The Potential Neurological Impact of Intraoperative Hyponatremia Using Histidine–Tryptophan–Ketoglutarate Cardioplegia Infusion in Adult Cardiac Surgery
Abstract
1. Introduction
2. Materials and Methods
2.1. qEEG Analysis
2.2. Statistical Analysis
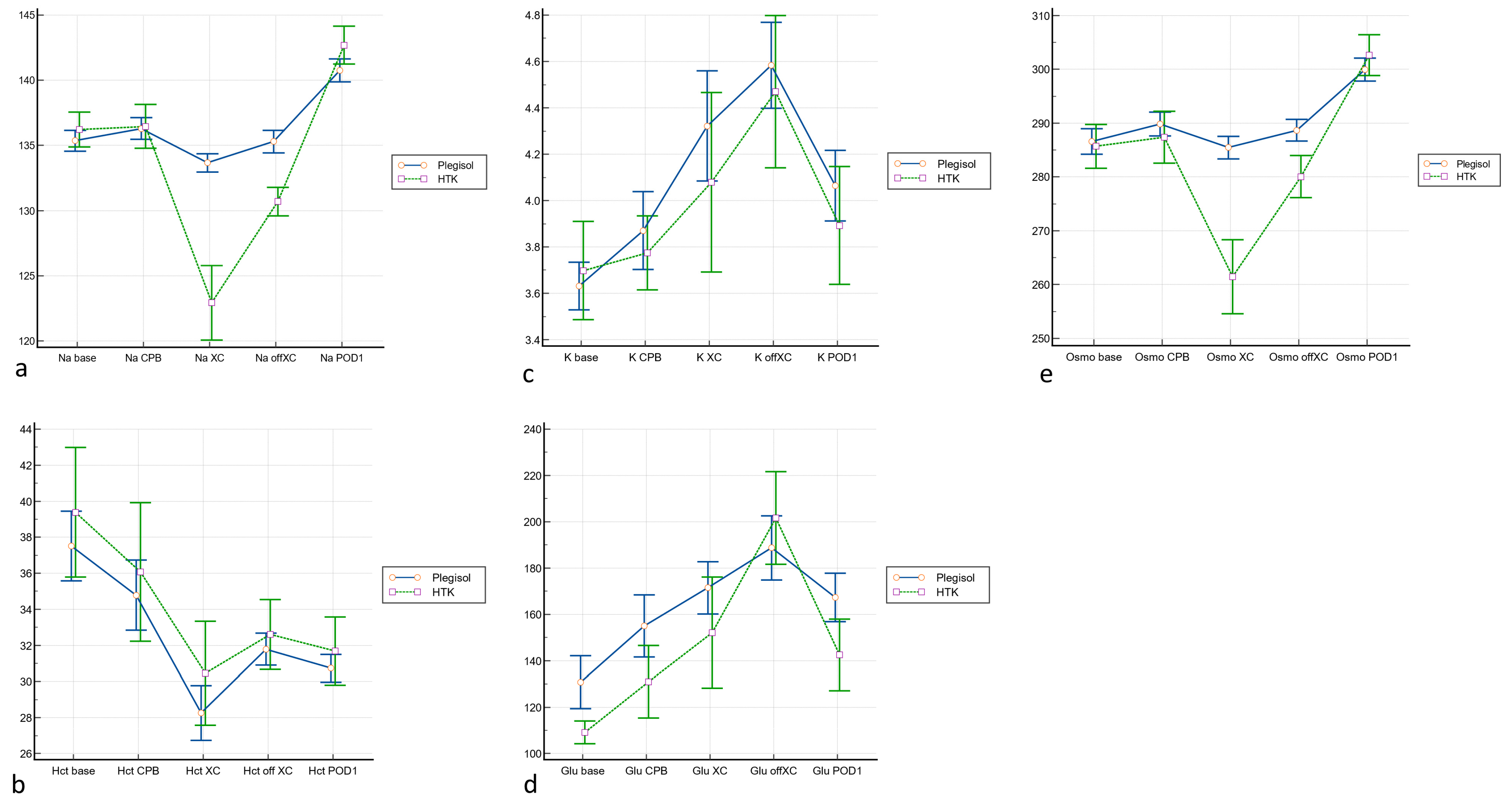
3. Results
4. Discussion
Limitations
5. Conclusions
Supplementary Materials
Author Contributions
Funding
Institutional Review Board Statement
Informed Consent Statement
Data Availability Statement
Conflicts of Interest
References
- Kotani, Y.; Tweddell, J.; Gruber, P.; Pizarro, C.; Austin, E.H.; Woods, R.K.; Gruenwald, C.; Caldarone, C.A. Current cardioplegia practice in pediatric cardiac surgery: A North American multiinstitutional survey. Ann. Thorac. Surg. 2013, 96, 923–929. [Google Scholar] [CrossRef] [PubMed]
- Gebhard, M.M.; Preusse, C.J.; Schnabel, P.A.; Bretschneider, H.J. Different effects of Cardioplegic solution HTK during single or intermittent administration. Thorac. Cardiovasc. Surg. 1984, 32, 271–276. [Google Scholar] [CrossRef] [PubMed]
- Dobson, G.P.; Faggian, G.; Onorati, F.; Vinten-Johansen, J. Hyperkalemic cardioplegia for adult and pediatric surgery: End of an era? Front. Physiol. 2013, 4, 228. [Google Scholar] [CrossRef] [PubMed]
- Viana, F.F.; Shi, W.Y.; Hayward, P.A.; Larobina, M.E.; Liskaser, F.; Matalanis, G. Custodiol versus blood cardioplegia in complex cardiac operations: An Australian experience. Eur. J. Cardiothorac. Surg. 2013, 43, 526–531. [Google Scholar] [CrossRef] [PubMed]
- Angeli, E. The crystalloid cardioplegia: Advantages with a word of caution. Ann. Fr. Anesth. Reanim. 2011, 30 (Suppl. 1), S17–S19. [Google Scholar] [CrossRef] [PubMed]
- Pizano, A.; Montes, F.R.; Carreño, M.; Echeverri, D.; Umaña, J.P. Histidine-tryptophan-ketoglutarate solution versus blood cardioplegia in cardiac surgery: A propensity-score matched analysis. Heart Surg. Forum. 2018, 21, E158–E164. [Google Scholar] [CrossRef] [PubMed]
- Bibevski, S.; Mendoza, L.; Ruzmetov, M.; Tayon, K.; Alkon, J.; Vandale, B.; Scholl, F. Custodiol cardioplegia solution compared to cold blood cardioplegia in pediatric cardiac surgery: A single-institution experience. Perfusion 2020, 35, 316–322. [Google Scholar] [CrossRef] [PubMed]
- Braathen, B.; Jeppsson, A.; Scherstén, H.; Hagen, O.M.; Vengen, Ø.; Rexius, H.; Lepore, V.; Tønnessen, T. One single dose of histidine-tryptophan-ketoglutarate solution gives equally good myocardial protection in elective mitral valve surgery as repetitive cold blood cardioplegia: A prospective randomized study. J. Thorac. Cardiovasc. Surg. 2011, 141, 995–1001. [Google Scholar] [CrossRef] [PubMed]
- Kim, J.T.; Park, Y.H.; Chang, Y.E.; Byon, H.J.; Kim, H.S.; Kim, C.S.; Lim, H.G.; Kim, W.H.; Lee, J.R.; Kim, Y.J. The effect of Cardioplegic solution-induced sodium concentration fluctuation on postoperative seizure in pediatric cardiac patients. Ann. Thorac. Surg. 2011, 91, 1943–1948. [Google Scholar] [CrossRef]
- Adrogué, H.J.; Madias, N.E. Hyponatremia. N. Engl. J. Med. 2000, 342, 1581–1589. [Google Scholar] [CrossRef]
- Nardone, R.; Brigo, F.; Trinka, E. Acute symptomatic seizures caused by electrolyte disturbances. J. Clin. Neurol. 2016, 12, 21–33. [Google Scholar] [CrossRef] [PubMed]
- Abdullah, I.; Al-Halees, Z. Commentary: Custodiol-HTK: Should the burden be on the surgeon or the perfusionist? J. Thorac. Cardiovasc. Surg. 2021, 162, 239–240. [Google Scholar] [CrossRef] [PubMed]
- Lindner, G.; Zapletal, B.; Schwarz, C.; Wisser, W.; Hiesmayr, M.; Lassnigg, A. Acute hyponatremia after cardioplegia by histidine-tryptophane-ketoglutarate–a retrospective study. J. Cardiothorac. Surg. 2012, 7, 52. [Google Scholar] [CrossRef] [PubMed]
- Hu, Y.N.; Hsieh, T.H.; Tsai, M.T.; Chien, C.Y.; Roan, J.N.; Huang, Y.C.; Liang, S.F. Cognitive function deterioration after cardiopulmonary bypass: Can intraoperative optimal cerebral regional tissue oxygen saturation predict postoperative cognitive function? J. Cardiothorac. Vasc. Anesth. 2023, 37, 715–723. [Google Scholar] [CrossRef]
- Delorme, A.; Makeig, S. EEGLAB: An open source toolbox for analysis of single-trial EEG dynamics including independent component analysis. J. Neurosci. Methods 2004, 134, 9–21. [Google Scholar] [CrossRef] [PubMed]
- Lee, J.J.; Kim, Y.S.; Jung, H.H. Acute serum sodium concentration changes in pediatric patients undergoing cardiopulmonary bypass and the association with postoperative outcomes. Springerplus 2015, 4, 641. [Google Scholar] [CrossRef]
- Turner, I.I.; Ruzmetov, M.; Niu, J.; Bibevski, S.; Scholl, F.G. Scavenging right atrial Bretschneider histidine-tryptophan-ketoglutarate cardioplegia: Impact on hyponatremia and seizures in pediatric cardiac surgery patients. J. Thorac. Cardiovasc. Surg. 2021, 162, 228–237. [Google Scholar] [CrossRef]
- van Houte, J.; Bindels, A.J.; Houterman, S.; Dong, P.V.; den Ouden, M.; de Bock, N.E.; Verberkmoes, N.J.; Curvers, J.; Bouwman, A.R. Acute isotonic hyponatremia after single dose histidine-tryptophan-ketoglutarate cardioplegia: An observational study. Perfusion 2021, 36, 440–446. [Google Scholar] [CrossRef]
- Irqsusi, M.; Loos, D.; Dielmann, K.; Ramzan, R.; Wulf, H.; Ghazy, T.; Vogt, S.; Rastan, A.J. Influence of cardioplegic solution on incidence of delirium after CABG surgery: Use of Calafiore blood cardioplegia versus HTK—Bretschneider—Solution in a single-center retrospective analysis from 2017 to 2021. J. Card. Surg. 2022, 37, 4670–4678. [Google Scholar] [CrossRef]
- Cheng, J.C.; Zikos, D.; Skopicki, H.A.; Peterson, D.R.; Fisher, K.A. Long-term neurologic outcome in psychogenic water drinkers with severe symptomatic hyponatremia: The effect of rapid correction. Am. J. Med. 1990, 88, 561–566. [Google Scholar] [CrossRef]
- Verbalis, J.G.; Goldsmith, S.R.; Greenberg, A.; Korzelius, C.; Schrier, R.W.; Sterns, R.H.; Thompson, C.J. Diagnosis, evaluation, and treatment of hyponatremia: Expert panel recommendations. Am. J. Med. 2013, 126, S1–S42. [Google Scholar] [CrossRef] [PubMed]
- Lerner, D.P.; Shepherd, S.A.; Batra, A. Hyponatremia in the neurologically ill patient: A review. Neurohospitalist 2020, 10, 208–216. [Google Scholar] [CrossRef] [PubMed]
- Nelson, K.L.; Monga, V.; Sharma, A.; Blount, T.J. Rapid correction of chronic hyponatremia secondary to psychogenic polydipsia: Hypoxic injury or extrapontine myelinolysis? Prim. Care Companion CNS Disord. 2016, 18, 27345. [Google Scholar] [CrossRef] [PubMed]



| Variable | HTK (n = 13) | Plegisol (n = 47) | p |
|---|---|---|---|
| Age (years) | 58.0 (55.3–65.3) | 61.0 (50.0–66.8) | 0.507 |
| Sex, male | 10 (76.9) | 35 (74.5) | 0.857 |
| Hypertension | 6 (46.2) | 29 (61.7) | 0.318 |
| DM | 2 (15.4) | 21 (44.7) | 0.105 |
| Dialysis | 1 (7.7) | 4 (8.5) | 1.000 |
| CCr (mL/min) | 110.3 (87.5–122.1) | 69.5 (50.2–89.9) | 0.070 |
| COPD | 0 (0.0) | 2 (4.3) | 1.000 |
| Old CVA | 2 (15.4) | 3 (6.4) | 0.294 |
| PAOD | 1 (7.7) | 8 (17.0) | 0.668 |
| Carotid stenosis a | 1 (7.7) | 8 (17.0) | 0.668 |
| NYHA Fc (II/III/IV) | 4/5/4 (30.8/38.5/30.8) | 10/24/13 (21.3/51.1/27.7) | 0.683 |
| LVEF (%) | 64.0 (58.0–72.6) | 61.2 (51.4–68.7) | 0.401 |
| PASP (mmHg) | 31.0 (25.0–48.8) | 30.0 (25.0–47.3) | 0.346 |
| Preoperative Hb (g/dL) | 13.7 (11.7–15.1) | 12.6 (11.1–14.3) | 0.356 |
| NTproBNP (pg/mL) | 297.0 (146.5–1185.0) | 627.0 (142.0–1898.3) | 0.449 |
| AST (IU/L) | 25.0 (18.0–28.5) | 24.0 (20.0–33.0) | 0.756 |
| ALT (IU/L) | 18.0 (13.5–44.3) | 20.0 (15.3–27.0) | 0.851 |
| Variable | HTK (n = 13) | Plegisol (n = 47) | p |
|---|---|---|---|
| Isolated CABG | 0 (0.0) | 27 (57.4) | 0.0001 * |
| Valve | 9 (69.2) | 14 (29.8) | 0.010 * |
| Valve + CABG | 2 (15.4) | 4 (8.5) | 0.601 |
| Aorta | 2 (15.4) | 2 (4.3) | 0.201 |
| CPB CI (mL/min) | 2.89 (2.69–3.08) | 2.98 (2.82–3.08) | 0.155 |
| CPB duration (min) | 213.0 (168.3–285.5) | 167.0 (127.3–206.8) | 0.0009 * |
| Ischemia time (min) | 156.0 (110.8–192.3) | 117.0 (95.8–144.3) | 0.031 |
| Hb level (g/dL) | 10.5 (8.7–11.3) | 9.0 (8.0–10.7) | 0.154 |
| Transfusion unit (U) | 4.0 (0.0–6.0) | 4.0 (0.0–6.0) | 0.803 |
| Baseline rSO2 (%) | 67.0 (51.3–68.3) | 58.5 (50.0–66.5) | 0.414 |
| Mean rSO2 (%) | 60.0 (58.3–63.8) | 61.0 (54.6–70.9) | 0.632 |
| Lowest rSO2 (%) | 43.0 (37.4–46.8) | 45.5 (38.4–53.4) | 0.242 |
| AUC of rSO2 < 40% (%min) | 0.0 (0.0–24.6) | 0.0 (0.0–13.9) | 0.838 |
| Reduction in rSO2 > 20% (%min) | 59.5 (12.8–150.4) | 1.0 (0.0–24.6) | 0.014 * |
| HTK (n = 13) | Plegisol (n = 47) | p | |
|---|---|---|---|
| MMSE pre | 29.0 (26.8–29.3) | 27.0 (26.0–29.0) | 0.758 |
| MMSE D7 | 28.0 (27.3–29.0) | 27.0 (26.0–28.0) | 0.062 |
| MMSE D60 | 28.0 (26.5–29.8) | 28.0 (27.0–29.0) | 0.290 |
| S100β diff | 157.1 (118.5–239.9) | 107.7 (50.7–184.3) | 0.302 |
| NSE diff | 8.3 (7.8–12.4) | 5.3 (3.9–10.9) | 0.043 * |
| Tau diff | 258.1 (184.5–393.7) | 347.7 (205.5–741.2) | 0.139 |
| rAlpha pre | 27.8 (18.5–41.0) | 34.2 (20.6–44.4) | 0.425 |
| rAlpha 7D | 28.1 (16.5–36.6) | 33.1 (22.9–43.1) | 0.558 |
| rAlpha 60D | 25.8 (17.3–43.7) | 26.6 (20.3–45.3) | 0.917 |
| rBeta pre | −23.4 (−28.2–−7.2) | −2.3 (−33.3–31.6) | 0.133 |
| rBeta 7D | −9.8 (−33.8–15.4) | −1.1 (−19.9–27.2) | 0.337 |
| rBeta 60D | 2.6 (−43.3–27.8) | 12.9 (−17.3–60.3) | 0.351 |
| rDelta pre | 32.2 (29.0–33.7) | 29.2 (22.5–33.2) | 0.173 |
| rDelta 7D | 43.1 (36.4–46.9) | 33.2 (26.5–38.1) | 0.018 * |
| rDelta 60D | 31.4 (28.3–37.5) | 26.9 (22.8–32.0) | 0.113 |
| rTheta pre | 10.0 (7.1–15.6) | 10.9 (7.0–17.3) | 0.938 |
| rTheta 7D | 18.4 (11.5–23.2) | 14.1 (9.2–21.1) | 0.513 |
| rTheta 60D | 12.0 (6.9–27.0) | 8.3 (4.0–15.6) | 0.134 |
| Post-Case–Control Matching | |||
|---|---|---|---|
| HTK (n = 10) | Plegisol (n = 10) | p | |
| MMSE pre | 29.0 (27.0–30.0) | 27.0 (26.0–29.0) | 0.771 |
| MMSE D7 | 28.0 (26.8–29.0) | 27.5 (25.0–28.0) | 0.157 |
| MMSE D60 | 28.5 (28.0–30.0) | 29.0 (27.8–29.0) | 0.619 |
| S100β diff | 134.1 (101.8–191.0) | 46.1 (27.6–78.2) | 0.495 |
| NSE diff | 8.3 (7.0–9.1) | 9.2 (4.9–11.8) | 0.878 |
| Tau diff | 244.8 (171.4–388.2) | 407.2 (262.5–998.6) | 0.071 |
| rAlpha pre | 25.9 (18.5–33.7) | 32.5 (21.9–45.1) | 0.401 |
| rAlpha 7D | 26.3 (13.0–34.1) | 26.7 (23.9–47.5) | 0.603 |
| rAlpha 60D | 25.8 (18.2–51.9) | 19.0 (15.9–21.9) | 0.117 |
| rBeta pre | −23.2 (−36.7–−10.4) | −2.8 (−24.8–60.9) | 0.181 |
| rBeta 7D | −15.0 (−35.5–17.4) | 17.8 (−30.1–38.5) | 0.308 |
| rBeta 60D | −7.2 (−45.3–18.8) | 7.1 (−23.9–14.4) | 0.947 |
| rDelta pre | 31.4 (29.1–33.7) | 31.6 (25.4–33.2) | 0.290 |
| rDelta 7D | 44.2 (38.9–48.2) | 36.8 (23.7–39.2) | 0.017 * |
| rDelta 60D | 31.4 (28.8–36.7) | 26.9 (23.5–28.4) | 0.092 |
| rTheta pre | 11.2 (6.7–19.3) | 16.1 (4.3–22.7) | 0.799 |
| rTheta 7D | 18.8 (13.9–25.1) | 17.3 (8.9–21.4) | 0.569 |
| rTheta 60D | 12.9 (8.6–27.9) | 5.0 (1.3–9.1) | 0.075 |
Disclaimer/Publisher’s Note: The statements, opinions and data contained in all publications are solely those of the individual author(s) and contributor(s) and not of MDPI and/or the editor(s). MDPI and/or the editor(s) disclaim responsibility for any injury to people or property resulting from any ideas, methods, instructions or products referred to in the content. |
© 2024 by the authors. Licensee MDPI, Basel, Switzerland. This article is an open access article distributed under the terms and conditions of the Creative Commons Attribution (CC BY) license (https://creativecommons.org/licenses/by/4.0/).
Share and Cite
Hu, Y.-N.; Hsieh, T.-H.; Liang, S.-F.; Tsai, M.-T.; Chien, C.-Y.; Kan, C.-D.; Roan, J.-N. The Potential Neurological Impact of Intraoperative Hyponatremia Using Histidine–Tryptophan–Ketoglutarate Cardioplegia Infusion in Adult Cardiac Surgery. Medicina 2024, 60, 995. https://doi.org/10.3390/medicina60060995
Hu Y-N, Hsieh T-H, Liang S-F, Tsai M-T, Chien C-Y, Kan C-D, Roan J-N. The Potential Neurological Impact of Intraoperative Hyponatremia Using Histidine–Tryptophan–Ketoglutarate Cardioplegia Infusion in Adult Cardiac Surgery. Medicina. 2024; 60(6):995. https://doi.org/10.3390/medicina60060995
Chicago/Turabian StyleHu, Yu-Ning, Tsung-Hao Hsieh, Sheng-Fu Liang, Meng-Ta Tsai, Chung-Yao Chien, Chung-Dann Kan, and Jun-Neng Roan. 2024. "The Potential Neurological Impact of Intraoperative Hyponatremia Using Histidine–Tryptophan–Ketoglutarate Cardioplegia Infusion in Adult Cardiac Surgery" Medicina 60, no. 6: 995. https://doi.org/10.3390/medicina60060995
APA StyleHu, Y.-N., Hsieh, T.-H., Liang, S.-F., Tsai, M.-T., Chien, C.-Y., Kan, C.-D., & Roan, J.-N. (2024). The Potential Neurological Impact of Intraoperative Hyponatremia Using Histidine–Tryptophan–Ketoglutarate Cardioplegia Infusion in Adult Cardiac Surgery. Medicina, 60(6), 995. https://doi.org/10.3390/medicina60060995

