Development of a Predictive Nomogram for Sepsis in Patients with Urolithiasis-Related Obstructive Pyelonephritis
Abstract
1. Introduction
2. Materials and Methods
2.1. Study Design and Setting
2.2. Patient Selection and Data Collection
2.3. Outcome Measures
2.4. Model Construction and Statistical Analysis
3. Results
3.1. Patient Characteristics
3.2. Microbiology Results
3.3. Treatment and Outcomes
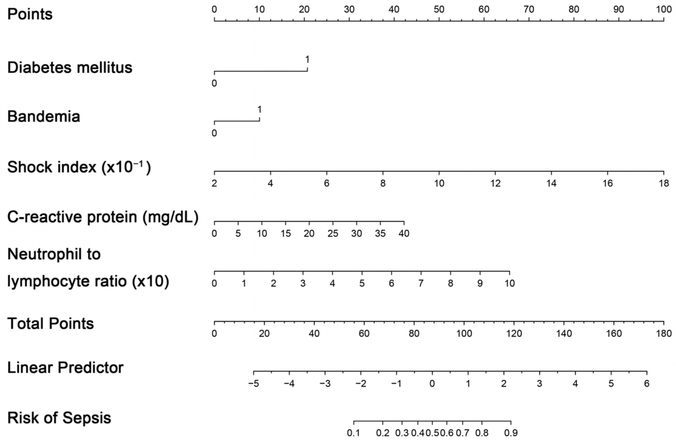
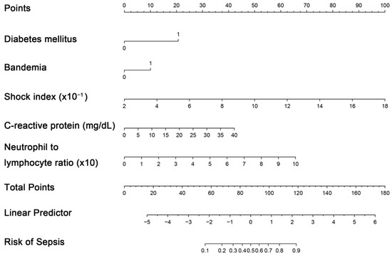
3.4. Variable Selection and Model Construction
3.5. Performance of the Nomograms and Bootstrap Internal Validation
4. Discussion
Limitations
5. Conclusions
Author Contributions
Funding
Institutional Review Board Statement
Informed Consent Statement
Data Availability Statement
Conflicts of Interest
References
- Gupta, K.; Grigoryan, L.; Trautner, B. Urinary Tract Infection. Ann. Intern. Med. 2017, 167, ITC49–ITC64. [Google Scholar] [CrossRef] [PubMed]
- Nicolle, L. Complicated Urinary Tract Infection in Adults. Can. J. Infect. Dis. Med. Microbiol. 2005, 16, 349–360. [Google Scholar] [CrossRef]
- Cohen, J.; Cohen, S.; Grasso, M. Ureteropyeloscopic treatment of large, complex intrarenal and proximal ureteral calculi. BJU Int. 2013, 111, E127–E131. [Google Scholar] [CrossRef]
- Yamamichi, F.; Shigemura, K.; Kitagawa, K.; Fujisawa, M. Comparison between non-septic and septic cases in stone-related obstructive acute pyelonephritis and risk factors for septic shock: A multi-center retrospective study. J. Infect. Chemother. 2018, 24, 902–906. [Google Scholar] [CrossRef] [PubMed]
- Reyner, K.; Heffner, A.C.; Karvetski, C.H. Urinary obstruction is an important complicating factor in patients with septic shock due to urinary infection. Am. J. Emerg. Med. 2016, 34, 694–696. [Google Scholar] [CrossRef]
- Kakinoki, H.; Tobu, S.; Kakinoki, Y.; Udo, K.; Uozumi, J.; Noguchi, M. Risk Factors for Uroseptic Shock in Patients with Urolithiasis-Related Acute Pyelonephritis. Urol. Int. 2018, 100, 37–42. [Google Scholar] [CrossRef]
- Hsu, C.-Y.; Fang, H.-C.; Chou, K.-J.; Chen, C.-L.; Lee, P.-T.; Chung, H.-M. The clinical impact of bacteremia in complicated acute pyelonephritis. Am. J. Med. Sci. 2006, 332, 175–180. [Google Scholar] [CrossRef] [PubMed]
- Lee, J.H.; Lee, Y.M.; Cho, J.H. Risk factors of septic shock in bacteremic acute pyelonephritis patients admitted to an ER. J. Infect. Chemother. 2012, 18, 130–133. [Google Scholar] [CrossRef]
- Herness, J.; Buttolph, A.; Hammer, N.C. Acute Pyelonephritis in Adults: Rapid Evidence Review. Am. Fam. Physician 2020, 102, 173–180. [Google Scholar]
- Vernuccio, F.; Patti, D.; Cannella, R.; Salvaggio, G.; Midiri, M. CT imaging of acute and chronic pyelonephritis: A practical guide for emergency radiologists. Emerg. Radiol. 2020, 27, 561–567. [Google Scholar] [CrossRef]
- Singer, M.; Deutschman, C.S.; Seymour, C.W.; Shankar-Hari, M.; Annane, D.; Bauer, M.; Bellomo, R.; Bernard, G.R.; Chiche, J.-D.; Coopersmith, C.M.; et al. The Third International Consensus Definitions for Sepsis and Septic Shock (Sepsis-3). JAMA 2016, 315, 801–810. [Google Scholar] [CrossRef] [PubMed]
- Vasquez, M.M.; Hu, C.; Roe, D.J.; Chen, Z.; Halonen, M.; Guerra, S. Least absolute shrinkage and selection operator type methods for the identification of serum biomarkers of overweight and obesity: Simulation and application. BMC Med. Res. Methodol. 2016, 16, 154. [Google Scholar] [CrossRef] [PubMed]
- Steyerberg, E.W.; Harrell, F.E. Prediction models need appropriate internal, internal–external, and external validation. J. Clin. Epidemiol. 2016, 69, 245–247. [Google Scholar] [CrossRef] [PubMed]
- Srougi, V.; Moscardi, P.R.; Marchini, G.S.; Berjeaut, R.H.; Torricelli, F.C.; Mesquita, J.L.B.; Srougi, M.; Mazzucchi, E. Septic Shock Following Surgical Decompression of Obstructing Ureteral Stones: A Prospective Analysis. J. Endourol. 2018, 32, 446–450. [Google Scholar] [CrossRef] [PubMed]
- Patodia, M.; Goel, A.; Singh, V.; Singh, B.P.; Sinha, R.J.; Kumar, M.; Dalela, D.; Sankhwar, S.N. Are there any predictors of pyonephrosis in patients with renal calculus disease? Urolithiasis 2017, 45, 415–420. [Google Scholar] [CrossRef] [PubMed]
- Alexiewicz, J.M.; Kumar, D.; Smogorzewski, M.; Klin, M.; Massry, S.G. Polymorphonuclear leukocytes in non-insulin-dependent diabetes mellitus: Abnormalities in metabolism and function. Ann. Intern. Med. 1995, 123, 919–924. [Google Scholar] [CrossRef]
- Edwards, M.S.; Fuselier, P.A. Enhanced susceptibility of mice with streptozotocin-induced diabetes to type II group B streptococcal infection. Infect. Immun. 1983, 39, 580–585. [Google Scholar] [CrossRef] [PubMed]
- Tambo, M.; Okegawa, T.; Shishido, T.; Higashihara, E.; Nutahara, K. Predictors of septic shock in obstructive acute pyelonephritis. World J. Urol. 2014, 32, 803–811. [Google Scholar] [CrossRef]
- Tseng, J.; Nugent, K. Utility of the shock index in patients with sepsis. Am. J. Med. Sci. 2015, 349, 531–535. [Google Scholar] [CrossRef]
- Jouffroy, R.; Pierre Tourtier, J.; Gueye, P.; Bloch-Laine, E.; Bounes, V.; Debaty, G.; Boularan, J.; Carli, P.; Vivien, B. Prehospital shock index to assess 28-day mortality for septic shock. Am. J. Emerg. Med. 2020, 38, 1352–1356. [Google Scholar] [CrossRef]
- Althunayyan, S.M.; Alsofayan, Y.M.; Khan, A.A. Shock index and modified shock index as triage screening tools for sepsis. J. Infect. Public Health 2019, 12, 822–826. [Google Scholar] [CrossRef] [PubMed]
- Evans, L.; Rhodes, A.; Alhazzani, W.; Antonelli, M.; Coopersmith, C.M.; French, C.; Machado, F.R.; McIntyre, L.; Ostermann, M.; Prescott, H.C.; et al. Surviving Sepsis Campaign: International Guidelines for Management of Sepsis and Septic Shock 2021. Crit. Care Med. 2021, 49, e1063–e1143. [Google Scholar] [CrossRef] [PubMed]
- Scott, J.; Deresinski, S. Use of biomarkers to individualize antimicrobial therapy duration: A narrative review. Clin. Microbiol. Infect. 2023, 29, 160–164. [Google Scholar] [CrossRef]
- Li, Y.; Wang, J.; Wei, B.; Zhang, X.; Hu, L.; Ye, X. Value of Neutrophil:Lymphocyte Ratio Combined with Sequential Organ Failure Assessment Score in Assessing the Prognosis of Sepsis Patients. Int. J. Gen. Med. 2022, 15, 1901–1908. [Google Scholar] [CrossRef] [PubMed]
- Huang, Y.-H.; Chen, C.-J.; Shao, S.-C.; Li, C.-H.; Hsiao, C.-H.; Niu, K.-Y.; Yen, C.-C. Comparison of the Diagnostic Accuracies of Monocyte Distribution Width, Procalcitonin, and C-Reactive Protein for Sepsis: A Systematic Review and Meta-Analysis. Crit. Care Med. 2023, 51, e106–e114. [Google Scholar] [CrossRef] [PubMed]
- Lee, Y.-C.; Li, J.-J.; Hsiao, C.-H.; Yen, C.-C. Clinical Characteristics and In-Hospital Outcomes in Patients with Iliopsoas Abscess: A Multicenter Study. J. Clin. Med. 2023, 12, 2760. [Google Scholar] [CrossRef] [PubMed]
- Lee, Y.-C.; Yeh, H.-T.; Lu, S.-W.; Tsai, Y.-C.; Tsai, Y.-C.; Yen, C.-C. Diagnostic accuracy of procalcitonin in adult non-neutropenic cancer patients with suspected infection: A systematic review and meta-analysis. BMC Infect. Dis. 2024, 24, 278. [Google Scholar] [CrossRef] [PubMed]
- Kriplani, A.; Pandit, S.; Chawla, A.; De La Rosette, J.J.; Laguna, P.; Jayadeva Reddy, S.; Somani, B.K. Neutrophil–lymphocyte ratio (NLR), platelet–lymphocyte ratio (PLR) and lymphocyte–monocyte ratio (LMR) in predicting systemic inflammatory response syndrome (SIRS) and sepsis after percutaneous nephrolithotomy (PNL). Urolithiasis 2022, 50, 341–348. [Google Scholar] [CrossRef]
- Elsaraya, N.; Gordon-Irshai, A.; Schwarzfuchs, D.; Novack, V.; Mabjeesh, N.J.; Neulander, E.Z. Neutrophil to lymphocyte ratio as an early indicator for ureteral catheterization in patients with renal colic due to upper urinary tract lithiasis. PLoS ONE 2022, 17, e0270706. [Google Scholar] [CrossRef]
- Radu, V.D.; Costache, R.C.; Onofrei, P.; Miftode, E.; Linga, I.; Ouatu, R.M.; Boiculese, L.; Bobeica, R.L.; Tanasa Vasilache, I.; Mititiuc, I.L. Multidrug-Resistant (MDR) Urinary Tract Infections Associated with Gut Microbiota in CoV and Non-CoV Patients in a Urological Clinic during the Pandemic: A Single Center Experience. Antibiotics 2023, 12, 973. [Google Scholar] [CrossRef]
- Radu, V.D.; Costache, R.C.; Onofrei, P.; Antohi, L.; Bobeica, R.L.; Linga, I.; Tanase-Vasilache, I.; Ristescu, A.I.; Murgu, A.-M.; Miftode, I.-L.; et al. Factors Associated with Increased Risk of Urosepsis during Pregnancy and Treatment Outcomes, in a Urology Clinic. Medicina 2023, 59, 1972. [Google Scholar] [CrossRef] [PubMed]
- Jacoby, G.A. Mechanisms of Resistance to Quinolones. Clin. Infect. Dis. 2005, 41, S120–S126. [Google Scholar] [CrossRef] [PubMed]
- Sarier, M.; Seyman, D.; Tekin, S.; Duman, I.; Uygun, B.; Demir, M.; Kukul, E.; Yavuz, A.H. Comparision of Ureteral Stent Colonization Between Deceased and Live Donor Renal Transplant Recipients. Transplant. Proc. 2017, 49, 2082–2085. [Google Scholar] [CrossRef] [PubMed]
- van Nieuwkoop, C.; Hoppe, B.P.C.; Bonten, T.N.; Van’t Wout, J.W.; Aarts, N.J.M.; Mertens, B.J.; Leyten, E.M.S.; Koster, T.; Wattel-Louis, G.H.; Delfos, N.M.; et al. Predicting the need for radiologic imaging in adults with febrile urinary tract infection. Clin. Infect. Dis. 2010, 51, 1266–1272. [Google Scholar] [CrossRef] [PubMed]
- Lu, X.; Zhou, B.; Hu, D.; Ding, Y. Emergency decompression for patients with ureteral stones and SIRS: A prospective randomized clinical study. Ann. Med. 2023, 55, 965–972. [Google Scholar] [CrossRef]
- Zul Khairul Azwadi, I.; Norhayati, M.N.; Abdullah, M.S. Percutaneous nephrostomy versus retrograde ureteral stenting for acute upper obstructive uropathy: A systematic review and meta-analysis. Sci. Rep. 2021, 11, 6613. [Google Scholar] [CrossRef]
- Vahlensieck, W.; Friess, D.; Fabry, W.; Waidelich, R.; Bschleipfer, T. Long-term results after acute therapy of obstructive pyelonephritis. Urol. Int. 2015, 94, 436–441. [Google Scholar] [CrossRef]





| Variable | Total (n = 148) | Sepsis (n = 46) | Non-Sepsis (n = 102) | p Value |
|---|---|---|---|---|
| Age (year) | 60.8 ± 14.6 | 62.8 ± 13.6 | 59.9 ± 15.1 | 0.268 |
| Male | 39 (26.4) | 14 (30.4) | 25 (24.5) | 0.449 |
| SBP (mmHg) | 140.9 ± 33.3 | 122.9 ± 31.7 | 149.0 ± 30.8 | <0.001 * |
| SBP < 90 (mmHg) | 8 (5.4) | 7 (15.2) | 1 (1.0) | <0.001 * |
| Heart rate (beats/min) | 101.0 ± 20.8 | 109.2 ± 19.3 | 97.3 ± 20.5 | 0.001 * |
| Heart rate > 100 (beats/min) | 72 (48.6) | 31 (67.4) | 41 (40.2) | 0.002 * |
| Respiratory rate (beats/min) | 18.5 ± 2.0 | 19.2 ± 2.5 | 18.1 ± 1.7 | 0.007 * |
| Shock index | 0.8 ± 0.3 | 0.9 ± 0.3 | 0.7 ± 0.2 | <0.001 * |
| Fever † | 58 (39.2) | 21 (45.7) | 37 (36.3) | 0.279 |
| Initial presentations | ||||
| Abdominal pain | 21 (14.2) | 3 (6.5) | 18 (17.6) | 0.073 |
| Flank or back pain | 86 (58.1) | 23 (50.0) | 63 (61.8) | 0.179 |
| Urinary frequency | 1 (0.7) | 0 (0.0) | 1 (1.0) | 0.500 |
| Dysuria | 19 (12.8) | 8 (17.4) | 11 (10.8) | 0.266 |
| Hematuria | 11 (7.4) | 3 (6.5) | 8 (7.8) | 0.777 |
| Comorbidities | ||||
| Hypertension | 66 (44.6) | 21 (45.7) | 45 (44.1) | 0.862 |
| Diabetes mellitus | 50 (33.8) | 22 (47.8) | 28 (27.5) | 0.015 * |
| CAD | 12 (8.1) | 4 (8.7) | 8 (7.8) | 0.860 |
| CKD | 21 (14.2) | 6 (13.0) | 15 (14.7) | 0.789 |
| CHF | 4 (2.7) | 2 (4.3) | 2 (2.0) | 0.407 |
| Malignancy | 14 (9.5) | 5 (10.9) | 9 (8.8) | 0.694 |
| Prior stroke | 4 (2.7) | 2 (4.3) | 2 (2.0) | 0.407 |
| Liver cirrhosis | 2 (1.4) | 1 (2.2) | 1 (1.0) | 0.561 |
| Prior urolithiasis | 56 (37.8) | 12 (25.5) | 44 (32.8) | 0.351 |
| Prior UTI | 16 (10.8) | 3 (6.5) | 13 (12.7) | 0.259 |
| Prior APN | 12 (8.1) | 3 (6.5) | 9 (8.8) | 0.635 |
| Blood test † | ||||
| White blood count (103/µL) | 14.2 ± 8.3 | 17.2 ± 10.9 | 12.8 ± 6.4 | 0.014 * |
| Bandemia (>3%) | 17 (11.5) | 12 (26.1) | 5 (4.1) | <0.001 * |
| Hemoglobin (g/dL) | 12.2 ± 2.3 | 11.9 ± 2.4 | 12.4 ± 2.2 | 0.161 |
| Platelet (103/µL) | 218.4 ± 117.4 | 193.2 ± 134.7 | 230.0 ± 107.4 | 0.078 |
| C-reactive protein (mg/dL) | 12.9 ± 10.8 | 19.9 ± 9.8 | 9.9 ± 9.9 | <0.001 * |
| Neutrophil to lymphocyte ratio | 16.2 ± 14.8 | 23.6 ± 20.3 | 12.9 ± 10.1 | <0.001 * |
| Positive blood culture | 62 (41.9) | 28 (60.9) | 34 (33.3) | 0.002 * |
| Urinalysis ‡ | ||||
| Positive urinary nitrite | 54 (36.5) | 20 (43.5) | 34 (33.3) | 0.235 |
| WBC (/HPF) | 14.2 ± 8.3 | 17.2 ± 10.9 | 12.8 ± 6.4 | 0.014 * |
| RBC (/HPF) | 12.2 ± 2.3 | 11.9 ± 2.4 | 12.4 ± 2.2 | 0.161 |
| Positive urine culture | 79 (53.4) | 28 (60.9) | 51 (50.0) | 0.220 |
| CT findings | 0.525 | |||
| Right-side stone | 13 (8.8) | 6 (13.0) | 7 (6.9) | |
| Left-side stone | 16 (10.8) | 4 (8.7) | 12 (11.8) | |
| Bilateral stone | 6 (4.1) | 1 (2.2) | 5 (4.9) | |
| Degree of hydronephrosis | 0.239 | |||
| Grade I–II | 97 (65.5) | 27 (58.7) | 70 (68.6) | |
| Grade III–IV | 51 (34.5) | 19 (41.3) | 23 (31.4) | |
| Location of stone | 0.514 | |||
| Renal pelvis or UPJ | 41 (27.7) | 13 (28.3) | 28 (27.5) | |
| Upper ureter | 44 (29.7) | 10 (21.7) | 34 (33.3) | |
| Mid ureter | 12 (8.1) | 5 (10.9) | 7 (6.9) | |
| Lower ureter | 16 (10.8) | 7 (14.9) | 9 (8.8) | |
| Size of stone (mm) ‡ | 10.0 ± 10.4 | 9.5 ± 8.0 | 10.3 ± 11.3 | 0.668 |
| Microorganism | n † | % |
|---|---|---|
| Blood cultures (n = 62) | ||
| Escherichia coli (ESBL-producer) | 49 (15) | 70.0 (24.2) |
| Klebsiella pneumoniae | 4 | 6.4 |
| Proteus mirabilis | 3 | 4.8 |
| Enterobacteriaceae | 2 | 3.2 |
| Staphylococcus aureus | 1 | 1.6 |
| Morganella | 1 | 1.6 |
| Moraxella | 1 | 1.6 |
| Serratia marcescens | 1 | 1.6 |
| Pseudomonas aeruginosa | 1 | 1.6 |
| Urine cultures (n = 79) | ||
| Escherichia coli (ESBL-producer) | 50 (16) | 63.3 (20.3) |
| Klebsiella pneumoniae | 7 | 8.9 |
| Enterococcus faecalis | 4 | 5.1 |
| Proteus mirabilis | 4 | 5.1 |
| Yeast | 3 | 3.8 |
| Pseudomonas aeruginosa | 3 | 3.8 |
| Group B Streptococcus | 2 | 2.5 |
| Citrobacter diversus | 2 | 2.5 |
| Staphylococcus aureus | 2 | 2.5 |
| Morganella | 1 | 1.3 |
| Haemophilus | 1 | 1.3 |
| Stenotrophomonas maltophilia | 1 | 1.3 |
| Variable | Total (n = 148) | Sepsis (n = 46) | Non-Sepsis (n = 102) | p Value |
|---|---|---|---|---|
| Initial treatment | ||||
| Antibiotic treatment only | 111 (75.0) | 33 (71.7) | 78 (76.5) | 0.538 |
| PCN | 30 (20.3) | 12 (26.1) | 18 (17.6) | 0.237 |
| Ureteral stent | 7 (4.7) | 3 (6.5) | 4 (3.9) | 0.490 |
| URSL | 4 (2.7) | 1 (2.2) | 3 (2.9) | 0.790 |
| In-hospital outcomes | ||||
| Septic shock | 11 (7.4) | 11 (23.9) | 0 (0.0) | <0.001 * |
| Intensive care unit admission | 2 (1.4) | 2 (4.3) | 0 (0) | 0.034 * |
| Death | 2 (1.4) | 1 (2.2) | 1 (1.0) | 0.561 |
| Length of stay | 10.6 ± 6.4 | 13.3 ± 7.1 | 9.3 ± 5.6 | <0.001 * |
| No. | Age | Gender | Past Medical History | Symptoms | PCN | Operation | Antibiotic Therapy | Length of Stay (Days) | In-Hospital Mortality |
|---|---|---|---|---|---|---|---|---|---|
| 1 | 52 | F | PUD | Left flank pain and dysuria | N | Y (ESWL) | D1–D3: Cefuroxime D4–D20: Piperacillin/Tazobactam | 20 | N |
| 2 | 74 | F | DM, HTN, Breast cancer | Right flank pain | N | Y (URSL + ureteral stent) | D1–D10: Ceftriaxone | 10 | N |
| 3 | 43 | F | N | Left back pain | N | N | D1–D2: Ceftriaxone D3–D9: Teicoplanin | 9 | N |
| 4 | 74 | F | DM, HTN, CHF, CKD | Fever | Y | N | D1–D14: Piperacillin/Tazobactam | 14 | N |
| 5 | 84 | M | HTN, DM | Hypotension | Y | N | D1–D2: Ceftriaxone + Metronidazole D3–D40: Imipenem/Cilastatin | 40 | Y |
| 6 | 54 | F | HTN, Endometrial cancer | Left flank pain and dysuria | N | N | D1–D11: Ertapenem | 11 | N |
| 7 | 66 | F | HTN, DM, Cervical cancer | Fever | N | N | D1–D3: Ceftriaxone D4–D20: Imipenem/Cilastatin | 20 | Y |
| 8 | 81 | F | DM, CKD | Fever and conscious disturbance | N | Y (URSL) | D1–30: Cefoperazone/Sulbactam | 30 | N |
| 9 | 70 | F | DM | Nausea and vomiting | Y | N | D1–D10: Ceftriaxone | 10 | N |
| 10 | 60 | M | DM | Fever | N | N | D1–D2: Ertapenem D3–D23: Teicoplanin | 23 | N |
| 11 | 70 | M | HTN, DM | Fever | N | N | D1–D5: Ceftriaxone D6–D23: Meropenem | 23 | N |
Disclaimer/Publisher’s Note: The statements, opinions and data contained in all publications are solely those of the individual author(s) and contributor(s) and not of MDPI and/or the editor(s). MDPI and/or the editor(s) disclaim responsibility for any injury to people or property resulting from any ideas, methods, instructions or products referred to in the content. |
© 2024 by the authors. Licensee MDPI, Basel, Switzerland. This article is an open access article distributed under the terms and conditions of the Creative Commons Attribution (CC BY) license (https://creativecommons.org/licenses/by/4.0/).
Share and Cite
Tsai, Y.-C.; Huang, Y.-H.; Niu, K.-Y.; Tsai, Y.-C.; Chen, C.-B.; Yen, C.-C. Development of a Predictive Nomogram for Sepsis in Patients with Urolithiasis-Related Obstructive Pyelonephritis. Medicina 2024, 60, 1113. https://doi.org/10.3390/medicina60071113
Tsai Y-C, Huang Y-H, Niu K-Y, Tsai Y-C, Chen C-B, Yen C-C. Development of a Predictive Nomogram for Sepsis in Patients with Urolithiasis-Related Obstructive Pyelonephritis. Medicina. 2024; 60(7):1113. https://doi.org/10.3390/medicina60071113
Chicago/Turabian StyleTsai, Yi-Chun, Yu-Hsuan Huang, Kuang-Yu Niu, Yu-Chen Tsai, Chen-Bin Chen, and Chieh-Ching Yen. 2024. "Development of a Predictive Nomogram for Sepsis in Patients with Urolithiasis-Related Obstructive Pyelonephritis" Medicina 60, no. 7: 1113. https://doi.org/10.3390/medicina60071113
APA StyleTsai, Y.-C., Huang, Y.-H., Niu, K.-Y., Tsai, Y.-C., Chen, C.-B., & Yen, C.-C. (2024). Development of a Predictive Nomogram for Sepsis in Patients with Urolithiasis-Related Obstructive Pyelonephritis. Medicina, 60(7), 1113. https://doi.org/10.3390/medicina60071113

