Structure and Bioactivity Screening of a Low Molecular Weight Ulvan from the Green Alga Ulothrix flacca
Abstract
1. Introduction
2. Results and Discussion
2.1. Polysaccharide Purification and Purity
2.2. Composition Analysis
2.3. Linkage Analysis
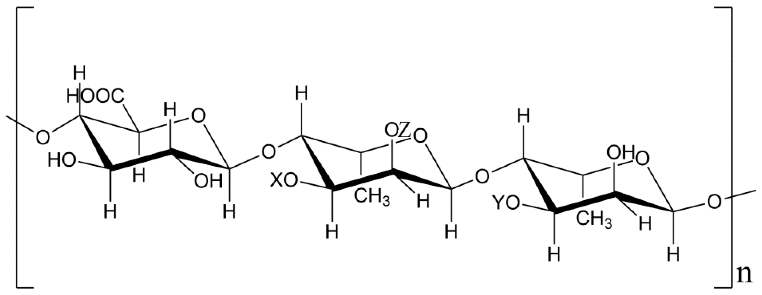
2.4. Nuclear Magnetic Resonance (NMR) Analysis
2.5. Bioactivity Screening
3. Materials and Methods
3.1. Polysaccharide Isolation and Purification
3.2. Composition Analysis
3.3. Linkage Analysis
3.4. NMR Spectroscopy
3.5. Assay of Bioactivity Screening
4. Conclusions
Author Contributions
Funding
Acknowledgments
Conflicts of Interest
References
- Usman, A.; Khalid, S.; Usman, A.; Hussain, Z.; Wang, Y. Algal polysaccharides, novel application, and outlook. Chem. Biotechnol. Mater. Sci. 2017, 115–153. [Google Scholar]
- Xu, S.Y.; Huang, X.; Cheong, K.L. Recent advances in marine algae polysaccharides: Isolation, structure, and activities. Mar. Drugs 2017, 15, 388–403. [Google Scholar] [CrossRef] [PubMed]
- Ngo, D.H.; Kim, S.K. Sulfated polysaccharides as bioactive agents from marine algae. Int. J. Biol. Macromol. 2013, 62, 70–75. [Google Scholar] [CrossRef] [PubMed]
- Wijesekara, I.; Pangestuti, R.; Kim, S.K. Biological activities and potential health benefits of sulfated polysaccharides derived from marine algae. Carbohydr. Polym. 2011, 84, 14–21. [Google Scholar] [CrossRef]
- Liu, Q.M.; Xu, S.S.; Li, L.; Pan, T.M.; Shi, C.L.; Liu, H.; Cao, M.J.; Su, W.J.; Liu, G.M. In vitro and in vivo immunomodulatory activity of sulfated polysaccharide from Porphyra haitanensis. Carbohydr. Polym. 2017, 165, 189–196. [Google Scholar] [CrossRef] [PubMed]
- Ale, M.T.; Mikkelsen, J.D.; Meyer, A.S. Important determinants for fucoidan bioactivity: A critical review of structure-function relations and extraction methods for fucose-containing sulfated polysaccharides from brown seaweeds. Mar. Drugs 2011, 9, 2106–2130. [Google Scholar] [CrossRef] [PubMed]
- Garcia-Vaquero, M.; Rajauria, G.; O’Doherty, J.; Sweeney, T. Polysaccharides from macroalgae: Recent advances, innovative technologies and challenges in extraction and purification. Food Res. Int. 2017, 99, 1011–1020. [Google Scholar] [CrossRef] [PubMed]
- Deniaud-Bouët, E.; Hardouin, K.; Potin, P.; Kloareg, B.; Hervé, C. A review about brown algal cell walls and fucose-containing sulfated polysaccharides: Cell wall context, biomedical properties and key research challenges. Carbohydr. Polym. 2017, 175, 395–408. [Google Scholar] [CrossRef] [PubMed]
- Domozych, D.S.; Ciancia, M.; Fangel, J.U.; Mikkelsen, M.D.; Ulvskov, P.; Willats, W.G.T. The cell walls of green algae: A journey through evolution and diversity. Front. Plant Sci. 2012, 3, 279–286. [Google Scholar] [CrossRef] [PubMed]
- Berri, M.; Olivier, M.; Holbert, S.; Dupont, J.; Demais, H.; Le Goff, M.; Collen, P.N. Ulvan from Ulva armoricana (Chlorophyta) activates the PI3K/Akt signalling pathway via TLR4 to induce intestinal cytokine production. Algal. Res. 2017, 28, 39–47. [Google Scholar] [CrossRef]
- Synytsya, A.; Choi, D.J.; Pohl, R.; Na, Y.S.; Capek, P.; Lattova, E.; Taubner, T.; Choi, J.W.; Lee, C.W.; Park, J.K.; et al. Structural features and anti-coagulant activity of the sulphated polysaccharide SPS-CF from a green alga Capsosiphon fulvescens. Mar. Biotechnol. (NY) 2015, 17, 718–735. [Google Scholar] [CrossRef] [PubMed]
- Lahaye, M.; Robic, A. Structure and functional properties of Ulvan, a polysaccharide from green seaweeds. Biomacromolecules 2007, 8, 1765–1774. [Google Scholar] [CrossRef] [PubMed]
- Li, H.; Mao, W.; Zhang, X.; Qi, X.; Chen, Y.; Chen, Y.; Xu, J.; Zhao, C.; Hou, Y.; Yang, Y.; et al. Structural characterization of an anticoagulant-active sulfated polysaccharide isolated from green alga Monostroma latissimum. Carbohydr. Polym. 2011, 85, 394–400. [Google Scholar] [CrossRef]
- Qi, X.; Mao, W.; Gao, Y.; Chen, Y.; Chen, Y.; Zhao, C.; Li, N.; Wang, C.; Yan, M.; Lin, C. Chemical characteristic of an anticoagulant-active sulfated polysaccharide from Enteromorpha clathrata. Carbohydr. Polym. 2012, 90, 1804–1810. [Google Scholar] [CrossRef] [PubMed]
- Li, N.; Mao, W.; Yan, M.; Liu, X.; Zheng, X.; Wang, S.; Xiao, B.; Chen, C.; Zhang, L.; Cao, S. Structural characterization and anticoagulant activity of a sulfated polysaccharide from the green alga Codium divaricatum. Carbohydr. Polym. 2015, 121, 175–182. [Google Scholar] [CrossRef] [PubMed]
- Rapp, A.; Brandl, N.; Volpi, N.; Huetingger, M. Evaluation of chondroitin sulfate bioactivity in hippocampal neurones and the astrocyte cell line U373: Influence of position of sulfate groups and charge density. Basic Clin. Pharmacol. 2010, 96, 37–43. [Google Scholar] [CrossRef] [PubMed]
- Chen, Y.; Lin, L.; Agyekum, I.; Zhang, X.; Ange, K.S.; Yu, Y.; Zhang, F.; Liu, J.; Amster, I.J.; Linhardt, R.J. Structural analysis of heparin-derived 3-O-sulfated tetrasaccharides: Antithrombin binding site variants. J. Pharm. Sci. 2017, 106, 973–981. [Google Scholar] [CrossRef] [PubMed]
- Qi, X.; Mao, W.; Chen, Y.; Chen, Y.; Zhao, C.; Li, N.; Wang, C. Chemical characteristics and anticoagulant activities of two sulfated polysaccharides from Enteromorpha linza (Chlorophyta). J. Ocean Univ. China 2012, 12, 175–182. [Google Scholar] [CrossRef]
- Zhao, J.; Liu, X.Y.; Malhotra, A.; Li, Q.H.; Zhang, F.M.; Linhardt, R.J. Novel method for measurement of heparin anticoagulant activity using SPR. Anal. Biochem. 2017, 526, 39–42. [Google Scholar] [CrossRef] [PubMed]
- Hirsh, J.; Warkentin, T.E.; Raschke, R.; Granger, C.; Ohman, E.M.; Dalen, J.E. Heparin and low-molecular-weight heparin: Mechanisms of action, pharmacokinetics, dosing considerations, monitoring, efficacy, and safety. Chest 2001, 119, 64S–94S. [Google Scholar] [CrossRef] [PubMed]
- Xu, H.; Wu, Y.; Xu, S.; Sun, H.; Chen, F.; Yao, L. Antitumor and immunomodulatory activity of polysaccharides from the roots of Actinidia eriantha. J. Ethnopharmacol. 2009, 125, 310–317. [Google Scholar] [CrossRef] [PubMed]
- Sun, L.; Wang, L.; Li, J.; Liu, H. Immunomodulation and antitumor activities of degraded polysaccharide from marine microalgae Sarcinochrysis marina geitler. Int. J. Bioautom. 2013, 17, 107–116. [Google Scholar]
- Zhao, T.; Mao, G.; Mao, R.; Zou, Y.; Zheng, D.; Feng, W.; Ren, Y.; Wang, W.; Zheng, W.; Song, J.; et al. Antitumor and immunomodulatory activity of a water-soluble low molecular weight polysaccharide from Schisandra chinensis (Turcz.) Baill. Food Chem. Toxicol. 2013, 55, 609–616. [Google Scholar] [CrossRef] [PubMed]
- Li, H.; Mao, W.; Hou, Y.; Gao, Y.; Qi, X.; Zhao, C.; Chen, Y.; Chen, Y.; Li, N.; Wang, C. Preparation, structure and anticoagulant activity of a low molecular weight fraction produced by mild acid hydrolysis of sulfated rhamnan from Monostroma latissimum. Bioresour. Technol. 2012, 114, 414–418. [Google Scholar] [CrossRef] [PubMed]
- Bouhlal, R.; Haslin, C.; Chermann, J.C.; Colliecjouault, S.; Sinquin, C.; Simon, G.; Cerantola, S.; Riadi, H.; Bourgougnon, N. Antiviral activities of sulfated polysaccharides isolated from Sphaerococcus coronopifolius (Rhodophytha, Gigartinales) and Boergeseniella thuyoides (Rhodophyta, Ceramiales). Mar. Drugs 2011, 9, 1187–1209. [Google Scholar] [CrossRef] [PubMed]
- Chen, Y.; Mao, W.J.; Yan, M.X.; Liu, X.; Wang, S.Y.; Xia, Z.; Xiao, B.; Cao, S.J.; Yang, B.Q.; Li, J. Purification, chemical characterization, and bioactivity of an extracellular polysaccharide produced by the marine sponge endogenous fungus Alternaria sp. SP-32. Mar. Biotechnol. 2016, 18, 301–313. [Google Scholar] [CrossRef] [PubMed]
- Hakomori, S. Rapid permethylation of glycolipids and polysaccharides catalysed by methyl sulfinyl carbanion in dimethyl sulfoxide. J. Biochem. 1964, 51, 205–208. [Google Scholar]
- Bedini, E.; Laezza, A.; Parrilli, M.; Iadonisi, A. A review of chemical methods for the selective sulfation and desulfation of polysaccharides. Carbohydr. Polym. 2017, 174, 1224–1239. [Google Scholar] [CrossRef] [PubMed]








| Retention Time (min) | Methylation Product | Molar Ratio (%) | Linkage Pattern | |
|---|---|---|---|---|
| UP2-1 | dsUP2-1 | |||
| 27.40 | 1,4,5-Tri-O-acetyl-2,4-di-O-metyl-L-Rha | 9 | 67 | →4)Rha(1→ |
| 27.50 | 1,3,5-Tri-O-acetyl-2,4-di-O-metyl-L-Rha | 10 | 15 | →3)Rha(1→ |
| 29.35 | 1,3,4,5-Tetro-O-acetyl-2-O-metyl-L-Rha | 70 | 8 | →3,4)Rha(1→ |
| 30.15 | 1,2,4,5-Tetro-O-acetyl-3-O-metyl-L-Rha | 11 | 10 | →2,4)Rha(1→ |
| Residues | C1/H1 | C2/H2 | C3/H3 | C4/H4 | C5/H5 | C6/H6 |
|---|---|---|---|---|---|---|
| A | 102.3 | 70.9 | 71.0 | 81.2 | 71.3 | 18.5 |
| (1→4)-α-L-Rha | 5.01 | 4.01 | 4.10 | 4.00 | 3.78 | 1.32 |
| B | 100.1 | 70.0 | 79.6 | 76.4 | 71.1 | 18.5 |
| (1→4)-α-L-Rha3S | 4.93 | 4.23 | 4.61 | 3.52 | 4.08 | 1.32 |
| C | 104.4 | 3.3 | 3.55 | 3.64 | - | - |
| (1→4)-β-D-GlcA | 4.64 | 73.4 | 75.7 | 77.6 | - | 176 |
| Index | Concentration (μg/mL) | 0 | 2.5 | 5 | 10 | 20 | 50 |
|---|---|---|---|---|---|---|---|
| APTT (s) | UP2-1 | 36.2 ± 4.5 | 48.8 ± 4.1 | 80.5 ± 1.9 | 130.4 ± 4.5 | >200 | >200 |
| Heparin | 36.2 ± 4.5 | 90.5 ± 4.2 | 115.8 ± 3.7 | >200 | >200 | >200 | |
| TT (s) | UP2-1 | 17.9 ± 3.1 | 24.5 ± 3.6 | 51.6 ± 2.7 | 118.8 ± 2.4 | >120 | >120 |
| Heparin | 17.9 ± 3.1 | 68.8 ± 3.8 | >120 | >120 | >120 | >120 | |
| PT (s) | UP2-1 | 13.0 ± 2.3 | 15.5 ± 2.1 | 15.8 ± 1.6 | 16.8 ± 2.5 | 17.7 ± 2.9 | 19.6 ± 1.7 |
| Heparin | >120 | 47.6 ± 2.2 | 58.1 ± 3.2 | 67.2 ± 2.8 | 86.9 ± 3.3 | >120 |
© 2018 by the authors. Licensee MDPI, Basel, Switzerland. This article is an open access article distributed under the terms and conditions of the Creative Commons Attribution (CC BY) license (http://creativecommons.org/licenses/by/4.0/).
Share and Cite
Li, P.; Wen, S.; Sun, K.; Zhao, Y.; Chen, Y. Structure and Bioactivity Screening of a Low Molecular Weight Ulvan from the Green Alga Ulothrix flacca. Mar. Drugs 2018, 16, 281. https://doi.org/10.3390/md16080281
Li P, Wen S, Sun K, Zhao Y, Chen Y. Structure and Bioactivity Screening of a Low Molecular Weight Ulvan from the Green Alga Ulothrix flacca. Marine Drugs. 2018; 16(8):281. https://doi.org/10.3390/md16080281
Chicago/Turabian StyleLi, Peipei, Songsong Wen, Kunlai Sun, Yuqin Zhao, and Yin Chen. 2018. "Structure and Bioactivity Screening of a Low Molecular Weight Ulvan from the Green Alga Ulothrix flacca" Marine Drugs 16, no. 8: 281. https://doi.org/10.3390/md16080281
APA StyleLi, P., Wen, S., Sun, K., Zhao, Y., & Chen, Y. (2018). Structure and Bioactivity Screening of a Low Molecular Weight Ulvan from the Green Alga Ulothrix flacca. Marine Drugs, 16(8), 281. https://doi.org/10.3390/md16080281
