A Comprehensive Analysis of HOXB13 Expression in Hepatocellular Carcinoma
Abstract
1. Introduction
2. Materials and Methods
2.1. TIMER Database Analysis
2.2. UALCAN Database Analysis
2.3. Immunohistochemistry (IHC) Staining Analysis
2.4. KM Database Analysis
2.5. OSlihc Database Analysis
2.6. LinkedOmics Database Analysis
2.7. Cell Culture and siRNA Transfection
2.8. Quantitative Real-Time PCR Analysis (RT-qPCR)
2.9. Cell Viability Assay
2.10. Wound Healing Assay
2.11. Statistical Analysis
3. Results
3.1. Assessment of HOXB13 Expression in Different Cancer and Normal Tissues
3.2. Prognostic Value of HOXB13 mRNA Expression in LIHC
3.3. Clinical Characteristics of HOXB13 Expression in LIHC using the UALCAN Database
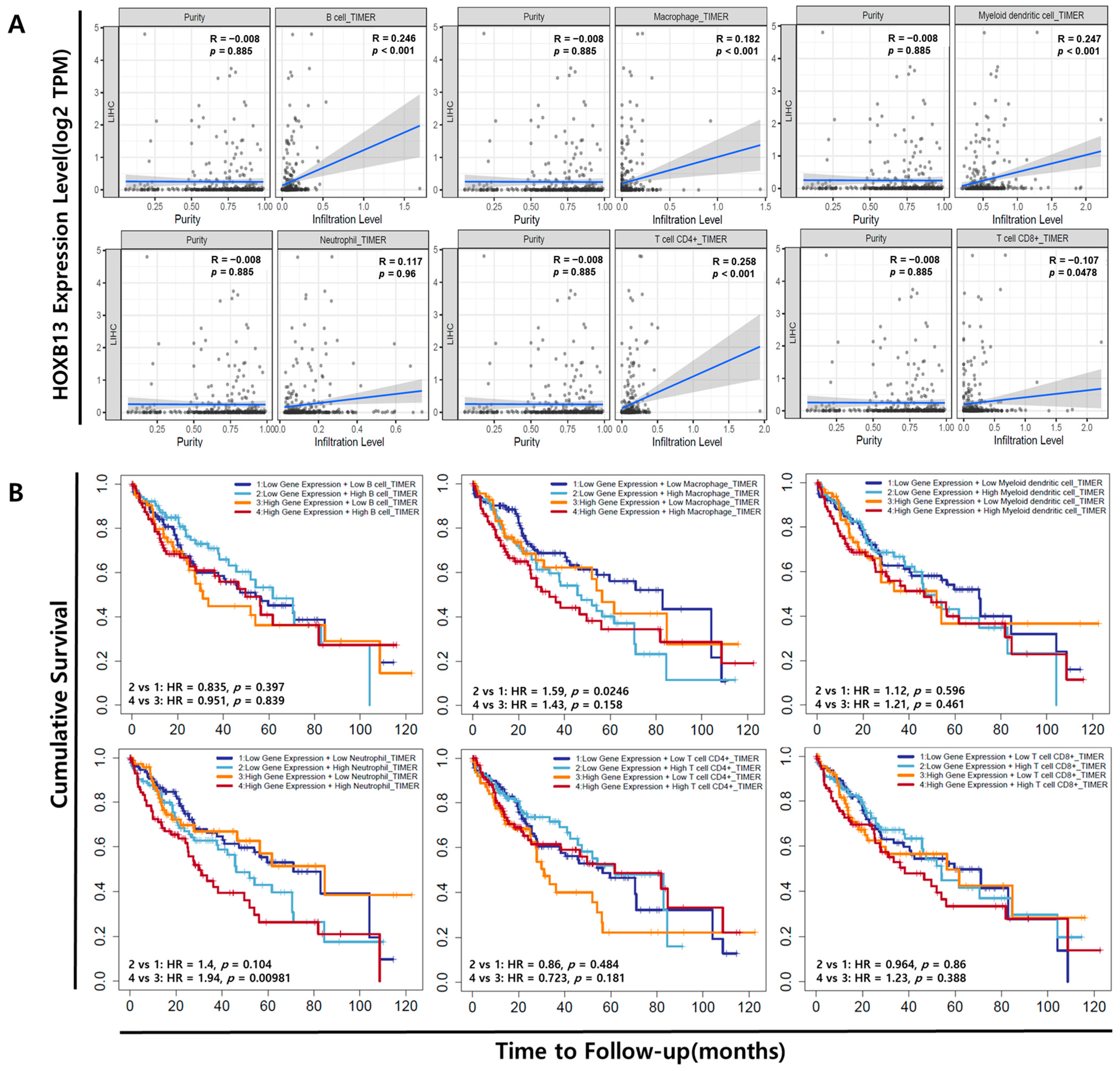
3.4. Association of HOXB13 Expression with Immune Cell Infiltration in LIHC
3.5. Protein Expression of HOXB13 in LIHC
3.6. Co-Expression Analysis of the HOXB13 Gene
3.7. Effect of HOXB13 Silencing on MMP9, E2F1, and MEIS1 mRNA Expression
3.8. HOXB13 Knockdown Reduced HCC Cell Viability and Cell Recovery
4. Discussion
5. Conclusions
Author Contributions
Funding
Institutional Review Board Statement
Informed Consent Statement
Data Availability Statement
Conflicts of Interest
References
- Ouyang, X.; Fan, Q.; Ling, G.; Shi, Y.; Hu, F. Identification of Diagnostic Biomarkers and Subtypes of Liver Hepatocellular Carcinoma by Multi-Omics Data Analysis. Genes 2020, 11, 1051. [Google Scholar] [CrossRef] [PubMed]
- Abdelhamed, W.; El-Kassas, M. Fibrolamellar hepatocellular carcinoma: A rare but unpleasant event. World J. Gastrointest. Oncol. 2022, 14, 1103–1114. [Google Scholar] [CrossRef]
- Ahmadian, E.; Dizaj, S.M.; Rahimpour, E.; Hasanzadeh, A.; Eftekhari, A.; Hosain, Z.H.; Halajzadeh, J.; Ahmadian, H. Effect of silver nanoparticles in the induction of apoptosis on human hepatocellular carcinoma (HepG2) cell line. Mater. Sci. Eng. C Mater. Biol. Appl. 2018, 93, 465–471. [Google Scholar] [CrossRef] [PubMed]
- Costantini, S.; Di Bernardo, G.; Cammarota, M.; Castello, G.; Colonna, G. Gene expression signature of human HepG2 cell line. Gene 2013, 518, 335–345. [Google Scholar] [CrossRef] [PubMed]
- Blidisel, A.; Marcovici, I.; Coricovac, D.; Hut, F.; Dehelean, C.A.; Cretu, O.M. Experimental Models of Hepatocellular Carcinoma-A Preclinical Perspective. Cancers 2021, 13, 3651. [Google Scholar] [CrossRef] [PubMed]
- Gao, Z.H.; Bai, D.S.; Jiang, G.Q.; Jin, S.J. Review of preoperative transarterial chemoembolization for resectable hepatocellular carcinoma. World J. Hepatol. 2015, 7, 40–43. [Google Scholar] [CrossRef] [PubMed]
- Mizandari, M.; Azrumelashvili, T.; Toria, N.; Nanava, N.; Pantsulaia, I.; Kikodze, N.; Janikashvili, N.; Chikovani, T. Cured giant hepatocellular carcinoma after transarterial embolization complicated with liver abscess formation. Radiol. Case Rep. 2020, 15, 1485–1492. [Google Scholar] [CrossRef] [PubMed]
- Li, M.; Tan, T.; Geng, Y.; Tao, Y.; Pan, J.; Zhang, J.; Xu, Q.; Shen, H.; Zuo, L.; Chen, Y. HOXB13 facilitates hepatocellular carcinoma progression by activating AKT/mTOR signaling pathway. Ann. Hepatol. 2023, 28, 100759. [Google Scholar] [CrossRef] [PubMed]
- Xie, B.; Bai, B.; Xu, Y.; Liu, Y.; Lv, T.; Gao, X.; Wu, F.; Fang, Z.; Lou, Y.; Pan, H. Tumor-suppressive function and mechanism of HOXB13 in right-sided colon cancer. Sig. Transduct. Target. Ther. 2019, 4, 51. [Google Scholar] [CrossRef]
- Baietti, M.F.; Zhao, P.; Crowther, J.; Sewduth, R.N.; De Troyer, L.; Debiec-Rychter, M.; Sablina, A.A. Loss of 9p21 Regulatory Hub Promotes Kidney Cancer Progression by Upregulating HOXB13. Mol. Cancer Res. 2021, 19, 979–990. [Google Scholar] [CrossRef]
- Ang, M.K.; Ooi, A.S.; Thike, A.A.; Tan, P.; Zhang, Z.; Dykema, K.; Furge, K.; The, B.T.; Tan, P.H. Molecular classification of breast phyllodes tumors: Validation of the histologic grading scheme and insights into malignant progression. Breast Cancer Res. Treat. 2011, 129, 319–329. [Google Scholar] [CrossRef] [PubMed]
- Zhan, J.; Wang, P.; Li, S.; Song, J.; He, H.; Wang, Y.; Liu, Z.; Wang, F.; Bai, H.; Fang, W.; et al. HOXB13 networking with ABCG1/EZH2/Slug mediates metastasis and confers resistance to cisplatin in lung adenocarcinoma patients. Theranostics 2019, 9, 2084–2099. [Google Scholar] [CrossRef] [PubMed]
- Venè, R.; Benelli, R.; Minghelli, S.; Astigiano, S.; Tosetti, F.; Ferrari, N. Xanthohumol impairs human prostate cancer cell growth and invasion and diminishes the incidence and progression of advanced tumors in TRAMP mice. Mol. Med. 2012, 18, 1292–1302. [Google Scholar] [CrossRef] [PubMed]
- Zuo, L.; Tan, T.; Wei, C.; Wang, H.; Tan, L.; Hao, Y.; Qian, J.; Chen, Y.; Wu, C. HOXB13 expression is correlated with hepatic inflammatory activity of patients with hepatic fibrosis. J. Mol. Histol. 2020, 51, 183–189. [Google Scholar] [CrossRef] [PubMed]
- Dhar, D.; Baglieri, J.; Kisseleva, T.; Brenner, D.A. Mechanisms of liver fibrosis and its role in liver cancer. Exp. Biol. Med. 2020, 245, 96–108. [Google Scholar] [CrossRef] [PubMed]
- Kim, N.; Hong, Y.; Kwon, D.; Yoon, S. Somatic Mutaome Profile in Human Cancer Tissues. Genom. Inform. 2013, 11, 239–244. [Google Scholar] [CrossRef] [PubMed]
- Xie, F.; Bai, Y.; Yang, X.; Long, J.; Mao, J.; Lin, J.; Wang, D.; Song, Y.; Xun, Z.; Huang, H.; et al. Comprehensive analysis of tumour mutation burden and the immune microenvironment in hepatocellular carcinoma. Int. Immunopharmacol. 2020, 89 Pt A, 107135. [Google Scholar] [CrossRef]
- Zhang, Y.; Cao, L.; Nguyen, D.; Lu, H. TP53 mutations in epithelial ovarian cancer. Transl. Cancer Res. 2016, 5, 650–663. [Google Scholar] [CrossRef] [PubMed]
- Zhen, Z.; Shen, Z.; Sun, P. Downregulation of Low-density lipoprotein receptor-related protein 1B (LRP1B) inhibits the progression of hepatocellular carcinoma cells by activating the endoplasmic reticulum stress signaling pathway. Bioengineered 2022, 13, 9467–9481. [Google Scholar] [CrossRef]
- Príncipe, C.; Dionísio de Sousa, I.J.; Prazeres, H.; Soares, P.; Lima, R.T. LRP1B: A Giant Lost in Cancer Translation. Pharmaceuticals 2021, 14, 836. [Google Scholar] [CrossRef]
- Aithal, A.; Rauth, S.; Kshirsagar, P.; Shah, A.; Lakshmanan, I.; Junker, W.M.; Jain, M.; Ponnusamy, M.P.; Batra, S.K. MUC16 as a novel target for cancer therapy. Expert. Opin. Ther. Targets 2018, 22, 675–686. [Google Scholar] [CrossRef] [PubMed]
- Wang, Z.; Hou, H.; Zhang, H.; Duan, X.; Li, L.; Meng, L. Effect of MUC16 mutations on tumor mutation burden and its potential prognostic significance for cutaneous melanoma. Am. J. Transl. Res. 2022, 14, 849–862. [Google Scholar]
- Lafaro, K.J.; Pawlik, T.M. Fibrolamellar hepatocellular carcinoma: Current clinical perspectives. J. Hepatocell. Carcinoma 2015, 2, 151–157. [Google Scholar]
- Xiong, S.; Dong, L.; Cheng, L. Neutrophils in cancer carcinogenesis and metastasis. J. Hematol. Oncol. 2021, 14, 173. [Google Scholar] [CrossRef]
- Geh, D.; Leslie, J.; Rumney, R.; Reeves, H.L.; Bird, T.G.; Mann, D.A. Neutrophils as potential therapeutic targets in hepatocellular carcinoma. Nat. Rev. Gastroenterol. Hepatol. 2022, 19, 257–273. [Google Scholar] [CrossRef]
- Tian, Z.; Hou, X.; Liu, W.; Han, Z.; Wei, L. Macrophages and hepatocellular carcinoma. Cell Biosci. 2019, 26, 79. [Google Scholar] [CrossRef]
- Nart, D.; Yaman, B.; Yilmaz, F.; Zeytunlu, M.; Karasu, Z.; Kiliç, M. Expression of matrix metalloproteinase-9 in predicting prognosis of hepatocellular carcinoma after liver transplantation. Liver Transpl. 2010, 16, 621–630. [Google Scholar] [CrossRef] [PubMed]
- Chen, R.; Cui, J.; Xu, C.; Xue, T.; Guo, K.; Gao, D.; Liu, Y.; Ye, S.; Ren, Z. The Significance of MMP-9 Over MMP-2 in HCC Invasiveness and Recurrence of Hepatocellular Carcinoma After Curative Resection. Ann. Surg. Oncol. 2012, 19, 375–384. [Google Scholar] [CrossRef] [PubMed]
- Farra, R.; Grassi, G.; Tonon, F.; Abrami, M.; Grassi, M.; Pozzato, G.; Fiotti, N.; Forte, G.; Dapas, B. The Role of the Transcription Factor E2F1 in Hepatocellular Carcinoma. Curr. Drug Deliv. 2017, 14, 272–281. [Google Scholar]
- Johnson, D.G.; Schwarz, J.K.; Cress, W.D.; Nevins, J.R. Expression of transcription factor E2F1 induces quiescent cells to enter S phase. Nature 1993, 365, 349–352. [Google Scholar] [CrossRef]
- Bhanvadia, R.R.; VanOpstall, C.; Brechka, H.; Barashi, N.S.; Gillard, M.; McAuley, E.M.; Vasquez, J.M.; Paner, G.; Chan, W.C.; Andrade, J.; et al. MEIS1 and MEIS2 Expression and Prostate Cancer Progression: A Role For HOXB13 Binding Partners in Metastatic Disease. Clin. Cancer Res. 2018, 24, 3668–3680. [Google Scholar] [CrossRef] [PubMed]
- Kim, I.J.; Kang, T.W.; Jeong, T.; Kim, Y.R.; Jung, C. HOXB13 regulates the prostate-derived Ets factor: Implications for prostate cancer cell invasion. Int. J. Oncol. 2014, 45, 869–876. [Google Scholar] [CrossRef] [PubMed][Green Version]










| Name | Primer (5′ to 3′) |
|---|---|
| HOXB13 | Forward: AGCTCCCGTGCCTTATGGTTA |
| Reverse: GGCTGGTAGGTTCCCGGAT | |
| MMP9 | Forward: TGTACCGCTATGGTTACACTCG |
| Reverse: GGCAGGGACAGTTGCTTCT | |
| E2F1 | Forward: AGGCCGCCATCCAGGAAAAG |
| Reverse: GGATGCCCTCAACGACGTTG | |
| MEIS1 | Forward: CACACTGGCCTTAAAGAGG |
| Reverse: GTAGATCGTCGTACCTTTGCG | |
| GAPDH | Forward: GAAAGGTGAAGGTCGGAGTC |
| Reverse: GTTGAGGTCAATGAAGGGGTC |
Disclaimer/Publisher’s Note: The statements, opinions and data contained in all publications are solely those of the individual author(s) and contributor(s) and not of MDPI and/or the editor(s). MDPI and/or the editor(s) disclaim responsibility for any injury to people or property resulting from any ideas, methods, instructions or products referred to in the content. |
© 2024 by the authors. Licensee MDPI, Basel, Switzerland. This article is an open access article distributed under the terms and conditions of the Creative Commons Attribution (CC BY) license (https://creativecommons.org/licenses/by/4.0/).
Share and Cite
Jeong, E.-A.; Lee, M.-H.; Bae, A.-N.; Kim, J.; Park, J.-H.; Lee, J.-H. A Comprehensive Analysis of HOXB13 Expression in Hepatocellular Carcinoma. Medicina 2024, 60, 716. https://doi.org/10.3390/medicina60050716
Jeong E-A, Lee M-H, Bae A-N, Kim J, Park J-H, Lee J-H. A Comprehensive Analysis of HOXB13 Expression in Hepatocellular Carcinoma. Medicina. 2024; 60(5):716. https://doi.org/10.3390/medicina60050716
Chicago/Turabian StyleJeong, Eun-A, Moo-Hyun Lee, An-Na Bae, Jongwan Kim, Jong-Ho Park, and Jae-Ho Lee. 2024. "A Comprehensive Analysis of HOXB13 Expression in Hepatocellular Carcinoma" Medicina 60, no. 5: 716. https://doi.org/10.3390/medicina60050716
APA StyleJeong, E.-A., Lee, M.-H., Bae, A.-N., Kim, J., Park, J.-H., & Lee, J.-H. (2024). A Comprehensive Analysis of HOXB13 Expression in Hepatocellular Carcinoma. Medicina, 60(5), 716. https://doi.org/10.3390/medicina60050716

