from H-7′ (δH 6.42) to 8′-OMe (Figures S6 and S7). The 2D NMR data allowed to elucidate the complete planar structure of 1 (Figure 2 and Figures S4–S6).
Figure 2.
Key 1H-1H COSY and HMBC correlations in 1–5.
The relative configurations of the C-1′ and C-3′ estereogenic centers were deduced by the coupling constants (J1′,2′a = 5.2 Hz and J3′,2′a = 11.6 Hz) in the 1H NMR spectrum. The small coupling constant of 5.2 Hz between H-1′ and H-2′a established that H-1′ was in equatorial orientation. By contrast, the coupling constant for J3′,2′a = 11.6 Hz indicated the axial orientation of H-3′, and the equatorial position of the Me-3′. These results implied that H-1′ and H-3′ were on the opposite sides. Besides, the NOESY spectrum of 1 showed correlations between H-1′ and H-2′a, as well as between H-3′ and H-2′b (Figure S7). Furthermore, the chemical shifts and coupling constants of H-1′/ H-2′/ H-3′/ H-4′ were close to those of nodulisporin F [20], which suggested a similar configuration. Thus, the relative configurations of 1 were confirmed as 1′R*,3′S*, and 1 was named 8-O-methylnodulisporin F.
Compound 2 was also isolated as a white amorphous powder with the same molecular formula as 1, based on the [+]-HR-ESI-MS ion peak at m/z 357.1693 [M + H]+ (calcd. for 357.1697, C21H25O5) (Figure S16). Its 1H- and 13C-NMR data closely resembled those of 1, except for the coupling constants between H-1′ and H-2′ (J1′,2′ = 10.4, 8.0 Hz) in the 1H NMR spectrum (Table 1 and Figure S9). The large coupling constants of J1′,2′a= 10.4 Hz and J3′,2′a = 11.2 Hz confirmed that H-1′ and H-3′ were both in the axial orientation. Additionally, the NOESY spectrum of 2 showed correlations between H-1′ and H-2′b, as well as between H-3′ and H-2′b (Figure S15). These results indicated the relative configurations of 2 as 1′R*,3′R*, and 2 was named as nodulisporin H. Therefore, 1 and 2 are C-3′ epimers.
Table 1.
1H and 13C NMR spectroscopic data (400 and 100 MHz) for 1 and 2 in CDCl3.
The absolute configurations of C-1′ and C-3′ in 1 and 2 were determined by comparison of experimental and calculated ECD spectra. The calculated ECD curve of 1′R,3′S matched well the experimental ECD curve of 1, while the calculated ECD spectrum of the 1′R,3′R matched well the experimental ECD spectrum of 2 (Figure 3).
Figure 3.
Comparison of experimental and calculated ECD spectra of 1 and 2 in MeOH at the B3LYP/6-311 + G (d, p) level.
Compound 3 was obtained as a yellow powder. The [+]-HR-ESI-MS ion peak at m/z 233.0809 [M + H]+ (calcd. for 233.0808, C13H13O4) indicated that the molecular formula of 3 was C13H12O4 (eight degrees of unsaturation) (Figure S21). Its 1H NMR data (Table 2) displayed one chelated hydroxyl proton at δH 12.61 (s, OH-5), one aromatic proton at δH 7.50 (s, H-8), one olefinic proton at δH 6.05 (s, H-3), one methoxyl at δH 3.90 (s, OMe-2), and two methyls at δH 2.36 (s, Me-10) and 2.25 (s, Me-9). The 13C NMR spectrum, in combination with the HMQC spectrum (Figures S18 and S19), displayed 13 carbon signals, which consisted of two carbonyl carbons at δC 190.9 and 179.8, six non-protonated sp2 carbons at δC 161.2, 159.7, 159.7, 145.1, 134.2, and 111.7, two protonated sp2 carbons at δC 121.4 and 109.5, one methoxyl carbon at δC 56.7, and two methyl carbons at δC 20.8 and 11.9. The 1H and 13C NMR data of 3 (Table 2) were very similar to those of 2-methoxy-7-methyljuglone [21]. The only difference was the presence of the methyl group on C-6 in 3, which was supported by the HMBC correlations from Me-9 to C-5 and C-7. The HMQC and HMBC spectra (Figures S19 and S20) confirmed the structure of 3 (Figure 2) as 5-hydroxy-2-methoxy-6,7-dimethyl-1,4-naphthoquinone.
Table 2.
1H and 13C NMR spectroscopic data (400 and 100 MHz) for 3–5 in CDCl3.
Compound 4 was obtained as a brown powder, with the molecular formula C13H10O5 (nine degrees of unsaturation) based on the [+]-HR-ESI-MS at 247.0605 [M + H]+ (calcd. for 247.0601, C13H11O5) (Figure S26). The 1H and 13C NMR data of 4 (Table 2) were similar to those of 3. The obvious difference was that Me-9 (δH 2.25/δC 11.9) and Me-10 (δH 2.36/δC 20.8) in 3 were replaced by two oxymethylene carbons at δC 72.1 (C-9; δH 5.20) and 74.3 (C-10; δH 5.16) in 4. Combination of the 1H and 13C NMR data with the molecular formula of 4 indicated the presence of a tetrahydrofuran ring. Therefore, the structure of 4 was established as 5-hydroxy-2-methoxynaphtho [9–c] furan-1,4-dione.
Compound 5 was isolated as a yellow powder, with the molecular formula of C15H16O4 (eight degrees of unsaturation) based on [+]-HR-ESI-MS at m/z 261.1118 [M + H]+ (calcd. for 261.1121, C15H17O4) (Figure S31). The 1H and 13C NMR data (Table 2), assigned with the help of the HMQC spectrum (Figure S29), exhibited the presence of three aromatic protons at δH 7.30 (s, H-5), 6.71 (d, J = 2.2 Hz, H-2), and 6.51 (d, J = 2.2 Hz, H-4), three methoxyl signals at δH 3.97 (s, OMe-1), 3.89 (s, OMe-3), and 3.84 (s, OMe-8), and two oxymethylene signals at δH 5.26 (s, H-10) and 5.16 (s, H-9). The 13C NMR spectrum (Table 2), in combination with the HMQC spectrum (Figures S28 and S29), displayed 15 carbon signals, consisting of seven non-protonated sp2 (δC 158.1, 157.5, 150.6, 140.5, 139.0, 127.7, and 115.4), three protonated sp2 (δC 114.5, 99.0, and 98.8), two oxymethylene sp3 (δC 73.3 and 71.7) and three methoxyl (δC 61.6, 56.2, and 55.4) carbons. The HMBC correlations from H-9 (δH 5.16) to C-5 (δC 114.5), C-7 (δC 140.5) and C-10 (δC 71.7) as well as from H-10 (δH 5.26) to C-6 (δC 127.7) and C-8 (δC 150.6) suggested the presence of a naphthofuran skeleton. Furthermore, the HMBC correlations from OMe-1(δH 3.97) to C-1 (δC 157.5), OMe-3 (δH 3.89) to C-3 (δC 158.1), and OMe-8 (δH 3.84) to C-8 (δC 150.6) established the positions of the three methoxyls at C-1, C-3 and C-8, respectively. Thus, the structure of 5 was elucidated as 1,3,8-trimethoxynaphtho [9–c] furan.
Compounds 4 and 7 displayed potent inhibitory activity on α-glucosidase with the IC50 values of 5.7 and 1.1 μg/mL, respectively. The rest of the isolated compounds exhibited no inhibitory activity against α-glucosidase. Acarbose was used as a positive control (IC50 = 2.0 μg/mL).
Compounds 1 and 2 showed moderate antibacterial activity against Staphylococcus aureus, Methicillin-resistant S. aureus MRSA and Bacillus cereus, with minimum inhibitory concentration (MIC) values ranging from 6.25 to 12.5 μg/mL (Table 3). Compound 3 exhibited antibacterial activity against B. cereus with the MIC value of 12.5 μg/mL (Table 3). The other compounds showed no antibacterial activity against six pathogenic bacteria.
Table 3.
Antibacterial activity for 1–3.
3. Materials and Methods
3.1. General Experimental Procedures
Both 1D and 2D NMR spectra were measured on a Bruker AV-400 (Bruker Corporation, Fällanden, Switzerland) instrument by using CDCl3 as a solvent with TMS as the internal standard. The other experimental procedures were performed as previously described in the literature [9].
3.2. Fungal Material
The strain HJ004 was isolated from the stem of mangrove Brguiera sexangula var. rhynchopetala, collected in the South China Sea, and was identified as Daldinia eschscholtzii with the GeneBank (NCBI) accession number MH059553 [9]. This strain was deposited at the Key Laboratory of Tropical Medicinal Resource Chemistry of Ministry of Education, Hainan Normal University, Haikou, China.
3.3. Extraction and Isolation
The fermentation was carried out statically in 45 L of potato glucose liquid medium at 25 °C for one month. The fermented broths were filtered through cheesecloth, and the filtrate was extracted with EtOAc (3 × 45 L, 48 h each). The EtOAc extracts were combined and concentrated under reduced pressure to yield a residue of 64.0 g, which was fractionated by vacuum liquid chromatography (VLC) with a petroleum ether-EtOAc-MeOH gradient, to yield five fractions (Frs. 1−5). Fr. 2 was subjected to a Sephadex LH-20 (300 g) column chromatography (CC) eluting with petroleum ether-CHCl3-MeOH (1:1:1, v/v/v), and then further purified by using semi-preparative HPLC (85% MeOH-H2O) to give 1 (2.0 mg) and 2 (2.2 mg). Fr. 3 was applied on the VLC to obtain three subfractions: Frs. 3.1−3.3. Compound 3 was obtained from Fr. 3.1 using Sephadex LH-20 CC (petroleum ether/CHCl3/MeOH, 2:1:1, v/v/v). Fr. 4 was subjected to a silica gel (200 g) CC and eluted with a step gradient of petroleum ether/EtOAc to obtain four subfractions: Frs. 4.1−4.4. Fr. 4.1 was subjected to a Sephadex LH-20 column (300 g) eluted with CHCl3: MeOH (1:1) and then semi-preparative HPLC (65% MeOH/H2O) to yield 5 (3.0 mg) and 6 (5.5 mg). Fr. 4.2.4 was isolated from Fr. 4.2 by reversed-phase silica gel CC, and then purified by HPLC (75% MeOH/H2O) to give 4 (4.6 mg) and 7 (3.7 mg). Fr. 4.3 was further separated by reversed-phase silica gel (50 g) CC and eluted with MeOH/H2O gradients from 50:50 to 100:0 (v/v) into three subfractions Frs. 4.3.1−4.3.3. Fr. 4.3.2 was purified by HPLC (55% MeOH/H2O) to yeild 8 (3.5 mg), 9 (4.3 mg), and 10 (4.5 mg).
8-O-methylnodulisporin F (1): white amorphous powder; [α]25D = −17.8° (c 0.18, MeOH); UV (MeOH) λmax (log ε) 210 (2.31), 228 (2.42); IR (KBr) νmax 3261, 1636, 1270 cm−1; CD (c 0.06, MeOH) λmax (Δε) 212 (+0.6), 239 (−1.2) nm. 1H and 13C NMR data see Table 1; [+]-HR-ESI-MS m/z: 357.1693 [M + H]+ (calcd. for C21H25O5 357.1697).
Nodulisporin H (2): white amorphous powder; [α]25D = +10.6° (c 0.26, MeOH); UV (MeOH) λmax (log ε) 217 (3.21), 260 (2.12); IR (KBr) νmax 3259, 1620, 1256 cm−1; CD (c 0.1, MeOH) λmax (Δε) 216 (−3.0), 256 (−0.7) nm. 1H and 13C NMR data see Table 1; [+]-HR-ESI-MS m/z: 357.1693 [M + H]+ (calcd. for C21H25O5 357.1697).
5-Hydroxy-2-methoxy-6,7-dimethyl-1,4-naphthoquinone (3): yellow powder; UV (MeOH) λmax 282 (4.20), 249 (3.40), 217 (3.26) nm; IR (KBr) νmax 3240, 1865, 1680 cm−1; 1H and 13C NMR data see Table 2; [+]-HR-ESI-MS m/z: 233.0809 [M + H]+ (C13H13O4, calcd. for 233.0808).
5-Hydroxy-2-methoxynaphtho [9–c] furan-1,4-dione (4): brown powder; UV (MeOH) λmax 301 (3.80), 250 (3.12), 217 (2.90) nm; IR (KBr) νmax 3246, 1864, 1680 cm−1; 1H and 13C NMR data see Table 2; [+]-HR-ESI-MS m/z: 247.0605 [M + H]+ (C13H11O5, calcd. for 247.0601).
1,3,8-Trimethoxynaphtho [9–c] furan (5): yellow powder; UV (MeOH) λmax 278 (3.60) nm; IR (KBr) νmax 3500, 1632 cm−1; 1H and 13C NMR data see Table 2; [+]-HR-ESI-MS m/z: 261.1118 [M + H]+ (C15H17O4, calcd. for 261.1121).
3.4. Biological Assay
The α-glucosidase inhibitory activity of 1–10 was determined using the procedure reported by Sawada et al. [22], with modifications for carrying out in 96-well plates, and acarbose was used as a positive control.
Compounds 1–10 were assayed against four terrestrial pathogenic bacteria Staphylococcus aureus (ATCC 25923), methicillin-resistant S. aureus MRSA (ATCC 33591), Escherichia coli (ATCC 25922), and Bacillus cereus (ATCC 11778), and two marine pathogenic bacteria Vibrio parahaemolyticus (ATCC 17802) and V. alginolyticus (ATCC 17749), and the tests were performed as previously described [23]. Ciprofloxacin was used as the positive control.
4. Conclusions
From the mangrove-derived fungus Daldinia eschscholtzii HJ004, two new polyketides 8-O-methylnodulisporin F (1) and nodulisporin H (2), two new naphthoquinones 5-hydroxy-2-methoxy-6,7-dimethyl-1,4-naphthoquinone (3), 5-hydroxy-2-methoxy-naphtho [9–c] furan-1,4-dione (4), and a new naphthofuran 1,3,8-trimethoxynaphtho [9–c] furan (5), and five known compounds (6–10) were obtained. Compounds 4 and 7 displayed potent inhibitory activity against α-glucosidase with the IC50 values of 5.7 and 1.1 μg/mL, respectively. Compounds 1 and 2 showed moderate antibacterial activity against S. aureus, Methicillin-resistant S. aureus MRSA and B. cereus with MIC values ranging from 6.25 to 12.5 μg/mL. Compound 3 exhibited antibacterial activity against B. cereus with the MIC value of 12.5 μg/mL.
Supplementary Materials
The following are available online at https://www.mdpi.com/1660-3397/17/12/710/s1, NMR and MS data of new compounds 1–5.
Author Contributions
H.-X.L. contributed to extraction, isolation, manuscript preparation; T.-M.S. and X.-M.Z. contributed to genome sequencing; R.-Q.M. contributed to bioactivities test; G.-L.H. contributed to fermentation; C.-J.Z. and C.-Y.W. were the project leaders organizing and guiding the experiments and manuscript writing.
Funding
This research was funded by the Foundation for the National Natural Science Foundation of China (31760093 and 21462015), Key Research and Development Program of Hainan Province (ZDYF2018183), National Natural Science Foundation of Hainan Province (218MS045), Program for Innovative Research Team in University (IRT-16R19).
Acknowledgments
We would like to thank Xue-Ping Sun (X.-P.S.) (College of pharmacy, Guangxi University of Chinese Medicine) contributed to quantum chemistry calculation.
Conflicts of Interest
The authors declare no competing financial interest.
References
- International Diabetes Federation. IDF Diabetes Atlas, 8th ed. 2017. Available online: http://www.diabetesatlas.org/resources/2017-atlas.html (accessed on 14 November 2017).
- Zheng, Y.; Ley, S.H.; Hu, F.B. Global aetiology and epidemiology of type 2 diabetes mellitus and its complications. Nat. Rev. Endocrinol. 2018, 14, 88–98. [Google Scholar] [CrossRef] [PubMed]
- Evans, J.M.; Newton, R.W.; Ruta, D.A.; MacDonald, T.M.; Morris, A.D. Socio-economic status, obesity and prevalence of Type 1 and Type 2 diabetes mellitus. Diabet. Med. 2000, 17, 478–480. [Google Scholar] [CrossRef] [PubMed]
- Bruno, G.; Runzo, C.; Cavallo-Perin, P.; Trovati, M.; Merletti, F.; Rivetti, M.; Pinach, S.; Novelli, G.; Trovati, M.; Cerutti, F.; et al. Incidence of Type 1 and Type 2 Diabetes in Adults Aged 30–49 Years: The population-based registry in the province of Turin, Italy. Diabet. Care 2005, 28, 2613–2619. [Google Scholar] [CrossRef] [PubMed]
- Holman, N.; Young, B.; Gadsby, R. Current prevalence of Type 1 and Type 2 diabetes in adults and children in the UK. Diabet. Med. 2015, 32, 1119–1120. [Google Scholar] [CrossRef]
- Cui, H.; Liu, Y.Y.; Nie, Y.; Liu, Z.M.; Chen, S.H.; Zhang, Z.R.; Lu, Y.J.; He, L.; Huang, X.S.; She, Z.G. Polyketides from the mangrove-derived endophytic fungus Nectria sp. HN001 and their α-glucosidase inhibitory activity. Mar. Drugs 2016, 14, 86. [Google Scholar] [CrossRef] [PubMed]
- Sun, Y.T.; Liu, J.T.; Li, L.; Gong, C.; Wang, S.P.; Yang, F.; Hua, H.M.; Lin, H.W. New butenolide derivatives from the marine sponge-derived fungus Aspergillus terreus. Bioorg. Med. Chem. Lett. 2018, 28, 315–318. [Google Scholar] [CrossRef] [PubMed]
- Carroll, A.R.; Copp, B.R.; Davis, R.A.; Keyzers, R.A.; Prinsep, M.R. Marine natural products. Nat. Prod. Rep. 2019, 36, 122–173. [Google Scholar] [CrossRef]
- Liao, H.X.; Zheng, C.J.; Huang, G.L.; Mei, R.Q.; Nong, X.H.; Shao, T.M.; Chen, G.Y.; Wang, C.Y. Bioactive polyketide derivatives from the mangrove-derived fungus Daldinia eschscholtzii HJ004. J. Nat. Prod. 2019, 82, 2211–2219. [Google Scholar] [CrossRef]
- Huang, G.L.; Zhou, X.M.; Bai, M.; Liu, Y.X.; Zhao, Y.L.; Luo, Y.P.; Niu, Y.Y.; Zheng, C.J.; Chen, G.Y. Dihydroisocoumarins from the mangrove-derived fungus Penicillium citrinum. Mar. Drugs 2016, 14, 177. [Google Scholar] [CrossRef]
- Mei, R.Q.; Huang, G.L.; Wang, B.; Bai, M.; Luo, Y.P.; Chen, G.Y.; Zheng, C.J. Two new isocoumarins isolated from a mangrove-derived fungus Penicillium citrinum HL-5126. Chin. J. Org. Chem. 2019, 39, 1479–1482. [Google Scholar] [CrossRef]
- Bai, M.; Zheng, C.J.; Huang, G.L.; Mei, R.Q.; Wang, B.; Luo, Y.P.; Zheng, C.; Niu, Z.G.; Chen, G.Y. Bioactive meroterpenoids and isocoumarins from the mangrove-derived fungus Penicillium sp. TGM112. J. Nat. Prod. 2019, 82, 1155–1164. [Google Scholar] [CrossRef] [PubMed]
- Zheng, C.J.; Bai, M.; Zhou, X.M.; Huang, G.L.; Shao, T.M.; Luo, Y.P.; Niu, Z.G.; Niu, Y.Y.; Chen, G.Y.; Han, C.R. Penicilindoles A–C, cytotoxic indole diterpenes from the mangrove-derived fungus Eupenicillium sp. HJ002. J. Nat. Prod. 2018, 81, 1045–1049. [Google Scholar] [CrossRef] [PubMed]
- Bai, M.; Huang, G.L.; Mei, R.Q.; Wang, B.; Luo, Y.P.; Nong, X.H.; Chen, G.Y.; Zheng, C.J. Bioactive lactones from the mangrove-derived fungus Penicillium sp. TGM112. Mar. Drugs 2019, 17, 433. [Google Scholar] [CrossRef] [PubMed]
- Zheng, C.J.; Liao, H.X.; Huang, G.L.; Chen, G.Y.; Luo, Y.P. Method for Preparing Polyketone Compound from Endophytic Fungi of Mangrove, and Application Thereof. Patent No. CN108640897, 12 October 2018. [Google Scholar]
- Bringmann, G.; Mutanyatta-Comer, J.; Maksimenka, K.; Wanjohi, J.M.; Heydenreich, M.; Brun, R.; Müller, W.E.; Peter, M.G.; Midiwo, J.O.; Yenesew, A. Joziknipholones A and B: The first dimeric phenylanthraquinones, from the roots of Bulbine frutescens. Chem. Eur. J. 2008, 14, 1420–1429. [Google Scholar] [CrossRef]
- Wen, L.; Guo, Z.Y.; Li, Q.; Zhang, D.Z.; She, Z.G.; Vrijmoed, L.L.P. A new griseofulvin derivative from the mangrove endophytic fungus Sporothrix sp. Chem. Nat. Compd. 2010, 46, 363–365. [Google Scholar] [CrossRef]
- Hallock, Y.F.; Clardy, J.; Kenfield, D.S.; Strobel, G. De-O-methyldiaporthin, a phytotoxin from Drechslera siccans. Phytochemistry 1988, 27, 3123–3125. [Google Scholar] [CrossRef]
- Islam, M.S.; Ishigami, K.; Watanabe, H. Synthesis of (−)-mellein, (+)-ramulosin, and related natural products. Tetrahedron 2007, 63, 1074–1079. [Google Scholar] [CrossRef]
- Dai, J.Q.; Krohn, K.; Draeger, S.; Schulz, B. New naphthalene-chroman coupling products from the endophytic fungus, Nodulisporium sp. from Erica arborea. Eur. J. Org. Chem. 2009, 10, 1564–1569. [Google Scholar] [CrossRef]
- Budzianowski, J. Naphthoquinones of Drosera spathulata from in vitro cultures. Phytochemistry 1995, 40, 1145–1148. [Google Scholar] [CrossRef]
- Sawada, Y.; Tsuno, T.; Ueki, T.; Yamamoto, H.; Fukagawa, Y.; Oki, T. Pradimicin Q, a new pradimicin aglycone, with α-glucosidase inhibitory activity. J. Antibiot. 1993, 46, 507–510. [Google Scholar] [CrossRef] [PubMed]
- Pierce, C.G.; Uppuluri, P.; Tristan, A.R.; Wormley, J.F.L.; Mowat, E.; Ramage, G.; Lopez-Ribot, J.L. A simple reproducible 96-well plate-based method for the formation of fungal biofilms and its application to antifungal susceptibility testing. Nat. Protoc. 2008, 3, 1494–1500. [Google Scholar] [CrossRef] [PubMed]
© 2019 by the authors. Licensee MDPI, Basel, Switzerland. This article is an open access article distributed under the terms and conditions of the Creative Commons Attribution (CC BY) license (http://creativecommons.org/licenses/by/4.0/).


