Curve Sprint Ability as an Indicator of Neuromuscular Function and Physical Fitness in Youth Soccer Players: Comparative Insights from U14 and U16 Groups
Abstract
1. Introduction
2. Materials and Methods
2.1. Experimental Approach to the Study
2.2. Participants
2.3. Test Procedures
5-0-5 Change of Direction (COD) Test
2.4. Statistical Analyses
3. Results
4. Discussion
5. Conclusions
Author Contributions
Funding
Institutional Review Board Statement
Informed Consent Statement
Data Availability Statement
Acknowledgments
Conflicts of Interest
References
- Zhang, W.; Gong, B.; Tao, R.; Zhou, F.; Gómez Ruano, M.Á.; Zhou, C. The influence of tactical formation on physical and technical performance across playing positions in the Chinese Super League. Sci. Rep. 2024, 14, 2538. [Google Scholar] [CrossRef] [PubMed]
- Pancar, Z.; Akay, M.K.; Ilhan, M.T.; Karaday, E.; Karaca, B.; Ulema, M.S.; Taşdoğan, A.M.; Makaracı, Y.; González-Fernández, F.T. Effects of intermittent versus continuous small-sided games on athletic performance in male youth soccer players: A pilot study. Life 2025, 15, 364. [Google Scholar] [CrossRef]
- Preissler, A.A.B.; Schons, P.; Clemente, F.M.; de Vargas, G.D.; Klein, L.M.; Silva, A.F.; Kruel, L.F.M. Correlations between linear sprint with the ball, linear sprint without the ball, and change-of-direction without the ball in professional female soccer players. Sci. Rep. 2023, 13, 39. [Google Scholar] [CrossRef]
- Loturco, I.; Jeffreys, I.; Abad, C.C.C.; Kobal, R.; Zanetti, V.; Pereira, L.A.; Nimphius, S. Change-of-direction, speed and jump performance in soccer players: A comparison across different age-categories. J. Sports Sci. 2020, 38, 1279–1285. [Google Scholar] [CrossRef]
- Filter, A.; Olivares-Jabalera, J.; Dos’Santos, T.; Madruga, M.; Oliva Lozano, J.M.; Molina, A.; Santalla, A.; Requena, B.; Loturco, I. High-intensity actions in elite soccer: Current status and future perspectives. Int. J. Sports Med. 2023, 44, 535–544. [Google Scholar] [CrossRef]
- Thomas, C.; Comfort, P.; Chiang, C.-Y.; Jones, P.A. Relationship between isometric mid-thigh pull variables and sprint and change of direction performance in collegiate athletes. J. Trainology 2015, 4, 6–10. [Google Scholar] [CrossRef]
- Ribeiro, J.; Teixeira, L.; Lemos, R.; Teixeira, A.S.; Moreira, V.; Silva, P.; Nakamura, F.Y. Effects of Plyometric versus Optimum Power Load Training on Components of Physical Fitness in Young Male Soccer Players. Int. J. Sports Physiol. Perform. 2020, 15, 222–230. [Google Scholar] [CrossRef]
- Malina, R.M.; Eisenmann, J.C.; Cumming, S.P.; Ribeiro, B.; Aroso, J. Maturity-associated variation in the growth and functional capacities of youth football (soccer) players 13–15 years. Eur. J. Appl. Physiol. 2004, 91, 555–562. [Google Scholar] [CrossRef]
- Loturco, I.; Pereira, L.A.; Fílter, A.; Olivares-Jabalera, J.; Reis, V.P.; Fernandes, V.; Freitas, T.T.; Requena, B. Curve sprinting in soccer: Relationship with linear sprints and vertical jump performance. Biol. Sport 2020, 37, 277–283. [Google Scholar] [CrossRef] [PubMed]
- Smith, N.; Dyson, R.; Hale, T.; Janaway, L. Contributions of the inside and outside leg to maintenance of curvilinear motion on a natural turf surface. Gait Posture 2006, 24, 453–458. [Google Scholar] [CrossRef] [PubMed]
- Negra, Y.; Chaabene, H.; Hammami, M.; Amara, S.; Sammoud, S.; Mkaouer, B.; Hachana, Y. Agility in young athletes: Is it a different ability from speed and power? J. Strength Cond. Res. 2017, 31, 727–735. [Google Scholar] [CrossRef]
- Little, T.; Williams, A.G. Specificity of acceleration, maximum speed, and agility in professional soccer players. J. Strength Cond. Res. 2005, 19, 76–78. [Google Scholar] [CrossRef]
- Alt, T.; Heinrich, K.; Funken, J.; Potthast, W. Lower extremity kinematics of athletics curve sprinting. J. Sports Sci. 2015, 33, 552–560. [Google Scholar] [CrossRef]
- Moran, J.; Sandercock, G.R.H.; Ramírez-Campillo, R.; Meylan, C.; Collison, J.; Parry, D.A. A meta-analysis of maturation-related variation in adolescent boy athletes’ adaptations to short-term resistance training. J. Sports Sci. 2017, 35, 1041–1051. [Google Scholar] [CrossRef]
- Polat, C.; Unveren, A.; Ertan, H.; Migliaccio, G.M.; Pancar, Z.; Russo, L. Effects of Recreational Football on Bone Mineral Density and Isokinetic Muscle Strength in Elderly Men: A Study of Turkish Older Men. Medicina 2025, 61, 219. [Google Scholar] [CrossRef]
- Bright, T.E.; Handford, M.J.; Mundy, P.; Lake, J.; Theis, N.; Hughes, J.D. Building for the future: A systematic review of the effects of eccentric resistance training on measures of physical performance in youth athletes. Sports Med. 2023, 53, 1219–1254. [Google Scholar] [CrossRef] [PubMed]
- Williams, M.D.; Ramirez-Campillo, R.; Chaabene, H.; Moran, J. Neuromuscular training and motor control in youth athletes: A meta-analysis. Percept. Mot. Skills 2021, 128, 1975–1997. [Google Scholar] [CrossRef] [PubMed]
- Bangsbo, J.; Iaia, F.M.; Krustrup, P. The Yo-Yo intermittent recovery test: A useful tool for evaluation of physical performance in intermittent sports. Sports Med. 2008, 38, 37–51. [Google Scholar] [CrossRef] [PubMed]
- Krustrup, P.; Mohr, M.; Amstrup, T.; Rysgaard, T.; Johansen, J.; Steensberg, A.; Pedersen, P.K.; Bangsbo, J. The yo-yo intermittent recovery test: Physiological response, reliability and validity. Med. Sci. Sports Exerc. 2003, 35, 697–705. [Google Scholar] [CrossRef]
- Hachana, Y.; Chaabène, H.; Nabli, M.A.; Attia, A.; Moualhi, J.; Farhat, N.; Elloumi, M. Test–retest reliability, criterion-related validity, and minimal detectable change of the Illinois agility test in male team sport athletes. J. Strength Cond. Res. 2013, 27, 2752–2759. [Google Scholar] [CrossRef]
- Freitas, T.T.; Jeffreys, I.; Reis, V.P.; Fernandes, V.; Alcaraz, P.E.; Pereira, L.A.; Loturco, I. Multidirectional sprints in soccer: Are there connections between linear, curved, and change-of-direction speed performances? J. Sports Med. Phys. Fit. 2021, 61, 212–217. [Google Scholar] [CrossRef]
- Trecroci, A.; Cavaggioni, L.; Rossi, A.; Moriondo, A.; Merati, G.; Nobari, H.; Ardigò, L.P.; Formenti, D. Effects of speed, agility and quickness training programme on cognitive and physical performance in preadolescent soccer players. PLoS ONE 2022, 17, e0277683. [Google Scholar] [CrossRef]
- Zouhal, H.; Abderrahman, A.B.; Dupont, G.; Truptin, P.; Le Bris, R.; Le Postec, E.; Sghaeir, Z.; Brughelli, M.; Granacher, U.; Bideau, B. Effects of neuromuscular training on agility performance in elite soccer players. Front. Physiol. 2019, 10, 947. [Google Scholar] [CrossRef]
- Sašek, M.; Miras-Moreno, S.; García-Ramos, A.; Cvjetićanin, O.; Šarabon, N.; Kavčič, I.; Smajla, D. The concurrent validity and reliability of a global positioning system for measuring maximum sprinting speed and split times of linear and curvilinear sprint tests. Appl. Sci. 2024, 14, 6116. [Google Scholar] [CrossRef]
- Comfort, P.; Stewart, A.; Bloom, L.; Clarkson, B. Relationships between strength, sprint, and jump performance in well-trained youth soccer players. J. Strength Cond. Res. 2014, 28, 173–177. [Google Scholar] [CrossRef]
- Markovic, G.; Dizdar, D.; Jukic, I.; Cardinale, M. Reliability and factorial validity of squat and countermovement jump tests. J. Strength Cond. Res. 2004, 18, 551–555. [Google Scholar] [CrossRef]
- de Blas, X.; Padullés, J.M.; López del Amo, J.L.; Guerra-Balic, M. Creation and validation of Chronojump-Boscosystem: A free tool to measure vertical jumps. Rev. Int. Cienc. Deporte 2012, 8, 334–356. [Google Scholar] [CrossRef]
- Leão, C.; Camões, M.; Clemente, F.M.; Nikolaidis, P.T.; Lima, R.; Bezerra, P.; Rosemann, T.; Knechtle, B. Anthropometric profile of soccer players as a determinant of position specificity and methodological issues of body composition estimation. Int. J. Environ. Res. Public Health 2019, 16, 2386. [Google Scholar] [CrossRef] [PubMed]
- Bond, C.W.; Willaert, E.M.; Rudningen, K.E.; Noonan, B.C. Reliability of three timing systems used to time short on-ice skating sprints in ice hockey players. J. Strength Cond. Res. 2017, 31, 3279–3286. [Google Scholar] [CrossRef] [PubMed]
- Amiri-Khorasani, M.; Abu Osman, N.A.; Yusof, A. Acute effect of static and dynamic stretching on hip dynamic range of motion during instep kicking in professional soccer players. J. Strength Cond. Res. 2011, 25, 1647–1652. [Google Scholar] [CrossRef] [PubMed]
- Daneshjoo, A.; Mokhtar, A.H.; Rahnama, N.; Yusof, A. The effects of comprehensive warm-up programs on proprioception, static and dynamic balance on male soccer players. PLoS ONE 2012, 7, e51568. [Google Scholar] [CrossRef]
- Kilding, A.E.; Tunstall, H.; Kuzmic, D. Suitability of FIFA’s “The 11” training programme for young football players—Impact on physical performance. J. Sports Sci. Med. 2008, 7, 320–326. [Google Scholar] [PubMed]
- Draper, J.A.; Lancaster, M.G. The 505 test: A test for agility in the horizontal plane. Aust. J. Sci. Med. Sport 1985, 17, 15–18. [Google Scholar]
- Tsubouchi, S.; Demura, S.; Uchida, Y.; Matsuura, Y.; Uchida, H. Agility characteristics of various athletes based on a successive choice-reaction test. Am. J. Sports Sci. Med. 2016, 4, 98–102. Available online: https://pubs.sciepub.com/ajssm/4/4/3/index.html (accessed on 30 October 2025).
- Gonzalo-Skok, O.; Moreno-Azze, A.; Arjol-Serrano, J.L.; Tous-Fajardo, J.; Bishop, C. A comparison of three different unilateral strength training strategies to enhance jumping performance and decrease interlimb asymmetries in soccer players. Int. J. Sports Physiol. Perform. 2019, 14, 1256–1264. [Google Scholar] [CrossRef]
- Lockie, R.G.; Schultz, A.B.; Callaghan, S.J. The relationship between bilateral differences of knee flexor and extensor isokinetic strength and multi-directional speed. Isokinet. Exerc. Sci. 2012, 20, 211–219. [Google Scholar] [CrossRef]
- Fílter, A.; Olivares, J.; Santalla, A.; Nakamura, F.Y.; Loturco, I.; Requena, B. New curve sprint test for soccer players: Reliability and relationship with linear sprint. J. Sports Sci. 2020, 38, 1320–1325. [Google Scholar] [CrossRef] [PubMed]
- George, D.; Mallery, M. SPSS for Windows Step by Step: A Simple Guide and Reference, 10th ed.; 17.0 Update; Pearson: Boston, MA, USA, 2010. [Google Scholar]
- Cohen, J. Statistical Power Analysis for the Behavioural Sciences; Lawrence Erlbaum Associates: Hillsdale, NJ, USA, 1998. [Google Scholar]
- Hopkins, W.G.; Marshall, S.W.; Batterham, A.M.; Hanin, J. Progressive statistics for studies in sports medicine and exercise science. Med. Sci. Sports Exerc. 2009, 41, 3–13. [Google Scholar] [CrossRef]
- Cormie, P.; McGuigan, M.R.; Newton, R.U. Developing maximal neuromuscular power: Part 1—Biological basis of maximal power production. Sports Med. 2011, 41, 17–38. [Google Scholar] [CrossRef] [PubMed]
- Loturco, I.; Bishop, C.; Freitas, T.T.; Pereira, L.A.; Jeffreys, I. Vertical force production in soccer: Mechanical aspects and applied training strategies. Strength Cond. J. 2020, 42, 6–15. [Google Scholar] [CrossRef]
- Brughelli, M.; Cronin, J.; Levin, G.; Chaouachi, A. Understanding change of direction ability in sport: A review of resistance training studies. Sports Med. 2008, 38, 1045–1063. [Google Scholar] [CrossRef]
- Gabbett, T.J.; Kelly, J.N.; Sheppard, J.M. Speed, change of direction speed, and reactive agility of rugby league players. J. Strength Cond. Res. 2008, 22, 174–181. [Google Scholar] [CrossRef] [PubMed]
- Faude, O.; Koch, T.; Meyer, T. Straight sprinting is the most frequent action in goal situations in professional football. J. Sports Sci. 2012, 30, 625–631. [Google Scholar] [CrossRef]
- Fitzpatrick, J.F.; Linsley, A.; Musham, C. Running the curve: A preliminary investigation into curved sprinting during football match-play. Sport Perform. Sci. Rep. 2019, 61, 1–3. Available online: https://sportperfsci.com/wp-content/uploads/2019/03/SPSR61_Fitzpatrick_190325_final-2.pdf (accessed on 30 October 2025).
- Viru, A.; Loko, J.; Harro, M.; Volver, A.; Laaneots, L.; Viru, M. Critical periods in the development of performance capacity during childhood and adolescence. Eur. J. Phys. Educ. 1999, 4, 75–119. [Google Scholar] [CrossRef]
- Lloyd, R.S.; Oliver, J.L.; Faigenbaum, A.D.; Howard, R.; De Ste Croix, M.B.A.; Williams, C.A.; Best, T.M.; Alvar, B.A.; Micheli, L.J.; Thomas, D.P.; et al. Long-term athletic development—Part 1: A pathway for all youth. J. Strength Cond. Res. 2015, 29, 1439–1450. [Google Scholar] [CrossRef]
- Dos’Santos, T.; Thomas, C.; Comfort, P.; Jones, P.A. Role of the penultimate foot contact during change of direction: Implications on performance and risk of injury. Strength Cond. J. 2019, 41, 87–104. [Google Scholar] [CrossRef]
- González-Víllora, S.; Machado, G.; Gualda, A.; Teoldo, I. The effect of 14 training sessions on the development of decision-making skills in U-13 soccer players. J. Sports Sci. Coach. 2025, 25, 995–1012. [Google Scholar] [CrossRef]
- Pietraszewski, P.; Maszczyk, A.; Zajac, A.; Gołaś, A. Muscle activity and biomechanics of sprinting: A meta-analysis review. Appl. Sci. 2025, 15, 4959. [Google Scholar] [CrossRef]
- Dos’Santos, T.; Thomas, C.; Comfort, P.; Jones, P.A. The effect of angle and velocity on change of direction biomechanics: An angle–velocity trade-off. Sports Med. 2018, 48, 2235–2253. [Google Scholar] [CrossRef]
- Luo, G.; Stefanyshyn, D. Ankle moment generation and maximum-effort curved sprinting performance. J. Biomech. 2012, 45, 2763–2768. [Google Scholar] [CrossRef]
- Chang, Y.H.; Kram, R. Limitations to maximum running speed on flat curves. J. Exp. Biol. 2007, 210, 971–982. [Google Scholar] [CrossRef]
- Rodríguez-Rosell, D.; Franco-Márquez, F.; Mora-Custodio, R.; González-Badillo, J.J. Effect of High-Speed Strength Training on Physical Performance in Young Soccer Players of Different Ages. J. Strength Cond. Res. 2017, 31, 2498–2508. [Google Scholar] [CrossRef] [PubMed]
- Kobal, R.; Freitas, T.T.; Fílter, A.; Requena, B.; Barroso, R.; Rossetti, M.; Loturco, I. Curve sprint in elite female soccer players: Relationship with linear sprint and jump performance. Int. J. Environ. Res. Public Health 2021, 18, 2306. [Google Scholar] [CrossRef] [PubMed]
- Barrera, J.; Figueiredo, A.J.; Duarte, J.; Field, A.; Sarmento, H. Predictors of linear sprint performance in professional football players. Biol. Sport 2023, 40, 359–364. [Google Scholar] [CrossRef] [PubMed]
- Yanci, J.; Los Arcos, A.; Mendiguchia, J.; Brughelli, M. Relationships between sprinting, agility, one- and two-leg vertical and horizontal jump in soccer players. Kinesiology 2014, 46, 194–201. Available online: https://hrcak.srce.hr/131898 (accessed on 30 October 2025).
- Ciobanu, I.; Stănculescu, D.I.; Iliescu, A.; Popescu, A.M.; Seiciu, P.L.; Mikolajczyk, T.; Moldovan, F.; Berteanu, M. The usability pilot study of a mechatronic system for gait rehabilitation. Procedia Manuf. 2018, 22, 864–871. [Google Scholar] [CrossRef]












| U14 | U16 | p | Cohen’s d | Magnitude | |
|---|---|---|---|---|---|
| VO2max (mL/kg/min) 95% CI: | 44.93 ± 3.78 43.69–46.17 | 45.26 ± 3.43 44.14–46.39 | 0.687 | −0.093 −0.542, 0.357 | Small |
| CS GS (s) 95% CI: | 5.66 ± 0.40 5.53–5.79 | 5.20 ± 0.56 5.02–5.39 | <0.001 | 0.931 0.455, 1.402 | Large |
| CS WS (s) 95% CI: | 5.97 ± 0.42 5.83–6.11 | 5.42 ± 0.59 5.23–5.61 | <0.001 | 1.076 0.591, 1.554 | Large |
| CMJ (cm) 95% CI: | 27.47 ± 4.99 25.84–29.11 | 33.58 ± 5.90 31.64–35.52 | <0.001 | −1.117 −1.598, −0.630 | Large |
| IAT (s) 95% CI: | 19.47 ± 1.59 18.95–19.99 | 18.44 ± 1.36 18.00–18.89 | <0.003 | 0.695 0.229, 1.156 | Medium |
| 5-0-5 (s) 95% CI: | 5.67 ± 0.54 5.50–5.85 | 5.33 ± 0.39 5.20–5.46 | <0.002 | 0.736 0.268, 1.198 | Medium |
| V-Cut (s) 95% CI: | 8.09 ± 0.41 7.95–8.22 | 7.89 ± 0.54 7.72–8.07 | 0.081 | 0.406 −0.050, 0.859 | Small |
| U14 | VO2max | CMJ | IAT | 5-0-5 | V-Cut | |
|---|---|---|---|---|---|---|
| Curve Sprint GS | r CI | −0.297 −0.563, 0.025 | −0.445 −0.670, −0.146 | 0.719 0.518, 0.844 | 0.438 0.137, 0.665 | 0.301 −0.020, 0.566 |
| p | 0.070 | <0.001 * | <0.001 * | 0.006 * | 0.066 | |
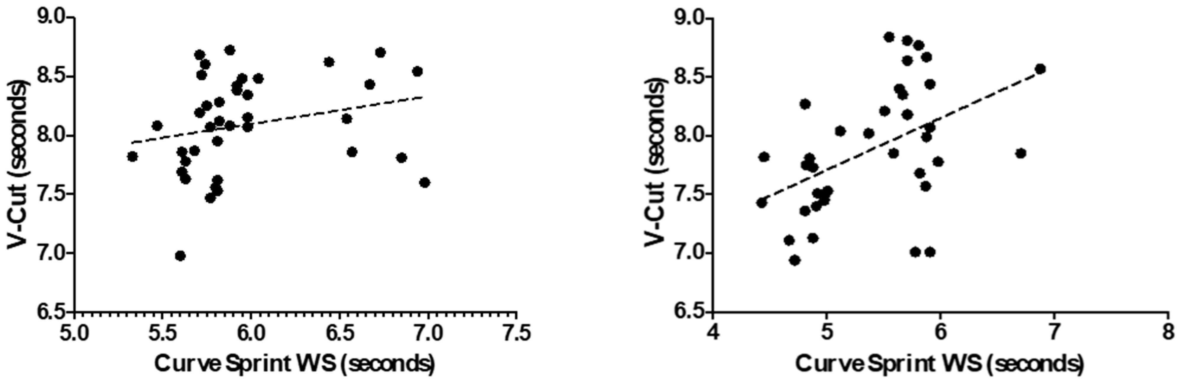
| Curve Sprint WS | r CI | −0.191 −0.482, 0.137 | −0.399 −0.637,−0.091 | 0.669 0.445, 0.815 | 0.311 −0.010, 0.573 | 0.240 −0.086, 0.520 |
| p | 0.250 | 0.013 * | <0.001 * | 0.058 | 0.146 |
| U16 | VO2max | CMJ | IAT | 5-0-5 | V-Cut | |
|---|---|---|---|---|---|---|
| Curve Sprint GS | r CI | −0.166 −0.461, 0.162 | −0.661 −0.809, −0.432 | 0.785 0.621, 0.883 | 0.430 0.128, 0.659 | 0.477 0.186, 0.691 |
| p | 0.319 | <0.001 * | <0.001 * | 0.007 * | 0.002 * | |
| Curve Sprint WS | r CI | −0.156 −0.453, 0.173 | −0.729 −0.851, −0.534 | 0.775 0.606, 0.878 | 0.442 0.143, 0.668 | 0.478 0.187, 0.692 |
| p | 0.351 | <0.001 * | <0.001 * | 0.005 * | 0.002 * |
| Group | N | %DA | t | p | Cohen’s d |
|---|---|---|---|---|---|
| U14 | 38 | 5.70 ± 2.93 | 0.885 | 0.379 | 0.203 CI: [−0.248, 0.654] |
| U16 | 38 | 5.06 ± 3.37 |
| Predictor (Unit) | Group | β (95% CI) | p (β) | Interaction | Practical (ΔX→ΔCS) | R2 |
|---|---|---|---|---|---|---|
| CMJ (cm) | U14 | −0.035 [−0.060, −0.010] | 0.006 | 0.048 | +5 cm → −0.174 s | 0.522 |
| U16 | −0.068 [−0.089, −0.047] | <0.001 | +5 cm → −0.338 s | 0.522 | ||
| Illinois (s) | U14 | +0.179 [+0.115, +0.244] | <0.001 | 0.003 | +1.0 s → +0.179 s | 0.662 |
| U16 | +0.329 [+0.254, +0.405] | <0.001 | +1.0 s → +0.330 s | 0.662 | ||
| COD505 (s) | U14 | +0.286 [+0.016, +0.556] | 0.038 | 0.128 | +1.0 s → +0.286 s | 0.367 |
| U16 | +0.643 [+0.271, +1.015] | <0.001 | +1.0 s → +0.643 s | 0.367 | ||
| VCut (s) | U14 | +0.269 [−0.081, +0.620] | 0.132 | 0.292 | +1.0 s → +0.269 s | 0.369 |
| U16 | +0.506 [+0.240, +0.772] | <0.001 | +1.0 s → +0.506 s | 0.369 | ||
| VO2max (mL × kg−1 × min−1) | U14 | −0.026 [−0.068, +0.015] | 0.211 | 0.988 | +5 mL·kg−1·min−1 → −0.132 s | 0.267 |
| U16 | −0.027 [−0.072, +0.018] | 0.248 | +5 mL·kg−1·min−1 → −0.134 s | 0.267 |
Disclaimer/Publisher’s Note: The statements, opinions and data contained in all publications are solely those of the individual author(s) and contributor(s) and not of MDPI and/or the editor(s). MDPI and/or the editor(s) disclaim responsibility for any injury to people or property resulting from any ideas, methods, instructions or products referred to in the content. |
© 2025 by the authors. Published by MDPI on behalf of the Lithuanian University of Health Sciences. Licensee MDPI, Basel, Switzerland. This article is an open access article distributed under the terms and conditions of the Creative Commons Attribution (CC BY) license (https://creativecommons.org/licenses/by/4.0/).
Share and Cite
Pancar, Z.; Karaca, B.; Chen, Y.-S.; Fuentes, J.A.S.; Ledesma, S.N.; Barbero-Álvarez, J.C.; González-Fernández, F.T. Curve Sprint Ability as an Indicator of Neuromuscular Function and Physical Fitness in Youth Soccer Players: Comparative Insights from U14 and U16 Groups. Medicina 2025, 61, 1981. https://doi.org/10.3390/medicina61111981
Pancar Z, Karaca B, Chen Y-S, Fuentes JAS, Ledesma SN, Barbero-Álvarez JC, González-Fernández FT. Curve Sprint Ability as an Indicator of Neuromuscular Function and Physical Fitness in Youth Soccer Players: Comparative Insights from U14 and U16 Groups. Medicina. 2025; 61(11):1981. https://doi.org/10.3390/medicina61111981
Chicago/Turabian StylePancar, Zarife, Burak Karaca, Yung-Sheng Chen, José Antonio Sánchez Fuentes, Santiago Navarro Ledesma, José Carlos Barbero-Álvarez, and Francisco Tomás González-Fernández. 2025. "Curve Sprint Ability as an Indicator of Neuromuscular Function and Physical Fitness in Youth Soccer Players: Comparative Insights from U14 and U16 Groups" Medicina 61, no. 11: 1981. https://doi.org/10.3390/medicina61111981
APA StylePancar, Z., Karaca, B., Chen, Y.-S., Fuentes, J. A. S., Ledesma, S. N., Barbero-Álvarez, J. C., & González-Fernández, F. T. (2025). Curve Sprint Ability as an Indicator of Neuromuscular Function and Physical Fitness in Youth Soccer Players: Comparative Insights from U14 and U16 Groups. Medicina, 61(11), 1981. https://doi.org/10.3390/medicina61111981

