Cardio-Vasculo-Renal Benefits of SGLT2 Inhibitors in Heart Failure: A Retrospective Study from a Lower-Resource Tertiary Center
Abstract
1. Introduction
2. Materials and Methods
2.1. Study Design and Setting
2.2. Ethical Approval
2.3. Study Population
2.4. Exposure Definition and Index Date
2.5. Outcomes
2.6. Statistical Analysis
2.7. Outcome Definitions and Ascertainment
3. Results
3.1. Baseline Characteristics
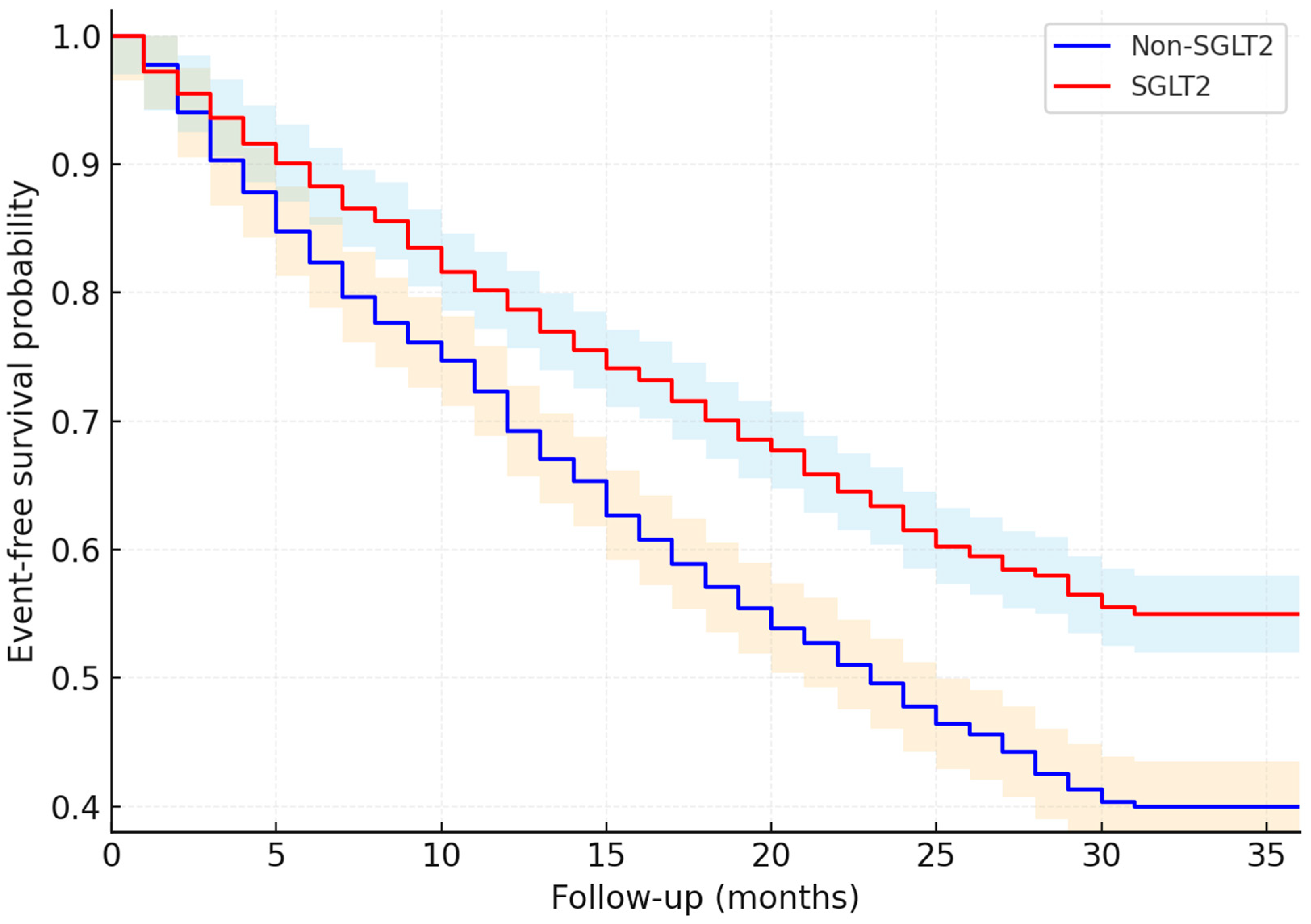
3.2. Primary Outcome
3.3. Secondary Outcomes
3.4. Renal Outcomes and eGFR Slope Analysis
4. Discussion
4.1. Cardiovascular Implications
4.2. Renal Implications
4.3. Integration with Current Clinical Practice
4.4. Translational and Guideline-Implementation Relevance
4.5. Cardiac Remodelling and Endothelial Effects
4.6. Study Strengths
4.7. Study Limitations
4.8. Future Directions
5. Conclusions
Supplementary Materials
Author Contributions
Funding
Institutional Review Board Statement
Informed Consent Statement
Data Availability Statement
Acknowledgments
Conflicts of Interest
Abbreviations
| ACEI | Angiotensin-Converting Enzyme Inhibitor |
| AKI | Acute Kidney Injury |
| ARB | Angiotensin Receptor Blocker |
| ARNI | Angiotensin Receptor–Neprilysin Inhibitor |
| BMI | Body Mass Index |
| CKD | Chronic Kidney Disease |
| CV | Cardiovascular |
| DBP | Diastolic Blood Pressure |
| DKA | Diabetic Ketoacidosis |
| eGFR | Estimated Glomerular Filtration Rate |
| ESC | European Society of Cardiology |
| HF | Heart Failure |
| HFpEF | Heart Failure with Preserved Ejection Fraction |
| HFmrEF | Heart Failure with Mildly Reduced Ejection Fraction |
| HFrEF | Heart Failure with Reduced Ejection Fraction |
| IQR | Interquartile Range |
| KRT | Kidney Replacement Therapy |
| LVEF | Left Ventricular Ejection Fraction |
| MRA | Mineralocorticoid Receptor Antagonist |
| NYHA | New York Heart Association |
| RAAS | Renin–Angiotensin–Aldosterone System |
| SBP | Systolic Blood Pressure |
| SGLT2I | Sodium–Glucose Cotransporter-2 inhibitor |
| T2DM | Type 2 Diabetes Mellitus |
References
- McDonagh, T.A.; Metra, M.; Adamo, M.; Gardner, R.S.; Baumbach, A.; Böhm, M.; Burri, H.; Butler, J.; Čelutkienė, J.; Chioncel, O.; et al. 2021 ESC Guidelines for the diagnosis and treatment of acute and chronic heart failure: Developed by the Task Force for the diagnosis and treatment of acute and chronic heart failure of the European Society of Cardiology (ESC) with the special contribution of the Heart Failure Association (HFA) of the ESC. Eur. Heart J. 2021, 42, 3599–3726. [Google Scholar]
- Szlagor, M.; Dybiec, J.; Młynarska, E.; Rysz, J.; Franczyk, B. Chronic Kidney Disease as a Comorbidity in Heart Failure. Int. J. Mol. Sci. 2023, 24, 2988. [Google Scholar] [CrossRef]
- Parmar, S.S.; Muthuppalaniappan, V.; Banerjee, D. Gaps in Modern Heart Failure and Chronic Kidney Disease Research. Eur. Cardiol. 2023, 18, e51. [Google Scholar] [CrossRef]
- Aguilar-Gallardo, J.S.; Correa, A.; Contreras, J.P. Cardio-renal benefits of sodium-glucose co-transporter 2 inhibitors in heart failure with reduced ejection fraction: Mechanisms and clinical evidence. Eur. Heart J. Cardiovasc. Pharmacother. 2022, 8, 311–321. Available online: https://pubmed.ncbi.nlm.nih.gov/34264341/ (accessed on 30 November 2025). [CrossRef]
- Navaneethan, S.D.; Zoungas, S.; Caramori, M.L.; Chan, J.C.N.; Heerspink, H.J.L.; Hurst, C.; Liew, A.; Michos, E.D.; Olowu, W.A.; Sadusky, T.; et al. Diabetes Management in Chronic Kidney Disease: Synopsis of the KDIGO 2022 Clinical Practice Guideline Update. Ann. Intern. Med. 2023, 176, 381–387. Available online: https://pubmed.ncbi.nlm.nih.gov/36623286/ (accessed on 30 November 2025). [CrossRef]
- North, E.J.; Newman, J.D. Review of cardiovascular outcomes trials of sodium—Glucose cotransporter-2 inhibitors and glucagon-like peptide-1 receptor agonists. Curr. Opin. Cardiol. 2019, 34, 687–692. [Google Scholar] [CrossRef]
- Preda, A.; Montecucco, F.; Carbone, F.; Camici, G.G.; Lüscher, T.F.; Kraler, S.; Liberale, L. SGLT2I inhibitors: From glucose-lowering to cardiovascular benefits. Cardiovasc. Res. 2024, 120, 443–460. [Google Scholar] [CrossRef]
- McMurray, J.J.; Solomon, S.D.; Inzucchi, S.E.; Køber, L.; Kosiborod, M.N.; Martinez, F.A.; Ponikowski, P.; Sabatine, M.S.; Anand, I.S.; Bělohlávek, J.; et al. Dapagliflozin in Patients with Heart Failure and Reduced Ejection Fraction. N. Engl. J. Med. 2019, 381, 1995–2008. [Google Scholar] [CrossRef]
- Packer, M.; Anker, S.D.; Butler, J.; Filippatos, G.; Pocock, S.J.; Carson, P.; Januzzi, J.; Verma, S.; Tsutsui, H.; Brueckmann, M.; et al. Cardiovascular and Renal Outcomes with Empagliflozin in Heart Failure. N. Engl. J. Med. 2020, 383, 1413–1424. [Google Scholar] [CrossRef]
- Solomon, S.D.; McMurray, J.J.; Claggett, B.; de Boer, R.A.; DeMets, D.; Hernandez, A.F.; Inzucchi, S.E.; Kosiborod, M.N.; Lam, C.S.; Martinez, F.; et al. Dapagliflozin in Heart Failure with Mildly Reduced or Preserved Ejection Fraction. N. Engl. J. Med. 2022, 387, 1089–1098. [Google Scholar] [CrossRef]
- Anker, S.D.; Butler, J.; Filippatos, G.; Ferreira, J.P.; Bocchi, E.; Böhm, M.; Brunner, H.-P.; Choi, D.-J.; Chopra, V.; Chuquiure-Valenzuela, E.; et al. Empagliflozin in Heart Failure with a Preserved Ejection Fraction. N. Engl. J. Med. 2021, 385, 1451–1461. [Google Scholar] [CrossRef]
- Heerspink, H.J.L.; Stefánsson, B.V.; Correa-Rotter, R.; Chertow, G.M.; Greene, T.; Hou, F.F.; Mann, J.F.E.; McMurray, J.J.V.; Lindberg, M.; Rossing, P.; et al. Dapagliflozin in Patients with Chronic Kidney Disease. N. Engl. J. Med. 2020, 383, 1436–1446. [Google Scholar] [CrossRef]
- McLean, P.; Bennett, J.; “Trey” Woods, E.; Chandrasekhar, S.; Newman, N.; Mohammad, Y.; Khawaja, M.; Rizwan, A.; Siddiqui, R.; Birnbaum, Y.; et al. SGLT2 inhibitors across various patient populations in the era of precision medicine: The multidisciplinary team approach. NPJ Metab. Health Dis. 2025, 3, 29. [Google Scholar] [CrossRef]
- Armillotta, M.; Angeli, F.; Paolisso, P.; Belmonte, M.; Raschi, E.; Di Dalmazi, G.; Amicone, S.; Canton, L.; Fedele, D.; Suma, N.; et al. Cardiovascular therapeutic targets of sodium-glucose co-transporter 2 (SGLT2I) inhibitors beyond heart failure. Pharmacol. Ther. 2025, 270, 108861. [Google Scholar] [CrossRef]
- Wang, M.; Zuo, L. Cardiorenal Benefits of SGLT2I Inhibitors in Patients with Chronic Kidney Disease and Concomitant Hypertension. Cardiorenal Med. 2025, 15, 496–509. [Google Scholar] [CrossRef]
- Cersosimo, A.; Drera, A.; Adamo, M.; Metra, M.; Vizzardi, E. Exploring the Cardiorenal Benefits of SGLT2Ii: A Comprehensive Review. Kidney Dial. 2024, 4, 184–202. [Google Scholar] [CrossRef]
- Lopaschuk, G.D.; Verma, S. Mechanisms of Cardiovascular Benefits of Sodium Glucose Co-Transporter 2 (SGLT2I) Inhibitors: A State-of-the-Art Review. JACC Basic Transl. Sci. 2020, 5, 632–644. [Google Scholar] [CrossRef] [PubMed] [PubMed Central]
- Kidney Disease: Improving Global Outcomes (KDIGO) Diabetes Work Group. KDIGO 2022 Clinical Practice Guideline for Diabetes Management in Chronic Kidney Disease. Kidney Int. 2022, 102, S1–S127. [CrossRef]
- Anuforo, A.; Soipe, A.; Awoyemi, T.; Hanif, M.; Adeniran, O.; Somerville, A.; Nnekachi, N.; Chilaka, F.; Aronow, W.; Yandrapalli, S.; et al. Cardiorenal outcomes associated with sodium-glucose co-transporter-2 inhibitors in chronic kidney disease stage 5 (CKD V): A propensity score-matched analysis. Int. J. Cardiol. 2025, 422, 132914. [Google Scholar] [CrossRef]
- Zhang, Y.; Luo, J.; Li, B.; Xu, J.; Yu, H.; Chen, N. Cardio-renal protective effect and safety of sodium-glucose cotransporter 2 inhibitors for chronic kidney disease patients with eGFR < 60 mL/min/1.73 m2: A systematic review and meta-analysis. BMC Nephrol. 2024, 25, 392. [Google Scholar]
- Lund, L.H.; Crespo-Leiro, M.G.; Laroche, C.; Zaliaduonyte, D.; Saad, A.M.; Fonseca, C.; Čelutkienė, J.; Zdravkovic, M.; Bielecka-Dabrowa, A.M.; Agostoni, P.; et al. Heart failure in Europe: Guideline-directed medical therapy use and decision making in chronic and acute, pre-existing and de novo, heart failure with reduced, mildly reduced, and preserved ejection fraction—The ESC EORP Heart Failure III Registry. Eur. J. Heart Fail. 2024, 26, 2487–2501. [Google Scholar] [CrossRef]
- Agarwal, A.; Husain, M.J.; Datta, B.; Kishore, S.P.; Huffman, M.D. Access to Heart Failure Medicines in Low- and Middle-Income Countries: An Analysis of Essential Medicines Lists, Availability, Price, and Affordability. Circ. Heart Fail. 2022, 15, e008971. [Google Scholar] [CrossRef]
- Chioncel, O.; Čelutkienė, J.; Bělohlávek, J.; Kamzola, G.; Lainscak, M.; Merkely, B.; Miličić, D.; Nessler, J.; Ristić, A.D.; Sawiełajc, L.; et al. Heart failure care in the Central and Eastern Europe and Baltic region: Status, barriers, and routes to improvement. ESC Heart Fail. 2024, 11, 1861–1874. [Google Scholar] [CrossRef]
- World Medical Association. World Medical Association Declaration of Helsinki: Ethical principles for medical research involving human subjects. JAMA 2013, 310, 2191–2194. [Google Scholar] [CrossRef]
- Mondschein, C.F.; Monda, C. The EU’s General Data Protection Regulation (GDPR) in a Research Context. In Fundamentals of Clinical Data Science; Kubben, P., Dumontier, M., Dekker, A., Eds.; Springer: Cham, Switzerland, 2019. Available online: http://www.ncbi.nlm.nih.gov/books/NBK543521/ (accessed on 26 October 2025).
- Pabel, S.; Hamdani, N.; Luedde, M.; Sossalla, S. SGLT2I Inhibitors and Their Mode of Action in Heart Failure—Has the Mystery Been Unravelled? Curr. Heart Fail. Rep. 2021, 18, 315–328. [Google Scholar] [CrossRef]
- Maejima, Y. SGLT2I Inhibitors Play a Salutary Role in Heart Failure via Modulation of the Mitochondrial Function. Front. Cardiovasc. Med. 2020, 6, 186. Available online: https://www.frontiersin.org/journals/cardiovascular-medicine/articles/10.3389/fcvm.2019.00186/full (accessed on 30 November 2025). [CrossRef]
- Dyck, J.R.; Sossalla, S.; Hamdani, N.; Coronel, R.; Weber, N.C.; Light, P.E.; Zuurbier, C.J. Cardiac mechanisms of the beneficial effects of SGLT2I inhibitors in heart failure: Evidence for potential off-target effects. J. Mol. Cell. Cardiol. 2022, 167, 17–31. [Google Scholar] [CrossRef]
- Tabella, E.; Correale, M.; Alcidi, G.; Pugliese, R.; Ioannoni, S.; Romano, M.; Palmieri, G.; Di Biase, M.; Brunetti, N.D.; Iacoviello, M. Introduction of SGLT2I Inhibitors and Variations in Other Disease-Modifying Drugs in Heart Failure Patients: A Single-Centre Real-World Experience. Clin. Pract. 2023, 13, 1015–1024. [Google Scholar] [CrossRef]
- Wiviott, S.D.; Raz, I.; Bonaca, M.P.; Mosenzon, O.; Kato, E.T.; Cahn, A.; Silverman, M.G.; Zelniker, T.A.; Kuder, J.F.; Murphy, S.A.; et al. Dapagliflozin and Cardiovascular Outcomes in Type 2 Diabetes. N. Engl. J. Med. 2019, 380, 347–357. [Google Scholar] [CrossRef]
- Furtado, R.H.M.; Bonaca, M.P.; Raz, I.; Zelniker, T.A.; Mosenzon, O.; Cahn, A.; Kuder, J.; Murphy, S.A.; Bhatt, D.L.; Leiter, L.A.; et al. Dapagliflozin and Cardiovascular Outcomes in Patients with Type 2 Diabetes Mellitus and Previous Myocardial Infarction. Circulation 2019, 139, 2516–2527. [Google Scholar] [CrossRef]
- Upadhyay, A. SGLT2I Inhibitors and Kidney Protection: Mechanisms Beyond Tubuloglomerular Feedback. Kidney360 2024, 5, 771–782. [Google Scholar] [CrossRef]
- Gérard, A.O.; Laurain, A.; Favre, G.; Drici, M.D.; Esnault, V.L.M. Activation of the Tubulo-Glomerular Feedback by SGLT2I Inhibitors in Patients with Type 2 Diabetes and Advanced Chronic Kidney Disease: Toward the End of a Myth? Diabetes Care 2022, 45, e148–e149. [Google Scholar] [CrossRef]
- Hanke, J.; Romejko, K.; Niemczyk, S. Sodium-Glucose Cotransporter-2 Inhibitors in Diabetes and Beyond: Mechanisms, Pleiotropic Benefits, and Clinical Use—Reviewing Protective Effects Exceeding Glycemic Control. Molecules 2025, 30, 4125. [Google Scholar] [CrossRef]
- Neuen, B.L.; Fletcher, R.A.; Anker, S.D.; Bhatt, D.L.; Butler, J.; Cherney, D.Z.I.; Docherty, K.F.; Inzucchi, S.E.; Jardine, M.J.; Mahaffey, K.W.; et al. SGLT2I Inhibitors and Kidney Outcomes by Glomerular Filtration Rate and Albuminuria: A Meta-Analysis. JAMA 2025, 335, e2520834. [Google Scholar]
- 2022 AHA/ACC/HFSA Guideline for the Management of Heart Failure: A Report of the American College of Cardiology/American Heart Association Joint Committee on Clinical Practice Guidelines|Circulation. Available online: https://www.ahajournals.org/doi/10.1161/CIR.0000000000001063 (accessed on 30 November 2025).
- Stolfo, D.; Lund, L.H.; Benson, L.; Lindberg, F.; Ferrannini, G.; Dahlström, U.; Sinagra, G.; Rosano, G.M.; Savarese, G. Real-world use of sodium-glucose cotransporter 2 inhibitors in patients with heart failure and reduced ejection fraction: Data from the Swedish Heart Failure Registry. Eur. J. Heart Fail. 2023, 25, 1648–1658. [Google Scholar] [CrossRef]
- Scheen, A. Real-life underuse of SGLT2I inhibitors for patients with type 2 diabetes at high cardiorenal risk. Diabetes Epidemiol. Manag. 2023, 13, 100184. [Google Scholar] [CrossRef]
- Jeong, S.J.; Lee, S.E.; Shin, D.H.; Park, I.B.; Lee, H.S.; Kim, K.A. Barriers to initiating SGLT2I inhibitors in diabetic kidney disease: A real-world study. BMC Nephrol. 2021, 22, 177. [Google Scholar] [CrossRef]
- Yi, T.W.; O’Hara, D.V.; Smyth, B.; Jardine, M.J.; Levin, A.; Morton, R.L. Identifying Barriers and Facilitators for Increasing Uptake of Sodium-Glucose Cotransporter-2 (SGLT2I) Inhibitors in British Columbia, Canada, using the Consolidated Framework for Implementation Research. Can. J. Kidney Heal. Dis. 2023, 11, 20543581231217857. [Google Scholar] [CrossRef]
- Jabbour, S.A.; Ibrahim, N.E.; Argyropoulos, C.P. Physicians’ Considerations and Practice Recommendations Regarding the Use of Sodium-Glucose Cotransporter-2 Inhibitors. J. Clin. Med. 2022, 11, 6051. [Google Scholar] [CrossRef]
- Impact of Socioeconomic Position on Initiation of SGLT-2 Inhibitors or GLP-1 Receptor Agonists in Patients with Type 2 Diabetes—A Danish Nationwide Observational Study—The Lancet Regional Health—Europe. Available online: https://www.thelancet.com/journals/lanepe/article/PIIS2666-7762%2822%2900001-1/fulltext? (accessed on 30 November 2025).
- Wei, R.; Wang, W.; Pan, Q.; Guo, L. Effects of SGLT-2 Inhibitors on Vascular Endothelial Function and Arterial Stiffness in Subjects with Type 2 Diabetes: A Systematic Review and Meta-Analysis of Randomized Controlled Trials. Front. Endocrinol. 2022, 13, 826604. [Google Scholar] [CrossRef]
- Cersosimo, A.; Amore, L.; Cimino, G.; Arabia, G.; Pagnesi, M.; Inciardi, R.M.; Adamo, M.; Metra, M.; Vizzardi, E. Impact of SGLT2 inhibitors on endothelial function and echocardiographic parameters in dilated cardiomyopathy. J. Cardiovasc. Med. 2025, 26, 284–296. [Google Scholar] [CrossRef]
- Matteucci, A.; Pandozi, C.; Bonanni, M.; Mariani, M.V.; Sgarra, L.; Nesti, L.; Pierucci, N.; La Fazia, V.M.; Lavalle, C.; Nardi, F.; et al. Impact of empagliflozin and dapagliflozin on sudden cardiac death: A systematic review and meta-analysis of adjudicated randomized evidence. Heart Rhythm 2025, 1547–5271. [Google Scholar] [CrossRef]
- Lim, J.; Hwang, I.C.; Choi, H.M.; Yoon, Y.E.; Cho, G.Y. Comparison of cardiovascular and renal outcomes between dapagliflozin and empagliflozin in patients with type 2 diabetes without prior cardiovascular or renal disease. PLoS ONE 2022, 17, e0269414. [Google Scholar] [CrossRef]
- Durante, W.; Behnammanesh, G.; Peyton, K.J. Effects of Sodium-Glucose Co-Transporter 2 Inhibitors on Vascular Cell Function and Arterial Remodeling. Int. J. Mol. Sci. 2021, 22, 8786. [Google Scholar] [CrossRef]
- Kluger, A.Y.; Tecson, K.M.; Lee, A.Y.; Lerma, E.V.; Rangaswami, J.; Lepor, N.E.; Cobble, M.E.; McCullough, P.A. Class effects of SGLT2I inhibitors on cardiorenal outcomes. Cardiovasc. Diabetol. 2019, 18, 99. [Google Scholar] [CrossRef]
- Minisy, M.M.; Abdelaziz, A. The role of SGLT 2 inhibitors in heart failure with preserved ejection fraction (HFpEF): A systematic review and meta-analysis of randomized controlled trials. BMC Cardiovasc. Disord. 2025, 25, 765. [Google Scholar] [CrossRef]
- Banerjee, M.; Pal, R.; Nair, K.; Mukhopadhyay, S. SGLT2I inhibitors and cardiovascular outcomes in heart failure with mildly reduced and preserved ejection fraction: A systematic review and meta-analysis. Indian Heart J. 2023, 75, 122–127. [Google Scholar] [CrossRef]
- Bak, M.; Chi, S.A.; Jeon, K.; Hong, D.; Shin, H.; Kim, D.; Choi, J.-O. Discontinuation rates, clinical effects and provocation factors of SGLT-2 inhibitor in the real world. Sci. Rep. 2024, 14, 30653. [Google Scholar] [CrossRef]
- Alsalem, A.; Alsultan, M.M.; Alqarni, F.; Almangour, A.; Alsharekh, L.; Alenazi, S.; Alzahrani, S.; Almanqour, R.A.; Alazmi, A.; Alzahrani, A. Real-world evidence of the effects of sodium-glucose co-transporter 2 inhibitors on the dosing of diuretics in patients with heart failure: A retrospective cohort study. Front. Pharmacol. 2024, 15, 1366439. [Google Scholar] [CrossRef]
- Tee, A.H.L.; Campbell, G.; D’Silva, A. Evaluating initiation and real-world tolerability of dapagliflozin for the management of HFrEF. Br. J. Cardiol. 2023, 30, 2. [Google Scholar] [CrossRef]
- Nakano, K.; Kanenawa, K.; Isotani, A.; Morinaga, T.; Yamamoto, K.; Miyawaki, N.; Ko, E.; Nakamura, M.; Tanaka, Y.; Ishizu, K.; et al. The efficacy and safety of sodium-glucose cotransporter 2 inhibitors in patients aged over 80 years with heart failure. ESC Heart Fail. 2025, 12, 2087–2097. [Google Scholar] [CrossRef] [PubMed]




| Variable | Unit | SGLT2I (n = 110) | Non-SGLT2I (n = 130) | p-Value |
|---|---|---|---|---|
| Age | Years | 67.4 ± 9.3 | 68.2 ± 9.7 | 0.28 |
| Male sex | % | 62.7% | 61.9% | 0.86 |
| BMI | kg/m2 | 28.3 ± 4.2 | 28.6 ± 4.6 | 0.51 |
| NYHA III–IV | % | 59.1% | 61.5% | 0.59 |
| LVEF | % | 31.8 ± 6.2 | 31.1 ± 6.5 | 0.29 |
| Ischemic HF etiology | % | 68.6% | 66.9% | 0.69 |
| Heart rate | bpm | 76 ± 12 | 77 ± 13 | 0.40 |
| SBP | mmHg | 122 ± 15 | 123 ± 16 | 0.47 |
| DBP | mmHg | 73 ± 9 | 72 ± 9 | 0.31 |
| Serum creatinine | mg/dL | 1.45 ± 0.36 | 1.49 ± 0.41 | 0.18 |
| eGFR baseline | mL/min/1.73 m2 | 47.9 ± 15.8 | 46.8 ± 16.4 | 0.49 |
| CKD (eGFR < 60) | % | 74.5% | 75.0% | 0.90 |
| Type 2 Diabetes Mellitus | % | 57.3% | 51.9% | 0.24 |
| Atrial fibrillation | % | 35.0% | 36.9% | 0.66 |
| Coronary artery disease | % | 72.7% | 73.5% | 0.86 |
| Prior MI | % | 38.6% | 41.5% | 0.49 |
| Anemia | % | 41.8% | 43.1% | 0.78 |
| RAAS inhibitor | % | 88.2% | 87.0% | 0.71 |
| Beta-blocker | % | 92.3% | 90.7% | 0.54 |
| MRA | % | 67.7% | 65.4% | 0.61 |
| Loop diuretic | % | 85.9% | 87.3% | 0.67 |
| Statin | % | 76.4% | 78.5% | 0.58 |
| Outcome | SGLT2i (n = 110) | non-SGLT2i (n = 130) | Adjusted HR (95% CI) | p-Value |
|---|---|---|---|---|
| Primary composite | 26 (23.6%) | 44 (33.8%) | 0.70 (0.50–0.98) | 0.038 |
| HF hospitalization | 18 (16.4%) | 36 (27.7%) | 0.65 (0.44–0.96) | 0.031 |
| CV death | 11 (10.0%) | 17 (13.1%) | 0.82 (0.50–1.34) | 0.41 |
| Major renal decline | 13 (11.8%) | 21 (16.2%) | 0.78 (0.52–1.15) | 0.21 |
| All-cause mortality | 14 (12.7%) | 22 (16.9%) | 0.80 (0.52–1.23) | 0.31 |
Disclaimer/Publisher’s Note: The statements, opinions and data contained in all publications are solely those of the individual author(s) and contributor(s) and not of MDPI and/or the editor(s). MDPI and/or the editor(s) disclaim responsibility for any injury to people or property resulting from any ideas, methods, instructions or products referred to in the content. |
© 2026 by the authors. Published by MDPI on behalf of the Lithuanian University of Health Sciences. Licensee MDPI, Basel, Switzerland. This article is an open access article distributed under the terms and conditions of the Creative Commons Attribution (CC BY) license.
Share and Cite
Bodea, O.-M.; Mogoș, G.F.R.; Kundnani, N.R.; Sharma, A.; Adam, O.; Duda-Seiman, D.M.; Velimirovici, D.; Nicula-Neagu, M.; Bedreag, O.H.; Dragan, S. Cardio-Vasculo-Renal Benefits of SGLT2 Inhibitors in Heart Failure: A Retrospective Study from a Lower-Resource Tertiary Center. Medicina 2026, 62, 256. https://doi.org/10.3390/medicina62020256
Bodea O-M, Mogoș GFR, Kundnani NR, Sharma A, Adam O, Duda-Seiman DM, Velimirovici D, Nicula-Neagu M, Bedreag OH, Dragan S. Cardio-Vasculo-Renal Benefits of SGLT2 Inhibitors in Heart Failure: A Retrospective Study from a Lower-Resource Tertiary Center. Medicina. 2026; 62(2):256. https://doi.org/10.3390/medicina62020256
Chicago/Turabian StyleBodea, Olivia-Maria, Gabriel Florin Răzvan Mogoș, Nilima Rajpal Kundnani, Abhinav Sharma, Ovidiu Adam, Daniel Marius Duda-Seiman, Dana Velimirovici, Marioara Nicula-Neagu, Ovidiu Horea Bedreag, and Simona Dragan. 2026. "Cardio-Vasculo-Renal Benefits of SGLT2 Inhibitors in Heart Failure: A Retrospective Study from a Lower-Resource Tertiary Center" Medicina 62, no. 2: 256. https://doi.org/10.3390/medicina62020256
APA StyleBodea, O.-M., Mogoș, G. F. R., Kundnani, N. R., Sharma, A., Adam, O., Duda-Seiman, D. M., Velimirovici, D., Nicula-Neagu, M., Bedreag, O. H., & Dragan, S. (2026). Cardio-Vasculo-Renal Benefits of SGLT2 Inhibitors in Heart Failure: A Retrospective Study from a Lower-Resource Tertiary Center. Medicina, 62(2), 256. https://doi.org/10.3390/medicina62020256

