Perylenequione Derivatives with Anticancer Activities Isolated from the Marine Sponge-Derived Fungus, Alternaria sp. SCSIO41014
Abstract
:1. Introduction
2. Results and Discussion
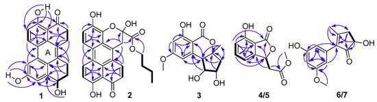
2.1. Structural Elucidation
2.2. Biological Activity
3. Materials and Methods
3.1. General Experimental Procedures
3.2. Fungal Material
3.3. Fermentation and Extraction
3.4. Isolation and Purification
3.5. Spectral Data
3.6. X-ray Crystal Structure Analysis
3.7. ECD Calculations
3.8. Biological Assays
3.8.1. Antibacterial Activity Assay
3.8.2. Antitumor Activity Assay
4. Conclusions
Supplementary Materials
Author Contributions
Funding
Conflicts of Interest
References
- Chagas, F.O.; Dias, L.G.; Pupo, M.T. New perylenequinone derivatives from the endophytic fungus Alternaria tenuissima SS77. Tetrahedron Lett. 2016, 57, 3185–3189. [Google Scholar] [CrossRef]
- Chowdhury, P.K.; Das, K.; Datta, A.; Liu, W.Z.; Zhang, H.Y.; Petrich, J.W. A comparison of the excited-state processes of nearly symmetrical perylene quinones: Hypocrellin A and hypomycin B. J. Photoch. Photobiol. A 2002, 154, 107–116. [Google Scholar] [CrossRef]
- Mazzini, S.; Merlini, L.; Mondelli, R.; Scaglioni, L. Conformation and tautomerism of hypocrellins. Revised structure of shiraiachrome A. J. Chem. Soc. Perk. Trans. 2 2001, 409–416. [Google Scholar] [CrossRef]
- Zhang, N.D.; Zhang, C.Y.; Xiao, X.; Zhang, Q.Y.; Huang, B.K. New cytotoxic compounds of endophytic fungus Alternaria sp. isolated from Broussonetia papyrifera (L.) Vent. Fitoterapia 2016, 110, 173–180. [Google Scholar] [CrossRef] [PubMed]
- Kjer, J.; Wray, V.; Edrada-Ebel, R.; Ebel, R.; Pretsch, A.; Lin, W.; Proksch, P. Xanalteric acids I and II and related phenolic compounds from an endophytic Alternaria sp. isolated from the mangrove plant Sonneratia alba. J. Nat. Prod. 2009, 72, 2053–2057. [Google Scholar] [CrossRef] [PubMed]
- Gao, S.; Li, X.; Wang, B. Perylene derivatives produced by Alternaria alternata, An endophytic fungus isolated from Laurencia species. Nat. Prod. Commun. 2009, 4, 1477–1480. [Google Scholar] [PubMed]
- Hradil, C.M.; Hallock, Y.F.; Clardy, J.; Kenfield, D.; Strobel, G. Phytotoxins from Alternaria cassia. Phytochemistry 1989, 28, 73–75. [Google Scholar] [CrossRef]
- Bugni, T.S.; Ireland, C.M. Marine-derived fungi: A chemically and biologically diverse group of microorganisms. Nat. Prod. Rep. 2004, 21, 143–163. [Google Scholar] [CrossRef] [PubMed]
- Wang, J.F.; Wei, X.Y.; Qin, X.C.; Lin, X.P.; Zhou, X.F.; Liao, S.R.; Yang, B.; Liu, J.; Tu, Z.C.; Liu, Y.H. Arthpyrones A-C, Pyridone alkaloids from a sponge-derived fungus Arthrinium arundinis ZSDS1-F3. Org. Lett. 2015, 17, 656–659. [Google Scholar] [CrossRef] [PubMed]
- Pang, X.Y.; Lin, X.P.; Wang, J.F.; Liang, R.; Tian, Y.Q.; Salendra, L.; Luo, X.W.; Zhou, X.F.; Yang, B.; Tu, Z.C.; et al. Three new highly oxygenated sterols and one new dihydroisocoumarin from the marine sponge-derived fungus Cladosporium sp. SCSIO41007. Steroids 2018, 129, 41–46. [Google Scholar] [CrossRef] [PubMed]
- Pang, X.Y.; Lin, X.P.; Tian, Y.Q.; Liang, R.; Wang, J.F.; Yang, B.; Zhou, X.F.; Kaliyaperumal, K.; Luo, X.W.; Tu, Z.C.; et al. Three new polyketides from the marine sponge-derived fungus Trichoderma sp. SCSIO41004. Nat. Prod. Res. 2018, 32, 105–111. [Google Scholar] [CrossRef] [PubMed]
- Tian, Y.Q.; Lin, X.P.; Wang, Z.; Zhou, X.F.; Qin, X.C.; Kaliyaperumal, K.; Zhang, T.Y.; Tu, Z.C.; Liu, Y. Asteltoxins with antiviral activities from the marine sponge-derived fungus Aspergillus sp. SCSIO XWS02F40. Molecules 2016, 21, 34. [Google Scholar] [CrossRef] [PubMed]
- Wang, J.F.; Lin, X.P.; Qin, C.; Liao, S.R.; Wan, J.T.; Zhang, T.Y.; Liu, J.; Fredimoses, M.; Chen, H.; Yang, B.; et al. Antimicrobial and antiviral sesquiterpenoids from sponge-associated fungus, Aspergillus sydowii ZSDS1-F6. J. Antibiot. 2014, 67, 581–583. [Google Scholar] [CrossRef] [PubMed]
- Li, X.; Jing, P.Z.; Xu, N.L.; Meng, D.L.; Sha, Y. A new perylenequinone from the fruit bodies of Bulgaria inquinans. J. Asian Nat. Prod. Res. 2006, 8, 743–746. [Google Scholar]
- Jiao, P.; Gloer, J.B.; Campbell, J.; Shearer, C.A. Altenuene derivatives from an unidentified freshwater fungus in the family Tubeufiaceae. J. Nat. Prod. 2006, 69, 612–615. [Google Scholar] [CrossRef] [PubMed]
- Phaopongthai, J.; Wiyakrutta, S.; Meksuriyen, D.; Sriubolmas, N.; Suwanborirux, K. Azole-synergistic anti-candidal activity of altenusin, A biphenyl metabolite of the endophytic fungus Alternaria alternata isolated from Terminalia chebula Retz. J. Microbiol. 2013, 51, 821–828. [Google Scholar] [CrossRef] [PubMed]
- Chou, T.H.; Chen, I.S.; Hwang, T.L.; Wang, T.C.; Lee, T.H.; Cheng, L.Y.; Chang, Y.C.; Cho, J.Y.; Chen, J.J. Phthalides from Pittosporum illicioides var. illicioides with inhibitory activity on superoxide generation and elastase release by neutrophils. J. Nat. Prod. 2008, 71, 1692–1695. [Google Scholar] [CrossRef] [PubMed]
- Tianpanich, K.; Prachya, S.; Wiyakrutta, S.; Mahidol, C.; Ruchirawat, S.; Kittakoop, P. Radical scavenging and antioxidant activities of isocoumarins and a phthalide from the endophytic fungus Colletotrichum sp. J. Nat. Prod. 2011, 74, 79–81. [Google Scholar] [CrossRef] [PubMed]
- Nakano, H.; Kumagai, N.; Matsuzaki, H.; Kabuto, C.; Hongo, H. Enantioselective addition of diethylzinc to aldehydes using 2-azanorbornylmethanols and 2-azanorbornylmethanethiol as acatalyst. Tetrahedron Lett. 1997, 8, 1391–1401. [Google Scholar] [CrossRef]
- Takahashi, H.; Tsubuki, T.; Higashiyama, K. Highly diastereoselective reaction of chiral o-[2-(1,3-oxazolidinyl)] benzaldehydes with alkylmetallic reagents: Synthesis of chiral 3-substituted phthalides. Chem. Pharm. Bull. 1991, 39, 3136–3139. [Google Scholar] [CrossRef]
- Liu, Y.; Yang, Q.; Xia, G.; Huang, H.; Li, H.; Ma, L.; Lu, Y.; He, L.; Xia, X.; She, Z. Polyketides with alpha-glucosidase inhibitory activity from a mangrove endophytic fungus, Penicillium sp. HN29-3B1. J. Nat. Prod. 2015, 78, 1816–1822. [Google Scholar] [CrossRef] [PubMed]
- Stack, M.E.; Mazzola, E.P.; Page, S.W.; Pohlan, A.E. Mutagenic perylenequinone metabolites of Alternaria Alternata: alteroxins I, II, and III. J. Nat. Prod. 1986, 49, 866–871. [Google Scholar] [CrossRef] [PubMed]
- Zheng, C.J.; Fu, X.M.; Zhang, X.L.; Kong, W.W.; Wang, C.Y. Bioactive perylene derivatives from a soft coral-derived fungus Alternaria sp. (ZJ-2008017). Chem. Nat. Compd. 2015, 51, 766–768. [Google Scholar] [CrossRef]
- Zhao, D.L.; Wang, D.; Tian, X.Y.; Cao, F.; Li, Y.Q.; Zhang, C.S. Anti-phytopathogenic and cytotoxic activities of crude extracts and secondary metabolites of marine-derived fungi. Mar. Drugs 2018, 16, 36. [Google Scholar] [CrossRef] [PubMed]
- Liu, Y.; Wu, Y.; Zhai, R.; Liu, Z.; Huang, X.; She, Z. Altenusin derivatives from mangrove endophytic fungus Alternaria sp. SK6YW3L. RSC Adv. 2016, 6, 72127–72132. [Google Scholar] [CrossRef]
- Wang, Q.X.; Bao, L.; Yang, X.L.; Guo, H.; Yang, R.N.; Ren, B.; Zhang, L.X.; Dai, H.Q.; Guo, L.D.; Liu, H.W. Polyketides with antimicrobial activity from the solid culture of an endolichenic fungus Ulocladium sp. Fitoterapia 2012, 83, 209–214. [Google Scholar] [CrossRef] [PubMed]
- Bradburn, N.; Coker, R.D.; Blunedn, G.; Turner, C.H.; Crabb, T.A. 5-epialtenuene and neoaltenuene, dibenzo-a-pyrones from Alternaria alternata cultured on rice. Phtochemistry 1994, 35, 665–669. [Google Scholar] [CrossRef]
- Aly, A.H.; Edrada-Ebe, R.; Indriani, I.D.; Wray, V.; Muller, W.E.G.; Totzke, F.; Zirrgiebel, U.; Schachtele, C.; Kubbutat, M.H.G.; Lin, W.H.; et al. Cytotoxic metabolites from the fungal endophyte Alternaria sp. and their subsequent detection in its host plant polygonum senegalense. J. Nat. Prod. 2008, 71, 972–980. [Google Scholar] [CrossRef] [PubMed]
- Wang, Y.; Yang, M.H.; Wang, X.B.; Li, T.X.; Kong, L.Y. Bioactive metabolites from the endophytic fungus Alternaria alternata. Fitoterapia 2014, 99, 153–158. [Google Scholar] [CrossRef] [PubMed]
- Tian, J.; Fu, L.; Zhang, Z.; Dong, X.; Xu, D.; Mao, Z.; Liu, Y.; Lai, D.; Zhou, L. Dibenzo-alpha-pyrones from the endophytic fungus Alternaria sp. Samif01: Isolation, Structure elucidation, And their antibacterial and antioxidant activities. Nat. Prod. Res. 2016, 31, 387–396. [Google Scholar] [CrossRef] [PubMed]
- Wang, Y.; Wang, L.; Zhuang, Y.; Kong, F.; Zhang, C.; Zhu, W. Phenolic polyketides from the co-cultivation of marine-derived Penicillium sp. WC-29-5 and Streptomyces fradiae 007. Mar. Drugs 2014, 12, 2079–2088. [Google Scholar] [CrossRef] [PubMed]
- Kellogg, J.J.; Todd, D.A.; Egan, J.M.; Raja, H.A.; Oberlies, N.H.; Kvalheim, O.M.; Cech, N.B. Biochemometrics for natural products research: comparison of data analysis approaches and application to identification of bioactive compounds. J. Nat. Prod. 2016, 79, 376–386. [Google Scholar] [CrossRef] [PubMed]
- De Souza, G.D.; Mithofer, A.; Daolio, C.; Schneider, B.; Rodrigues-Filho, E. Identification of Alternaria alternata mycotoxins by LC-SPE-NMR and their cytotoxic effects to soybean (Glycine max) cell suspension culture. Molecules 2013, 18, 2528–2538. [Google Scholar] [CrossRef] [PubMed]
- Kim, N.; Sohn, M.J.; Koshino, H.; Kim, E.H.; Kim, W.G. Verrulactone C with an unprecedented dispiro skeleton, A new inhibitor of Staphylococcus aureus enoyl-ACP reductase, from Penicillium verruculosum F375. Bioorg. Med. Chem. Lett. 2014, 24, 83–86. [Google Scholar] [CrossRef] [PubMed]
- Kashiwada, Y.; Nonaka, G.I.; Nishioka, I. Chromone glucosides from Rhubarb. Phtochemistry 1990, 29, 1007–1009. [Google Scholar] [CrossRef]
- Frisch, M.J.; Trucks, G.W.; Schlegel, H.B.; Scuseria, G.E.; Robb, M.A.; Cheeseman, J.R.; Montgomery, J.A.; Vreven, T., Jr.; Kudin, K.N.; Burant, J.C.; et al. Gaussian 03, Revision E.01; Gaussian, Inc.: Wallingford, CT, USA, 2004; Available online: http://gaussian.com/g03citation/ (accessed on 8 August 2018).
- Tomasi, J.; Persico, M. Molecular interactions in solution: An overview of methods based on continuous distributions of the solvent. Chem. Rev. 1994, 94, 2027–2094. [Google Scholar] [CrossRef]
- Cammi, R.; Tomasi, J. Remarks on the use of the apparent surface charges (ASC) methods in solvation problems: Iterative versus Matrix-Inversion procedures and the renormalization of the apparent charges. J. Comput. Chem. 1995, 16, 1449–1458. [Google Scholar] [CrossRef]
- Gross, E.K.U.; Dobson, J.F.; Petersilka, M. Density functional theory of time-dependent phenomena. Top. Curr. Chem. 1996, 181, 81–172. [Google Scholar]
- Wang, J.F.; Cong, Z.W.; Huang, X.L.; Hou, C.X.; Chen, W.B.; Tu, Z.C.; Huang, D.Y.; Liu, Y.H. Soliseptide A, A cyclic hexapeptide possessing piperazic acid groups from Streptomyces solisilvae HNM30702. Org. Lett. 2018, 20, 1371–1374. [Google Scholar] [CrossRef] [PubMed]
- Wang, J.F.; Wei, X.Y.; Qin, X.C.; Tian, X.P.; Liao, L.; Li, K.M.; Zhou, X.F.; Yang, X.W.; Wang, F.Z.; Zhang, T.Y.; et al. Antiviral merosesquiterpenoids produced by the antarctic fungus Aspergillus ochraceopetaliformis SCSIO 05702. J. Nat. Prod. 2016, 79, 59–65. [Google Scholar] [CrossRef] [PubMed]





| No. | 1 | No. | 2 | ||
|---|---|---|---|---|---|
| δC, type | δH (J in Hz) | δC, type | δH (J in Hz) | ||
| 1 | 23.2, CH2 | 3.25 td (7.0, 2.0) | 1 | 33.9, CH2 | 4.03 d (16.5) 3.91 d (17.0) |
| 2 | 36.4, CH2 | 2.92 t (7.5) | 2 | 95.5, C | |
| 3 | 204.8, C | 3 | |||
| 3a | 110.7, C | 3a | 137.8, C | ||
| 3b | 131.6, C | 3b | 118.3, C | ||
| 4 | 161.9, C | 4 | 142.8, C | ||
| 5 | 116.2, CH | 7.16 d (9.0) | 5 | 122.2, CH | 7.51 d (9.0) |
| 6 | 133.1, CH | 8.79 d (9.5) | 6 | 115.6, CH | 8.35 d (9.0) |
| 6a | 120.7, C | 6a | 124.4, C | ||
| 6b | 130.8, C | 6b | 120.3, C | ||
| 7 | 104.4, CH | 7.82 d (2.0), | 7 | 133.5, CH | 9.08 d (9.5) |
| 8 | 156.0, C | 8 | 118.0, CH | 7.40 d 9.0 | |
| 9 | 114.4, CH | 7.30 d (1.5) | 9 | 165.6, C | |
| 9a | 142.1, C | 9a | 111.3, C | ||
| 9b | 120.1, C | 9b | 124.6, C | ||
| 10 | 67.4, CH | 4.82 dd (9.0, 3.0) | 10 | 188.2, C | |
| 11 | 31.5, CH2 | 2.18 dq (10.0, 4.5) 1.88 dtd (12.5, 9.5, 4.5) | 11 | 125.9, CH | 6.94 d (10.0) |
| 12 | 24.3, CH2 | 3.20 dt (17.0, 5.5) 3.00 ddd (16.5, 10.0, 5.0) | 12 | 139.0, CH | 8.63 d (10.0) |
| 12a | 133.4, C | 12a | 119.9, C | ||
| 12b | 121.4, C | 12b | 136.5, C | ||
| OH-4 | 13.27 brs | 13 | 168.6, C | ||
| OH-8 | 9.87 brs | 1′ | 65.1, CH2 | 4.09 td (6.5, 2.0) | |
| OH-10 | 5.48 brs | 2′ | 30.0, CH2 | 1.46 qui (7.5) | |
| 3′ | 18.3, CH2 | 1.14 sex (7.5) | |||
| 4′ | 13.4, CH3 | 0.71 t (7.5) | |||
| OH-2 | 9.76 brs | ||||
| OH-4 | 8.14 brs | ||||
| OH-9 | 15.12 brs | ||||
| No. | 3 | No. | 4/5 | No. | 6/7 | |||
|---|---|---|---|---|---|---|---|---|
| δC, type | δH (J in Hz) | δC, type | δH (J in Hz) | δC, type | δH (J in Hz) | |||
| 2 | 170.0, C | 1 | 171.2, C | 1 | 134.6, C | |||
| 2a | 100.1, C | 3 | 78.3, CH | 5.80 (dd, 8.0, 4.5) | 2 | 109.8, CH | 6.31 overlap | |
| 3 | 167.8, C | 3a | 152.1, C | 3 | 162.2, C | |||
| 4 | 101.0, CH | 6.43 brs | 4 | 113.9, CH | 6.99 (d, 7.5) | 4 | 101.9, CH | 6.35 t (2.5) |
| 5 | 167.8, C | 5 | 137.8, CH | 7.52 (t, 8.0) | 5 | 159.5, C | ||
| 6 | 108.9, CH | 6.52 brs | 6 | 117.0, CH | 6.88 (d, 8.0) | 6 | 107.2, CH | 6.32 overlap |
| 6a | 143.1, C | 7 | 158.2, C | 7 | 55.7, CH3 | 3.75 s | ||
| 7a | 51.8, CH | 3.07 d (10.0) | 7a | 112.4, C | 1’ | 139.1, C | ||
| 7 | 80.1, CH | 3.90 dd (10.5, 5.0) | 8 | 40.0, CH2 | 2.76 dd (16.5, 8.0) 3.07 dd (17.0, 4.5) | 2’ | 171.9, C | |
| 8 | 71.2, CH | 4.20 ddd (7.0, 5.5, 2.5) | 9 | 171.6, C | 3’ | 41.9, CH2 | 3.05 dd (18.0, 6.5) 2.50 ddd (18.0, 3.0, 1.5) | |
| 9β 9α | 47.8, CH2 | 2.60 dd (15.5, 7.0) 2.04 dd (15.5, 1.5) | 10 | 52.5, CH3 | 3.69 s | 4’ | 72.6, CH | 4.30 dd (7.0, 3.0) |
| 9a | 89.4, C | 5’ | 208.8, C | |||||
| 10 | 25.7, CH3 | 1.47 s | 6’ | 18.5, CH3 | 2.18 s | |||
| 11 | 56.2, CH3 | 3.88 s | ||||||
© 2018 by the authors. Licensee MDPI, Basel, Switzerland. This article is an open access article distributed under the terms and conditions of the Creative Commons Attribution (CC BY) license (http://creativecommons.org/licenses/by/4.0/).
Share and Cite
Pang, X.; Lin, X.; Wang, P.; Zhou, X.; Yang, B.; Wang, J.; Liu, Y. Perylenequione Derivatives with Anticancer Activities Isolated from the Marine Sponge-Derived Fungus, Alternaria sp. SCSIO41014. Mar. Drugs 2018, 16, 280. https://doi.org/10.3390/md16080280
Pang X, Lin X, Wang P, Zhou X, Yang B, Wang J, Liu Y. Perylenequione Derivatives with Anticancer Activities Isolated from the Marine Sponge-Derived Fungus, Alternaria sp. SCSIO41014. Marine Drugs. 2018; 16(8):280. https://doi.org/10.3390/md16080280
Chicago/Turabian StylePang, Xiaoyan, Xiuping Lin, Pei Wang, Xuefeng Zhou, Bin Yang, Junfeng Wang, and Yonghong Liu. 2018. "Perylenequione Derivatives with Anticancer Activities Isolated from the Marine Sponge-Derived Fungus, Alternaria sp. SCSIO41014" Marine Drugs 16, no. 8: 280. https://doi.org/10.3390/md16080280
APA StylePang, X., Lin, X., Wang, P., Zhou, X., Yang, B., Wang, J., & Liu, Y. (2018). Perylenequione Derivatives with Anticancer Activities Isolated from the Marine Sponge-Derived Fungus, Alternaria sp. SCSIO41014. Marine Drugs, 16(8), 280. https://doi.org/10.3390/md16080280

