Recent Progress in Physics-Based Modeling of Electromigration in Integrated Circuit Interconnects
Abstract
:1. Introduction
2. Physics-Based Three-Phase Compact Model
2.1. Korhonen’s Model
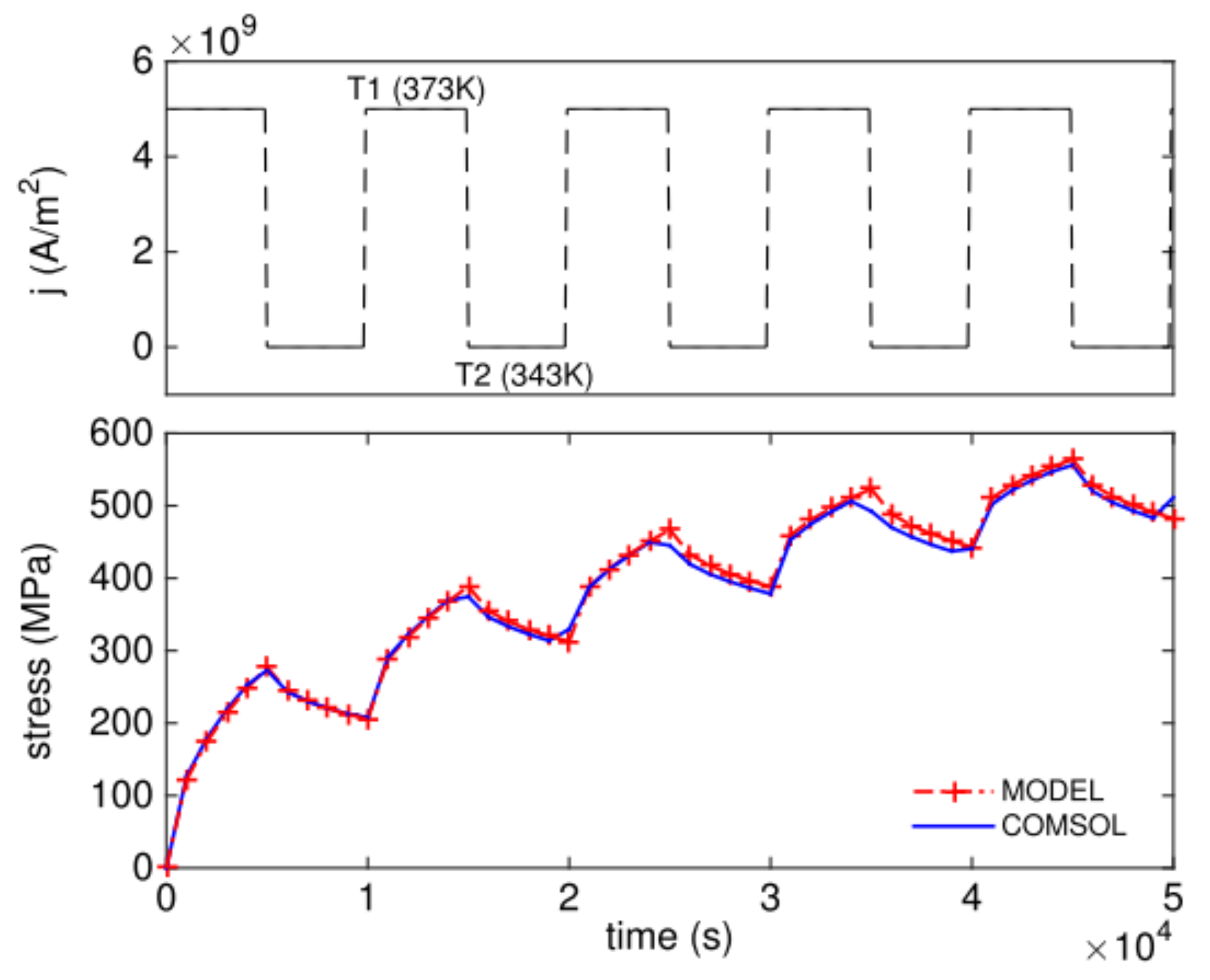
2.2. Three-Phase Compact Model
2.3. Model Applications
3. Modeling of EM Impact on Power Grids
3.1. Modeling and Simulation Methodologies
3.2. Fast EM Assessment and Optimization
3.3. EM Acceleration
4. Modeling of EM Impact on Interconnects in Cache Memory
5. Conclusions
Author Contributions
Funding
Conflicts of Interest
References
- Parihar, N.; Sharma, U.; Southwick, R.G.; Wang, M.; Stathis, J.H.; Mahapatra, S. Ultrafast measurements and physical modeling of NBTI stress and recovery in RMG FinFETs under diverse DC–AC experimental conditions. IEEE Trans. Electron Devices 2017, 65, 23–30. [Google Scholar] [CrossRef]
- Zhang, R.; Liu, T.; Yang, K.; Milor, L. Modeling of the Reliability Degradation of a FinFET-based SRAM Due to Bias Temperature Instability, Hot Carrier Injection, and Gate Oxide Breakdown. In Proceedings of the 2017 IEEE International Integrated Reliability Workshop (IIRW), South Lake Tahoe, CA, USA, 8–12 October 2017; pp. 1–4. [Google Scholar]
- Yang, K.; Liu, T.; Zhang, R.; Kim, D.; Milor, L. Front-end of line and middle-of-line time-dependent dielectric breakdown reliability simulator for logic circuits. Microelectron. Reliab. 2017, 76, 81–86. [Google Scholar] [CrossRef]
- Yang, K.; Liu, T.; Zhang, R.; Milor, L. Circuit-level reliability simulator for front-end-of-line and middle-of-line time-dependent dielectric breakdown in FinFET technology. In Proceedings of the 2018 IEEE 36th VLSI Test Symposium (VTS), San Francisco, CA, USA, 22–25 April 2018; pp. 1–6. [Google Scholar]
- Parihar, N.; Goel, N.; Mukhopadhyay, S.; Mahapatra, S. BTI Analysis Tool-Modeling of NBTI DC, AC Stress and Recovery Time Kinetics, Nitrogen Impact, and EOL Estimation. IEEE Trans. Electron Devices 2018, 65, 392–403. [Google Scholar] [CrossRef]
- Thirunavukkarasu, A.; Amrouch, H.; Joe, J.; Goel, N.; Parihar, N.; Mishra, S.; Dabhi, C.K.; Chauhan, Y.S.; Henkel, J.; Mahapatra, S. Device to circuit framework for activity-dependent nbti aging in digital circuits. IEEE Trans. Electron Devices 2018, 66, 316–323. [Google Scholar] [CrossRef]
- Mishra, S.; Amrouch, H.; Joe, J.; Dabhi, C.K.; Thakor, K.; Chauhan, Y.S.; Henkel, J.; Mahapatra, S. A simulation study of nbti impact on 14-nm node FinFET technology for logic applications: Device degradation to circuit-level interaction. IEEE Trans. Electron Devices 2018, 66, 271–278. [Google Scholar] [CrossRef]
- Zhang, R.; Yang, K.; Liu, T.; Milor, L. Impact of front-end wearout mechanisms on the performance of a ring oscillator-based thermal sensor. In Proceedings of the 2019 IEEE 8th International Workshop on Advances in Sensors and Interfaces (IWASI), Otranto, Italy, 13–14 June 2019; pp. 258–263. [Google Scholar]
- Zhang, R.; Liu, Z.; Yang, K.; Liu, T.; Cai, W.; Milor, L. Impact of front-end wearout mechanisms on FinFET SRAM soft error rate. Microelectron. Reliab. 2019, 100–101, 113487. [Google Scholar] [CrossRef]
- Zhang, R.; Liu, Z.; Yang, K.; Liu, T.; Cai, W.; Milor, L. A library based on deep neural networks for modeling the degradation of FinFET SRAM performance metrics due to aging. Microelectron. Reliab. 2019, 100–101, 113486. [Google Scholar] [CrossRef]
- Choudhury, N.; Parihar, N.; Goel, N.; Thirunavukkarasu, A.; Mahapatra, S. Modeling of DC-AC NBTI Stress-Recovery Time Kinetics in P-Channel Planar Bulk and FDSOI MOSFETs and FinFETs. IEEE J. Electron Devices Soc. 2020, 8, 1281–1288. [Google Scholar] [CrossRef]
- Zhang, R.; Liu, T.; Yang, K.; Chen, C.C.; Milor, L. SRAM Stability Analysis and Performance-Reliability Tradeoff for Different Cache Configurations. IEEE Trans. Very Large Scale Integr. (VLSI) Syst. 2020, 28, 620–633. [Google Scholar] [CrossRef]
- Choudhury, N.; Samadder, T.; Tiwari, R.; Zhou, H.; Southwick, R.G.; Wang, M.; Mahapatra, S. Analysis of Sheet Dimension (W, L) Dependence of NBTI in GAA-SNS FETs. In Proceedings of the 2021 IEEE International Reliability Physics Symposium (IRPS), Monterey, CA, USA, 21–25 March 2021; pp. 1–8. [Google Scholar]
- Chung, E.; Nam, K.; Nakanishi, T.; Park, S.; Yang, H.; Kauerauf, T.; Jiao, G.; Kim, D.; Hwang, K.H. Investigation of hot carrier degradation in bulk FinFET. In Proceedings of the 2017 IEEE International Reliability Physics Symposium (IRPS), Monterey, CA, USA, 2–6 April 2017; pp. XT-6.1–XT-6.4. [Google Scholar]
- Sharma, U.; Mahapatra, S. A SPICE compatible compact model for hot-carrier degradation in MOSFETs under different experimental conditions. IEEE Trans. Electron Devices 2018, 66, 839–846. [Google Scholar] [CrossRef]
- van Santen, V.M.; Thomann, S.; Pasupuleti, C.; Genssler, P.R.; Gangwar, N.; Sharma, U.; Henkel, J.; Mahapatra, S.; Amrouch, H. Bti and hcd degradation in a complete 32× 64 bit sram array–including sense amplifiers and write drivers–under processor activity. In Proceedings of the 2020 IEEE International Reliability Physics Symposium (IRPS), Dallas, TX, USA, 28 April–30 May 2020; pp. 1–7. [Google Scholar]
- Kumar, S.; Anandkrishnan, R.; Parihar, N.; Mahapatra, S. A stochastic framework for the time kinetics of interface and bulk oxide traps for BTI, SILC, and TDDB in MOSFETs. IEEE Trans. Electron Devices 2020, 67, 4741–4748. [Google Scholar] [CrossRef]
- Qian, Y.; Gao, Y.; Shukla, A.K.; Wu, T.; Wei, X.; Lu, K.; Yang, Y. Modeling of Hot Carrier Injection on Gate-Induced Drain Leakage in PDSOI nMOSFET. In Proceedings of the 2021 IEEE International Conference on Integrated Circuits, Technologies and Applications (ICTA), Zhuhai, China, 24–26 November 2021; pp. 239–240. [Google Scholar]
- Crespo-Yepes, A.; Nasarre, C.; Garsot, N.; Martin-Martinez, J.; Rodriguez, R.; Barajas, E.; Aragones, X.; Mateo, D.; Nafria, M. Combined effects of BTI, HCI and OFF-State MOSFETs Aging on the CMOS Inverter Performance. In Proceedings of the 2021 Joint International EUROSOI Workshop and International Conference on Ultimate Integration on Silicon (EuroSOI-ULIS), Caen, France, 1–3 September 2021; pp. 1–5. [Google Scholar]
- Tang, Q.; Kim, C.H. Characterizing the impact of RTN on logic and SRAM operation using a dual ring oscillator array circuit. IEEE J. Solid-State Circuits 2017, 52, 1655–1663. [Google Scholar] [CrossRef]
- Wirth, G. Modeling and Simulation of Charge Trapping in 1/f Noise, RTN and BTI: From Devices to Circuits. In Proceedings of the 2021 28th International Conference on Mixed Design of Integrated Circuits and System, Lodz, Poland, 24–26 June 2021; pp. 14–19. [Google Scholar]
- Yang, H.; Robitaille, M.; Chen, X.; Elgabra, H.; Wei, L.; Kim, N.Y. Random Telegraph Noise of a 28-nm Cryogenic MOSFET in the Coulomb Blockade Regime. IEEE Electron Device Lett. 2021, 43, 5–8. [Google Scholar] [CrossRef]
- González-Cordero, G.; González, M.B.; Zabala, M.; Kalam, K.; Tamm, A.; Jiménez-Molinos, F.; Campabadal, F.; Roldán, J.B. Study of RTN signals in resistive switching devices based on neural networks. Solid-State Electron. 2021, 183, 108034. [Google Scholar] [CrossRef]
- Zhang, R.; Yang, K.; Liu, Z.; Liu, T.; Cai, W.; Milor, L. A Comprehensive Framework for Analysis of Time-Dependent Performance-Reliability Degradation of SRAM Cache Memory. IEEE Trans. Very Large Scale Integr. (VLSI) Syst. 2021, 29, 857–870. [Google Scholar] [CrossRef]
- da Silva, M.B.; Both, T.H.; Wirth, G.I. Random Telegraph Noise Modeling for Circuit Analysis: RTN in Ring Oscillators. IEEE J. Electron Devices Soc. 2022. [Google Scholar] [CrossRef]
- Yang, K.; Liu, T.; Zhang, R.; Milor, L. A comparison study of time-dependent dielectric breakdown for analog and digital circuit’s optimal accelerated test regions. In Proceedings of the 2017 32nd Conference on Design of Circuits and Integrated Systems (DCIS), Barcelona, Spain, 22–24 November 2017; pp. 1–6. [Google Scholar]
- Peng, S.; Zhou, H.; Kim, T.; Chen, H.B.; Tan, S.X.D. Physics-Based Compact TDDB Models for Low-k BEOL Copper Interconnects With Time-Varying Voltage Stressing. IEEE Trans. Very Large Scale Integr. (VLSI) Syst. 2017, 26, 239–248. [Google Scholar] [CrossRef]
- Yang, K.; Zhang, R.; Liu, T.; Kim, D.; Milor, L. Optimal accelerated test regions for time-dependent dielectric breakdown lifetime parameters estimation in FinFET technology. In Proceedings of the 2018 Conference on Design of Circuits and Integrated Systems (DCIS), Lyon, France, 14–16 November 2018; pp. 1–6. [Google Scholar]
- Yang, K.; Liu, T.; Zhang, R.; Milor, L. A Comprehensive Time-Dependent Dielectric Breakdown Lifetime Simulator for Both Traditional CMOS and FinFET Technology. IEEE Trans. Very Large Scale Integr. (VLSI) Syst. 2018, 26, 2470–2482. [Google Scholar] [CrossRef]
- Peng, S.; Demircan, E.; Shroff, M.D.; Tan, S.X.D. Full-chip wire-oriented back-end-of-line TDDB hotspot detection and lifetime analysis. Integration 2020, 70, 90–98. [Google Scholar] [CrossRef]
- International Technology Roadmap for Semiconductors 2.0 (ITRS 2.0) (2015). Available online: http://www.itrs2.net/itrs-reports.html (accessed on 1 April 2022).
- Blech, I.A. Electromigration in Thin Aluminum Films on Titanium Nitride. J. Appl. Phys. 1976, 47, 1203–1208. [Google Scholar] [CrossRef]
- Black, J.R. Electromigration-A Brief Survey and Some Recent Results. IEEE Trans. Electron Devices 1969, 16, 338–347. [Google Scholar] [CrossRef] [Green Version]
- Tan, S.; Sun, Z.; Sadiqbatcha, S. Interconnect electromigration modeling and analysis for nanometer ICs: From physics to full-chip. IPSJ Trans. Syst. LSI Des. Methodol. 2020, 13, 42–55. [Google Scholar] [CrossRef]
- Sukharev, V.; Najm, F.N. Electromigration check: Where the design and reliability methodologies meet. IEEE Trans. Device Mater. Reliab. 2018, 18, 498–507. [Google Scholar] [CrossRef]
- Mishra, V.; Sapatnekar, S.S. The impact of electromigration in copper interconnects on power grid integrity. In Proceedings of the 50th Annual Design Automation Conference, Austin, TX, USA, 29 May 2013–7 June 2013; pp. 1–6. [Google Scholar]
- Huang, X.; Yu, T.; Sukharev, V.; Tan, S. Physics-based electromigration assessment for power grid networks. In Proceedings of the 51st Annual Design Automation Conference, San Francisco, CA, USA, 1–5 June 2014; pp. 1–6. [Google Scholar]
- Mishra, V.; Sapatnekar, S.S. Circuit delay variability due to wire resistance evolution under AC electromigration. In Proceedings of the 2015 IEEE International Reliability Physics Symposium, Monterey, CA, USA, 19–23 April 2015; p. 3D-3. [Google Scholar]
- Mishra, V.; Sapatnekar, S.S. Predicting electromigration mortality under temperature and product lifetime specifications. In Proceedings of the 53rd Annual Design Automation Conference, Austin, TX, USA, 5–9 June 2016; pp. 1–6. [Google Scholar]
- Mishra, V.; Sapatnekar, S.S. Probabilistic wire resistance degradation due to electromigration in power grids. IEEE Trans. Comput.-Aided Des. Integr. Circuits Syst. 2016, 36, 628–640. [Google Scholar] [CrossRef]
- Chatterjee, S.; Sukharev, V.; Najm, F.N. Fast physics-based electromigration checking for on-die power grids. In Proceedings of the IEEE/ACM International Conference on Computer-Aided Design (ICCAD), Austin, TX, USA, 7–10 November 2016; pp. 1–8. [Google Scholar]
- Huang, X.; Kteyan, A.; Tan, S.; Sukharev, V. Physics-based electromigration models and full-chip assessment for power grid networks. IEEE Trans. Comput.-Aided Des. Integr. Circuits Syst. 2016, 35, 1848–1861. [Google Scholar] [CrossRef]
- Mishra, V.; Jain, P.; Marella, S.K.; Sapatnekar, S.S. Incorporating the role of stress on electromigration in power grids with via arrays. In Proceedings of the ACM/EDAC/IEEE Design Automation Conference (DAC), Austin, TX, USA, 18–22 June 2017; pp. 1–6. [Google Scholar]
- Chatterjee, S.; Sukharev, V.; Najm, F.N. Power grid electromigration checking using physics-based models. IEEE Trans. Comput. Aided Des. Integr. Circuits Syst. 2017, 37, 1317–1330. [Google Scholar] [CrossRef]
- Tan, S.; Amrouch, H.; Kim, T.; Sun, Z.; Cook, C.; Henkel, J. Recent advances in EM and BTI induced reliability modeling, analysis and optimization. Integration 2018, 60, 132–152. [Google Scholar] [CrossRef]
- Sapatnekar, S.S. Electromigration-Aware Interconnect Design. In Proceedings of the 2019 International Symposium on Physical Design, San Francisco, CA, USA, 14–17 April 2019; pp. 83–90. [Google Scholar]
- Tan, S.; Tahoori, M.; Kim, T.; Wang, S.; Sun, Z.; Kiamehr, S. VLSI Systems Long-Term Reliability–Modeling, Simulation and Optimization; Springer Publishing: Boston, MA, USA, 2019. [Google Scholar]
- Najm, F.N.; Sukharev, V. Efficient simulation of electromigration damage in large chip power grids using accurate physical models. In Proceedings of the IEEE International Reliability Physics Symposium (IRPS), Monterey, CA, USA, 31 March–4 April 2019; pp. 1–10. [Google Scholar]
- Zhang, R.; Liu, T.; Yang, K.; Milor, L. CacheEM: For Reliability Analysis on Cache Memory Aging Due to Electromigration. IEEE Trans. Comput.-Aided Des. Integr. Circuits Syst. 2021. [Google Scholar] [CrossRef]
- Korhonen, M.A.; Børgesen, P.; Tu, K.N.; Li, C.Y. Stress evolution due to electromigration in confined metal lines. J. Appl. Phys. 1993, 73, 3790–3799. [Google Scholar] [CrossRef]
- Sukharev, V.; Kteyan, A.; Huang, X. Postvoiding stress evolution in confined metal lines, IEEE Trans. Device Mater. Reliab. 2016, 16, 50–60. [Google Scholar] [CrossRef]
- Zhang, L. Effects of Scaling and Grain Structure on Electromigration Reliability of cu Interconnects. Ph.D. Dissertation, The University of Texas at Austin, Austin, TX, USA, 2010. [Google Scholar]
- Zahedmanesh, H.; Pedreira, O.V.; Wilson, C.; Tőkei, Z.; Croes, K. Copper electromigration; prediction of scaling limits. In Proceedings of the IEEE International Interconnect Technology Conference, Brussels, Belgium, 2–6 June 2019. [Google Scholar]
- Zahedmaesh, H.; Pedreira, O.V.; Tokei, Z.; Croes, K. Electromigration limits of copper nano-interconnects. In Proceedings of the 2021 IEEE International Reliability Physics Symposium (IRPS), Monterey, CA, USA, 21–25 March 2021; pp. 1–6. [Google Scholar]
- Zhang, D.; Xu, J.; Mao, S.; Zhao, C.; Wang, G.; Luo, X.; Li, J.; Li, Y.; Wang, W.; Chen, D.; et al. Co-sputtering Co–Ti alloy as a single barrier/liner for Co interconnects and thermal stability enhancement using TiN metal capping. J. Mater. Sci. Mater. Electron. 2019, 30, 10579–10588. [Google Scholar] [CrossRef]
- Beyne, S.; Pedreira, O.V.; Oprins, H.; De Wolf, I.; Tőkei, Z.; Croes, K. Electromigration activation energies in alternative metal interconnects. IEEE Trans. Electron Devices 2019, 66, 5278–5283. [Google Scholar] [CrossRef]
- Zahedmanesh, H.; Vanstreels, K. Mechanical integrity of back-end-of-line with Ru nanowires and airgaps. Microelectron. Reliab. 2020, 110, 113700. [Google Scholar] [CrossRef]
- Zhang, D.; Du, A.; Zhao, C.; Gao, J.; Mao, S.; Xu, J.; Gu, S.; Liu, Y.; Luo, X.; Li, Y.; et al. Investigation of barrier property of amorphous co–ti layer as single barrier/liner in local co interconnects. IEEE Trans. Electron Devices 2020, 67, 2076–2081. [Google Scholar] [CrossRef]
- Kotsugi, Y.; Han, S.M.; Kim, Y.H.; Cheon, T.; Nandi, D.K.; Ramesh, R.; Yu, N.K.; Son, K.; Tsugawa, T.; Ohtake, S.; et al. Atomic Layer Deposition of Ru for Replacing Cu-Interconnects. Chem. Mater. 2021, 33, 5639–5651. [Google Scholar] [CrossRef]
- Vega-Gonzalez, V.; Montero, D.; Versluijs, J.; Pedreira, O.V.; Jourdan, N.; Puliyalil, H.; Chehab, B.; Peissker, T.; Haider, A.; Batuk, D.; et al. Process Integration of High Aspect Ratio Vias with a Comparison between Co and Ru Metallizations. In Proceedings of the 2021 IEEE International Interconnect Technology Conference (IITC), Kyoto, Japan, 6–9 July 2021; pp. 1–3. [Google Scholar]
- Croes, K.; Adelmann, C.; Wilson, C.J.; Zahedmanesh, H.; Pedreira, O.V.; Wu, C.; Leśniewska, A.; Oprins, H.; Beyne, S.; Ciofi, I.; et al. Interconnect metals beyond copper: Reliability challenges and opportunities. In Proceedings of the 2018 IEEE International Electron Devices Meeting (IEDM), San Francisco, CA, USA, 1–5 December 2018; pp. 531–534. [Google Scholar]
- Pedreira, O.V.; Stucchi, M.; Gupta, A.; Gonzalez, V.V.; van der Veen, M.; Lariviere, S.; Wilson, C.J.; Tőkei, Z. Metal reliability mechanisms in Ruthenium interconnects. In Proceedings of the 2020 IEEE International Reliability Physics Symposium (IRPS), Dallas, TX, USA, 28 April–30 May 2020; pp. 1–7. [Google Scholar]
- Pedreira, O.V.; Lofrano, M.; Zahedmanesh, H.; Roussel, P.J.; van der Veen, M.; Simons, V.; Chery, E.; Ciofi, I.; Croes, K. Assessment of critical Co electromigration parameters. In Proceedings of the 2022 IEEE International Reliability Physics Symposium (IRPS), Dallas, TX, USA, 27–31 March 2022; p. 8C-2. [Google Scholar]
- Pedreira, O.V.; Croes, K.; Zahedmanesh, H.; Vandersmissen, K.; Van Der Veen, M.H.; Gonzalez, V.V.; Dictus, D.; Zhao, L.; Kolies, A.; Tőkei, Z. Electromigration and thermal storage study of barrierless Co vias. In Proceedings of the 2018 IEEE International Interconnect Technology Conference (IITC), Santa Clara, CA, USA, 4–7 June 2018; pp. 48–50. [Google Scholar]
- Ceric, H.; Selberherr, S.; Zahedmanesh, H.; de Orio, R.L.; Croes, K. Modeling Methods for Analysis of Electromigration Degradation in Nano-Interconnects. ECS J. Solid State Sci. Technol. 2021, 10, 035003. [Google Scholar] [CrossRef]
- Posser, G.; Mishra, V.; Jain, P.; Reis, R.; Sapatnekar, S.S. A systematic approach for analyzing and optimizing cell-internal signal electromigration. In Proceedings of the IEEE/ACM International Conference on Computer-Aided Design (ICCAD), San Jose, CA, USA, 2–6 November 2014; pp. 486–491. [Google Scholar]
- Posser, G.; Mishra, V.; Jain, P.; Reis, R.; Sapatnekar, S.S. Impact on performance, power, area and wirelength using electromigration-aware cells. In Proceedings of the IEEE International Conference on Electronics, Circuits, and Systems (ICECS), Cairo, Egypt, 6–9 December 2015; pp. 129–132. [Google Scholar]
- Posser, G.; Paris, L.D.; Mishra, V.; Jain, P.; Reis, R.; Sapatnekar, S.S. Reducing the signal electromigration effects on different logic gates by cell layout optimization. In Proceedings of the IEEE 6th Latin American Symposium on Circuits and Systems (LASCAS), Montevideo, Uruguay, 24–27 February 2015; pp. 1–4. [Google Scholar]
- Jain, P.; Sapatnekar, S.S.; Cortadella, J. A retargetable and accurate methodology for logic-IP-internal electromigration assessment. In Proceedings of the Asia and South Pacific Design Automation Conference, Chiba, Japan, 19–22 January 2015; pp. 346–351. [Google Scholar]
- Jain, P.; Sapatnekar, S.S.; Cortadella, J. Stochastic and topologically aware electromigration analysis for clock skew. In Proceedings of the IEEE International Reliability Physics Symposium, Monterey, CA, USA, 19–23 April 2015; p. 3D-4. [Google Scholar]
- Jain, P.; Cortadella, J.; Sapatnekar, S.S. A fast and retargetable framework for logic-IP-internal electromigration assessment comprehending advanced waveform effects. IEEE Trans. Very Large Scale Integr. (VLSI) Syst. 2016, 24, 2345–2358. [Google Scholar] [CrossRef] [Green Version]
- Jain, P.; Mishra, V.; Sapatnekar, S.S. Fast stochastic analysis of electromigration in power distribution networks. IEEE Trans. Very Large Scale Integr. (VLSI) Syst. 2017, 25, 2512–2524. [Google Scholar] [CrossRef]
- Chhabria, V.A.; Sapatnekar, S.S. Impact of self-heating on performance and reliability in FinFET and GAAFET designs. In Proceedings of the IEEE International Symposium on Quality Electronic Design (ISQED), Santa Clara, CA, USA, 6–7 March 2019; pp. 235–240. [Google Scholar]
- Fawaz, M.; Chatterjee, S.; Najm, F.N. A vectorless framework for power grid electromigration checking. In Proceedings of the IEEE/ACM International Conference on Computer-Aided Design (ICCAD), San Jose, CA, USA, 18–21 November 2013; pp. 553–560. [Google Scholar]
- Chatterjee, S.; Fawaz, M.; Najm, F.N. Redundancy-aware electromigration checking for mesh power grids. In Proceedings of the IEEE/ACM International Conference on Computer-Aided Design (ICCAD), San Jose, CA, USA, 18–21 November 2013; pp. 540–547. [Google Scholar]
- Chatterjee, S.; Fawaz, M.; Najm, F.N. Redundancy-aware power grid electromigration checking under workload uncertainties. IEEE Trans. Comput.-Aided Des. Integr. Circuits Syst. 2015, 34, 1509–1522. [Google Scholar] [CrossRef]
- Huang, X.; Sukharev, V.; Choy, J.; Chen, H.; Tlelo-Cuautle, E.; Tan, S. Full-chip electromigration assessment: Effect of cross-layout temperature and thermal stress distributions. In Proceedings of the International Conference on Synthesis, Modeling, Analysis and Simulation Methods and Applications to Circuit Design (SMACD), Istanbul, Turkey, 7–9 September 2015; pp. 1–4. [Google Scholar]
- Huang, X.; Sukharev, V.; Choy, J.; Chew, M.; Kim, T.; Tan, S. Electromigration assessment for power grid networks considering temperature and thermal stress effects. Integration 2016, 55, 307–315. [Google Scholar] [CrossRef] [Green Version]
- He, K.; Huang, X.; Tan, S. EM-based on-chip aging sensor for detection and prevention of counterfeit and recycled ICs. In Proceedings of the IEEE/ACM International Conference on Computer-Aided Design (ICCAD), Austin, TX, USA, 2–6 November 2015; pp. 146–151. [Google Scholar]
- Cook, C.; Sun, Z.; Kim, T.; Tan, S. Finite difference method for electromigration analysis of multi-branch interconnects. In Proceedings of the International Conference on Synthesis, Modeling, Analysis and Simulation Methods and Applications to Circuit Design (SMACD), Lisbon, Portugal, 27–30 June 2016; pp. 1–4. [Google Scholar]
- Kim, T.; Liu, Z.; Tan, S. Dynamic reliability management based on resource-based EM modeling for multi-core microprocessors. Microelectron. J. 2018, 74, 106–115. [Google Scholar] [CrossRef]
- Sun, Z.; Demircan, E.; Shroff, M.D.; Cook, C.; Tan, S. Fast electromigration immortality analysis for multisegment copper interconnect wires. IEEE Trans. Comput.-Aided Des. Integr. Circuits Syst. 2018, 37, 3137–3150. [Google Scholar] [CrossRef]
- Sun, Z.; Sadiqbatcha, S.; Zhao, H.; Tan, S. Saturation-Volume Estimation for Multisegment Copper Interconnect Wires. IEEE Trans. Very Large Scale Integr. (VLSI) Syst. 2019, 27, 1666–1674. [Google Scholar] [CrossRef]
- Sun, Z.; Yu, S.; Zhou, H.; Liu, Y.; Tan, S. EMSpice: Physics-based electromigration check using coupled electronic and stress simulation. IEEE Trans. Device Mater. Reliab. 2020, 20, 376–389. [Google Scholar] [CrossRef]
- Zhao, H.; Tan, S. Multi-physics-based FEM analysis for post-voiding analysis of electromigration failure effects. In Proceedings of the International Conference on Computer-Aided Design, San Diego, CA, USA, 5–8 November 2018; pp. 1–8. [Google Scholar]
- Zhao, H.; Tan, S. Postvoiding fem analysis for electromigration failure characterization. IEEE Trans. Very Large Scale Integr. (VLSI) Syst. 2018, 26, 2483–2493. [Google Scholar] [CrossRef]
- Choy, J.; Sukharev, V.; Chatterjee, S.; Najm, F.N.; Kteyan, A.; Moreau, S. Finite-difference methodology for full-chip electromigration analysis applied to 3D IC test structure: Simulation vs experiment. In Proceedings of the International Conference on Simulation of Semiconductor Processes and Devices (SISPAD), Kamakura, Japan, 7–9 September 2017; pp. 41–44. [Google Scholar]
- Moudallal, Z.; Sukharev, V.; Najm, F.N. Power grid fixing for electromigration-induced voltage failures. In Proceedings of the IEEE/ACM International Conference on Computer-Aided Design (ICCAD), Westminster, CO, USA, 4–7 November 2019; pp. 1–8. [Google Scholar]
- Issa, A.; Sukharev, V.; Najm, F.N. Electromigration checking using a stochastic effective current model. In Proceedings of the IEEE/ACM International Conference on Computer Aided Design (ICCAD), San Diego, CA, USA, 2–5 November 2020; pp. 1–8. [Google Scholar]
- Najm, F.N. Equivalent circuits for electromigration. Microelectron. Reliab. 2021, 123, 114200. [Google Scholar] [CrossRef]
- Torosyan, S.; Kteyan, A.; Sukharev, V.; Choy, J.; Najm, F.N. Novel physics-based tool-prototype for electromigration assessment in commercial-grade power delivery networks. J. Vac. Sci. Technol. B Nanotechnol. Microelectron. Mater. Processing Meas. Phenom. 2021, 39, 013203. [Google Scholar] [CrossRef]
- Sukharev, V.; Kteyan, A.; Najm, F.N.; Yi, Y.H.; Kim, C.H.; Choy, J.; Torosyan, S.; Zhu, Y. Experimental Validation of a Novel Methodology for Electromigration Assessment in On-chip Power Grids. IEEE Trans. Comput.-Aided Des. Integr. Circuits Syst. 2021. [Google Scholar] [CrossRef]
- Zahedmanesh, H.; Varela Pedreira, O.; Tőkei, Z.; Croes, K. Investigating the electromigration limits of Cu nano-interconnects using a novel hybrid physics-based model. J. Appl. Phys. 2019, 126, 055102. [Google Scholar] [CrossRef]
- Nair, S.M.; Bishnoi, R.; Tahoori, M.B.; Zahedmanesh, H.; Croes, K.; Garello, K.; Kar, G.S.; Catthoor, F. Variation-aware physics-based electromigration modeling and experimental calibration for VLSI interconnects. In Proceedings of the 2019 IEEE International Reliability Physics Symposium (IRPS), Monterey, CA, USA, 31 March–4 April 2019; pp. 1–6. [Google Scholar]
- Nair, S.M.; Bishnoi, R.; Tahoori, M.B.; Zahedmanesh, H.; Croes, K.; Garello, K.; Kar, G.S.; Catthoor, F. Physics based modeling of bimodal electromigration failure distributions and variation analysis for VLSI interconnects. In Proceedings of the 2020 IEEE International Reliability Physics Symposium (IRPS), Dallas, TX, USA, 28 April–30 May 2020; pp. 1–5. [Google Scholar]
- Zahedmanesh, H.; Ciofi, I.; Zografos, O.; Croes, K.; Badaroglu, M. System-Level Simulation of Electromigration in a 3 nm CMOS Power Delivery Network: The Effect of Grid Redundancy, Metallization Stack and Standard-Cell Currents. In Proceedings of the 2022 IEEE International Reliability Physics Symposium (IRPS), Dallas, TX, USA, 27–31 March 2022; pp. 1–7. [Google Scholar]
- Zahedmanesh, H.; Ciofi, I.; Zografos, O.; Badaroglu, M.; Croes, K. A Novel System-Level Physics-Based Electromigration Modelling Framework: Application to the Power Delivery Network. In Proceedings of the ACM/IEEE International Workshop on System Level Interconnect Prediction (SLIP), Munich, Germany, 4 November 2021; pp. 1–7. [Google Scholar]
- Wang, S.; Sun, Z.; Cheng, Y.; Tan, S.; Tahoori, M.B. Leveraging recovery effect to reduce electromigration degradation in power/ground TSV. In Proceedings of the IEEE/ACM International Conference on Computer-Aided Design (ICCAD), Irvine, CA, USA, 13–16 November 2017; p. 811. [Google Scholar]
- Wang, S.; Zhao, H.; Tan, S.; Tahoori, M.B. Recovery-aware proactive TSV repair for electromigration in 3D ICs. In Proceedings of the Design, Automation and Test in Europe Conference and Exhibition (DATE), Lausanne, Switzerland, 27–31 March 2017; pp. 220–225. [Google Scholar]
- Wang, S.; Kim, T.; Sun, Z.; Tan, S.; Tahoori, M.B. Recovery-aware proactive TSV repair for electromigration lifetime enhancement in 3-D ICs. IEEE Trans. Very Large Scale Integr. (VLSI) Syst. 2017, 26, 531–543. [Google Scholar] [CrossRef]
- Sukharev, V.; Huang, X.; Tan, S. Electromigration induced stress evolution under alternate current and pulse current loads. J. Appl. Phys. 2015, 118, 034504. [Google Scholar] [CrossRef]
- Huang, X.; Sukharev, V.; Kim, T.; Chen, H.; Tan, S. Electromigration recovery modeling and analysis under time-dependent current and temperature stressing. In Proceedings of the 21st Asia and South Pacific Design Automation Conference (ASP-DAC), Macao, China, 25–28 January 2016; pp. 244–249. [Google Scholar]
- Huang, X.; Sukharev, V.; Kim, T.; Tan, S. Dynamic electromigration modeling for transient stress evolution and recovery under time-dependent current and temperature stressing. Integration 2017, 58, 518–527. [Google Scholar] [CrossRef]
- Chen, H.; Tan, S.; Sukharev, V.; Huang, X.; Kim, T. Interconnect reliability modeling and analysis for multi-branch interconnect trees. In Proceedings of the 52nd Annual Design Automation Conference, San Francisco, CA, USA, 7–11 June 2015; pp. 1–6. [Google Scholar]
- Chen, H.; Tan, S.; Huang, X.; Kim, T.; Sukharev, V. Analytical modeling and characterization of electromigration effects for multibranch interconnect trees. IEEE Trans. Comput.-Aided Des. Integr. Circuits Syst. 2016, 35, 1811–1824. [Google Scholar] [CrossRef]
- Chen, H.; Tan, S.; Huang, X.; Sukharev, V. New electromigration modeling and analysis considering time-varying temperature and current densities. In Proceedings of the Asia and South Pacific Design Automation Conference, Chiba, Japan, 19–22 January 2015; pp. 352–357. [Google Scholar]
- Chen, H.; Tan, S.; Peng, J.; Kim, T.; Chen, J. Analytical modeling of electromigration failure for VLSI interconnect tree considering temperature and segment length effects. IEEE Trans. Device Mater. Reliab. 2017, 17, 653–666. [Google Scholar] [CrossRef]
- Wang, X.; Yan, Y.; He, J.; Tan, S.; Cook, C.; Yang, S. Fast physics-based electromigration analysis for multi-branch interconnect trees. In Proceedings of the IEEE/ACM International Conference on Computer-Aided Design (ICCAD), Irvine, CA, USA, 13–16 November 2017; pp. 169–176. [Google Scholar]
- Wang, X.; Wang, H.; He, J.; Tan, S.; Cai, Y.; Yang, S. Physics-based electromigration modeling and assessment for multi-segment interconnects in power grid networks. In Proceedings of the Design, Automation and Test in Europe Conference and Exhibition (DATE), Lausanne, Switzerland, 27–31 March 2017; pp. 1727–1732. [Google Scholar]
- Wang, X.; Ma, S.; Tan, S.; Cook, C.; Chen, L.; Yang, J.; Yu, W. Fast Physics-Based Electromigration Analysis for Full-Chip Networks by Efficient Eigenfunction-Based Solution. IEEE Trans. Comput.-Aided Des. Integr. Circuits Syst. 2020, 40, 507–520. [Google Scholar] [CrossRef]
- Chen, L.; Tan, S.; Sun, Z.; Peng, S.; Tang, M.; Mao, J. Fast analytic electromigration analysis for general multisegment interconnect wires. IEEE Trans. Very Large-Scale Integr. (VLSI) Syst. 2019, 28, 421–432. [Google Scholar] [CrossRef]
- Chen, L.; Tan, S.; Sun, Z.; Peng, S.; Tang, M.; Mao, J. A Fast Semi-Analytic Approach for Combined Electromigration and Thermomigration Analysis for General Multisegment Interconnects. IEEE Trans. Comput.-Aided Des. Integr. Circuits Syst. 2020, 40, 350–363. [Google Scholar] [CrossRef]
- Kavousi, M.; Chen, L.; Tan, S. Electromigration Immortality Check considering Joule Heating Effect for Multisegment Wires. In Proceedings of the IEEE/ACM International Conference on Computer Aided Design (ICCAD), San Diego, CA, USA, 2–5 November 2020; pp. 1–8. [Google Scholar]
- Kavousi, M.; Chen, L.; Tan, S. Fast Electromigration Stress Analysis Considering Spatial Joule Heating Effects. In Proceedings of the 27th Asia and South Pacific Design Automation Conference (ASP-DAC), Taipei, Taiwan, 17–20 January 2022; pp. 208–213. [Google Scholar]
- Al, S.; Abdullah, M.; Chhabria, V.A.; Sapatnekar, S.S. A New, Computationally Efficient “Blech Criterion” for Immortality in General Interconnects. In Proceedings of the ACM/IEEE Design Automation Conference (DAC), San Francisco, CA, USA, 5–9 December 2021; pp. 913–918. [Google Scholar]
- Al, S.; Abdullah, M.; Chhabria, V.A.; Evmorfopoulos, N.; Sapatnekar, S.S. Analytical Modeling of Transient Electromigration Stress based on Boundary Reflections. In Proceedings of the IEEE/ACM International Conference on Computer Aided Design (ICCAD), Munich, Germany, 1–4 November 2021; pp. 1–8. [Google Scholar]
- Chatterjee, S.; Sukharev, V.; Najm, F.N. Fast physics-based electromigration assessment by efficient solution of linear time-invariant (LTI) systems. In Proceedings of the IEEE/ACM International Conference on Computer-Aided Design (ICCAD), Irvine, CA, USA, 13–16 November 2017; pp. 659–666. [Google Scholar]
- Cook, C.; Sun, Z.; Demircan, E.; Shroff, M.D.; Tan, S. Fast electromigration stress evolution analysis for interconnect trees using Krylov subspace method. IEEE Trans. Very Large Scale Integr. (VLSI) Syst. 2018, 26, 969–980. [Google Scholar] [CrossRef]
- Jin, W.; Sadiqbatcha, S.; Sun, Z.; Zhou, Z.; Tan, S. Em-gan: Data-driven fast stress analysis for multi-segment interconnects. In Proceedings of the IEEE 38th International Conference on Computer Design (ICCD), Hartford, CT, USA, 18–21 October 2020; pp. 296–303. [Google Scholar]
- Jin, W.; Chen, L.; Sadiqbatcha, S.; Peng, S.; Tan, S. EMGraph: Fast Learning-Based Electromigration Analysis for Multi-Segment Interconnect Using Graph Convolution Networks. In Proceedings of the ACM/IEEE Design Automation Conference (DAC), San Francisco, CA, USA, 5–9 December 2021; pp. 919–924. [Google Scholar]
- Zhou, H.; Jin, W.; Tan, S. Gridnet: Fast data-driven EM-induced IR drop prediction and localized fixing for on-chip power grid networks. In Proceedings of the IEEE/ACM International Conference on Computer Aided Design (ICCAD), San Diego, CA, USA, 2–5 November 2020; pp. 1–9. [Google Scholar]
- Zhou, H.; Sun, Y.; Sun, Z.; Zhao, H.; Tan, S. Electromigration-lifetime constrained power grid optimization considering multi-segment interconnect wires. In Proceedings of the 23rd Asia and South Pacific Design Automation Conference (ASP-DAC), Jeju, Korea, 22–25 January 2018; pp. 399–404. [Google Scholar]
- Zhou, H.; Sun, Z.; Sadiqbatcha, S.; Chang, Z.; Tan, S. EM-aware and lifetime-constrained optimization for multisegment power grid networks. IEEE Trans. Very Large Scale Integr. (VLSI) Syst. 2019, 27, 940–953. [Google Scholar] [CrossRef]
- Zhou, H.; Yu, S.; Sun, Z.; Tan, S. Reliable power grid network design framework considering EM immortalities for multi-segment wires. In Proceedings of the 25th Asia and South Pacific Design Automation Conference (ASP-DAC), Beijing, China, 13–16 January 2022; pp. 74–79. [Google Scholar]
- Zhou, H.; Chen, L.; Tan, S. Robust power grid network design considering EM aging effects for multi-segment wires. Integration 2021, 77, 38–47. [Google Scholar] [CrossRef]
- Sun, Z.; Sadiqbatcha, S.; Zhao, H.; Tan, S. Accelerating electromigration aging for fast failure detection for nanometer ICs. In Proceedings of the 23rd Asia and South Pacific Design Automation Conference (ASP-DAC), Jeju, Korea, 22–25 January 2018; pp. 623–630. [Google Scholar]
- Sadiqbatcha, S.; Cook, C.; Sun, Z.; Tan, S. Accelerating electromigration wear-out effects based on configurable sink-structured wires. In Proceedings of the International Conference on Synthesis, Modeling, Analysis and Simulation Methods and Applications to Circuit Design (SMACD), Prague, Czech Republic, 2–5 July 2018; pp. 21–24. [Google Scholar]
- Sadiqbatcha, S.; Sun, Z.; Tan, S. Accelerating electromigration aging: Fast failure detection for nanometer ICs. IEEE Trans. Comput.-Aided Des. Integr. Circuits Syst. 2019, 39, 885–894. [Google Scholar] [CrossRef] [Green Version]
- Guan, Z.; Marek-Sadowska, M.; Nassif, S. SRAM bit-line electromigration mechanism and its prevention scheme. In Proceedings of the IEEE International Symposium on Quality Electronic Design (ISQED), Santa Clara, CA, USA, 4–6 March 2013; pp. 286–293. [Google Scholar]
- Guan, Z.; Marek-Sadowska, M.; Nassif, S. Statistical analysis of process variation induced SRAM electromigration degradation. In Proceedings of the IEEE International Symposium on Quality Electronic Design (ISQED), Santa Clara, CA, USA, 3–5 March 2014; pp. 700–707. [Google Scholar]
- Guan, Z.; Marek-Sadowska, M. Incorporating process variations into SRAM electromigration reliability assessment using atomic flux divergence. IEEE Trans. Very Large Scale Integr. (VLSI) Syst. 2015, 24, 2195–2207. [Google Scholar] [CrossRef]
- Zhang, R.; Yang, K.X.; Liu, T.Z.; Milor, L. Modeling of FinFET SRAM array reliability degradation due to electromigration. Microelectron. Reliab. 2019, 100, 113485. [Google Scholar] [CrossRef]




























Publisher’s Note: MDPI stays neutral with regard to jurisdictional claims in published maps and institutional affiliations. |
© 2022 by the authors. Licensee MDPI, Basel, Switzerland. This article is an open access article distributed under the terms and conditions of the Creative Commons Attribution (CC BY) license (https://creativecommons.org/licenses/by/4.0/).
Share and Cite
Zhao, W.-S.; Zhang, R.; Wang, D.-W. Recent Progress in Physics-Based Modeling of Electromigration in Integrated Circuit Interconnects. Micromachines 2022, 13, 883. https://doi.org/10.3390/mi13060883
Zhao W-S, Zhang R, Wang D-W. Recent Progress in Physics-Based Modeling of Electromigration in Integrated Circuit Interconnects. Micromachines. 2022; 13(6):883. https://doi.org/10.3390/mi13060883
Chicago/Turabian StyleZhao, Wen-Sheng, Rui Zhang, and Da-Wei Wang. 2022. "Recent Progress in Physics-Based Modeling of Electromigration in Integrated Circuit Interconnects" Micromachines 13, no. 6: 883. https://doi.org/10.3390/mi13060883
APA StyleZhao, W.-S., Zhang, R., & Wang, D.-W. (2022). Recent Progress in Physics-Based Modeling of Electromigration in Integrated Circuit Interconnects. Micromachines, 13(6), 883. https://doi.org/10.3390/mi13060883

