Abstract
(3R)-Gobiusxanthin stereoisomers (1a–d) were synthesized by stereoselective Wittig reaction of the (3R)-C15-acetylenic tri-n-butylphosphonium salt 7 with C25-apocarotenal stereoisomers 5a,b and 14a,b bearing four kinds of 3,6-dihydroxy-ε-end groups. The validity of the reported stereochemistry of gobiusxanthin was demonstrated by the fact that the reported spectral data of natural gobiusxanthin were in agreement with those of synthetic (3R,3'S,6'R)-gobiusxanthin (1a). On the other hand, the reported CD spectral data of natural epigobiusxanthin, which has been assigned as (3R,3'R,6'R)-isomer (3'-epigobiusxanthin), were identical with those of synthetic (3R,3'S,6'S)-isomer 1d (6'-epigobiusxanthin) rather than those of the corresponding synthetic 3'-epi-isomer 1b. It was found that the stereochemistry at C3-position has little effect on the shape of their CD spectra. Thus, in order to reinforce the validity of the absolute configurations at C3-position of natural specimens, (3S,3'S,6'R)- and (3S,3'S,6'S)-stereoisomers 1e and 1f were also synthesized and a HPLC analytical method for four stereoisomers was established by using a column carrying a chiral stationary phase. The HPLC analysis has proven that the stereochemistry of the natural epigobiusxanthin is 3R,3'S,6'S.
1. Introduction
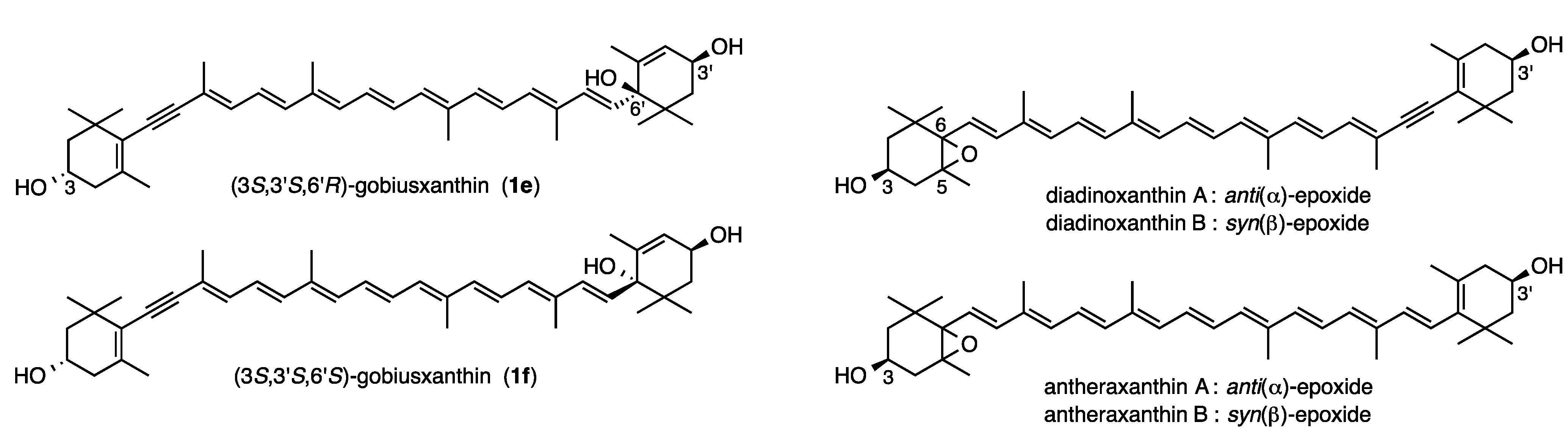
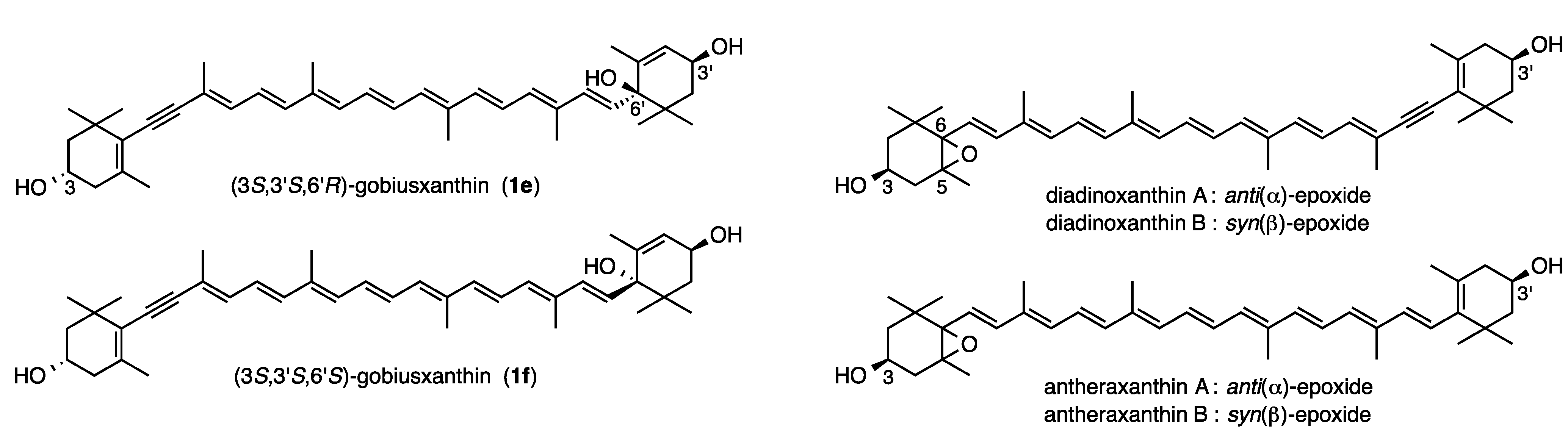
Gobiusxanthin (1a) (Figure 1), which bears a novel 3',6'-dihydroxy-ε-end group, was first isolated from the common freshwater goby Rhinogobius brunneus [1] and then from the salmon Oncorhynchus keta [2]. Its structure was determined to be 7,8-didehydro-β,ε-carotene-3,3',6'-triol by MS and 1H-NMR spectroscopies and the absolute configuration was tentatively assigned as 3R,3'S,6'R from the resemblance of its CD spectrum to the calculated one of half (3S,6S,3'S,6'S)-tunaxanthin and half (3R,3'R)-alloxanthin according to the additivity rule of CD spectra [3]. From the salmon Oncorhynchus keta, salmoxanthin and deepoxysalmoxanthin, possessing the same 3',6'-dihydroxy-ε-end group, were also isolated together with gobiusxanthin [2]. Their absolute configurations were similarly postulated by comparing their CD spectra with those of analogous compounds. Recently, we accomplished the first total synthesis of these two carotenoids and consequently confirmed that their proposed configurations are correct [4]. The stereoisomer of gobiusxanthin, 3'-epigobiusxanthin (1b) was isolated from the crown-of-thorns starfish Acanthaster planci [5]. Its trans-configuration of the two hydroxy groups at C3' and C6' was determined by NOESY experiment and a 6'R configuration was estimated from the fact that it showed the negative Cotton effect around 280 nm in the CD spectrum [3]. In order to obtain an additional proof on the stereochemistries of gobiusxanthin (1a) and 3'-epigobiusxanthin (1b), we expected that efficient combination of a sterically-defined synthesis of authentic stereoisomers, spectroscopic analyses including NMR and CD, and a HPLC separation using a chiral column could be beneficial.

Figure 1.
Structures of stereoisomers of gobiusxanthin (1a–f) and other related carotenoids.
Figure 1.
Structures of stereoisomers of gobiusxanthin (1a–f) and other related carotenoids.


2. Results and Discussion
2.1. Synthesis of Gobiusxanthin (1a) and 3'-Epigobiusxanthin (1b)
We previously reported [6] that the C15-acetylenic tri-n-butylphophonium salt 7 (Scheme 1) is a useful tool for stereoselective synthesis of acetylenic carotenoids. In addition, the triethylsilyl (TES)-protected 3,6-syn-dihydroxydienoate 2a and the 3,6-anti-dihydroxydienoate 8 have already been prepared [4] in the course of synthesis of salmoxanthin. Thus, we synthesized gobiusxanthin (1a) and 3'-epigobiusxanthin (1b) by stereoselective Wittig reaction of the C15-phosphonium salt 7 with C25-apocarotenals 5a and 5b, which were derived from compounds 2a and 8, as shown in Scheme 1.
Scheme 1.
Synthesis of gobiusxanthin (1a) and 3'-epigobiusxanthin (1b). Reagents: (a) LAH; (b) MnO2; (c) phosphonate 6, n-BuLi, N,N'-dimethylpropyleneurea (DMPU); (d) TBAF-AcOH; (e) PdCl2(MeCN)2, Et3N; (f) phosphonium salt 7, NaOMe; (g) TESCl.
Scheme 1.
Synthesis of gobiusxanthin (1a) and 3'-epigobiusxanthin (1b). Reagents: (a) LAH; (b) MnO2; (c) phosphonate 6, n-BuLi, N,N'-dimethylpropyleneurea (DMPU); (d) TBAF-AcOH; (e) PdCl2(MeCN)2, Et3N; (f) phosphonium salt 7, NaOMe; (g) TESCl.

The C15-syn-dihydroxydienoate 2a [4] was subjected to lithium aluminum hydride (LAH) reduction and subsequent MnO2 oxidation to afford the dienal 3a in 61% yield. This was then condensed with the previously reported C10-phosphonate 6 [7], and the resulting hexaenoate was reduced with LAH and followed by MnO2 oxidation to provide TES-protected all-E-apocarotenal 4a and its 13Z-isomer in 46% and 16% yield from 3a, respectively. The 13Z-isomer was converted (52%) into the desired all-E-isomer by isomerization using a palladium catalyst [4,8]. After treatment of compound 4a with tetrabutylammonium fluoride (TBAF), the resulting deprotected apocarotenal 5b was condensed with phosphonium salt 7 under previously reported [6] conditions (NaOMe in CH2Cl2) and then desilytated to provide gobiusxanthin in 69% over the 3 steps.
After protection (quant.) of C15-anti-dihydroxydienoate 8 [4], the resulting TES-ether 2b was transformed into 3'-epigobiusxanthin (1b) via the stereoselective condensation of C25-apocarotenal 5b with the C15-acetylenic tri-n-butylphophonium salt 7, in the same procedure as synthesis of gobiusxanthin (1a).
1H-NMR spectral data of synthetic 1a and 1H- and 13C-NMR spectral data of synthetic 1b were in good agreement with those of the reported data of goboiusxanthin [1] and 3'-epigobiusxanthin [5], respectively. As shown in Figure 2, the CD spectrum of synthetic 1a was basically identical with the reported spectrum of gobiusxanthin, except for the intensities. On the other hand, the CD spectrum of the synthetic 1b was opposite in sign to that of the reported 3'-epigobiusxanthin, indicating the reported absolute stereochemistry needs a correction. To make sure the stereochemistry of natural epigobiusxanthin, (6'S)-stereoisomer was also prepared as a reference sample.
Figure 2.
CD spectra in Et2O-isopentane-EtOH (5:5:2) of synthetic gobiusxanthin (1a), 3'-epigobiusxanthin (1b) and their reported spectra.
Figure 2.
CD spectra in Et2O-isopentane-EtOH (5:5:2) of synthetic gobiusxanthin (1a), 3'-epigobiusxanthin (1b) and their reported spectra.

2.2. Synthesis of Gobiusxanthin Stereoisomers 1c–1f
According to the procedure for the preparation of the corresponding enantiomer 8 [4], (3S,6S)-anti-diol 11b was prepared as shown in Scheme 2. Previously prepared anti(α)-epoxide 9 [9] was oxidized with Dess-Martin periodinane (DMP) and then treated with a large amount of silica gel in AcOEt to afford (6S)-hydroxyenone 10 in 82% yield. Reduction of 10 with 9-borabicyclo[3.3.1]nonane (9-BBN) [4,10] gave (3S,6S)-anti-diol 11b (44%), together with (3R,6S)-syn-diol 11a (47%). Anti-diol 11b was converted into (3R,3'S,6'S)-gobiusxanthin (1d) in the same procedure as synthesis of 1a and 1b. (3R,3'R,6'S)-Gobiusxanthin (1c) was also synthesized from syn-diol 11a.
As shown in Figure 3b, the reported CD spectral data [5] of natural epigobiusxanthin shown by “x” were basically identical in the shape with those of synthetic (3R,3'S,6'S)-isomer 1d (6'-epigobiusxanthin). It was found that the stereochemistry at C3-position has little effect on the shape of their CD spectra; CD spectrum of (3R,3'S,6'R)-gobiusxanthin (1a) showed an antisymmetrical shape to that of (3R,3'R,6'S)-gobiusxanthin (1c) (Figure 3a), whereas that of (3R,3'R,6'R)-gobiusxanthin (1b) showed an antisymmetrical shape to that of (3R,3'S,6'S)-gobiusxanthin (1d) (Figure 3b). The stereochemistry at C3'-position has a decisive influence on the shape and the sign of their CD spectra. It indicates that the C3-absolute configurations of gobiusxanthin and epigobiusxanthin cannot be determined exactly by CD spectra.
Scheme 2.
Synthesis of (6'S)-gobiusxanthin stereoisomers 1c and 1d. Reagents: (a) DMP then SiO2; (b) 9-BBN; (c) TESCl; (d) LAH; (e) MnO2; (f) phosphonate 6, n-BuLi, DMPU; (g) TBAF-AcOH; (h) phosphonium salt 7, NaOMe.
Scheme 2.
Synthesis of (6'S)-gobiusxanthin stereoisomers 1c and 1d. Reagents: (a) DMP then SiO2; (b) 9-BBN; (c) TESCl; (d) LAH; (e) MnO2; (f) phosphonate 6, n-BuLi, DMPU; (g) TBAF-AcOH; (h) phosphonium salt 7, NaOMe.

Figure 3.
CD spectra in Et2O-isopentane-EtOH (5:5:2) of (3R)-gobiusxanthin stereoisomers (1a–d) and reported spectra of gobiusxanthin and 3'-epigobiusxanthin.
Figure 3.
CD spectra in Et2O-isopentane-EtOH (5:5:2) of (3R)-gobiusxanthin stereoisomers (1a–d) and reported spectra of gobiusxanthin and 3'-epigobiusxanthin.

Previously, we reported [11] that most alloxanthin specimens (Figure 1) isolated from various aquatic animals consist of only (3R,3'R)-stereoisomer; however, those from some aquatic animals are exceptionally mixtures of three stereoisomers. Thus, in order to reinforce the validity of the absolute configurations at C3-position of natural specimens, (3S,3'S,6'R)- and (3S,3'S,6'S)-stereoisomers 1e and 1f were also synthesized by Wittig condensation of C25-apocarotenals 5a and 14b with the enantiomers [11] of C15-phosphonium salt 7 and a HPLC analytical method for four stereoisomers 1a, 1d, 1e and 1f was investigated. As a result, these stereoisomers can be separated using a chiral column (CHIRALPAK IB; Daicel, Tokyo, Japan) as shown in Figure 4.
Figure 4.
HPLC elution profile of a mixture of four stereoisomers of gobiusxanthin. Column: CHIRALPAK IB 0.46 × 25 cm; eluent: EtOH–n-hexane–CH2Cl2 (1:75:25); flow rate: 1.0 mL/min; temperature: 23 °C; detection: 450 nm.
Figure 4.
HPLC elution profile of a mixture of four stereoisomers of gobiusxanthin. Column: CHIRALPAK IB 0.46 × 25 cm; eluent: EtOH–n-hexane–CH2Cl2 (1:75:25); flow rate: 1.0 mL/min; temperature: 23 °C; detection: 450 nm.

Application of this method to epigobiusxanthin isolated from the crown-of-thorns starfish Acanthaster planci [5] demonstrated that its stereochemistry is 3R,3'S,6'S. As described above, the absolute stereochemistries at C3'- and C6'-positions of gobiusxanthin were successfully to be 3'S and 6'R based of their identical CD spectra. Once we get gobiusxanthin specimen from a natural source, the absolute stereochemistry of C3-position can be unambiguously determined by the HPLC analysis.
The syn-configuration of the hydroxyl group at C3 and the epoxide oxygen was firstly identified in carotenoids, diadinoxanthin B and antheraxanthin B (Figure 1), isolated from the common freshwater goby Rhinogobius brunneus [1]. Diadinoxanthin B would be involved in a biosynthetic pathway of gobiusxanthin. On the contrary, epigobiusxanthin, which was found to be 6'-epi-form rather than 3'-epi-form, would be derived from common anti(α)-epoxy carotenoids such as diadinoxanthin A.
3. Experimental Section
3.1. General
UV-VIS spectra were recorded on a JASCO V-650 instrument (JASCO, Tokyo, Japan), with ethanol solutions. IR spectra were measured on a Perkin-Elmer spectrum 100 FT-IR spectrometer (Perkin-Elmer, Yokohama, Japan), with chloroform solutions. 1H- and 13C-NMR spectra were determined on a Varian Gemini-300 or a VXR-500 superconducting FT-NMR spectrometer (Agilent Technologies, Santa Clara, CA, USA), with deuteriochloroform solutions (tetramethylsilane as the internal reference). J Values are given in Hz. Mass spectra were taken on a Thermo Fisher Scientific Exactive spectrometer (Thermo Fisher Scientific, Bremen, Germany). CD spectra were measured on a Shimadzu-AVIN 62A DS circular dichroism spectrometer (Shimadzu, Kyoto, Japan). The concentrations were calculated using log ε = 5.0 at main λmax (in EPA). Optical rotations were measured on a JASCO P-2200 polarimeter (JASCO, Tokyo, Japan).
HPLC analyses were performed on Simadzu-LC-20AT instrument (Shimadzu, Kyoto, Japan) with a photodiode array detector (Waters 996, Tokyo, Japan) and column oven (GL Sciences Model 552, Tokyo, Japan). Flash column chromatography (CC) was performed on using Kanto Silica Gel 60 N. Preparative HPLC was carried out on a Shimadzu LC-6A with a UV-VIS detector (Shimadzu, Kyoto, Japan).
All operations were carried out under nitrogen or argon. Evaporation of the extract or the filtrate was carried out under reduced pressure. Ether refers to diethyl ether, and hexane to n-hexane. NMR assignments are given using the carotenoid numbering system.
3.2. Synthesis of Gobiusxanthin (1a) and 3'-Epigobiusxanthin (1b)
(2E,4E)-5-[(1R,4S)-1-Hydroxy-2,6,6-trimethyl-4-triethylsilyloxycyclohex-2-en-1-yl]-3-methyl-penta-2,4-dienal (3a). A solution of ester 2a [4] (1.27 g, 3.11 mmol) in dry ether (15 mL) was added dropwise to a stirred suspension of LAH (118 mg, 3.11 mmol) in dry ether (20 mL) at 0 °C. After being stirred at 0 °C for 10 min, the excess of LAH was decomposed by dropwise addition of moist ether and the mixture was filtered through a pad of Celite. The filtrate was dried and evaporated to give the crude alcohol, which without purification, was dissolved in ether (15 mL) and hexane (15 mL) and stirred with MnO2 (7.5 g) at rt for 30 min. After MnO2 was filtered off, the filtrate was concentrated. The resulting residue was purified by flash CC (AcOEt-hexane, 3:7) to afford the aldehyde 3a (697 mg, 61% from 2a): [α]D22 −149.1 (c 1.26, MeOH); IR ν 3600, 3447 (OH), 1661 (conj. CO), 1631, 1600 (C=C); 1H-NMR (300 MHz) δ 0.63 (6H, q, J 8, SiCH2 × 3), 0.95, 0.97 (each 3H, s, gem-Me), 0.98 (9H, t, J 8, CH2Me × 3), 1.64 (3H, t, J 1.5, 5-Me), 1.68 (2H, m, 2-H2), 2.27 (3H, d, J 1, 9-Me), 4.26 (1H, m, 3-H), 5.56 (1H, br s, 4-H), 6.01 (1H, br d, J 8, 10-H), 6.17 (1H, d, J 16, 7-H), 6.56 (1H, d, J 16, 8-H), 10.12 (1H, d, J 8, CHO); 13C-NMR (75 MHz) δ 4.79 (C × 3), 6.80 (C × 3), 13.32, 19.26, 24.38, 24.46, 38.52, 42.60, 65.29, 77.39, 129.18, 129.43, 133.29, 136.77, 138.82, 153.68, 191.49; HRMS (ESI) m/z calcd for C21H36O3NaSi (M + Na)+ 387.2326, found 387.2317.
(2E,4E,6E,8E,10E,12E)-13-[(1R,4S)-1-Hydroxy-2,6,6-trimethyl-4-triethylsilyloxycyclohex-2-en-1-yl]-2,7,11-trimethyltrideca-2,4,6,8,10,12-hexaenal (4a). To a solution of C10-phosphonate 6 [7] (1.90 g, 5.76 mmol) and N,N'-dimethylpropyleneurea (DMPU) (0.69 mL, 5.76 mmol) in dry THF (20 mL) was added n-BuLi (1.63 M in hexane; 3.64 mL, 5.94 mmol) at −20 °C. After being stirred at −20 °C for 15 min, a solution of the aldehyde 3a (700 mg, 1.92 mmol) in dry THF (10 mL) was added to the reaction mixture and stirring was continued at −20 °C for 20 min. After being quenched with saturated aq. NH4Cl, the mixture was extracted with AcOEt. The extracts were washed with brine, dried and evaporated to give a residue, which was purified by flash CC (ether-hexane, 3:7) to provide an isomeric mixture of the hexaenoate (786 mg, 76%) as an yellow oil: IR ν 3599, 3518 (OH), 1692 (conj. CO), 1614, 1602, 1555 (C=C); HRMS (ESI) m/z calcd for C33H52O4NaSi (M + Na)+ 563.3527, found 353.3516.
A solution of this isomeric mixture in dry ether (20 mL) was added dropwise to a stirred suspension of LAH (83 mg, 2.2 mmol) in dry ether (20 mL) at 0 °C. After being stirred at 0 °C for 15 min, the excess of LAH was decomposed by dropwise addition of moist ether and the mixture was filtered through a pad of Celite. The filtrate was dried and evaporated to give the crude diol, which without purification, was dissolved in THF (1 mL), ether (15 mL) and hexane (15 mL), and then stirred with MnO2 (5.3 g) at room temperature (rt) for 30 min. After MnO2 was filtered off, the filtrate was concentrated. The resulting residue was purified by flash CC (AcOEt-hexane, 3:7) and then preparative HPLC [LiChrosorb Si 60 (7 μm) 2 × 25 cm; ether-hexane, 27:73] to afford all-E-apocarotenal 4a (434 mg, 46% from 3a) and its 13Z-isomer (149 mg, 16% from 3a), as an orange foam, respectively.
all-E-Isomer 4a: UV-VIS λ 421; IR ν 3598, 3521 (OH), 1661 (conj. CO), 1611, 1601, 1550 (C=C); 1H-NMR (300 MHz) δ 0.63 (6H, q, J 8, SiCH2 × 3), 0.94, 0.98 (each 3H, s, gem-Me), 0.98 (9H, t, J 8, CH2Me × 3), 1.65 (3H, t, J 1.5, 5-Me), 1.68 (2H, m, 2-H2), 1.88, 1.94, 2.04 (each 3H, s, 9-Me, 13-Me, 13'-Me), 4.25 (1H, m, 3-H), 5.53 (1H, m, 4-H), 5.67 (1H, d, J 15.5, 7-H), 6.23 (1H, br d, J 11.5, 10-H), 6.31 (1H, br d, J 12, 14-H), 6.38 (1H, d, J 15, 12-H), 6.45 (1H, d, J 15.5, 8-H), 6.68 (1H, dd, J 12, 14.5, 15'-H), 6.77 (1H, dd, J 11.5, 15, 11-H), 6.96 (1H, br d, J 12, 14'-H), 7.03 (1H, dd, J 12, 14.5, 15-H), 9.45 (1H, s, CHO); 13C-NMR (75 MHz) δ 4.82 (C × 3), 6.83 (C × 3), 9.54, 13.00, 13.14, 19.35, 24.40, 24.45, 38.39, 42.73, 65.44, 77.42, 127.40 (C × 2), 128.49, 130.70, 131.03, 131.20, 134.45, 136.50, 136.85 (C × 2), 137.62, 137.82, 141.53, 148.85, 194.41; HRMS (ESI) m/z calcd for C31H48O3NaSi (M + Na)+ 519.3265, found 519.3257.
13Z-Isomer: UV-VIS λ 295, 410; IR ν 3598, 3521 (OH), 1660 (conj. CO), 1612, 1598, 1565 (C=C); 1H-NMR (300 MHz) δ 0.63 (6H, q, J 8, SiCH2 × 3), 0.94, 0.99 (each 3H, s, gem-Me), 0.99 (9H, t, J 8, CH2Me × 3), 1.66–1.69 (5H, overlapped, 5-Me, 2-Hα, 2-Hβ), 1.88, 1.95, 2.05 (each 3H, s, 9-Me, 13-Me, 13'-Me), 4.26 (1H, m, 3-H), 5.53 (1H, s, 4-H), 5.69 (1H, d, J 16, 7-H), 6.16 (1H, d, J 12, 14-H), 6.27 (1H, d, J 11, 10-H), 6.47 (1H, dd, J 16, 8-H), 6.62 (1H, dd, J 11.5, 14, 15'-H), 6.75 (1H, dd, J 11, 15, 11-H), 6.90 (1H, d, J 15, 12-H), 6.97 (1H, d, J 11.5, 14'-H), 7.03 (1H, dd, J 12, 14, 15-H), 9.45 (1H, s, CHO); 13C-NMR (75 MHz) δ 4.82, (C × 3) 6.84 (C × 3), 9.52, 13.20, 19.37, 20.92, 24.41, 24.47, 38.42, 42.73, 65.45, 77.42, 126.60, 128.38, 128.55, 128.57, 129.36, 130.96, 131.09, 134.39, 136.36, 136.91, 137.10, 137.80, 140.22, 148.96, 194.49; HRMS (ESI) m/z calcd for C31H48O3NaSi (M + Na)+ 519.3265, found 519.3255.
Isomerization of 13Z-isomer of compound 4a. A solution (2 mL) prepared from PdCl2(MeCN)2 (13 mg), Et3N (7 mL) and water (1.2 mL) in MeCN (8.8 mL) was added to a solution of 13Z-isomer of compound 4a (103 mg) in MeCN (18 mL) and the mixture was stirred at rt for 3 h. The solvent was evaporated off to give a residue, which was purified by the same method described above to provide the all-E-isomer 4a (54 mg, 52%).
(2E,4E,6E,8E,10E,12E)-13-[(1R,4S)-1,4-Dihydroxy-2,6,6-trimethylcyclohex-2-en-1-yl]-2,7,11-trimethyltrideca-2,4,6,8,10,12-hexaenal (5a). To a stirred solution of TES ether 4a (434 mg, 0.86 mmol) in dry THF (9 mL) was added AcOH (1 M in THF; 0.30 mL, 0.30 mmol) and then TBAF (1 M in THF; 1.31 mL, 1.31 mmol) at rt. After being stirred at rt for 5 min, the mixture was evaporated to afford a residue, which was purified by flash CC (acetone-hexane, 35:65) to afford compound 5a (280 mg, 84%) as orange solids: UV-VIS λ 421; IR ν 3603, 3446 (OH), 1660 (conj. CO), 1611, 1601, 1550 (C=C); 1H-NMR (500 MHz) δ 0.94, 1.02 (each 3H, s, gem-Me), 1.53, 1.62 (each 1H, br s, OH × 2), 1.67 (1H, dd, J 7.5, 13.5, 2-H), 1.68 (3H, t, J 2, 5-Me), 1.81 (1H, dd, J 6.5, 13.5, 2-H), 1.89 (3H, s, 13'-Me), 1.94 (3H, s, 9-Me), 2.04 (3H, s, 13-Me), 4.25 (1H, m, 3-H), 5.64 (1H, br s, 4-H), 5.69 (1H, d, J 15.5, 7-H), 6.24 (1H, br d, J 11.5, 10-H), 6.31 (1H, br d, J 12, 14-H), 6.39 (1H, d, J 15, 12-H), 6.42 (1H, d, J 15.5, 8-H), 6.70 (1H, dd, J 11.5, 14.5, 15'-H), 6.76 (1H, dd, J 11.5, 15, 11-H), 6.96 (1H, br d, J 11.5, 14'-H), 7.02 (1H, dd, J 12, 14.5, 15-H), 9.45 (1H, s, CHO); 13C-NMR (125 MHz) δ 9.59 (13'-Me), 13.03 (13-Me), 13.22 (9-Me), 19.21 (5-Me), 24.37 (1-Me), 24.40 (1-Me), 38.19 (C1), 42.44 (C2), 65.24 (C3), 77.83 (C6), 127.29 (C11), 127.35 (C4), 127.55 (C15'), 130.74 (C7), 131.19 (C14), 131.50 (C10), 134.44 (C8), 136.31 (C9), 136.99 (C13'), 137.10 (C12), 137.59 (C15), 138.85 (C5), 141.48 (C13), 148.83 (C14'), 194.47 (CHO); HRMS (ESI) m/z calcd for C25H34O3NaSi (M + Na)+ 405.2400, found 405.2393.
(3R,3'S,6'R)-Gobiusxanthin (1a). NaOMe (1 M in MeOH; 0.45 mL, 0.45 mmol) was added to a solution of the phosphonium salt 7 [6] (192 mg, 0.34 mmol) and the apocarotenal 5a (86 mg, 0.23 mmol) in CH2Cl2 (10 mL) at rt. After being stirred at rt for 10 min, the mixture was poured into saturated aq. NH4Cl and extracted with AcOEt. The extracts were washed with brine, dried and evaporated to give a residue, which was purified by flash CC (acetone-hexane, 3:7) to provide the crude condensed products. This was dissolved in dry THF (9 mL) and then AcOH (1 M in THF; 0.30 mL, 0.30 mmol) and TBAF (1 M in THF; 0.42 mL, 0.42 mmol) were added to it at rt. After being stirred at rt for 30 min, the mixture was concentrated. The resulting residue was purified by flash CC (AcOEt-CH2Cl2-MeOH, 25:72:3) and then preparative HPLC [LiChrosorb Si 60 (7 μm) 2 × 25 cm; AcOEt-CH2Cl2-MeOH, 10:40:1] to give (3R,3'S,6'R)-gobiusxanthin (1a) (90 mg, 69% from 5a) as orange solids. 1H-NMR spectral data of this synthetic 1a were identical with those reported [1]: UV-VIS λ 277, 424, 447, 477; CD (9.83 × 10−5 mol/L, EPA) λ(∆ε) 211 (−5.7), 228 (−1.0), 244 (−2.7), 277 (−4.2), 304 (0), 333 (+0.5), 351 (0); IR ν 3604, 3448 (OH), 2172 (C≡C), 1568 (C=C); 1H-NMR (500 MHz); δ 0.94 (3H, s, 1'-Meα), 1.02 (3H, s, 1'-Meβ), 1.15 (3H, s, 1-Meα), 1.20 (3H, s, 1-Meβ), 1.45 (1H, t, J 12, 2-Hβ), 1.50, 1.61. 1.63 (each 1H, br s, OH × 3), 1.67 (1H, dd, J 7, 13.5, 2'-H), 1.67 (3H, t, J 1.5, 5'-Me), 1.81 (1H, dd, J 6, 13.5, 2'-H), 1.83 (1H, ddd, J 2, 3.5, 12, 2-Hα), 1.92 (6H, s, 5-Me, 9'-Me), 1.95, 1.97 (each 3H, s, 13-Me, 13'-Me), 2.01 (3H, s, 9-Me), 2.07 (1H, ddd, J 1.5, 9.5, 18, 4-Hβ), 2.43 (1H, ddd, J 1.5, 5.5, 18, 4-Hα), 3.99 (1H, m, 3-H), 4.24 (1H, m, 3'-H), 5.63 (1H, d, J 15.5, 7'-H), 5.63 (1H, m, 4'-H), 6.22 (1H, br d J 11.5, 10'-H), 6.27 (2H, br d, J 9, 14-H, 14'H), 6.35 (1H, d, J 14, 12-H), 6.37 (1H, d, J 15, 12'-H), 6.39 (1H, d, J 15.5, 8'-H), 6.45 (1H, dd-like, J 1, 11.5, 10-H), 6.51 (1H, dd, J 11.5, 14, 11-H), 6.62 (1H, dd, J 11.5, 15, 11'-H), 6.64 (2H, m, 15-H, 15'-H); 13C-NMR (125 MHz) δ 12.73, 12.81 (13-M, 13'-Me), 13.13 (9'-Me), 18.04 (9-Me), 19.22 (5'-Me), 22.47 (5-Me), 24.37 (1'-Me), 24.40 (1'-Me), 28.76 (1-Me), 30.50 (1-Me), 36.61 (C1), 38.16 (C1'), 41.46 (C4), 42.47 (C2'), 46.68 (C2), 64.86 (C3), 65.28 (C3'), 77.87 (C6'), 89.00 (C7), 98.62 (C8), 118.96 (C9), 124.16 (C11), 124.22 (C6), 124.84 (C11'), 127.22 (C4'), 129.67 (C7'), 130.08, 130.42 (C15, C15'), 131.98 (C10'), 132.74, 133.44 (C14, C14'), 134.53 (C9'), 134.60 (C8'), 135.17 (C10), 136.22, 136.63 (C13, C13'), 137.26 (C5), 137.98, 138.05 (C12, C12'), 139.01 (C5'); HRMS (ESI) m/z calcd for C40H54O3Na (M + Na)+ 605.3965, found 605.3962.
Ethyl (2E,4E)-5-[(1R,4R)-1-Hydroxy-2,6,6-trimethyl-4-triethylsilyloxycyclohex-2-en-1-yl]-3-methylpenta-2,4-dienoate (2b). To a stirred solution of anti-diol 8 [4] (465 mg, 1.58 mmol), Et3N (0.66 mL, 5.4 mmol) and N,N-dimethyl-4-aminopyridine (19 mg, 0.16 mmol) in dry CH2Cl2 (7 mL) was added TESCl (0.40 mL, 2.4 mmol) at 0 °C. The mixture was stirred at 0 °C for 30 min, poured into saturated aq. NH4Cl and extracted AcOEt. The extracts were washed with brine, dried and evaporated to give a residue, which was purified by flash CC (AcOEt- hexane, 1:4) to afford TES ether 2b (645 mg, quant.) as a colorless oil: [α]D26 157.89 (c 0.91, MeOH); IR ν 3605, 3473 (OH), 1704 (conj. CO), 1632, 1612 (C=C); 1H-NMR (300 MHz) δ 0.62 (6H, q, J 8, SiCH2 × 3), 0.87, 1.02 (each 3H, s, gem-Me), 0.98 (9H, t, J 8, SiCH2Me × 3), 1.28 (3H, t, J 7.5, OCH2Me), 1.60 (3H, m, 5-Me), 1.66 (2H, d-like, J 8, 2-H2), 2.27 (3H, br s, 9-Me), 4.17 (2H, q, J 7.5, OCH2), 4.28 (1H, m, 3-H), 5.47 (1H, br s, 4-H), 5.81 (1H, br s, 10-H), 6.14 (1H, d, J 16, 7-H), 6.34 (1H, d, J 16, 8-H); 13C-NMR (75 MHz) δ 4.82 (C × 3), 6.87 (C × 3), 14.11, 14.31, 17.53, 22.66, 25.16, 39.65, 44.53, 59.71, 65.91, 79.09, 119.38, 128.70, 132.51, 136.94, 138.15, 151.57, 167.14; HRMS (ESI) m/z calcd for C23H40O4Si (MH)+ 409.2769, found 409.2764.
In the same procedure as preparation of (3R,3'S,6'R)-gobiusxanthin (1a), (3R,3'R,6'R)-gobiusxanthin (1b) was prepared from the above (3R,6R)-dienoate 2b.
(3R,6R)-Dienal 3b: [α]D27 −194.8 (c 0.98, MeOH); IR ν 3608, 3477 (OH), 1662 (conj. CO), 1627, 1597, 1580 (C=C); 1H-NMR (300 MHz) δ 0.63 (6H, q, J 8, SiCH2 × 3), 0.88, 1.03 (each 3H, s, gem-Me), 0.97 (9H, t, J 8, CH2Me × 3), 1.60 (3H, t, J 2, 5-Me), 1.68 (2H, d-like, J 8, 2-H2), 2.25 (3H, d, J 1, 9-Me), 4.30 (1H, m, 3-H), 5.48 (1H, m, 4-H), 5.98 (1H, br d, J 8, 10-H), 6.31, 6.46 (each 1H, d, J 15.5, 7-H, 8-H), 10.10 (1H, J 8, CHO); 13C-NMR (75 MHz) δ 4.83 (C × 3), 6.83 (C × 3), 13.38, 17.48, 22.64, 25.18, 39.77, 44.62, 65.85, 79.16, 128.95, 129.65, 132.13, 136.70, 140.21, 154.02, 191.51; HRMS (ESI) m/z calcd for C21H36O3NaSi (M + Na)+ 387.2326, found 387.2319.
(3R,6R)-Hexaenel 5b: UV-VIS λ 420; IR ν 3604, 3446 (OH), 1660 (conj. CO), 1611, 1600, 1550 (C=C); 1H-NMR (500 MHz) δ 0.92, 1.04 (each 3H, s, gem-Me), 1.46 (1H, br s, 3-OH), 1.53 (1H, br d, J 2, 6-OH), 1.58 (1H, dd, J 10, 13.5, 2-H), 1.66 (3H, t, J 2, 5-Me), 1.79 (1H, ddd, J 1.5, 6.5, 13.5, 2-H), 1.88 (3H, d, J 0.5, 13'-Me), 1.94 (3H, d, J 0.5, 9-Me), 2.03 (3H, s, 13-Me), 4.30 (1H, m, 3-H), 5.57 (1H, quint-like, J 1.5, 4-H), 5.79 (1H, d, J 16, 7-H), 6,23 (1H, br d, J 11, 10-H), 6.31 (1H, br d, J 12, 14-H), 6.32 (1H, d, J 16, 8-H), 6.38 (1H, d, J 15, 12-H), 6.69 (1H, dd, J 11.5, 14.5, 15'-H), 6.75 (1H, dd, J 11 and 15, 11-H), 6.96 (1H, br d, J 11.5, 14'-H), 7.02 (1H, dd, J 12, 15, 15-H), 9.45 (1H, s, CHO); 13C-NMR (125 MHz) δ 9.59 (13'-Me), 13.03 (13-Me), 13.27 (9-Me), 17.89 (5-Me), 22.45, 25.05 (gem-Me), 39.91 (C1), 44.15 (C2), 65.80 (C3), 79.41 (C6), 127.25, 127.27 (C4, C4'), 127.58 (C15'), 131.23 (C14), 131.75 (C10), 132.15 (C7), 134.18 (C8), 136.39 (C9), 137.03 (C13'), 137.17 (C12), 137.58 (C15), 138.76 (C5), 141.48 (C13), 148.76 (C14'), 194.43 (CHO); HRMS (ESI) m/z calcd for C25H34O3Na (M + Na)+ 405.2400, found 405.2396.
(3R,3'R,6'R)-Gobiusxanthin (1b): UV-VIS λ 278, 424, 448, 478; CD (1.08 × 10−4 mol/L, EPA) λ(∆ε) 209 (−2.9), 219 (−1.9), 241 (−9.5), 259 (0), 279 (+4.0), 294 (0), 337 (−5.0), 369 (−0.6); IR ν 3606, 3446 (OH), 2172 (C≡C), 1568 (C=C); 1H-NMR (500 MHz) δ 0.92 (3H, s, 1'-Meα), 1.03 (H, s, 1'-Meβ), 1.14 (3H, s, 1-Meα), 1.20 (3H, s, 1-Meβ), 1.45 (1H, t, J 12, 2-Hβ), 1.57 (1H, dd, J 10 and 13, 2'-Hα), 1.66 (3H, t, J 1.5, 5'-Me), 1.79 (1H, ddd, J 1, 6, 13, 2'-Hβ), 1.84 (1H, ddd, J 1.5, 3.5, 12, 2-Hα), 1.92 (6H, s, 5-Me, 9'-Me), 1.95 (3H, s, 13'-Me), 1.97 (3H, s, 13-Me), 2.00 (3H, s, 9-Me), 2.07 (1H, br dd, J 9, 18, 4-Hβ), 2.43 (1H, ddd, J 1.5, 5.5, 18, 4-Hα), 3.99 (1H, m, 3-H), 4.29 (1H, m, 3'-H), 5.57 (1H, m, 4'-H), 5.73 (1H, d, J 15.5, 7'-H), 6.21 (1H, br d, J 11.5, 10'-H), 6.26, 6.27 (each 1H, br d, J 9, 14-H, 14'-H), 6.30 (1H, d, J 15.5, 8'-H), 6.35 (1H, d, J 14.5, 12-H), 6.36 (1H, d, J 15, 12'-H), 6.45 (1H, dd-like, J 1, 11.5, 10-H), 6.51 (1H, dd, J 11.5, 14.5, 11-H), 6.61 (1H, dd, J 11.5, 15, 11'-H), 6.64 (2H, m, 15-H, 15'-H); 13C-NMR (125 MHz) δ 12.75, 12.83 (13-Me, 13'-Me), 13.20 (9'-Me), 17.95 (5'-Me), 18.06 (9-Me), 22.48, 22.50 (5-Me, 1'-Meβ), 25.07 (1'-Meα), 28.79 (1-Meα), 30.53 (1-Meβ), 36.64 (C1), 39.93 (C1'), 41.51 (C4), 44.19 (C2'), 46.74 (C2), 64.91 (C3), 65.88 (C3'), 79.45 (C6'), 89.04 (C7), 98.66 (C8), 119.00 (C9), 124.19 (C11), 124.29 (C6), 124.86 (C11'), 127.14 (C4'), 130.13, 130.45, (C15, C15') 131.12 (C7'), 132.27 (C10'), 132.81 (C14'), 133.47 (C14), 134.43 (C8'), 134.62 (C9'), 135.20 (C10), 136.25 (C13), 136.67 (C13'), 137.26 (C5), 138.07, 138.09 (C12, C12'), 138.92 (C5'); HRMS (ESI) m/z calcd for C40H55O3 (M + H)+ 583.4146, found 583.4140.
3.3. Synthesis of Gobiusxanthin Stereoisomers 1c–1f
Ethyl (2E,4E)-5-[(S)-1-Hydroxy-2,6,6-trimethyl-4-oxocyclohex-2-en-1-yl]-3-methylpenta-2,4- dienoate (10). To a mixture of epoxide 9 [9] (2.52 g, 8.57 mmol), NaHCO3 (800 mg, 9.5 mmol) in CH2Cl2 (50 mL) was added DMP (4.72 g, 11.1 mmol) in some portions at rt and the mixture was stirred for a farther 30 min. After CH2Cl2 was evaporated off, the resulting mixture was diluted with eher-hexane (1:1) and filtered through a pad of Celite. The filtrate was evaporated to afford a residue, which was purified by flash CC (AcOEt-hexane, 2:3) to afford the crude epoxy ketone (2.53 g), which was dissolved in AcOEt (400 mL) and silica gel (70–230 mesh Merck-1.07734; 130 g) was added to it. After being stirred at rt for 18 h, the mixture was filtered through sintered glass funnel and the filtrate was evaporated. The residue was purified by flash CC (AcOEt-hexane, 35:65) to provide (6S)-enone 10 (2.05 g, 82% from 9) as colorless solids: Its spectral data were identical with those of previously reported [4] (6R)-enone: [α]D22 340.8 (c 0.97, MeOH); HRMS (ESI) m/z calcd for C17H24O4Na (M + Na)+ 315.1567, found 315.1563.
Reduction of enone 10 with 9-BBN. To a stirred solution of enone 10 (2.00 g, 6.85 mmol) in dry THF (50 mL) was added dropwise 9-BBN (0.5 M in THF; 29 mL. 14.5 mmol) at 0 °C and the mixture was stirred at rt for 2 h. The reaction was quenched by addition of MeOH (5 mL) followed by 2-aminoethanol (1 mL) and the mixture was stirred at rt for 15 min. The mixture was concentrated and the resulting residue was purified by flash CC (acetone-hexane, 3:7) and then preparative HPLC (COSMOSIL 5SL-II 2 × 25 cm; MeOH-CH2Cl2, 2.5:100) to afford (3R,6S)-syn-diol 11a (950 mg, 47%) and (3S,6S)-anti-diol 11b (890 mg, 44%) as a colorless viscous oil, respectively. Their spectral data except for optical data were identical with those of previously reported [4] (3S,6R)-syn-diol and (3R,6R)-anti-diol 8.
(3R,6S)-Syn-diol 11a: [α]D21 140.1 (c 0.99, MeOH); HRMS (ESI) m/z calcd for C17H26O4Na (M + Na)+ 317.1723, found 317.1714.
(3S,6S)-Anti-diol 11b: [α]D20 240.9 (c 1.05, MeOH); HRMS (ESI) m/z calcd for C17H26O4Na (M + Na)+ 317.1723, found 317.1719.
In the same procedure as preparation of (3R,3'S,6'R)-gobiusxanthin (1a), (3R,3'S,6'S)-gobiusxanthin (1c) and (3R,3'R,6'S)-gobiusxanthin (1d) were prepared from above (3R,6S)-syn-diol 11a and (3S,6S)-anti-diol 11b, respectively. (3S,3'S,6'R)-Gobiusxanthin (1e) and (3S,3'S,6'S)-gobiusxanthin (1f) were prepared by using the enantiomer [11] of C15-phosphonium salt 7. Spectral data except for optical data of compounds 1c–f, 12a,b, 13a,b and 14a,b were identical with the corresponding enantiomers 2a,b, 3a,b, 5a,b and diastereomers 1a,b.
(3R,6S)-Syn-dienoate 12a: [α]D18 118.3 (c 1.03, MeOH); HRMS (ESI) m/z calcd for C23H40O4NaSi (M + Na)+ 431.2588, found 431.2589.
(3R,6S)-Syn-dienal 13a: [α]D18 159.4 (c 1.04, MeOH); HRMS (ESI) m/z calcd for C21H36O3NaSi (M + Na)+ 387.2326, found 387.2321.
(3R,6S)-Syn-apocarotenal 14a: HRMS (ESI) m/z calcd for C25H34O3Na (M + Na)+ 405.2400, found 405.2391.
(3R,3'R,6'S)-Gobiusxanthin (1c): CD (1.07 × 10−4 mol/L, EPA) λ(∆ε) 205 (−2.0), 209 (0), 216 (+1.5), 227 (+0.5), 246 (+2.1), 277 (+3.0), 304 (0), 325 (−0.2), 345 (0); HRMS (ESI) m/z calcd for C40H54O3Na (M + Na)+ 605.3965, found 605.3965.
(3S,6S)-Anti-dienoate 12b: [α]D19 164.4 (c 1.07, MeOH); HRMS (ESI) m/z calcd for C23H40O4NaSi (M + Na)+ 431.2588, found 431.2587.
(3S,6S)-Anti-dienal 13b: [α]D18 265.8 (c 0.97, MeOH); HRMS (ESI) m/z calcd for C21H36O3NaSi (M + Na)+ 387.2326, found 387.2321.
(3S,6S)-Anti-apocarotenal 14b: HRMS (ESI) m/z calcd for C25H34O3Na (M + Na)+ 405.2400, found 405.2391.
(3R,3'S,6'S)-Gobiusxanthin (1d): CD (9.91 × 10−5 mol/L, EPA) λ(∆ε) 205 (−4.5), 219 (0), 242 (+8.0), 259 (0), 279 (+4.4), 294 (0), 338 (+4.9), 367 (+0.7); HRMS (ESI) m/z calcd for C40H54O3Na (M + Na)+ 605.3965, found 605.3956.
(3S,3'S,6'R)-Gobiusxanthin (1e): CD (9.68 × 10−5 mol/L, EPA) λ(∆ε) 208 (0), 214 (−1.4), 229 (−0.3), 244 (−1.2), 276 (−2.3), 289 (0), 330 (+0.3), 352 (0); HRMS (ESI) m/z calcd for C40H54O3Na (M + Na)+ 605.3965, found 605.3962.
(3S,3'S,6'S)-Gobiusxanthin (1f): CD (1.10 × 10−4 mol/L, EPA) λ(∆ε) 211 (+1.6), 218 (+1.1), 241 (+7.16), 260 (0), 279 (−3.1), 293 (0), 338 (+4.2), 369 (+0.6); HRMS (ESI) m/z calcd for C40H53O3 (M − H)− 581.3990, found 581.4013.
3.4. Isolation of Epigobiusxanthin
The crown-of-thorns starfish Acanthaster planci, collected at the Ootsuki coast, Kochi Prefecture, Japan (10 specimens 1,870 g), was extracted with acetone. The extract was partitioned between ether-hexane (1:1) and water. The organic layer was dried over Na2SO4 and then evaporated. The residual red-colored oil was chromatographed on silica gel using an increasing percentage of acetone in hexane. The fraction eluted with acetone-hexane (6:4) was subjected to HPLC on silica gel with acetone-hexane (4:6) and then on ODS silica with CHCl3-MeCN (2:8) to yield epigobiusxanthin (0.10 mg).
4. Conclusions
In summary, we achieved the first total syntheses of gobiusxanthin (1a), 3'-epigobiusxanthin (1b) and other stereoisomers 1c–f via the stereoselective Wittig reactions of the (3R)-C15-acetylenic tri-n-butylphosphonium salt 7 and its enantiomer with the corresponding C25-apocarotenal stereoisomers 5a,b and 14a,b. The absolute configurations of the 3',6'-dihydroxy-ε-end moieties in these two carotenoids were determined by comparison of their CD spectra with those of synthetic samples: 3'S,6'R and 3'S,6'S configurations were deduced for gobiusxanthin and epigobiusxanthin, respectively. In addition, a HPLC separation method for (3R)- and (3S)-stereoisomers was established by using a chiral column. The HPLC analysis has proved that the stereochemistry of the natural epigobiusxanthin is 3R,3'S,6'S: natural epigobiusxanthin is 6'-epi-isomer rather than 3'-epi-isomer of gobiusxanthin.
The present research has indicated that HPLC analysis can be a strong tool to determine the absolute stereochemistries of chiral compounds, especially those having multiple chirogenic centers. To do this, in a concerted manner, development of a total synthetic method is essential to supply a sterically-defined authentic sample.
Author Contributions
Basic idea of the research was proposed by Yumiko Yamano, Takashi Maoka, and Akimori Wda, collaboratively. The synthetic and analytical experiments were designed and performed by Yumiko Yamano, Kotaro Ematsu, and Hiromasa Kurimoto. The isolation of epigobiusxanthin was carried out by Takashi Maoka.
Conflicts of Interest
The authors declare no conflict of interest.
References
- Tsushima, M.; Mune, E.; Maoka, T. Isolation of stereoisomeric epoxy carotenoids and new acetylenic carotenoid from the common freshwater goby Rhinogobius brunneus. J. Nat. Prod. 2000, 63, 960–964. [Google Scholar] [CrossRef] [PubMed]
- Matsuno, T.; Tsushima, M.; Maoka, T. Salmoxanthin, deepoxysalmoxanthin, and 7,8-didehydrodeepoxysalmoxanthin from the salmon Oncorhynchus keta. J. Nat. Prod. 2001, 64, 507–510. [Google Scholar] [CrossRef] [PubMed]
- Buchecker, R.; Noack, K. Circular dichroism. In Carotenoids; Britton, G., Liaaen-Jensen, S., Pfander, H., Eds.; Birkhäuser: Basel, Switzerland, 1995; Volume 1B, pp. 63–116. [Google Scholar]
- Yamano, Y.; Eno, K.; Hikita, Y.; Kurimoto, H.; Wada, A. Stereocontrolled first total syntheses of salmoxanthin and deepoxysalmoxanthin. Curr. Org. Synth. 2014, in press. [Google Scholar]
- Maoka, T.; Akimoto, N.; Terada, Y.; Komemushi, S.; Harada, R.; Saneshima, N.; Sakagami, Y. J. Nat. Prod. 2010, 73, 675–678. [CrossRef]
- Yamano, Y.; Chary, V.M.; Wada, A. Stereoselective total synthesis of the acetylenic carotenoids alloxanthin and triophaxanthin. Org. Biomol. Chem. 2012, 10, 4103–4108. [Google Scholar] [CrossRef] [PubMed]
- Yamano, Y.; Yoshizawa, M.; Ito, M. Isolation of 9Z β-carotene from Dunaliella bardawil and its stereoselective synthesis. J. Nutr. Sci. Vitaminol. 1999, 45, 49–62. [Google Scholar] [CrossRef] [PubMed]
- Fischli, A.; Mayer, H.; Simon, W.; Stoller, H.J. A synthesis of vitamin A according to the sulfone method. Helv. Chim. Acta 1976, 59, 397–405. [Google Scholar] [CrossRef] [PubMed]
- Yamano, Y.; Ito, M.; Wada, A. Total synthesis of cucurbitaxanthin A, cycloviolaxanthin and capsanthin 3,6-epoxide by applying a regioselective ring opening of tetrasubstituted epoxides. Org. Biomol. Chem. 2008, 6, 3421–3427. [Google Scholar] [CrossRef] [PubMed]
- Buschor, D.J.; Eugster, C.H. Synthesis of (3S,4R,3'S,4'R)- and (3S,4S,3'S,4'S)-crustaxanthin and further compounds with 3,4-dihydroxy β-end-groups. Helv. Chim. Acta 1990, 73, 1002–1021. [Google Scholar] [CrossRef]
- Yamano, Y.; Maoka, T.; Wada, A. Synthesis of (3S,3'S)- and meso-stereoisomers of alloxanthin and determination of absolute configuration of alloxathin isolated aquatic animals. Mar. Drugs 2014, 12, 2623–2632. [Google Scholar] [CrossRef] [PubMed]
© 2014 by the authors; licensee MDPI, Basel, Switzerland. This article is an open access article distributed under the terms and conditions of the Creative Commons Attribution license (http://creativecommons.org/licenses/by/4.0/).