Abstract
This report describes the synthesis of reversed structured 1-O-alkyl-2,3-diacyl-sn-glycerols (DAGEs) possessing a pure saturated even number fatty acid (C6:0–C16:0) at the sn-2 position along with a pure EPA or DHA located at the terminal sn-3 position of the glycerol backbone of chimyl, batyl and selachyl alcohols. These adducts were synthesized by a highly efficient two-step chemoenzymatic process involving an immobilized Candida antarctica lipase to introduce pure EPA and DHA activated as oxime esters exclusively to the sn-3 terminal position of enantiopure chimyl, batyl and selachyl alcohols in excellent yields. The saturated fatty acids were subsequently incorporated to the remaining sn-2 position of the resulting 3-monoacylglyceryl ethers (3-MAGEs) using EDAC coupling agent in the presence of DMAP in very high to excellent yields (85%–98%). No losses of enantiomeric composition were observed during these processes. The multiple utilities of the resulting focused library of reversed structured DAGEs are discussed including how such compounds may possibly be utilized within the pharmaceutical area.
1. Introduction
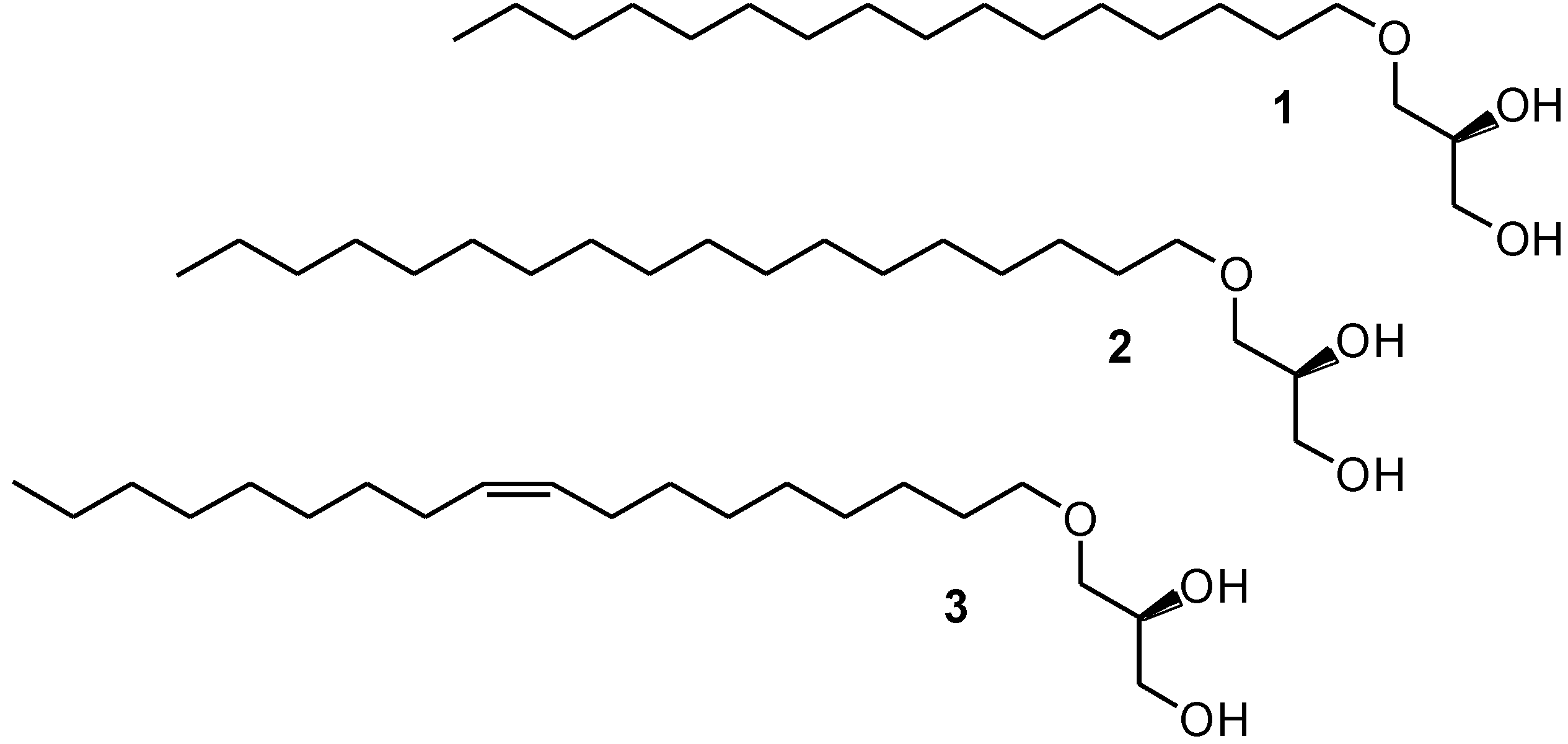
Nonpolar 1-O-alkyl-sn-glycerol based ether lipids are major constituents of the liver oils of shark, dogfish and various other species of elasmobranch fish where they occur in their diacylated form as 1-O-alkyl-2,3-diacyl-sn-glycerols [1,2,3]. They are generally known as diacylglyceryl ethers (DAGEs) and are widely found in the non-polar lipid fractions of aqueous and terrestrial animals and in various tissues in humans, usually as minor lipid components. The three most prevalent hydrocarbon chains present in the alkyl moiety of the 1-O-alkyl-sn-glycerols present in shark liver oil are C16:0, C18:0 and C18:1 n-9, the last one being the most abundant. They correspond to chimyl (1), batyl (2) and selachyl (3) alcohols, respectively, named after the cartilaginous fish species they were isolated from, i.e., chimeras, rays and sharks. Their structures are revealed in Figure 1. As implied by the sn-terminology, their natural absolute configuration is S.
Figure 1.
Chemical structures of chimyl (1), batyl (2) and selachyl (3) alcohols.
Figure 1.
Chemical structures of chimyl (1), batyl (2) and selachyl (3) alcohols.

Shark liver oil has been used for a long time as a therapeutic and preventive agent, for example, in Iceland, Norway and Japan. The ether lipids are precursors to ether phospholipids that participate in structure and functions of the cell membranes. They also bear a strong resemblance to the well-known platelet activating factors [4] and the ether lipids have been claimed to display numerous beneficial effects on human health [1,3,5,6,7]. They include lowering of X-ray therapy induced damages, stimulation for the allergic system and immune control, speeding up the removal of heavy metals from the body as well as displaying anti-tumour and anti-metastasis activities. They have also been claimed to promote adipogenesis [8] and to play a role in regulating embryonic stem cell differentiation [9]. The ether lipids have been exploited as drug-carriers including alkylglycerol based prodrugs [10,11].
The long-chain n-3 polyunsaturated fatty acids (n-3 PUFAs) are characteristic of fish oil and marine fat. Of these important fatty acids, eicosapentaenoic acid (EPA) and docosahexaenoic acid (DHA) are by far the most prevalent [12,13]. EPA and DHA are associated with various beneficial effects on human health and prevention of various diseases that include inflammation, autoimmune diseases, rheumatoid arthritis, cardiovascular diseases, Alzheimer disease and other neurogenerative diseases, type-2 diabetes and cancer [14,15,16,17,18,19,20,21]. They act in membranes, cell signalling and regulate gene expression via receptors and as precursors to potent lipid mediators. EPA and DHA are indeed precursors to various highly potent eicosanoids and docosanoids that include prostaglandins, leukotrienes, prostacyclins and thromboxanes [16,17] as well as the more recently established highly potent resolvins, protectins and maresins that show potent anti-inflammatory and pro-resolving actions [18,19,20,21]. As such, they may be regarded as prodrugs [22]. Furthermore, they are also available as prescription drugs registered as an adjuvant therapy to treat hypertriglyceridemia both as a mixture of EPA and DHA [23,24] as well as virtually pure EPA devoid of DHA [25,26,27] in the form of ethyl esters.
Structured lipids usually refer to acylglycerol based lipids possessing selected fatty acids located at predetermined positions of the glycerol moiety [28]. Structured triacylglycerols (TAGs) possessing long-chain polyunsaturated bioactive fatty acids such as EPA and DHA at the sn-2 position and saturated medium chain (C6:0, C8:0 and C10:0) fatty acids at the terminal sn-1,3 positions have gained an increased interest of scientists as a result of their nutritional value and properties [29,30]. In nature, the fatty acids are not randomly distributed in the TAGs that are known to differ significantly in animals and plants from species to species. Classical examples of such structured TAGs include cocoa butter [31], used in chocolate manufacturing, and human milk TAGs [32] and there are multiple reports on stereospecific positioning of fatty acids in animal and plant TAGs [33,34]. Generally, in fish oil TAGs, the mid-position of the glycerol backbone is more enriched with the n-3 PUFAs, especially DHA, compared with the terminal positions. It is therefore of interest that in the TAG oil of marine mammals including whale oil and seal oil this is reversed such that the mid-position is to a lower extent enriched with these PUFAs than the outer positions [35]. This difference between fish oil TAGs and marine mammal TAGs has been pointed out by Ackman in relation to the fact that the Greenland Inuits consumed seal fat rather than much fish and had lower incidence of cardiovascular diseases [36,37].
Figure 2.
Chemical structures of a normal structured ALM (alkyl-long-medium) type DAGE (diacylglyceryl ethers) of chimyl alcohol possessing EPA at the sn-2 position and capric acid (C10:0) at the sn-3 position (top) and a reversed structured AML type DAGE of selachyl alcohol possessing DHA at the sn-3 position and caprylic acid (C8:0) at the sn-2 position (bottom).
Figure 2.
Chemical structures of a normal structured ALM (alkyl-long-medium) type DAGE (diacylglyceryl ethers) of chimyl alcohol possessing EPA at the sn-2 position and capric acid (C10:0) at the sn-3 position (top) and a reversed structured AML type DAGE of selachyl alcohol possessing DHA at the sn-3 position and caprylic acid (C8:0) at the sn-2 position (bottom).

We have reported on a highly efficient two-step chemoenzymatic synthesis of MLM (medium-long-medium) type structured TAGs possessing pure EPA and DHA at the mid position with a pure MCFA at the outer positions of the glycerol backbone starting from glycerol [38]. This work has been extended to a focused library of such structured TAGs covering all saturated even carbon number fatty acids from C2–C16:0 located at the terminal positions [38,39]. More recently, this has been further extended to the chemoenzymatic synthesis of similarly structured enantiopure chimyl, batyl and selachyl alcohols possessing pure saturated even carbon number fatty acids (C2–C16:0) located at the terminal sn-3 position of the glycerol backbone with pure EPA or DHA at the sn-2 position [40]. Such compounds may combine the claimed beneficial health effects of the n-3 PUFAs and the ether lipids in one and the same molecule as well as possible beneficial effects of structured lipids possessing the selected fatty acids in predetermined positions of the glycerol moiety. A comprehensive well-defined library of such single pure compounds has been prepared that enables the screening for various important chemical and biological properties including bioactivities. In the current work, the focused library has been expanded to include reversed structured DAGEs, this time possessing the pure EPA and DHA acyl groups at the terminal sn-3 position with the saturated fatty acyl groups located at the sn-2 position of the glycerol framework. Figure 2 illustrates the chemical structures of a normal ALM (alkyl-long-medium) type structured DAGE (chimyl alcohol possessing EPA and capric acid, C10:0) and a reversed structured DAGE of the AML (alkyl-medium-long) type (selachyl alcohol possessing DHA and caprylic acid, C8:0).
2. Results and Discussion
2.1. Previous Synthesis of Normal Structured ALM Type DAGE
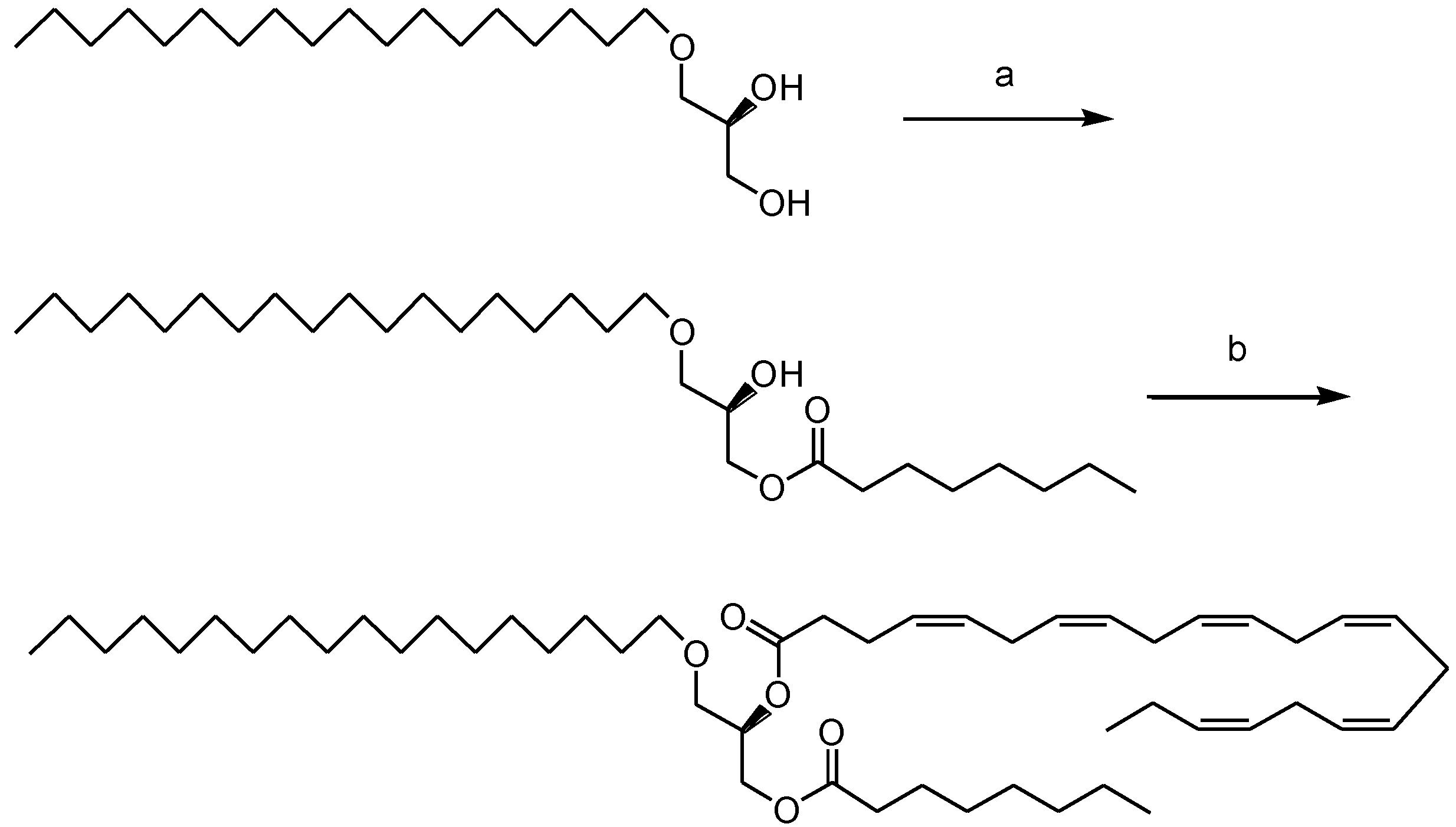
In order to possibly combine in a single molecule the beneficial effects of the MLM type structured TAGs described above, ether lipids of the 1-O-alkyl-sn-glycerol type, and the long chain n-3 PUFAs, a chemoenzymatic synthesis of similarly structured DAGEs possessing pure EPA or DHA at the mid-position and pure MCFA at the end-position, was designed [40]. The chemoenzymatic approach is demonstrated in Figure 3 for batyl alcohol, caprylic acid and DHA. Enantiopure chimyl, batyl and selachyl alcohols obtained from enantiopure (R)-solketal (2,3-isopropylidene-sn-glycerol) were acylated exclusively into the sn-3 position of the glycerol backbone by use of a highly regioselective immobilized Candida antarctica lipase (CAL-B from Novozymes) using the saturated fatty acids activated as vinyl esters. The use of vinyl esters secures fast and irreversible reactions under sufficiently mild conditions to eliminate detrimental acyl-migration (vide supra) side reactions.
Figure 3.
The two-step chemoenzymatic synthesis of normal structured ALM type DAGE shown for batyl alcohol possessing caprylic acid (C8:0) and DHA. Reagents and conditions: (a) C. antarctica lipase, vinyl octanoate, CH2Cl2, r.t., 3 h; (b) DHA, EDAC, DMAP, CH2Cl2, r.t., 12 h.
Figure 3.
The two-step chemoenzymatic synthesis of normal structured ALM type DAGE shown for batyl alcohol possessing caprylic acid (C8:0) and DHA. Reagents and conditions: (a) C. antarctica lipase, vinyl octanoate, CH2Cl2, r.t., 3 h; (b) DHA, EDAC, DMAP, CH2Cl2, r.t., 12 h.

EPA and DHA were subsequently introduced to the remaining sn-2 position of the resulting 3-monoacylglyceryl ether (3-MAGE) intermediates by aid of 1-(3-dimethylaminopropyl)-3-ethylcarbo-diimide hydrochloride (EDAC) as a chemical coupling agent in presence of dimethylaminopyridine (DMAP) serving both as a base and catalyst in dichloromethane at r.t. All products and intermediates were obtained enantiopure in excellent yields of excellent chemical and regiopurity.
2.2. Synthesis of Reversed Structured AML Type DAGE
The synthesis of the intended reversed structured DAGEs was more of a challenge. That task required an activated form of EPA and DHA suitable for the enzymatic step to take place fast enough and under mild enough conditions to ensure acyl-migration free transformations. This time the vinyl esters were no longer an option since the polyunsaturated fatty acids do not tolerate the chemical conditions required for preparing such derivatives [41]. Furthermore, most of the commercially available microbial lipases do not accept EPA or DHA and their derivatives as substrates. Both obstacles were successfully overcome by use of EPA and DHA activated as oxime esters on which the immobilized Candida antarctica lipase (CAL-B) acted at sufficient rate under mild enough condition to eliminate any acyl-migration side-reaction such that the 3-MAGE intermediate adducts were obtained regiopure and in excellent yields (89%–93%). The details have been reported in a recent publication [41]. Figure 4 shows the chemical structure of an acetoxime ester of EPA.
Figure 4.
The chemical structure of the EPA acetoxime ester.
Figure 4.
The chemical structure of the EPA acetoxime ester.

To obtain the reversed structured DAGEs, the pure saturated fatty acids ranging from C6:0–C16:0 were introduced by chemical coupling to the sn-2 position of the resulting 3-MAGEs (R)-4–9 derived from chimyl (1), batyl (2) and selachyl (3) alcohols possessing pure EPA and DHA at their sn-3 position. The two-step overall chemoenzymatic process is illustrated in Figure 5.
Table 1.
Reversed structured DAGE products constituting a pure saturated fatty acid (SFA) and EPA (4a–f) or DHA (5a–f) for the chimyl alcohol series obtained from the corresponding 3-MAGEs (R)-4 and (R)-5 (see the scheme in Figure 5), their yields and specific optical rotation.
| Compound | SFA | PUFA | Yield (%) | [α]D |
|---|---|---|---|---|
| (R)-4a | -C5H11 | EPA | 95 | −8.4 |
| (R)-4b | -C7H15 | EPA | 91 | −8.6 |
| (R)-4c | -C9H19 | EPA | 90 | −8.1 |
| (R)-4d | -C11H23 | EPA | 98 | −7.6 |
| (R)-4e | -C13H27 | EPA | 88 | −8.3 |
| (R)-4f | -C15H31 | EPA | 97 | −7.5 |
| (R)-5a | -C5H11 | DHA | 88 | −8.8 |
| (R)-5b | -C7H15 | DHA | 94 | −8.6 |
| (R)-5c | -C9H19 | DHA | 85 | −8.2 |
| (R)-5d | -C11H23 | DHA | 87 | −8.2 |
| (R)-5e | -C13H27 | DHA | 94 | −8.0 |
| (R)-5f | -C15H31 | DHA | 96 | −8.4 |
Figure 5.
The two-step chemoenzymatic synthesis of ALM type reversed structured DAGEs (for further clarity and details, see Table 1, Table 2 and Table 3). Reagents and conditions: (a) C. antarctica lipase, PUFA as an acetoxime ester, CH2Cl2, r.t., 3.5 h; (b) SFA, EDAC, DMAP, CH2Cl2, r.t., 12 h. (For the sake of clarity the use of SFA (saturated fatty acid) and PUFA (polyunsaturated fatty acid) in this figure refers to the hydrocarbon chains of these molecules being saturated or polyunsaturated.)
Figure 5.
The two-step chemoenzymatic synthesis of ALM type reversed structured DAGEs (for further clarity and details, see Table 1, Table 2 and Table 3). Reagents and conditions: (a) C. antarctica lipase, PUFA as an acetoxime ester, CH2Cl2, r.t., 3.5 h; (b) SFA, EDAC, DMAP, CH2Cl2, r.t., 12 h. (For the sake of clarity the use of SFA (saturated fatty acid) and PUFA (polyunsaturated fatty acid) in this figure refers to the hydrocarbon chains of these molecules being saturated or polyunsaturated.)

Table 2.
Reversed structured DAGE products constituting a pure saturated fatty acid (SFA) and EPA (6a-f) or DHA (7a-f) for the batyl alcohol series obtained from the corresponding 3-MAGEs (R)-6 and (R)-7 (see the scheme in Figure 5), their yields and specific optical rotation.
| Compound | SFA | PUFA | Yield (%) | [α]D |
|---|---|---|---|---|
| (R)-6a | -C5H11 | EPA | 90 | −8.3 |
| (R)-6b | -C7H15 | EPA | 98 | −8.0 |
| (R)-6c | -C9H19 | EPA | 95 | −7.9 |
| (R)-6d | -C11H23 | EPA | 94 | −7.5 |
| (R)-6e | -C13H27 | EPA | 87 | −7.4 |
| (R)-6f | -C15H31 | EPA | 90 | −6.6 |
| (R)-7a | -C5H11 | DHA | 94 | −8.5 |
| (R)-7b | -C7H15 | DHA | 94 | −8.1 |
| (R)-7c | -C9H19 | DHA | 91 | −7.9 |
| (R)-7d | -C11H23 | DHA | 88 | −7.7 |
| (R)-7e | -C13H27 | DHA | 94 | −7.3 |
| (R)-7f | -C15H31 | DHA | 93 | −7.2 |
The coupling reaction was conducted in dichloromethane at room temperature under similar conditions as previously described in the ALM type structured DAGE synthesis [40]. The saturated fatty acids were used in about 10% molar excess with approximately 1.5 molar equivalents of the EDAC coupling agent and 1 molar equivalent of DMAP as based on the starting 3-MAGE adduct. It took the reaction 12 h to proceed to completion. The reversed AML type enantiopure structured DAGE products were obtained chemically and regioisomerically pure in very high to excellent yields (85%–98%) after purification by flash chromatography on short silica gel column. Table 1, Table 2 and Table 3 show the yields obtained for these reversed structured DAGE products along with their specific optical rotation values. Table 1 shows the results for the chimyl derivatives 4a–f for EPA and 5a–f for DHA, Table 2 the batyl derivatives 6a–f (EPA) and 7a–f (DHA) and, finally, Table 3 the selachyl derivatives 8a–f (EPA) and 9a–f (DHA), the total of 36 such reversed structured DAGE derivatives.
Table 3.
Reversed structured DAGE products constituting a pure saturated fatty acid (SFA) and EPA (8a–f) or DHA (9a–f) for the selachyl alcohol series obtained from the corresponding 3-MAGEs (R)-8 and (R)-9 (see the scheme in Figure 5), their yields and specific optical rotation.
| Compound | SFA | PUFA | Yield (%) | [α]D |
|---|---|---|---|---|
| (R)-8a | -C5H11 | EPA | 90 | −7.7 |
| (R)-8b | -C7H15 | EPA | 86 | −7.5 |
| (R)-8c | -C9H19 | EPA | 86 | −6.8 |
| (R)-8d | -C11H23 | EPA | 96 | −6.8 |
| (R)-8e | -C13H27 | EPA | 90 | −6.7 |
| (R)-8f | -C15H31 | EPA | 86 | −6.7 |
| (R)-9a | -C5H11 | DHA | 92 | −8.3 |
| (R)-9b | -C7H15 | DHA | 89 | −7.3 |
| (R)-9c | -C9H19 | DHA | 92 | −7.7 |
| (R)-9d | -C11H23 | DHA | 91 | −7.6 |
| (R)-9e | -C13H27 | DHA | 92 | −8.0 |
| (R)-9f | -C15H31 | DHA | 89 | −7.1 |
It is of interest to notice that the specific optical rotation values obtained for the reversed structured AML type DAGEs are virtually twice as high in magnitude as those reported for the normal structured ALM DAGEs possessing EPA and DHA at the sn-2 position with the saturated fatty acids located at the sn-3 position of their glycerol framework (negative signs in both cases). Although these values display a narrow range from −6.6 to −8.8, there appears to be trends towards higher rotation when going from chimyl through batyl to the selachyl derivatives, towards lower rotation values when the saturated fatty acids grow in length within each alcohol type and towards higher values for the DHA derivatives as compared to the EPA derivatives.
2.3. Regiocontrol by 1H and 13C NMR Spectroscopy Studies
Similar to what was reported for the chemoenzymatic synthesis of the ALM type structured DAGEs, the 1H NMR spectroscopy was of high utility not only to monitor the progress of the reactions and establishing the chemical purity of the intermediates and products, but also to evaluate the extent of possible acyl-migration side reaction and thus the regiopurity and the regiocontrol of these processes. The acyl-migration side reaction is a well-recognized problem when dealing with syntheses involving partially acylated carbohydrates, polyols and glycerol derivatives [38,39,40,42,43]. As before, there were no signs of acyl-migration taking place neither in the enzymatic part [41] of the current synthesis nor the coupling reaction described herein as was firmly established by the 1H NMR studies. The details of such NMR studies have been thoroughly described in a previous report [40].
The 13C NMR spectroscopy was also of use as a further back-up to the regiocontrol of the syntheses described. This is related to the carbonyl carbons of each of the three categories of fatty acids, namely the saturated fatty acids, EPA and DHA, since it so happens that each of them displays a distinct resonance peak depending upon their location at the sn-3 (α) or the sn-2 (β) positions of the glycerol moiety. The carbonyl carbons of all the saturated fatty acids C6:0–C16:0 investigated in the current work were observed to resonate at δ 173.12 ppm when located at the sn-2 position of the DAGEs. The corresponding resonance value for EPA located at the sn-3 position remained at δ 173.15 ppm and that for DHA at that position at δ 172.68 ppm. As can be noticed in the experimental section, these values were quite consistently obtained for these fatty acids in the large majority of cases although some minor deviations were certainly obtained in some cases. This compares to δ 173.41 ppm for the saturated fatty acids when located at the sn-3 position and δ 172.84 ppm for EPA and δ 172.37 ppm for DHA when located at the sn-2 position as obtained for the ALM type DAGEs in the previous study [40]. Table 4 lists the characteristic 13C NMR chemical shift values for these carbonyl groups as based on results from both the normal structured ALM and the reversed structured AML type structured DAGEs.
Table 4.
The 13C NMR chemical shift (δ) values, characteristic of the carbonyl carbons of saturated fatty acids (C6:0–C16:0), EPA and DHA, depending on their location at the sn-2 (β) or sn-3 (α) positions of the glycerol backbone of the DAGEs.
| Fatty Acid Type | δ (ppm), α C=O | δ (ppm), β C=O |
|---|---|---|
| C6:0–C16:0 | 173.41 | 173.12 |
| EPA | 173.15 | 172.84 |
| DHA | 172.68 | 172.37 |
2.4. Utilization of the Structured DAGE Library
The reversed structured AML type DAGE library currently described may along with the normal structured ALM type DAGE products be utilized in multiple purposes. Such compounds are extremely useful as chemical standards for various analytical purposes including those addressed in the current paper, i.e., the 1H and 13C NMR spectroscopic details. They may also find use in extensive mass spectrometry studies to investigate how such compounds fractionate in the MS instrument under the conditions used. Such data will most certainly back up possible preparation of structured DAGE compounds intended for human consumption as nutraceuticals produced in more bulky and ‘greener’ processes where the use of organic solvents and reagents is restricted. Such compounds are also useful to investigate biological and physiological effects of individual fatty acids and how such effects may be linked to their positions on the glycerol framework of these compounds. In nature, the vast number of the DAGE molecular species makes such investigations practically impossible.
The structured DAGE and MAGE compounds may also find important use in various biological screenings for bioactivity and activity as potential drugs or prodrugs as well as in drug and prodrug development in the pharmaceutical area. For example, it might be of much interest to link an active drug component to the sn-2 or sn-3 positions of the DAGEs already possessing EPA or DHA for use as prodrugs. Such combinations of active drugs along with EPA and DHA are well known in the n-3 PUFA area where for instance statins have been used in some combinations with EPA and DHA [44]. Alkylglycerols may also find use as drug carriers [10]. There are examples of this taken a step further in terms of covalently linking the n-3 PUFAs to a potent drug. An interesting recent example includes the combination of DHA as a tumor targeting molecule to the powerful cytotoxic anticancer agent paclitaxel intended for tumor-targeting drug delivery [45]. There are examples of the 1-O-alkyl-sn-glycerols being used as prodrugs, where for instance phosphonoformate has been covalently linked to the sn-3 position of the glycerol backbone [11].
The 3-MAGE intermediates comprised of an n-3 PUFA located at their terminal sn-3 position might be conveniently acylated at their sn-2 position with a potent drug component to produce prodrugs that combine the benign effects of n-3 PUFAs, bioactive alkylglycerols and the pharmaceutical properties of the drug. Alternatively, the drug may be covalently attached to the sn-3 position of 1-O-alkyl-sn-glycerols with a subsequent introduction of the n-3 PUFA to the remaining sn-2 position of the resulting 3-MAGE. Such prodrugs acquire the biological properties of the n-3 PUFA, the ether lipid and the drug in one and the same molecule and might indeed provide improvements to the drug’s therapeutic value.
Obviously, there are numerous interesting options for using the structured DAGEs and their 3-MAGE intermediates in various drug and prodrug formulations that need further investigations. There are also extensive focused libraries of similarly structured MLM and reversely structured LML type triacylglycerols and their 1,3-diacylglycerol (1,3-DAG) intermediates that have been prepared [38,39,41] awaiting further investigations with the aim of their use within the pharmaceutical area. The synthetic methodology applied in the current and previous reports may become of high utility when indroducing potent drugs or other bioactive constituents possessing a carboxyl group to predetermined positions of the glycerol moiety of both TAGs and DAGEs. That methodology is also available for introducing radiolabeled fatty acids to predetermined positions of the glycerol moiety of both structured TAGs and DAGEs for obtaining more information on their fate in their absorption and metabolism to gain better understanding of lipid physiological effects on humans [46].
3. Experimental Section
3.1. General
1H and 13C NMR spectra were recorded on a Bruker Avance 400 spectrometer using CDCl3 as a solvent. Chemical shifts (δ) are reported in parts per million (ppm) and the coupling constants (J) in Hertz (Hz). The following abbreviations are used to decribe the multiplicity: s, singlet; d, doublet; t, triplet; dd, doublet of doublets; m, multiplet. In the assignment parts of the 1H and 13C NMR spectra, SFA refers to the saturated fatty acyl group. The number of carbon nuclei behind each 13C signal is indicated in parentheses after each chemical shift value, when there is more than one carbon responsible for the peak. For all 13C NMR peaks, one digit after decimal point is provided except for the carbonyl carbons where two digits after the decimal point are provided to support data expressed in Table 4. All infrared (IR) spectra were conducted on a Nicolet Avatar 360 FT-IR (E.S.P.) Spectrophotometer using neat liquid on a ZnSe plate. The optical activities were measured on an Autopol V from Rudolph Research Analytical, Hackettstown, NJ, USA. Melting points were determined on a Büchi 520 melting point apparatus and are uncorrected. The high-resolution mass spectra (HRMS) were acquired on a Bruker micrOTOF-Q mass spectrometer (Bruker Daltonik GmbH, Bremen, Germany) equipped with an E-spray atmospheric pressure ionization chamber (ESI) ((Bruker Daltonik GmbH, Bremen, Germany). All data analysis was done on a Bruker software ((Bruker Daltonik GmbH, Bremen, Germany).
All chemicals and solvents were used without further purification unless otherwise stated. EDAC (1-(3-dimethylaminopropyl)-3-ethylcarbodiimide hydrochloride) was obtained from Sigma-Aldrich (Steinheim, Germany). Hexanoic acid (98%, zur synthese) and decanoic acid (98%, zur synthese) were obtained from Merck (Darmstadt, Germany) and hexadecanoic acid (99%) from Fluka (Buchs, Switzerland). Octanoic acid (>99.5%), dodecanoic acid (>99.5%), tetradecanoic acid (>99.5%) and 4-dimethylaminopyridine (DMAP, 99%) were obtained from Acros Organics (Geel, Belgium). Dichloromethane and benzene were obtained HPLC grade from Sigma-Aldrich (Steinheim, Germany). Column chromatography was performed on Silica gel 60 (Silicycle, Ontario, CA, USA). Reactions were monitered by TLC on Silica gel 60 F254 (Silicycle, Ontario, CA, USA), with detection by quenching of fluorescence, rhodamine 6G in CH3OH and/or with phosphomolybdic acid in ethanol.
3.1.1. Synthesis of 1-O-Hexadecyl-2-hexanoyl-3-eicosapentaenoyl-sn-glycerol (4a)
To a solution of (R)-1-O-hexadecyl-3-eicosapentaenoyl-sn-glycerol 4 (67 mg, 0.112 mmol) and hexanoic acid (15 mg, 0.129 mmol) in CH2Cl2 (1 mL) were added DMAP (11 mg, 0.090 mmol) and EDAC (32 mg, 0.167 mmol). The resulting solution was stirred at r.t. for 12 h and the solvent then removed under reduced pressure. The residue was then purified by short silica column chromatography (CH2Cl2) to afford product 4a (74 mg, 0.106 mmol) as pale yellow oil, yield 95%. −8.4 (c 0.91, benzene). 1H NMR (400 MHz, CDCl3) δ 5.43–5.28 (m, 10H, =CH), 5.22–5.17 (m, 1H, CH2CHCH2), 4.34 (dd, 1H, J = 11.9 Hz, J = 3.7 Hz, CH2OCO), 4.17 (dd, 1H, J = 11.9 Hz, J = 6.5 Hz, CH2OCO), 3.57–3.50 (2xdd, 2H, J = 10.6 Hz, J = 5.3 Hz, CHCH2O), 3.47–3.38 (2xdt, 2H, J = 9.3 Hz, J = 6.6 Hz, OCH2CH2), 2.88–2.76 (m, 8H, =CCH2C=), 2.32 (2xt, 4H, J = 7.6 Hz, J = 7.5 Hz, CH2COO in EPA and SFA), 2.13–2.04 (m, 4H, =CCH2CH3 and =CCH2CH2), 1.70 (quintet (br), 2H, J = 7.5 Hz, CH2CH2COO in EPA), 1.66–1.59 (m, 2H, CH2CH2COO in SFA), 1.57–1.50 (quintet (br), 2H, J = 7.0 Hz, OCH2CH2), 1.35–1.20 (m, 30H, CH2), 0.97 (t, 3H, J = 7.5 Hz, CH3 in EPA), 0.89 (t, 3H, J = 6.9 Hz, CH3 in SFA), 0.88 (t, 3H, J = 7.0 Hz, CH3 in ether) ppm (Supplementary Information, Figures S2 and S4–S7); 13C NMR (CDCl3) δ 173.15 (β, C=O in SFA), 173.12 (α, C=O in EPA), 132.0, 128.9 (2), 128.6, 128.3, 128.2 (2), 128.1, 127.9, 127.0, 71.8, 70.1, 68.9, 62.9, 34.3, 33.5, 31.9, 31.2, 29.7 (7), 29.6 (3), 29.5, 29.4, 26.5, 26.0, 25.6 (2), 25.5, 24.7, 24.6, 22.7, 22.3, 20.6, 14.3, 14.1, 13.9 ppm (Supplementary Information, Figure S3); IR (ZnSe) 3013 (s, CH), 2924 (vs, CH), 2853 (s, CH), 1741 (vs, C=O) cm−1; HRMS m/z calcd. for C45H78O5 (M + H+) 699.5922, found 699.5909.
3.1.2. Synthesis of 1-O-Hexadecyl-2-octanoyl-3-eicosapentaenoyl-sn-glycerol (4b)
The same procedure was followed as described for 4a using (R)-1-O-hexadecyl-3-eicosapentaenoyl-sn-glycerol 4 (114 mg, 0.190 mmol), octanoic acid (37 mg, 0.257 mmol), DMAP (25 mg, 0.205 mmol) and EDAC (51 mg, 0.266 mmol) in 2 mL CH2Cl2. The product 4b (126 mg, 0.173 mmol) was afforded as pale yellow oil, yield 91%. −8.6 (c 0.90, benzene). 1H NMR (400 MHz, CDCl3) δ 5.43–5.28 (m, 10H, =CH), 5.22–5.17 (m, 1H, CH2CHCH2), 4.34 (dd, 1H, J = 11.9 Hz, J = 3.7 Hz, CH2OCO), 4.17 (dd, 1H, J = 11.9 Hz, J = 6.5 Hz, CH2OCO), 3.57–3.50 (2xdd, 2H, J = 10.6 Hz, J = 5.3 Hz, CHCH2O), 3.47–3.37 (2xdt, 2H, J = 9.3 Hz, J = 6.6 Hz, OCH2CH2), 2.88–2.76 (m, 8H, =CCH2C=), 2.32 (2xt, 4H, J = 7.6 Hz, J = 7.5 Hz, CH2COO in EPA and SFA), 2.13–2.04 (m, 4H, =CCH2CH3 and =CCH2CH2), 1.69 (quintet (br), 2H, J = 7.5 Hz, CH2CH2COO in EPA), 1.66–1.58 (m, 2H, CH2CH2COO in SFA), 1.57–1.50 (quintet (br), 2H, J = 7.0 Hz, OCH2CH2), 1.35–1.20 (m, 34H, CH2), 0.97 (t, 3H, J = 7.5 Hz, CH3 in EPA), 0.88 (t, 6H, J = 6.9 Hz, CH3) ppm; 13C NMR (CDCl3) δ 173.15 (β, C=O in SFA), 173.12 (α, C=O in EPA), 132.0, 128.9 (2), 128.6, 128.3, 128.2 (2), 128.1, 127.9, 127.0, 71.8, 70.1, 68.9, 62.9, 34.3, 33.5, 31.9, 31.7, 29.7 (7), 29.6 (3), 29.5, 29.4, 29.0, 28.9, 26.5, 26.0, 25.6 (2), 25.5, 25.0, 24.7, 22.7, 22.6, 20.6, 14.3, 14.1 (2) ppm; IR (ZnSe) 3012 (s, CH), 2922 (vs, CH), 2853 (s, CH), 1740 (vs, C=O) cm−1; HRMS m/z calcd. for C47H82O5 (M + NH4+) 744.6501, found 744.6466.
3.1.3. Synthesis of 1-O-Hexadecyl-2-decanoyl-3-eicosapentaenoyl-sn-glycerol (4c)
The same procedure was followed as described for 4a using (R)-1-O-hexadecyl-3-eicosapentaenoyl-sn-glycerol 4 (126 mg, 0.210 mmol), decanoic acid (35 mg, 0.203 mmol), DMAP (30 mg, 0.245 mmol) and EDAC (68 mg, 0.355 mmol) in 1 mL CH2Cl2. The product 4c (142 mg, 0.188 mmol) was afforded as colorless oil, yield 90%. −8.1 (c 0.99, benzene). 1H NMR (400 MHz, CDCl3) δ 5.43–5.28 (m, 10H, =CH), 5.22–5.17 (m, 1H, CH2CHCH2), 4.34 (dd, 1H, J = 11.9 Hz, J = 3.7 Hz, CH2OCO), 4.17 (dd, 1H, J = 11.9 Hz, J = 6.5 Hz, CH2OCO), 3.57–3.50 (2xdd, 2H, J = 10.6 Hz, J = 5.3 Hz, CHCH2O), 3.47–3.38 (2xdt, 2H, J = 9.3 Hz, J = 6.6 Hz, OCH2CH2), 2.88–2.77 (m, 8H, =CCH2C=), 2.32 (2xt, 4H, J = 7.6 Hz, J = 7.5 Hz, CH2COO in EPA and SFA), 2.13–2.04 (m, 4H, =CCH2CH3 and =CCH2CH2), 1.69 (quinted (br), 2H, J = 7.5 Hz, CH2CH2COO in EPA), 1.65–1.58 (m, 2H, CH2CH2COO in SFA), 1.57–1.50 (quinted (br), 2H, J = 6.8 Hz, OCH2CH2), 1.35–1.20 (m, 38H, CH2), 0.97 (t, 3H, J = 7.5 Hz, CH3 in EPA), 0.88 (t, 6H, J = 6.8 Hz, CH3) ppm; 13C NMR (CDCl3) δ 173.15 (β, C=O in SFA), 173.12 (α, C=O in EPA), 132.0, 128.9 (2), 128.6, 128.3, 128.2 (2), 128.1, 127.9, 127.0, 71.8, 70.0, 68.9, 62.9, 34.3, 33.5, 31.9 (2), 29.7 (7), 29.6 (3), 29.5, 29.4 (2), 29.3 (2), 29.1, 26.5, 26.0, 25.6 (2), 25.5, 25.0, 24.7, 22.7 (2), 20.6, 14.3, 14.1 (2) ppm; IR (ZnSe) 3013 (s, CH), 2922 (vs, CH), 2853 (s, CH), 1741 (vs, C=O) cm−1; HRMS m/z calcd. for C49H86O5 (M + NH4+) 772.6814, found 772.6781.
3.1.4. Synthesis of 1-O-Hexadecyl-2-dodecanoyl-3-eicosapentaenoyl-sn-glycerol (4d)
The same procedure was followed as for 4a except using (R)-1-O-hexadecyl-3-eicosapentaenoyl-sn-glycerol 4 (60 mg, 0.100 mmol), dodecanoic acid (24 mg, 0.120 mmol), DMAP (9 mg, 0.070 mmol) and EDAC (28 mg, 0.146 mmol) in 1 mL CH2Cl2. The product 4d (77 mg, 0.098 mmol) was afforded as colorless oil, yield 98%. −7.6 (c 0.85, benzene). 1H NMR (400 MHz, CDCl3) δ 5.43–5.28 (m, 10H, =CH), 5.22–5.17 (m, 1H, CH2CHCH2), 4.34 (dd, 1H, J = 11.9 Hz, J = 3.7 Hz, CH2OCO), 4.17 (dd, 1H, J = 11.9 Hz, J = 6.5 Hz, CH2OCO), 3.57–3.50 (2xdd, 2H, J = 10.6 Hz, J = 5.3 Hz, CHCH2O), 3.47–3.38 (2xdt, 2H, J = 9.3 Hz, J = 6.6 Hz, OCH2CH2), 2.88–2.77 (m, 8H, =CCH2C=), 2.32 (2xt, 4H, J = 7.6 Hz, J = 7.5 Hz, CH2COO in EPA and SFA), 2.13–2.04 (m, 4H, =CCH2CH3 and =CCH2CH2), 1.69 (quinted (br), 2H, J = 7.5 Hz, CH2CH2COO in EPA), 1.65–1.58 (m, 2H, CH2CH2COO in SFA), 1.58–1.50 (quinted (br), 2H, J = 6.8 Hz, OCH2CH2), 1.35–1.20 (m, 42H, CH2), 0.97 (t, 3H, J = 7.5 Hz, CH3 in EPA), 0.88 (t, 6H, J 6.8 Hz, CH3) ppm; 13C NMR (CDCl3) δ 173.15 (β, C=O in SFA), 173.12 (α, C=O in EPA), 132.0, 128.9 (2), 128.6, 128.3, 128.2 (2), 128.1, 127.9, 127.0, 71.8, 70.0, 68.9, 62.9, 34.3, 33.5, 31.9 (2), 29.7 (8), 29.6 (4), 29.5 (2), 29.4, 29.3 (2), 29.1, 26.5, 26.0, 25.6 (2), 25.5, 25.0, 24.7, 22.7 (2), 20.6, 14.3, 14.1 (2) ppm; IR (ZnSe) 3013 (s, CH), 2923 (vs, CH), 2853 (s, CH), 1741 (vs, C=O) cm−1; HRMS m/z calcd. for C51H90O5 (M + H+) 783.6861, found 783.6857.
3.1.5. Synthesis of 1-O-Hexadecyl-2-tetradecanoyl-3-eicosapentaenoyl-sn-glycerol (4e)
The same procedure was followed as described for 4a using (R)-1-O-hexadecyl-3-eicosapentaenoyl-sn-glycerol 4 (50 mg, 0.083 mmol), tetradecanoic acid (23 mg, 0.101 mmol), DMAP (7 mg, 0.057 mmol) and EDAC (23 mg, 0.112 mmol) in 1 mL CH2Cl2. The product 4e (59 mg, 0.073 mmol) was afforded as colorless oil, yield 88%. −8.3 (c 0.80, benzene). 1H NMR (400 MHz, CDCl3) δ 5.43–5.28 (m, 10H, =CH), 5.22–5.17 (m, 1H, CH2CHCH2), 4.34 (dd, 1H, J = 11.9 Hz, J = 3.7 Hz, CH2OCO), 4.17 (dd, 1H, J = 11.9 Hz, J = 6.5 Hz, CH2OCO), 3.57–3.50 (2xdd, 2H, J = 10.6 Hz, J = 5.3 Hz, CHCH2O), 3.47–3.37 (2xdt, 2H, J = 9.3 Hz, J = 6.6 Hz, OCH2CH2), 2.88–2.77 (m, 8H, =CCH2C=), 2.32 (2xt, 4H, J = 7.6 Hz, J = 7.5 Hz, CH2COO in EPA and SFA), 2.13–2.04 (m, 4H, =CCH2CH3 and =CCH2CH2), 1.69 (quinted (br), 2H, J = 7.5 Hz, CH2CH2COO in EPA), 1.65–1.58 (m, 2H, CH2CH2COO in SFA), 1.58–1.50 (quinted (br), 2H, J = 6.8 Hz, OCH2CH2), 1.35–1.20 (m, 46H, CH2), 0.97 (t, 3H, J = 7.5 Hz, CH3 in EPA), 0.88 (t, 6H, J = 6.8 Hz, CH3) ppm; 13C NMR (CDCl3) δ 173.15 (β, C=O in SFA), 173.12 (α, C=O in EPA), 132.0, 128.9 (2), 128.6, 128.3, 128.2 (2), 128.1, 127.9, 127.0, 71.8, 70.0, 68.9, 62.9, 34.3, 33.5, 31.9 (2), 29.7 (9), 29.6 (5), 29.5 (2), 29.4 (2), 29.3, 29.1, 26.5, 26.0, 25.6 (2), 25.5, 25.0, 24.7, 22.7 (2), 20.6, 14.3, 14.1 (2) ppm; IR(ZnSe) 3013 (s, CH), 2923 (vs, CH), 2853 (s, CH), 1742 (vs, C=O) cm−1; HRMS m/z calcd. for C53H94O5 (M + H+) 828.7440, found 828.7439.
3.1.6. Synthesis of 1-O-Hexadecyl-2-hexadecanoyl-3-eicosapentaenoyl-sn-glycerol (4f)
The same procedure was followed as described for 4a using (R)-1-O-hexadecyl-3-eicosapentaenoyl-sn-glycerol 4 (56 mg, 0.093 mmol), hexadecanoic acid (28 mg, 0.109 mmol), DMAP (14 mg, 0.115 mmol) and EDAC (26 mg, 0.136 mmol) in 1 mL CH2Cl2. The product 4f (76 mg, 0.091 mmol) was afforded as colorless oil, yield 97%. −7.5 (c 1.2, benzene). 1H NMR (400 MHz, CDCl3) δ 5.43–5.28 (m, 10H, =CH), 5.22–5.17 (m, 1H, CH2CHCH2), 4.34 (dd, 1H, J = 11.9 Hz, J = 3.7 Hz, CH2OCO), 4.17 (dd, 1H, J = 11.9 Hz, J = 6.5 Hz, CH2OCO), 3.57–3.50 (2xdd, 2H, J = 10.6 Hz, J = 5.3 Hz, CHCH2O), 3.47–3.38 (2xdt, 2H, J = 9.3 Hz, J = 6.6 Hz, OCH2CH2), 2.88–2.76 (m, 8H, =CCH2C=), 2.32 (2xt, 4H, J = 7.6 Hz, J = 7.5 Hz, CH2COO in EPA and SFA), 2.13–2.04 (m, 4H, =CCH2CH3 and =CCH2CH2), 1.69 (quinted (br), 2H, J = 7.5 Hz, CH2CH2COO in EPA), 1.65–1.58 (m, 2H, CH2CH2COO in SFA), 1.58–1.50 (quinted (br), 2H, J = 6.8 Hz, OCH2CH2), 1.35–1.20 (m, 50H, CH2), 0.97 (t, 3H, J = 7.5 Hz, CH3 in EPA), 0.88 (t, 6H, J = 6.8 Hz, CH3) ppm; 13C (CDCl3) δ 173.15 (β, C=O in SFA), 173.12 (α, C=O in EPA), 132.0, 128.9 (2), 128.6, 128.3, 128.2 (2), 128.1, 127.9, 127.0, 71.8, 70.0, 68.9, 62.9, 34.3, 33.5, 31.9 (2), 29.7 (11), 29.6 (5), 29.5 (2), 29.4 (2), 29.3, 29.1, 26.5, 26.0, 25.6 (2), 25.5, 25.0, 24.7, 22.7 (2), 20.6, 14.3, 14.1 (2) ppm; IR (ZnSe) 3013 (s, CH), 2922 (vs, CH), 2853 (s, CH), 1742 (vs, C=O) cm−1: HRMS m/z calcd. for C55H98O5 (M + NH4+) 856.7753, found 856.7751.
3.1.7. Synthesis of 1-O-Hexadecyl-2-hexanoyl-3-docosahexaenoyl-sn-glycerol (5a)
The same procedure was followed as described for 4a using (R)-1-O-hexadecyl-3-docosahexaenoyl-sn-glycerol 5 (32 mg, 0.053 mmol), hexanoic acid (8 mg, 0.069 mmol), DMAP (8 mg, 0.069 mmol) and EDAC (16 mg, 0.083 mmol) in 1 mL CH2Cl2. The product 5a (34 mg, 0.047 mmol) was afforded as colorless oil, yield 88%. −8.8 (c 0.95, benzene). 1H NMR (400 MHz, CDCl3) δ 5.43–5.28 (m, 12H, =CH), 5.22–5.17 (m, 1H, CH2CHCH2), 4.35 (dd, 1H, J = 11.9 Hz, J = 3.7 Hz, CH2OCO), 4.18 (dd, 1H, J = 11.9 Hz, J = 6.5 Hz, CH2OCO), 3.57–3.50 (2xdd, 2H, J = 10.6 Hz, J = 5.4 Hz, CHCH2O), 3.48–3.38 (2xdt, 2H, J = 9.3 Hz, J = 6.7 Hz, OCH2CH2), 2.88–2.80 (m, 10H, =CCH2C=), 2.41–2.36 (m, 4H, CH2CH2COO in DHA), 2.32 (t, 2H, J = 7.5 Hz, CH2COO in SFA), 2.11–2.04 (m, 2H, =CCH2CH3), 1.66–1.57 (m, 2H, CH2CH2COO in SFA), 1.57–1.50 (m, 2H, OCH2CH2), 1.35–1.21 (m, 30H, CH2), 0.97 (t, 3H, J = 7.5 Hz, CH3 in DHA), 0.89 (t, 3H, J = 6.8 Hz, CH3 in SFA), 0.88 (t, 3H, J = 7.0 Hz, CH3 in ether); 13C NMR (CDCl3) δ 173.17 (β, C=O in SFA), 172.72 (α, C=O in DHA), 132.1, 129.4, 128.6, 128.3 (3), 128.2, 128.1 (2), 127.9, 127.8, 127.0, 71.8, 70.1, 69.0, 63.0, 34.3, 34.0, 32.0, 31.3, 29.7 (9), 29.6, 29.5, 29.4, 26.1, 25.7 (2), 25.6 (2), 24.7, 22.7 (2), 22.4, 20.6, 14.3, 14.2, 14.0 ppm; IR (ZnSe) 3013 (s, CH), 2923 (vs, CH), 2853 (s, CH), 1741 (vs, C=O) cm−1; HRMS m/z calcd. for C47H80O5 (M + H+) 725.6079, found 725.6085.
3.1.8. Synthesis of 1-O-Hexadecyl-2-octanoyl-3-docosahexaenoyl-sn-glycerol (5b)
The same procedure was followed as desribed for 4a using (R)-1-O-hexadecyl-3-docosahexaenoyl-sn-glycerol 5 (65 mg, 0.103 mmol), octanoic acid (21 mg, 0.146 mmol), DMAP (9 mg, 0.072 mmol) and EDAC (30 mg, 0.156 mmol) in 1 mL CH2Cl2. The product 5b (73 mg, 0.097 mmol) was afforded as colorless oil, yield 94%. −8.6 (c 1.0, benzene). 1H NMR (400 MHz, CDCl3) δ 5.43–5.28 (m, 12H, =CH), 5.22–5.17 (m, 1H, CH2CHCH2), 4.35 (dd, 1H, J = 11.9 Hz, J = 3.7 Hz, CH2OCO), 4.18 (dd, 1H, J = 11.9 Hz, J = 6.5 Hz, CH2OCO), 3.57–3.50 (2xdd, 2H, J = 10.6 Hz, J 5.4 Hz, CHCH2O), 3.49–3.37 (2xdt, 2H, J = 9.3, J = 6.7 Hz, OCH2CH2), 2.88–2.80 (m, 10H, =CCH2C=), 2.41–2.35 (m, 4H, CH2CH2COO in DHA), 2.32 (t, 2H, J = 7.5 Hz, CH2COO in SFA), 2.11–2.04 (m, 2H, =CCH2CH3), 1.65-1.58 (m, 2H, CH2CH2COO in SFA), 1.58–1.50 (m, 2H, OCH2CH2), 1.35–1.22 (m, 34H, CH2), 0.97 (t, 3H, J = 7.5 Hz, CH3 in DHA), 0.88 (t, 6H, J = 6.8 Hz, CH3) ppm (Supplementary Information, Figures S8 and S10–S13); 13C NMR (CDCl3) δ 173.18 (β, C=O in SFA), 172.74 (α, C=O in DHA), 132.1, 129.4, 128.6, 128.3 (3), 128.1 (3), 127.9, 127.8, 127.1, 71.8, 70.1, 69.0, 63.0, 34.4, 34.0, 32.0, 31.7, 29.7 (8), 29.6, 29.5, 29.4, 29.1, 29.0, 26.1, 25.7 (3), 25.6 (2), 25.0, 22.7 (3), 20.6, 14.3, 14.2, 14.1 ppm (Supplementary Information, Figure S9); IR (ZnSe) 3013 (s, CH), 2923 (vs, CH), 2853 (s, CH), 1741 (vs, C=O) cm−1; HRMS m/z calcd. for C49H84O5 (M + H+) 753.6392, found 753.6374.
3.1.9. Synthesis of 1-O-Hexadecyl-2-decanoyl-3-docosahexaenoyl-sn-glycerol (5c)
The same procedure was followed as described for 4a using (R)-1-O-hexadecyl-3-docosahexaenoyl-sn-glycerol 5 (156 mg, 0.249 mmol), decanoic acid (64 mg, 0.371 mmol), DMAP (35 mg, 0.286 mmol) and EDAC (71 mg, 0.370 mmol) in 1 mL CH2Cl2. The product 5c (166 mg, 0.212 mmol) was afforded as colorless oil, yield 85%. −8.2 (c 0.97, benzene). 1H NMR (400 MHz, CDCl3) δ 5.43–5.27 (m, 12H, =CH), 5.22–5.17 (m, 1H, CH2CHCH2), 4.35 (dd, 1H, J = 11.9 Hz, J = 3.7 Hz, CH2OCO), 4.17 (dd, 1H, J = 11.9 Hz, J = 6.5 Hz, CH2OCO), 3.57–3.50 (2xdd, 2H, J = 10.6 Hz, J = 5.3 Hz, CHCH2O), 3.47–3.37 (2xdt, 2H, J = 9.3 Hz, J = 6.6 Hz, OCH2CH2), 2.88–2.80 (m, 10H, =CCH2C=), 2.41–2.35 (m, 4H, CH2CH2COO in DHA), 2.32 (t, 2H, J = 7.5 Hz, CH2COO in SFA), 2.11–2.04 (m, 2H, =CCH2CH3), 1.65–1.58 (m, 2H, CH2CH2COO in SFA), 1.58–1.50 (m, 2H, OCH2CH2), 1.35–1.20 (m, 38H, CH2), 0.97 (t, 3H, J = 7.5 Hz, CH3 in DHA), 0.88 (t, 6H, J = 6.8 Hz, CH3) ppm; 13C NMR (CDCl3) δ 173.13 (β, C=O in SFA), 172.68 (α, C=O in DHA), 132.0, 129.3, 128.5, 128.3, 128.2 (2), 128.1, 128.0 (2), 127.8 (2), 127.0, 71.7, 70.0, 68.9, 63.0, 34.3, 34.0, 31.9 (2), 29.7 (7), 29.6 (2), 29.5 (2), 29.4 (2), 29.3 (2), 29.1, 26.0, 25.6 (3), 25.5, 25.0, 22.7 (2), 22.6, 20.5, 14.3, 14.1 (2) ppm; IR (ZnSe) 3013 (s, CH), 2922 (vs, CH), 2853 (s, CH), 1742 (vs, C=O) cm−1. HRMS m/z calcd. for C51H88O5 (M + NH4+) 798.6970, found 798.6958.
3.1.10. Synthesis of 1-O-Hexadecyl-2-dodecanoyl-3-docosahexaenoyl-sn-glycerol (5d)
The same procedure was followed as described for 4a using (R)-1-O-hexadecyl-3-docosahexaenoyl-sn-glycerol 5 (60 mg, 0.095 mmol), dodecanoic acid (23 mg, 0.115 mmol), DMAP (15 mg, 0.123 mmol) and EDAC (27 mg, 0.141 mmol) in 1 mL CH2Cl2. The product 5d (67 mg, 0.082 mmol) was afforded as colorless oil, yield 87%. −8.2 (c 1.0, benzene). 1H NMR (400 MHz, CDCl3) δ 5.43–5.28 (m, 12H, =CH), 5.22–5.17 (m, 1H, CH2CHCH2), 4.35 (dd, 1H, J = 11.9 Hz, J = 3.7 Hz, CH2OCO), 4.17 (dd, 1H, J = 11.9 Hz, J = 6.5 Hz, CH2OCO), 3.57–3.50 (2xdd, 2H, J = 10.6 Hz, J = 5.4 Hz, CHCH2O), 3.46–3.37 (2xdt, 2H, J = 9.3 Hz, J = 6.6 Hz, OCH2CH2), 2.88–2.80 (m, 10H, =CCH2C=), 2.41–2.35 (m, 4H, CH2CH2COO in DHA), 2.32 (t, 2H, J = 7.5 Hz, CH2COO in SFA), 2.11–2.04 (m, 2H, =CCH2CH3), 1.65–1.56 (m, 2H, CH2CH2COO in SFA), 1.56–1.50 (m, 2H, OCH2CH2), 1.35–1.21 (m, 42H, CH2), 0.97 (t, 3H, J = 7.5 Hz, CH3 in DHA), 0.88 (t, 6H, J = 6.8 Hz, CH3) ppm; 13C NMR (CDCl3) δ 173.13 (β, C=O in SFA), 172.68 (α, C=O in DHA), 132.0, 129.4, 128.6, 128.3 (2), 128.2, 128.1 (2), 128.0, 127.9, 127.8, 127.0, 71.8, 70.1, 69.0, 63.0, 34.4, 34.0, 31.9 (2), 29.7 (7), 29.6 (5), 29.5 (2), 29.4, 29.3 (2), 29.1, 26.0, 25.6 (3), 25.5, 25.0, 22.7 (3), 20.6, 14.3, 14.1 (2) ppm; IR (ZnSe) 3014 (s, CH), 2922 (vs, CH), 2853 (s, CH), 1742 (vs, C=O) cm−1; HRMS m/z calcd. for C53H92O5 (M + H+) 809.7018, found 809.7016.
3.1.11. Synthesis of 1-O-Hexadecyl-2-tetradecanoyl-3-docosahexaenoyl-sn-glycerol (5e)
The same procedure was followed as described for 4a using (R)-1-O-hexadecyl-3-docosahexaenoyl-sn-glycerol 5 (148 mg, 0.236 mmol), tetradecanoic acid (60 mg, 0.263 mmol), DMAP (31 mg, 0.254 mmol) and EDAC (67 mg, 0.349 mmol) in 2 mL CH2Cl2. The product 5e (185 mg, 0.221 mmol) was afforded as colorless oil, yield 94%. −8.0 (c 1.0, benzene). 1H NMR (400 MHz, CDCl3) δ 5.43–5.28 (m, 12H, =CH), 5.22–5.17 (m, 1H, CH2CHCH2), 4.35 (dd, 1H, J = 11.9 Hz, J = 3.7 Hz, CH2OCO), 4.17 (dd, 1H, J = 11.9 Hz, J = 6.5 Hz, CH2OCO), 3.57–3.50 (2xdd, 2H, J = 10.6 Hz, J 5.3 Hz, CHCH2O), 3.46–3.37 (2xdt, 2H, J = 9.3 Hz, J = 6.6 Hz, OCH2CH2), 2.88–2.80 (m, 10H, =CCH2C=), 2.41-2.35 (m, 4H, CH2CH2COO in DHA), 2.32 (t, 2H, J = 7.5 Hz, CH2COO in SFA), 2.11–2.04 (m, 2H, =CCH2CH3), 1.65–1.58 (m, 2H, CH2CH2COO in SFA), 1.58–1.50 (m, 2H, OCH2CH2), 1.35–1.20 (m, 46H, CH2), 0.97 (t, 3H, J = 7.5 Hz, CH3 in DHA), 0.88 (t, 6H, J = 6.8 Hz, CH3) ppm; 13C NMR (CDCl3) δ 173.15 (β, C=O in SFA), 172.70 (α, C=O in DHA), 132.0, 129.3, 128.5, 128.3, 128.2 (2), 128.1 (2), 128.0, 127.8 (2), 127.0, 71.7, 70.0, 68.9, 63.0, 34.3, 34.0, 31.9 (2), 29.7 (11), 29.6 (2), 29.5 (3), 29.4 (2), 29.3, 29.1, 26.0, 25.6 (3), 25.5, 25.0, 22.7 (2), 22.6, 20.6, 14.3, 14.1 (2) ppm; IR (ZnSe) 3013 (s, CH), 2922 (vs, CH), 2853 (s, CH), 1741 (vs, C=O) cm−1; HRMS m/z calcd. for C55H96O5 (M + H+) 837.7331, found 837.7315.
3.1.12. Synthesis of 1-O-Hexadecyl-2-hexadecanoyl-3-docosahexaenoyl-sn-glycerol (5f)
The same procedure was followed as described for 4a using (R)-1-O-hexadecyl-3-docosahexaenoyl-sn-glycerol 5 (103 mg, 0.164 mmol), hexadecanoic acid (49 mg, 0.191 mmol), DMAP (21 mg, 0.172 mmol) and EDAC (47 mg, 0.245 mmol) in 1 mL CH2Cl2. The product 5f (139 mg, 0.161 mmol) was afforded as colorless oil, yield 96%. −8.4 (c 0.89, benzene). 1H NMR (400 MHz, CDCl3) δ 5.43–5.28 (m, 12H, =CH), 5.22–5.17 (m, 1H, CH2CHCH2), 4.35 (dd, 1H, J = 11.9 Hz, J = 3.7 Hz, CH2OCO), 4.17 (dd, 1H, J = 11.9 Hz, J = 6.5 Hz, CH2OCO), 3.57–3.50 (2xdd, 2H, J = 10.6 Hz, J = 5.3 Hz, CHCH2O), 3.46–3.37 (2xdt, 2H, J = 9.3 Hz, J = 6.6 Hz, OCH2CH2), 2.88–2.80 (m, 10H, =CCH2C=), 2.41–2.35 (m, 4H, CH2CH2COO in DHA), 2.32 (t, 2H, J = 7.5 Hz, CH2COO in SFA), 2.11–2.04 (m, 2H, =CCH2CH3), 1.65–1.58 (m, 2H, CH2CH2COO in SFA), 1.58–1.50 (m, 2H, OCH2CH2), 1.35–1.21 (m, 50H, CH2), 0.97 (t, 3H, J = 7.5 Hz, CH3 in DHA), 0.88 (t, 6H, J = 6.8 Hz, CH3) ppm; 13C NMR (CDCl3) δ 173.13 (β, C=O in SFA), 172.68 (α, C=O in DHA), 132.0, 129.3, 128.6, 128.3 (2), 128.2, 128.1 (2), 128.0, 127.9, 127.8, 127.0, 71.7, 70.0, 69.0, 63.0, 34.4, 34.0, 31.9 (2), 29.7 (12), 29.6 (4), 29.5 (2), 29.4 (2), 29.3, 29.1, 26.0, 25.6 (3), 25.5, 25.0, 22.7 (3), 20.6, 14.3, 14.1 (2) ppm; IR (ZnSe) 3013 (s, CH), 2921 (vs, CH), 2852 (s, CH), 1742 (vs, C=O) cm−1; HRMS m/z calcd. for C57H100O5 (M + NH4+) 882.7909, found 882.7888.
3.1.13. Synthesis of 1-O-Octadecyl-2-hexanoyl-3-eicosapentaenoyl-sn-glycerol (6a)
The same procedure was followed as described for 4a using (R)-1-O-octadecyl-3-eicosapentaenoyl-sn-glycerol 6 (115 mg, 0.183 mmol), hexanoic acid (21 mg, 0.181 mmol), DMAP (23 mg, 0.188 mmol) and EDAC (50 mg, 0.261 mmol) in 1 mL CH2Cl2. The product 6a (119 mg, 0.164 mmol) was afforded as colorless oil, yield 90%. −8.3 (c 1.0, benzene). 1H NMR (400 MHz, CDCl3) δ 5.43–5.28 (m, 10H, =CH), 5.22–5.17 (m, 1H, CH2CHCH2), 4.34 (dd, 1H, J = 11.9 Hz, J = 3.7 Hz, CH2OCO), 4.17 (dd, 1H, J = 11.9, J 6.5 Hz, CH2OCO), 3.57–3.50 (2xdd, 2H, J = 10.6 Hz, J = 5.3 Hz, CHCH2O), 3.47–3.38 (2xdt, 2H, J = 9.3 Hz, J = 6.6 Hz, OCH2CH2), 2.88–2.79 (m, 8H, =CCH2C=), 2.32 (2xt, 4H, J = 7.6 Hz, J = 7.5 Hz, CH2COO in EPA and SFA), 2.13–2.04 (m, 4H, =CCH2CH3 and =CCH2CH2), 1.70 (quinted (br), 2H, J = 7.5 Hz, CH2CH2COO in EPA), 1.66–1.59 (m, 2H, CH2CH2COO in SFA), 1.57–1.50 (quinted (br), 2H, J = 6.8 Hz, OCH2CH2), 1.35–1.25 (m, 34H, CH2), 0.97 (t, 3H, J = 7.5 Hz, CH3 in EPA), 0.89 (t, 3H, J = 6.9 Hz, CH3 in SFA), 0.88 (t, 3H, J = 7.0 Hz, CH3 in ether) ppm; 13C NMR (CDCl3) δ 173.15 (β, C=O in SFA), 173.12 (α, C=O in EPA), 132.0, 128.9 (2), 128.6, 128.3, 128.2 (2), 128.1, 127.9, 127.0, 71.8, 70.1, 68.9, 62.9, 34.3, 33.5, 31.9, 31.2, 29.7 (8), 29.6 (3), 29.5, 29.4, 26.5, 26.0, 25.6 (3), 25.5, 24.7, 24.6, 22.7, 22.3, 20.6, 14.3, 14.1, 13.9 ppm; IR (ZnSe) 3013 (s, CH), 2921 (vs, CH), 2851 (s, CH), 1741 (vs, C=O) cm−1; HRMS m/z calcd. for C47H82O5 (M + NH4+) 744.6501, found 744.6481.
3.1.14. Synthesis of 1-O-Octadecyl-2-octanoyl-3-eicosapentaenoyl-sn-glycerol (6b)
The same procedure was followed as described for 4a using (R)-1-O-octadecyl-3-eicosapentaenoyl-sn-glycerol 6 (65 mg, 0.103 mmol), octanoic acid (20 mg, 0.139 mmol), DMAP (13 mg, 0.107 mmol) and EDAC (33 mg, 0.172 mmol) in 1 mL CH2Cl2. The product 6b (76 mg, 0.101 mmol) was afforded as pale yellow oil, yield 98%. −8.0 (c 0.83, benzene). 1H NMR (400 MHz, CDCl3) δ 5.43–5.28 (m, 10H, =CH), 5.22–5.17 (m, 1H, CH2CHCH2), 4.34 (dd, 1H, J = 11.9 Hz, J = 3.7 Hz, CH2OCO), 4.17 (dd, 1H, J = 11.9 Hz, J = 6.5 Hz, CH2OCO), 3.57–3.50 (2xdd, 2H, J = 10.6 Hz, J 5.3 Hz, CHCH2O), 3.47–3.38 (2xdt, 2H, J = 9.3 Hz, J = 6.6 Hz, OCH2CH2), 2.88–2.77 (m, 8H, =CCH2C=), 2.32 (2xt, 4H, J = 7.5 Hz, J = 7.5 Hz, CH2COO in EPA and SFA), 2.13–2.04 (m, 4H, =CCH2CH3 and =CCH2CH2), 1.69 (quintet (br), 2H, J = 7.5 Hz, CH2CH2COO in EPA), 1.66–1.58 (m, 2H, CH2CH2COO in SFA), 1.57–1.50 (quintet (br), 2H, J = 6.8 Hz, OCH2CH2), 1.35–1.20 (m, 38H, CH2), 0.97 (t, 3H, J = 7.5 Hz, CH3 in EPA), 0.88 (t, 6H, J = 6.9 Hz, CH3) ppm; 13C NMR (CDCl3) δ 173.15 (β, C=O in SFA), 173.12 (α, C=O in EPA), 132.0, 128.9 (2), 128.6, 128.3, 128.2 (2), 128.1, 127.9, 127.0, 71.8, 70.0, 68.9, 62.9, 34.3, 33.5, 31.9, 31.7, 29.7 (9), 29.6 (2), 29.5, 29.4, 29.0, 28.9, 26.5, 26.0, 25.6 (2), 25.5, 25.0, 24.6, 24.7, 22.7, 22.6, 20.6, 14.3, 14.1 (2) ppm; IR (ZnSe) 3013 (s, CH), 2923 (vs, CH), 2853 (s, CH), 1741 (vs, C=O) cm−1; HRMS m/z calcd. for C49H86O5 (M + NH4+) 772.6800, found 772.6790.
3.1.15. Synthesis of 1-O-Octadecyl-2-decanoyl-3-eicosapentaenoyl-sn-glycerol (6c)
The same procedure was followed as described for 4a using (R)-1-O-octadecyl-3-eicosapentaenoyl-sn-glycerol 6 (82 mg, 0.130 mmol), decanoic acid (26 mg, 0.151 mmol), DMAP (20 mg, 0.163 mmol) and EDAC (41 mg, 0.214 mmol) in 1 mL CH2Cl2. The product 6c (97 mg, 0.124 mmol) was afforded as pale yellow oil, yield 95%. −7.9 (c 0.82, benzene). 1H NMR (400 MHz, CDCl3) δ 5.43–5.28 (m, 10H, =CH), 5.22–5.17 (m, 1H, CH2CHCH2), 4.34 (dd, 1H, J = 11.9 Hz, J = 3.7 Hz, CH2OCO), 4.17 (dd, 1H, J = 11.9 Hz, J = 6.5 Hz, CH2OCO), 3.57–3.50 (2xdd, 2H, J = 10.7 Hz, J = 5.4 Hz, CHCH2O), 3.47–3.38 (2xdt, 2H, J = 9.3 Hz, J = 6.7 Hz, OCH2CH2), 2.86–2.79 (m, 8H, =CCH2C=), 2.32 (2xt, 4H, J = 7.6, Hz J = 7.5 Hz, CH2COO in EPA and SFA), 2.13–2.04 (m, 4H, =CCH2CH3 and =CCH2CH2), 1.69 (quintet (br), 2H, J = 7.5 Hz, CH2CH2COO in EPA), 1.65–1.58 (m, 2H, CH2CH2COO in SFA), 1.58–1.50 (m, 2H, OCH2CH2), 1.38–1.21 (m, 42H, CH2), 0.97 (t, 3H, J = 7.5 Hz, CH3 in EPA), 0.88 (t, 6H, J = 6.8 Hz, CH3) ppm (Supplementary Information, Figure S14); 13C NMR (CDCl3) δ 173.14 (β, C=O in SFA), 173.12 (α, C=O in EPA), 132.0, 128.9 (2), 128.6, 128.3, 128.2 (2), 128.1, 127.9, 127.0, 71.8, 70.1, 69.0, 62.9, 34.4, 33.5, 31.9 (2), 29.7 (11), 29.6 (2), 29.5, 29.4, 29.3 (2), 29.1, 26.5, 26.0, 25.6 (2), 25.5, 25.0, 24.7, 22.7 (2), 20.6, 14.3, 14.1 (2) ppm (Supplementary Information, Figure S15); IR (ZnSe) 3013 (s, CH), 2921 (vs, CH), 2852 (s, CH), 1741 (vs, C=O) cm−1; HRMS m/z calcd. for C51H90O5 (M + NH4+) 800.7127, found 800.7131.
3.1.16. Synthesis of 1-O-Octadecyl-2-dodecanoyl-3-eicosapentaenoyl-sn-glycerol (6d)
The same procedure was followed as described for 4a using (R)-1-O-octadecyl-3-eicosapentaenoyl-sn-glycerol 6 (98 mg, 0.156 mmol), dodecanoic acid (30 mg, 0.150 mmol), DMAP (20 mg, 0.164 mmol) and EDAC (49 mg, 0.256 mmol) in 1 mL CH2Cl2. The product 6d (115 mg, 0.142 mmol) was afforded as pale yellow oil, yield 94%. −7.5 (c 1.0, benzene). 1H NMR (400 MHz, CDCl3) δ 5.43–5.28 (m, 10H, =CH), 5.22–5.17 (m, 1H, CH2CHCH2), 4.34 (dd, 1H, J = 11.9 Hz, J = 3.7 Hz, CH2OCO), 4.17 (dd, 1H, J = 11.9 Hz, J = 6.5 Hz, CH2OCO), 3.57–3.50 (2xdd, 2H, J = 10.6 Hz, J = 5.3 Hz, CHCH2O), 3.47–3.38 (2xdt, 2H, J = 9.3 Hz, J = 6.6 Hz, OCH2CH2), 2.88–2.77 (m, 8H, =CCH2C=), 2.32 (2xt, 4H, J = 7.7 Hz, J = 7.5 Hz, CH2COO in EPA and SFA), 2.13–2.04 (m, 4H, =CCH2CH3 and =CCH2CH2), 1.69 (quintet (br), 2H, J = 7.5 Hz, CH2CH2COO in EPA), 1.65–1.58 (m, 2H, CH2CH2COO in SFA), 1.58–1.50 (m, 2H, OCH2CH2), 1.35–1.20 (m, 46H, CH2), 0.97 (t, 3H, J = 7.5 Hz, CH3 in EPA), 0.88 (t, 6H, J = 6.8 Hz, CH3) ppm; 13C NMR (CDCl3) δ 173.20 (β, C=O in SFA), 173.18 (α, C=O in EPA), 132.0, 128.9 (2), 128.6, 128.3, 128.2 (2), 128.1, 127.9, 127.0, 71.8, 70.0, 68.9, 62.9, 34.3, 33.5, 31.9 (2), 29.7 (9), 29.6 (5), 29.5 (2), 29.4, 29.3 (2), 29.1, 26.5, 26.0, 25.6 (2), 25.5, 25.0, 24.7, 22.7 (2), 20.6, 14.3, 14.1 (2) ppm; IR (ZnSe) 3013 (s, CH), 2922 (vs, CH), 2853 (s, CH), 1741 (vs, C=O) cm−1; HRMS m/z calcd. for C53H94O5 (M + NH4+) 828.7440, found 828.7437.
3.1.17. Synthesis of 1-O-Octadecyl-2-tetradecanoyl-3-eicosapentaenoyl-sn-glycerol (6e)
The same procedure was followed as described for 4a using (R)-1-O-octadecyl-3-eicosapentaenoyl-sn-glycerol 6 (58 mg, 0.093 mmol), tetradecanoic acid (24 mg, 0.105 mmol), DMAP (9 mg, 0.073 mmol) and EDAC (26 mg, 0.136 mmol) in 1 mL CH2Cl2. The product 6e (68 mg, 0.081 mmol) was afforded as pale yellow oil, yield 87%. −7.4 (c 0.95, benzene). 1H NMR (400 MHz, CDCl3) δ 5.43–5.28 (m, 10H, =CH), 5.22–5.17 (m, 1H, CH2CHCH2), 4.34 (dd, 1H, J = 11.9 Hz, J = 3.7 Hz, CH2OCO), 4.17 (dd, 1H, J = 11.9 Hz, J = 6.5 Hz, CH2OCO), 3.57–3.50 (2xdd, 2H, J = 10.6 Hz, J = 5.3 Hz, CHCH2O), 3.47–3.38 (2xdt, 2H, J = 9.3 Hz, J = 6.6 Hz, OCH2CH2), 2.88–2.79 (m, 8H, =CCH2C=), 2.32 (2xt, 4H, J = 7.6 Hz, J = 7.5 Hz, CH2COO in EPA and SFA), 2.13–2.04 (m, 4H, =CCH2CH3 and =CCH2CH2), 1.69 (quintet (br), 2H, J = 7.5 Hz, CH2CH2COO in EPA), 1.65–1.58 (m, 2H, CH2CH2COO in SFA), 1.57–1.50 (m, 2H, OCH2CH2), 1.35–1.20 (m, 50H, CH2), 0.97 (t, 3H, J = 7.5 Hz, CH3 in EPA), 0.88 (t, 6H, J = 6.8 Hz, CH3) ppm; 13C NMR (CDCl3) δ 173.15 (β, C=O in SFA), 173.12 (α, C=O in EPA), 132.0, 128.9 (2), 128.6, 128.3, 128.2 (2), 128.1, 127.9, 127.0, 71.8, 70.0, 69.0, 62.9, 34.3, 33.5, 31.9 (2), 29.7 (14), 29.6 (2), 29.5, 29.4 (2), 29.3 (2), 29.1, 26.5, 26.0, 25.6 (2), 25.5, 25.0, 24.7, 22.7 (2), 20.6, 14.3, 14.1 (2) ppm; IR (ZnSe) 3012 (s, CH), 2922 (vs, CH), 2853 (s, CH), 1741 (vs, C=O) cm−1; HRMS m/z calcd. for C55H98O5 (M + H+) 839.7487, found 839.7486.
3.1.18. Synthesis of 1-O-Octadecyl-2-hexadecanoyl-3-eicosapentaenoyl-sn-glycerol (6f)
The same procedure was followed as described for 4a using (R)-1-O-octadecyl-3-eicosapentaenoyl-sn-glycerol 6 (73 mg, 0.116 mmol), hexadecanoic acid (31 mg, 0.121 mmol), DMAP (18 mg, 0.147 mmol) and EDAC (39 mg, 0.203 mmol) in 1 mL CH2Cl2. The product 6f (90 mg, 0.104 mmol) was afforded as colorless oil, yield 90%. −6.6 (c 0.93, benzene). 1H NMR (400 MHz, CDCl3) δ 5.44–5.28 (m, 10H, =CH), 5.22–5.17 (m, 1H, CH2CHCH2), 4.34 (dd, 1H, J = 11.9 Hz, J = 3.7 Hz, CH2OCO), 4.17 (dd, 1H, J = 11.9 Hz, J = 6.5 Hz, CH2OCO), 3.57–3.50 (2xdd, 2H, J = 10.6 Hz, J = 5.3 Hz, CHCH2O), 3.47–3.38 (2xdt, 2H, J = 9.3 Hz, J = 6.6 Hz, OCH2CH2), 2.89–2.79 (m, 8H, =CCH2C=), 2.32 (2xt, 4H, J = 7.6 Hz, J = 7.5 Hz, CH2COO in EPA and SFA), 2.13–2.04 (m, 4H, =CCH2CH3 and =CCH2CH2), 1.69 (quintet (br), 2H, J = 7.5 Hz, CH2CH2COO in EPA), 1.65–1.57 (m, 2H, CH2CH2COO in SFA), 1.57–1.50 (m, 2H, OCH2CH2), 1.35–1.20 (m, 54H, CH2), 0.97 (t, 3H, J = 7.5 Hz, CH3 in EPA), 0.88 (t, 6H, J = 6.8 Hz, CH3) ppm; 13C NMR (CDCl3) δ 173.16 (β, C=O in SFA), 173.13 (α, C=O in EPA), 132.0, 128.9 (2), 128.6, 128.3, 128.2 (2), 128.1, 127.9, 127.0, 71.8, 70.1, 69.0, 62.9, 34.4, 33.5, 31.9 (2), 29.7 (17), 29.6, 29.5 (2), 29.4 (2), 29.3, 29.1, 26.5, 26.0, 25.6 (2), 25.5, 25.0, 24.7, 22.7 (2), 20.6, 14.3, 14.1 (2) ppm; IR (ZnSe) 3013 (s, CH), 2922 (vs, CH), 2852 (s, CH), 1742 (vs, C=O) cm−1; HRMS m/z calcd. for C57H102O5 (M + H+) 867.7800, found 867.7774.
3.1.19. Synthesis of1-O-Octadecyl-2-hexanoyl-3-docosahexaenoyl-sn-glycerol (7a)
The same procedure was followed as described for 4a using (R)-1-O-octadecyl-3-docosahexaenoyl-sn-glycerol 7 (68 mg, 0.104 mmol), hexanoic acid (17 mg, 0.146 mmol), DMAP (10 mg, 0.082 mmol) and EDAC (29 mg, 0.151 mmol) in 1 mL CH2Cl2. The product 7a (71 mg, 0.098 mmol) was afforded as colorless oil, yield 94%. −8.5 (c 0.95, benzene). 1H NMR (400 MHz, CDCl3) δ 5.43–5.28 (m, 12H, =CH), 5.22–5.17 (m, 1H, CH2CHCH2), 4.35 (dd, 1H, J = 11.9 Hz, J = 3.7 Hz, CH2OCO), 4.18 (dd, 1H, J = 11.9 Hz, J = 6.5 Hz, CH2OCO), 3.57–3.50 (2xdd, 2H, J = 10.6 Hz, J = 5.4 Hz, CHCH2O), 3.47–3.38 (2xdt, 2H, J = 9.3 Hz, J = 6.7 Hz, OCH2CH2), 2.88–2.80 (m, 10H, =CCH2C=), 2.41–2.35 (m, 4H, CH2CH2COO in DHA), 2.32 (t, 2H, J = 7.5 Hz, CH2COO in SFA), 2.11–2.04 (m, 2H, =CCH2CH3), 1.66–1.59 (m, 2H, CH2CH2COO in SFA), 1.59–1.50 (m, 2H, OCH2CH2), 1.35–1.21 (m, 34H, CH2), 0.97 (t, 3H, J = 7.5 Hz, CH3 in DHA), 0.89 (t, 3H, J = 6.8 Hz, CH3 in SFA), 0.88 (t, 3H, J = 7.0 Hz, CH3 in ether) ppm; 13C NMR (CDCl3) δ 173.10 (β, C=O in SFA), 172.66 (α, C=O in DHA), 132.0, 129.3, 128.6, 128.3 (2), 128.2, 128.1 (2), 128.0, 127.9, 127.8, 127.0, 71.8, 70.1, 69.0, 63.0, 34.3, 34.0, 31.9, 31.2, 29.7 (9), 29.6 (3), 29.5, 29.4, 26.0, 25.6 (3), 25.5, 24.6, 22.7 (2), 22.3, 20.6, 14.3, 14.1, 13.9 ppm; IR (ZnSe) 3013 (s, CH), 2923 (vs, CH), 2853 (s, CH), 1741 (vs, C=O) cm−1; HRMS m/z calcd. for C49H84O5 (M + H+) 753.6392, found 753.6379.
3.1.20. Synthesis of 1-O-Octadecyl-2-octanoyl-3-docosahexaenoyl-sn-glycerol (7b)
The same procedure was followed as described for 4a using (R)-1-O-octadecyl-3-docosahexaenoyl-sn-glycerol 7 (66 mg, 0.100 mmol), octanoic acid (18 mg, 0.125 mmol), DMAP (17 mg, 0.139 mmol) and EDAC (30 mg, 0.156 mmol) in 1 mL CH2Cl2. The product 7b (73 mg, 0.093 mmol) was afforded as pale yellow oil, yield 94%. −8.1 (c 0.94, benzene). 1H NMR (400 MHz, CDCl3 Hz, J = 3.7 Hz, CH2OCO), 4.17 (dd, 1H, J = 11.9 Hz, J = 6.5 Hz, CH2OCO), 3.57–3.50 (2xdd, 2H, J = 10.7 Hz, J = 5.5 Hz, CHCH2O), 3.47–3.38 (2xdt, 2H, J = 9.3 Hz, J = 6.7 Hz, OCH2CH2), 2.88–2.80 (m, 10H, =CCH2C=), 2.41–2.35 (m, 4H, CH2CH2COO in DHA), 2.32 (t, 2H, J = 7.5 Hz, CH2COO in SFA), 2.11–2.04 (m, 2H, =CCH2CH3), 1.65–1.58 (m, 2H, CH2CH2COO in SFA), 1.58–1.50 (m, 2H, OCH2CH2), 1.37–1.20 (m, 38H, CH2), 0.97 (t, 3H, J = 7.5 Hz, CH3 in DHA), 0.88 (t, 6H, J = 6.8 Hz, CH3) ppm; 13C NMR (CDCl3) δ 173.11 (β, C=O in SFA), 172.66 (α, C=O in DHA), 132.0, 129.3, 128.6, 128.3 (2), 128.2, 128.1 (2), 128.0, 127.9, 127.8, 127.0, 71.8, 70.0, 69.0, 63.0, 34.3, 34.0, 31.9, 31.7, 29.7 (9), 29.6 (2), 29.5, 29.4, 29.0, 28.9, 26.0, 25.6 (3), 25.5, 25.0, 22.7 (2), 22.6, 20.6, 14.3, 14.1 (2) ppm; IR (ZnSe) 3013 (s, CH), 2923 (vs, CH), 2853 (s, CH), 1742 (vs, C=O) cm−1; HRMS m/z calcd. for C51H88O5 (M + NH4+) 798.6970, found 798.6964.
3.1.21. Synthesis of 1-O-Octadecyl-2-decanoyl-3-docosahexaenoyl-sn-glycerol (7c)
The same procedure was followed as described for 4a using (R)-1-O-octadecyl-3-docosahexaenoyl-sn-glycerol 7 (157 mg, 0.240 mmol), decanoic acid (50 mg, 0.290 mmol), DMAP (31 mg, 0.254 mmol) and EDAC (77 mg, 0.402 mmol) in 1 mL CH2Cl2. The product 7c (176 mg, 0.218 mmol) was afforded as colorless oil, yield 91%. −7.9 (c 1.0, benzene). 1H NMR (400 MHz, CDCl3) δ 5.43–5.28 (m, 12H, =CH), 5.22–5.17 (m, 1H, CH2CHCH2), 4.35 (dd, 1H, J = 11.9 Hz, J = 3.7 Hz, CH2OCO), 4.17 (dd, 1H, J = 11.9 Hz, J = 6.5 Hz, CH2OCO), 3.57–3.50 (2xdd, 2H, J = 10.6 Hz, J = 5.4 Hz, CHCH2O), 3.47–3.38 (2xdt, 2H, J = 9.3 Hz, J = 6.7 Hz, OCH2CH2), 2.91–2.80 (m, 10H, =CCH2C=), 2.42–2.37 (m, 4H, CH2CH2COO in DHA), 2.32 (t, 2H, J = 7.5 Hz, CH2COO in SFA), 2.11–2.04 (m, 2H, J = 7.4 Hz, =CCH2CH3), 1.65–-1.58 (m, 2H, CH2CH2COO in SFA), 1.58–1.50 (m, 2H, OCH2CH2), 1.39–1.21 (m, 42H, CH2), 0.97 (t, 3H, J = 7.5 Hz, CH3 in DHA), 0.88 (t, 6H, J = 6.8 Hz, CH3) ppm; 13C NMR (CDCl3) δ 173.11 (β, C=O in SFA), 172.66 (α, C=O in DHA), 132.0, 129.3, 128.6, 128.3 (2), 128.2, 128.1 (2), 128.0, 127.9, 127.8, 127.0, 71.8, 70.0, 69.0, 63.0, 34.3, 34.0, 31.9 (2), 29.7 (11), 29.6 (2), 29.5, 29.4 (2), 29.3 (2), 29.1, 26.0, 25.6 (3), 25.5, 25.0, 22.7 (2), 20.6, 14.3, 14.1 (2) ppm; IR (ZnSe) 3014 (s, CH), 2922 (vs, CH), 2853 (s, CH), 1742 (vs, C=O) cm−1; HRMS m/z calcd. for C53H92O5 (M + H+) 809.7018, found 809.7011.
3.1.22. Synthesis of 1-O-Octadecyl-2-dodecanoyl-3-docosahexaenoyl-sn-glycerol (7d)
The same procedure was followed as described for 4a using (R)-1-O-octadecyl-3-docosahexaenoyl-sn-glycerol 7 (100 mg, 0.153 mmol), dodecanoic acid (33 mg, 0.165 mmol), DMAP (22 mg, 0.180 mmol) and EDAC (50 mg, 0.261 mmol) in 1 mL CH2Cl2. The product 7d (112 mg, 0.134 mmol) was afforded as colorless oil, yield 88%. −7.7 (c 1.0, benzene). 1H NMR (400 MHz, CDCl3) δ 5.43–5.28 (m, 12H, =CH), 5.22-5.17 (m, 1H, CH2CHCH2), 4.35 (dd, 1H, J = 11.9 Hz, J = 3.7 Hz, CH2OCO), 4.17 (dd, 1H, J = 11.9 Hz, J = 6.5 Hz, CH2OCO), 3.57–3.50 (2xdd, 2H, J = 10.6 Hz, J = 5.3 Hz, CHCH2O), 3.47–3.37 (2xdt, 2H, J = 9.3 Hz, J = 6.6 Hz, OCH2CH2), 2.88–2.80 (m, 10H, =CCH2C=), 2.41–2.35 (m, 4H, CH2CH2COO in DHA), 2.32 (t, 2H, J = 7.5 Hz, CH2COO in SFA), 2.11–2.04 (quintet, 2H, J = 7.5 Hz, =CCH2CH3), 1.65–1.57 (m, 2H, CH2CH2COO in SFA), 1.57–1.50 (m, 2H, OCH2CH2), 1.35–1.20 (m, 46H, CH2), 0.97 (t, 3H, J =.5 Hz, CH3 in DHA), 0.88 (t, 6H, J = 6.8 Hz, CH3) ppm (Supplementary Information, Figure S16); 13C NMR (CDCl3) δ 173.12 (β, C=O in SFA), 172.67 (α, C=O in DHA), 132.0, 129.3, 128.6, 128.3 (2), 128.2, 128.1 (2), 128.0, 127.9, 127.8, 127.0, 71.8, 70.0, 68.9, 63.0, 34.3, 34.0, 31.9 (2), 29.7 (10), 29.6 (5), 29.5 (2), 29.4, 29.3 (2), 29.1, 26.0, 25.6 (3), 25.5, 25.0, 22.7 (2), 20.6, 14.3, 14.1 (2) ppm (Supplementary Information, Figure S17); IR (ZnSe) 3014 (s, CH), 2922 (vs, CH), 2853 (s, CH), 1742 (vs, C=O) cm−1; HRMS m/z calcd. for C55H96O5 (M + NH4+) 854.7596, found 854.7607.
3.1.23. Synthesis of 1-O-Octadecyl-2-tetradecanoyl-3-docosahexaenoyl-sn-glycerol (7e)
The same procedure was followed as described for 4a using (R)-1-O-octadecyl-3-docosahexaenoyl-sn-glycerol 7 (59 mg, 0.092 mmol), tetradecanoic acid (23 mg, 0.101 mmol), DMAP (10 mg, 0.082 mmol) and EDAC (26 mg, 0.136 mmol) in 1 mL CH2Cl2. The product 7e (73 mg, 0.084 mmol) was afforded as pale yellow oil, yield 94%. −7.3 (c 0.91, benzene). 1H NMR (400 MHz, CDCl3) δ 5.43–5.28 (m, 12H, =CH), 5.22–5.17 (m, 1H, CH2CHCH2), 4.35 (dd, 1H, J = 11.9 Hz, J = 3.7 Hz, CH2OCO), 4.17 (dd, 1H, J = 11.9 Hz, J = 6.5 Hz, CH2OCO), 3.57–3.50 (2xdd, 2H, J = 10.6 Hz, J = 5.3 Hz, CHCH2O), 3.47–3.38 (2xdt, 2H, J = 9.3 Hz, J = 6.6 Hz, OCH2CH2), 2.88–2.80 (m, 10H, =CCH2C=), 2.41–2.35 (m, 4H, CH2CH2COO in DHA), 2.32 (t, 2H, J = 7.5 Hz, CH2COO in SFA), 2.11–2.04 (quintet, 2H, J = 7.5 Hz, =CH2CH3), 1.65–1.57 (m, 2H, CH2CH2COO in SFA), 1.57–1.50 (m, 2H, OCH2CH2), 1.35–1.20 (m, 50H, CH2), 0.97 (t, 3H, J = 7.5 Hz, CH3 in DHA), 0.88 (t, 6H, J = 6.8 Hz, CH3) ppm; 13C NMR (CDCl3) δ 173.12 (β, C=O in SFA), 172.67 (α, C=O in DHA), 132.0, 129.3, 128.6, 128.3 (2), 128.2, 128.1 (2), 128.0, 127.9, 127.8, 127.0, 71.8, 70.0, 68.9, 63.0, 34.3, 34.0, 31.9 (2), 29.7 (15), 29.6 (2), 29.5 (2), 29.4 (2), 29.3, 29.1, 26.0, 25.6 (3), 25.5, 25.0, 22.7 (2), 20.6, 14.3, 14.1 (2) ppm; IR (ZnSe) 3014 (s, CH), 2923 (vs, CH), 2853 (s, CH), 1743 (vs, C=O) cm−1; HRMS m/z calcd. for C57H100O5 (M + H+) 865.7644, found 865.7625.
3.1.24. Synthesis of 1-O-Octadecyl-2-hexadecanoyl-3-docosahexaenoyl-sn-glycerol (7f)
The same procedure was followed as described for 4a using (R)-1-O-octadecyl-3-docosahexaenoyl-sn-glycerol 7 (57 mg, 0.087 mmol), hexadecanoic acid (25 mg, 0.097 mmol), DMAP (12 mg, 0.098 mmol) and EDAC (26 mg, 0.136 mmol) in 1 mL CH2Cl2. The product 7f (72 mg, 0.081 mmol) was afforded as pale yellow solid, yield 93%. Mp 29–31 °C. −7.2 (c 0.79, benzene). 1H NMR (400 MHz, CDCl3) δ 5.43–5.28 (m, 12H, =CH), 5.22–5.17 (m, 1H, CH2CHCH2), 4.35 (dd, 1H, J = 11.9 Hz, J = 3.7 Hz, CH2OCO), 4.17 (dd, 1H, J = 11.9 Hz, J = 6.5 Hz, CH2OCO), 3.57–3.50 (2xdd, 2H, J = 10.6 Hz, J = 5.3 Hz, CHCH2O), 3.47–3.38 (2xdt, 2H, J = 9.3 Hz, J = 6.6 Hz, OCH2CH2), 2.88–2.80 (m, 10H, =CCH2C=), 2.41–2.35 (m, 4H, CH2CH2COO in DHA), 2.32 (t, 2H, J = 7.5 Hz, CH2COO in SFA), 2.11–2.04 (quintet, 2H, J = 7.5 Hz, =CCH2CH3), 1.65–1.58 (m, 2H, CH2CH2COO in SFA), 1.58–1.50 (m, 2H, OCH2CH2), 1.35–1.20 (m, 54H, CH2), 0.97 (t, 3H, J = 7.5 Hz, CH3 in DHA), 0.88 (t, 6H, J = 6.8 Hz, CH3) ppm; 13C NMR (CDCl3) δ 173.12 (β, C=O in SFA), 172.67 (α, C=O in DHA), 132.0, 129.3, 128.6, 128.3 (2), 128.2, 128.1 (2), 128.0, 127.9, 127.8, 127.0, 71.8, 70.0, 68.9, 63.0, 34.3, 34.0, 31.9 (2), 29.7 (17), 29.6, 29.5 (2), 29.4 (2), 29.3, 29.1, 26.0, 25.6 (3), 25.5, 25.0, 22.7 (3), 20.6, 14.3, 14.1 (2) ppm; IR (ZnSe) 3014 (s, CH), 2922 (vs, CH), 2853 (s, CH), 1743 (vs, C=O) cm−1; HRMS m/z calcd. for C59H104O5 (M + NH4+) 910.8222, found 910.8220.
3.1.25. Synthesis of 1-O-(Z)-Octadec-9-enyl-2-hexanoyl-3-eicosapentaenoyl-sn-glycerol (8a)
The same procedure was followed as described for 4a using (R)-1-O-(Z)-octadec-9-enyl-3-eicosapentaenoyl-sn-glycerol 8 (98 mg, 0.156 mmol), hexanoic acid (20 mg, 0.172 mmol), DMAP (18 mg, 0.147 mmol) and EDAC (50 mg, 0.261 mmol) in 1 mL CH2Cl2. The product 8a (102 mg, 0.141 mmol) was afforded as pale yellow oil, yield 90%. −7.7 (c 1.1, benzene). 1H NMR (400 MHz, CDCl3) δ 5.43–5.28 (m, 12H, =CH), 5.22–5.17 (m, 1H, CH2CHCH2), 4.34 (dd, 1H, J = 11.9 Hz, J = 3.7 Hz, CH2OCO), 4.17 (dd, 1H, J = 11.9 Hz, J = 6.5 Hz, CH2OCO), 3.57–3.50 (2xdd, 2H, J = 10.6, Hz J = 5.3 Hz, CHCH2O), 3.47–3.38 (2xdt, 2H, J = 9.3 Hz, J = 6.6 Hz, OCH2CH2), 2.88–2.79 (m, 8H, =CCH2C=), 2.32 (2xt, 4H, J = 7.6 Hz, J = 7.5 Hz, CH2COO in EPA and SFA), 2.13–2.06 (m, 4H, =CCH2CH3 and =CCH2CH2), 2.04–1.99 (m, 4H, =CCH2 in selachyl), 1.70 (quintet (br), 2H, J = 7.5 Hz, CH2CH2COO in EPA), 1.66–1.59 (m, 2H, CH2CH2COO in SFA), 1.59–1.50 (qunitet (br), 2H, J = 6.8 Hz, OCH2CH2), 1.37–1.22 (m, 26H, CH2), 0.97 (t, 3H, J = 7.5 Hz, CH3 in EPA), 0.89 (t, 3H, J = 6.9 Hz, CH3 in SFA), 0.88 (t, 3H, J = 7.0 Hz, CH3 in ether) ppm; 13C NMR (CDCl3) δ 173.15 (β, C=O in SFA), 173.11 (α, C=O in EPA), 132.0, 129.9, 129.8, 128.9 (2), 128.6, 128.3, 128.2 (2), 128.1, 127.9, 127.0, 71.7, 70.0, 69.0, 62.9, 34.3, 33.5, 31.9, 31.2, 29.8 (2), 29.7, 29.6, 29.5, 29.4, 29.3 (3), 27.2 (2), 26.5, 26.0, 25.6 (3), 25.5, 24.7, 24.6, 22.7, 22.3, 20.6, 14.3, 14.1, 13.9 ppm; IR (ZnSe) 3012 (s, CH), 2923 (vs, CH), 2854 (s, CH), 1741 (vs, C=O) cm−1; HRMS m/z calcd. for C47H80O5 (M + NH4+) 742.6344, found 742.6336.
3.1.26. Synthesis of 1-O-(Z)-Octadec-9-enyl-2-octanoyl-3-eicosapentaenoyl-sn-glycerol (8b)
The same procedure was followed as described for 4a using (R)-1-O-(Z)-octadec-9-enyl-3-eicosapentaenoyl-sn-glycerol 8 (60 mg, 0.096 mmol), octanoic acid (15 mg, 0.104 mmol), DMAP (11 mg, 0.090 mmol) and EDAC (26 mg, 0.136 mmol) in 1 mL CH2Cl2. The product 8b (62 mg, 0.082 mmol) was afforded as pale yellow oil, yield 86%. −7.5 (c 0.88, benzene). 1H NMR (400 MHz, CDCl3) δ 5.43–5.28 (m, 12H, =CH), 5.22–5.17 (m, 1H, CH2CHCH2), 4.34 (dd, 1H, J = 11.9 Hz, J = 3.7 Hz, CH2OCO), 4.17 (dd, 1H, J = 11.9 Hz, J = 6.5 Hz, CH2OCO), 3.57–3.50 (2xdd, 2H, J = 10.6 Hz, J = 5.3 Hz, CHCH2O), 3.47–3.38 (2xdt, 2H, J = 9.3 Hz, J = 6.6 Hz, OCH2CH2), 2.88–2.77 (m, 8H, =CCH2C=), 2.32 (2xt, 4H, J = 7.6 Hz, J = 7.5 Hz, CH2COO in EPA and SFA), 2.13–2.04 (m, 4H, =CCH2CH3 and =CCH2CH2), 2.04–1.99 (m, 4H, =CCH2 in selachyl), 1.69 (quintet (br), 2H, J = 7.5 Hz, CH2CH2COO in EPA), 1.63–1.58 (m, 2H, CH2CH2COO in SFA), 1.58–1.50 (quintet (br), 2H, J = 6.8 Hz, OCH2CH2), 1.39–1.22 (m, 30H, CH2), 0.97 (t, 3H, J = 7.5 Hz, CH3 in EPA), 0.88 (t, 6H, J = 6.9 Hz, CH3) ppm; 13C NMR (CDCl3) δ 173.15 (β, C=O in SFA), 173.11 (α, C=O in EPA), 132.0, 129.9, 129.8, 128.9 (2), 128.6, 128.3, 128.2 (2), 128.1, 127.9, 127.0, 71.7, 70.0, 69.0, 62.9, 34.3, 33.5, 31.9, 31.7, 29.8 (2), 29.7, 29.6, 29.5 (2), 29.4, 29.3 (3), 29.0, 28.9, 27.2 (2), 26.5, 26.0, 25.6 (2), 25.5, 25.0, 24.7, 22.7, 22.6, 20.6, 14.3, 14.1 (2) ppm; IR (ZnSe) 3012 (s, CH), 2924 (vs, CH), 2854 (s, CH), 1741 (vs, C=O) cm−1; HRMS m/z calcd. for C49H84O5 (M + NH4+) 770.6657, found 770.6657.
3.1.27. Synthesis of 1-O-(Z)-Octadec-9-enyl-2-decanoyl-3-eicosapentaenoyl-sn-glycerol (8c)
The same procedure was followed as described for 4a using (R)-1-O-(Z)-octadec-9-enyl-3-eicosapentaenoyl-sn-glycerol 8 (60 mg, 0.096 mmol), decanoic acid (18 mg, 0.104 mmol), DMAP (8 mg, 0.067 mmol) and EDAC (27 mg, 0.141 mmol) in 1 mL CH2Cl2. The product 8c (64 mg, 0.082 mmol) was afforded as pale yellow oil, yield 86%. −6.8 (c 0.95, benzene). 1H NMR (400 MHz, CDCl3) δ 5.43–5.28 (m, 12H, =CH), 5.22–5.17 (m, 1H, CH2CHCH2), 4.34 (dd, 1H, J = 11.9 Hz, J = 3.7 Hz, CH2OCO), 4.17 (dd, 1H, J = 11.9 Hz, J = 6.5 Hz, CH2OCO), 3.57–3.50 (2xdd, 2H, J = 10.6 Hz, J = 5.3 Hz, CHCH2O), 3.47–3.38 (2xdt, 2H, J = 9.3 Hz, J = 6.6 Hz, OCH2CH2), 2.88–2.77 (m, 8H, =CCH2C=), 2.32 (2xt, 4H, J = 7.6 Hz, J = 7.5 Hz, CH2COO in EPA and SFA), 2.13–2.04 (m, 4H, =CCH2CH3 and =CCH2CH2), 2.04–1.99 (m, 4H, =CCH2 in selachyl), 1.69 (quintet (br), 2H, J = 7.5 Hz, CH2CH2COO in EPA), 1.65–1.58 (m, 2H, CH2CH2COO in SFA), 1.58–1.50 (quintet (br), 2H, J = 6.8 Hz, OCH2CH2), 1.39–1.22 (m, 34H, CH2), 0.97 (t, 3H, J = 7.5 Hz, CH3 in EPA), 0.88 (t, 6H, J = 6.7 Hz, CH3) ppm; 13C NMR (CDCl3) δ 173.15 (β, C=O in SFA), 173.12 (α, C=O in EPA), 132.0, 129.9, 129.8, 128.9 (2), 128.6, 128.3, 128.2 (2), 128.1, 127.9, 127.0, 71.7, 70.0, 69.0, 62.9, 34.3, 33.5, 31.9 (2), 29.8 (2), 29.7, 29.6, 29.5 (2), 29.4 (2), 29.3 (5), 29.1, 27.2 (2), 26.5, 26.0, 25.6 (2), 25.5, 24.9, 24.7, 22.7 (2), 20.6, 14.3, 14.1 (2) ppm; IR (ZnSe) 3012 (s, CH), 2923 (vs, CH), 2854 (s, CH), 1742 (vs, C=O) cm−1; HRMS m/z calcd. for C51H88O5 (M + NH4+) 798.6970, found 798.6940.
3.1.28. Synthesis of 1-O-(Z)-Octadec-9-enyl-2-dodecanoyl-3-eicosapentaenoyl-sn-glycerol (8d)
The same procedure was followed as described for 4a using (R)-1-O-(Z)-octadec-9-enyl-3-eicosapentaenoyl-sn-glycerol 8 (60 mg, 0.096 mmol), dodecanoic acid (21 mg, 0.105 mmol), DMAP (13 mg, 0.107 mmol) and EDAC (27 mg, 0.141 mmol) in 1 mL CH2Cl2. The product 8d (74 mg, 0.091 mmol) was afforded as pale yellow oil, yield 96%. −6.8 (c 0.87, benzene). 1H NMR (400 MHz, CDCl3) δ 5.43–5.28 (m, 12H, =CH), 5.22–5.17 (m, 1H, CH2CHCH2), 4.34 (dd, 1H, J = 11.9 Hz, J = 3.7 Hz, CH2OCO), 4.17 (dd, 1H, J = 11.9 Hz, J = 6.5 Hz, CH2OCO), 3.57–3.50 (2xdd, 2H, J = 10.6 Hz, J = 5.3 Hz, CHCH2O), 3.47–3.38 (2xdt, 2H, J = 9.3 Hz, J = 6.6 Hz, OCH2CH2), 2.87–2.77 (m, 8H, =CCH2C=), 2.32 (2xt, 4H, J = 7.6 Hz, J = 7.5 Hz, CH2COO in EPA and SFA), 2.13–2.04 (m, 4H, =CCH2CH3 and =CCH2CH2), 2.04–1.99 (m, 4H, =CCH2 in selachyl), 1.69 (quinted (br), 2H, J = 7.5 Hz, CH2CH2COO in EPA), 1.65–1.58 (m, 2H, CH2CH2COO in SFA), 1.58–1.50 (quintet (br), 2H, J = 6.8 Hz, OCH2CH2), 1.39–1.22 (m, 38H, CH2), 0.97 (t, 3H, J = 7.5 Hz, CH3 in EPA), 0.88 (t, 6H, J = 6.7 Hz, CH3) ppm; 13C NMR (CDCl3) δ 173.15 (β, C=O in SFA), 173.12 (α, C=O in EPA), 132.0, 129.9, 129.8, 128.9 (2), 128.6, 128.3, 128.2 (2), 128.1, 127.9, 127.0, 71.7, 70.0, 69.0, 62.9, 34.3, 33.5, 31.9 (2), 29.8 (2), 29.7, 29.6 (3), 29.5 (3), 29.4, 29.3 (5), 29.1, 27.2 (2), 26.5, 26.0, 25.6 (2), 25.5, 25.0, 24.7, 22.7 (2), 20.6, 14.3, 14.1 (2) ppm; IR (ZnSe) 3012 (s, CH), 2923 (vs, CH), 2853 (s, CH), 1742 (vs, C=O) cm−1; HRMS m/z calcd. for C53H92O5 (M + H+) 809.7018, found 809.7008.
3.1.29. Synthesis of 1-O-(Z)-Octadec-9-enyl-2-tetradecanoyl-3-eicosapentaenoyl-sn-glycerol (8e)
The same procedure was followed as described for 4a using (R)-1-O-(Z)-octadec-9-enyl-3-eicosapentaenoyl-sn-glycerol 8 (60 mg, 0.096 mmol), tetradecanoic acid (23 mg, 0.101 mmol), DMAP (10 mg, 0.082 mmol) and EDAC (29 mg, 0.150 mmol) in 1 mL CH2Cl2. The product 8e (72 mg, 0.086 mmol) was afforded as pale yellow oil, yield 90%. −6.7 (c 0.90, benzene). 1H NMR (400 MHz, CDCl3) δ 5.43–5.29 (m, 12H, =CH), 5.22–5.17 (m, 1H, CH2CHCH2), 4.34 (dd, 1H, J = 11.9 Hz, J = 3.7 Hz, CH2OCO), 4.17 (dd, 1H, J = 11.9 Hz, J = 6.5 Hz, CH2OCO), 3.57–3.50 (2xdd, 2H, J = 10.6 Hz, J = 5.3 Hz, CHCH2O), 3.47–3.38 (2xdt, 2H, J = 9.3 Hz, J = 6.6 Hz, OCH2CH2), 2.88–2.77 (m, 8H, =CCH2C=), 2.31 (2xt, 4H, J = 7.6 Hz, J = 7.5 Hz, CH2COO in EPA and SFA), 2.13–2.04 (m, 4H, =CCH2CH3 and =CCH2CH2), 2.04–1.99 (m, 4H, =CCH2 in selachyl), 1.69 (quintet (br), 2H, J = 7.5 Hz, CH2CH2COO in EPA), 1.65–1.58 (m, 2H, CH2CH2COO in SFA), 1.58–1.50 (quintet (br), 2H, J = 6.8 Hz, OCH2CH2), 1.39–1.22 (m, 42H, CH2), 0.97 (t, 3H, J = 7.5 Hz, CH3 in EPA), 0.88 (t, 6H, J = 6.8 Hz, CH3) ppm (Supplementary Information, Figure S18); 13C NMR (CDCl3) δ 173.15 (β, C=O in SFA), 173.12 (α, C=O in EPA), 132.0, 129.9, 129.8, 128.9 (2), 128.6, 128.3, 128.2 (2), 128.1, 127.9, 127.0, 71.7, 70.0, 69.0, 62.9, 34.3, 33.5, 31.9 (2), 29.8 (2), 29.7 (3), 29.6 (2), 29.5 (3), 29.4 (2), 29.3 (5), 29.1, 27.2 (2), 26.5, 26.0, 25.6 (2), 25.5, 25.0, 24.7, 22.7 (2), 20.6, 14.3, 14.1 (2) ppm (Supplementary Information, Figure S19); IR (ZnSe) 3012 (s, CH), 2922 (vs, CH), 2853 (s, CH), 1742 (vs, C=O) cm−1; HRMS m/z calcd. for C55H96O5 (M + NH4+) 854.7596, found 854.7611.
3.1.30. Synthesis of 1-O-(Z)-Octadec-9-enyl-2-hexadecanoyl-3-eicosapentaenoyl-sn-glycerol (8f)
The same procedure was followed as described for 4a using (R)-1-O-(Z)-octadec-9-enyl-3-eicosapentaenoyl-sn-glycerol 8 (70 mg, 0.112 mmol), hexadecanoic acid (31 mg, 0.121 mmol), DMAP (13 mg, 0.107 mmol) and EDAC (33 mg, 0.172 mmol) in 1 mL CH2Cl2. The product 8f (83 mg, 0.095 mmol) was afforded as pale yellow oil, yield 86%. −6.7 (c 0.86, benzene). 1H NMR (400 MHz, CDCl3) δ 5.43–5.28 (m, 12H, =CH), 5.22–5.17 (m, 1H, CH2CHCH2), 4.34 (dd, 1H, J = 11.9 Hz, J = 3.7 Hz, CH2OCO), 4.17 (dd, 1H, J = 11.9 Hz, J = 6.5 Hz, CH2OCO), 3.57–3.50 (2xdd, 2H, J = 10.6 Hz, J = 5.3 Hz, CHCH2O), 3.47–3.37 (2xdt, 2H, J = 9.3 Hz, J = 6.6 Hz, OCH2CH2), 2.88–2.77 (m, 8H, =CCH2C=), 2.31 (2xt, 4H, J = 7.6 Hz, J = 7.5 Hz, CH2COO in EPA and SFA), 2.13–2.04 (m, 4H, =CCH2CH3 and =CCH2CH2), 2.04–1.99 (m, 4H, =CCH2 in selachyl), 1.69 (quintet (br), 2H, J = 7.5 Hz, CH2CH2COO in EPA), 1.65–1.58 (m, 2H, CH2CH2COO in SFA), 1.58–1.50 (quintet (br), 2H, J = 6.8 Hz, OCH2CH2), 1.38–1.20 (m, 46H, CH2), 0.97 (t, 3H, J = 7.5 Hz, CH3 in EPA), 0.88 (t, 6H, J = 6.8 Hz, CH3) ppm; 13C NMR (CDCl3) δ 173.15 (β, C=O in SFA), 173.12 (α, C=O in EPA), 132.0, 129.9, 129.8, 128.9 (2), 128.6, 128.3, 128.2 (2), 128.1, 127.9, 127.0, 71.7, 70.0, 69.0, 62.9, 34.3, 33.5, 31.9 (2), 29.8 (2), 29.7 (6), 29.6 (2), 29.5 (3), 29.4 (2), 29.3 (4), 29.1, 27.2 (2), 26.5, 26.0, 25.6 (2), 25.5, 25.0, 24.7, 22.7 (2), 20.6, 14.3, 14.1 (2) ppm; IR (ZnSe) 3012 (s, CH), 2922 (vs, CH), 2853 (s, CH), 1742 (vs, C=O) cm−1; HRMS m/z calcd. for C57H100O5 (M + NH4+) 882.7909, found 882.7901.
3.1.31. Synthesis of 1-O-(Z)-Octadec-9-enyl-2-hexanoyl-3-docosahexaenoyl-sn-glycerol (9a)
The same procedure was followed as described for 4a using (R)-1-O-(Z)-octadec-9-enyl-3-docosahexaenoyl-sn-glycerol 9 (99 mg, 0.152 mmol), hexanoic acid (20 mg, 0.172 mmol), DMAP (20 mg, 0.164 mmol) and EDAC (41 mg, 0.214 mmol) in 1 mL CH2Cl2. The product 9a (105 mg, 0.140 mmol) was afforded as colorless oil, yield 92%. −8.3 (c 0.83, benzene). 1H NMR (400 MHz, CDCl3) δ 5.43–5.28 (m, 14H, =CH), 5.22–5.17 (m, 1H, CH2CHCH2), 4.35 (dd, 1H, J = 11.9 Hz, J = 3.7 Hz, CH2OCO), 4.17 (dd, 1H, J = 11.9 Hz, J = 6.5 Hz, CH2OCO), 3.57–3.50 (2xdd, 2H, J = 10.6, Hz J = 5.3 Hz, CHCH2O), 3.47–3.37 (2xdt, 2H, J = 9.3 Hz, J = 6.6 Hz, OCH2CH2), 2.88–2.79 (m, 10H, =CCH2C=), 2.39–2.35 (m, 4H, CH2CH2COO in DHA), 2.32 (t, 2H, J = 7.5 Hz, CH2COO in SFA), 2.11–2.04 (m, 2H, =CCH2CH3), 2.03–1.98 (m, 4H, =CCH2 in selachyl), 1.66–1.60 (m, 2H, CH2CH2COO in SFA), 1.60–1.50 (m, 2H, OCH2CH2), 1.34–1.23 (m, 26H, CH2), 0.97 (t, 3H, J = 7.5 Hz, CH3 in DHA), 0.89 (t, 3H, J = 6.9 Hz, CH3 in SFA), 0.88 (t, 3H, J = 7.0 Hz, CH3 in ether) ppm; 13C NMR (CDCl3) δ 173.12 (β, C=O in SFA), 172.68 (α, C=O in DHA), 132.0, 129.9, 129.8, 129.3, 128.6, 128.3 (2), 128.2, 128.1 (2), 128.0, 127.9, 127.8, 127.0, 71.8, 70.0, 69.0, 63.0, 34.3, 34.0, 31.9, 31.2, 30.9, 29.8 (2), 29.6, 29.5 (2), 29.4, 29.3 (3), 27.2 (2), 26.0, 25.6 (3), 25.5, 24.6, 24.6, 22.7, 22.3, 20.6, 14.3, 14.1, 13.9 ppm; IR (ZnSe) 3012 (s, CH), 2924 (vs, CH), 2854 (s, CH), 1741 (vs, C=O) cm−1; HRMS m/z calcd. for C49H82O5 (M + NH4+) 768.6501, found 768.6513.
3.1.32. Synthesis of 1-O-(Z)-Octadec-9-enyl-2-octanoyl-3-docosahexaenoyl-sn-glycerol (9b)
The same procedure was followed as described for 4a using (R)-1-O-(Z)-octadec-9-enyl-3-docosahexaenoyl-sn-glycerol 9 (92 mg, 0.141 mmol), octanoic acid (26 mg, 0.180 mmol), DMAP (17 mg, 0.139 mmol) and EDAC (39 mg, 0.203 mmol) in 1 mL CH2Cl2. The product 9b (98 mg, 0.126 mmol) was afforded as colorless oil, yield 89%. −7.3 (c 0.84, benzene). 1H NMR (400 MHz, CDCl3) δ 5.43–5.28 (m, 14H, =CH), 5.22–5.17 (m, 1H, CH2CHCH2), 4.35 (dd, 1H, J = 11.9 Hz, J = 3.7 Hz, CH2OCO), 4.17 (dd, 1H, J = 11.9 Hz, J = 6.5 Hz, CH2OCO), 3.57–3.50 (2xdd, 2H, J = 10.6 Hz, J = 5.3 Hz, CHCH2O), 3.47–3.37 (2xdt, 2H, J = 9.3 Hz, J = 6.6 Hz, OCH2CH2), 2.88–2.80 (m, 10H, =CCH2C=), 2.39–2.35 (m, 4H, CH2CH2COO in DHA), 2.32 (t, 2H, J = 7.5 Hz, CH2COO in SFA), 2.11–2.03 (m, 2H, =CCH2CH3), 2.03–1.98 (m, 4H, =CCH2 in selachyl), 1.65–1.58 (m, 2H, CH2CH2COO in SFA), 1.58–1.50 (m, 2H, OCH2CH2), 1.38–1.21 (m, 30H, CH2), 0.97 (t, 3H, J = 7.5 Hz, CH3 in DHA), 0.88 (t, 6H, J = 6.7 Hz, CH3 ppm; 13C NMR (CDCl3) δ 173.12 (β, C=O in SFA), 172.68 (α, C=O in DHA), 132.0, 129.9, 129.8, 129.3, 128.6, 128.3 (2), 128.2, 128.1 (2), 128.0, 127.9, 127.8, 127.0, 71.8, 70.0, 69.0, 63.0, 34.3, 34.0, 31.9, 31.7, 30.9, 29.8 (2), 29.6, 29.5 (2), 29.4, 29.3 (3), 29.0, 28.9, 27.2 (2), 26.0, 25.6 (3), 25.5, 25.0, 22.7 (2), 22.6, 20.6, 14.3, 14.1 (2) ppm; IR (ZnSe) 3013 (s, CH), 2924 (vs, CH), 2854 (s, CH), 1742 (vs, C=O) cm−1; HRMS m/z calcd. for C51H86O5 (M + H+) 779.6548, found 779.6550.
3.1.33. Synthesis of 1-O-(Z)-Octadec-9-enyl-2-decanoyl-3-docosahexaenoyl-sn-glycerol (9c)
The same procedure was followed as described for 4a using (R)-1-O-(Z)-octadec-9-enyl-3-docosahexaenoyl-sn-glycerol 9 (106 mg, 0.162 mmol), decanoic acid (32 mg, 0.186 mmol), DMAP (23 mg, 0.188 mmol) and EDAC (47 mg, 0.245 mmol) in 1 mL CH2Cl2. The product 9c (120 mg, 0.149 mmol) was afforded as colorless oil, yield 92%. −7.7 (c 0.88, benzene). 1H NMR (400 MHz, CDCl3) δ 5.43–5.28 (m, 14H, =CH), 5.22–5.17 (m, 1H, CH2CHCH2), 4.35 (dd, 1H, J = 11.9 Hz, J = 3.7 Hz, CH2OCO), 4.17 (dd, 1H, J = 11.9 Hz, J = 6.5 Hz, CH2OCO), 3.57–3.50 (2xdd, 2H, J = 10.6 Hz, J = 5.3 Hz, CHCH2O), 3.47–3.37 (2xdt, 2H, J = 9.3 Hz, J = 6.6 Hz, OCH2CH2), 2.88–2.80 (m, 10H, =CCH2C=), 2.41–2.35 (m, 4H, CH2CH2COO in DHA), 2.32 (t, 2H, J = 7.5 Hz, CH2COO in SFA), 2.11–2.03 (m, 2H, =CCH2CH3), 2.03–1.98 (m, 4H, =CCH2 in selachyl), 1.65–1.58 (m, 2H, CH2CH2COO in SFA), 1.58–1.50 (m, 2H, OCH2CH2), 1.39–1.21 (m, 34H, CH2), 0.97 (t, 3H, J = 7.5 Hz, CH3 in DHA), 0.88 (t, 6H, J = 6.8 Hz, CH3) ppm; 13C NMR (CDCl3) δ 173.12 (β, C=O in SFA), 172.68 (α, C=O in DHA), 132.0, 129.9, 129.8, 129.3, 128.6, 128.3 (2), 128.2, 128.1 (2), 128.0, 127.9, 127.8, 127.0, 71.8, 70.0, 69.0, 63.0, 34.3, 34.0, 31.9 (2), 30.9, 29.8 (2), 29.6, 29.5 (2), 29.4 (2), 29.3 (5), 29.1, 27.2 (2), 26.0, 25.6 (3), 25.5, 25.0, 22.7 (3), 20.6, 14.3, 14.1 (2) ppm; IR (ZnSe) 3013 (s, CH), 2923 (vs, CH), 2854 (s, CH), 1742 (vs, C=O) cm−1; HRMS m/z calcd. for C53H90O5 (M + NH4+) 824.7127, found 824.7128.
3.1.34. Synthesis of 1-O-(Z)-Octadec-9-enyl-2-dodecanoyl-3-docosahexaenoyl-sn-glycerol (9d)
The same procedure was followed as described for 4a using (R)-1-O-(Z)-octadec-9-enyl-3-docosahexaenoyl-sn-glycerol 9 (55 mg, 0.084 mmol), dodecanoic acid (18 mg, 0.090 mmol), DMAP (11 mg, 0.090 mmol) and EDAC (23 mg, 0.120 mmol) in 1 mL CH2Cl2. The product 9d (64 mg, 0.077 mmol) was afforded as pale yellow oil, yield 91%. −7.6 (c 1.0, benzene). 1H NMR (400 MHz, CDCl3) δ 5.43–5.28 (m, 14H, =CH), 5.22–5.17 (m, 1H, CH2CHCH2), 4.35 (dd, 1H, J = 11.9 Hz, J = 3.7 Hz, CH2OCO), 4.17 (dd, 1H, J = 11.9 Hz, J = 6.5 Hz, CH2OCO), 3.57–3.50 (2xdd, 2H, J = 10.6 Hz, J = 5.3 Hz, CHCH2O), 3.47–3.37 (2xdt, 2H, J = 9.3 Hz, J = 6.6 Hz, OCH2CH2), 2.88–2.79 (m, 10H, =CCH2C=), 2.39–2.35 (m, 4H, CH2CH2COO in DHA), 2.32 (t, 2H, J = 7.5 Hz, CH2COO in SFA), 2.11–2.03 (m, 2H, CCH2CH3), 2.03–1.98 (m, 4H, =CCH2 in selachyl), 1.65–1.57 (m, 2H, CH2CH2COO in SFA), 1.57–1.50 (m, 2H, OCH2CH2), 1.38–1.22 (m, 36H, CH2), 0.97 (t, 3H, J = 7.5 Hz, CH3 in DHA), 0.88 (t, 6H, J = 6.8 Hz, CH3) ppm; 13C NMR (CDCl3) δ 173.13 (β, C=O in SFA), 172.68 (α, C=O in DHA), 132.0, 129.9, 129.8, 129.3, 128.6, 128.3 (2), 128.2, 128.1 (2), 128.0, 127.9, 127.8, 127.0, 71.8, 70.0, 69.0, 63.0, 34.3, 34.0, 31.9 (2), 30.9, 29.8 (2), 29.6 (3), 29.5 (3), 29.4, 29.3 (5), 29.1, 27.2 (2), 26.0, 25.6 (3), 25.5, 25.0, 22.7 (3), 20.6, 14.3, 14.1 (2) ppm; IR (ZnSe) 3013 (s, CH), 2923 (vs, CH), 2853 (s, CH), 1742 (vs, C=O) cm−1; HRMS m/z calcd. for C55H94O5 (M + H+) 835.7174, found 835.7161.
3.1.35. Synthesis of 1-O-(Z)-Octadec-9-enyl-2-tetradecanoyl-3-docosahexaenoyl-sn-glycerol (9e)
The same procedure was followed as described for 4a using (R)-1-O-(Z)-octadec-9-enyl-3-docosahexaenoyl-sn-glycerol 9 (55 mg, 0.084 mmol), tetradecanoic acid (20 mg, 0.088 mmol), DMAP (7 mg, 0.059 mmol) and EDAC (27 mg, 0.141 mmol) in 1 mL CH2Cl2. The product 9e (67 mg, 0.078 mmol) was afforded as pale yellow oil, yield 92%. −8.0 (c 0.96, benzene). 1H NMR (400 MHz, CDCl3): δ 5.43–5.28 (m, 14H, =CH), 5.22–5.17 (m, 1H, CH2CHCH2), 4.35 (dd, 1H, J = 11.9 Hz, J = 3.7 Hz, CH2OCO), 4.17 (dd, 1H, J = 11.9 Hz, J = 6.5 Hz, CH2OCO), 3.57–3.50 (2xdd, 2H, J = 10.6 Hz, J = 5.3 Hz, CHCH2O), 3.47–3.37 (2xdt, 2H, J = 9.3 Hz, J = 6.6 Hz, OCH2CH2), 2.88–2.80 (m, 10H, =CCH2C=), 2.39–2.35 (m, 4H, CH2CH2COO in DHA), 2.32 (t, 2H, J = 7.5 Hz, CH2COO in SFA), 2.11–2.03 (m, 2H, =CCH2CH3), 2.03–1.98 (m, 4H, =CCH2 in selachyl), 1.65–1.56 (m, 2H, CH2CH2COO in SFA), 1.56–1.50 (m, 2H, OCH2CH2), 1.38–1.20 (m, 40H, CH2), 0.97 (t, 3H, J = 7.5 Hz, CH3 in DHA), 0.88 (t, 6H, J = 6.8 Hz, CH3) ppm; 13C NMR (CDCl3) δ 173.13 (β, C=O in SFA), 172.68 (α, C=O in DHA), 132.0, 129.9, 129.8, 129.3, 128.6, 128.3 (2), 128.2, 128.1 (2), 128.0, 127.9, 127.8, 127.0, 71.8, 70.0, 69.0, 63.0, 34.3, 34.0, 31.9 (2), 29.8 (2), 29.7 (4), 29.6 (2), 29.5 (3), 29.4 (2), 29.3 (4), 29.1, 27.2 (2), 26.0, 25.6 (3), 25.5, 25.0, 22.7 (3), 20.6, 14.3, 14.1 (2) ppm; IR (ZnSe) 3013 (s, CH), 2923 (vs, CH), 2853 (s, CH), 1742 (vs, C=O) cm−1; HRMS m/z calcd. for C57H98O5 (M + H+) 863.7487, found 863.7490.
3.1.36. Synthesis of 1-O-(Z)-Octadec-9-enyl-2-hexadecanoyl-3-docosahexaenoyl-sn-glycerol (9f)
The same procedure was followed as described for 4a using (R)-1-O-(Z)-octadec-9-enyl-3-docosahexaenoyl-sn-glycerol 9 (61 mg, 0.093 mmol), hexadecanoic acid (27 mg, 0.105 mmol), DMAP (10 mg, 0.082 mmol) and EDAC (25 mg, 0.130 mmol) in 1 mL CH2Cl2. The product 9f (74 mg, 0.083 mmol) was afforded as pale yellow oil, yield 89%. −7.1 (c 0.89, benzene). 1H NMR (400 MHz, CDCl3) δ 5.43–5.28 (m, 14H, =CH), 5.22–5.17 (m, 1H, CH2CHCH2), 4.35 (dd, 1H, J = 11.9 Hz, J = 3.7 Hz, CH2OCO), 4.17 (dd, 1H, J = 11.9 Hz, J = 6.5 Hz, CH2OCO), 3.57–3.50 (2xdd, 2H, J = 10.6 Hz, J = 5.3 Hz, CHCH2O), 3.47–3.37 (2xdt, 2H, J = 9.3 Hz, J = 6.6 Hz, OCH2CH2), 2.88–2.80 (m, 10H, =CCH2C=), 2.41–2.35 (m, 4H, CH2CH2COO in DHA), 2.32 (t, 2H, J = 7.5 Hz, CH2COO in SFA), 2.11–2.03 (m, 2H, =CCH2CH3), 2.03–1.99 (m, 4H, =CCH2 in selachyl), 1.65–1.58 (m, 2H, CH2CH2COO in SFA), 1.58–1.50 (m, 2H, OCH2CH2), 1.40–1.20 (m, 44H, CH2), 0.97 (t, 3H, J = 7.5 Hz, CH3 in DHA), 0.88 (t, 6H, J = 6.8 Hz, CH3) ppm (Supplementary Information, Figure S20); 13C NMR (CDCl3) δ 173.12 (β, C=O in SFA), 172.68 (α, C=O in DHA), 132.0, 129.9, 129.8, 129.3, 128.6, 128.3 (2), 128.2, 128.1 (2), 128.0, 127.9, 127.8, 127.0, 71.8, 70.0, 69.0, 63.0, 34.3, 34.0, 31.9 (2), 30.9, 29.8 (2), 29.7 (4), 29.6 (2), 29.5 (3), 29.4 (2), 29.3 (4), 29.1, 27.2 (2), 26.0, 25.6 (4), 25.5, 25.0, 22.7 (3), 20.6, 14.3, 14.1 (2) ppm (Supplementary Information, Figure S21); IR (ZnSe) 3013 (s, CH), 2923 (vs, CH), 2853 (s, CH), 1743 (vs, C=O) cm−1; HRMS m/z calcd. for C59H102O5 (M + NH4+) 908.8066, found 908.8088.
4. Conclusions
A focused library of 36 enantiopure reversed structured AML type DAGEs has been prepared highly efficiently by a two-step chemoenzymatic process starting from enantiopure chimyl, batyl and selachyl alcohols. The DAGEs constitute a pure EPA or DHA at the sn-3 position of their glycerol backbone and a pure saturated even carbon number fatty acid (C6:0–C16:0) at the sn-2 position. In a previous work, EPA and DHA activated as acetoxime esters were introduced exclusively to the terminal sn-3 position of the 1-O-alkyl-sn-glycerols to accomplish the 3-MAGE intermediates enantio- and regiopure in excellent yields of high chemical purity. No detrimental acyl-migration side reaction was observed to take place as a result of the mild conditions offered by the lipase. In the current work, the saturated fatty acids were introduced to the remaining sn-2 position in very high to excellent yields by aid of EDAC as a chemical coupling agent in the presence of DMAP serving as a base and catalyst during which no deterioration of the excellent regiocontrol was observed. This focused library adds to a similar library of 48 enantiopure normal structured ALM type DAGEs possessing EPA or DHA at the sn-2 position and saturated even number fatty acids (C2–C16:0) located at the sn-3 position of the glycerol moiety. The total number of ether lipid constituents amounts to 84 DAGE and 42 intermediate 3-MAGE compounds with the entire ether lipid library counting the total of 126 compounds.
This combined library of ether lipids offers multiple possibilities of applications as chemical standards for various analytical purposes, fine chemicals, offering lots of possibilities in screening for various bioactivities where bioactive n-3 PUFAs and ether lipids have been combined in a single molecule. They may also find use as drug carriers, prodrugs and even potent drugs. There are also lots of possibilities involved in attaching a potent drug component to the sn-2 of sn-3 positions of the glycerol framework in combination with EPA or DHA within the same molecule. The utility of such interesting prodrugs needs further investigation but it is anticipated that the therapeutic value of the active drug may be increased.
Supplementary Files
Supplementary File 1Acknowledgments
The Icelandic Research Fund and Lysi Ltd. in Iceland are acknowledged for financial support. Adalheidur Dora Albertsdottir at University of Iceland is acknowledged for HRMS measurements.
Author Contributions
Conceived and designed the experiments: GGH, CDM. Performed the experiments: AVG, CDM, KAH. Analyzed the data: GGH, CDM, AVG, KAH. Wrote the paper: GGH, AVG, CDM.
Conflicts of Interest
The authors declare no conflict of interest.
References
- Ether Lipids. Biochemical and Biomedical Aspects; Mangold, H.K.; Palthauf, F. (Eds.) Academic: New York, NY, USA, 1983; p. 439.
- Kayama, M.; Mankura, M. Natural oleochemicals in marine fishes. Inform 1998, 9, 794–799. [Google Scholar]
- Magnusson, C.D.; Haraldsson, G.G. Ether lipids. Chem. Phys. Lipids 2011, 164, 315–340. [Google Scholar] [CrossRef] [PubMed]
- Benveniste, J.; Vargaftig, B.B. Platelet-activating factor: An ether lipid with biological activity. In Ether Lipids. Biochemical and Biomedical Aspects; Mangold, H.K., Palthauf, F., Eds.; Academic: New York, NY, USA, 1983; Chapter 18; pp. 356–373. [Google Scholar]
- Mangold, H.K.; Weber, N. Biosynthesis and biotransformation of ether lipids. Lipids 1987, 22, 789–799. [Google Scholar] [CrossRef] [PubMed]
- Iannitti, T.; Palmieri, B. An update on the therapeutic role of alkylglycerols. Mar. Drugs 2010, 8, 2267–2300. [Google Scholar] [CrossRef] [PubMed]
- Deniau, A.L.; Mosset, P.; Pedrono, F.; Mitre, R.; Le Bot, D.; Legrand, A.B. Multiple beneficial effects of natural alkylglycerols from shark liver oil. Mar. Drugs 2010, 8, 2175–2184. [Google Scholar] [CrossRef] [PubMed]
- Homan, E.A.; Kim, Y.-G.; Cardia, J.P.; Saghatelian, A. Monoalkylglycerol ether lipids promote adipogenesis. J. Am. Chem. Soc. 2011, 133, 5178–5181. [Google Scholar] [CrossRef] [PubMed]
- Yanes, O.; Clark, J.; Wong, D.M.; Patti, G.J.; Sanchez-Ruiz, A.; Benton, H.P.; Trauger, S.A.; Desponts, C.; Ding, S.; Siuzdak, G. Metabolic oxidation regulates embryonic stem cell differentiation. Nat. Chem. Biol. 2010, 6, 411–417. [Google Scholar] [CrossRef] [PubMed]
- Gopinath, D.; Ravi, D.; Rao, B.R.; Apte, S.S.; Rambhau, D. 1-O-alkylglycerol vesicles (Algosomes): Their formation and characterization. Int. J. Pharm. 2002, 246, 187–197. [Google Scholar] [CrossRef] [PubMed]
- Hammond, J.L.; Koontz, D.L.; Bazmi, H.Z.; Beadle, J.R.; Hostetler, S.E.; Kini, G.D.; Aldern, K.A.; Richman, D.D.; Hostetler, K.Y.; Mellors, J.W. Alkylglycerol prodrugs of phosphonoformate are potent in vitro inhibitors of nucleoside-resistant human immunodeficiency virus type 1 and select for resistance mutations that suppress zidovudine resistance. Antimicrob. Agents Chemother. 2001, 45, 1621–1628. [Google Scholar] [CrossRef] [PubMed]
- Hjaltason, B.; Haraldsson, G.G. Fish oils and lipids from marine sources. In Modifying Lipids for Use in Food; Gunstone, F.D., Ed.; Woodhead Publishing Ltd.: Cambridge, UK, 2006; Chapter 4; pp. 56–79. [Google Scholar]
- Haraldsson, G.G.; Hjaltason, B. Fish oils as sources of important polyunsaturated fatty acids. In Structured and Modified Lipids; Gunstone, F.D., Ed.; Marcel Decker: New York, NY, USA, 2001; Chapter 12; pp. 313–350. [Google Scholar]
- Harris, W.S.; Kris-Etherton, P.M.; Harris, K.A. Intakes of long-chain omega-3 fatty acid associated with reduced risk for death from coronary heart disease in healthy adults. Curr. Atheroscler. Rep. 2008, 10, 503–509. [Google Scholar] [CrossRef] [PubMed]
- Holub, D.J.; Holub, B.J. Omega-3 fatty acids from fish oils and cardiovascular disease. Mol. Cell. Biochem. 2004, 263, 217–225. [Google Scholar] [CrossRef] [PubMed]
- Calder, P.C. The role of marine omega-3 (n-3) fatty acids in inflammatory processes, atheroschlerosis and plaque stability. Mol. Nutr. Food Res. 2012, 56, 1073–1080. [Google Scholar] [CrossRef] [PubMed]
- Weylandt, K.H.; Chiu, C.-Y.; Gomolka, B.; Waechter, S.F.; Wiedenmann, B. Omega-3 fatty acids and their lipid mediators: Towards an understanding of resolvin and protectin formation. Prostaglandins Other Lipid Mediat 2012, 97, 73–82. [Google Scholar] [CrossRef] [PubMed]
- Schwab, J.M.; Chiang, N.; Arita, M.; Serhan, C.N. Resolvin E1 and protectin D1 activate inflammation-resolution programmes. Nature 2007, 447, 869–874. [Google Scholar] [CrossRef] [PubMed]
- Serhan, C.N.; Petasis, N.A. Resolvins and protectins in inflammation resolution. Chem. Rev. 2012, 111, 5922–5943. [Google Scholar] [CrossRef]
- Serhan, C.N.; Yang, R.; Martinod, K.; Kasuga, K.; Pillai, P.S.; Porter, T.F.; Oh, S.F.; Spite, M. Maresins: Novel macrophage mediators with potent antiinflammatory and proreseolving actions. J. Exp. Med. 2009, 206, 15–23. [Google Scholar] [CrossRef] [PubMed]
- Morita, M.; Kuba, K.; Ichikawa, A.; Nakayama, M.; Katahira, J.; Iwamoto, R.; Watanabe, T.; Sakabe, S.; Daidoji, T.; Nakamura, S.; et al. The lipid mediator protectin D1 inhibits influenza virus repliaction and improves severe influenza. Cell 2013, 153, 1–14. [Google Scholar] [CrossRef]
- Calder, P.C. Omega-3 polyunsaturated fatty acids and inflammatory processes: Nutrition or pharmacology? Br. J. Clin. Pharmacol. 2012, 75, 645–662. [Google Scholar]
- Hoy, S.M.; Keating, G.M. Omega-3 ethylester concentrate: A review of its use in secondary prevention post-myocardial infarction and the treatment of hypertriglyceridaemia. Drugs 2009, 69, 1077–1105. [Google Scholar] [CrossRef] [PubMed]
- Jacobson, T.A.; Glickstein, S.B.; Rowe, J.D.; Soni, P.N. Effects of eicosapentaenoic acid and docosahexaenoic acid on low-density lipoprotein cholesterol and other lipids: A review. J. Clin. Lipidol. 2012, 6, 5–18. [Google Scholar] [CrossRef] [PubMed]
- Tatsuno, I.; Saito, Y.; Kudou, K.; Ootake, J. Efficacy and safety of TAK-085 compared with eicosapentaenoic acid in Japanese subjects with hypertriglyceridemia undergoing lifestyle modification: The omega-3 fatty acids randomized long-term (ORL) study. J. Clin. Lipidol. 2013, 7, 199–207. [Google Scholar] [CrossRef] [PubMed]
- Tatsuno, I.; Saito, Y.; Kudou, K.; Ootake, J. Long-term safety and efficacy of TAK-085 in Japanese subjects with hypertriglyceridemia undergoing lifestyle modification: The omega-3 fatty acids randomized double-blind (ORL) study. J. Clin. Lipidol. 2013, 7, 615–625. [Google Scholar] [CrossRef] [PubMed]
- Bays, H.E.; Braeckman, R.A.; Ballantyne, C.M.; Kastelein, J.J.; Otvos, J.D.; Stirtan, W.G.; Soni, P.N. Icosapent ethyl, a pure EPA omega-3 fatty acid: Effects on lipoprotein particle concentration and size in patients with very high triglyceride levels (the MARINE study). J. Clin. Lipidol. 2012, 6, 565–572. [Google Scholar] [CrossRef] [PubMed]
- Gunstone, F.D. Structured and Modified Lipids; Marcel Decker: New York, NY, USA, 2001; p. 547. [Google Scholar]
- Christensen, M.S.; Hoy, C.E. Effects of dietary triacylglycerol structure on triacylglycerols of resultant chylomicrons from fish oil- and seal oil-fed rats. Lipids 1996, 31, 341–344. [Google Scholar] [CrossRef] [PubMed]
- Iwasaki, Y.; Yamane, T. Enzymatic synthesis of structured lipids. J. Mol. Catal. B Enzym. 2000, 10, 129–140. [Google Scholar] [CrossRef]
- Takano, S.; Kondoh, Y. Triglyceride analysis by combined argentation/nonaqu-eous reversed phase high performance liquid chromatography. J. Am. Oil Chem. Soc. 1987, 64, 380–383. [Google Scholar] [CrossRef]
- Innis, S.M. Dietary Triacylglycerol structure and its role in infant nutrition. Adv. Nutr. 2011, 2, 275–283. [Google Scholar] [CrossRef] [PubMed]
- Christie, W.W. The positional distribution of fatty acids in triglycerides. In The Analysis of Oils and Fats; Hamilton, R.J., Rossell, J.B., Eds.; Elsevier Applied Science: London, UK, 1986; Chapter 7; pp. 313–339. [Google Scholar]
- Lísa, M.; Holčapek, M. Characterization of triacylglycerol enantiomers using chiral HPLC/APCI-MS and synthesis of enantiomeric triacylglycerols. Anal. Chem. 2013, 85, 1852–1859. [Google Scholar] [CrossRef] [PubMed]
- Dubey, P.; Jayasooriya, A.P.; Cheema, S.K. Diets enriched in fish-oil or seal-oil have distinct effects on lipid levels and peroxidation in BioF1B hamsters. Nutr. Metab. Insights 2011, 4, 7–17. [Google Scholar] [PubMed]
- Ackman, R.G.; Ratnayake, W.M.N. Fish oils, seal oils, esters and acids—Are all forms of omega-3 intake equal? In Health Effects of Fish and Fish Oils; Chandra, R.K., Ed.; ARTS Biomedical Publishers: St. John’s, Newfoundland, Canada, 1989; pp. 373–393. [Google Scholar]
- Ackman, R.G. Some possible effects on lipid biochemistry of differences in the distribution on glycerol of long-chain n-3 fatty acids in the fats of marine fish and marine mammals. Atherosclerosis 1988, 70, 171–173. [Google Scholar] [CrossRef] [PubMed]
- Halldorsson, A.; Magnusson, C.D.; Haraldsson, G.G. Chemoenzymatic synthesis of structured triacylglycerols by highly regioselective acylation. Tetrahedron 2003, 59, 9101–9109. [Google Scholar] [CrossRef]
- Magnusson, C.D.; Haraldsson, G.G. Chemoenzymatic synthesis of symmetrically structured triacylglycerols possessing short-chain fatty acids. Tetrahedron 2010, 66, 2728–2731. [Google Scholar] [CrossRef]
- Magnusson, C.D.; Gudmundsdottir, A.V.; Haraldsson, G.G. Chemoenzymatic synthesis of a focused library of enantiopure structured 1-O-alkyl-2,3-diacyl-sn-glycerol type ether lipids. Tetrahedron 2011, 67, 1821–1836. [Google Scholar] [CrossRef]
- Magnusson, C.D.; Haraldsson, G.G. Activation of n-3 polyunsaturated fatty acids as oxime esters: a novel approach for their exclusive incorporation into the primary alcoholic positions of the glycerol moiety by lipase. Chem. Phys. Lipids 2012, 165, 712–720. [Google Scholar] [CrossRef] [PubMed]
- Laszlo, J.A.; Compton, D.L.; Vermillion, K.E. Acyl migration kinetics of vegetable oil 1,2-diacylglycerols. J. Am. Oil Chem. Soc. 2008, 85, 307–312. [Google Scholar] [CrossRef]
- Compton, D.L.; Vermillion, K.E.; Laszlo, J.A. Acyl migration kinetics of 2-monoacylglycerols from soybean oil via H-1 NMR. J. Am. Oil Chem. Soc. 2007, 84, 343–348. [Google Scholar] [CrossRef]
- Macchia, A.; Romero, M.; D’Ettorre, A.; Tognoni, G.; Mariani, J. Exploratory analysis on the use of statins with or without n-3 PUFA and major events in patients discharged for acute myocardial infarction: An observational retrospective study. PLoS One 2013, 8, e62772. [Google Scholar] [CrossRef] [PubMed]
- Ojima, I.; Zuniga, E.S.; Berger, W.T.; Seitz, J.D. Tumor-targeting drug delivery of new-generation taxoids. Future Med. Chem. 2012, 4, 33–50. [Google Scholar] [CrossRef] [PubMed]
- Duclos, R.I., Jr.; Johnston, M.; Vadivel, S.K.; Makriyannis, A.; Glaser, S.T.; Gatley, S.J. A methodology for radiolabeling of the endocannabinoid 2-arachidonoylglycerol (2-AG). J. Org. Chem. 2011, 76, 2049–2055. [Google Scholar] [CrossRef] [PubMed]
© 2015 by the authors; licensee MDPI, Basel, Switzerland. This article is an open access article distributed under the terms and conditions of the Creative Commons Attribution license (http://creativecommons.org/licenses/by/4.0/).