Epinecidin-1 Protects against Methicillin Resistant Staphylococcus aureus Infection and Sepsis in Pyemia Pigs
Abstract
1. Introduction
2. Results
2.1. Epi-1 Inhibits MRSA
2.2. Administration of Epi-1 Does Not Cause Toxicity or Abnormal Clinical Signs in Pigs
2.3. Epi-1 Protects Pigs against MRSA-Mediated Mortality
2.4. Epi-1 Regulates Serum C-Reactive Protein and Plasma IL6, IL1β, and TNFα, While Mitigating Elevations of UA, BUN, CRE, GOT, and GPT in MRSA-Infected Pigs
2.5. Epi-1 Clears MRSA from Infected Pigs
3. Discussion
4. Material and Methods
4.1. Experimental Pigs, Pathogen, and Peptide
4.2. In Vitro MRSA Growth Inhibition Assay
4.3. Time-Kill Kinetics
4.4. Comparative Efficacy Dose of Epi-1 and Antibiotics
4.5. Acute Toxicity Studies
4.6. Spectrophotometric Co(II) Albumin Binding Assay
4.7. Albumin/Epi-1 Sandwich Assay
4.8. In Vitro Peptide Stability in Serum
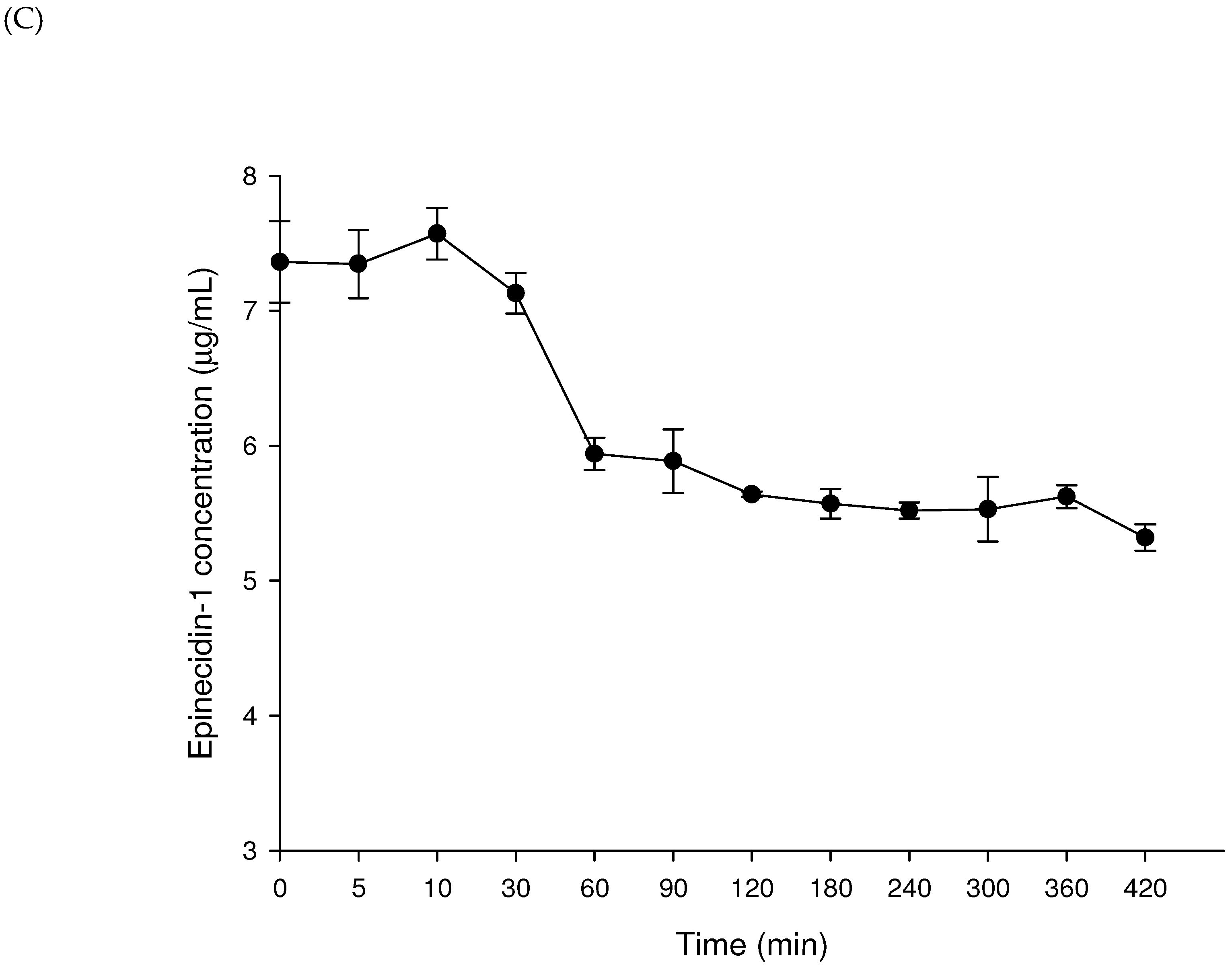
4.9. Pharmacokinetics
4.10. Induction of Sepsis
4.11. Detection of Bacterial Counts in the Blood, Heart, Lung, Liver, and Kidney
4.12. Quantification of Serum C-Reactive Protein and Plasma IL6, IL1β, and TNFα
4.13. Multiplex PCR Detection of the MRSA Strain
4.14. Histopathology Staining
4.15. Statistical Analyses
Supplementary Materials
Author Contributions
Funding
Acknowledgments
Conflicts of Interest
References
- Abdelbaqi, S.; Deslouches, B.; Steckbeck, J.; Montelaro, R.; Reed, D.S. Novel engineered cationic antimicrobial peptides display broad-spectrum activity against Francisella tularensis, Yersinia pestis and Burkholderia pseudomallei. J. Med. Microbiol. 2016, 65, 188–194. [Google Scholar] [PubMed]
- Bahar, A.A.; Ren, D. Antimicrobial peptides. Pharmaceuticals 2013, 6, 1543–1575. [Google Scholar] [CrossRef] [PubMed]
- Bhagavan, N.V.; Lai, E.M.; Rios, P.A.; Yang, J.; Ortega-Lopez, A.M.; Shinoda, H.; Honda, S.A.; Rios, C.N.; Sugiyama, C.E.; Ha, C.E. Evaluation of human serum albumin cobalt binding assay for the assessment of myocardial ischemia and myocardial infarction. Clin. Chem. 2003, 49, 581–585. [Google Scholar] [CrossRef] [PubMed]
- Chiefari, A.K.; Perry, M.J.; Kelly-Cirino, C.; Egan, C.T. Detection of Staphylococcus aureus enterotoxin production genes from patient samples using an automated extraction platform and multiplex real-time PCR. Mol. Cell. Probes 2015, 29, 461–467. [Google Scholar] [CrossRef]
- Chinedu, E.; Arome, D.; Ameh, F.S. A new method for determining acute toxicity in animal models. Toxicol. Int. 2013, 20, 224–226. [Google Scholar] [CrossRef]
- Cluzet, V.C.; Gerber, J.S.; Metlay, J.P.; Nachamkin, I.; Zaoutis, T.E.; Davis, M.F.; Julian, K.G.; Linkin, D.R.; Coffin, S.E.; Margolis, D.J.; et al. The effect of total household decolonization on clearance of colonization with methicillin-resistant Staphylococcus aureus. Infect. Control Hosp. Epidemiol. 2016, 37, 1226–1233. [Google Scholar] [CrossRef]
- Dou, J.L.; Jiang, Y.W.; Xie, J.Q.; Zhang, X.G. New Is Old, and Old Is New: Recent Advances in Antibiotic-Based, Antibiotic-Free and Ethnomedical Treatments against Methicillin-Resistant Staphylococcus aureus Wound Infections. Int. J. Mol. Sci. 2016, 17, 617. [Google Scholar] [CrossRef]
- Lin, W.J.; Chien, Y.L.; Pan, C.Y.; Lin, T.L.; Chen, J.Y.; Chiu, S.J.; Hui, C.F. Epinecidin-1, an antimicrobial peptide from fish (Epinephelus coioides) which has an antitumor effect like lytic peptides in human fibrosarcoma cells. Peptides 2009, 30, 283–290. [Google Scholar] [CrossRef]
- Neshani, A.; Zare, H.; Akbari Eidgahi, M.R.; Khaledi, A.; Ghazvini, K. Epinecidin-1, a highly potent marine antimicrobial peptide with anticancer and immunomodulatory activities. BMC Pharmacol. Toxicol. 2019, 20, 33. [Google Scholar] [CrossRef]
- Chee, P.Y.; Mang, M.; Lau, E.S.; Tan, L.T.H.; He, Y.W.; Lee, W.L.; Pusparajah, P.; Chan, K.G.; Lee, L.H.; Goh, B.H. Epinecidin-1, an antimicrobial peptide derived from grouper (Epinephelus coioides): Pharmacological activities and applications. Front. Microbiol. 2019, 10, 2631. [Google Scholar] [CrossRef]
- Enkhbaatar, P.; Joncam, C.; Traber, L.; Nakano, Y.; Wang, J.; Lange, M.; Connelly, R.; Kulp, G.; Saunders, F.; Huda, R.; et al. Novel ovine model of methicillin-resistant Staphylococcus aureus-induced pneumonia and sepsis. Shock 2008, 29, 642–649. [Google Scholar] [CrossRef] [PubMed]
- Fox, J.L. Antimicrobial peptides stage a comeback (vol 31, pg 379, 2013). Nat. Biotechnol. 2013, 31, 379–382. [Google Scholar] [CrossRef] [PubMed]
- Halls, M.L.; Bathgate, R.A.D.; Sutton, S.W.; Dschietzig, T.B.; Summers, R.J. International Union of Basic and Clinical Pharmacology. XCV. Recent Advances in the Understanding of the Pharmacology and Biological Roles of Relaxin Family Peptide Receptors 1–4, the Receptors for Relaxin Family Peptides. Pharmacol. Rev. 2015, 67, 389–440. [Google Scholar] [CrossRef] [PubMed]
- Hu, L.; Li, Y.; Lu, Y.; Klena, J.D.; Qiu, Y.; Lin, Y.; Jiang, M.; Shi, X.; Chen, L.; Liu, X.; et al. Clinical characteristics, virulence factors and molecular typing of methicillin-resistant Staphylococcus aureus infections in Shenzhen City, China. Epidemiol. Infect. 2016, 144, 3037–3045. [Google Scholar] [CrossRef][Green Version]
- Huang, H.N.; Rajanbabu, V.; Pan, C.Y.; Chan, Y.L.; Wu, C.J.; Chen, J.Y. Use of the antimicrobial peptide Epinecidin-1 to protect against MRSA infection in mice with skin injuries. Biomaterials 2013, 34, 10319–10327. [Google Scholar] [CrossRef]
- Humphreys, H.; Becker, K.; Dohmen, P.M.; Petrosillo, N.; Spencer, M.; van Rijen, M.; Wechsler-Fordos, A.; Pujol, M.; Dubouix, A.; Garau, J. Staphylococcus aureus and surgical site infections: Benefits of screening and decolonization before surgery. J. Hosp. Infect. 2016, 94, 295–304. [Google Scholar] [CrossRef]
- Jeong, S.C.; Kim, S.M.; Jeong, Y.T.; Song, C.H. Hepatoprotective effect of water extract from Chrysanthemum indicum L. flower. Chin. Med. 2013, 8. [Google Scholar] [CrossRef]
- Kang, J.S.; Lee, M.H. Overview of therapeutic drug monitoring. Korean J. Intern. Med. 2009, 24, 1–10. [Google Scholar] [CrossRef]
- Lee, K.H.; Sun, S.H.; Yu, J.S.; Kwon, K.R. Intramuscular Single-dose Toxicity Test of Bufonis venonum Pharmacopuncture in Sprague-Dawley Rats. J. Pharmacopunct. 2015, 18, 51–58. [Google Scholar]
- Lodise, T.P.; Drusano, G.L.; Zasowski, E.; Dihmess, A.; Lazariu, V.; Cosler, L.; McNutt, L.A. Vancomycin Exposure in Patients with Methicillin-Resistant Staphylococcus aureus Bloodstream Infections: How Much Is Enough? Clin. Infect. Dis. 2014, 59, 666–675. [Google Scholar] [CrossRef]
- Mao, L.P.; Qian, Q.Z.; Li, Q.Z.; Wei, S.H.; Cao, Y.H.; Hao, Y.A.; Liu, N.; Wang, Q.; Bai, Y.P.; Zheng, G.Y. Lead selenide nanoparticles-induced oxidative damage of kidney in rats. Environ. Toxicol. Pharmacol. 2016, 45, 63–67. [Google Scholar] [CrossRef] [PubMed]
- Marra, A. Animal models in drug development for MRSA. Methods Mol. Biol. 2014, 1085, 333–345. [Google Scholar] [PubMed]
- Martinez-Olondris, P.; Rigol, M.; Torres, A. What lessons have been learnt from animal models of MRSA in the lung? Eur. Respir. J. 2010, 35, 198–201. [Google Scholar] [CrossRef] [PubMed]
- McVicker, G.; Prajsnar, T.K.; Williams, A.; Wagner, N.L.; Boots, M.; Renshaw, S.A.; Foster, S.J. Clonal Expansion during Staphylococcus aureus Infection Dynamics Reveals the Effect of Antibiotic Intervention. PLoS Pathog. 2014, 10, e1003959. [Google Scholar] [CrossRef]
- Mehrotra, M.; Wang, G.; Johnson, W.M. Multiplex PCR for detection of genes for Staphylococcus aureus enterotoxins, exfoliative toxins, toxic shock syndrome toxin 1, and methicillin resistance. J. Clin. Microbiol. 2000, 38, 1032–1035. [Google Scholar]
- Mulcahy, M.E.; McLoughlin, R.M. Host-Bacterial Crosstalk Determines Staphylococcus aureus Nasal Colonization. Trends Microbiol. 2016, 24, 872–886. [Google Scholar] [CrossRef]
- Narayana, J.L.; Huang, H.N.; Wu, C.J.; Chen, J.Y. Epinecidin-1 antimicrobial activity: In vitro membrane lysis and In vivo efficacy against Helicobacter pylori infection in a mouse model. Biomaterials 2015, 61, 41–51. [Google Scholar] [CrossRef]
- Nielsen, O.L.; Iburg, T.; Aalbaek, B.; Leifsson, P.S.; Agerholm, J.S.; Heegaard, P.; Boye, M.; Simon, S.; Jensen, K.B.; Christensen, S.; et al. A pig model of acute Staphylococcus aureus induced pyemia. Acta Vet. Scand. 2009, 51, 14. [Google Scholar] [CrossRef][Green Version]
- Osborn, B.L.; Olsen, H.S.; Nardelli, B.; Murray, J.H.; Zhou, J.X.H.; Garcia, A.; Moody, G.; Zaritskaya, L.S.; Sung, C. Pharmacokinetic and pharmacodynamic studies of a human serum albumin-interferon-alpha fusion protein in cynomolgus monkeys. J. Pharmacol. Exp. Ther. 2002, 303, 540–548. [Google Scholar] [CrossRef]
- Pan, C.Y.; Chen, J.Y.; Cheng, Y.S.E.; Chen, C.Y.; Ni, I.H.; Sheen, J.F.; Pan, Y.L.; Kuo, C.M. Gene expression and localization of the epinecidin-1 antimicrobial peptide in the grouper (Epinephelus coioides), and its role in protecting fish against pathogenic infection. DNA Cell Biol. 2007, 26, 403–413. [Google Scholar] [CrossRef]
- Pan, C.Y.; Rajanbabu, V.; Chen, J.Y.; Her, G.M.; Nan, F.H. Evaluation of the epinecidin-1 peptide as an active ingredient in cleaning solutions against pathogens. Peptides 2010, 31, 1449–1458. [Google Scholar] [CrossRef] [PubMed]
- Rajanbabu, V.; Chen, J.Y. Applications of antimicrobial peptides from fish and perspectives for the future. Peptides 2011, 32, 415–420. [Google Scholar] [CrossRef] [PubMed]
- Sganga, G.; Tascini, C.; Sozio, E.; Carlini, M.; Chirletti, P.; Cortese, F.; Gattuso, R.; Granone, P.; Pempinello, C.; Sartelli, M.; et al. Focus on the prophylaxis, epidemiology and therapy of methicillin-resistant Staphylococcus aureus surgical site infections and a position paper on associated risk factors: The perspective of an Italian group of surgeons. World J. Emerg. Surg. 2016, 11, 26. [Google Scholar] [CrossRef] [PubMed][Green Version]
- Sibila, O.; Agusti, C.; Torres, A.; Baquero, S.; Gando, S.; Patron, J.R.; Morato, J.G.; Goffredo, D.H.; Bassi, N.; Luna, C.M. Experimental Pseudomonas aeruginosa pneumonia: Evaluation of the associated inflammatory response. Eur. Respir. J. 2007, 30, 1167–1172. [Google Scholar] [CrossRef]
- Venkatesh, K.K.; Cantonwine, D.E.; Ferguson, K.; Arjona, M.; Meeker, J.D.; McElrath, T.F. Inflammatory and oxidative stress markers associated with decreased cervical length in pregnancy. Am. J. Reprod. Immunol. 2016, 76, 376–382. [Google Scholar] [CrossRef]
- Wongboot, W.; Chomvarin, C.; Engchanil, C.; Chaimanee, P. Multiplex PCR for detection of superantigenic toxin genes in methicillin-sensitive and methicillin-resistant Staphylococcus aureus isolated from patients and carriers of a hospital in northeast Thailand. Southeast Asian J. Trop. Med. Public Health 2013, 44, 660–671. [Google Scholar]








| Dose (mg/kg) | Number of Pig | UA (mg/dl) | BUN (mg/dl) | CRE (mg/dl) | GOT (U/l) | GPT (U/l) |
|---|---|---|---|---|---|---|
| 25 | 3 | 0.27 A ± 0.06 | 13.33 A ± 0.21 | 2.27 AB ± 0.21 | 59.33 A ± 3.79 | 52.00 A ± 15.72 |
| 50 | 3 | 0.23 A ± 0.06 | 14.63 A ± 2.95 | 1.90 A ± 0.20 | 59.67 A ± 8.08 | 45.33 A ± 4.04 |
| 100 | 3 | 0.27 A ± 0.06 | 14.67 A ± 2.89 | 1.87 A ± 0.15 | 61.67 A ± 10.50 | 58.00 A ± 14.93 |
| 200 | 1 | Died | Died | Died | Died | Died |
| Control | 5 | 0.26 A ± 0.05 | 13.18 A ± 1.47 | 1.92 A ± 0.41 | 56.20 A ± 14.11 | 49.00 A ± 13.04 |
| Group/Number | Inoculation | Parameters | Blood Sampling Time-Points (Time after Infection) | |||
|---|---|---|---|---|---|---|
| −30 min before | 1 day | 3 days | 7 days | |||
| 1/5 | MRSA | UA (mg/dL) | 0.31 A ± 0.01 | 0.36 AB ± 0.12 | 0.42 B ± 0.1 | 0.46 B ± 0.08 |
| BUN (mg/dL) | 8.04 A ± 3.43 | 21.74 B ± 3.12 | 35 D ± 9.23 | 32.36 C ± 7.58 | ||
| CRE (mg/dL) | 1.48 A±0.17 | 2.12 B±0.12 | 2.22 C ± 0.04 | 2.42 D ± 0.19 | ||
| GOT (U/L) | 47.21 A ± 9.03 | 73 B ± 12.82 | 115 C ± 32.64 | 162 D ± 56.04 | ||
| GPT (U/L) | 43.00 A ± 7.44 | 88.8 C ± 32.19 | 121.2 D ± 43.56 | 138.20 CD ± 65.09 | ||
| 2/5 | MRSA + Vancomycin (0.5 mg/kg) | UA (mg/dL) | 0.21 A ± 0.03 | 0.32 A ± 0.23 | 0.22 A ± 0.07 | 0.23 A ± 0.12 |
| BUN (mg/dL) | 7 A ± 1.21 | 18.1 BC ± 5.46 | 15.2 B ± 0.61 | 13.11 B ± 1.32 | ||
| CRE (mg/dL) | 1.3 A ± 0.07 | 2.4 B ± 0.37 | 2.12 AB ± 0.91 | 2.42 AB ± 1.12 | ||
| GOT (U/L) | 37 A ± 10.32 | 78.22 B ± 21.65 | 42.41 A ± 6.21 | 52.32 B ± 11.24 | ||
| GPT (U/L) | 40 A ± 8.11 | 87.67 B ± 38.22 | 54.01 AB ± 7.2 | 55.11 AB ± 4.02 | ||
| 3/6 | MRSA + Epi-1 (1.5 mg/kg) | UA (mg/dL) | 0.32 A ± 0.12 | 0.26 A ± 0.04 | 0.31 A ± 0.04 | 0.23 A ± 0.05 |
| BUN (mg/dL) | 6.21 A ± 1.25 | 15.13 B ± 2.16 | 13.2 B ± 1.82 | 12.01 B ± 0.54 | ||
| CRE (mg/dL) | 1.23 A ± 0.01 | 2.51 B ± 0.17 | 2.24 B ± 0.16 | 2.67 B ± 0.53 | ||
| GOT (U/L) | 38.2 A ± 4.55 | 68.62 BC ± 16.21 | 38.2 A ± 14.23 | 59.05 B ± 1.35 | ||
| GPT (U/L) | 47 A ± 9.11 | 67.36 B ± 15.33 | 67.1 B ± 9.34 | 75.32 C ± 10.14 | ||
| 4/6 | MRSA + Epi-1 (2.5 mg/kg) | UA (mg/dL) | 0.22 A ± 0.02 | 0.23 A ± 0.02 | 0.19 A ± 0.08 | 0.22 A ± 0.04 |
| BUN (mg/dL) | 7.22 A ± 2.42 | 13.2 C ± 2.31 | 11.21 C ± 1.27 | 10 B ± 4.07 | ||
| CRE (mg/dL) | 1.67 A ± 0.21 | 1.92 A ± 0.08 | 2.31 B ± 0.12 | 2.21 B ± 1.01 | ||
| GOT (U/L) | 37.2 A ± 7.34 | 52.22 B ± 15.21 | 48.62 AB ± 21.13 | 72.33 C ± 30.73 | ||
| GPT (U/L) | 48.2 A ± 9.23 | 60.33 B ± 21.01 | 71.04 C ± 17.61 | 51.33 AB ± 10.11 | ||
| 5/6 | MRSA + Epi-1 (1.5 mg/kg) + vancomycin (0.5 mg/kg) | UA (mg/dL) | 0.21 A ± 0.02 | 0.22 A ± 0.02 | 0.3 AB ± 0.13 | 0.28 A ± 0.04 |
| BUN (mg/dL) | 7.32 A ± 2.13 | 16.12 B ± 1.24 | 14.22 B ± 1.67 | 10.56 AB ± 2.77 | ||
| CRE (mg/dL) | 2.36 A ± 0.21 | 2.22 A ± 0.45 | 2.11 AB ± 0.82 | 1.41 B ± 0.16 | ||
| GOT (U/L) | 37.5 A ± 4.34 | 51.26 B ± 10.16 | 52.31 B ± 10.52 | 61.16 C ± 17.11 | ||
| GPT (U/L) | 47.2 A ± 1.59 | 60.03 C ± 12.44 | 56.34 B ± 5.21 | 50 AB ± 14.22 | ||
| Group/Number | Inoculation a | Survival Rate (Day PI b) | MRSA Count/mL at Different Blood Sampling Time-Points (Days) | |||||||
|---|---|---|---|---|---|---|---|---|---|---|
| −10 c | 1 | 2 | 3 | 4 | 5 | 6 | 7 | |||
| 1/5 | MRSA | 0 | 0 A | 2260 A ± 976 | 1780 A ± 325 | 2180 A ± 325 | 2250 A | 2140 A | 1910 A | 2610 A |
| 2/5 | MRSA + vancomycin (0.5 mg/kg) | 80 | 0 A | 430 C ± 303 | 147 C ± 96 | 20 F ± 11 | 4 E ± 2 | 2 E ± 1 | ND E | ND E |
| 3/6 | MRSA + Epi-1 (1.5 mg/kg) | 83.3 | 0 A | 393 C ± 57 | 220 C ± 65 | 12 F ± 4 | ND E | ND E | ND E | ND E |
| 4/6 | MRSA + Epi-1 (2.5 mg/kg) | 100 | 0 A | 6 F ± 2 | ND F | ND F | ND E | ND E | ND E | ND E |
| 5/6 | MRSA + Epi-1 (1.5 mg/kg) + vancomycin (0.5 mg/kg) | 100 | 0 A | 95 D ± 36 | 11 F ± 19 | 17 F ± 4 | ND E | ND E | ND E | ND E |
| Group/Number | Inoculation a | Pig Death (Day PI b) | MRSA Count/g at Different Organs | |||
|---|---|---|---|---|---|---|
| Heart | Lung | Liver | Kidney | |||
| 1/5 | MRSA | 1, 2, 4, 7 | 310,000 A ± 12000 | 41,000 A ± 2930 | 45,000 A ± 6100 | 150,000 A ± 30000 |
| 2/5 | MRSA + vancomycin (0.5 mg/kg) | 1, 7 | 110,000 BC ± 9200 | 40,000 AB ± 12,000 | 14,000 C ± 960 | 23,000 C ± 1100 |
| 3/6 | MRSA + Epi-1 (1.5 mg/kg) | 2, 7 | 220,000 B ± 15,000 | 32,000 BC ± 6000 | 20,000 BC ± 1300 | 13,000 D ± 6500 |
| 4/6 | MRSA + Epi-1 (2.5 mg/kg) | 7 | ND E | ND E | ND E | ND E |
| 5/6 | MRSA + Epi-1 (1.5 mg/kg) + vancomycin (0.5 mg/kg) | 7 | ND E | ND E | ND E | ND E |
| Organ | Clinical Sign (t/n a) | Group | ||||
|---|---|---|---|---|---|---|
| MRSA | MRSA + Vancomycin (0.5 mg/kg) | MRSA + Epi-1 (1.5 mg/kg) | MRSA + Epi-1 (2.5 mg/kg) | MRSA + Epi-1 (1.5 mg/kg) + Vancomycin (0.5 mg/kg) | ||
| Heart | Infective endocarditis | 5/5 | 0/5 | 0/5 | 0/5 | 0/5 |
| Lung | Inflammation, pulmonary edema | 5/5 | 2/5 | 4/5 | 2/5 | 2/5 |
| Liver | Liver abscess | 5/5 | 1/5 | 1/5 | 0/5 | 0/5 |
| Kidney | Cystic tubules, cortical | 5/5 | 0/5 | 0/5 | 0/5 | 0/5 |
© 2019 by the authors. Licensee MDPI, Basel, Switzerland. This article is an open access article distributed under the terms and conditions of the Creative Commons Attribution (CC BY) license (http://creativecommons.org/licenses/by/4.0/).
Share and Cite
Huang, H.-N.; Pan, C.-Y.; Su, B.-C.; Wu, H.-Y.; Chen, J.-Y. Epinecidin-1 Protects against Methicillin Resistant Staphylococcus aureus Infection and Sepsis in Pyemia Pigs. Mar. Drugs 2019, 17, 693. https://doi.org/10.3390/md17120693
Huang H-N, Pan C-Y, Su B-C, Wu H-Y, Chen J-Y. Epinecidin-1 Protects against Methicillin Resistant Staphylococcus aureus Infection and Sepsis in Pyemia Pigs. Marine Drugs. 2019; 17(12):693. https://doi.org/10.3390/md17120693
Chicago/Turabian StyleHuang, Han-Ning, Chieh-Yu Pan, Bor-Chyuan Su, Hung-Yi Wu, and Jyh-Yih Chen. 2019. "Epinecidin-1 Protects against Methicillin Resistant Staphylococcus aureus Infection and Sepsis in Pyemia Pigs" Marine Drugs 17, no. 12: 693. https://doi.org/10.3390/md17120693
APA StyleHuang, H.-N., Pan, C.-Y., Su, B.-C., Wu, H.-Y., & Chen, J.-Y. (2019). Epinecidin-1 Protects against Methicillin Resistant Staphylococcus aureus Infection and Sepsis in Pyemia Pigs. Marine Drugs, 17(12), 693. https://doi.org/10.3390/md17120693
