Gender Disparities in Health Biomarkers, Lifestyle Patterns, and Nutritional Status among Bank Staff: A Cross-Sectional Study
Abstract
1. Introduction
2. Materials and Methods
2.1. Study Design and Participants
2.2. Measures
2.3. Blood Analysis
2.4. PA Questionnaire
2.5. Statistical Analysis
3. Results
4. Discussion
4.1. Anthropometry
4.2. PA Level and Sedentary Time
4.3. Homocysteine and CoQ10
4.4. Micronutrients
4.5. Implications of the Study
4.6. Limitations, Strengths, and Recommendations for Future Research
5. Conclusions
Author Contributions
Funding
Institutional Review Board Statement
Informed Consent Statement
Data Availability Statement
Acknowledgments
Conflicts of Interest
References
- World Health Organization (WHO). Constitution of the WHO. 1948. Available online: https://www.who.int/about/governance/constitution (accessed on 1 December 2023).
- World Health Organization (WHO). Noncommunicable Diseases. 2023. Available online: https://www.who.int/news-room/fact-sheets/detail/noncommunicable-diseases (accessed on 24 November 2022).
- Hajat, C.; Stein, E. The global burden of multiple chronic conditions: A narrative review. Prev. Med. Rep. 2018, 12, 284–293. [Google Scholar] [CrossRef]
- Sharma, M.; Majumdar, P. Occupational lifestyle diseases: An emerging issue. Indian J. Occup. Environ. Med. 2009, 13, 109–112. [Google Scholar] [CrossRef] [PubMed]
- Harrison, J.; Dawson, L. Occupational Health: Meeting the Challenges of the Next 20 Years. Saf. Health Work 2015, 7, 143–149. [Google Scholar] [CrossRef]
- Schulte, P.A.; Wagner, G.R.; Ostry, A.; Blanciforti, L.A.; Cutlip, R.G.; Krajnak, K.M.; Luster, M.; Munson, A.E.; O’callaghan, J.P.; Parks, C.G.; et al. Work, obesity, and occupational safety and health. Am. J. Public Health 2007, 97, 428–436. [Google Scholar] [CrossRef] [PubMed]
- Statistics Austria. Österreichische Gesundheitsbefragung 2019—Hauptergebnisse 2019. Available online: https://www.statistik.at/fileadmin/publications/Oesterreichische-Gesundheitsbefragung2019_Hauptergebnisse.pdf (accessed on 1 December 2023).
- Kumar, S.G.; Sundaram, N.D. Prevalence and Risk Factors of Hypertension among Bank Employees in Urban Puducherry, India. Int. J. Occup. Environ. Med. 2014, 5, 94–100. [Google Scholar]
- Elmadfa, I. Österreichischer Ernährungsbericht 2012 [Austrian Nutrition Report 2012]. [PDF]. Available online: https://ernaehrungsbericht.univie.ac.at/fileadmin/user_upload/dep_ernaehrung/forschung/ernaehrungsberichte/oesterr_ernaehrungsbericht_2012.pdf (accessed on 1 December 2023).
- Elmadfa, I. Österreichischer Ernährungsbericht 2017 [Austrian Nutrition Report 2017]. [PDF]. Available online: https://ernaehrungsbericht.univie.ac.at/fileadmin/user_upload/dep_ernaehrung/forschung/ernaehrungsberichte/erna_hrungsbericht2017_web_20171018.pdf (accessed on 1 December 2023).
- Lamers, Y. Approaches to improving micronutrient status assessment at the population level. Proc. Nutr. Soc. 2019, 78, 170–176. [Google Scholar] [CrossRef]
- Black, R.E. Global Distribution and Disease Burden Related to Micronutrient Deficiencies. Nestlé Nutr. Inst. Workshop Ser. 2014, 78, 21–28. [Google Scholar]
- Hooper, L.; Ashton, K.; Harvey, L.J.; Decsi, T.; Fairweather-Tait, S.J. Assessing potential biomarkers of micronutrient status by using a systematic review methodology: Methods. Am. J. Clin. Nutr. 2009, 89, 1953S–1959S. [Google Scholar] [CrossRef]
- Shenkin, A. Micronutrients in health and disease. Postgrad. Med. J. 2006, 82, 559–567. [Google Scholar] [CrossRef]
- Wimalawansa, S.J. Associations of vitamin D with insulin resistance, obesity, type 2 diabetes, and metabolic syndrome. J. Steroid Biochem. Mol. Biol. 2018, 175, 177–189. [Google Scholar] [CrossRef]
- Strange, R.C.; Shipman, K.E.; Ramachandran, S. Metabolic syndrome: A review of the role of vitamin D in mediating susceptibility and outcome. World J. Diabetes 2015, 6, 896–911. [Google Scholar] [CrossRef]
- Houston, M.C.; Harper, K.J. Potassium, magnesium, and calcium: Their role in both the cause and treatment of hypertension. J. Clin. Hypertens. 2008, 10 (Suppl. S2), 3–11. [Google Scholar] [CrossRef]
- Kumar, A.; Palfrey, H.A.; Pathak, R.; Kadowitz, P.J.; Gettys, T.W.; Murthy, S.N. The metabolism and significance of homocysteine in nutrition and health. Nutr. Metab. 2017, 14, 78. [Google Scholar] [CrossRef]
- Peng, H.-Y.; Man, C.-F.; Xu, J.; Fan, Y. Elevated homocysteine levels and risk of cardiovascular and all-cause mortality: A meta-analysis of prospective studies. J. Zhejiang Univ. B 2015, 16, 78–86. [Google Scholar] [CrossRef] [PubMed]
- Pallotti, F.; Bergamini, C.; Lamperti, C.; Fato, R. The Roles of Coenzyme Q in Disease: Direct and Indirect Involvement in Cellular Functions. Int. J. Mol. Sci. 2021, 23, 128. [Google Scholar] [CrossRef] [PubMed]
- Saini, R. Coenzyme Q10: The essential nutrient. J. Pharm. Bioallied Sci. 2011, 3, 466–467. [Google Scholar] [CrossRef] [PubMed]
- Mantle, D.; Lopez-Lluch, G.; Hargreaves, I.P. Coenzyme Q10 Metabolism: A Review of Unresolved Issues. Int. J. Mol. Sci. 2023, 24, 2585. [Google Scholar] [CrossRef] [PubMed]
- Silva, A.d.S.e.; da Mota, M.P.G. Effects of physical activity and training programs on plasma homocysteine levels: A systematic review. Amino Acids 2014, 46, 1795–1804. [Google Scholar] [CrossRef] [PubMed]
- Del Pozo-Cruz, J.; Rodríguez-Bies, E.; Ballesteros-Simarro, M.; Navas-Enamorado, I.; Tung, B.T.; Navas, P.; López-Lluch, G. Physical Activity Affects Plasma Coenzyme Q10 Levels Differently in Young and Old Humans. Biogerontology 2014, 15, 199–211. [Google Scholar] [CrossRef] [PubMed]
- Nasreddine, L.; Chamieh, M.C.; Ayoub, J.; Hwalla, N.; Sibai, A.-M.; Naja, F. Sex disparities in dietary intake across the lifespan: The case of Lebanon. Nutr. J. 2020, 19, 24. [Google Scholar] [CrossRef]
- Grzymisławska, M.; Puch, E.; Zawada, A.; Grzymisławski, M. Do nutritional behaviors depend on biological sex and cultural gender? Adv. Clin. Exp. Med. 2020, 29, 165–172. [Google Scholar] [CrossRef]
- Brown, L.L.; Cohen, B.E.; Edwards, E.; Gustin, C.E.; Noreen, Z. Physiological Need for Calcium, Iron, and Folic Acid for Women of Various Subpopulations During Pregnancy and Beyond. J. Women’s Health 2021, 30, 207–211. [Google Scholar] [CrossRef]
- Fallah, A.; Mohammad-Hasani, A.; Colagar, A.H. Zinc is an Essential Element for Male Fertility: A Review of Zn Roles in Men’s Health, Germination, Sperm Quality, and Fertilization. J. Reprod. Infertil. 2018, 19, 69–81. [Google Scholar]
- Oczkowski, M.; Dziendzikowska, K.; Pasternak-Winiarska, A.; Włodarek, D.; Gromadzka-Ostrowska, J. Dietary Factors and Prostate Cancer Development, Progression, and Reduction. Nutrients 2021, 13, 496. [Google Scholar] [CrossRef] [PubMed]
- Dimitrova, K.R.; DeGroot, K.; Myers, A.K.; Kim, Y.D. Estrogen and homocysteine. Cardiovasc. Res. 2002, 53, 577–588. [Google Scholar] [CrossRef]
- Salvio, G.; Cutini, M.; Ciarloni, A.; Giovannini, L.; Perrone, M.; Balercia, G. Coenzyme Q10 and Male Infertility: A Systematic Review. Antioxidants 2021, 10, 874. [Google Scholar] [CrossRef] [PubMed]
- Shackleton, G.L. Towards a biochemical approach to occupational stress management. Heliyon 2021, 7, e07175. [Google Scholar] [CrossRef] [PubMed]
- Cannizzaro, E.; Ramaci, T.; Cirrincione, L.; Plescia, F. Work-Related Stress, Physio-Pathological Mechanisms, and the Influence of Environmental Genetic Factors. Int. J. Environ. Res. Public Health 2019, 16, 4031. [Google Scholar] [CrossRef] [PubMed]
- Dagmar, S.; Erik, S.; Karel, F.; Aleš, S. Gender Differences in Physical Activity, Sedentary Behavior and BMI in the Liberec Region: The IPAQ Study in 2002–2009. J. Hum. Kinet. 2011, 28, 123–131. [Google Scholar] [CrossRef] [PubMed]
- Craft, B.B.; Carroll, H.A.; Lustyk, M.K. Gender Differences in Exercise Habits and Quality of Life Reports: Assessing the Moderating Effects of Reasons for Exercise. Int. J. Lib. Arts Soc. Sci. 2014, 2, 65–76. [Google Scholar] [PubMed]
- Ansdell, P.; Thomas, K.; Hicks, K.M.; Hunter, S.K.; Howatson, G.; Goodall, S. Physiological sex differences affect the integrative response to exercise: Acute and chronic implications. Exp. Physiol. 2020, 105, 2007–2021. [Google Scholar] [CrossRef] [PubMed]
- Martin, M. (Ed.) Das Standardlabor in der Naturheilkundlichen Praxis. In The Standard Laboratory in Naturopathic Practice; Urban & Fischer in Elsevier: Philadelphia, PA, USA, 2016; ISBN 978-3-437-56303-4. [Google Scholar]
- World Health Organization (WHO). Body Mass Index (BMI). 2023. Available online: https://www.who.int/data/gho/data/themes/topics/topic-details/GHO/body-mass-index (accessed on 1 December 2023).
- Melina, V.; Craig, W.; Levin, S. Position of the Academy of Nutrition and Dietetics: Vegetarian Diets. J. Acad. Nutr. Diet. 2016, 116, 1970–1980. [Google Scholar] [CrossRef] [PubMed]
- Wirnitzer, K.; Motevalli, M.; Tanous, D.; Wirnitzer, G.; Leitzmann, C.; Wagner, K.-H.; Rosemann, T.; Knechtle, B. Training and Racing Behaviors of Omnivorous, Vegetarian, and Vegan Endurance Runners—Results from the NURMI Study (Step 1). Nutrients 2021, 13, 3521. [Google Scholar] [CrossRef] [PubMed]
- Schulz-Ruhtenberg, N. Mikronährstoffe und Aminosäuren—Einsatz in der Sporternährung. Sportsnutrition 2014, pp. 36–38. Available online: https://ruhtenberg.info/wp-content/uploads/2015/09/Artikel_Vitamine_Leistung_Entz%C3%BCndungen_bei_Sportlern_MSN_2014.pdf (accessed on 1 December 2023).
- Sportärztezeitung (2019): Mikronährstoffkonzentrationen. Available online: https://sportaerztezeitung.com/rubriken/ernaehrung/4168/mikronaehrstoffkonzentrationen/ (accessed on 1 December 2023).
- Gaffney-Stomberg, E. The Impact of Trace Minerals on Bone Metabolism. Biol. Trace Element Res. 2019, 188, 26–34. [Google Scholar] [CrossRef] [PubMed]
- Niklowitz, P.; Onur, S.; Fischer, A. Coenzyme Q10 serum concentration and redox status in European adults: Influence of age, sex, and lipoprotein concentration. J. Clin. Biochem. Nutr. 2016, 58, 240–245. [Google Scholar] [CrossRef]
- Refsum, H.; Smith, A.D.; Ueland, P.M.; Nexo, E.; Clarke, R.; McPartlin, J.; Johnston, C.; Engbaek, F.; Schneede, J.; McPartlin, C.; et al. Facts and recommendations about total homocysteine determinations: An expert opinion. Clin. Chem. 2004, 50, 3–32. [Google Scholar] [CrossRef] [PubMed]
- World Health Organization (WHO). Global Physical Activity Questionnaire (GPAQ). 2021. Available online: https://www.who.int/publications/m/item/global-physical-activity-questionnaire (accessed on 1 December 2023).
- World Health Organization (WHO). Guidelines on Physical Activity and Sedentary Behaviour, 2020. Available online: https://www.who.int/publications/i/item/9789240015128 (accessed on 10 October 2023).
- Statistics Austria. Overweight and Obesity. 2019. Available online: https://www.statistik.at/en/statistics/population-and-society/health/health-determinants/overweight-and-obesity (accessed on 1 December 2023).
- NCD Risk Factor Collaboration (NCD-RisC). Worldwide trends in body-mass index, underweight, overweight, and obesity from 1975 to 2016: A pooled analysis of 2416 population-based measurement studies in 128.9 million children, adolescents, and adults. Lancet 2017, 390, 2627–2642. [Google Scholar] [CrossRef] [PubMed]
- Wirnitzer, K.; Motevalli, M.; Tanous, D.; Wirnitzer, G.; Leitzmann, C.; Pichler, R.; Rosemann, T.; Knechtle, B. Who Is Running in the D-A-CH Countries? An Epidemiological Approach of 2455 Omnivorous, Vegetarian, and Vegan Recreational Runners—Results from the NURMI Study (Step 1). Nutrients 2022, 14, 677. [Google Scholar] [CrossRef]
- Global Nutrition Report. Austria. 2022. Available online: https://globalnutritionreport.org/resources/nutrition-profiles/europe/western-europe/austria/ (accessed on 1 December 2023).
- Wirnitzer, K.C.; Drenowatz, C.; Cocca, A.; Tanous, D.R.; Motevalli, M.; Wirnitzer, G.; Schätzer, M.; Ruedl, G.; Kirschner, W. Health Behaviors of Austrian Secondary Level Pupils at a Glance: First Results of the From Science 2 School Study Focusing on Sports Linked to Mixed, Vegetarian, and Vegan Diets. Int. J. Environ. Res. Public Health 2021, 18, 12782. [Google Scholar] [CrossRef]
- Wirnitzer, K.C.; Drenowatz, C.; Cocca, A.; Tanous, D.R.; Motevalli, M.; Wirnitzer, G.; Schätzer, M.; Ruedl, G.; Kirschner, W. Health Behaviors of Austrian Secondary School Teachers and Principals at a Glance: First Results of the From Science 2 School Study Focusing on Sports Linked to Mixed, Vegetarian, and Vegan Diets. Nutrients 2022, 14, 1065. [Google Scholar] [CrossRef]
- Wirnitzer, K.C.; Motevalli, M.; Cocca, A. Health behavior of Austrian tertiary students focusing on diet type linked to sports and exercise—First glimpse of results from the “sustainably healthy—From science 2 high school and university” study. Front. Public Health 2023, 11, 1129004. [Google Scholar] [CrossRef] [PubMed]
- Wirnitzer, K.C.; Motevalli, M.; Tanous, D.R. A glimpse of academic staff health behavior on diet type and physical activity at Austrian universities: First findings from the “Sustainably Healthy—From Science 2 Highschool & University” study. Front. Public Health 2023, 11, 1194602. [Google Scholar] [CrossRef]
- Sanchi, G.R.; Borges, L.R. Lifestyle and nutritional status of employees of a chain of banks in Pelotas, Rio Grande do Sul, Brazil. Rev. Bras. Med. Trab. 2020, 17, 45–53. [Google Scholar] [CrossRef] [PubMed]
- Cattafesta, M.; Salaroli, L.B. Diets high in vegetables, fruits, cereals, and tubers as a protective factor for metabolic syndrome in bank employees. Diabetes Metab. Syndr. Obesity Targets Ther. 2018, 11, 781–790. [Google Scholar] [CrossRef] [PubMed]
- Addo, P.N.O.; Nyarko, K.M.; Sackey, S.O.; Akweongo, P.; Sarfo, B. Prevalence of obesity and overweight and associated factors among financial institution workers in Accra Metropolis, Ghana: A cross sectional study. BMC Res. Notes 2015, 8, 599. [Google Scholar] [CrossRef] [PubMed]
- Hruby, A.; Hu, F.B. The Epidemiology of Obesity: A Big Picture. PharmacoEconomics 2015, 33, 673–689. [Google Scholar] [CrossRef] [PubMed]
- Motevalli, M.; Wagner, K.-H.; Leitzmann, C.; Tanous, D.; Wirnitzer, G.; Knechtle, B.; Wirnitzer, K. Female Endurance Runners Have a Healthier Diet than Males—Results from the NURMI Study (Step 2). Nutrients 2022, 14, 2590. [Google Scholar] [CrossRef] [PubMed]
- European Commission. Physical Activity in the European Union: 2021 Status Report. Available online: https://sport.ec.europa.eu/sites/default/files/2021-11/PA%20European%20Report%202021%20Web_v1_1.pdf (accessed on 1 December 2023).
- Krug, S.J.S.; Mensink, G.B.M.; Muters, S.; Finger, J.D.; Lampert, T. English version of Korperliche Aktivitat. Ergebnisse der Studie zur Gesundheit Erwachsener in Deutschland (DEGS1). Bundesgesundheitsblatt 2013, 56, 765–771. [Google Scholar] [CrossRef]
- Salaroli, L.B.; Cattafesta, M.; Bissoli, N.S. Metabolic syndrome and C-reactive protein in bank employees. Diabetes Metab. Syndr. Obes. Targets Ther. 2016, 9, 137–144. [Google Scholar] [CrossRef][Green Version]
- Ford, E.S.; Caspersen, C.J. Sedentary behaviour and cardiovascular disease: A review of prospective studies. Int. J. Epidemiol. 2012, 41, 1338–1353. [Google Scholar] [CrossRef]
- Ekelund, U. Infographic: Physical activity, sitting time and mortality. Br. J. Sports Med. 2018, 52, 1164–1165. [Google Scholar] [CrossRef]
- Biswas, A.; Oh, P.I.; Faulkner, G.E.; Bajaj, R.R.; Silver, M.A.; Mitchell, M.S.; Alter, D.A. Sedentary time and its association with risk for disease incidence, mortality, and hospitalization in adults: A systematic review and meta-analysis. Ann. Intern. Med. 2015, 162, 123–132. [Google Scholar] [CrossRef]
- Luzak, A.; Heier, M.; Thorand, B.; Laxy, M.; Nowak, D.; Peters, A.; Schulz, H.; KORA-Study Group. Physical activity levels, duration pattern and adherence to WHO recommendations in German adults. PLoS ONE 2017, 12, e0172503. [Google Scholar] [CrossRef]
- Aderibigbe, S.; Sule, G.; Olatona, F.; Goodman, O.; Sekoni, O. Knowledge and practice of sedentary lifestyle among bankers in Abuja, North-Central Ngeria. Res. J. Health Sci. 2017, 5, 167. [Google Scholar] [CrossRef]
- Nketiah, G.B.; Odoi-Agyarko, K.; Ndanu, T.A.; Hayford, F.E.A.; Amoh, G.; Lawson, H. Physical inactivity among corporate bank workers in Accra, Ghana: Implications for health promotion. PLoS ONE 2023, 18, e0277994. [Google Scholar] [CrossRef] [PubMed]
- Knuth, A.G.; Hallal, P.C. Temporal trends in physical activity: A systematic review. J. Phys. Act. Health 2009, 6, 548–559. [Google Scholar] [CrossRef] [PubMed]
- Owen, N.; Sugiyama, T.; Eakin, E.E.; Gardiner, P.A.; Tremblay, M.S.; Sallis, J.F. Adults’ Sedentary Behavior: Determinants and Interventions. Am. J. Prev. Med. 2011, 41, 189–196. [Google Scholar] [CrossRef] [PubMed]
- Kelly, S.; Martin, S.; Kuhn, I.; Cowan, A.; Brayne, C.; Lafortune, L. Barriers and Facilitators to the uptake and maintenance of healthy behaviours by people at mid-life: A rapid systematic review. PLoS ONE 2016, 11, e0145074. [Google Scholar] [CrossRef] [PubMed]
- Ekelund, U.; Steene-Johannessen, J.; Brown, W.J.; Fagerland, M.W.; Owen, N.; Powell, K.E.; Bauman, A.; Lee, I.M. Does physical activity attenuate, or even eliminate, the detrimental association of sitting time with mortality? A harmonized meta-analysis of data from more than 1 million men and women. Lancet 2016, 388, 1302–1310. [Google Scholar] [CrossRef] [PubMed]
- Sharkey, T.; Whatnall, M.C.; Hutchesson, M.J.; Haslam, R.L.; Bezzina, A.; Collins, C.E.; Ashton, L.M. Effectiveness of gender-targeted versus gender-neutral interventions aimed at improving dietary intake, physical activity and/or overweight/obesity in young adults (aged 17–35 years): A systematic review and meta-analysis. Nutr. J. 2020, 19, 78. [Google Scholar] [CrossRef]
- Segar, M.; Jayaratne, T.; Hanlon, J.; Richardson, C.R. Fitting fitness into women’s lives: Effects of a gender-tailored physical activity intervention. Women’s Health Issues 2002, 12, 338–347. [Google Scholar] [CrossRef]
- Azevedo, M.R.; Araújo, C.L.P.; Reichert, F.F.; Siqueira, F.V.; da Silva, M.C.; Hallal, P.C. Gender differences in leisure-time physical activity. Int. J. Public Health 2007, 52, 8–15. [Google Scholar] [CrossRef]
- Kim, J.; Kim, H.; Roh, H.; Kwon, Y. Causes of hyperhomocysteinemia and its pathological significance. Arch. Pharmacal Res. 2018, 41, 372–383. [Google Scholar] [CrossRef]
- Al Mutairi, F. Hyperhomocysteinemia: Clinical Insights. J. Central Nerv. Syst. Dis. 2020, 12, 1179573520962230. [Google Scholar] [CrossRef]
- Rauh, M.; Verwied, S.; Knerr, I.; Dörr, H.G.; Sönnichsen, A.; Koletzko, B. Homocysteine concentrations in a German cohort of 500 individuals: Reference ranges and determinants of plasma levels in healthy children and their parents. Amino Acids 2001, 20, 409–418. [Google Scholar] [CrossRef] [PubMed]
- Lussier-Cacan, S.; Xhignesse, M.; Piolot, A.; Selhub, J.; Davignon, J.; Genest, J., Jr. Plasma total homocysteine in healthy subjects: Sex-specific relation with biological traits. Am. J. Clin. Nutr. 1996, 64, 587–593. [Google Scholar] [CrossRef]
- de Bree, A. Dietary, Lifestyle and Genetic Determinants of Homocysteine and Its Relation with Coronary Heart Disease. Doctoral Thesis, Katholieke Universiteit Nijmegen, Nijmegen, The Netherlands, 2001. Volume 1. p. 187. [Google Scholar]
- Fakhrzadeh, H.; Ghotbi, S.; Pourebrahim, R.; Nouri, M.; Heshmat, R.; Bandarian, F.; Shafaee, A.; Larijani, B. Total plasma homocysteine, folate, and vitamin b12 status in healthy Iranian adults: The Tehran homocysteine survey (2003–2004)/a cross—Sectional population based study. BMC Public Health 2006, 6, 29. [Google Scholar] [CrossRef] [PubMed]
- Gande, N.; Hochmayr, C.; Staudt, A. Plasma homocysteine levels and associated factors in community-dwelling adolescents: The EVA-TYROL study. Front. Cardiovasc. Med. 2023, 10, 1140990. [Google Scholar] [CrossRef]
- Salaroli, L.B.; Saliba, R.A.D.; Zandonade, E.; Molina, M.d.C.B.; Bissoli, N.S. Prevalence of metabolic syndrome and related factors in bank employees according to different defining criteria, Vitória/ES, Brazil. Clinics 2013, 68, 69–74. [Google Scholar] [CrossRef]
- DGE (German Nutrition Society). 14th DGE-Nutrition Report 2020. Available online: https://www.dge.de/english/nutrition-reports/ (accessed on 1 December 2023).
- Elmadfa, I.; Meyer, A.L.; Wottawa, D.; Wagner, K.; Hasenegger, V. Vitamin D intake and status in Austria and its effects on some health indicators. Austin J. Nutr. Metab. 2017, 4, 1050. [Google Scholar]
- Cui, A.; Zhang, T.; Xiao, P.; Fan, Z.; Wang, H.; Zhuang, Y. Global and regional prevalence of vitamin D deficiency in population-based studies from 2000 to 2022: A pooled analysis of 7.9 million participants. Front. Nutr. 2023, 10, 1070808. [Google Scholar] [CrossRef] [PubMed]
- Lips, P. Vitamin D status and nutrition in Europe and Asia. J. Steroid Biochem. Mol. Biol. 2007, 103, 620–625. [Google Scholar] [CrossRef] [PubMed]
- Palacios, C.; Gonzalez, L. Is vitamin D deficiency a major global public health problem? J. Steroid Biochem. Mol. Biol. 2014, 144 Pt A, 138–145. [Google Scholar] [CrossRef]
- Allan, B.S. Standard Definition of Vitamin D Deficiency Is Challenged. Available online: https://www.jwatch.org/na44769/2017/08/15/standard-definition-vitamin-d-deficiency-challenged (accessed on 1 December 2023).
- Neufingerl, N.; Eilander, A. Nutrient intake and status in adults consuming plant-based diets compared to meat-eaters: A systematic review. Nutrients 2021, 14, 29. [Google Scholar] [CrossRef] [PubMed]
- Black, L.J.; Lucas, R.M.; Sherriff, J.L.; Björn, L.O.; Bornman, J.F. In pursuit of vitamin D in plants. Nutrients 2017, 9, 136. [Google Scholar] [CrossRef]


| Total (n = 123) | Females (n = 62) | Males (n = 61) | Statistics and p-Values (Gender Differences) | ||
|---|---|---|---|---|---|
| Age (years) | 43 (20–65) | 41 (20–65) | 44 (23–65) | F(1,121) = 0.78, p = 0.378 | |
| Body Weight (kg) | 71 (43–114) | 64 (43–114) | 77 (53–114) | F(1,121) = 55.53, p < 0.001 | |
| Height (cm) | 173 (154–190) | 167 (154–185) | 178 (165–190) | F(1,121) = 97.24, p < 0.001 | |
| BMI (kg/m2) | 23.6 (16.9–40.4) | 22.1 (16.9–40.4) | 24.4 (19.0–36.0) | F(1,121) = 14.79, p < 0.001 | |
| BMI Levels | <18.5 | 6% | 11% | - | χ2(3) = 18.57, p < 0.001 |
| 18.5–25.0 | 61% | 66% | 56% | ||
| 25.0–30.0 | 28% | 15% | 43% | ||
| >30.0 | 5% | 8% | 2% | ||
| Diet Type | mixed | 93% | 90% | 95% | χ2(1) = 1.03, p = 0.311 |
| vegetarian/vegan | 7% | 10% | 5% | ||
| PA Levels | low | 18% | 16% | 20% | χ2(2) = 1.68, p = 0.432 |
| moderate | 21% | 26% | 16% | ||
| high | 61% | 58% | 64% | ||
| Total MET | 8598 (13,526) | 7290 (14,606) | 9927 (12,311) | F(1,121) = 1.84, p = 0.177 | |
| Work MET | 4889 (9949) | 3644 (8897) | 6155 (10,842) | F(1,121) = 1.21, p = 0.273 | |
| Transport MET | 313 (1866) | 337 (2139) | 290 (1557) | F(1,121) = 0.12, p = 0.727 | |
| Recreation MET | 3395 (4448) | 3310 (4561) | 3482 (4366) | F(1,121) = 0.24, p = 0.622 | |
| Sedentary Time (h/week) | 42.5 ± 23.3 | 40.7 ± 22.1 | 44.3 ± 24.5 | F(1,121) = 0.70, p = 0.404 | |
| Homocysteine (µmol/L) | 10.6 ± 4.3 | 10.67 ± 5.36 | 10.47 ± 2.90 | F(1,121) = 0.73, p = 0.395 | |
| Homocysteine Levels | <10 | 52% | 58% | 46% | χ2(2) = 3.89, p = 0.143 |
| 10–15 | 39% | 31% | 48% | ||
| >15 | 9% | 11% | 7% | ||
| CoQ10 (mg/L) | 0.82 ± 0.28 * | 0.87 ± 0.29 | 0.78 ± 0.28 | F(1,80) = 2.58, p = 0.112 | |
| Adjusted CoQ10 (µmol/mmol Chol) | 0.18 ± 0.06 * | 0.19 ± 0.06 | 0.17 ± 0.05 | F(1,80) = 5.75, p = 0.019 | |
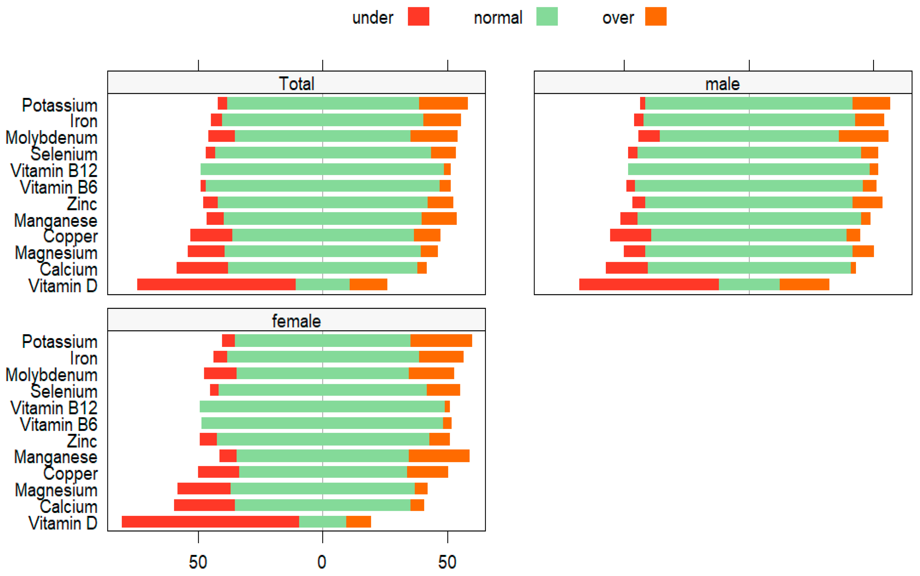
| Reference Range for Females * | Females (n = 62) | ||||
|---|---|---|---|---|---|
| Value | Below the Range | Within the Range | Over the Range | ||
| Potassium (mg/L) | 1484–1794 | 1687 ± 234 | 5% | 71% | 24% |
| Calcium (mg/L) | 53.8–62.7 | 56.3 ± 4.1 | 24% | 71% | 5% |
| Magnesium (mg/L) | 29.8–37.5 | 32.8 ± 3.0 | 21% | 74% | 5% |
| Copper (mg/L) | 0.76–1.12 | 0.93 ± 0.20 | 16% | 68% | 16% |
| Iron (mg/L) | 423–520 | 482 ± 43 | 5% | 77% | 18% |
| Zinc (mg/L) | 4.88–6.67 | 5.80 ± 0.69 | 6% | 85% | 8% |
| Selenium (µg/L) | 101–170 | 138 ± 42 | 3% | 84% | 13% |
| Manganese (µg/L) | 5.91–12.7 | 10.33 ± 3.70 | 6% | 69% | 24% |
| Molybdenum (µg/L) | 0.5–1.6 | 1.12 ± 0.83 | 13% | 69% | 18% |
| Vitamin B6 (µg/L) | 16.4–80.4 | 38.2 ± 30.8 | - | 97% | 3% |
| Vitamin B9 (ng/mL) | >5.38 | 8.88 ± 5.70 | 37% | 63% | - |
| Vitamin B12 (pg/mL) | 211–911 | 579 ± 877 | - | 98% | 2% |
| Vitamin D (nmol/L) | 100–150 | 89.9 ± 37.2 | 71% | 19% | 10% |
| Reference Range for Males * | Males (n = 61) | ||||
|---|---|---|---|---|---|
| Value | Below the Range | Within the Range | Over the Range | ||
| Potassium (mg/L) | 1568–1908 | 1811 ± 113 | 2% | 84% | 15% |
| Calcium (mg/L) | 50.3–59.8 | 53.5 ± 3.4 | 16% | 82% | 2% |
| Magnesium (mg/L) | 31.2–39.1 | 34.9 ± 2.8 | 8% | 84% | 8% |
| Copper (mg/L) | 0.7–0.94 | 0.79 ± 0.09 | 16% | 79% | 5% |
| Iron (mg/L) | 465–577 | 543 ± 34 | 3% | 85% | 11% |
| Zinc (mg/L) | 5.36–7.29 | 6.43 ± 0.68 | 5% | 84% | 11% |
| Selenium (µg/L) | 101–168 | 136 ± 35 | 3% | 90% | 7% |
| Manganese (µg/L) | 5.39–11.2 | 8.29 ± 2.13 | 7% | 90% | 3% |
| Molybdenum (µg/L) | 0.45–1.56 | 1.60 ± 4.23 | 8% | 72% | 20% |
| Vitamin B6 (µg/L) | 16.4–80.4 | 36.5 ± 22.3 | 3% | 92% | 5% |
| Vitamin B9 (ng/mL) | >5.38 | 10.02 ± 4.92 | 15% | 85% | - |
| Vitamin B12 (pg/mL) | 211–911 | 491 ± 247 | - | 97% | 3% |
| Vitamin D (nmol/L) | 100–150 | 99.8 ± 49.9 | 56% | 25% | 20% |
Disclaimer/Publisher’s Note: The statements, opinions and data contained in all publications are solely those of the individual author(s) and contributor(s) and not of MDPI and/or the editor(s). MDPI and/or the editor(s) disclaim responsibility for any injury to people or property resulting from any ideas, methods, instructions or products referred to in the content. |
© 2024 by the authors. Licensee MDPI, Basel, Switzerland. This article is an open access article distributed under the terms and conditions of the Creative Commons Attribution (CC BY) license (https://creativecommons.org/licenses/by/4.0/).
Share and Cite
Schauer, M.; Burtscher, M.; Motevalli, M.; Tanous, D.; Mair, S.; Wirnitzer, K. Gender Disparities in Health Biomarkers, Lifestyle Patterns, and Nutritional Status among Bank Staff: A Cross-Sectional Study. Medicina 2024, 60, 413. https://doi.org/10.3390/medicina60030413
Schauer M, Burtscher M, Motevalli M, Tanous D, Mair S, Wirnitzer K. Gender Disparities in Health Biomarkers, Lifestyle Patterns, and Nutritional Status among Bank Staff: A Cross-Sectional Study. Medicina. 2024; 60(3):413. https://doi.org/10.3390/medicina60030413
Chicago/Turabian StyleSchauer, Markus, Martin Burtscher, Mohamad Motevalli, Derrick Tanous, Susanne Mair, and Katharina Wirnitzer. 2024. "Gender Disparities in Health Biomarkers, Lifestyle Patterns, and Nutritional Status among Bank Staff: A Cross-Sectional Study" Medicina 60, no. 3: 413. https://doi.org/10.3390/medicina60030413
APA StyleSchauer, M., Burtscher, M., Motevalli, M., Tanous, D., Mair, S., & Wirnitzer, K. (2024). Gender Disparities in Health Biomarkers, Lifestyle Patterns, and Nutritional Status among Bank Staff: A Cross-Sectional Study. Medicina, 60(3), 413. https://doi.org/10.3390/medicina60030413

