Validation of the Controlling Nutritional Status (CONUT) Score and the Systemic Immune-Inflammation Index (SII) for Predicting Leakage and Surgical Complications After Head and Neck Free Flap Reconstruction: A Pilot Study
Abstract
1. Introduction
2. Methods
2.1. Study Population
2.2. Definition of the Variables
2.3. Controlling Nutritional Status (CONUT) Score
2.4. Systemic Immune-Inflammation Index (SII)
2.5. Statistical Analysis
- (1)
- Advanced age, representing decreased physiological reserve;
- (2)
- Larger defect area, reflecting increased operative complexity;
- (3)
- Aerodigestive tract involvement, indicating anatomically complex surgical regions that are difficult to access and monitor postoperatively, often associated with greater risk of complications.
3. Results
3.1. The Demographics of the Cohort
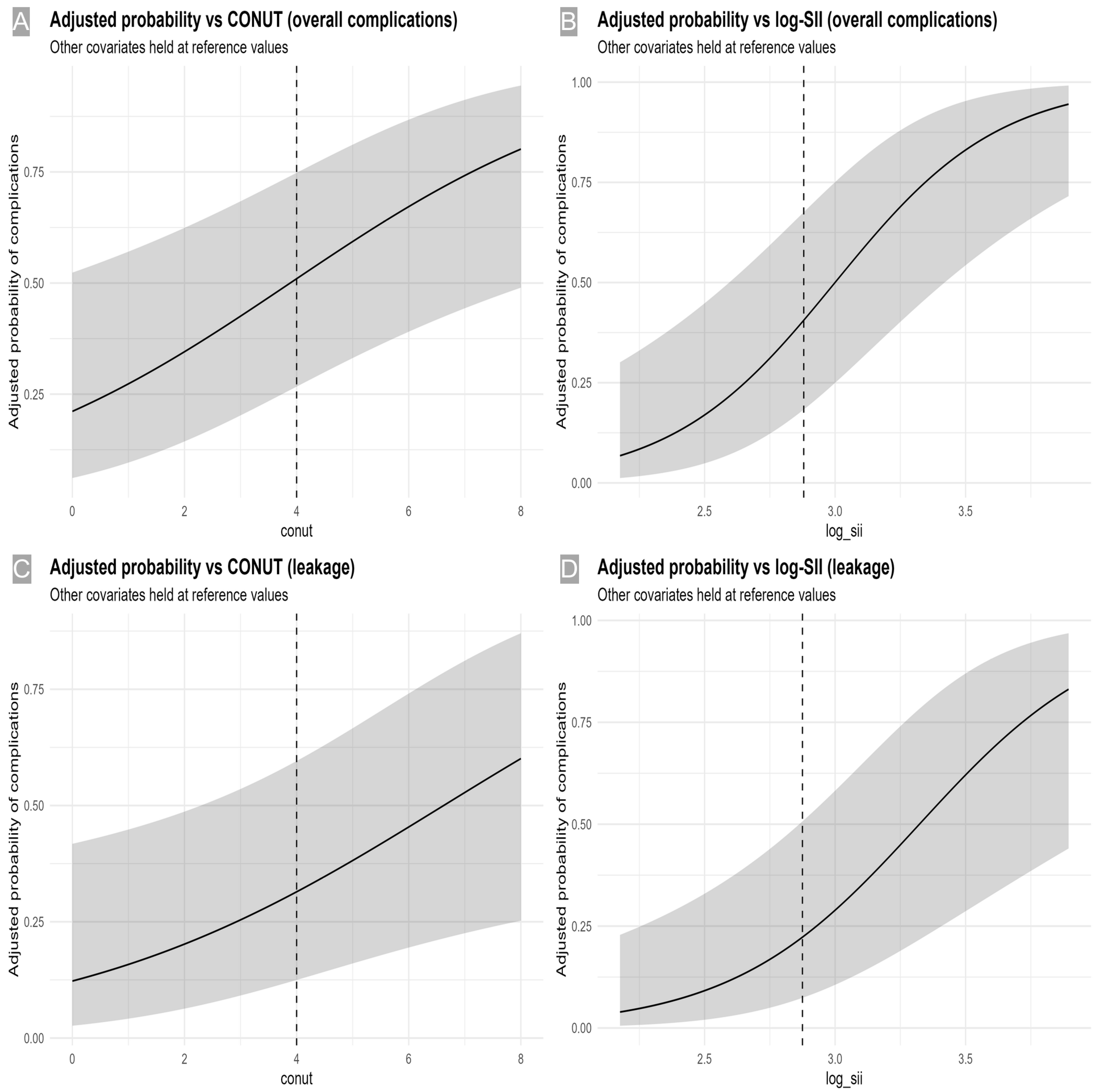
3.2. Multivariate Logistic Regression Results
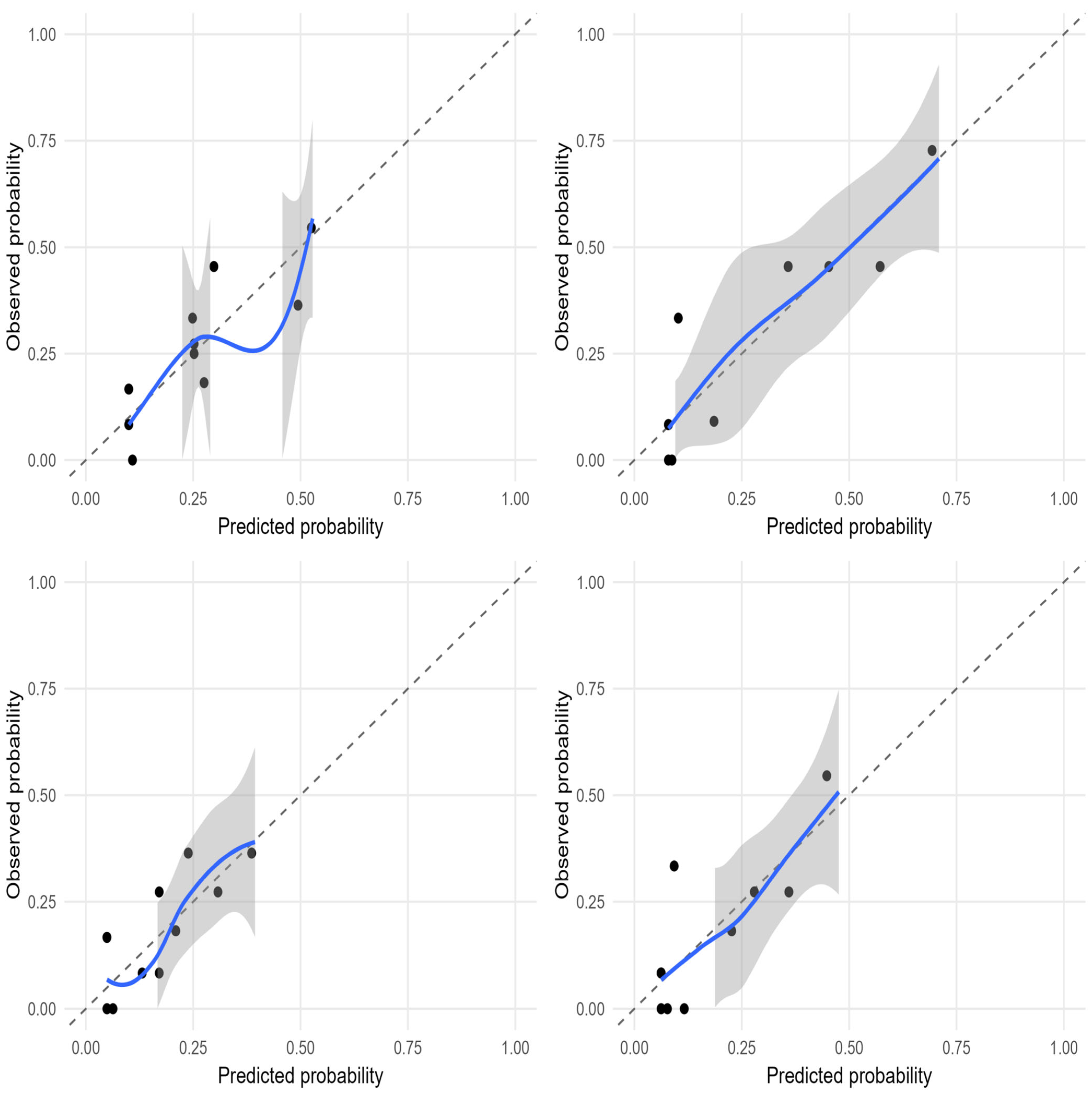
3.3. ROC-Based Performance of SII and CONUT
3.4. Comparison with NLR and PNI
3.5. Temporal Stratification
3.6. Results for Cutoff Analysis
3.7. Exploratory Analysis of Specific Complications
4. Discussion
5. Conclusions
Supplementary Materials
Funding
Institutional Review Board Statement
Informed Consent Statement
Data Availability Statement
Acknowledgments
Conflicts of Interest
References
- Suyama, Y.; Yagi, S.; Fukuoka, K.; Morita, M.; Kinjo, A.; Fukuhara, T.; Fujiwara, K.; Kodani, I.; Osaki, Y. Risk Factors of Free Flap Complications in Reconstruction for Head and Neck Cancer. Yonago Acta Med. 2022, 65, 215–225. [Google Scholar] [CrossRef] [PubMed] [PubMed Central]
- Crawley, M.B.; Sweeny, L.; Ravipati, P.; Heffelfinger, R.; Krein, H.; Luginbuhl, A.; Goldman, R.; Curry, J. Factors Associated with Free Flap Failures in Head and Neck Reconstruction. Otolaryngol. Head Neck Surg. 2019, 161, 598–604. [Google Scholar] [CrossRef] [PubMed]
- Wang, C.; Ning, L.; Ji, F.; Han, Z.; Liu, Z.; Cao, M. Risk factors associated with postoperative complications following free flap reconstruction of head and neck defects. J. Stomatol. Oral Maxillofac. Surg. 2022, 123, e894–e898. [Google Scholar] [CrossRef] [PubMed]
- Kruse, A.L.; Luebbers, H.T.; Grätz, K.W.; Obwegeser, J.A. Factors influencing survival of free-flap in reconstruction for cancer of the head and neck: A literature review. Microsurgery 2010, 30, 242–248. [Google Scholar] [CrossRef] [PubMed]
- Caputo, M.P.; Shabani, S.; Mhaskar, R.; McMullen, C.; Padhya, T.A.; Mifsud, M.J. Diabetes mellitus in major head and neck cancer surgery: Systematic review and meta-analysis. Head Neck 2020, 42, 3031–3040. [Google Scholar] [CrossRef] [PubMed]
- Hwang, K.; Lee, J.P.; Yoo, S.Y.; Kim, H. Relationships of comorbidities and old age with postoperative complications of head and neck free flaps: A review. J. Plast Reconstr. Aesthet. Surg. 2016, 69, 1627–1635. [Google Scholar] [CrossRef] [PubMed]
- Stevens, M.N.; Freeman, M.H.; Shinn, J.R.; Kloosterman, N.; Carr, S.; Mannion, K.; Rohde, S.L. Preoperative Predictors of Free Flap Failure. Otolaryngol. Head Neck Surg. 2023, 168, 180–187. [Google Scholar] [CrossRef] [PubMed]
- Kinugasa, Y.; Sota, T.; Kamitani, H.; Nakayama, N.; Nakamura, K.; Hirai, M.; Yanagihara, K.; Kato, M.; Ono, T.; Takahashi, M.; et al. Diagnostic performance of nutritional indicators in patients with heart failure. ESC Heart Fail. 2022, 9, 2096–2106. [Google Scholar] [CrossRef] [PubMed] [PubMed Central]
- Qian, C.; Li, H.; Hou, Y.; Wang, W.; Sun, M. Clinical implications of four different nutritional indexes in patients with IgA nephropathy. Front. Nutr. 2024, 11, 1431910. [Google Scholar] [CrossRef] [PubMed] [PubMed Central]
- Zhao, G.; Chen, Y.; Gu, Y.; Xia, X. The clinical value of nutritional and inflammatory indicators in predicting pneumonia among patients with intracerebral hemorrhage. Sci. Rep. 2024, 14, 16171. [Google Scholar] [CrossRef] [PubMed] [PubMed Central]
- Ma, R.; Cui, L.; Cai, J.; Yang, N.; Wang, Y.; Chen, Q.; Chen, W.; Peng, C.; Qin, H.; Ding, Y.; et al. Association between systemic immune inflammation index, systemic inflammation response index and adult psoriasis: Evidence from NHANES. Front. Immunol. 2024, 15, 1323174. [Google Scholar] [CrossRef] [PubMed] [PubMed Central]
- Kılıç, Ö.; Tecer, D.; Canbaş, M.; Kaya, M.N.; Çınar, M.; Yılmaz, S. Immune nutrition indices are associated with disease activity in rheumatoid arthritis: A cross-sectional study. Biomark. Med. 2024, 18, 1093–1102. [Google Scholar] [CrossRef] [PubMed] [PubMed Central]
- Yao, D.; Qian, S.; Xu, L.; Fan, L.; Li, F.; Chen, S.; Shi, J.; Dong, N. Prognostic significance of preoperative nutritional status for heart transplantation patients. BMC Cardiovasc. Disord. 2024, 24, 563. [Google Scholar] [CrossRef] [PubMed] [PubMed Central]
- Wang, S.; Zhao, M.; Gao, Z.; Yang, X.; Wang, Y.; Hua, K.; Fu, J. A survival nomogram involving nutritional-inflammatory indicators for cervical cancer patients receiving adjuvant radiotherapy. J. Cancer 2024, 15, 5773–5785. [Google Scholar] [CrossRef] [PubMed] [PubMed Central]
- Ding, P.; Guo, H.; Sun, C.; Yang, P.; Kim, N.H.; Tian, Y.; Liu, Y.; Liu, P.; Li, Y.; Zhao, Q. Combined systemic immune-inflammatory index (SII) and prognostic nutritional index (PNI) predicts chemotherapy response and prognosis in locally advanced gastric cancer patients receiving neoadjuvant chemotherapy with PD-1 antibody sintilimab and XELOX: A prospective study. BMC Gastroenterol. 2022, 22, 121. [Google Scholar] [CrossRef]
- Jia, P.; Wu, X.; Shen, F.; Sun, K.; Wang, X.; Xu, G.; Xu, H.; Cong, M.; Song, C.; Shi, H. The combination of handgrip strength and CONUT predicts overall survival in patients with gastrointestinal cancer: A multicenter cohort study. Clin. Nutr. 2024, 43, 2057–2068. [Google Scholar] [CrossRef] [PubMed]
- Riccardo, N.; Carlotta, M.; Guido, L.; Esmeralda, Z.; Arsie, A.E.; Gabriele, M.; Valerio, A.; Giorgio, B. Management of the Venous Anastomoses of a Tertiary Referral Centre in Reconstructive Microvascular Surgery Using Fasciocutaneous Free Flaps in the Head and Neck. J. Clin. Med. 2025, 14, 6171. [Google Scholar] [CrossRef] [PubMed] [PubMed Central]
- Rocans, R.P.; Zarins, J.; Bine, E.; Deksnis, R.; Citovica, M.; Donina, S.; Mamaja, B. The Controlling Nutritional Status (CONUT) Score for Prediction of Microvascular Flap Complications in Reconstructive Surgery. J. Clin. Med. 2023, 12, 4794. [Google Scholar] [CrossRef]
- Košec, A.; Solter, D.; Ribić, A.; Knežević, M.; Vagić, D.; Pegan, A. Systemic Inflammatory Markers as Predictors of Postoperative Complications and Survival in Patients with Advanced Head and Neck Squamous Cell Carcinoma Undergoing Free-Flap Reconstruction. J. Oral Maxillofac. Surg. 2022, 80, 744–755. [Google Scholar] [CrossRef] [PubMed]
- Herzog, I.; Panchal, D.; Sikder, S.; Park, J.B.; Mendiratta, D.; Mansukhani, P.A.; Lee, E.S. Malnutrition in Head and Neck Free Flap Reconstruction as a Predictor of Adverse Outcomes. Ann. Plast. Surg. 2024, 92 (Suppl. S2), S251–S254. [Google Scholar] [CrossRef]
- Ignacio de Ulíbarri, J.; González-Madroño, A.; de Villar, N.G.; González, P.; González, B.; Mancha, A.; Rodríguez, F.; Fernández, G. CONUT: A tool for controlling nutritional status. First validation in a hospital population. Nutr. Hosp. 2005, 20, 38–45. [Google Scholar] [PubMed]
- Hu, B.; Yang, X.R.; Xu, Y.; Sun, Y.F.; Sun, C.; Guo, W.; Zhang, X.; Wang, W.M.; Qiu, S.J.; Zhou, J.; et al. Systemic immune-inflammation index predicts prognosis of patients after curative resection for hepatocellular carcinoma. Clin. Cancer Res. 2014, 20, 6212–6222. [Google Scholar] [CrossRef] [PubMed]
- Zhou, Y.; Wang, Z.; Huang, F.; Guan, J.; Wang, Y.; Chen, Y.; Li, B.; Lv, J. The progression of non-culprit coronary lesion is related to higher SII, SIRI, and PIV in patients with ACS. Medicine 2024, 103, e41094. [Google Scholar] [CrossRef]
- Cakcak, İ.E.; Kula, O. Predictive evaluation of SIRI, SII, PNI, and GPS in cholecystostomy application in patients with acute cholecystitis. Ulus Travma Acil. Cerrahi Derg 2022, 28, 940–946. [Google Scholar] [CrossRef] [PubMed] [PubMed Central]
- Tu, C.H.; Hong, S.F. Preoperative anemia: Predictor of free flap reconstruction complications in head and neck cancer. Chin. J. Physiol. 2023, 66, 21–27. [Google Scholar] [CrossRef] [PubMed]
- Luo, T.; Huang, C.; Zhou, R.; Sun, Y. Predicting complications in elderly patients undergoing oral cancer resection with free flap reconstruction in China: A retrospective cohort study using the modified Frailty Index and Prognostic Nutritional Index. BMJ Open 2024, 14, e085985. [Google Scholar] [CrossRef] [PubMed] [PubMed Central]
- Jaxa-Kwiatkowski, A.; Jaxa-Kwiatkowski, M.; Jaxa-Kwiatkowska, K.; Gerber, H.; Kubiak, M.; Łysenko, L. Perioperative Nutritional and Metabolic Factors Affecting Surgical Outcomes in Head and Neck Cancer Free Flap Reconstruction: A Comprehensive Review. J. Clin. Med. 2025, 14, 3679. [Google Scholar] [CrossRef] [PubMed] [PubMed Central]
- Yu, J.; Hong, J.P.; Suh, H.P.; Park, J.Y.; Kim, D.H.; Ha, S.; Lee, J.; Hwang, J.H.; Kim, Y.K. Prognostic Nutritional Index is a Predictor of Free Flap Failure in Extremity Reconstruction. Nutrients 2020, 12, 562. [Google Scholar] [CrossRef] [PubMed] [PubMed Central]
- Yen, Y.H.; Luo, S.D.; Chen, W.C.; Li, C.Y.; Chiu, T.J.; Wang, Y.M.; Wu, S.C.; Yang, Y.H.; Chen, Y.H.; Wu, C.N. The Value of the Nutritional Indicators in Predicting Free Flap Failure From a Multicentre Database. Otolaryngol. Head Neck Surg. 2024, 171, 63–72. [Google Scholar] [CrossRef] [PubMed]
- Chargi, N.; Breik, O.; Forouzanfar, T.; Martin, T.; Praveen, P.; Idle, M.; Parmar, S.; de Bree, R. Association of low skeletal muscle mass and systemic inflammation with surgical complications and survival after microvascular flap reconstruction in patients with head and neck cancer. Head Neck 2022, 44, 2077–2094. [Google Scholar] [CrossRef] [PubMed] [PubMed Central]
- Rocans, R.P.; Zarins, J.; Bine, E.; Mahauri, I.; Deksnis, R.; Citovica, M.; Donina, S.; Vanags, I.; Mamaja, B. Fibrinogen-to-albumin ratio (FAR) for predicting microvascular flap complications in reconstructive surgery. JPRAS Open 2025, 44, 414–423. [Google Scholar] [CrossRef] [PubMed] [PubMed Central]
- Wang, Y.T.; Kuo, L.T.; Weng, H.H.; Hsu, C.M.; Tsai, M.S.; Chang, G.H.; Lee, Y.C.; Huang, E.I.; Tsai, Y.T. Systemic Immun e-Inflammation Index as a Predictor for Head and Neck Cancer Prognosis: A Meta-Analysis. Front. Oncol. 2022, 12, 899518. [Google Scholar] [CrossRef] [PubMed] [PubMed Central]
- Di Vincenzo, O.; D’Elia, L.; Ballarin, G.; Pasanisi, F.; Scalfi, L. Controlling Nutritional Status (CONUT) score and the risk of mortality or impaired physical function in stroke patients: A systematic review and meta-analysis. Nutr. Metab. Cardiovasc. Dis. 2023, 33, 1501–1510. [Google Scholar] [CrossRef] [PubMed]
- Ayten, A.; Gelmis, M.; Kınık, A.H.; Ozlu, D.N.; Kose, M.G. A new tool to predict mortality in Fournier’s Gangrene: Controlling Nutritional Status (CONUT) score. World J. Urol. 2025, 43, 277. [Google Scholar] [CrossRef] [PubMed]
- Feingold, K.R.; Grunfeld, C. The acute phase response inhibits reverse cholesterol transport. J. Lipid Res. 2010, 51, 682–684. [Google Scholar] [CrossRef] [PubMed] [PubMed Central]
- Lauwers, C.; De Bruyn, L.; Langouche, L. Impact of critical illness on cholesterol and fatty acids: Insights into pathophysiology and therapeutic targets. Intensive Care Med. Exp. 2023, 11, 84. [Google Scholar] [CrossRef] [PubMed] [PubMed Central]






| Variable | No Complications (n = 85) | Complications (n = 30) | Total (N = 115) | p-Value |
|---|---|---|---|---|
| Age ≥ 65 | 29 (34.1%) | 12 (40.0%) | 41 (35.7%) | 0.563 |
| Female sex | 19 (22.4%) | 5 (16.7%) | 24 (20.9%) | 0.510 |
| BMI category (normal vs. overweight vs. obese) | 65/19/1 | 24/6/0 | 89/25/1 | 0.800 |
| Smoking history | 20 (23.5%) | 10 (33.3%) | 30 (26.1%) | 0.293 |
| Alcohol use | 26 (30.6%) | 11 (36.7%) | 37 (32.2%) | 0.540 |
| ASA class (1/2/3/4) | 4/63/17/1 | 0/18/12/0 | 4/81/29/1 | 0.116 |
| Hypertension | 27 (31.8%) | 9 (30.0%) | 36 (31.3%) | 0.858 |
| Diabetes mellitus | 22 (25.9%) | 10 (33.3%) | 32 (27.8%) | 0.434 |
| History of TB | 3 (3.5%) | 0 (0.0%) | 3 (2.6%) | 0.297 |
| Hepatitis | 3 (3.5%) | 1 (3.3%) | 4 (3.5%) | 0.960 |
| Vascular disease | 12 (14.1%) | 4 (13.3%) | 16 (13.9%) | 0.915 |
| Other comorbidities | 21 (24.7%) | 6 (20.0%) | 27 (23.5%) | 0.601 |
| Non-SCC pathology | 5 (5.9%) | 2 (6.7%) | 7 (6.1%) | 0.877 |
| Flaps other than radial forearm flap | 9 (10.6%) | 8 (26.7%) | 17 (14.8%) | 0.033 * |
| Involved area (aerodigestive tract vs. other areas) | 27 (31.8 *) | 12 (40.0%) | 39 (33.9%) | 0.502 |
| Recurrent disease | 7 (8.2%) | 4 (13.3%) | 11 (9.6%) | 0.414 |
| Preoperative RT | 6 (7.1%) | 4 (13.3%) | 10 (8.7%) | 0.294 |
| Advanced stage (over stage 2) | 63 (74.1%) | 24 (80.0%) | 87 (75.7%) | 0.519 |
| Large flap size (over 75 cm2) | 18 (21.2%) | 14 (46.7%) | 32 (27.8%) | 0.007 * |
| Long operation time (12 h and above) | 35 (41.2%) | 13 (43.3%) | 48 (41.7%) | 0.837 |
| Excess crystalloid infusion(<7 L) | 1 (1.2%) | 2 (6.7%) | 3 (2.6%) | 0.105 |
| Perioperative transfusion | 37 (43.5%) | 18 (60.0%) | 55 (47.8%) | 0.121 |
| Perioperative vasoconstrictor use | 1 (1.2%) | 3 (10.0%) | 4 (3.5%) | 0.023 * |
| Variable | Overall (n = 115) | No Complications (n = 64) | Complications (n = 51) | p (Two-Sided) |
|---|---|---|---|---|
| Age (years) | 61.5 ± 9.3 | 60.3 ± 9.7 | 62.8 ± 8.8 | 0.078 |
| Operation time (hours) | 11.71 ± 2.54 | 11.25 ± 2.47 | 12.29 ± 2.52 | 0.027 * |
| Platelets (/µL) | 242,000 ± 78,465 | 232,703 ± 64,420 | 253,667 ± 92,516 | 0.156 |
| ANC (/µL) | 4434 ± 1821 | 3956 ± 1618 | 5035 ± 1897 | 0.001 * |
| Cholesterol (mg/dL) | 161.5 ± 44.0 | 169.0 ± 44.7 | 152.0 ± 41.5 | 0.038 * |
| Lymphocytes (/µL) | 1536 ± 639 | 1607 ± 639 | 1446 ± 634 | 0.181 |
| Albumin (g/dL) | 4.08 ± 0.49 | 4.13 ± 0.46 | 4.00 ± 0.52 | 0.163 |
| CONUT (points) | 2.35 ± 1.94 | 1.94 ± 1.58 | 2.86 ± 2.22 | 0.014 * |
| log-SII | 2.833 ± 0.320 | 2.750 ± 0.291 | 2.939 ± 0.326 | 0.001 * |
| Model | Predictor | p-Value | Exp (B) | CI 95% (Lower) | CI 95% (Upper) |
|---|---|---|---|---|---|
| Surgical complications—age, size, area, CONUT | |||||
| Age over 65 | 0.680 | 1.215 | 0.481 | 3.067 | |
| Size over 75 | 0.092 | 2.275 | 0.873 | 5.926 | |
| Aerodigestive tract | 0.865 | 0.920 | 0.350 | 2.418 | |
| CONUT (per point) | 0.006 * | 1.404 | 1.103 | 1.785 | |
| Surgical complications—age, size, area, log(SSI) | |||||
| Age over 65 | 0.516 | 1.377 | 0.524 | 3.618 | |
| Size over 75 | 0.172 | 2.011 | 0.737 | 5.486 | |
| Aerodigestive tract | 0.953 | 1.030 | 0.380 | 2.793 | |
| log-SSI (per log unit) | <0.001 * | 24.041 | 4.267 | 135.460 | |
| Leakage—age, size, area, CONUT | |||||
| Age over 65 | 0.803 | 0.874 | 0.303 | 2.523 | |
| Size over 75 | 0.330 | 1.713 | 0.580 | 5.063 | |
| Aerodigestive tract | 0.685 | 1.247 | 0.429 | 3.621 | |
| CONUT (per point) | 0.026 * | 1.346 | 1.036 | 1.748 | |
| Leakage—age, size, area, log(SSI) | |||||
| Age over 65 | 0.969 | 0.979 | 0.325 | 2.944 | |
| Size over 75 | 0.559 | 1.406 | 0.448 | 4.413 | |
| Aerodigestive tract | 0.533 | 1.414 | 0.475 | 4.205 | |
| log-SSI (per log unit) | 0.001 * | 16.239 | 2.962 | 89.021 |
| Overall Surgical Complications with Prevalence: 30/115 (26.1%) | ||||||||
| Marker | AUC (95% CI) | p-value | Cutoff | Sensitivity (95% CI) | Specificity (95% CI) | Youden J | PPV (95% CI) | NPV (95% CI) |
| log(SII) | 0.780 (0.686–0.874) | <0.001 * | ≥2.8749 (SII ≈ 760) | 0.733 (0.556–0.858) | 0.788 (0.690–0.862) | 0.522 | 0.550 (0.398–0.693) | 0.893 (0.803–0.945) |
| CONUT | 0.688 (0.569–0.806) | 0.002 * | ≥4 | 0.467 (0.302–0.639) | 0.847 (0.756–0.908) | 0.314 | 0.519 (0.340–0.693) | 0.818 (0.725–0.885) |
| Leakage with prevalence 20/115 (17.4%) | ||||||||
| Marker | AUC (95% CI) | p-value | Cutoff | Sensitivity | Specificity | Youden J | PPV | NPV |
| log(SII) | 0.740 (0.622–0.858) | <0.001 * | ≥2.8799 (SII ≈ 750) | 0.700 (0.481–0.855) | 0.716 (0.618–0.797) | 0.416 | 0.341 (0.216–0.495) | 0.919 (0.834–0.962) |
| CONUT | 0.685 (0.553–0.816) | 0.006 * | ≥4 | 0.450 (0.258–0.658) | 0.811 (0.720–0.877) | 0.261 | 0.333 (0.186–0.522) | 0.875 (0.790–0.929) |
| Model | Predictor | p-Value | Exp (B) | CI 95% (Lower) | CI 95% (Upper) |
|---|---|---|---|---|---|
| Surgical complications—age, size, area CONUT(cutoff) | |||||
| Age over 65 | 0.524 | 1.351 | 0.536 | 3.404 | |
| Size over 75 | 0.124 | 2.146 | 0.811 | 5.674 | |
| Aerodigestive tract | 0.757 | 1.159 | 0.454 | 2.963 | |
| CONUT 4 and over | 0.008 * | 3.819 | 1.421 | 10.264 | |
| Surgical complications—age, size, area, SII(cutoff) | |||||
| Age over 65 | 0.623 | 1.285 | 0.472 | 3.497 | |
| Size over 75 | 0.075 | 2.513 | 0.911 | 6.933 | |
| Aerodigestive tract | 0.736 | 1.191 | 0.431 | 3.288 | |
| log(SSI) 2.8799 and over | <0.001 * | 0.108 | 0.040 | 0.287 | |
| Leakage—age, size, area CONUT(cutoff) | |||||
| Age over 65 | 0.928 | 0.953 | 0.333 | 2.723 | |
| Size over 75 | 0.340 | 1.710 | 0.568 | 5.146 | |
| Aerodigestive tract | 0.405 | 1.548 | 0.553 | 4.334 | |
| CONUT 4 and over | 0.068 | 2.792 | 0.927 | 8.408 | |
| Leakage—age, size, area, SII(cutoff) | |||||
| Age over 65 | 0.750 | 0.838 | 0.283 | 2.480 | |
| Size over 75 | 0.319 | 1.731 | 0.588 | 5.098 | |
| Aerodigestive tract | 0.422 | 1.546 | 0.534 | 4.471 | |
| log(SII) 2.8749 and over | 0.003 * | 0.192 | 0.065 | 0.566 |
Disclaimer/Publisher’s Note: The statements, opinions and data contained in all publications are solely those of the individual author(s) and contributor(s) and not of MDPI and/or the editor(s). MDPI and/or the editor(s) disclaim responsibility for any injury to people or property resulting from any ideas, methods, instructions or products referred to in the content. |
© 2025 by the author. Published by MDPI on behalf of the Lithuanian University of Health Sciences. Licensee MDPI, Basel, Switzerland. This article is an open access article distributed under the terms and conditions of the Creative Commons Attribution (CC BY) license (https://creativecommons.org/licenses/by/4.0/).
Share and Cite
Lee, J.W. Validation of the Controlling Nutritional Status (CONUT) Score and the Systemic Immune-Inflammation Index (SII) for Predicting Leakage and Surgical Complications After Head and Neck Free Flap Reconstruction: A Pilot Study. Medicina 2025, 61, 2084. https://doi.org/10.3390/medicina61122084
Lee JW. Validation of the Controlling Nutritional Status (CONUT) Score and the Systemic Immune-Inflammation Index (SII) for Predicting Leakage and Surgical Complications After Head and Neck Free Flap Reconstruction: A Pilot Study. Medicina. 2025; 61(12):2084. https://doi.org/10.3390/medicina61122084
Chicago/Turabian StyleLee, Jun Won. 2025. "Validation of the Controlling Nutritional Status (CONUT) Score and the Systemic Immune-Inflammation Index (SII) for Predicting Leakage and Surgical Complications After Head and Neck Free Flap Reconstruction: A Pilot Study" Medicina 61, no. 12: 2084. https://doi.org/10.3390/medicina61122084
APA StyleLee, J. W. (2025). Validation of the Controlling Nutritional Status (CONUT) Score and the Systemic Immune-Inflammation Index (SII) for Predicting Leakage and Surgical Complications After Head and Neck Free Flap Reconstruction: A Pilot Study. Medicina, 61(12), 2084. https://doi.org/10.3390/medicina61122084
