A Review of Anti-Inflammatory Compounds from Marine Fungi, 2000–2018
Abstract
1. Introduction
2. Alkaloids
3. Terpenoids
4. Polyketides
5. Peptides
6. Others
7. Conclusions
Author Contributions
Funding
Conflicts of Interest
References
- Coussens, L.M.; Werb, Z. Inflammation and cancer. Nature 2002, 420, 860–867. [Google Scholar] [CrossRef]
- Zhong, Y.; Chiou, Y.S.; Pan, M.H.; Shahidia, F. Anti-inflammatory activity of lipophilic epigallocatechin gallate (EGCG) derivatives in LPS-stimulated murine macrophages. Food Chem. 2012, 134, 742–748. [Google Scholar] [CrossRef] [PubMed]
- Hunter, P. The inflammation theory of disease. EMBO Rep. 2012, 13, 968–970. [Google Scholar] [CrossRef] [PubMed]
- Schetter, A.J.; Heegaard, N.H.; Harris, C.C. Inflammation and cancer: Interweaving microRNA, free radical, cytokine and p53 pathways. Carcinogenesis 2010, 31, 37–49. [Google Scholar] [CrossRef] [PubMed]
- Hotamisligil, G.S. Inflammation, metaflammation and immunometabolic disorders. Nature 2017, 542, 177–185. [Google Scholar] [CrossRef] [PubMed]
- Gilmore, T.D. The Rel/NF-κB signal transduction pathway: Introduction. Oncogene 1999, 18, 6842–6844. [Google Scholar] [CrossRef]
- Dray, A. Inflammatory mediators of pain. Br. J. Anaesth. 1995, 75, 125–131. [Google Scholar] [CrossRef]
- Zhang, J.; An, J. Cytokines, inflammation, and pain. Int. Anesthesiol. Clin. 2007, 45, 27–37. [Google Scholar] [CrossRef]
- Vo, T.; Ngo, D.; Kim, S. Potential targets for anti-inflammatory and anti-allergic activities of marine algae: an overview. Inflamm. Allergy—Drug Targets 2012, 11, 90–101. [Google Scholar] [CrossRef]
- Hotamisligil, G.S. Inflammation and metabolic disorders. Nature 2006, 444, 860–867. [Google Scholar] [CrossRef]
- Medzhitov, R. Origin and physiological roles of inflammation. Nature 2008, 454, 428–435. [Google Scholar] [CrossRef] [PubMed]
- Kotas, M.E.; Medzhitov, R. Homeostasis, inflammation, and disease susceptibility. Cell 2015, 160, 816–827. [Google Scholar] [CrossRef] [PubMed]
- Fernando, I.P.S.; Nah, J.; Jeon, Y. Potential anti-inflammatory natural products from marine algae. Environ. Toxicol. Pharmacol. 2016, 48, 22–30. [Google Scholar] [CrossRef] [PubMed]
- Niu, X.; Wang, Y.; Li, W.; Zhang, H.; Wang, X.; Mu, Q.; He, Z.; Yao, H. Esculin exhibited anti-inflammatory activities in vivo and regulated TNF-α and IL-6 production in LPS-stimulated mouse peritoneal macrophages in vitro through MAPK pathway. Int. Immunopharmacol. 2015, 29, 779–786. [Google Scholar] [CrossRef]
- Yasukawa, K.; Takido, M.; Takeuchi, M.; Nakagawa, S. Effect of chemical constituents from plants on 12-O-tetradecanoylphorbol-13-acetate-induced inflammation in mice. Chem. Pharm. Bull. 1989, 37, 1071–1073. [Google Scholar] [CrossRef]
- Blunt, J.W.; Carroll, A.R.; Copp, B.R.; Davis, R.A.; Keyzers, R.A.; Prinsep, M.R. Marine natural products. Nat. Prod. Rep. 2018, 35, 8–53. [Google Scholar] [CrossRef]
- Ramos, A.A.; Pratasena, M.; Castrocarvalho, B.; Dethoup, T.; Buttachon, S.; Kijjoa, A.; Rocha, E. Potential of four marine-derived fungi extracts as anti-proliferative and cell death-inducing agents in seven human cancer cell lines. Asian Pac. J. Trop. Med. 2015, 8, 798–806. [Google Scholar] [CrossRef]
- Blunt, J.W.; Copp, B.R.; Keyzers, R.A.; Munro, M.H.G.; Prinsep, M.R. Marine natural products. Nat. Prod. Rep. 2009, 26, 170–244. [Google Scholar] [CrossRef]
- Blunt, J.W.; Copp, B.R.; Munro, M.H.G.; Northcote, P.T.; Prinsep, M.R. Marine natural products. Nat. Prod. Rep. 2011, 28, 196–268. [Google Scholar] [CrossRef]
- Fleming, A. On the antibacterial action of cultures of a Penicillium, with Special Reference to their use in the isolation of B. influenzæ. Br. J. Exp. Pathol. 1929, 10, 226–236. [Google Scholar] [CrossRef]
- Antia, B.S.; Aree, T.; Kasettrathat, C.; Wiyakrutta, S.; Ekpa, O.D.; Ekpe, U.J.; Mahidol, C.; Ruchirawat, S.; Kittakoop, P. Itaconic acid derivatives and diketopiperazine from the marine-derived fungus Aspergillus aculeatus CRI322-03. Phytochemistry 2011, 72, 816–820. [Google Scholar] [CrossRef] [PubMed]
- Ducklow, H.W.; Carlson, C.A. Oceanic bacterial production. Adv. Microb. Ecol. 1992, 12, 113–181. [Google Scholar]
- Gu, B.; Jiao, F.; Wu, W.; Jiao, W.; Li, L.; Sun, F.; Wang, S.; Yang, F.; Lin, H. Preussins with inhibition of IL-6 expression from Aspergillus flocculosus 16D-1, a fungus isolated from the marine sponge Phakellia fusca. J. Nat. Prod. 2018, 81, 2275–2281. [Google Scholar] [CrossRef] [PubMed]
- Li, H.; Sun, W.; Deng, M.; Zhou, Q.; Wang, J.; Liu, J.; Chen, C.; Qi, C.; Luo, Z.; Xue, Y. Asperversiamides, linearly fused prenylated indole alkaloids from the marine-derived fungus Aspergillus versicolor. J. Org. Chem. 2018, 83, 8483–8492. [Google Scholar] [CrossRef]
- Liu, M.; Sun, W.; Wang, J.; He, Y.; Zhang, J.; Li, F.; Qi, C.; Zhu, H.; Xue, Y.; Hu, Z.; et al. Bioactive secondary metabolites from the marine-associated fungus Aspergillus terreus. Bioorg. Chem. 2018, 80, 525–530. [Google Scholar] [CrossRef]
- Chen, S.; Wang, J.; Lin, X.; Zhao, B.; Wei, X.; Li, G.; Kaliaperumal, K.; Liao, S.; Yang, B.; Zhou, X.; et al. Chrysamides A-C, three dimeric nitrophenyl trans-epoxyamides produced by the deep-sea-derived fungus Penicillium chrysogenum SCSIO41001. Cheminform 2016, 18, 3650–3653. [Google Scholar] [CrossRef]
- Ko, W.; Sohn, J.H.; Kim, Y.-C.; Oh, H. Viridicatol from marine-derived fungal strain Penicillium sp. SF-5295 exerts anti-inflammatory effects through inhibiting NF-κB signaling pathway on lipopolysaccharide-induced RAW264. 7 and BV2 cells. Nat. Prod. Sci. 2015, 21, 240–247. [Google Scholar] [CrossRef]
- Du, L.; Yang, X.; Zhu, T.; Wang, F.; Xiao, X.; Park, H.; Gu, Q. Diketopiperazine alkaloids from a deep ocean sediment derived fungus Penicillium sp. Chem. Pharm. Bull. 2009, 57, 873–876. [Google Scholar] [CrossRef]
- Dong-Cheol, K.; Hee-Suk, L.; Wonmin, K.; Dong-Sung, L.; Jae, S.; Joung, Y.; Youn-Chul, K.; Hyuncheol, O. Anti-Inflammatory effect of methylpenicinoline from a marine isolate of Penicillium sp. (SF-5995): inhibition of NF-κB and MAPK pathways in lipopolysaccharide-induced RAW264.7 macrophages and BV2 microglia. Molecules 2014, 19, 18073. [Google Scholar]
- Kyoung-Su, K.; Xiang, C.; Dong-Sung, L.; Jae, S.; Joung, Y.; Youn-Chul, K.; Hyuncheol, O. Anti-inflammatory effect of neoechinulin A from the marine fungus Eurotium sp. SF-5989 through the suppression of NF-кB and p38 MAPK pathways in lipopolysaccharide-stimulated RAW264.7 macrophages. Molecules 2013, 18, 13245–13259. [Google Scholar]
- Wu, Z.; Li, D.; Zeng, F.; Tong, Q.; Zheng, Y.; Liu, J.; Zhou, Q.; Li, X.N.; Chen, C.; Lai, Y. Brasilane sesquiterpenoids and dihydrobenzofuran derivatives from Aspergillus terreus [CFCC 81836]. Phytochemistry 2018, 156, 159–166. [Google Scholar] [CrossRef] [PubMed]
- Wang, L.; Li, M.; Tang, J.; Li, X. Eremophilane sesquiterpenes from a deep marine-derived fungus, Aspergillus sp. SCSIOW2, cultivated in the presence of epigenetic modifying agents. Molecules 2016, 21, 473. [Google Scholar] [CrossRef] [PubMed]
- Afiyatullov, S.S.; Leshchenko, E.V.; Sobolevskaya, M.P.; Antonov, A.S.; Denisenko, V.A.; Popov, R.S.; Khudyakova, Y.V.; Kirichuk, N.N.; Kuz’Mich, A.S.; Pislyagin, E.A. New thomimarine E from marine isolate of the fungus Penicillium thomii. Chem. Nat. Compd. 2017, 53, 290–294. [Google Scholar] [CrossRef]
- Niu, S.; Xie, C.; Xia, J.; Luo, Z.; Shao, Z.; Yang, X. New anti-inflammatory guaianes from the Atlantic hydrotherm-derived fungus Graphostroma sp. MCCC 3A00421. Sci. Rep. 2018, 8, 530. [Google Scholar] [CrossRef] [PubMed]
- Niu, S.; Xie, C.; Zhong, T.; Xu, W.; Luo, Z.; Shao, Z.; Yang, X. Sesquiterpenes from a deep-sea-derived fungus Graphostroma sp. MCCC 3A00421. Tetrahedron 2017, 73, 7267–7273. [Google Scholar] [CrossRef]
- Hong, Z.; Hua, X.X.; Gong, T.; Jie, P.; Qi, H.; Ping, Z. Hypocreaterpenes A and B, cadinane-type sesquiterpenes from a marine-derived fungus, Hypocreales sp. Phytochem. Lett. 2013, 6, 392–396. [Google Scholar]
- Renner, M.K.; Jensen, P.R.; Fenical, W. Mangicols: Structures and biosynthesis of a new class of sesterterpene polyols from a marine fungus of the genus Fusarium. J. Org. Chem. 2000, 31, 4843–4852. [Google Scholar] [CrossRef]
- Hsiao, G.; Chi, W.C.; Pang, K.L.; Chen, J.J.; Kuo, Y.H.; Wang, Y.K.; Cha, H.J.; Chou, S.C.; Lee, T.H. Hirsutane-type sesquiterpenes with Inhibitory Activity of Microglial Nitric Oxide Production from the Red Alga-Derived Fungus Chondrostereum sp. NTOU4196. J. Nat. Prod. 2017, 80, 1615–1622. [Google Scholar] [CrossRef]
- Wang, Y.; Qi, S.; Zhan, Y.; Zhang, N.; Wu, A.A.; Gui, F.; Guo, K.; Yang, Y.; Cao, S.; Hu, Z.; et al. Aspertetranones A-D, putative meroterpenoids from the marine algal-associated fungus Aspergillus sp. ZL0-1b14. J. Nat. Prod. 2015, 78, 2405–2410. [Google Scholar] [CrossRef]
- Chen, C.J.; Zhou, Y.Q.; Liu, X.X.; Zhang, W.J.; Hu, S.S.; Lin, L.P.; Huo, G.M.; Jiao, R.H.; Tan, R.; Ge, H.M. Antimicrobial and anti-inflammatory compounds from a marine fungus Pleosporales sp. Tetrahedron Lett. 2015, 56, 6183–6189. [Google Scholar] [CrossRef]
- Park, J.S.; Quang, T.H.; Yoon, C.S.; Kim, H.J.; Sohn, J.H.; Oh, H. Furanoaustinol and 7-acetoxydehydroaustinol: New meroterpenoids from a marine-derived fungal strain Penicillium sp. SF-5497. J. Antibiot. 2018, 71, 557–563. [Google Scholar] [CrossRef] [PubMed]
- Özkaya, F.C.; Ebrahim, W.; Klopotowski, M.; Liu, Z.; Janiak, C.; Proksch, P. Isolation and X-ray structure analysis of citreohybridonol from marine-derived Penicillium atrovenetum. Nat. Prod. Res. 2017, 32, 840–843. [Google Scholar] [CrossRef] [PubMed]
- Shin, H.J.; Pil, G.B.; Heo, S.J.; Lee, H.S.; Lee, J.S.; Lee, Y.J.; Lee, J.; Won, H.S. Anti-inflammatory activity of Tanzawaic acid derivatives from a marine-derived fungus Penicillium steckii 108YD142. Mar. Drugs 2016, 14, 14. [Google Scholar] [CrossRef] [PubMed]
- Quang, T.H.; Ngan, N.T.T.; Ko, W.; Kim, D.; Yoon, C.; Sohn, J.H.; Yim, J.H.; Kim, Y.; Oh, H. Tanzawaic acid derivatives from a marine isolate of Penicillium sp. (SF-6013) with anti-inflammatory and PTP1B inhibitory activities. Bioorganic Med. Chem. Lett. 2014, 24, 5787–5791. [Google Scholar] [CrossRef]
- Zhang, P.; Li, Y.; Jia, C.; Lang, J.; Niaz, S.; Li, J.; Yuan, J.; Yu, J.; Chen, S.; Liu, L. Antiviral and anti-inflammatory meroterpenoids: Stachybonoids A–F from the crinoid-derived fungus Stachybotrys chartarum 952. RSC Adv. 2017, 7, 49910–49916. [Google Scholar] [CrossRef]
- Du, X.; Liu, D.; Huang, J.; Zhang, C.; Proksch, P.; Lin, W. Polyketide derivatives from the sponge associated fungus Aspergillus europaeus with antioxidant and NO inhibitory activities. Fitoterapia 2018, 130, 190–197. [Google Scholar] [CrossRef]
- Liu, S.; Wang, H.; Su, M.; Hwang, G.J.; Hong, J.; Jung, J.H. New metabolites from the sponge-derived fungus Aspergillus sydowii J05B-7F-4. Nat. Prod. Res. 2017, 31, 1682–1686. [Google Scholar] [CrossRef]
- Kim, D.C.; Cho, K.H.; Ko, W.; Yoon, C.S.; Sohn, J.H.; Yim, J.H.; Kim, Y.C.; Oh, H. Anti-inflammatory and cytoprotective effects of TMC-256C1 from marine-derived fungus Aspergillus sp. SF-6354 via up-regulation of heme oxygenase-1 in murine hippocampal and microglial cell lines. Int. J. Mol. Sci. 2016, 17, 529. [Google Scholar] [CrossRef]
- Fang, W.; Lin, X.; Wang, J.; Liu, Y.; Tao, H.; Zhou, X. Asperpyrone-type bis-naphtho-γ-pyrones with COX-2–inhibitory activities from marine-derived fungus Aspergillus niger. Molecules 2016, 21, 941. [Google Scholar] [CrossRef]
- Tian, Y.; Qin, X.; Lin, X.; Kaliyaperumal, K.; Zhou, X.; Liu, J.; Ju, Z.; Tu, Z.; Liu, Y. Sydoxanthone C and acremolin B produced by deep-sea-derived fungus Aspergillus sp. SCSIO Ind09F01. J. Antibiot. 2015, 68, 703–706. [Google Scholar] [CrossRef]
- Kim, D.; Quang, T.H.; Ngan, N.T.T.; Yoon, C.; Sohn, J.H.; Yim, J.H.; Feng, Y.; Che, Y.; Kim, Y.; Oh, H. Dihydroisocoumarin derivatives from marine-derived fungal isolates and their anti-inflammatory effects in lipopolysaccharide-induced BV2 microglia. J. Nat. Prod. 2015, 78, 2948–2955. [Google Scholar] [CrossRef] [PubMed]
- Lee, D.-S.; Jeong, G.-S.; Li, B.; Lee, S.U.; Oh, H.; Kim, Y.-C. Asperlin from the marine-derived fungus Aspergillus sp. SF-5044 exerts anti-inflammatory effects through heme oxygenase-1 expression in murine macrophages. J. Pharmacol. Sci. 2011, 116, 283. [Google Scholar] [CrossRef] [PubMed]
- Ngan, N.T.T.; Quang, T.H.; Kim, K.; Kim, H.J.; Sohn, J.H.; Kang, D.G.; Lee, H.S.; Kim, Y.; Oh, H. Anti-inflammatory effects of secondary metabolites isolated from the marine-derived fungal strain Penicillium sp. SF-5629. Arch. Pharm. Res. 2017, 40, 328–337. [Google Scholar] [CrossRef] [PubMed]
- Lee, D.; Ko, W.; Quang, T.H.; Kim, K.S.; Sohn, J.H.; Jang, J.; Ahn, J.S.; Kim, Y.; Oh, H. Penicillinolide A: a new anti-inflammatory metabolite from the marine fungus Penicillium sp. SF-5292. Mar. Drugs 2013, 11, 4510–4526. [Google Scholar] [CrossRef]
- Lee, D.; Jang, J.; Ko, W.; Kim, K.S.; Sohn, J.H.; Kang, M.; Ahn, J.S.; Kim, Y.; Oh, H. PTP1B inhibitory and anti-inflammatory effects of secondary metabolites isolated from the marine-derived fungus Penicillium sp. JF-55. Mar. Drugs 2013, 11, 1409–1426. [Google Scholar] [CrossRef]
- Ha, T.M.; Ko, W.; Lee, S.J.; Kim, Y.C.; Son, J.Y.; Sohn, J.H.; Yim, J.H.; Oh, H. Anti-inflammatory effects of curvularin-type metabolites from a marine-derived fungal strain Penicillium sp. SF-5859 in lipopolysaccharide-induced RAW264.7 macrophages. Mar. Drugs 2017, 15, 282. [Google Scholar] [CrossRef]
- Toledo, T.R.; Dejani, N.N.; Monnazzi, L.G.S.; Kossuga, M.H.; Berlinck, R.G.S.; Sette, L.D.; Medeiros, A.I. Potent anti-inflammatory activity of Pyrenocine A isolated from the marine-derived fungus Penicillium paxilli Ma(G)K. Mediat. Inflamm. 2014, 2014, 767061. [Google Scholar] [CrossRef]
- Yang, X.; Kang, M.C.; Li, Y.; Kim, E.A.; Kang, S.M.; Jeon, Y.J. Asperflavin, an anti-inflammatory compound produced by a marine-derived fungus, Eurotium amstelodami. Molecules 2017, 22, 1823. [Google Scholar] [CrossRef]
- Yang, X.; Kang, M.; Li, Y.; Kim, E.; Kang, S.; Jeon, Y. Anti-inflammatory activity of questinol isolated from marine-derived fungus Eurotium amstelodami in lipopolysaccharide-stimulated RAW 264.7 macrophages. J. Microbiol. Biotechnol. 2014, 24, 1346–1353. [Google Scholar] [CrossRef]
- Kim, K.S.; Cui, X.; Lee, D.S.; Ko, W.; Sohn, J.H.; Yim, J.H.; An, R.B.; Kim, Y.C.; Oh, H. Inhibitory effects of Benzaldehyde derivatives from the marine fungus Eurotium sp. SF-5989 on inflammatory mediators via the induction of heme oxygenase-1 in lipopolysaccharide-stimulated RAW264.7 macrophages. Int. J. Mol. Sci. 2014, 15, 23749–23765. [Google Scholar] [CrossRef]
- Quang, T.H.; Kim, D.C.; Van Kiem, P.; Van Minh, C.; Nhiem, N.X.; Tai, B.H.; Yen, P.H.; Ngan, N.T.T.; Kim, H.J.; Oh, H. Macrolide and phenolic metabolites from the marine-derived fungus Paraconiothyrium sp. VK-13 with anti-inflammatory activity. J. Antibiot. 2018, 71, 826–830. [Google Scholar] [CrossRef] [PubMed]
- Zhang, P.; Jia, C.; Lang, J.; Li, J.; Luo, G.; Chen, S.; Yan, S.; Liu, L. Mono- and dimeric naphthalenones from the marine-derived fungus Leptosphaerulina chartarum 3608. Mar. Drugs 2018, 16, 173. [Google Scholar] [CrossRef]
- Lee, M.S.; Wang, S.; Wang, G.J.; Pang, K.; Lee, C.K.; Kuo, Y.; Cha, H.J.; Lin, R.K.; Lee, T. Angiogenesis inhibitors and anti-inflammatory agents from Phoma sp. NTOU4195. J. Nat. Prod. 2016, 79, 2983–2990. [Google Scholar] [CrossRef] [PubMed]
- Wang, J.; Qin, X.; Xu, F.; Zhang, T.; Liao, S.; Lin, X.; Yang, B.; Liu, J.; Wang, L.; Tu, Z. Tetramic acid derivatives and polyphenols from sponge-derived fungus and their biological evaluation. Nat. Prod. Res. 2015, 29, 1761–1765. [Google Scholar] [CrossRef] [PubMed]
- Lin, Z.; Ma, X.; Wei, H.; Li, D.; Gu, Q.; Zhu, T. Spicarins A–D from acetylated extract of fungus Spicaria elegans KLA03. RSC Adv. 2015, 5, 35262–35266. [Google Scholar] [CrossRef]
- Chen, Q.; Chen, T.; Li, W.; Zhang, W.; Zhu, J.; Li, Y.; Huang, Y.; Shen, Y.; Yu, C. Correction: Mycoepoxydiene inhibits lipopolysaccharide-induced inflammatory responses through the suppression of TRAF6 polyubiquitination. PLoS ONE 2012, 7, e44890. [Google Scholar] [CrossRef]
- Liu, J.; Gu, B.; Yang, L.; Yang, F.; Lin, H. New Anti-inflammatory cyclopeptides from a sponge-derived fungus Aspergillus violaceofuscus. Front. Chem. 2018, 6, 226. [Google Scholar] [CrossRef]
- Yoon, C.S.; Kim, D.-C.; Lee, D.-S.; Kim, K.-S.; Ko, W.; Sohn, J.H.; Yim, J.H.; Kim, Y.-C.; Oh, H. Anti-neuroinflammatory effect of aurantiamide acetate from the marine fungus Aspergillus sp. SF-5921: Inhibition of NF-κB and MAPK pathways in lipopolysaccharide-induced mouse BV2 microglial cells. Int. Immunopharmacol. 2014, 23, 568–574. [Google Scholar] [CrossRef]
- Li, L.; Zhang, Y.; Li, Z.; Yu, Z.; Sun, T. Stereochemical investigation of a novel biological active substance from the secondary metabolites of marine fungus Penicillium chrysogenum SYP-F-2720. Rev. De La Soc. Química De Mex. 2017, 59, 53–58. [Google Scholar]
- Belofsky, G.N.; Anguera, M.; Jensen, P.R.; Fenical, W.; Kock, M. Oxepinamides A-C and Fumiquinazolines H-I: Bioactive metabolites from a marine isolate of a fungus of the genus Acremonium. Chem. A Eur. J. 2000, 6, 1355–1360. [Google Scholar] [CrossRef]
- Ko, W.; Sohn, J.H.; Jang, J.H.; Ahn, J.S.; Kang, D.G.; Lee, H.S.; Kim, J.S.; Kim, Y.C.; Oh, H. Inhibitory effects of alternaramide on inflammatory mediator expression through TLR4-MyD88-mediated inhibition of NF-кB and MAPK pathway signaling in lipopolysaccharide-stimulated RAW264.7 and BV2 cells. Chem.—Biol. Interact. 2016, 244, 16–26. [Google Scholar] [CrossRef] [PubMed]
- Li, J.L.; Zhang, P.; Lee, Y.M.; Hong, J.; Yoo, E.S.; Bae, K.S.; Jung, J.H. Oxygenated hexylitaconates from a marine sponge-derived fungus Penicillium sp. Chem. Pharm. Bull. 2011, 59, 120–123. [Google Scholar] [CrossRef] [PubMed]
- Marra, R.; Nicoletti, R.; Pagano, E.; Dellagreca, M.; Salvatore, M.M.; Borrelli, F.; Lombardi, N.; Vinale, F.; Woo, S.L.; Andolfi, A. Inhibitory effect of trichodermanone C, a sorbicillinoid produced by Trichoderma citrinoviride associated to the green alga Cladophora sp., on nitrite production in LPS-stimulated macrophages. Nat. Prod. Res. 2018, 33, 3389–3397. [Google Scholar] [CrossRef] [PubMed]
- Galli, S.J.; Tsai, M.; Piliponsky, A.M. The development of allergic inflammation. Nature 2008, 454, 445–454. [Google Scholar] [CrossRef]
- Gordon, S. The role of the macrophage in immune regulation. Res. Immunol. 1998, 149, 685–688. [Google Scholar] [CrossRef]
- Fawthrop, F. Inflammation: Basic principles and clinical correlates. Ann. Rheum. Dis. 1993, 52, 701. [Google Scholar] [CrossRef]
- Gautam, R.; Jachak, S.M. Recent Developments in antiinflammatory natural products. ChemInform 2009, 29, 767–820. [Google Scholar] [CrossRef]
- Abad, M.; Bedoya, L.; Bermejo, P. Natural marine anti-inflammatory products. Mini Rev. Med. Chem. 2008, 8, 740–754. [Google Scholar] [CrossRef]





















| Metabolites | Species | Activities | Reference |
|---|---|---|---|
| Preussins C–K (1–9) | A. flocculosus 16D-1 | against IL–6 with IC50 values of 0.11–22 μM in LPS-activated THP-1 | [23] |
| Asperversiamides B, C, F, G (10–13) | A. versicolor | against iNOS with IC50 values of 5.39–16.58 μM in LPS-activated RAW264.7 cells | [24] |
| Luteoride E (14) | A. terreus | against NO with IC50 value of 24.65 μM in LPS-activated RAW264.7 cells | [25] |
| Chrysamide C (15) | P. chrysogenum SCSIO41001 | against IL–6 with 40.06% inhibitory at 1.0 μM | [26] |
| Viridicaol (16) | Penicillium sp. SF-5295 | against NO and PGE2 with IC50 values of 46.03 and 30.37 μM in LPS-activated RAW264.7 and 43.03 and 34.20 μM in LPS-activated BV2 cells | [27] |
| Brevicompanines E, H (17, 18) | Penicillium sp. | against NO with IC50 values of 27 and 45 μg/mL in LPS-activated RAW264.7 cells | [28] |
| Methylpenicinoline (19) | Penicillin sp. SF-5995 | against NO, PGE2, iNOS, and COX-2 with IC50 values from 34 to 49 μM | [29] |
| Neocechinulin A (20) | Eurotium sp. SF-5989 | significantly affection at concentrations exceeding 25 µM | [30] |
| Metabolites | Species | Activities | Reference |
|---|---|---|---|
| Brasilanones A and E (21, 22) | A. terreus CFCC 81836 | against NO with 47.7% and 37.3% inhibition rates at 40 μM in LPS-activated RAW264.7 cells | [31] |
| Dihydrobipolaroxins B−D (23−25) Dihydrobipolaroxin (26) | Aspergillus sp. SCSIOW2 | against NO with moderate anti-inflammatory effects | [32] |
| Thomimarine E (27) | P. thomii KMM 4667 | against NO with 22.5% inhibition rate at 10.0 μM in LPS-activated RAW264.7 cells | [33] |
| Graphostromane F (28) | Graphostroma sp. MCCC 3A00421 | against NO with IC50 value of 14.2 μM in LPS-activated RAW264.7 cells | [34] |
| Khusinol B (29) | Graphostroma sp. MCCC 3A00421 | against NO with IC50 values of 17 μM in LPS-activated RAW264.7 cells | [35] |
| 1R,6R,7R,10S-10-hydroxy-4(5)-cadinen-3-one (30) | Hypocreales sp. HLS-104 | against NO with Emax values of 10.22% at 1 μM in LPS-activated RAW264.7 cells | [36] |
| Mangicols A and B (31, 32) | F. heterosporum CNC-477 | 81% and 57% inhibition rate at 50 μg per ear in PMA-induced mouse ear edema assay | [37] |
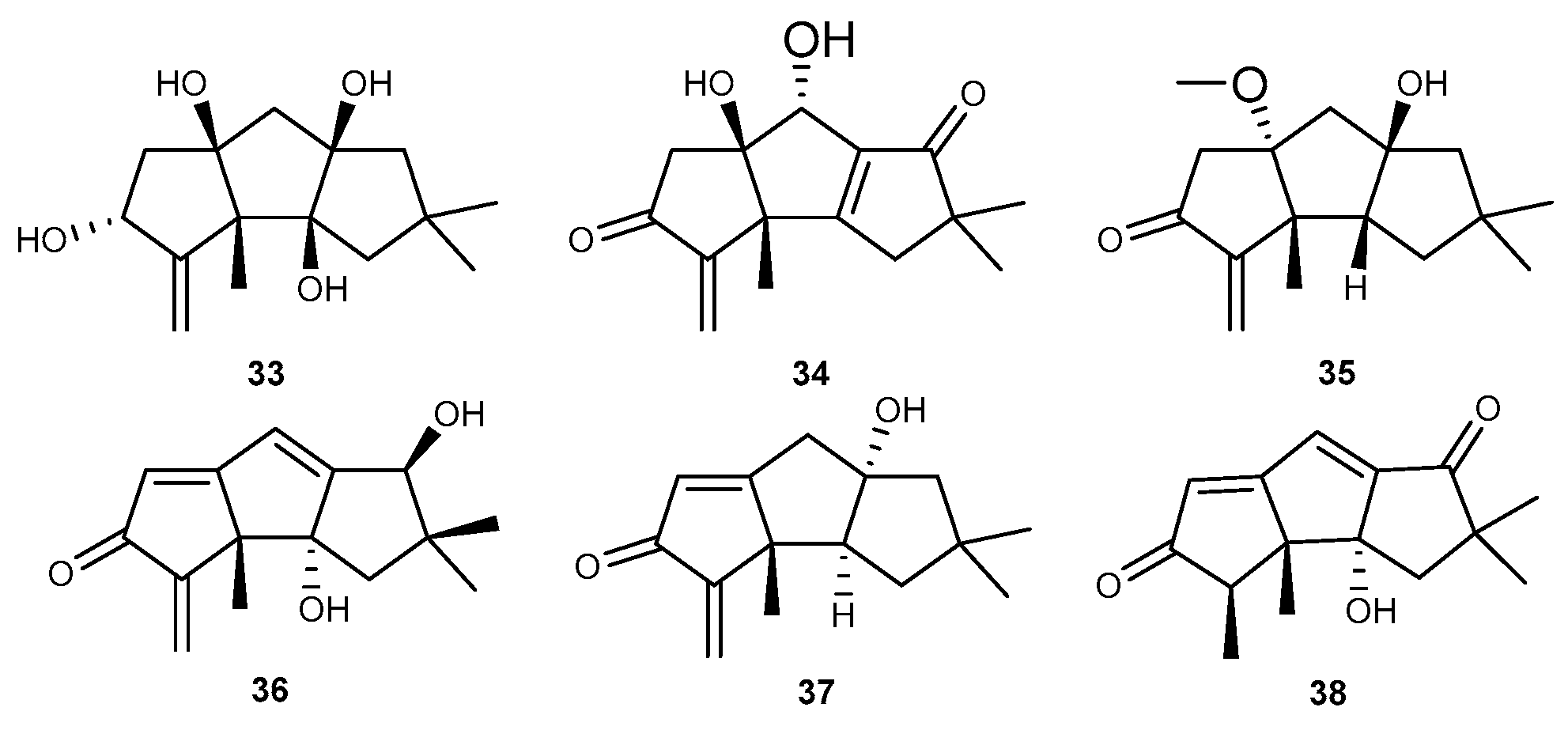
| Chondroterpenes A, B, H (33–35) Hirsutanol A (36) Chondrosterins A, B (37, 38) | Chondrostereum sp. NTOU4196 | against NO with considerable inhibitory effects at 20 μM in LPS-activated BV-2 cells | [38] |
| Lovastatin (39) | A. terreus | against NO with IC50 value of 17.45 μM in LPS-activated RAW264.7 cells | [25] |
| Aspertetranones A−D (40−43) | Aspergillus sp. ZL0-1b14 | against IL-6 with 43% and 69% inhibition rates at 40 μM in LPS-activated RAW264.7 cells | [39] |
| Pleosporallins A−C (44−46) | Phoma sp. NTOU4195 | against IL-6 with about 30.0% inhibition rate at 5–20 μg/mL in LPS-activated RAW264.7 cells | [40] |
| 7-acetoxydehydroaustinol (47) Austinolide (48) 7-acetoxydehydroaustin (49) 11-hydroxyisoaustinone (50) 11-acetoxyisoaustinone (51) | Penicillium sp. SF-5497 | against NO with IC50 values of 61.0, 30.1, 58.3, 37.6, and 40.2 μM in LPS-activated BV-2 cells | [41] |
| Citreohybridonol (52) | P. atrovenetum | anti-neuroinflammatory activity | [42] |
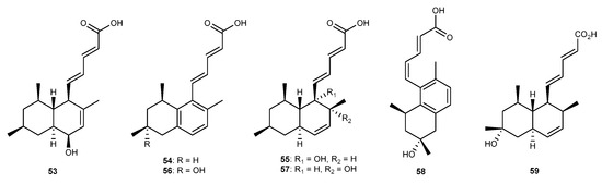
| Tanzawaic acid Q (53) Tanzawaic acids A (54), C (55), D (56), and K (57) | P. steckii 108YD142 | against NO with considerably anti-inflammatory activity in LPS-activated RAW264.7 cells | [43] |
| 2E,4Z-tanzawaic acid D (58) Tanzawaicacids A (54), E (59) | Penicillium sp. SF-6013 | against NO with IC50 values of 37.8, 7.1, and 42.5 μM in LPS-activated RAW264.7 cells | [44] |
| Stachybotrysin C (60), Stachybonoid F (61), Stachybotylactone (62) | S. chartarum 952 | against NO with IC50 values of 27.2, 52.5, and 17.9 μM in LPS-activated RAW264.7 cells | [45] |
| Metabolites | Species | Activities | Reference |
|---|---|---|---|
| Versicolactone G (63) Territrem A (64) | A. terreus | against NO with IC50 values of 15.72 and 29.34 μM in LPS-activated RAW264.7 cells | [25] |
| Eurobenzophenone B (65) Canthone A (66) 3-de-O-methylsulochrin (67) Yicathin B (68) Dermolutein (69) Methylemodin (70) | A. europaeus WZXY-SX-4-1 | 66 against NF-κB with significant inhibition in LPS-activated SW480 cells 65, 67, 68, 69, 70 against NF-κB with inhibition and against NO with weak inhibition in LPS-activated SW480 cells | [46] |
| Violaceol II (71) Cordyol E (72) | A. sydowii J05B-7F-4 | against NO with weak inhibition in LPS-activated RAW264.7 cells | [47] |
| TMC-256C1 (73) | Aspergillus sp. SF-6354 | against NO and PGE2 with considerable anti-neuroinflammatory activity in LPS-activated BV2 cells | [48] |
| Aurasperone F (74) Aurasperone C (75) Asperpyrone A (76) | A. niger SCSIO Jcsw6F30 | against COX-2 with IC50 values of 11.1, 4.2, and 6.4 μM in LPS-activated RAW264.7 cells | [49] |
| Diorcinol (77) Cordyol C (78) 3,7-dihydroxy-1,9-Dimethyldibenzofuran (79) | Aspergillus sp. SCSIO Ind09F01 | against the COX-2 expression with IC50 values of 2.4−10.6 μM | [50] |
| Cladosporin 8-O-α-ribofuranoside (80) Cladosporin (81) Asperentin 6-O-methyl ether (82) Cladosporin 8-O-methyl ether (83) 4′-hydroxyasperentin (84) 5′-hydroxyasperentin (85) | Aspergillus sp. SF-5974 and Aspergillus sp. SF-5976 | against NO and PGE2 with IC50 values of 20−65 μM in LPS-activated microglial cells | [51] |
| Asperlin (86) | Aspergillus sp. SF-5044 | against NO and PGE2 in LPS-activated murine macrophages | [52] |
| Guaiadiol A (87) 4,10,11-trihydroxyguaiane (88) | P. thomii KMM 4667 | against NO with 24.1% and 36.6% inhibition at 10.0 μM in LPS-activated murine macrophages | [33] |
| Citrinin H1 (89) | Penicillium sp. SF-5629 | against NO with IC50 values of 8.1 and 8.0 μM in LPS-activated BV2 cells | [53] |
| Penicillospirone (90) | Penicillium sp. SF-5292 | against NO and PGE2 with IC50 values of 21.9–27.6 μM in LPS-activated RAW264.7 and BV2 cells | [27] |
| Penicillinolide A (91) | Penicillium sp. SF-5292 | against NO, PGE2, TNF-α, IL-1β and IL-6 with IC50 values of 20.47, 17.54, 8.63, 11.32, and 20.92 μM in LPS-activated RAW264.7 and BV2 cells | [54] |
| Penstyrylpyrone (92) | Penicillium sp. JF-55 | against NO, PGE2, TNF-α, IL-1β with IC50 values of 12.32, 9.35, 13.54, and 18.32 μM in LPS-activated murine peritoneal macrophages | [55] |
| Curvularin (93), (11R,15S)-11-hydroxycurvularin (94) (11S,15S)-11-hydroxycurvularin (95) (11R,15S)-11-methoxycurvularin (96) (11S,15S)-11-methoxycurvularin (97) (10E,15S)-10,11-dehydrocurvularin (98) (10Z,15S)-10,11-dehydrocurvularin (99) | Penicillium sp. SF-5859 | against NO and PGE2 with IC50 values of 1.9–18.1, and 2.8–18.7 µM in LPS-activated RAW264.7 cells | [56] |
| Pyrenocine A (100) | P. paxilli | against TNF-α and PGE2 in LPS-activated macrophages | [57] |
| Asperflavin (101) | E. amstelodami | against NO and PGE2 with 4.6% and 55.9% inhibition rates to NO and PGE2 at 200 μM in LPS-activated RAW264.7 cells | [58] |
| Questinol (102) | E. amstelodami | against NO and PGE2 with 73.0% and 43.5% inhibition rates at 200 μM against NO and PGE2 | [59] |
| Flavoglaucin (103) Isotecrahydro-auroglaucin (104) | Eurotium sp. SF-5989 | against NO and PGE2 in LPS-activated RAW264.7 cells | [60] |
| 1-(2,5-dihydroxyphenyl)-3-hydroxybutan-1-one (105) 1-(2,5-dihydroxyphenyl)-2-buten-1-one (106) | Paraconiothyrium sp. VK-13 | against NO and PGE2 with IC50 values of 3.9–12.5 µM in LPS-activated RAW264.7 cells | [61] |
| (4R,10S,4’S)-leptothalenone B (107) | L. chartarum 3608 | against NO with IC50 value of 44.5 µM in LPS-activated RAW264.7 cells | [62] |
| Phomaketides A−C (108−110) FR-111142 (111) | Phoma sp. NTOU4195 | against NO with E max and IC50 value of 100% and 8.8 μM in LPS-activated RAW264.7 cells | [63] |
| Expansols A−F (112−117) | Glimastix sp. ZSDS1-F11 | against expression of COX-2 with IC50 values of 3.1, 5.6, 3.0, 5.1, 3.2, and 3.7 µM against expression of COX-1 with 5.3, 16.2, 30.2, 41.0, and 56.8 µM | [64] |
| Spicarins C (118) and D (119) | S. elegans KLA03 | against NO with IC50 values of 30 and 75 µM in LPS-activated BV2 cells | [65] |
| (R)-5,6-dihydro-6-pentyl-2H-pyran-2-one (120) | Hypocreales sp. strain HLS-104 | against NO with Emax value of 26.46% at 1 μM in LPS-activated RAW264.7 cells | [36] |
| Mycoepoxydiene (121) | Diaporthe sp. HLY-1 | against NO and TNF-α, IL-6, and IL-1β in LPS-activated macrophages | [66] |
| Metabolites | Species | Activities | Reference |
|---|---|---|---|
| Methyl 3,4,5-trimethoxy-2-(2-(nicotinamido)benzamido)benzoate (122) | A. terreus | against NO with IC50 value of 5.48 μM in LPS-activated RAW264.7 cells | [25] |
| Violaceotide A (123) Diketopiperazine dimer (124) | A. violaceofuscus | against IL-10 expression with inhibitory rate of 84.3% and 78.1% at 10 μM in LPS-activated THP-1 cells | [67] |
| Aurantiamide acetate (125) | Aspergillus sp. | against NO and PGE2 with IC50 values of 49.70 and 51.3 μM in LPS-activated BV2 cells | [68] |
| (S)-2-(2-hydroxypropanamido) Benzoic Acid (126) | P. citrinum SYP-F-2720 | with the swelling rate of 191% at 100 mg/kg | [69] |
| Oxepinamide A (127) | Acremonium sp. | inhibition rate of 82% at 50 μg per ear in RTX-activated mouse ear edema assay | [70] |
| Alternaramide (128) | Alternaria sp. SF-5016 | against NO and PGE2 with IC50 values ranging from 27.63 to 40.52 μM in LPS-activated RAW264.7 and BV2 cells | [71] |
| Metabolites | Species | Activities | Reference |
|---|---|---|---|
| (3E,7E)-4,8-di-methyl-undecane-3,7-diene-1,11-diol (129) 14α-hydroxyergosta-4,7,22-triene-3,6-dione (130) | A. terreus | against NO with IC50 values of 17.45 and 29.34 μM in LPS-activated RAW264.7 cells | [25] |
| Methyl 8–hydroxy–3-methoxycarbonyl-2-methylenenonanoate (131) (3S)-Methyl 9-hydroxy-3-methoxycarbonyl-2-methylenenonanoate (132) | Penicillium sp. (J05B-3-F-1) | against IL-1β with weakly inhibition at 200 μM | [72] |
| Trichodermanone C (133) | T. citrinoviride | strong inhibitory effect on nitrite levels in LPS-activated J774A.1 macrophages | [73] |
© 2019 by the authors. Licensee MDPI, Basel, Switzerland. This article is an open access article distributed under the terms and conditions of the Creative Commons Attribution (CC BY) license (http://creativecommons.org/licenses/by/4.0/).
Share and Cite
Xu, J.; Yi, M.; Ding, L.; He, S. A Review of Anti-Inflammatory Compounds from Marine Fungi, 2000–2018. Mar. Drugs 2019, 17, 636. https://doi.org/10.3390/md17110636
Xu J, Yi M, Ding L, He S. A Review of Anti-Inflammatory Compounds from Marine Fungi, 2000–2018. Marine Drugs. 2019; 17(11):636. https://doi.org/10.3390/md17110636
Chicago/Turabian StyleXu, Jianzhou, Mengqi Yi, Lijian Ding, and Shan He. 2019. "A Review of Anti-Inflammatory Compounds from Marine Fungi, 2000–2018" Marine Drugs 17, no. 11: 636. https://doi.org/10.3390/md17110636
APA StyleXu, J., Yi, M., Ding, L., & He, S. (2019). A Review of Anti-Inflammatory Compounds from Marine Fungi, 2000–2018. Marine Drugs, 17(11), 636. https://doi.org/10.3390/md17110636

