The Utility of C-Reactive Protein, Procalcitonin, and Leukocyte Values in Predicting the Prognosis of Patients with Pneumosepsis and Septic Shock
Abstract
1. Introduction
2. Materials and Methods
Statistical Analysis
3. Results
4. Discussion
5. Conclusions
Author Contributions
Funding
Institutional Review Board Statement
Informed Consent Statement
Data Availability Statement
Conflicts of Interest
References
- Evans, L.; Rhodes, A.; Alhazzani, W.; Antonelli, M.; Coopersmith, C.M.; French, C.; Machado, F.R.; Mcintyre, L.; Ostermann, M.; Prescott, H.C.; et al. Surviving sepsis campaign: International guidelines for management of sepsis and septic shock 2021. Crit. Care Med. 2021, 49, e1063–e1143. [Google Scholar] [CrossRef] [PubMed]
- Basodan, N.; Al Mehmadi, A.E.; Al Mehmadi, A.E.; Aldawood, S.M.; Hawsawi, A.; Fatini, F.; Mulla, Z.M.; Nawwab, W.; Alshareef, A.; Almhmadi, A.H.; et al. Septic shock: Management and outcomes. Cureus 2022, 14, e32158. [Google Scholar] [CrossRef]
- Kim, W.Y.; Lee, Y.J.; Lim, S.Y.; Koh, S.O.; Choi, W.I.; Kim, S.C.; Chon, G.R.; Kim, J.H.; Kim, J.Y.; Lim, J.; et al. Clinical characteristics and prognosis of pneumonia and sepsis: Multicenter study. Minerva Anestesiol. 2013, 79, 1356–1365. [Google Scholar] [PubMed]
- Lu, J.; Yu, X.; Li, N.; Wang, X.; Wang, P.; Xu, L. Clinical usefulness of procalcitonin and C-reactive protein as outcome predictors of septic shock. Int. J. Clin. Exp. Med. 2020, 13, 8721–8727. [Google Scholar]
- Langston, J.C.; Yang, Q.; Kiani, M.F.; Kilpatrick, L.E. Leukocyte phenotyping in sepsis using omics, functional analysis, and in silico modeling. Shock 2023, 59, 224–231. [Google Scholar] [CrossRef]
- Torres, L.K.; Pickkers, P.; van der Poll, T. Sepsis-induced immunosuppression. Ann. Rev. Physiol. 2022, 84, 157–181. [Google Scholar] [CrossRef] [PubMed]
- Davenport, E.E.; Burnham, K.L.; Radhakrishnan, J.; Humburg, P.; Hutton, P.; Mills, T.C.; Rautanen, A.; Gordon, A.C.; Garrard, C.; Hill, A.V.S.; et al. Genomic landscape of the individual host response and outcomes in sepsis: A prospective cohort study. Lancet Respir. Med. 2016, 4, 259–271. [Google Scholar] [CrossRef] [PubMed]
- Hassan, J.; Khan, S.; Zahra, R.; Razaq, A.; Zain, A.; Razaq, L.; Razaq, M. Role of procalcitonin and C-reactive protein as predictors of sepsis and in managing sepsis in postoperative patients: A systematic review. Cureus 2022, 14, e31067. [Google Scholar] [CrossRef] [PubMed]
- Ryu, J.-A.; Yang, J.H.; Lee, D.; Park, C.-M.; Suh, G.Y.; Jeon, K.; Cho, J.; Baek, S.Y.; Carriere, K.C.; Chung, C.R. Clinical Usefulness of Procalcitonin and C-Reactive Protein as Outcome Predictors in Critically Ill Patients with Severe Sepsis and Septic Shock. PLoS ONE. 2015, 10, e0138150. [Google Scholar] [CrossRef]
- Sayıner, A.; Babayigit, C.; Azap, A.; Yalci, A.; Coskun, A.S.; Edis, E.C.; Evren, E.; Basara, E.; Demirogen, E.; Altay, F.A.; et al. Turk Toraks Dernegi Erişkinlerde Toplumda Gelisen Pnomoniler Tani ve Tedavi Uzlasi Raporu; Türk Toraks Derneği: Ankara, Turkey, 2021; ISBN 978-605-74980-6-9. Available online: https://toraks.org.tr/site/sf/books/2024/06/2334b799b904002bede79d68345414f2293208f0dc7e52d28ed9c00e4489b229.pdf (accessed on 1 September 2024).
- Boussekey, N.; Leroy, O.; Alfandari, S.; Devos, P.; Georges, H.; Guery, B. Procalcitonin kinetics in the prognosis of severe community-acquired pneumonia. Intensiv. Care Med. 2006, 32, 469–472. [Google Scholar] [CrossRef]
- Hillas, G.; Vassilakopoulos, T.; Plantza, P.; Rasidakis, A.; Bakakos, P. C-reactive protein and procalcitonin as predictors of survival and septic shock in ventilator-associated pneumonia. Eur. Respir. J. 2010, 35, 805–811. [Google Scholar] [CrossRef] [PubMed]
- Carbonell, R.; Moreno, G.; Martín-Loeches, I.; Gomez-Bertomeu, F.; Sarvisé, C.; Gómez, J.; Bodí, M.; Díaz, E.; Papiol, E.; Trefler, S.; et al. Prognostic Value of Procalcitonin and C-Reactive Protein in 1608 Critically Ill Patients with Severe Influenza Pneumonia. Antibiotics 2021, 10, 350. [Google Scholar] [CrossRef] [PubMed]
- Schuetz, P.; Suter-Widmer, I.; Chaudri, A.; Christ-Crain, M.; Zimmerli, W.; Mueller, B. Prognostic value of procalcitonin in community-acquired pneumonia. Eur. Respir. J. 2011, 37, 384–392. [Google Scholar] [CrossRef]
- Zhydkov, A.; Christ-Crain, M.; Thomann, R.; Hoess, C.; Henzen, C.; Zimmerli, W.; Mueller, B.; Schuetz, P.; ProHOSP Study Group. Utility of procalcitonin, C-reactive protein and white blood cells alone and in combination for the prediction of clinical outcomes in community-acquired pneumonia. Clin. Chem. Lab. Med. 2015, 53, 559–566. [Google Scholar] [CrossRef] [PubMed]
- Shi, Y.; Xu, Y.C.; Rui, X.; Zhang, H.M.; Wang, Y.; Du, W. Procalcitonin kinetics and nosocomial pneumonia in older patients. Respir. Care 2014, 59, 1258–1266. [Google Scholar] [CrossRef] [PubMed]
- Poddar, B.; Gurjar, M.; Singh, S.; Aggarwal, A.; Singh, R.; Azim, A.; Baronia, A. Procalcitonin kinetics as a prognostic marker in severe sepsis/septic shock. Indian J. Crit. Care Med. Peer-Rev. Off. Publ. Indian Soc. Crit. Care Med. 2015, 19, 140. [Google Scholar] [CrossRef]
- Magrini, L.; Gagliano, G.; Travaglino, F.; Vetrone, F.; Marino, R.; Cardelli, P.; Salerno, G.; Di Somma, S. Comparison between white blood cell count, procalcitonin and C reactive protein as diagnostic and prognostic biomarkers of infection or sepsis in patients presenting to emergency department. Clin. Chem. Lab. Med. (CCLM) 2014, 52, 1465–1472. [Google Scholar] [CrossRef]
- Zhang, Y.; La, M.; Sun, J.; Chen, M.; Liu, D.; Liu, X.; Kang, Y. Diagnostic Value and Prognostic Significance of Procalcitonin Combined with C-Reactive Protein in Patients with Bacterial Bloodstream Infection. Comput. Math. Methods Med. 2022, 2022, 6989229. [Google Scholar] [CrossRef]
- Wang, J.; Gao, Y.; Zhu, J.; Huang, Y.; Li, W. Serum procalcitonin levels in predicting the prognosis of severe pneumonia patients and its correlation with white blood cell count and C-reactive protein levels. Int. J. Clin. Exp. Med. 2020, 13, 809–815. [Google Scholar]
- Zheng, N.; Zhu, D.; Han, Y. Procalcitonin and C-reactive protein perform better than the neutrophil/lymphocyte count ratio in evaluating hospital acquired pneumonia. BMC Pulm. Med. 2020, 20, 166. [Google Scholar] [CrossRef]
- Wacharasint, P.; Boyd, J.H.; Russell, J.A.; Walley, K.R. One size does not fit all in severe infection: Obesity alters outcome, susceptibility, treatment, and inflammatory response. Crit. Care 2013, 17, R122. [Google Scholar] [CrossRef] [PubMed]
- Wang, S.; Liu, X.; Chen, Q.; Liu, C.; Huang, C.; Fang, X. The role of increased body mass index in outcomes of sepsis: A systematic review and meta-analysis. BMC Anesthesiol. 2017, 17, 118. [Google Scholar] [CrossRef] [PubMed]
- Mica, L.; Vomela, J.; Keel, M.; Trentz, O. The impact of body mass index on the development of systemic inflammatory response syndrome and sepsis in patients with polytrauma. Injury 2012, 45, 253–258. [Google Scholar] [CrossRef] [PubMed]
- Zheng, Y.; Zheng, Y.; Zhou, Y.; Qi, X.; Chen, W.; Shi, W.; Zhou, W.; Yang, Z.; Chen, Y.; Mao, E.; et al. The clinical retrospective analysis of 674 hospitalized patients diagnosed with sepsis in a general hospital. J. Int. Med. Concepts Pract. 2022, 17, 278. [Google Scholar] [CrossRef]
- Suarez De La Rica, A.; Gilsanz, F.; Maseda, E. Epidemiologic trends of sepsis in western countries. Ann. Transl. Med. 2016, 4, 325. [Google Scholar] [CrossRef]
- Angele, M.K.; Pratschke, S.; Hubbard, W.J.; Chaudry, I.H. Gender differences in sepsis: Cardiovascular and immunological aspects. Virulence 2014, 5, 12–19. [Google Scholar] [CrossRef]
- Cao, L.; Xiao, M.; Wan, Y.; Zhang, C.; Gao, X.; Chen, X.; Zheng, X.; Xiao, X.; Yang, M.; Zhang, Y. Epidemiology and mortality of sepsis in intensive care units in prefecture-level cities in Sichuan, China: A prospective multicenter study. Med. Sci. Monit. 2021, 27, e932227-1. [Google Scholar] [CrossRef]
- Marwick, C.A.; Guthrie, B.; Pringle, J.E.; McLeod, S.R.; Evans, J.M.; Davey, P.G. Identifying which septic patients have increased mortality risk using severity scores: A cohort study. BMC Anesthesiol. 2014, 14, 1. [Google Scholar] [CrossRef]
- Hatem, S.A.; Haiba, D.E.M.; Sherif, Y.M.; Engy, S.A. CURB-65 versus APACHE II as a Prognostic Score to Assess Severity of Sepsis in Critically Ill Geriatric Patients. Med. J. Cairo Univ. 2021, 89, 2307–2318. [Google Scholar] [CrossRef]
- Yang, Y.; Yang, K.S.; Hsann, Y.M.; Lim, V.; Ong, B.C. The effect of comorbidity and age on hospital mortality and length of stay in patients with sepsis. J. Crit. Care 2010, 25, 398–405. [Google Scholar] [CrossRef]
- Emami, R.S.H.; Mohammadi, A.; Alibakhshi, A.; Jalali, M.; Ghajarzadeh, M. Incidence of post-operative sepsis and role of Charlson co-morbidity score for predicting postoperative sepsis. Acta Medica Iranica. 2016, 54, 318–322. [Google Scholar]
- Sinapidis, D.; Kosmas, V.; Vittoros, V.; Koutelidakis, I.M.; Pantazi, A.; Stefos, A.; Katsaros, K.E.; Akinosoglou, K.; Bristianou, M.; Toutouzas, K.; et al. Progression into sepsis: An individualized process varying by the interaction of comorbidities with the underlying infection. BMC Infect. Dis. 2018, 18, 242. [Google Scholar] [CrossRef] [PubMed]
- Huddle, N.; Arendts, G.; Macdonald, S.P.J.; Fatovich, D.M.; Brown, S.G.A. Is comorbid status the best predictor of one-year mortality in patients with severe sepsis and sepsis with shock? Anaesth. Intensiv. Care 2013, 41, 482–489. [Google Scholar] [CrossRef] [PubMed]
- Adrie, C.; Francais, A.; Alvarez-Gonzalez, A.; Mounier, R.; Azoulay, E.; Zahar, J.R.; Clec’h, C.; Goldgran-Toledano, D.; Hammer, L.; Descorps-Declere, A.; et al. Model for predicting short-term mortality of severe sepsis. Crit. Care 2009, 13, R72. [Google Scholar] [CrossRef] [PubMed]
- Jeeha, R.; Skinner, D.L.; De Vasconcellos, K.; Magula, N.P. Serum procalcitonin levels predict acute kidney injury in critically ill patients. Nephrology 2018, 23, 1090–1095. [Google Scholar] [CrossRef]
- Chun, K.; Chung, W.; Kim, A.J.; Kim, H.; Ro, H.; Chang, J.H.; Lee, H.H.; Jung, J.Y. Association between acute kidney injury and serum procalcitonin levels and their diagnostic usefulness in critically ill patients. Sci. Rep. 2019, 9, 4777. [Google Scholar] [CrossRef]



| 1-Month Mortality | 3-Month Mortality | ||||||
|---|---|---|---|---|---|---|---|
| (−) | (+) | p | (−) | (+) | p | ||
| Median/IQR | Median/IQR | Median/IQR | Median/IQR | ||||
| Age (year) | 72.50/19.00 | 74.00/18.00 | 0.245 | 71.00/18.50 | 74.50/19.00 | 0.134 | |
| BMI (kg/m2) | 25.90/6.90 | 24.20/5.17 | 0.001 | 26.20/8.20 | 24.20/5.34 | <0.001 | |
| CCIS | 6.00/4.00 | 7.00/3.00 | <0.001 | 6.00/4.00 | 7.00/2.00 | 0.001 | |
| CURB-65 | 3.00/2.00 | 4.00/1.00 | <0.001 | 3.00/1.00 | 4.00/1.00 | <0.001 | |
| APACHE II | 23.00/8.00 | 27.00/9.00 | <0.001 | 22.00/7.00 | 27.00/9.00 | <0.001 | |
| SOFA | 6.00/3.00 | 8.00/4.00 | 0.001 | 6.00/3.50 | 8.00/4.00 | <0.001 | |
| Length of stay in ICU (day) | 5.00/13.00 | 4.50/9.00 | 0.111 | 4.00/9.00 | 5.50/13.00 | 0.562 | |
| Duration of MV (day) | 0.00/6.00 | 2.00/5.00 | <0.001 | 0.00/4.00 | 2.00/7.00 | <0.001 | |
| n (%) | n (%) | ||||||
| Gender | Male | 64 (46.4%) | 67 (72.8%) | <0.001 | 49 (43.8%) | 82 (69.5%) | <0.001 |
| Female | 74 (53.6%) | 25 (27.2%) | 63 (56.3%) | 36 (30.5%) | |||
| Sepsis/Septic shock | Sepsis | 112(81.2%) | 34 (37.0%) | <0.001 | 100 (89.3%) | 46 (39.0%) | <0.001 |
| Septic shock | 26 (18.8%) | 58 (63.0%) | 12 (10.7%) | 72 (61.0%) | |||
| Discharge | No | 5 (3.6%) | 75 (81.5%) | <0.001 | 2 (1.8%) | 78 (66.1%) | <0.001 |
| Yes | 133 (96.4%) | 17 (18.5%) | 110 (98.2%) | 40 (33.9%) | |||
| Need for RRT | No | 113 (81.9%) | 72 (78.3%) | 0.497 | 95 (84.8%) | 90 (76.3%) | 0.102 |
| Yes | 25 (18.1%) | 20 (21.7%) | 17 (15.2%) | 28 (23.7%) | |||
| Need for inotropic support | No | 105 (76.1%) | 28 (30.4%) | <0.001 | 98 (87.5%) | 35 (29.7%) | <0.001 |
| Yes | 33 (23.9%) | 64 (69.6%) | 14 (12.5%) | 83 (70.3%) | |||
| Antibiyotic | Monotherapy | 68 (49.3%) | 45 (48.9%) | 0.957 | 59 (52.7%) | 54 (45.8%) | 0.294 |
| Combined therapy | 70 (50.7%) | 47 (51.1%) | 53 (47.3%) | 64 (54.2%) | |||
| 1-Month Mortality | 3-Month Mortality | |||||
|---|---|---|---|---|---|---|
| (−) | (+) | p | (−) | (+) | p | |
| Median/IQR | Median/IQR | Median/IQR | Median/IQR | |||
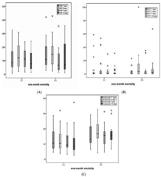
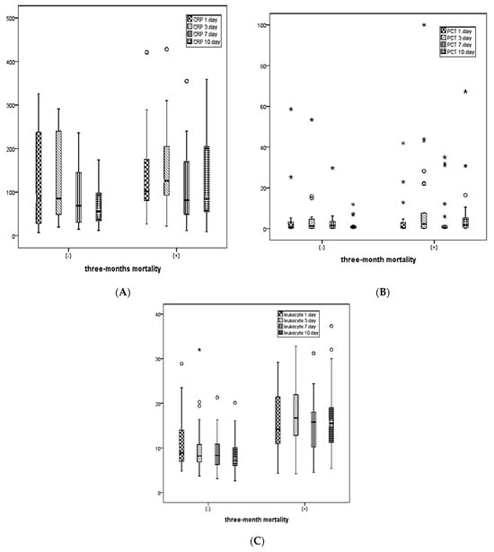
| CRP day 1 (mg/L) | 98.90/138.00 | 128.40/125.50 | 0.049 | 98.00/147.50 | 117.00/115.00 | 0.028 |
| CRP day 3 (mg/L) | 108.00/88.50 | 145.00/135.00 | 0.008 | 99.20/94.00 | 134.00/129.00 | 0.001 |
| CRP day 7 (mg/L) | 78.00/88.00 | 68.80/161.00 | 0.176 | 68.15/104.70 | 92.45/131.00 | 0.008 |
| CRP day 10 (mg/L) | 78.00/113.70 | 68.00/186.00 | 0.793 | 56.00/64.50 | 84.00/150.00 | 0.021 |
| PCT day 1 (ng/mL) | 0.87/2.55 | 1.15/10.40 | 0.066 | 0.77/2.59 | 1.15/7.99 | 0.019 |
| PCT day 3 (ng/mL) | 0.50/2.59 | 3.40/13.30 | <0.001 | 0.42/2.42 | 2.40/9.20 | <0.001 |
| PCT day 7 (ng/mL) | 0.55/1.79 | 1.03/3.18 | 0.126 | 0.45/1.91 | 0.95/3.16 | 0.027 |
| PCT day 10 (ng/mL) | 0.79/1.56 | 2.55/6.41 | 0.020 | 0.79/1.19 | 1.75/4.87 | 0.048 |
| Leukocyte day 1 (×103 µL) | 11.50/10.10 | 11.60/11.80 | 0.429 | 10.80/7.80 | 12.85/12.30 | 0.049 |
| Leukocyte day 3 (×103 µL) | 10.01/6.50 | 13.90/11.80 | 0.018 | 9.55/5.30 | 13.80/10.90 | <0.001 |
| Leukocyte day 7 (×103 µL) | 9.40/5.00 | 11.70/9.36 | 0.062 | 8.90/4.00 | 11.85/8.60 | 0.002 |
| Leukocyte day 10 (×103 µL) | 8.60/7.70 | 15.75/5.70 | <0.001 | 7.20/4.10 | 15.50/7.80 | <0.001 |
| Hemoglobin (g/dL) | 10.60/3.50 | 10.20/3.30 | 0.998 | 10.65/3.30 | 10.20/3.40 | 0.885 |
| Platelet (×103 µL) | 216.00/120.00 | 221.00/174.00 | 0.270 | 217.00/102.00 | 208.00/167.00 | 0.753 |
| GFR (mL/dk) | 64.00/57.00 | 53.50/54.70 | 0.420 | 62.00/57.00 | 61.00/56.00 | 0.873 |
| Creatinine (mg/dL) | 1.07/1.00 | 1.20/1.12 | 0.319 | 1.10/1.00 | 1.01/1.14 | 0.589 |
| BUN (mg/dL) | 56.50/70.00 | 53.00/34.50 | 0.698 | 56.00/61.70 | 54.00/37.00 | 0.161 |
| AST (IU/L) | 22.50/18.00 | 23.00/40.00 | 0.097 | 19.50/14.50 | 25.50/25.00 | 0.001 |
| ALT (IU/L) | 14.50/14.00 | 18.00/45.00 | 0.039 | 14.00/11.00 | 18.00/32.00 | 0.028 |
| Total bilirubin (mg/dL) | 0.50/0.60 | 1.15/1.40 | <0.001 | 0.50/0.50 | 1.00/1.10 | <0.001 |
| Albumin (g/L) | 24.00/27.90 | 3.30/22.30 | <0.001 | 27.00/30.25 | 23.45/22.40 | <0.001 |
| Univariate Logistic Regression | Multivariate Logistic Regression | |||||||||
|---|---|---|---|---|---|---|---|---|---|---|
| Wald | p | OR | 95% C.I. for OR | Wald | p | OR | 95% C.I. for OR | |||
| Lower | Upper | Lower | Upper | |||||||
| Age (year) | 4.180 | 0.041 | 1.019 | 1.001 | 1.037 | 3.805 | 0.051 | 0.973 | 0.947 | 1.000 |
| BMI (kg/m2) | 9.469 | 0.002 | 0.936 | 2.897 | 2.976 | 11.665 | 0.001 | 0.916 | 0.871 | 0.963 |
| Gender (ref cat–female) | 15.217 | <0.001 | 3.099 | 1.755 | 5.470 | 14.542 | <0.001 | 4.285 | 2.028 | 9.051 |
| CCIS | 12.877 | <0.001 | 1.227 | 1.097 | 1.372 | 9.995 | 0.002 | 1.334 | 1.116 | 1.596 |
| CURB-65 | 31.581 | <0.001 | 2.600 | 1.863 | 3.629 | 14.525 | <0.001 | 2.470 | 1.551 | 3.932 |
| APACHE-II | 20.952 | <0.001 | 1.096 | 1.054 | 1.140 | 5.007 | 0.025 | 1.077 | 1.009 | 1.149 |
| SOFA | 14.854 | <0.001 | 1.180 | 1.085 | 1.284 | 0.005 | 0.942 | 0.995 | 0.871 | 1.137 |
| LOS ICU | 5.114 | 0.024 | 0.962 | 2.931 | 2.995 | 10.329 | 0.001 | 0.924 | 0.880 | 0.970 |
| Need for RRT | 2.459 | 0.498 | 1.256 | 2.650 | 2.425 | |||||
| Antibiyotic Mono/Comb | 2.003 | 0.957 | 1.015 | 2.599 | 1.720 | |||||
| CRP day 1 (mg/L) | 2.427 | 0.119 | 1.002 | 2.999 | 1.005 | 0.005 | 0.943 | 1.000 | 0.996 | 1.004 |
| PCT day 1 (ng/mL) | 2.571 | 0.109 | 1.017 | 2.996 | 1.039 | 0.378 | 0.539 | 0.990 | 0.957 | 1.023 |
| Leukocyte Day 1 (×103 µL) | 3.927 | 0.048 | 1.034 | 1.000 | 1.069 | 0.321 | 0.571 | 1.012 | 0.971 | 1.054 |
| Univariate Logistic Regression | Multivariate Logistic Regression | |||||||||
|---|---|---|---|---|---|---|---|---|---|---|
| Wald | p | OR | 95% C.I. for OR | Wald | p | OR | 95% C.I. for OR | |||
| Lower | Upper | Lower | Upper | |||||||
| Age (year) | 4.744 | 0.029 | 1.019 | 1.002 | 1.036 | 4.626 | 0.031 | 0.969 | 0.942 | 0.997 |
| BMI (kg/m2) | 15.713 | <0.001 | 0.918 | 0.879 | 0.957 | 17.269 | <0.001 | 0.881 | 0.829 | 0.935 |
| Gender (ref cat–female) | 15.141 | <0.001 | 2.929 | 1.705 | 5.032 | 20.324 | <0.001 | 0.158 | 0.071 | 0.352 |
| CCIS | 11.803 | 0.001 | 1.214 | 1.087 | 1.356 | 5.349 | 0.021 | 1.261 | 1.036 | 1.535 |
| CURB-65 | 48.032 | <0.001 | 4.009 | 2.707 | 5.937 | 25.460 | <0.001 | 4.081 | 2.363 | 7.047 |
| APACHE-II | 26.617 | <0.001 | 1.121 | 1.073 | 1.171 | 8.654 | 0.003 | 1.105 | 1.034 | 1.182 |
| SOFA | 17.294 | <0.001 | 1.217 | 1.110 | 1.336 | 1.473 | 0.225 | 0.913 | 0.787 | 1.058 |
| LOS ICU | 0.582 | 0.445 | 0.991 | 0.968 | 1.015 | |||||
| Need for RRT | 2.633 | 0.105 | 1.739 | 0.891 | 3.391 | 0.968 | 0.325 | 1.618 | 0.620 | 4.221 |
| Antibiyotic Mono/Comb | 1.098 | 0.295 | 1.319 | 0.786 | 2.216 | |||||
| CRP day 1 (mg/L) | 1.999 | 0.157 | 1.002 | 0.999 | 1.005 | 0.008 | 0.928 | 1.000 | 0.996 | 1.004 |
| PCT day 1 (ng/mL) | 1.184 | 0.277 | 1.012 | 0.991 | 1.033 | |||||
| Leukocyte Day 1 (×103 µL) | 6.353 | 0.012 | 1.047 | 1.010 | 1.085 | 1.531 | 0.216 | 1.031 | 0.983 | 1.081 |
Disclaimer/Publisher’s Note: The statements, opinions and data contained in all publications are solely those of the individual author(s) and contributor(s) and not of MDPI and/or the editor(s). MDPI and/or the editor(s) disclaim responsibility for any injury to people or property resulting from any ideas, methods, instructions or products referred to in the content. |
© 2024 by the authors. Published by MDPI on behalf of the Lithuanian University of Health Sciences. Licensee MDPI, Basel, Switzerland. This article is an open access article distributed under the terms and conditions of the Creative Commons Attribution (CC BY) license (https://creativecommons.org/licenses/by/4.0/).
Share and Cite
Doganci, M.; Eraslan Doganay, G.; Sazak, H.; Alagöz, A.; Cirik, M.O.; Hoşgün, D.; Cakiroglu, E.B.; Yildiz, M.; Ari, M.; Ozdemir, T.; et al. The Utility of C-Reactive Protein, Procalcitonin, and Leukocyte Values in Predicting the Prognosis of Patients with Pneumosepsis and Septic Shock. Medicina 2024, 60, 1560. https://doi.org/10.3390/medicina60101560
Doganci M, Eraslan Doganay G, Sazak H, Alagöz A, Cirik MO, Hoşgün D, Cakiroglu EB, Yildiz M, Ari M, Ozdemir T, et al. The Utility of C-Reactive Protein, Procalcitonin, and Leukocyte Values in Predicting the Prognosis of Patients with Pneumosepsis and Septic Shock. Medicina. 2024; 60(10):1560. https://doi.org/10.3390/medicina60101560
Chicago/Turabian StyleDoganci, Melek, Guler Eraslan Doganay, Hilal Sazak, Ali Alagöz, Mustafa Ozgur Cirik, Derya Hoşgün, Emine Banu Cakiroglu, Murat Yildiz, Maside Ari, Tarkan Ozdemir, and et al. 2024. "The Utility of C-Reactive Protein, Procalcitonin, and Leukocyte Values in Predicting the Prognosis of Patients with Pneumosepsis and Septic Shock" Medicina 60, no. 10: 1560. https://doi.org/10.3390/medicina60101560
APA StyleDoganci, M., Eraslan Doganay, G., Sazak, H., Alagöz, A., Cirik, M. O., Hoşgün, D., Cakiroglu, E. B., Yildiz, M., Ari, M., Ozdemir, T., & Kizilgoz, D. (2024). The Utility of C-Reactive Protein, Procalcitonin, and Leukocyte Values in Predicting the Prognosis of Patients with Pneumosepsis and Septic Shock. Medicina, 60(10), 1560. https://doi.org/10.3390/medicina60101560

