Dynamics of Inflammatory Factors in Aqueous Humor During Brolucizumab Treatment for Age-Related Macular Degenerations: A Case Series
Abstract
1. Introduction
2. Materials and Methods
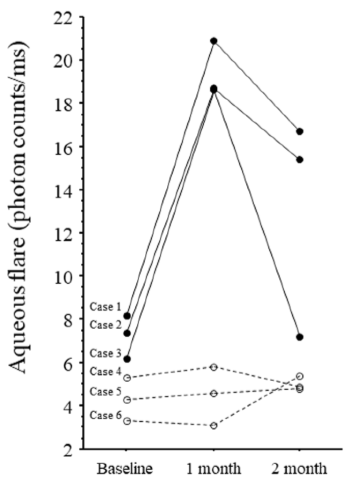
3. Results
4. Discussion
5. Conclusions
Author Contributions
Funding
Institutional Review Board Statement
Informed Consent Statement
Data Availability Statement
Acknowledgments
Conflicts of Interest
Abbreviations
| AMD | age-related macular degeneration |
| BCVA | best-corrected visual acuity |
| CMT | central macular thickness |
| FA | fluorescein angiography |
| Flt-3L | Fms-related tyrosine kinase 3 ligand |
| ICGA | indocyanine green angiography |
| IL | interleukin |
| IOI | intraocular inflammation |
| IP-10 | interferon-inducible 10 kDa protein |
| IVBr | intravitreal brolucizumab |
| LogMAR | logarithm of the minimum angle of resolution |
| MCP-1 | monocyte chemoattractant protein 1 |
| MNV | macular neovascularization |
| OCT | optical coherence tomography |
| PCV | polypoidal choroidal vasculopathy |
| PDGF | platelet-derived growth factor |
| SD-OCT | spectral-domain OCT |
| SRD | serous retinal detachment |
References
- Dugel, P.U.; Koh, A.; Ogura, Y.; Jaffe, G.J.; Schmidt-Erfurth, U.; Brown, D.M.; Gomes, A.V.; Warburton, J.; Weichselberger, A.; Holz, F.G. HAWK and HARRIER: Phase 3, Multicenter, Randomized, Double-Masked Trials of Brolucizumab for Neovascular Age-Related Macular Degeneration. Ophthalmology 2020, 127, 72–84. [Google Scholar] [CrossRef] [PubMed]
- Dugel, P.U.; Singh, R.P.; Koh, A.; Ogura, Y.; Weissgerber, G.; Gedif, K.; Jaffe, G.J.; Tadayoni, R.; Schmidt-Erfurth, U.; Holz, F.G. HAWK and HARRIER: Ninety-Six-Week Outcomes from the Phase 3 Trials of Brolucizumab for Neovascular Age-Related Macular Degeneration. Ophthalmology 2021, 128, 89–99. [Google Scholar] [CrossRef] [PubMed]
- Bilgic, A.; Kodjikian, L.; March de Ribot, F.; Vasavada, V.; Gonzalez-Cortes, J.H.; Abukashabah, A.; Sudhalkar, A.; Mathis, T. Real-World Experience with Brolucizumab in Wet Age-Related Macular Degeneration: The REBA Study. J. Clin. Med. 2021, 10, 2758. [Google Scholar] [CrossRef] [PubMed]
- Ito, A.; Maruyama-Inoue, M.; Kitajima, Y.; Ikeda, S.; Inoue, T.; Kadonosono, K. One-year outcomes of intravitreal brolucizumab injections in patients with polypoidal choroidal vasculopathy. Sci. Rep. 2022, 12, 7987. [Google Scholar] [CrossRef] [PubMed]
- Khanani, A.M.; Brown, D.M.; Jaffe, G.J.; Wykoff, C.C.; Adiguzel, E.; Wong, R.; Meng, X.; Heier, J.S. MERLIN: Phase 3a, Multicenter, Randomized, Double-Masked Trial of Brolucizumab in Participants with Neovascular Age-Related Macular Degeneration and Persistent Retinal Fluid. Ophthalmology 2022, 129, 974–985. [Google Scholar] [CrossRef]
- Khanani, A.M.; Zarbin, M.A.; Barakat, M.R.; Albini, T.A.; Kaiser, P.K.; Guruprasad, B.; Agashivala, N.; Justin, S.Y.; Wykoff, C.C.; MacCumber, M.W. Safety Outcomes of Brolucizumab in Neovascular Age-Related Macular Degeneration: Results From the IRIS Registry and Komodo Healthcare Map. JAMA Ophthalmol. 2022, 140, 20–28. [Google Scholar] [CrossRef]
- Matsumoto, H.; Hoshino, J.; Mukai, R.; Nakamura, K.; Akiyama, H. One-year results of treat-and-extend regimen with intravitreal brolucizumab for treatment-naïve neovascular age-related macular degeneration with type 1 macular neovascularization. Sci. Rep. 2022, 12, 8195. [Google Scholar] [CrossRef]
- Tanaka, K.; Koizumi, H.; Tamashiro, T.; Itagaki, K.; Nakayama, M.; Maruko, I.; Wakugawa, S.; Terao, N.; Onoe, H.; Wakatsuki, Y.; et al. Short-term results for brolucizumab in treatment-naïve neovascular age-related macular degeneration: A Japanese multicenter study. Jpn. J. Ophthalmol. 2022, 66, 379–385. [Google Scholar] [CrossRef]
- Pakravan, P.; Patel, V.; Lai, J.; Shaheen, A.; Kalahasty, K.; Reyes-Capo, D.P.; Chau, V.; Rosenfeld, P.J.; Haddock, L.J.; Schwartz, S.G.; et al. Intraocular Inflammation Incidence after Intravitreal Brolucizumab Injection for Exudative Age-Related Macular Degeneration. Retina 2023, 43, 1717–1722. [Google Scholar]
- Noma, H.; Mimura, T.; Yasuda, K.; Motohashi, R.; Kotake, O.; Shimura, M. Aqueous Humor Levels of Soluble Vascular Endothelial Growth Factor Receptor and Inflammatory Factors in Diabetic Macular Edema. Ophthalmologica 2017, 238, 81–88. [Google Scholar] [CrossRef]
- Motohashi, R.; Noma, H.; Yasuda, K.; Kotake, O.; Goto, H.; Shimura, M. Dynamics of Inflammatory Factors in Aqueous Humor during Ranibizumab or Aflibercept Treatment for Age-Related Macular Degeneration. Ophthalmic Res. 2017, 58, 209–216. [Google Scholar] [CrossRef] [PubMed]
- Motohashi, R.; Noma, H.; Yasuda, K.; Kotake, O.; Goto, H.; Shimura, M. Dynamics of soluble vascular endothelial growth factor receptors and their ligands in aqueous humour during ranibizumab for age-related macular degeneration. J. Inflamm. 2018, 15, 26. [Google Scholar] [CrossRef]
- Mastropasqua, R.; D’Aloisio, R.; Di Nicola, M.; Di Martino, G.; Lamolinara, A.; Di Antonio, L.; Tognetto, D.; Toto, L. Relationship between aqueous humor cytokine level changes and retinal vascular changes after intravitreal aflibercept for diabetic macular edema. Sci. Rep. 2018, 8, 16548. [Google Scholar] [CrossRef] [PubMed]
- Motohashi, R.; Noma, H.; Yasuda, K.; Kasezawa, Y.; Goto, H.; Shimura, M. Aqueous Flare, Functional-Morphological Parameters, and Cytokines in Age-Related Macular Degeneration after Anti-VEGF Treatment. Open Ophthalmol. J. 2021, 15, 209–215. [Google Scholar] [CrossRef]
- Yasuda, K.; Noma, H.; Mimura, T.; Nonaka, R.; Sasaki, S.; Ofusa, A.; Shimura, M. Role of Novel Inflammatory Factors in Central Retinal Vein Occlusion with Macular Edema. Medicina 2023, 60, 4. [Google Scholar] [CrossRef]
- Fauser, S.; Schwabecker, V.; Muether, P.S. Suppression of intraocular vascular endothelial growth factor during aflibercept treatment of age-related macular degeneration. Am. J. Ophthalmol. 2014, 158, 532–536. [Google Scholar] [CrossRef]
- Wang, X.; Sawada, T.; Kakinoki, M.; Miyake, T.; Kawamura, H.; Saishin, Y.; Liu, P.; Ohji, M. Aqueous vascular endothelial growth factor and ranibizumab concentrations after monthly and bimonthly intravitreal injections of ranibizumab for age-related macular degeneration. Graefes Arch. Clin. Exp. Ophthalmol. 2014, 252, 1033–1039. [Google Scholar] [CrossRef]
- Sato, T.; Takeuchi, M.; Karasawa, Y.; Enoki, T.; Ito, M. Intraocular inflammatory cytokines in patients with neovascular age-related macular degeneration before and after initiation of intravitreal injection of anti-VEGF inhibitor. Sci. Rep. 2018, 8, 1098. [Google Scholar] [CrossRef]
- Iyer, P.G.; Peden, M.C.; Suñer, I.J.; Patel, N.; Dubovy, S.R.; Albini, T.A. Brolucizumab-related retinal vasculitis with exacerbation following ranibizumab retreatment: A clinicopathologic case study. Am. J. Ophthalmol. Case Rep. 2020, 20, 100989. [Google Scholar] [CrossRef]
- Haug, S.J.; Hien, D.L.; Uludag, G.; Ngoc, T.T.T.; Lajevardi, S.; Halim, M.S.; Sepah, Y.J.; Do, D.V.; Khanani, A.M. Retinal arterial occlusive vasculitis following intravitreal brolucizumab administration. Am. J. Ophthalmol. Case Rep. 2020, 18, 100680. [Google Scholar] [CrossRef]
- Wilkerson, R.G. Drug Hypersensitivity Reactions. Emerg. Med. Clin. N. Am. 2022, 40, 39–55. [Google Scholar] [CrossRef] [PubMed]
- Phillips, E.J.; Bigliardi, P.; Bircher, A.J.; Broyles, A.; Chang, Y.S.; Chung, W.H.; Lehloenya, R.; Mockenhaupt, M.; Peter, J.; Pirmohamed, M.; et al. Controversies in drug allergy: Testing for delayed reactions. J. Allergy Clin. Immunol. 2019, 143, 66–73. [Google Scholar] [CrossRef]
- Dispenza, M.C. Classification of hypersensitivity reactions. Allergy Asthma Proc. 2019, 40, 470–473. [Google Scholar] [CrossRef] [PubMed]
- Isabwe, G.A.C.; Garcia Neuer, M.; de Las Vecillas Sanchez, L.; Lynch, D.M.; Marquis, K.; Castells, M. Hypersensitivity reactions to therapeutic monoclonal antibodies: Phenotypes and endotypes. J. Allergy Clin. Immunol. 2018, 142, 159–170. [Google Scholar] [CrossRef]
- Morgenstern-Kaplan, D.; Vasquez-Echeverri, E.; Carrillo-Martin, I.; Chiarella, S.E.; Gonzalez-Estrada, A. Cytokine-release hypersensitivity reaction after the first dose of benralizumab for severe eosinophilic asthma. Ann. Allergy Asthma Immunol. 2021, 127, 701–702. [Google Scholar] [CrossRef]
- Yamada, K.; Sakurai, E.; Itaya, M.; Yamasaki, S.; Ogura, Y. Inhibition of laser-induced choroidal neovascularization by atorvastatin by downregulation of monocyte chemotactic protein-1 synthesis in mice. Investig. Ophthalmol. Vis. Sci. 2007, 48, 1839–1843. [Google Scholar] [CrossRef]
- Austin, B.A.; Liu, B.; Li, Z.; Nussenblatt, R.B. Biologically active fibronectin fragments stimulate release of MCP-1 and catabolic cytokines from murine retinal pigment epithelium. Investig. Ophthalmol. Vis. Sci. 2009, 50, 2896–2902. [Google Scholar] [CrossRef]
- Okunuki, Y.; Usui, Y.; Nagai, N.; Kezuka, T.; Ishida, S.; Takeuchi, M.; Goto, H. Suppression of experimental autoimmune uveitis by angiotensin II type 1 receptor blocker telmisartan. Investig. Ophthalmol. Vis. Sci. 2009, 50, 2255–2261. [Google Scholar] [CrossRef]
- Feldman, E.D.; Weinreich, D.M.; Carroll, N.M.; Burness, M.L.; Feldman, A.L.; Turner, E.; Xu, H.; Alexander, H.R., Jr. Interferon gamma-inducible protein 10 selectively inhibits proliferation and induces apoptosis in endothelial cells. Ann. Surg. Oncol. 2006, 13, 125–133. [Google Scholar] [CrossRef]
- Bodnar, R.J.; Yates, C.C.; Wells, A. IP-10 blocks vascular endothelial growth factor-induced endothelial cell motility and tube formation via inhibition of calpain. Circ. Res. 2006, 98, 617–625. [Google Scholar] [CrossRef]
- Akahira-Azuma, M.; Szczepanik, M.; Tsuji, R.F.; Campos, R.A.; Itakura, A.; Mobini, N.; McNiff, J.; Kawikova, I.; Lu, B.; Gerard, C.; et al. Early delayed-type hypersensitivity eosinophil infiltrates depend on T helper 2 cytokines and interferon-gamma via CXCR3 chemokines. Immunology 2004, 111, 306–317. [Google Scholar] [CrossRef]
- Zhu, Z.; Song, J.; Gu, J.; Xu, B.; Sun, X.; Zhang, S. FMS-Related Tyrosine Kinase 3 Ligand Promotes Radioresistance in Esophageal Squamous Cell Carcinoma. Front. Pharmacol. 2021, 12, 659735. [Google Scholar] [CrossRef] [PubMed]
- Peterlin, P.; Chevallier, P.; Knapper, S.; Collin, M. FLT3 ligand in acute myeloid leukemia: A simple test with deep implications. Leuk. Lymphoma 2021, 62, 264–270. [Google Scholar] [CrossRef] [PubMed]
- Nishikawa, Y.; Fukaya, T.; Fukui, T.; Uto, T.; Takagi, H.; Nasu, J.; Miyanaga, N.; Riethmacher, D.; Choijookhuu, N.; Hishikawa, Y.; et al. Congenital Deficiency of Conventional Dendritic Cells Promotes the Development of Atopic Dermatitis-Like Inflammation. Front. Immunol. 2021, 12, 712676. [Google Scholar] [CrossRef] [PubMed]
- Tilton, R.G.; Chang, K.C.; LeJeune, W.S.; Stephan, C.C.; Brock, T.A.; Williamson, J.R. Role for nitric oxide in the hyperpermeability and hemodynamic changes induced by intravenous VEGF. Investig. Ophthalmol. Vis. Sci. 1999, 40, 689–696. [Google Scholar]
- Papadopoulou, D.N.; Mendrinos, E.; Mangioris, G.; Donati, G.; Pournaras, C.J. Intravitreal ranibizumab may induce retinal arteriolar vasoconstriction in patients with neovascular age-related macular degeneration. Ophthalmology 2009, 116, 1755–1761. [Google Scholar] [CrossRef]
- Sacu, S.; Pemp, B.; Weigert, G.; Matt, G.; Garhofer, G.; Pruente, C.; Schmetterer, L.; Schmidt-Erfurth, U. Response of retinal vessels and retrobulbar hemodynamics to intravitreal anti-VEGF treatment in eyes with branch retinal vein occlusion. Investig. Ophthalmol. Vis. Sci. 2011, 52, 3046–3050. [Google Scholar] [CrossRef]
- Fukami, M.; Iwase, T.; Yamamoto, K.; Kaneko, H.; Yasuda, S.; Terasaki, H. Changes in Retinal Microcirculation After Intravitreal Ranibizumab Injection in Eyes With Macular Edema Secondary to Branch Retinal Vein Occlusion. Investig. Ophthalmol. Vis. Sci. 2017, 58, 1246–1255. [Google Scholar] [CrossRef]
- Noma, H.; Mimura, T.; Shimada, K. Role of inflammation in previously untreated macular edema with branch retinal vein occlusion. BMC Ophthalmol. 2014, 14, 67. [Google Scholar] [CrossRef]
- Narayanan, K.B.; Park, H.H. Toll/interleukin-1 receptor (TIR) domain-mediated cellular signaling pathways. Apoptosis 2015, 20, 196–209. [Google Scholar] [CrossRef]
- Ueland, H.O.; Ueland, G.; Løvås, K.; Breivk, L.E.; Thrane, A.S.; Meling Stokland, A.E.; Rødahl, E.; Husebye, E.S. Novel inflammatory biomarkers in thyroid eye disease. Eur. J. Endocrinol. 2022, 187, 293–300. [Google Scholar] [CrossRef] [PubMed]
- Becher, B.; Spath, S.; Goverman, J. Cytokine networks in neuroinflammation. Nat. Rev. Immunol. 2017, 17, 49–59. [Google Scholar] [CrossRef] [PubMed]
- Terao, R.; Obata, R.; Okubo, A.; Aoki, S.; Azuma, K.; Ahmed, T.; Inoda, S.; Hashimoto, Y.; Takahashi, R.; Yoshida, H.; et al. Cytokine profiles in the aqueous humor following brolucizumab administration for exudative age-related macular degeneration. Graefes Arch. Clin. Exp. Ophthalmol. 2023, 261, 2465–2476. [Google Scholar] [CrossRef] [PubMed]


| Case 1 | Case 2 | Case 3 | Case 4 | Case 5 | Case 6 | |
|---|---|---|---|---|---|---|
| Age (years) Sex (Female/Male) | 75 M | 70 M | 83 M | 77 M | 65 M | 55 M |
| AMD type Intraocular inflammation | PCV + | PCV + | MNV1 + | PCV − | MNV1 − | PCV − |
| BCVA (logMAR) | ||||||
| Baseline 1 month 2 months | 0.22 2.0 1.5 | 0.52 0.7 0.7 | 0.3 0.4 0.22 | 1.7 1.5 1.5 | 0 −0.08 0 | 0.10 0.05 −0.08 |
| CMT (μm) Baseline 1 month 2 months | 680 809 555 | 389 211 184 | 267 208 202 | 171 152 131 | 362 201 205 | 390 230 195 |
Disclaimer/Publisher’s Note: The statements, opinions and data contained in all publications are solely those of the individual author(s) and contributor(s) and not of MDPI and/or the editor(s). MDPI and/or the editor(s) disclaim responsibility for any injury to people or property resulting from any ideas, methods, instructions or products referred to in the content. |
© 2025 by the authors. Published by MDPI on behalf of the Lithuanian University of Health Sciences. Licensee MDPI, Basel, Switzerland. This article is an open access article distributed under the terms and conditions of the Creative Commons Attribution (CC BY) license (https://creativecommons.org/licenses/by/4.0/).
Share and Cite
Asakage, M.; Noma, H.; Yasuda, K.; Goto, H.; Shimura, M. Dynamics of Inflammatory Factors in Aqueous Humor During Brolucizumab Treatment for Age-Related Macular Degenerations: A Case Series. Medicina 2025, 61, 372. https://doi.org/10.3390/medicina61030372
Asakage M, Noma H, Yasuda K, Goto H, Shimura M. Dynamics of Inflammatory Factors in Aqueous Humor During Brolucizumab Treatment for Age-Related Macular Degenerations: A Case Series. Medicina. 2025; 61(3):372. https://doi.org/10.3390/medicina61030372
Chicago/Turabian StyleAsakage, Masaki, Hidetaka Noma, Kanako Yasuda, Hiroshi Goto, and Masahiko Shimura. 2025. "Dynamics of Inflammatory Factors in Aqueous Humor During Brolucizumab Treatment for Age-Related Macular Degenerations: A Case Series" Medicina 61, no. 3: 372. https://doi.org/10.3390/medicina61030372
APA StyleAsakage, M., Noma, H., Yasuda, K., Goto, H., & Shimura, M. (2025). Dynamics of Inflammatory Factors in Aqueous Humor During Brolucizumab Treatment for Age-Related Macular Degenerations: A Case Series. Medicina, 61(3), 372. https://doi.org/10.3390/medicina61030372

