Clinical Features and Prognosis of Acute Cholangitis in Octogenarians: A Prospective Comparative Study
Abstract
1. Introduction
2. Materials and Methods
2.1. Study Design and Clinical Outcomes
2.2. Definitions and Data Collection
2.3. Statistical Analysis
3. Results
3.1. Comparative Baseline Characteristics and Clinical Outcomes
3.2. Factors Predicting In-Hospital Mortality in the Entire Population
4. Discussion
Author Contributions
Funding
Institutional Review Board Statement
Informed Consent Statement
Data Availability Statement
Conflicts of Interest
References
- Lan Cheong Wah, D.; Christophi, C.; Muralidharan, V. Acute cholangitis: Current concepts. ANZ J. Surg. 2017, 87, 554–559. [Google Scholar] [CrossRef] [PubMed]
- Sulzer, J.K.; Ocuin, L.M. Cholangitis: Causes, diagnosis, and management. Surg. Clin. 2019, 99, 175–184. [Google Scholar]
- Stinton, L.M.; Shaffer, E.A. Epidemiology of gallbladder disease: Cholelithiasis and cancer. Gut Liver 2012, 6, 172. [Google Scholar] [CrossRef] [PubMed]
- Prince, M.J.; Wu, F.; Guo, Y.; Robledo, L.M.G.; O’Donnell, M.; Sullivan, R.; Yusuf, S. The burden of disease in older people and implications for health policy and practice. Lancet 2015, 385, 549–562. [Google Scholar] [CrossRef]
- Mohan, R.; Huey, C.W.T.; Junnarkar, S.; Low, J.K.; Shelat, V.G. Prehabilitation in elderly patients scheduled for liver resection and protocol for Recovery of Surgery in Elderly. Hepatoma Res 2020, 6, 13. [Google Scholar] [CrossRef]
- Gavazzi, G.; Krause, K.-H. Ageing and infection. Lancet Infect. Dis. 2002, 2, 659–666. [Google Scholar] [CrossRef]
- Ortega, M.; Marco, F.; Soriano, A.; Almela, M.; Martinez, J.; Lopez, J.; Pitart, C.; Mensa, J. Epidemiology and prognostic determinants of bacteraemic biliary tract infection. J. Antimicrob. Chemother. 2012, 67, 1508–1513. [Google Scholar] [CrossRef]
- Chandrasekhara, V.; Khashab, M.A.; Muthusamy, V.R.; Acosta, R.D.; Agrawal, D.; Bruining, D.H.; Eloubeidi, M.A.; Fanelli, R.D.; Faulx, A.L.; Gurudu, S.R. Adverse events associated with ERCP. Gastrointest. Endosc. 2017, 85, 32–47. [Google Scholar] [CrossRef]
- Williams, E.; Taylor, S.; Fairclough, P.; Hamlyn, A.; Logan, R.; Martin, D.; Riley, S.; Veitch, P.; Wilkinson, M.; Williamson, P. Risk factors for complication following ERCP; results of a large-scale, prospective multicenter study. Endoscopy 2007, 39, 793–801. [Google Scholar] [CrossRef]
- Loperfido, S.; Angelini, G.; Benedetti, G.; Chilovi, F.; Costan, F.; De Berardinis, F.; De Bernardin, M.; Ederle, A.; Fina, P.; Fratton, A. Major early complications from diagnostic and therapeutic ERCP: A prospective multicenter study. Gastrointest. Endosc. 1998, 48, 1–10. [Google Scholar] [CrossRef]
- Aziz, A.M.A.; Lehman, G.A. Pancreatits after endoscopic retrograde cholangio-pancreatography. World J. Gastroenterol. WJG 2007, 13, 2655. [Google Scholar] [CrossRef] [PubMed][Green Version]
- Han, S.J.; Lee, T.H.; Kang, B.I.; Choi, H.J.; Lee, Y.N.; Cha, S.-W.; Moon, J.H.; Cho, Y.D.; Park, S.H.; Kim, S.-J. Efficacy and safety of therapeutic endoscopic retrograde cholangiopancreatography in the elderly over 80 years. Dig. Dis. Sci. 2016, 61, 2094–2101. [Google Scholar] [CrossRef] [PubMed]
- Tohda, G.; Ohtani, M.; Dochin, M. Efficacy and safety of emergency endoscopic retrograde cholangiopancreatography for acute cholangitis in the elderly. World J. Gastroenterol. 2016, 22, 8382. [Google Scholar] [CrossRef] [PubMed]
- Lukens, F.J.; Howell, D.A.; Upender, S.; Sheth, S.G.; Jafri, S.-M.R. ERCP in the very elderly: Outcomes among patients older than eighty. Dig. Dis. Sci. 2010, 55, 847–851. [Google Scholar] [CrossRef]
- Park, C.S.; Jeong, H.S.; Kim, K.B.; Han, J.-H.; Chae, H.B.; Youn, S.J.; Park, S.M. Urgent ERCP for acute cholangitis reduces mortality and hospital stay in elderly and very elderly patients. Hepatobiliary Pancreat. Dis. Int. 2016, 15, 619–625. [Google Scholar] [CrossRef]
- Agarwal, N.; Sharma, B.C.; Sarin, S.K. Endoscopic management of acute cholangitis in elderly patients. World J. Gastroenterol. WJG 2006, 12, 6551. [Google Scholar] [CrossRef]
- Kiriyama, S.; Kozaka, K.; Takada, T.; Strasberg, S.M.; Pitt, H.A.; Gabata, T.; Hata, J.; Liau, K.H.; Miura, F.; Horiguchi, A. Tokyo Guidelines 2018: Diagnostic criteria and severity grading of acute cholangitis (with videos). J. Hepato-Biliary-Pancreat. Sci. 2018, 25, 17–30. [Google Scholar] [CrossRef]
- Mukai, S.; Itoi, T.; Baron, T.H.; Takada, T.; Strasberg, S.M.; Pitt, H.A.; Ukai, T.; Shikata, S.; Teoh, A.Y.B.; Kim, M.H. Indications and techniques of biliary drainage for acute cholangitis in updated Tokyo Guidelines 2018. J. Hepato-Biliary-Pancreat. Sci. 2017, 24, 537–549. [Google Scholar] [CrossRef]
- Charlson, M.E.; Pompei, P.; Ales, K.L.; MacKenzie, C.R. A new method of classifying prognostic comorbidity in longitudinal studies: Development and validation. J. Chronic Dis. 1987, 40, 373–383. [Google Scholar] [CrossRef]
- Acehan, F.; Çamlı, H.; Kalkan, C.; Tez, M.; Altiparmak, E.; Ates, I. Characteristics and clinical outcomes of acute cholangitis in older patients. Eur. Geriatr. Med. 2023, 14, 263–273. [Google Scholar] [CrossRef]
- Sugiyama, M.; Atomi, Y. Treatment of acute cholangitis due to choledocholithiasis in elderly and younger patients. Arch. Surg. 1997, 132, 1129–1133. [Google Scholar] [CrossRef] [PubMed]
- Pang, Y.Y.; Chun, Y.A.W. Predictors for emergency biliary decompression in acute cholangitis. Eur. J. Gastroenterol. Hepatol. 2006, 18, 727–731. [Google Scholar] [CrossRef] [PubMed]
- Tsujino, T.; Sugita, R.; Yoshida, H.; Yagioka, H.; Kogure, H.; Sasaki, T.; Nakai, Y.; Sasahira, N.; Hirano, K.; Isayama, H. Risk factors for acute suppurative cholangitis caused by bile duct stones. Eur. J. Gastroenterol. Hepatol. 2007, 19, 585–588. [Google Scholar] [CrossRef]
- Chan, K.S.; Mohan, R.; Low, J.K.; Junnarkar, S.P.; Huey, C.W.T.; Shelat, V.G. Elderly patients (≥80 years) with acute calculous cholangitis have similar outcomes as non-elderly patients (<80 years): Propensity score-matched analysis. World J. Hepatol. 2021, 13, 456. [Google Scholar]
- Day, L.W.; Lin, L.; Somsouk, M. Adverse events in older patients undergoing ERCP: A systematic review and meta-analysis. Endosc. Int. Open 2014, 2, E28–E36. [Google Scholar] [CrossRef]
- Ramai, D.; Heaton, J.; Ofosu, A.; Gkolfakis, P.; Chandan, S.; Tringali, A.; Barakat, M.T.; Hassan, C.; Repici, A.; Facciorusso, A. Influence of Frailty in Patients Undergoing Endoscopic Retrograde Cholangiopancreatography for Biliary Stone Disease: A Nationwide Study. Dig. Dis. Sci. 2023, 68, 3605–3613. [Google Scholar] [CrossRef]
- Shi, H.; Wan, J.; Xu, S.; Liao, L. A retrospective analysis of clinical characteristics and mortality risks in elderly patients with acute cholecystitis and cholangitis. Zhonghua Nei Ke Za Zhi 2019, 58, 415–418. [Google Scholar]
- Novy, E.; Carrara, L.; Remen, T.; Chevaux, J.-B.; Losser, M.-R.; Louis, G.; Guerci, P. Prognostic factors associated with six month mortality of critically ill elderly patients admitted to the intensive care unit with severe acute cholangitis. HPB 2021, 23, 459–467. [Google Scholar] [CrossRef]
- Ma, C.; Wang, L.; Qiao, S.; Wang, X.; Zhang, X.; Sun, R.; Liu, J.; Li, Y. Risk factors for death of elderly patients with acute obstructive suppurative cholangitis. West Indian Med. J. 2015, 65, 316–319. [Google Scholar]


| Parameter | Overall n = 250 | Non-Octogenarian n = 163 | Octogenarian n = 87 | p | 
|---|---|---|---|---|
| Age, years | 76 (69–82) | 73 (68–76) | 84 (82–88) | <0.001 | 
| Female gender | 125 (50%) | 73 (44.8%) | 52 (59.8%) | 0.024 | 
| Etiology | 0.093 | |||
| Biliary stones | 194 (77.6%) | 120 (73.6%) | 74 (85%) | |
| Malignant biliary obstruction | 51 (20.4%) | 38 (23.3%) | 13 (14.9%) | |
| Benign biliary stricture | 5 (2%) | 5 (3.1%) | 0 | |
| Main complaint at admission | ||||
| Abdominal pain | 241 (96.4%) | 157 (96.3%) | 84 (96.6%) | 0.925 | 
| Jaundice | 79 (31.6%) | 51 (31.3%) | 28 (32.2%) | 0.885 | 
| Fever | 41 (16.4%) | 27 (16.6%) | 14 (16.1%) | 0.923 | 
| Charcot’s triad | 17 (6.8%) | 12 (7.4%) | 5 (5.7%) | 0.629 | 
| Vital signs | ||||
| Mean arterial pressure | 89 ± 14 | 90 ± 14 | 87 ± 14 | 0.067 | 
| Heart rate per minute | 85 (78–92) | 85 (78–91) | 85 (80–95) | 0.389 | 
| Respiratory rate per minute | 16 (15–18) | 16 (14–18) | 16 (15–18) | 0.150 | 
| Oxygen saturation, % | 94 (92–96) | 95 (93–96) | 93 (91–96) | 0.010 | 
| Disturbance of consciousness (GCS score < 15) | 29 (11.6%) | 14 (8.6%) | 15 (17.2%) | 0.042 | 
| TG18 severity grading | <0.001 | |||
| Grade 1 (mild) | 112 (44.8%) | 89 (54.6%) | 23 (26.4%) | |
| Grade 2 (moderate) | 88 (35.2%) | 47 (28.8%) | 41 (47.1%) | |
| Grade 3 (severe) | 50 (20%) | 27 (16.6%) | 23 (26.4%) | |
| qSOFA score, ≥2 | 16 (6.4%) | 8 (4.9%) | 8 (9.2%) | 0.187 | 
| SIRS score, ≥2 | 77 (30.8%) | 46 (28.2%) | 31 (35.6%) | 0.227 | 
| Concomitant acute pancreatitis | 68 (27.2%) | 45 (27.6%) | 23 (26.4%) | 0.843 | 
| Concomitant acute cholecystitis | 63 (25.2%) | 40 (24.5%) | 23 (26.4%) | 0.742 | 
| History of cholecystectomy | 41 (16.4%) | 26 (16%) | 15 (17.2%) | 0.707 | 
| History of acute cholangitis | 50 (20%) | 32 (19.6%) | 18 (20.7%) | 0.744 | 
| Charlson comorbidity index | 2 (1–4) | 2 (1–4) | 2 (1–4) | 0.764 | 
| Parameter | Overall n = 250 | Non-Octogenarian n = 163 | Octogenarian n = 87 | p | 
|---|---|---|---|---|
| White blood cell count, 109/L | 10.7 (7.7–14.3) | 10.8 (7.9–14.3) | 10.3 (7.3–14.5) | 0.552 | 
| Neutrophil count, 109/L | 9 (5.9–12.7) | 9.2 (6–12.7) | 8.3 (5.5–12.9) | 0.633 | 
| Hemoglobin, g/dL | 12.8 ± 1.8 | 13 ± 1.8 | 12.5 ± 1.75 | 0.052 | 
| Platelet count, 109/L | 226 (180–289) | 225 (186–289) | 228 (172–296) | 0.941 | 
| ALT, U/L | 178 (101–278) | 186 (104–286) | 150 (91–251) | 0.147 | 
| AST, U/L | 177 (99–281) | 165 (99–272) | 194 (96–329) | 0.253 | 
| ALP, U/L | 267 (170–452) | 269 (172–460) | 262 (159–452) | 0.491 | 
| GGT, U/L | 357 (212–568) | 379 (240–665) | 270 (194–475) | 0.001 | 
| Total bilirubin, mg/dL | 3.7 (2.2–6.4) | 3.8 (2.2–6.7) | 3.2 (1.9–6.4) | 0.210 | 
| INR | 1.15 (1.09–1.27) | 1.16 (1.1–1.26) | 1.12 (1.02–1.3) | 0.225 | 
| Amylase, U/L | 62 (39–391) | 62 (35–385) | 69 (41–423) | 0.555 | 
| Lipase, U/L | 45 (29–495) | 41 (30–417) | 51 (28–667) | 0.945 | 
| Urea, mg/dL | 42 (34–56) | 41 (31–54) | 47 (39–64) | <0.001 | 
| Creatinine, mg/dL | 0.9 (0.7–1.2) | 0.9 (0.7–1.1) | 1 (0.8–1.2) | 0.070 | 
| Albumin, g/dL | 3.8 (3.5–4.1) | 3.9 (3.5–4.2) | 3.7 (3.4–3.9) | 0.001 | 
| C-reactive protein, mg/L | 65 (25–122) | 65 (25–122) | 61 (25–135) | 0.902 | 
| Procalcitonin, µg/L | 0.81 (0.24–5.93) | 0.64 (0.21–5.5) | 1.43 (0.33–6.92) | 0.051 | 
| Sodium, mEq/L | 138 (135–140) | 139 (136–140) | 138 (135–140) | 0.460 | 
| Potassium, mEq/L | 4.1 (3.8–4.4) | 4.1 (3.8–4.4) | 4.1 (3.8–4.5) | 0.902 | 
| Calcium, mg/dL | 8.7 (8.3–9.1) | 8.8 (8.4–9.1) | 8.6 (8.2–9) | 0.013 | 
| Lactate, mmol/L | 2.03 (1.55–2.80) | 2.06 (1.5–2.74) | 1.99 (1.62–2.97) | 0.729 | 
| Parameter | Overall n = 250 | Non-Octogenarian n = 163 | Octogenarian n = 87 | p | 
|---|---|---|---|---|
| Biliary drainage | 180 (72%) | 115 (70.6%) | 65 (74.7%) | 0.485 | 
| ERCP | 155 (62%) | 97 (59.5%) | 58 (66.7%) | |
| PTC | 25 (10%) | 18 (11%) | 7 (8%) | |
| None | 70 (28%) | 48 (29.4%) | 22 (25.3%) | |
| Time to drainage, hour | 120 (36–192) | 120 (42–192) | 96 (35–173) | 0.526 | 
| Length of hospital stay, day | 11 (7–17) | 10 (7–17) | 12 (8–17) | 0.587 | 
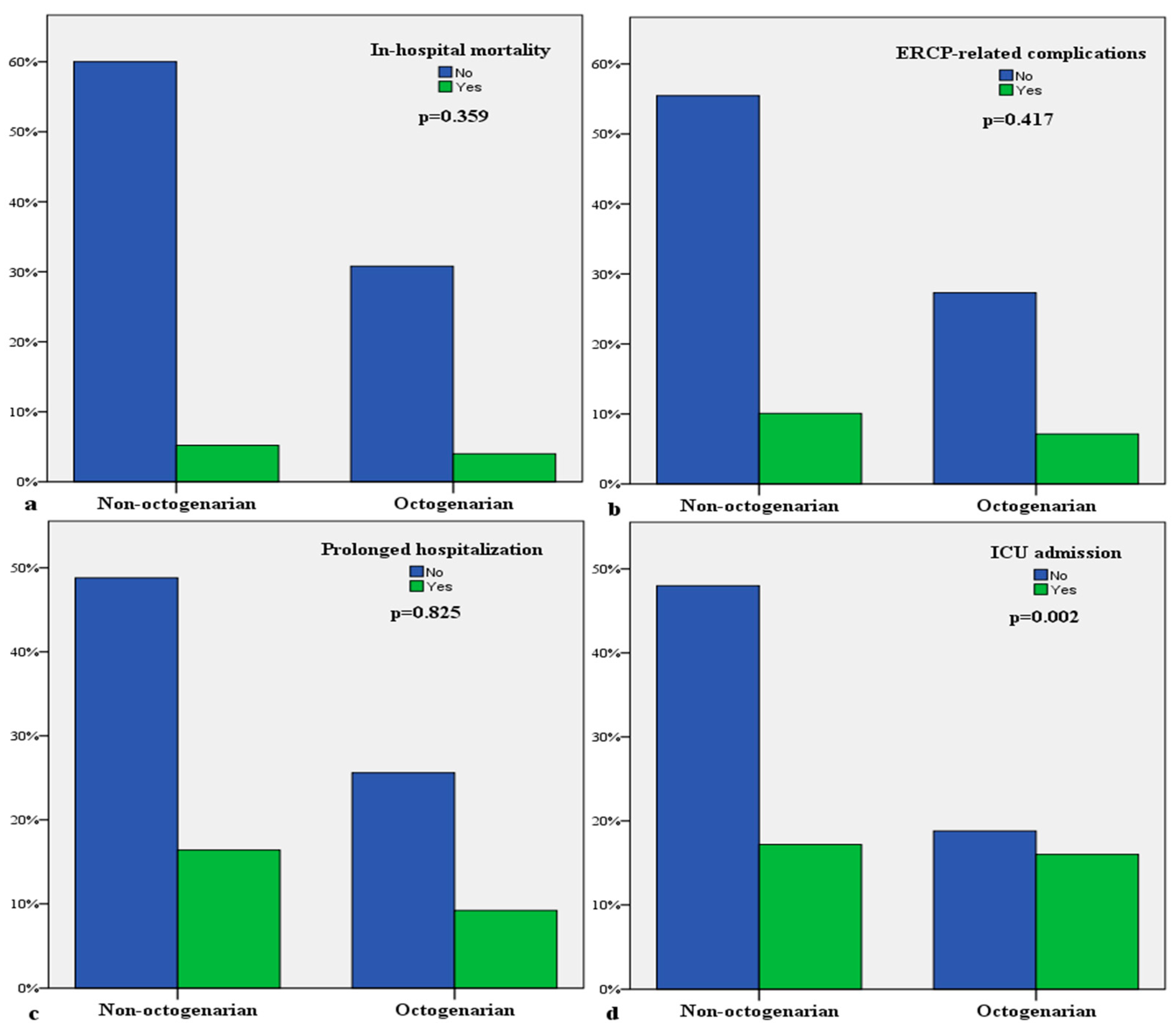
| Prolonged hospitalization, >75th percentile | 64 (25.6%) | 41 (25.2%) | 23 (26.4%) | 0.825 | 
| ICU admission | 83 (33.2%) | 43 (26.4%) | 40 (46%) | 0.002 | 
| Length of ICU stay, day | 7 (4–13) | 7 (4–14) | 7 (4–13) | 0.964 | 
| ERCP-related complications | 38 (21.1%) | 21 (18.3%) | 17 (26.2%) | 0.417 | 
| Pancreatitis | 33 (18.3%) | 19 (16.5%) | 14 (21.5%) | |
| Bleeding | 4 (2.2%) | 2 (1.74%) | 2 (3.08%) | |
| Perforation | 1 (0.55%) | 0 | 1 (1.54%) | |
| Anesthesia-related complication | 3 (1.66%) | 3 (2.6%) | 0 | |
| Inotrope requirement | 33 (13.2%) | 19 (11.7%) | 14 (16.1%) | 0.324 | 
| In-hospital mortality | 23 (9.2%) | 13 (8%) | 10 (11.5%) | 0.359 | 
| Bacteremia | 49 (19.6%) | 28 (17.2%) | 21 (24.1%) | 0.187 | 
| Gram-negative | 32 (65.3%) | 18 (64.3%) | 14 (66.7%) | |
| Gram-positive | 16 (34.7%) | 10 (35.7%) | 6 (28.6%) | 
| Parameter | Univariate Analysis | Multivariate Analysis | ||
|---|---|---|---|---|
| OR (95% CI) | p | OR (95% CI) | p | |
| Age | 1.04 (0.98–1.10) | 0.166 | ||
| Female gender | 1.99 (0.81–4.89) | 0.131 | ||
| Malignant etiology | 7.99 (3.22–19.81) | <0.001 | 5.68 (2.11–15.3) | <0.001 | 
| Systolic blood pressure | 0.97 (0.95–0.99) | 0.003 | ||
| Hemoglobin | 0.77 (0.61–0.98) | 0.032 | ||
| Platelet count | 1 (0.99–1.01) | 0.134 | ||
| Total bilirubin | 1.11 (1.04–1.19) | 0.002 | ||
| INR | 1.71 (0.53–5.53) | 0.368 | ||
| Creatinine | 0.66 (0.26–1.66) | 0.375 | ||
| Albumin | 0.14 (0.06–0.32) | <0.001 | 0.18 (0.07–0.45) | <0.001 | 
| C-reactive protein | 1 (0.99–1.01) | 0.903 | ||
| Procalcitonin | 1 (0.99–1.01) | 0.861 | ||
| TG18 severity grading | 2.34 (0.94–5.90) | 0.069 | ||
| Lactate | 1.31 (0.94–1.85) | 0.115 | ||
| Bacteremia | 8.533 (3.43–21.2) | <0.001 | ||
| Concomitant pancreatitis | 0.723 (0.26–2.03) | 0.538 | ||
| Concomitant cholecystitis | 0.599 (0.2–1.83) | 0.370 | ||
| Charlson comorbidity index | 2.06 (1.17–3.8) | 0.021 | ||
| SIRS score ≥ 2 | 2.72 (1.14–6.47) | 0.024 | ||
| qSOFA score ≥ 2 | 7.66 (2.48–23.61) | <0.001 | 6.5 (1.7–24.5) | 0.006 | 
| GCS score < 15 | 8.42 (3.26–21.75) | <0.001 | ||
| Cut-Off Value | Number (%) of Patients * | OR (95% CI) | Sens % | Spec % | PPV % | NPV % | |
|---|---|---|---|---|---|---|---|
| Albumin | <3.5 mg/dL | 63 (25.2) | 3.8 (1.6–9) | 52.2 | 77.5 | 19 | 94.1 | 
| Malignant etiology | - | 51 (20.4) | 8 (3.2–19.8) | 60.9 | 83.7 | 27.5 | 95.5 | 
| qSOFA score ≥ 2 | - | 16 (6.4) | 7.7 (2.5–23.6) | 26.1 | 95.6 | 37.5 | 92.7 | 
| Disclaimer/Publisher’s Note: The statements, opinions and data contained in all publications are solely those of the individual author(s) and contributor(s) and not of MDPI and/or the editor(s). MDPI and/or the editor(s) disclaim responsibility for any injury to people or property resulting from any ideas, methods, instructions or products referred to in the content. | 
© 2024 by the authors. Published by MDPI on behalf of the Lithuanian University of Health Sciences. Licensee MDPI, Basel, Switzerland. This article is an open access article distributed under the terms and conditions of the Creative Commons Attribution (CC BY) license (https://creativecommons.org/licenses/by/4.0/).
Share and Cite
Comoglu, M.; Acehan, F.; Sahiner, E.S.; Kalkan, C.; Comoglu, E.; Yılmaz, Y.; Canlı, T.; Ates, I. Clinical Features and Prognosis of Acute Cholangitis in Octogenarians: A Prospective Comparative Study. Medicina 2024, 60, 1759. https://doi.org/10.3390/medicina60111759
Comoglu M, Acehan F, Sahiner ES, Kalkan C, Comoglu E, Yılmaz Y, Canlı T, Ates I. Clinical Features and Prognosis of Acute Cholangitis in Octogenarians: A Prospective Comparative Study. Medicina. 2024; 60(11):1759. https://doi.org/10.3390/medicina60111759
Chicago/Turabian StyleComoglu, Mustafa, Fatih Acehan, Enes Seyda Sahiner, Cagdas Kalkan, Ezgi Comoglu, Yusufcan Yılmaz, Tolga Canlı, and Ihsan Ates. 2024. "Clinical Features and Prognosis of Acute Cholangitis in Octogenarians: A Prospective Comparative Study" Medicina 60, no. 11: 1759. https://doi.org/10.3390/medicina60111759
APA StyleComoglu, M., Acehan, F., Sahiner, E. S., Kalkan, C., Comoglu, E., Yılmaz, Y., Canlı, T., & Ates, I. (2024). Clinical Features and Prognosis of Acute Cholangitis in Octogenarians: A Prospective Comparative Study. Medicina, 60(11), 1759. https://doi.org/10.3390/medicina60111759
 
        


 
       