Comparison of Postoperative Nausea and Vomiting Incidence between Remimazolam and Sevoflurane in Tympanoplasty with Mastoidectomy: A Single-Center, Double-Blind, Randomized Controlled Trial
Abstract
1. Introduction
2. Materials and Methods
3. Results
4. Discussion
5. Conclusions
Author Contributions
Funding
Institutional Review Board Statement
Informed Consent Statement
Data Availability Statement
Acknowledgments
Conflicts of Interest
References
- Apfel, C.C.; Läärä, E.; Koivuranta, M.; Greim, C.A.; Roewer, N. A simplified risk score for predicting postoperative nausea and vomiting. Anesthesiology 1999, 91, 693–700. [Google Scholar] [CrossRef]
- Kakuta, N.; Kume, K.; Hamaguchi, E.; Tsutsumi, R.; Mita, N.; Tanaka, K.; Tsutsumi, Y.M. The effects of intravenous fosaprepitant and ondansetron in the prevention of postoperative nausea and vomiting in patients who underwent lower limb surgery: A prospective, randomized, double-blind study. J. Anesth. 2015, 29, 836–841. [Google Scholar] [CrossRef]
- Uemura, Y.; Sakai, Y.; Tsutsumi, Y.M.; Kakuta, N.; Murakami, C.; Satomi, S.; Oyama, T.; Ohshita, N.; Takasago, T.; Hamada, D.; et al. Postoperative nausea and vomiting following lower limb surgery: A comparison between single-injection intraarticular anesthesia and continuous epidural anesthesia. J. Med. Investig. 2019, 66, 303–307. [Google Scholar] [CrossRef]
- Gan, T.J.; Belani, K.G.; Bergese, S.; Chung, F.; Diemunsch, P.; Habib, A.S.; Jin, Z.; Kovac, A.L.; Meyer, T.A.; Urman, R.D.; et al. Fourth Consensus Guidelines for the management of postoperative nausea and vomiting. Anesth. Analg. 2020, 131, 411–448. [Google Scholar] [CrossRef]
- Honkavaara, P. Effect of ondansetron on nausea and vomiting after middle ear surgery during general anaesthesia. Br. J. Anaesth. 1996, 76, 316–318. [Google Scholar] [CrossRef]
- Jung, J.S.; Park, J.S.; Kim, S.O.; Lim, D.G.; Park, S.S.; Kwak, K.H.; Cho, J.D.; Jeon, Y.H. Prophylactic antiemetic effect of midazolam after middle ear surgery. Otolaryngol. Head Neck Surg. 2007, 137, 753–756. [Google Scholar] [CrossRef]
- Carr, A.S. Prevention and treatment of post-operative nausea and vomiting in children. Core Top Paediatr. Anaesth. 2011, 62, 184–190. [Google Scholar]
- Fujii, Y. Clinical strategies for preventing postoperative nausea and vomiting after middle ear surgery in adult patients. Curr. Drug Saf. 2008, 3, 230–239. [Google Scholar] [CrossRef]
- Apfel, C.C.; Kranke, P.; Katz, M.H.; Goepfert, C.; Papenfuss, T.; Rauch, S.; Heineck, R.; Greim, C.-A.; Roewer, N. Volatile anaesthetics may be the main cause of early but not delayed postoperative vomiting: A randomized controlled trial of factorial design. Br. J. Anaesth. 2002, 88, 659–668. [Google Scholar] [CrossRef]
- Apfel, C.C.; Stoecklein, K.; Lipfert, P. PONV: A problem of inhalational anaesthesia? Best Pract. Res. Clin. Anaesthesiol. 2005, 19, 485–500. [Google Scholar] [CrossRef]
- Lee, D.W.; Lee, H.G.; Jeong, C.Y.; Jeong, S.W.; Lee, S.H. Postoperative nausea and vomiting after mastoidectomy with tympanoplasty: A comparison between TIVA with propofol-remifentanil and balanced anesthesia with sevoflurane-remifentanil. Korean J. Anesthesiol. 2011, 61, 399–404. [Google Scholar] [CrossRef]
- Tramèr, M.; Moore, A.; McQuay, H. Propofol anaesthesia and postoperative nausea and vomiting: Quantitative systematic review of randomized controlled studies. Br. J. Anaesth. 1997, 78, 247–255. [Google Scholar] [CrossRef]
- Ahn, E.J.; Kang, H.; Choi, G.J.; Baek, C.W.; Jung, Y.H.; Woo, Y.C. The effectiveness of midazolam for preventing postoperative nausea and vomiting: A systematic review and meta-analysis. Anesth. Analg. 2016, 122, 664–676. [Google Scholar] [CrossRef]
- Zhang, X.; Li, S.; Liu, J. Efficacy and safety of remimazolam besylate versus propofol during hysteroscopy: Single-centre randomized controlled trial. BMC Anesthesiol. 2021, 21, 156. [Google Scholar]
- Choi, J.Y.; Lee, H.S.; Kim, J.Y.; Han, D.W.; Yang, J.Y.; Kim, M.J.; Song, Y. Comparison of remimazolam-based and propofol-based total intravenous anesthesia on postoperative quality of recovery: A randomized non-inferiority trial. J. Clin. Anesth. 2022, 82, 110955. [Google Scholar] [CrossRef]
- Sneyd, J.R.; Gambus, P.L.; Rigby-Jones, A.E. Current status of perioperative hypnotics, role of benzodiazepines, and the case for remimazolam: A narrative review. Br. J. Anaesth. 2021, 127, 41–55. [Google Scholar] [CrossRef]
- Wesolowski, A.M.; Zaccagnino, M.P.; Malapero, R.J.; Kaye, A.D.; Urman, R.D. Remimazolam: Pharmacologic considerations and clinical role in anesthesiology. Pharmacotherapy 2016, 36, 1021–1027. [Google Scholar] [CrossRef]
- Oka, S.; Satomi, H.; Sekino, R.; Taguchi, K.; Kajiwara, M.; Oi, Y.; Kobayashi, R. Sedation outcomes for remimazolam, a new benzodiazepine. J. Oral Sci. 2021, 63, 209–211. [Google Scholar] [CrossRef]
- Kilpatrick, G.J.; McIntyre, M.S.; Cox, R.F.; Stafford, J.A.; Pacofsky, G.J.; Lovell, G.G.; Tilbrook, G.S. A novel ultra–short-acting benzodiazepine. Anesthesiology 2007, 107, 60–66. [Google Scholar] [CrossRef]
- Kim, K.M. Remimazolam: Pharmacological characteristics and clinical applications in anesthesiology. Anesth. Pain Med. 2022, 17, 1–11. [Google Scholar] [CrossRef]
- Kim, S.H.; Fechner, J. Remimazolam—Current knowledge on a new intravenous benzodiazepine anesthetic agent. Korean J. Anesthesiol. 2022, 75, 307–315. [Google Scholar] [CrossRef]
- Watcha, M.F.; White, P.F. Postoperative nausea and vomiting. Anesthesiology 1992, 77, 162–184. [Google Scholar] [CrossRef]
- Perreault, L.; Normandin, N.; Plamondon, L.; Blain, R.; Rousseau, P.; Girard, M.; Forget, G. Middle ear pressure variations during nitrous oxide and oxygen anaesthesia. Can. J. Anesth. 1982, 29, 428–434. [Google Scholar] [CrossRef]
- Ji, F.H.; Wang, D.; Zhang, J.; Liu, H.Y.; Peng, K. Effects of propofol anesthesia versus sevoflurane anesthesia on postoperative pain after radical gastrectomy: A randomized controlled trial. J. Pain Res. 2018, 11, 1247–1254. [Google Scholar] [CrossRef]
- Patt, R.B.; Proper, G.; Reddy, S. The neuroleptics as adjuvant analgesics. J. Pain Symptom Manag. 1994, 9, 446–453. [Google Scholar] [CrossRef]
- Xie, H.; Lu, F.; Liu, W.; Wang, E.; Wang, L.; Zhong, M. Remimazolam alleviates neuropathic pain via regulating bradykinin receptor B1 and autophagy. J. Pharm. Pharmacol. 2021, 73, 1643–1651. [Google Scholar] [CrossRef]
- Dhande, K.; Kshirsagar, J.; Dhande, A.; Patil, N.; Parvati, V., Jr. Hemodynamic stability, patient acceptance and cost of intravenous propofol and inhalational sevoflurane for induction of anaesthesia: A prospective, randomized comparative study. Cureus 2020, 12, e7687. [Google Scholar] [CrossRef]
- Kim, C.H.; Yoon, J.Y.; Byeon, G.J.; Kim, H.Y.; Choi, E.J. Comparison of postoperative nausea and vomiting between remimazolam and propofol in patients undergoing oral and maxillofacial surgery: A prospective randomized controlled trial. BMC Anesthesiol. 2023, 23, 132. [Google Scholar] [CrossRef]
- Chiang, M.H.; Wu, S.C.; Hsu, S.W.; Chin, J.C. Bispectral index and non-bispectral index anesthetic protocols on postoperative recovery outcomes. Minerva. Anestesiol. 2018, 84, 216–228. [Google Scholar] [CrossRef]
- Shirozu, K.; Nobukuni, K.; Tsumura, S.; Imura, K.; Nakashima, K.; Takamori, S.; Higashi, M.; Yamaura, K. Neurological sedative indicators during general anesthesia with remimazolam. J. Anesth. 2022, 36, 194–200. [Google Scholar] [CrossRef]


| Variable | Group | Absolute Standardized Difference | p Value | ||
|---|---|---|---|---|---|
| Overall (n = 76) | Remimazolam (n = 38) | Sevoflurane (n = 38) | |||
| Sex | |||||
| Male | 33 (43.4) | 18 (47.4) | 15 (39.5) | 0.16 | 0.488 3 |
| Female | 43 (56.6) | 20 (52.6) | 23 (60.5) | ||
| Age (yr) | |||||
| Mean ± SD | 54.8 ± 13.2 | 55.7 ± 11.4 | 53.9 ± 14.9 | 0.13 | 0.856 2 |
| Median (IQR) | 59.0 (50.0–63.0) | 59.5 (50.0–63.0) | 58.0 (50.0–64.0) | ||
| Height (cm) | |||||
| Mean ± SD | 162.1 ± 9.6 | 161.9 ± 8.4 | 162.2 ± 10.7 | 0.04 | 0.867 1 |
| Median (IQR) | 162.4 (153.5–169.7) | 162.6 (154.2–167.3) | 162.3 (153.0–170.8) | ||
| Weight (kg) | |||||
| Mean ± SD | 65.9 ± 12.6 | 65.0 ± 10.5 | 66.8 ± 14.4 | 0.15 | 0.938 2 |
| Median (IQR) | 63.5 (57.1–71.0) | 63.9 (57.9–70.9) | 62.6 (56.8–71.9) | ||
| BMI (kg/m2) | |||||
| Mean ± SD | 24.9 ± 3.0 | 24.7 ± 3.0 | 25.2 ± 3.0 | 0.14 | 0.541 1 |
| Median (IQR) | 24.8 (23.4–26.5) | 24.7 (23.4–26.4) | 25.0 (23.3–26.6) | ||
| ASA physical status | |||||
| 1 | 21 (27.6) | 12 (31.6) | 9 (23.7) | 0.18 | 0.792 4 |
| 2 | 47 (61.8) | 22 (57.9) | 25 (65.8) | 0.16 | |
| 3 | 8 (10.5) | 4 (10.5) | 4 (10.5) | 0.00 | |
| Risk factors for PONV | |||||
| Smoking history | |||||
| Yes | 12 (15.8) | 7 (18.4) | 5 (13.2) | 0.14 | 0.529 3 |
| No | 64 (84.2) | 31 (81.6) | 33 (86.8) | ||
| History of motion sickness and/or PONV | |||||
| Yes | 0 (0.0) | 0 (0.0) | 0 (0.0) | 0.00 | - |
| No | 76 (100.0) | 38 (100.0) | 38 (100.0) | ||
| Postoperative opioid use | |||||
| Yes | 0 (0.0) | 0 (0.0) | 0 (0.0) | 0.00 | - |
| No | 76 (100.0) | 38 (100.0) | 38 (100.0) | ||
| Total score (Apfel score) | |||||
| 0 | 9 (11.8) | 5 (13.2) | 4 (10.5) | 0.08 | 0.719 4 |
| 1 | 27 (35.5) | 15 (39.5) | 12 (31.6) | 0.16 | |
| 2 | 40 (52.6) | 18 (47.4) | 22 (57.9) | 0.21 | |
| 3 | (0.0) | (0.0) | (0.0) | 0.00 | |
| 4 | (0.0) | (0.0) | (0.0) | 0.00 | |
| Comorbidity | |||||
| HTN | |||||
| Yes | 19 (25.0) | 10 (26.3) | 9 (23.7) | 0.06 | 0.791 3 |
| No | 57 (75.0) | 28 (73.7) | 29 (76.3) | ||
| DM | |||||
| Yes | 15 (19.7) | 7 (18.4) | 8 (21.1) | 0.07 | 0.773 3 |
| No | 61 (80.3) | 31 (81.6) | 30 (78.9) | ||
| Diagnosis | |||||
| Cholesteatoma | |||||
| Yes | 22 (28.9) | 12 (31.6) | 10 (26.3) | 0.12 | 0.613 3 |
| No | 54 (71.1) | 26 (68.4) | 28 (73.7) | ||
| COM | |||||
| Yes | 54 (71.1) | 26 (68.4) | 28 (73.7) | 0.12 | 0.613 3 |
| No | 22 (28.9) | 12 (31.6) | 10 (26.3) | ||
| Duration of anesthesia (min) | |||||
| Mean ± SD | 174.5 ± 37.5 | 172.0 ± 35.7 | 177.0 ± 39.6 | 0.13 | 0.539 2 |
| Median (IQR) | 172.5 (150.0–195.0) | 170.0 (150.0–195.0) | 180.0 (149.0–200.0) | ||
| Duration of surgery (min) | |||||
| Mean ± SD | 138.1 ± 34.5 | 138.7 ± 31.8 | 137.6 ± 37.4 | 0.03 | 0.795 2 |
| Median (IQR) | 140.0 (115.0–155.0) | 140.0 (119.0–155.0) | 140.5 (109.0–156.0) | ||
| Fluid volume (mL) | |||||
| Mean ± SD | 975.7 ± 143.6 | 973.7 ± 144.1 | 977.6 ± 145.1 | 0.03 | 0.906 1 |
| Median (IQR) | 950.0 (900.0–1050.0) | 950.0 (900.0–1060.0) | 950.0 (887.5–1060.0) | ||
| Total amount of remifentanil (mg) | |||||
| Mean ± SD | 0.4 ± 0.4 | 0.6 ± 0.4 | 0.2 ± 0.2 | 1.13 | <0.001 2 |
| Median (IQR) | 0.3 (0.2–0.5) | 0.5 (0.3–0.8) | 0.2 (0.1–0.2) | ||
| Total amount of remimazolam (mg) | |||||
| Mean ± SD | 110.4 ± 111.4 | 209.7 ± 69.9 | 11.1 ± 2.8 | 4.02 | <0.001 2 |
| Median (IQR) | 69.5 (11.0–198.0) | 198.0 (159.0–240.0) | 11.0 (9.0–12.0) | ||
| Adverse hemodynamic events | |||||
| Number of hypotension | |||||
| 0 | 59 (77.6) | 37 (97.4) | 2 2(57.9) | 1.06 | <0.001 4 |
| 1 | 5 (6.6) | 1 (2.6) | 4 (10.5) | 0.32 | |
| 2 | 2 (2.6) | 0 (0.0) | 2 (5.3) | 0.33 | |
| 3 | 5 (6.6) | 0 (0.0) | 5 (13.2) | 0.54 | |
| 4 | 4 (5.3) | 0 (0.0) | 4 (10.5) | 0.48 | |
| 5 | 1 (1.3) | 0 (0.0) | 1 (2.6) | 0.23 | |
| Number of bradycardia or tachycardia | |||||
| 0 | 73 (96.1) | 37 (97.4) | 36 (94.7) | 0.13 | 1.000 4 |
| 1 | 3 (3.9) | 1 (2.6) | 2 (5.3) | ||
| Total amount of phenylephrine (mcg) | |||||
| Mean ± SD | 25.0 ± 73.3 | 0.0 ± 0.0 | 50.0 ± 98.0 | 0.72 | 0.002 2 |
| Median (IQR) | 0.0 (0.0–0.0) | 0.0 (0.0–0.0) | 0.0 (0.0–25.0) | ||
| Total amount of ephedrine (mg) | |||||
| Mean ± SD | 2.1 ± 5.0 | 0.3 ± 1.6 | 3.9 ± 6.4 | 0.79 | <0.001 2 |
| Median (IQR) | 0.0 (0.0–0.0) | 0.0 (0.0–0.0) | 0.0 (0.0–10.0) | ||
| Variable | Group | p Value | ||
|---|---|---|---|---|
| Overall (n = 76) | Remimazolam (n = 38) | Sevoflurane (n = 38) | ||
| 0–12 h | ||||
| PONV | ||||
| Yes | 33 (43.4) | 11 (28.9) | 22 (57.9) | 0.011 1 |
| No | 43 (56.6) | 27 (71.1) | 16 (42.1) | |
| PONV severity | ||||
| 0 | 43 (56.6) | 27 (71.1) | 16 (42.1) | 0.033 2 |
| 1 | 12 (15.8) | 6 (15.8) | 6 (15.8) | |
| 2 | 13 (17.1) | 3 (7.9) | 10 (26.3) | |
| 3 | 8 (10.5) | 2 (5.3) | 6 (15.8) | |
| 12–24 h | ||||
| PONV | ||||
| Yes | 10 (13.2) | 4 (10.5) | 6 (15.8) | 0.497 1 |
| No | 66 (86.8) | 34 (89.5) | 32 (84.2) | |
| PONV severity | ||||
| 0 | 66 (86.8) | 34 (89.5) | 32 (84.2) | 0.791 2 |
| 1 | 5 (6.6) | 2 (5.3) | 3 (7.9) | |
| 2 | 5 (6.6) | 2 (5.3) | 3 (7.9) | |
| 3 | 0 (0.0) | 0 (0.0) | 0 (0.0) | |
| 24–48 h | ||||
| PONV | ||||
| Yes | 2 (2.6) | 1 (2.6) | 1 (2.6) | 1.000 2 |
| No | 74 (97.4) | 37 (97.4) | 37 (97.4) | |
| PONV severity | ||||
| 0 | 74 (97.4) | 37 (97.4) | 37 (97.4) | 1.000 2 |
| 1 | 2 (2.6) | 1 (2.6) | 1 (2.6) | |
| 2 | 0 (0.0) | 0 (0.0) | 0 (0.0) | |
| 3 | 0 (0.0) | 0 (0.0) | 0 (0.0) | |
| 0–48 h | ||||
| Vomiting | ||||
| Yes | 3 (3.9) | 1 (2.6) | 2 (5.3) | 1.000 2 |
| No | 73 (96.1) | 37 (97.4) | 36 (94.7) | |
| Antiemetic rescue | ||||
| Yes | 8 (10.5) | 2 (5.3) | 6 (15.8) | 0.262 2 |
| No | 68 (89.5) | 36 (94.7) | 32 (84.2) | |
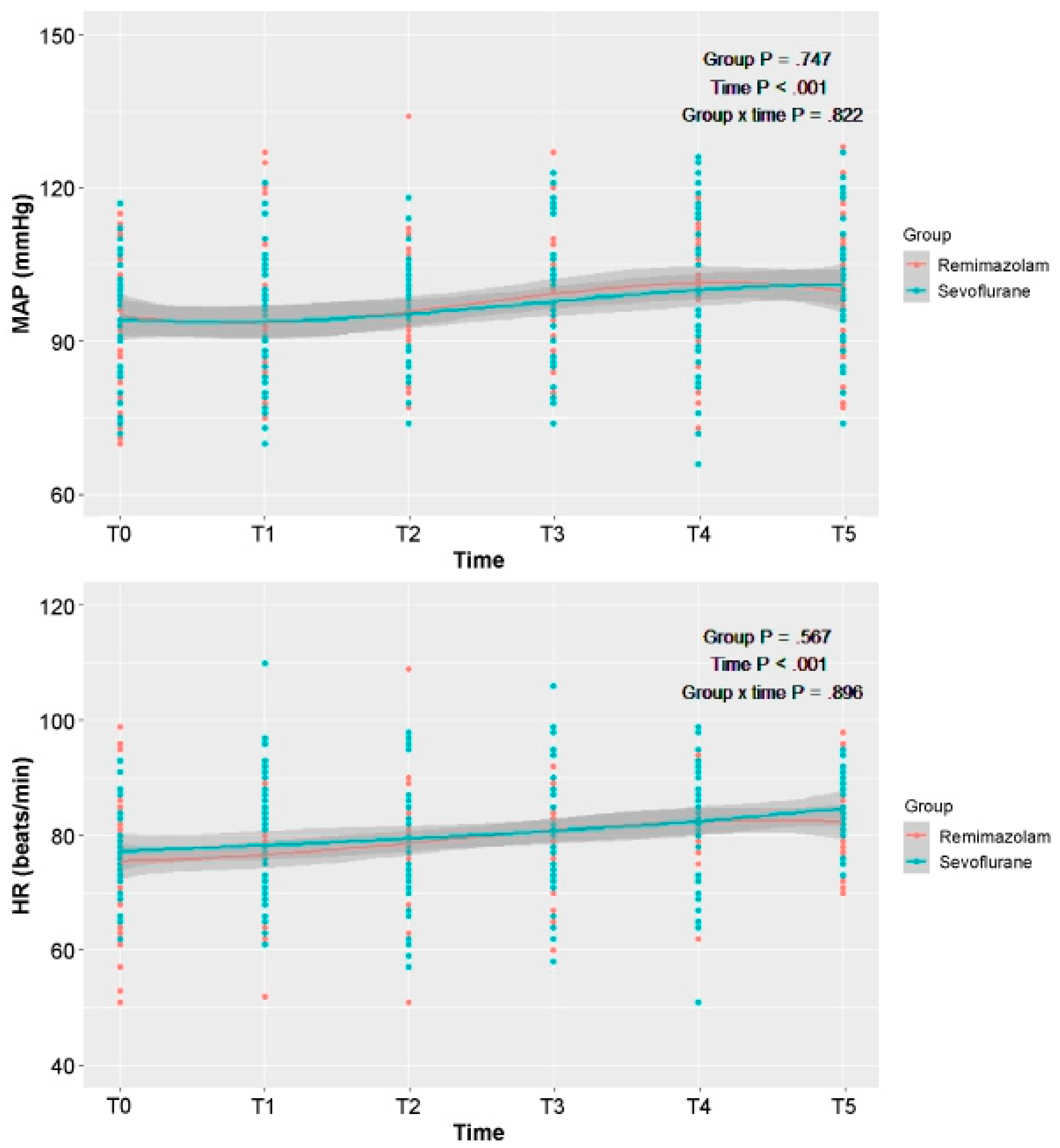
| Variable | Group | Analysis for Repeated Measures | ||||
|---|---|---|---|---|---|---|
| Overall (n = 76) | Remimazolam (n = 38) | Sevoflurane (n = 38) | p | Source | p * | |
| MAP (mmHg) | ||||||
| T0 | 94.5 ± 11.8 | 94.9 ± 12.0 | 94.1 ± 11.8 | 0.765 1 | Group | 0.747 |
| T1 | 94.5 ± 15.0 | 94.4 ± 16.3 | 94.6 ± 13.7 | 0.674 2 | Time | <0.001 |
| T2 | 94.4 ± 11.5 | 94.6 ± 11.8 | 94.2 ± 11.2 | 0.747 2 | Group × time | 0.822 |
| T3 | 99.2 ± 12.9 | 99.9 ± 13.4 | 98.4 ± 12.5 | 0.628 1 | ||
| T4 | 100.6 ± 15.6 | 101.3 ± 14.4 | 99.8 ± 16.8 | 0.683 1 | ||
| T5 | 100.4 ± 13.0 | 99.7 ± 13.0 | 101.0 ± 13.1 | 0.661 1 | ||
| HR (beats/min) | ||||||
| T0 | 76.2 ± 10.4 | 75.6 ± 12.4 | 76.9 ± 7.9 | 0.599 1 | Group | 0.567 |
| T1 | 77.8 ± 10.4 | 76.2 ± 9.2 | 79.4 ± 11.3 | 0.183 1 | Time | <0.001 |
| T2 | 78.6 ± 11.9 | 79.3 ± 11.5 | 77.9 ± 12.3 | 0.625 1 | Group × time | 0.896 |
| T3 | 80.8 ± 10.1 | 80.3 ± 8.2 | 81.3 ± 11.8 | 0.868 2 | ||
| T4 | 82.6 ± 9.6 | 82.6 ± 8.0 | 82.6 ± 11.1 | 0.972 1 | ||
| T5 | 83.5 ± 6.7 | 82.3 ± 7.4 | 84.6 ± 5.6 | 0.135 1 | ||
| MOAA/S score | ||||||
| T0 | 5.0 ± 0.0 | 5.0 ± 0.0 | 5.0 ± 0.0 | 1.000 2 | Group | 0.965 |
| T1 | 0.0 ± 0.0 | 0.0 ± 0.0 | 0.0 ± 0.0 | 1.000 2 | Time | <0.001 |
| T2 | 0.0 ± 0.0 | 0.0 ± 0.0 | 0.0 ± 0.0 | 1.000 2 | Group × time | 0.961 |
| T3 | 0.0 ± 0.0 | 0.0 ± 0.0 | 0.0 ± 0.0 | 1.000 2 | ||
| T4 | 3.2 ± 0.5 | 3.3 ± 0.6 | 3.2 ± 0.5 | 0.321 2 | ||
| T5 | 4.9 ± 0.3 | 4.8 ± 0.4 | 4.9 ± 0.2 | 0.137 2 | ||
| Variable | Group | Absolute Standardized Difference | p Value | ||
|---|---|---|---|---|---|
| Overall (n = 76) | Remimazolam (n = 38) | Sevoflurane (n = 38) | |||
| Postoperative complications | |||||
| Headache | |||||
| Yes | 32 (42.1) | 13 (34.2) | 19 (50.0) | 0.32 | 0.163 3 |
| No | 44 (57.9) | 25 (65.8) | 19 (50.0) | ||
| Dizziness | |||||
| Yes | 32 (42.1) | 13 (34.2) | 19 (50.0) | 0.32 | 0.163 3 |
| No | 44 (57.9) | 25 (65.8) | 19 (50.0) | ||
| Respiratory complications | |||||
| Yes | 3 (3.9) | 1 (2.6) | 2 (5.3) | 0.13 | 1.000 4 |
| No | 73 (96.1) | 37 (97.4) | 36 (94.7) | ||
| Sleep disorder | |||||
| Yes | 10 (13.2) | 5 (13.2) | 5 (13.2) | 0.00 | 1.000 3 |
| No | 66 (86.8) | 33 (86.8) | 33 (86.8) | ||
| Amnesia | |||||
| Yes | 0 (0.0) | 0 (0.0) | 0 (0.0) | 0.00 | - |
| No | 76 (100.0) | 38 (100.0) | 3 8(100.0) | ||
| Delirium | |||||
| Yes | 0 (0.0) | 0 (0.0) | 0 (0.0) | 0.00 | - |
| No | 76 (100.0) | 38 (100.0) | 38 (100.0) | ||
| Postoperative pain (NRS) | |||||
| Mean ± SD | 3.3 ± 2.0 | 3.1 ± 2.0 | 3.5 ± 2.1 | 0.22 | 0.409 2 |
| Median (IQR) | 3.0(2.0–5.0) | 3.0(2.0–5.0) | 3.0(2.0–5.0) | ||
| Need of rescue analgesics | |||||
| Yes | 12 | 7 (18.4) | 5 (13.2) | 0.14 | 0.529 3 |
| No | 64 | 31 (81.6) | 33 (86.8) | ||
| Time to extubation (min) | |||||
| Mean ± SD | 8.3 ± 3.2 | 8.3 ± 3.4 | 8.3 ± 3.0 | 0.00 | 0.992 2 |
| Median (IQR) | 8.0(6.0–10.0) | 8.0(6.0–10.0) | 8.0(6.0–10.0) | ||
| Time to eye opening (min) | |||||
| Mean ± SD | 10.6 ± 5.8 | 10.2 ± 5.3 | 11.1 ± 6.3 | 0.16 | 0.361 2 |
| Median (IQR) | 9.0(7.0–12.0) | 9.0(7.0–12.0) | 9.5(8.0–12.0) | ||
| Time to cooperation (min) | |||||
| Mean ± SD | 21.7 ± 9.3 | 21.7 ± 6.3 | 21.7 ± 11.6 | 0.01 | 0.199 2 |
| Median (IQR) | 20.0(16.0–24.0) | 22.0(18.0–26.0) | 19.0(15.0–23.0) | ||
| Time to Aldrete ≥ 9 (min) | |||||
| Mean ± SD | 30.5 ± 8.8 | 29.7 ± 7.9 | 31.2 ± 9.8 | 0.17 | 0.471 1 |
| Median (IQR) | 29.5(26.0–35.0) | 29.5(23.0–34.0) | 29.5(27.0–36.0) | ||
| Duration of postoperative hospital stay time (day) | |||||
| Mean ± SD | 2.6 ± 1.4 | 2.6 ± 1.2 | 2.7 ± 1.6 | 0.06 | 0.386 2 |
| Median (IQR) | 2.0(2.0–3.0) | 2.0(2.0–3.0) | 2.0(2.0–3.0) | ||
Disclaimer/Publisher’s Note: The statements, opinions and data contained in all publications are solely those of the individual author(s) and contributor(s) and not of MDPI and/or the editor(s). MDPI and/or the editor(s) disclaim responsibility for any injury to people or property resulting from any ideas, methods, instructions or products referred to in the content. |
© 2023 by the authors. Licensee MDPI, Basel, Switzerland. This article is an open access article distributed under the terms and conditions of the Creative Commons Attribution (CC BY) license (https://creativecommons.org/licenses/by/4.0/).
Share and Cite
Lee, S.C.; Jung, J.W.; Choi, S.R.; Chung, C.J.; Lee, T.Y.; Park, S.Y. Comparison of Postoperative Nausea and Vomiting Incidence between Remimazolam and Sevoflurane in Tympanoplasty with Mastoidectomy: A Single-Center, Double-Blind, Randomized Controlled Trial. Medicina 2023, 59, 1197. https://doi.org/10.3390/medicina59071197
Lee SC, Jung JW, Choi SR, Chung CJ, Lee TY, Park SY. Comparison of Postoperative Nausea and Vomiting Incidence between Remimazolam and Sevoflurane in Tympanoplasty with Mastoidectomy: A Single-Center, Double-Blind, Randomized Controlled Trial. Medicina. 2023; 59(7):1197. https://doi.org/10.3390/medicina59071197
Chicago/Turabian StyleLee, Seung Cheol, Ji Wook Jung, So Ron Choi, Chan Jong Chung, Tae Young Lee, and Sang Yoong Park. 2023. "Comparison of Postoperative Nausea and Vomiting Incidence between Remimazolam and Sevoflurane in Tympanoplasty with Mastoidectomy: A Single-Center, Double-Blind, Randomized Controlled Trial" Medicina 59, no. 7: 1197. https://doi.org/10.3390/medicina59071197
APA StyleLee, S. C., Jung, J. W., Choi, S. R., Chung, C. J., Lee, T. Y., & Park, S. Y. (2023). Comparison of Postoperative Nausea and Vomiting Incidence between Remimazolam and Sevoflurane in Tympanoplasty with Mastoidectomy: A Single-Center, Double-Blind, Randomized Controlled Trial. Medicina, 59(7), 1197. https://doi.org/10.3390/medicina59071197

