Polyketides with Immunosuppressive Activities from Mangrove Endophytic Fungus Penicillium sp. ZJ-SY2
Abstract
:1. Introduction
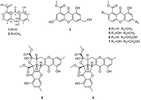
2. Results and Discussion
3. Experimental Section
3.1. General
3.2. Fungal Material
3.3. Extraction and Isolation
3.4. Immunosuppressive Activity
4. Conclusions
Supplementary Materials
Acknowledgments
Author Contributions
Conflicts of Interest
References
- Hoffmann, M.; Rychlewski, J.; Chrzanowska, M.; Hermann, T. Mechanism of activation of an immunosuppressive drug: Azathioprine. Quantum chemical study on the reaction of azathioprine with cysteine. J. Am. Chem. Soc. 2001, 123, 6404–6409. [Google Scholar] [CrossRef] [PubMed]
- Linker, R.A.; Kieseier, B.C. Innovative monoclonal antibodies therapies inmultiplesclerosis. Ther. Adv. Neurol. Disord. 2008, 1, 33–42. [Google Scholar] [CrossRef] [PubMed]
- Hauser, S.L.; Waubant, E.; Arnold, D.L.; Vollmer, T.; Antel, J.; Fox, R.J.; Bar-Or, A.; Panzara, M.; Sarkar, N.; Agarwal, S. B-cell depletion with rituximab in relapsing remitting multiple sclerosis. N. Engl. J. Med. 2008, 358, 676–688. [Google Scholar] [CrossRef] [PubMed]
- García-Carrasco, M.; Jiménez-Hernández, M.; Escárcega, R.O. Use of rituximab in patients with systemic lupusery thematosus: An update. Autoimmun. Rev. 2009, 8, 343–348. [Google Scholar] [CrossRef] [PubMed]
- Rateb, M.E.; Ebel, R. Secondary metabolites of fungi from marine habitats. Nat. Prod. Rep. 2011, 28, 290–344. [Google Scholar] [CrossRef] [PubMed]
- Chen, S.; Chen, D.; Cai, R.; Cui, H.; Long, Y.; Lu, Y.; Li, C.; She, Z. Cytotoxic and antibacterial preussomerins from the mangrove endophytic fungus Lasiodiplodia theobromae ZJ-HQ1. J. Nat. Prod. 2016, 79, 2397–2402. [Google Scholar] [CrossRef] [PubMed]
- Liu, Z.; Chen, Y.; Chen, S.; Liu, Y.; Lu, Y.; Chen, D.; Lin, Y.; Huang, X.; She, Z. Aspterpenacids A and B, two sesterterpenoids from a mangrove endophytic fungus Aspergillus terreus H010. Org. Lett. 2016, 18, 1406–1409. [Google Scholar] [CrossRef] [PubMed]
- Chen, S.; Liu, Y.; Liu, Z.; Cai, R.; Lu, Y.; Huang, X.; She, Z. Isocoumarins and benzofurans from the mangrove endophytic fungus Talaromyces amestolkiae possess α-glucosidase inhibitory and antibacterial activities. RSC Adv. 2016, 6, 26412–26420. [Google Scholar] [CrossRef]
- Liu, Y.; Chen, S.; Liu, Z.; Lu, Y.; Xia, G.; Liu, H.; He, L.; She, Z. Bioactive metabolites from mangrove endophytic fungus Aspergillus sp. 16-5B. Mar. Drugs 2015, 13, 3091–3102. [Google Scholar] [CrossRef] [PubMed]
- Chen, S.; Liu, Z.; Liu, Y.; Lu, Y.; He, L.; She, Z. New depsidones and isoindolinones from the mangrove endophytic fungus Meyerozyma guilliermondii (HZ-Y2) isolated from the South China Sea. Beilstein J. Org. Chem. 2015, 11, 1187–1193. [Google Scholar] [CrossRef] [PubMed]
- Liu, Z.; Xia, G.; Chen, S.; Liu, Y.; Li, H.; She, Z. Eurothiocin A and B, sulfur-containing benzofurans from a soft coral-derived fungus Eurotium rubrum SH-823. Mar. Drugs 2014, 13, 3091–3102. [Google Scholar] [CrossRef] [PubMed]
- Huang, X.; Huang, H.; Li, H.; Sun, X.; Huang, H.; Lu, Y.; Lin, Y.; Long, Y.; She, Z. Asperterpenoid A, a new sesterterpenoid as an inhibitor of mycobacterium tuberculosis protein tyrosine phosphatase B from the culture of Aspergillus sp. 16-5c. Org. Lett. 2013, 15, 721–723. [Google Scholar] [CrossRef] [PubMed]
- Xiao, Z.; Huang, H.; Shao, C.; Xia, X.; Ma, L.; Huang, X.; Lu, Y.; Lin, Y.; Long, Y.; She, Z. Asperterpenols A and B, new sesterterpenoids isolated from a mangrove endophytic fungus Aspergillus sp. 085242. Org. Lett. 2013, 15, 2522–2525. [Google Scholar] [CrossRef] [PubMed]
- Wang, Y.; Zheng, Z.; Liu, S.; Zhang, H.; Li, E.; Guo, L.; Che, Y. Oxepinochromenones, furochromenone, and their putative precursors from the endolichenic fungus Coniochaeta sp. J. Nat. Prod. 2010, 73, 920–924. [Google Scholar] [CrossRef] [PubMed]
- Kongkiat, T.; Vatcharin, R.; Morakot, K.; Souwalak, P.; Nongporn, H.; Sita, P.; Jariya, S. Sesquiterpene and xanthone derivatives from the sea fan-derived fungus Aspergillus sydowii PSU-F154. J. Nat. Prod. 2011, 74, 1663–1667. [Google Scholar]
- Yao, Q.; Wang, J.; Zhang, X.; Nong, X.; Xu, X.; Qi, S. Cytotoxic polyketides from the deep-sea-derived fungus Engyodontium album DFFSCS021. Mar. Drugs 2014, 12, 5902–5915. [Google Scholar] [CrossRef] [PubMed]
- Hamasaki, T.; Sato, Y.; Hatsuda, Y. Structure of sydowinin A, sydowinin B, and sydowinol, metabolites from Aspergillus sydowi. Agric. Biol. Chem. 1975, 39, 2341–2345. [Google Scholar] [CrossRef]
- Xia, M.; Cui, C.; Li, C.; Wu, C.; Peng, J.; Li, D. Rare chromones from a fungal mutant of the marine-derived Penicillium purpurogenum G59. Mar. Drugs 2015, 13, 5219–5236. [Google Scholar] [CrossRef] [PubMed]
- Pedro, M.; Cerqueira, F.; Sousa, M.E.; Nascimento, M.S.J.; Pinto, M. Xanthones as inhibitors of growth of human cancer cell lines and their effects on the proliferation of human lymphocytes in vitro. Bioorgan. Med. Chem. 2002, 10, 3725–3730. [Google Scholar] [CrossRef]
- Fujimoto, H.; Asai, T.; Kim, Y.; Ishibashi, M. Nine constituents including six xanthone-related compounds isolated from two ascomycetes, gelasinospora santi-florii and emericella quadrilineata, found in a screening study focused on immunomodulatory activity. Chem. Pharm. Bull. 2006, 54, 550–553. [Google Scholar] [CrossRef] [PubMed]


| Position | 1 | 2 | ||
|---|---|---|---|---|
| δC | δH (J in Hz) | δC | δH (J in Hz) | |
| 1 | 134.9, C | - | 134.7, C | - |
| 2 | 122.1, CH | 7.49, d (7.7) | 121.7, CH | 7.46, dd (7.8, 0.7) |
| 3 | 129.7, CH | 7.25, t (7.9) | 129.9, CH | 7.26, t (8.0) |
| 4 | 120.8, CH | 7.01, d (8.1) | 121.2, CH | 7.03, dd (8.1, 0.7) |
| 4a | 154.7, C | - | 155.2, C | - |
| 5 | 108.2, CH | 6.28, d (8.2) | 108.2, CH | 6.28, d (8.2) |
| 6 | 137.4, CH | 7.19, t (8.2) | 137.6, CH | 7.21, t (8.2) |
| 7 | 108.2, CH | 6.28, d (8.2) | 108.2, CH | 6.28, d (8.2) |
| 8 | 163.6, C | - | 163.6, C | - |
| 8a | 112.9, C | - | 112.9, C | - |
| 9 | 203.6, C | - | 203.2, C | - |
| 9a | 130.4, C | - | 129.5, C | - |
| 10a | 163.6, C | - | 163.6, C | - |
| 11 | 169.7, C | - | 168.4, C | - |
| 12 | - | - | 52.6, CH3 | 3.69, s |
| Compounds | IC50 (μg/mL) | |
|---|---|---|
| Con A-Induced | LPS-Induced | |
| 1 | 8.1 | 9.3 |
| 2 | 17.5 | 23.7 |
| 3 | 8.2 | 7.5 |
| 4 | 25.7 | 26.4 |
| 5 | 5.9 | 7.5 |
| 6 | 19.2 | 20.8 |
| 7 | 6.5 | 7.1 |
| 8 | 30.1 | 32.4 |
| 9 | 30.8 | 31.2 |
| Azathioprine | 2.7 | 2.7 |
© 2016 by the authors; licensee MDPI, Basel, Switzerland. This article is an open access article distributed under the terms and conditions of the Creative Commons Attribution (CC-BY) license (http://creativecommons.org/licenses/by/4.0/).
Share and Cite
Liu, H.; Chen, S.; Liu, W.; Liu, Y.; Huang, X.; She, Z. Polyketides with Immunosuppressive Activities from Mangrove Endophytic Fungus Penicillium sp. ZJ-SY2. Mar. Drugs 2016, 14, 217. https://doi.org/10.3390/md14120217
Liu H, Chen S, Liu W, Liu Y, Huang X, She Z. Polyketides with Immunosuppressive Activities from Mangrove Endophytic Fungus Penicillium sp. ZJ-SY2. Marine Drugs. 2016; 14(12):217. https://doi.org/10.3390/md14120217
Chicago/Turabian StyleLiu, Hongju, Senhua Chen, Weiyang Liu, Yayue Liu, Xishan Huang, and Zhigang She. 2016. "Polyketides with Immunosuppressive Activities from Mangrove Endophytic Fungus Penicillium sp. ZJ-SY2" Marine Drugs 14, no. 12: 217. https://doi.org/10.3390/md14120217
APA StyleLiu, H., Chen, S., Liu, W., Liu, Y., Huang, X., & She, Z. (2016). Polyketides with Immunosuppressive Activities from Mangrove Endophytic Fungus Penicillium sp. ZJ-SY2. Marine Drugs, 14(12), 217. https://doi.org/10.3390/md14120217
