Abstract
A new series of 3,4,5-trimethoxyphenyl thiazole pyrimidines has been synthesized and biologically evaluated for its in vitro anticancer activity. Compounds 4a, 4b, and 4h with substituted piperazine showed the best antiproliferative activity. In the NCI-60 cell line screening, compound 4b showed promising cytostatic activity against multiple cell lines. Notably, it elicited a GI value of 86.28% against the NSCL cancer cell line HOP-92 at a 10 μM dose. Compounds 4a and 4h at 10 μM showed promising GI values of 40.87% and 46.14% against HCT-116 colorectal carcinoma and SK-BR-3 breast cancer cell lines, respectively. ADME-Tox prediction of compounds 4a, 4b, and 4h revealed their acceptable drug-likeness properties. In addition, compounds 4a, 4b, and 4h showed a high probability of targeting kinase receptors via Molinspiration and Swiss TargetPrediction.
1. Introduction
Cancer is a malignant tumor caused by abnormal growth of malfunctioning tissues that may result from many factors, such as gene mutations or other environmental factors. There is still a massive need to develop new chemotherapeutic agents that target malignant tumors by various mechanisms and help inhibit the abnormal metastatic growth of malignant tumors [1,2].
Trimethoxyphenyl (TMP) moiety of colchicine (I) is a key pharmacophoric structure to bind tubulin, and it inhibits malignant cell division and growth [3,4,5]. From this point of view, many microtubule-targeting agents bearing TMP have been developed as potent tubulin inhibitors for treating cancers in the past decade [6,7,8,9,10,11,12,13,14]. The TMP thiazole derivatives compound II (TST) and compound III are potent anticancer candidates with promising growth inhibitory action against various cancer cell lines [15,16,17,18]. Dasatinib (IV) is a multi-kinase inhibitor anticancer drug with N-(2-methylpyrimidin-4-yl)thiazol-2-amine pharmacophore [19,20,21]. Compounds V and VI, benzo [4,5]thiazolo [3,2-a]pyrimidine derivatives, are potent anticancer candidates with promising IC50 values against a range of different cancer cell lines [22].
In the present study, structural feature modifications on colchicine (I), compounds (II, III, V, and VI), and the FDA-approved drug dasatinib were performed to expand the chemical diversity of anticancer agents and generate new TMP thiazole derivatives with good anticipated anticancer activity. TMP pharmacophoric moiety was isolated from colchicine (I), and compounds II and III were modified by TMP thiazole pharmacophoric isolation and terminal groups’ replacement to obtain the newly designed TMP thiazole analogs. In addition, the central N-(2-methylpyrimidin-4-yl)thiazol-2-amine core of dasatinib (IV) was isolated by replacing its terminal chains to design the new TMP thiazole derivatives, while compounds V and VI were modified by varying the central ring and replacing their substituents with isolating their thiazole and pyrimidine rings to afford the newly designed TMP thiazole analogs. The main structural features of the designed series were the TMP thiazole moiety and pyrimidine ring linked to various terminal polar chains/nonpolar fragments (Figure 1). Several reports highlight the privilege of different cyclic amines in achieving favorable binding affinity with target proteins and cellular potency (via improving water solubility) [23,24,25,26,27,28]. Therefore, various amines (piperazines, morpholine, ethylenediamines, and propandiamines) were attached to the pyrimidine at the 6-position to explore their impact on anticancer activity and construct a reliable structure–activity relationship (SAR). The piperazine moiety was installed to the pyrimidine either directly (4a–4f) or through an ethyl/propylamine spacer (4h and 4k).
Figure 1.
Rational design of the new trimethoxyphenyl thiazole derivatives.
2. Materials and Methods
2.1. General
Nuclear magnetic resonance (NMR) spectra of 1H and 13C were measured with a Bruker Avance spectrometer operating at 400 MHz for 1H NMR and 100 MHz for 13C NMR (Figure S1). The chemical shifts were recorded as parts per million (ppm, δ values) relative to the solvent standard. The signals were reported as s (singlet), d (doublet), t (triplet), q (quartet), quint (quintet), m (multiplet), and br. s (broad singlet), dd (doublet of doublet), or dt (doublet of triplet). The coupling constant (J) was expressed in Hertz (Hz). CDCl3, Acetone-d6, and DMSO-d6 were used as the NMR solvent from Cambridge Isotope Laboratories. Waters SYNAPT G2 mass spectrometer was used to get high-resolution mass spectra (HRMS) in ESI-TOF mode (Figure S2). High-performance liquid chromatography (HPLC) analysis was conducted using an Agilent 1100 model for certain representative compounds that showed purities ≥95% (Figure S3). YMC-Triart C18 column was used as a stationary phase; 150 × 2.0 mm I.D.; S-5 μm particle size; 120 Å pore size. The HPLC mobile phase increased linearly from 0.1% trifluoroacetic acid in distilled water to 0.1% trifluoroacetic acid in acetonitrile over 20 min at a flow rate of 1.0 mL/min. A chromatogram was obtained with a UV detector at 280 nm.
All chemical reagents and solvents, which are commercially available, were purchased from a commercial supplier, such as Sigma-Aldrich (St. Louis, MO, USA), Tokyo Chemical Industry Co. (Tokyo, Japan), Alfa Aesar (Haverhill, MA, USA), or Acros (Gujarat, India), and they were used without further purification. Reactions under the anhydrous system proceeded using inert argon gas. All reactions were monitored on thin-layer chromatography (TLC) plate (Merck, silica gel 60 F254, Darmstadt, Germany), and the components on TLC were visualized by observation using UV light (254 nm, 365 nm) and staining solutions. The types of staining solutions used for reaction monitoring were 20% ethanolic phosphomolybdic acid (PMA), 2% ninhydrin ethanolic solution, p-anisaldehyde, potassium permanganate solution, and cerium ammonium molybdate (CAM). Compounds 1 and 2 were prepared following the reported procedures references [29,30].
2.2. Procedure for the Synthesis of 2-Bromo-1-(3,4,5-trimethoxyphenyl)ethan-1-one (1)
To a stirred solution of 1-(3,4,5-trimethoxyphenyl)ethan-1-one (2.5 g, 11.89 mmol) in anhydrous Et2O (30 mL), Br2 (0.73 mL, 14.27 mmol) was added dropwise at 0 °C. The reaction mixture temperature was gradually increased to room temperature for 2 h 35 min. After the reaction was finished, saturated aqueous NaHCO3 was added. Using a separation funnel, the aqueous layer was extracted with ethyl acetate (3 × 50 mL), and the organic layers were combined, washed with water and brine, then dried by Na2SO4 filtration. After the evaporation of ethyl acetate to concentrate resultants at room temperature without heating during the evaporation, the residues were triturated with n-hexane by scrubbing the resultants that were like brown gum. After 30 min, the brown gum was solidified. Then, hexane was removed by a pipette, and one more trituration was performed to afford the title compound as a brown solid; 2.883 g (84% yield); 1H NMR (400 MHz, CDCl3): δ 7.27 (s, 2H, Ar-H), 4.44 (s, 2H, Br-CH2), 3.96 (s, 3H, 4-O-CH3), 3.95 (s, 6H, 3,5-O-CH3); 13C NMR (100 MHz, CDCl3): δ 190.28 (C=O), 153.20 (Ar-C), 143.48(Ar-C), 129.01(Ar-C), 106.62 (Ar-C), 61.02 (4-O-CH3), 56.39 (3,5-O-CH3), 30.38 (Br-CH2); HRMS (ESI-TOF) m/z calcd. for C11H14BrO4 [M+H]+: 288.2901, found: 289.0075.
2.3. Procedure for the Synthesis of 4-(3,4,5-Trimethoxyphenyl)thiazol-2-amine (2)
A solution of thiourea (399 mg, 5.230 mmol) in ethanol (5 mL) was added to a stirred solution of compound 1 (1.26 g, 4.358 mmol) in ethanol (10 mL). The reaction mixture was stirred under a reflux system at 78 °C for 45 min. After the reaction was completed, saturated aqueous NaHCO3 was added to make the reaction mixture basic with a pH value of 8 or 9. Then, using a separation funnel, the aqueous layer was extracted with dichloromethane (3 × 50 mL), and the organic layers were combined, washed with water and brine, and then dried by Na2SO4 filtration. After the evaporation of dichloromethane, the residue was stirred for 20 min with petroleum ether and filtered to purify the mixture. Flash column chromatography (FCC) was performed using 25–50% ethyl acetate in hexane to afford the title compound as a pure white solid; 1.14 g (98% yield); 1H NMR (400 MHz, CDCl3): δ 7.08 (s, 2H, 2,6-Ph-H), 6.65 (s, 1H, thiazole-H), 5.41 (s, 2H, NH2), 3.93 (s, 6H, 3,5- O-CH3), 3.89 (s, 3H, 4-O-CH3); 13C NMR (100 MHz, CDCl3): δ 167.11 (Ar-C), 153.33 (Ar-C), 151.19 (Ar-C), 137.97 (Ar-C), 130.51 (Ar-C), 103.34 (Ar-C), 102.38 (Ar-C), 60.94, (4-O-CH3), 56.18 (3,5-O-CH3); HRMS (ESI-TOF) m/z calcd. for C12H15N2O3S [M+H]+: 267.0815, found: 267.0803.
2.4. Procedure for the Synthesis of N-(6-Chloro-2-methylpyrimidin-4-yl)-4-(3,4,5-trimethoxyphenyl)thiazol-2-amine (3)
To a stirred suspension of compound 2 (100 mg, 0.375 mmol) in anhydrous THF (4 mL), 4,6-dichloro-2-methylpyrimidine (67.3 mg, 0.413 mmol) was added. Then, the reaction mixture was cooled down to 0 °C, and sodium hydride (18.9 mg, 0.788 mmol) was added, which was divided several times. The reaction mixture was stirred at room temperature for 16 h. After the reaction was finished, THF was evaporated, and the residue was purified by FCC using 20–50% ethyl acetate in hexane to afford the title compound as a white solid; 105.7 mg (72% yield); 1H NMR (400 MHz, DMSO-d6): δ 12.03 (br. s, 1H, NH), 7.64 (s, 1H, thiazole-H), 7.21 (s, 2H, 2,6-Ph-H), 6.92 (s, 1H, pyrimidin-5-yl-H), 3.86 (s, 6H, 3,5-O-CH3), 3.70 (s, 3H, 4-O-CH3), 2.55 (s, 3H, pyrimidine-CH3); 13C NMR (100 MHz, DMSO-d6): δ 167.78 (Ar-C), 158.63 (Ar-C), 158.38 (Ar-C), 158.25 (Ar-C), 153.54 (Ar-C), 149.33 (Ar-C), 137.73 (Ar-C), 130.49 (Ar-C), 108.62 (Ar-C), 103.43 (Ar-C), 103.33 (Ar-C), 60.52 (4-O-CH3), 56.32 (3,5- O-CH3), 25.61 (Ar-CH3); HRMS (ESI-TOF) m/z calcd. for C17H18ClN4O3S [M+H]+: 393.0801, found: 393.0788.
2.5. General Procedure for the Synthesis of N-(6-Substituted-2-methylpyrimidin-4-yl)-4-(3,4,5-trimethoxyphenyl)thiazole-2-amine (4a–4n)
A solution of secondary amines (0.510 mmol) in anhydrous dimethyl sulfoxide (1 mL) was added to a stirred solution of compound 3 (100 mg, 0.255 mmol) in anhydrous dimethyl sulfoxide (3 mL) and DIPEA (0.22 mL, 1.275 mmol). The reaction mixture was stirred at 110 °C for 2 h. After cooling to room temperature, water was added to quench the reaction. Using a separation funnel, the aqueous layer was extracted with ethyl acetate (4 × 50 mL), and the organic layers were combined, washed with water and brine, and then dried by Na2SO4 filtration. The solvent was evaporated under vacuum, and the resulting residue was purified by FCC using the proper eluent.
2.5.1. N-(6-(4-Ethylpiperazin-1-yl)-2-methylpyrimidin-4-yl)-4-(3,4,5-trimethoxyphenyl)thiazol-2-amine (4a)
FCC eluent (50–100% ethyl acetate in hexane, then shifting to 10% methanol in ethyl acetate). White solid; 93.0 mg (82% yield); mp: 208–209 °C; 1H NMR (400 MHz, CDCl3): δ 11.61 (br. s, 1H, NH), 7.12 (s, 2H, 2,6-Ph-H), 7.11 (s, 1H, thiazole-H), 5.28 (s, 1H, pyrimidin-5-yl-H), 3.85 (s, 3H, 4-O-CH3), 3.81 (s, 6H, 3,5-O-CH3), 3.20 (br. s, 4H, 2 CH2-piperazine), 2.48 (s, 3H, pyrimidine-CH3), 2.40 (q, J = 7.1 Hz, 2H, CH2-CH3), 2.31 (br. s, 4H, 2 CH2-piperazine), 1.09 (t, J = 7.1 Hz, 3H, CH2-CH3); 13C NMR (100 MHz, CDCl3): δ 165.94 (Ar-C), 162.56 (Ar-C), 161.85 (Ar-C), 157.01 (Ar-C), 153.47 (Ar-C), 148.41 (Ar-C), 138.08 (Ar-C), 129.85 (Ar-C), 106.74 (Ar-C), 103.21 (Ar-C), 83.04 (Ar-C), 61.00 (4- O-CH3), 56.04 (3,5-O-CH3), 52.30 (2 CH2-piperazine), 52.19 (2 CH2-piperazine), 43.57 (Ar-CH3), 25.70 (CH2-CH3), 11.90 (CH2-CH3); HRMS (ESI-TOF) m/z calcd. for C23H31N6O3S [M+H]+: 471.2178, found: 471.2198.
2.5.2. 2-(4-(2-Methyl-6-((4-(3,4,5-trimethoxyphenyl)thiazol-2-yl)amino)pyrimidin-4-yl)piperazin-1-yl)ethan-1-ol (4b)
FCC eluent (hexane/ethyl acetate, 2:1, then shifting to 1:1). White solid; 31.8 mg (30% yield); mp: 113–115 °C; 1H NMR (400 MHz, CDCl3): δ 11.54 (br. s, 1H, NH), 7.17 (s, 2H, 2,6-Ph-H), 7.08 (s, 1H, thiazole-H), 5.28 (s, 1H, pyrimidin-5-yl-H), 3.86 (s, 3H, 4-O-CH3), 3.82 (s, 6H, 3,5-O-CH3), 3.66 (t, J = 5.3 Hz, 2H, -CH2-CH2-OH), 3.19 (br. s, 4H, 2 CH2-piperazine), 2.71 (br. s, 1H, OH), 2.55 (t, J = 5.3 Hz, 2H, -CH2-CH2-OH), 2.50 (s, 3H, pyrimidine-CH3), 2.39 (t, J = 4.8 Hz, 4H, 2 CH2-piperazine); 13C NMR (100 MHz, CDCl3): δ 166.02 (Ar-C), 162.63 (Ar-C), 161.77 (Ar-C), 157.01 (Ar-C), 153.48 (Ar-C), 148.41 (Ar-C), 138.01 (Ar-C), 129.86 (Ar-C), 106.82 (Ar-C), 103.12 (Ar-C), 83.07 (Ar-C), 60.97 (4-O-CH3), 59.39 (-CH2-CH2-OH), 57.80 (-CH2-CH2-OH), 56.02 (3,5-O-CH3), 52.29(2 CH2-piperazine), 43.66 (2 CH2-piperazine), 25.68 (Ar-CH3); HRMS (ESI-TOF) m/z calcd. for C23H31N6O4S [M+H]+: 487.2127, found: 487.2122.
2.5.3. N-(6-(4-(4-Methoxyphenyl)piperazin-1-yl)-2-methylpyrimidin-4-yl)-4-(3,4,5-trimethoxyphenyl)thiazol-2-amine (4c)
FCC eluent (hexane/ethyl acetate, 2:1, then shifting to 1:1). White solid; 31.8 mg (30% yield); mp: 216–217 °C; 1H NMR (400 MHz, CDCl3): δ 11.32 (br. s, 1H, NH), 7.21 (s, 2H, 2,6-Ph-H), 7.10 (s, 1H, thiazole-H), 6.94–6.87 (m, 4H, 2,3,5,6-Ph-H), 5.37 (s, 1H, pyrimidin-5-yl-H), 3.87 (s, 3H, 4-O-CH3), 3.86 (s, 6H, 3,5-O-CH3), 3.81 (s, 3H, 4-O-CH3), 3.38 (t, J = 4.8 Hz, 4H, 2 CH2-piperazine), 2.98 (t, J = 4.8 Hz, 4H, 2 CH2-piperazine), 2.54 (s, 3H, pyrimidine-CH3); 13C NMR (100 MHz, CDCl3): δ 166.12 (Ar-C), 162.66 (Ar-C), 161.65 (Ar-C), 157.06 (Ar-C), 154.18 (Ar-C), 153.56 (Ar-C), 148.54 (Ar-C), 145.53 (Ar-C), 138.17 (Ar-C), 129.92 (Ar-C), 118.67 (Ar-C), 114.51 (Ar-C), 106.77 (Ar-C), 103.22 (Ar-C), 83.03 (Ar-C), 60.99 (4-O-CH3), 56.09 (4-O-CH3), 55.58 (3,5-O-CH3), 50.48 (2 CH2-piperazine), 43.81 (2 CH2-piperazine), 25.71 (Ar-CH3); HRMS (ESI-TOF) m/z calcd. for C28H33N6O4S [M+H]+: 549.2284, found: 549.2293.
2.5.4. N-(6-(4-(4-Fluorophenyl)piperazin-1-yl)-2-methylpyrimidin-4-yl)-4-(3,4,5-trimethoxyphenyl)thiazol-2-amine (4d)
FCC eluent (hexane/ethyl acetate, 1:2). White solid; 107.3 mg (79%); mp: 84–86 °C; 1H NMR (400 MHz, DMSO-d6): δ 11.31 (br. s, 1H, NH), 7.49 (s, 1H, thiazole-H), 7.20 (s, 2H, 2,6-Ph-H), 7.12–7.07 (m, 2H, 2,6-Ph-H), 7.04–7.00 (m, 2H, 3,5-Ph-H), 6.18 (s, 1H, pyrimidin-5-yl-H), 3.85 (s, 6H, 3,5-O-CH3), 3.70 (s, 3H, 4-O-CH3), 3.68 (br. s, 4H, 2 CH2-piperazine), 3.18 (br. s, 4H, 2 CH2-piperazine), 2.43 (s, 3H, pyrimidine-CH3); 13C NMR (100 MHz, DMSO-d6): δ 165.64 (Ar-C), 162.83 (Ar-C), 159.67 (Ar-C), 158.15 (Ar-C), 155.55 (Ar-C), 153.51 (Ar-C), 148.95 (Ar-C), 148.21 (Ar-C), 137.58 (Ar-C), 130.88 (Ar-C), 118.07 (q, J = 7.6 Hz) (Ar-C), 115.81 (q, J = 22 Hz) (Ar-C), 107.44 (Ar-C), 103.39 (Ar-C), 82.72 (Ar-C), 60.54 (4-O-CH3), 56.34 (3,5-O-CH3), 49.30 (2 CH2-piperazine), 43.91 (2 CH2-piperazine), 26.08 (Ar-CH3); HRMS (ESI-TOF) m/z calcd. for C27H30FN6O3S [M+H]+: 537.2084, found: 537.2102.
2.5.5. N-(6-(4-(4-Chlorophenyl)piperazin-1-yl)-2-methylpyrimidin-4-yl)-4-(3,4,5-trimethoxyphenyl)thiazol-2-amine (4e)
FCC eluent (hexane/ethyl acetate, 2:1, v/v). White solid; 73.5 mg (52% yield); mp: 125–130 °C; 1H NMR (400 MHz, CDCl3): δ 11.94 (br. s, 1H, NH), 7.22 (s, 1H, thiazole-H), 7.13–6.73 (m, 6H, 6 Ph-H), 5.88 (s, 1H, pyrimidin-5-yl-H), 3.94–3.92 (m, 2H, CH2-piperazine), 3.88 (br. s, 4H, 2 CH2-piperazine), 3.86 (s, 9H, 3,4,5-O-CH3), 2.67 (s, 3H, pyrimidine-CH3); 13C NMR (100 MHz, CDCl3): δ 167.73 (Ar-C), 160.42 (Ar-C), 159.34 (Ar-C), 157.17 (Ar-C), 153.79 (Ar-C), 149.65 (Ar-C), 145.29 (Ar-C), 138.60 (Ar-C), 132.03 (Ar-C), 129.98 (Ar-C), 118.62 (Ar-C), 113.60 (Ar-C), 108.05 (Ar-C), 103.99 (Ar-C), 103.08 (Ar-C), 61.02 (4-O-CH3), 56.23 (3,5-O-CH3), 42.31 (2 CH2-piperazine), 40.82 (2 CH2-piperazine), 25.44 (Ar-CH3); HRMS (ESI-TOF) m/z calcd. for C27H30ClN6O3S [M+H]+: 553.1788, found: 553.1786.
2.5.6. N-(6-(4-(2,3-Dichlorophenyl)piperazin-1-yl)-2-methylpyrimidin-4-yl)-4-(3,4,5-trimethoxyphenyl)thiazol-2-amine (4f)
FCC eluent (hexane/ethyl acetate, 3:1, then shifting to 1:1). White solid; 80.3 mg (53% yield); mp: 202–205 °C; 1H NMR (400 MHz, CDCl3): δ 11.07 (br. s, 1H, NH), 7.24–7.08 (m, 6H, 6 Ph-H), 6.97 (dd, J = 7.5, 2.1 Hz, 1H, 2,3-Cl-Ph-4-H), 3.88 (s, 3H, 4-O-CH3), 3.85 (s, 6H, 3,5-O-CH3), 3.47 (br. s, 4H, 2 CH2-piperazine), 2.98 (t, J = 4.7 Hz, 4H, 2 CH2-piperazine), 2.54 (s, 3H, pyrimidine-CH3); 13C NMR (100 MHz, CDCl3): δ 167.68 (Ar-C), 162.96 (Ar-C), 160.70 (Ar-C), 157.86 (Ar-C), 153.53 (Ar-C), 151.20 (Ar-C), 150.92 (Ar-C), 139.65 (Ar-C), 134.20 (Ar-C), 130.02 (Ar-C), 127.58 (Ar-C), 125.07 (Ar-C), 124.97 (Ar-C), 118.71 (Ar-C), 106.79 (Ar-C), 103.17 (Ar-C), 83.23 (Ar-C), 60.99 (4-O-CH3), 56.07 (3,5-O-CH3), 50.95 (2 CH2-piperazine), 43.97 (2 CH2-piperazine), 25.70 (Ar-CH3); HRMS (ESI-TOF) m/z calcd. for C27H29Cl2N6O3S [M+H]+: 587.1399, found: 587.1414.
2.5.7. N-(2-Methyl-6-morpholinopyrimidin-4-yl)-4-(3,4,5-trimethoxyphenyl)thiazol-2-amine (4g)
The title compound was produced as a pure white solid; 85.9 mg (76% yield); mp: 110–112 °C; 1H NMR (400 MHz, CDCl3): δ 11.70 (br. s, 1H, NH), 7.16 (s, 2H, 2,6-Ph-H), 7.08 (s, 1H, thiazole-H), 5.23 (s, 1H, pyrimidin-5-yl-H), 3.87 (s, 3H, 4-O-CH3), 3.81 (s, 6H, 3,5-O-CH3), 3.59 (t, J = 4.7 Hz, 4H, 2 CH2-morpholine), 3.13 (t, J = 4.7 Hz, 4H, 2 CH2-morpholine), 2.51 (s, 3H, pyrimidine-CH3); 13C NMR (100 MHz, CDCl3): δ 165.99 (Ar-C), 162.83 (Ar-C), 161.86 (Ar-C), 156.99 (Ar-C), 153.53 (Ar-C), 148.43 (Ar-C), 138.07 (Ar-C), 129.85 (Ar-C), 106.91 (Ar-C), 103.15 (Ar-C), 83.04 (Ar-C), 66.35 (2 CH2-morpholine), 60.96 (4-O-CH3), 56.02 (3,5-O-CH3), 43.95 (2 CH2-morpholine), 25.64 (Ar-CH3); HRMS (ESI-TOF) m/z calcd. for C21H26N5O4S [M+H]+: 444.1706, found: 444.1711.
2.5.8. 2-Methyl-N4-(2-(4-methylpiperazin-1-yl)ethyl)-N6-(4-(3,4,5-trimethoxyphenyl)thiazol-2-yl)pyrimidine-4,6-diamine (4h)
FCC eluent (50–100% ethyl acetate in hexane, then shifting to 10% methanol in ethyl acetate, and then 10% methanol in dichloromethane). White solid; 77.6 mg (68% yield); mp: 213–219 °C; 1H NMR (400 MHz, CDCl3): δ 11.64 (br. s, 1H, NH), 7.12 (s, 2H, 2,6-Ph-H), 7.03 (s, 1H, thiazole-H), 5.35 (br. s, 1H, NH), 5.02 (s, 1H, pyrimidin-5-yl-H), 3.80 (s, 3H, 4-O-CH3), 3.77 (s, 6H, 3,5-O-CH3), 2.57–2.40 (m, 15H, 4 CH2-piperazine, N-CH2-CH2-N, N-CH3), 2.28(s, 3H, pyrimidine-CH3); 13C NMR (100 MHz, CDCl3): δ 166.05 (Ar-C), 162.56 (Ar-C), 161.55 (Ar-C), 156.89 (Ar-C), 153.42 (Ar-C), 148.65 (Ar-C), 137.98 (Ar-C), 129.98 (Ar-C), 106.74 (Ar-C), 103.24 (Ar-C), 81.71 (Ar-C), 60.89 (4-O-CH3), 55.95 (3,5-O-CH3), 55.85 (N-CH2-CH2-N), 54.85 (N-CH2-CH2-N), 52.39 (N-CH3), 45.81 (2 CH2-piperazine), 37.40 (2 CH2-piperazine), 25.34 (Ar-CH3); HRMS (ESI-TOF) m/z calcd. for C24H34N7O3S [M+H]+: 500.2444, found: 500.2452.
2.5.9. 2-Methyl-N4-(2-morpholinoethyl)-N6-(4-(3,4,5-trimethoxyphenyl)thiazol-2-yl)pyrimidine-4,6-diamine (4i)
FCC eluent (50–100% ethyl acetate in hexane, then shifting to 10% methanol in ethyl acetate). White solid; 73.5 mg (59% yield); mp: 200–202 °C; 1H NMR (400 MHz, CDCl3): δ 11.39 (br. s, 1H, NH), 7.10 (s, 2H, 2,6-Ph-H), 7.01 (s, 1H, thiazole-H), 5.44 (br. s, 1H, NH), 5.12 (s, 1H, pyrimidin-5-yl-H), 3.81 (s, 3H, 4-O-CH3), 3.79 (s, 6H, 3,5-O-CH3), 3.65 (t, J = 4.0 Hz, 4H, 2 CH2-morpholine), 2.68 (br. s, 2H, CH2-morpholine), 2.46 (s, 3H, pyrimidine-CH3), 2.42–2.37 (m, 6H, N-CH2-CH2-N, CH2-morpholine); 13C NMR (100 MHz, CDCl3): δ 166.12 (Ar-C), 162.62 (Ar-C), 161.52 (Ar-C), 156.89 (Ar-C), 153.46 (Ar-C), 148.75 (Ar-C), 138.05 (Ar-C), 129.99 (Ar-C), 106.76 (Ar-C), 103.33 (Ar-C), 81.83 (Ar-C), 66.83 (2 CH2-morpholine), 60.92 (4-O-CH3), 56.44 (N-CH2-CH2-N), 56.01 (3,5-O-CH3), 53.14 (N-CH2-CH2-N), 37.20 (2 CH2-morpholine), 25.26 (Ar-CH3); HRMS (ESI-TOF) m/z calcd. for C23H31N6O4S [M+H]+: 487.2127, found: 487.2135.
2.5.10. 2-((2-Methyl-6-((4-(3,4,5-trimethoxyphenyl)thiazol-2-yl)amino)pyrimidin-4-yl)amino)ethan-1-ol (4j)
FCC eluent (100% ethyl acetate). Pale yellow solid; 97.8 mg (92% yield); mp: 85–90 °C; 1H NMR (400 MHz, Acetone-d6): δ 10.14 (br. s, 1H, NH), 7.31 (s, 1H, thiazole-H), 7.24 (s, 2H, 2,6-Ph-H), 6.31 (br. s, 1H, NH), 6.11 (s, 1H, pyrimidin-5-yl-H), 5.64 (br. s, 1H, OH), 3.89 (s, 6H, 3,5-O-CH3), 3.76–3.74 (m, 5H, 4-O-CH3 and CH2-OH), 3.48 (br. s, 2H. CH2-NH), 2.43 (s, 3H, pyrimidine-CH3); 13C NMR (100 MHz, CDCl3): δ 166.06 (Ar-C), 162.84 (Ar-C), 161.31 (Ar-C), 156.68 (Ar-C), 153.48 (Ar-C), 148.82 (Ar-C), 138.00 (Ar-C), 130.32 (Ar-C), 106.96 (Ar-C), 103.59 (Ar-C), 82.60 (Ar-C), 61.01 (4-O-CH3), 56.14 (3,5-O-CH3), 53.45 (CH2-OH), 43.89 (CH2-NH), 25.16 (Ar-CH3); HRMS (ESI-TOF) m/z calcd. for C19H24N5O4S [M+H]+: 418.1549, found: 418.1559.
2.5.11. 2-Methyl-N4-(3-(4-methylpiperazin-1-yl)propyl)-N6-(4-(3,4,5-trimethoxyphenyl)thiazol-2-yl)pyrimidine-4,6-diamine (4k)
FCC eluent (hexane/ethyl acetate, 1:2, then which was shifted to 10% methanol in dichloromethane with a few drops of ammonia). Pale yellow solid; 38.4 mg (74% yield); mp: 89–91 °C; 1H NMR (400 MHz, CDCl3): δ 11.01 (br. s, 1H, NH), 7.13 (s, 2H, 2,6-Ph-H), 7.03 (s, 1H, thiazole-H), 5.50 (t, J = 5.2 Hz, 1H, CH2-NH), 5.18 (s, 1H, pyrimidin-5-yl-H), 3.84 (s, 3H, 4-O-CH3), 3.83 (s, 6H, 3,5-O-CH3), 2.83 (br. s, 2H, CH2-piperazine), 2.57–2.41 (m, 11H, 3 CH2-piperazine, -CH2-CH2-CH2-, N-CH3), 2.37 (t, J = 6.8 Hz, 2H, -CH2-CH2-NH), 2.30 (s, 3H, pyrimidine-CH3), 1.60 (t, J = 6.6 Hz, 2H, -CH2-CH2-N-); 13C NMR (100 MHz, CDCl3): δ 166.26 (Ar-C), 163.03 (Ar-C), 161.18 (Ar-C), 156.88 (Ar-C), 153.43 (Ar-C), 148.80 (Ar-C), 138.03 (Ar-C), 130.12 (Ar-C), 106.63 (Ar-C), 103.31 (Ar-C), 81.55 (Ar-C), 60.92 (4-O-CH3), 56.31 (N-CH3), 56.04 (3,5-O-CH3), 55.05 (-CH2-CH2-NH), 53.07 (-CH2-CH2-N-), 45.92 (2 CH2-piperazine), 40.29 (2 CH2-piperazine), 25.52 (Ar-CH3), 25.41 (-CH2-CH2-CH2-); HRMS (ESI-TOF) m/z calcd. for C25H36N7O3S [M+H]+: 514.2600, found: 514.2597.
2.5.12. 2-Methyl-N4-(3-morpholinopropyl)-N6-(4-(3,4,5-trimethoxyphenyl)thiazol-2-yl)pyrimidine-4,6-diamine2 (4l)
FCC eluent (10% methanol in dichloromethane). White solid; 88.9 mg (68% yield); mp: 170–177 °C; 1H NMR (400 MHz, CDCl3): δ 11.41 (br. s, 1H, NH), 7.12 (s, 2H, 2,6-Ph-H), 7.04 (s, 1H, thiazole-H), 5.63 (br. s, 1H, NH), 5.12 (s, 1H, pyrimidin-5-yl-H), 3.81 (s, 3H, 4-O-CH3), 3.79 (s, 6H, 3,5-O-CH3), 3.65 (t, J = 4.2 Hz, 4H, 2 CH2-morpholine), 2.76 (br. s, 2H, CH2- morpholine), 2.46 (s, 3H, pyrimidine-CH3), 2.36–2.28 (m, 6H, CH2-morpholine, -CH2-CH2-N, -CH2-CH2-NH), 1.54 (t, J = 6.3 Hz, 2H, CH2-CH2-CH2-); 13C NMR (100 MHz, CDCl3): δ 166.18 (Ar-C), 162.99 (Ar-C), 161.44 (Ar-C), 156.90 (Ar-C), 153.42 (Ar-C), 148.65 (Ar-C), 138.00 (Ar-C), 130.02 (Ar-C), 106.67 (Ar-C), 103.28 (Ar-C), 81.56 (Ar-C), 66.90 (2 CH2-morpholine), 60.90 (4-O-CH3), 56.01 (3,5-O-CH3), 53.64 (-CH2-CH2-NH), 40.90 (-CH2-CH2-N-), 40.16 (2 CH2-morpholine), 25.40(Ar-CH3), 25.11 (CH2-CH2-CH2); HRMS (ESI-TOF) m/z calcd. for C24H33N6O4S [M+H]+: 501.2284, found: 501.2295.
2.5.13. N4-(3-(Dimethylamino)propyl)-2-methyl-N6-(4-(3,4,5-trimethoxyphenyl)thiazol-2-yl)pyrimidine-4,6-diamine (4m)
FCC eluent (10% methanol in ethyl acetate, then changed to 10% methanol in dichloromethane with 4 drops of ammonia). White solid; 66.6 mg (82% yield); mp: 86–88 °C; 1H NMR (400 MHz, CDCl3): δ 11.29 (br. s, 1H, NH), 7.14 (s, 2H, 2,6-Ph-H), 7.04 (s, 1H, thiazole-H), 5.51 (br. s, 1H, NH), 5.14 (s, 1H, pyrimidin-5-yl-H), 3.84 (s, 3H, 4-O-CH3), 3.82 (s, 6H, 3,5-O-CH3), 2.76 (br. s, 2H, -CH2-CH2-NH), 2.48 (s, 3H, pyrimidine-CH3), 2.27 (t, J = 6.7 Hz, 2H, -CH2-CH2-N-), 2.18 (s, 6H, 2 N-CH3), 1.56 (quint, J = 6.6 Hz, 2H, CH2-CH2-CH2); 13C NMR (100 MHz, CDCl3): δ 166.16 (Ar-C), 163.04 (Ar-C), 161.37 (Ar-C), 156.91 (Ar-C), 153.44 (Ar-C), 148.74 (Ar-C), 138.00 (Ar-C), 130.10 (Ar-C), 106.64 (Ar-C), 103.29 (Ar-C), 81.54 (Ar-C), 60.92 (4-O-CH3), 57.59 (-CH2-CH2-NH), 56.01 (3,5-O-CH3), 45.42 (2 N-CH3), 40.23 (-CH2-CH2-N-), 26.35 (Ar-CH3), 25.40 (CH2-CH2-CH2); HRMS (ESI-TOF) m/z calcd. for C22H31N6O3S [M+H]+: 459.2178, found: 459.2193.
2.5.14. 3-((2-Methyl-6-((4-(3,4,5-trimethoxyphenyl)thiazol-2-yl)amino)pyrimidin-4-yl)amino)propan-1-ol (4n)
FCC eluent (100% ethyl acetate). Pale yellow solid; 38.2 mg (70% yield); mp: 97–99 °C; 1H NMR (400 MHz, CDCl3): δ 11.08 (br. s, 1H, NH), 7.13 (s, 2H, 2,6-Ph-H), 7.03 (s, 1H, thiazole-H), 5.13 (s, 1H, pyrimidin-5-yl-H), 4.98 (br. s, 1H, NH), 3.85 (s, 3H, 4-O-CH3), 3.84 (s, 6H, 3,5-O-CH3), 3.60 (t, J = 5.4 Hz, 2H, -CH2-CH2-NH), 3.11 (br. s, 2H, -CH2-CH2-N-), 2.48 (s, 3H, pyrimidine-CH3), 1.64 (quint, J = 5.7 Hz, 2H, CH2-CH2-CH2); 13C NMR (100 MHz, CDCl3): δ 166.20 (Ar-C), 163.06 (Ar-C), 161.32 (Ar-C), 156.65 (Ar-C), 153.44 (Ar-C), 148.85 (Ar-C), 138.08 (Ar-C), 130.28 (Ar-C), 106.85 (Ar-C), 103.60 (Ar-C), 82.52 (Ar-C), 60.96 (4-O-CH3), 59.20 (-CH2-CH2-NH), 56.14 (3,5-O-CH3), 38.11 (-CH2-CH2-N-), 32.13 (Ar-CH3), 25.26 (CH2-CH2-CH2); HRMS (ESI-TOF) m/z calcd. for C20H26N5O4S [M+H]+: 432.1706, found: 432.1707.
2.6. NCI-60 Screening
The anticancer screening of compounds 4b, 4c, 4k, and 4n over a panel of six human leukemia cell lines was conducted using the Sulforhodamine B (SRB) assay (Figure S4) at the National Cancer Institute (NCI), Bethesda, Maryland, USA, employing the standard protocol [31].
2.7. In Vitro Anticancer Screening (MTT Assay)
Four human cancer cell lines, MCF-7 and SK-BR-3 (breast cancer cell lines), HCT-116 (human colorectal carcinoma), K562 (leukemia cell lines), and the normal cell line L132 were used in the in vitro MTT assay. MTT evaluation was performed to examine the antiproliferative activity of compounds 4a–4n following the reported procedures [32].
3. Results and Discussion
3.1. Chemistry
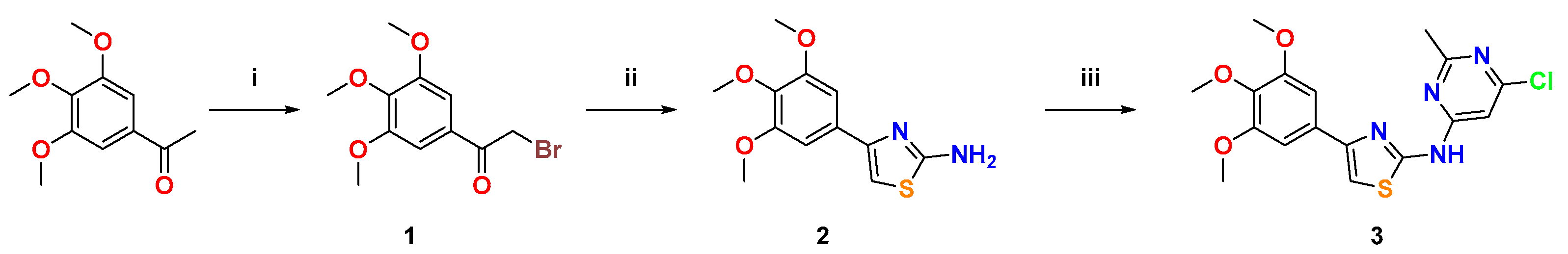
The key intermediate, N-(6-chloro-2-methylpyrimidin-4-yl)-4-(3,4,5-trimethoxyphenyl)thiazol-2-amine (3), was prepared as shown in Scheme 1. First, 2-bromo-1-(3,4,5-trimethoxyphenyl)ethan-1-one (1) [29] was synthesized via bromination of 3,4,5-trimethoxy acetophenone. Then, compound 1 was refluxed with thiourea for 45 min to yield compound 2 [30]. Next, the key intermediate 3 was achieved by reacting compound 2 with 4,6-dichloro-2-methylpyrimidine using sodium hydride as a base with a 72% yield.
Scheme 1.
Reagent and reaction conditions: (i) Br2, Et2O, 0 °C to rt, 2 h 35 min, 84%; (ii) thiourea, EtOH, reflux, 45 min, 98%; (iii) 4,6-dichloro-2-methylpyrimidine, THF, 0 °C to rt, 16 h, 72%.
The installation of various amine groups to 3 was accomplished through a nucleophilic substitution reaction with substituted amines using N,N-diisopropylethylamine (DIPEA) as a base in DMSO at 110 °C to afford 4a–4n (Scheme 2). All final compounds were obtained with high or moderate yield except 4b and 4k.
Scheme 2.
Reagents and reaction conditions: (i) substituted amine, DIPEA, DMSO, 110 °C, 1–15 h, 30–92%.
3.2. Antiproliferative Activities against NCI-60 Cell Line Panel at Single Dose Testing
The chemical structures of the newly synthesized compounds 4a–4n were submitted to NCI for screening their antiproliferative activities [33]. Based on the degree of structural diversity and computational analysis, NCI selected compounds 4b, 4c, 4k, and 4n from the series to investigate their anticancer activity at a 10 μM dose (Figure S4). The results showed that compound 4b has the highest cytotoxicity with a mean growth inhibition (GI) value of 32.20% (Table 1). The mean GI values of compounds 4c, 4k, and 4n were 21.40%, 19.40%, and 16.44%, respectively. The superior activity of 4b over the other tested compounds may be due to the direct attachment of the piperazine ring to the pyrimidine central core with some extent of flexibility in its terminal chain-bearing polar hydroxyl group. Moreover, compound 4b showed GI values higher than 56% in eight sub-panels, as shown in Table 1.
Table 1.
The % growth inhibition of compounds 4b, 4c, 4k, and 4n against the most sensitive cell lines at 10 μM a.
The highest GI exerted by 4b was 86.28%, found in the NSCL cancer cell line HOP-92, indicating the most potent anticancer activity among the four tested compounds. Regarding other tested cell lines, compound 4b showed GI values of 61.31%, 59.05%, 73.52%, 57.10%, 72.38%, 56.66%, and 70.54% against SR, HT29, SF-295, LOX IMVI, A498, HS 578T, and T-47D cancer cell lines, respectively.
The antiproliferative activity of compound 4b against the full NCI-60 cell line panel at 10 μM is shown in Figure 2. From these findings, it can be concluded that the best antiproliferative activity of compound 4b was against lung cancer HOP-92, CNS cancer SF-295, renal cancer A498, and breast cancer T-47D cell lines, and to a lesser extent against leukemia SR, colon cancer HT29, melanoma LOX IMVI, and breast cancer HS 578T cell lines.
Figure 2.
Percent (%) growth inhibition of the most potent compound 4b against NCI-60 cell lines.
Among the other examined compounds, as shown in Table 1, compounds 4c and 4k showed moderate anticancer activity that may stem from the piperazine moiety in their terminal side chain with a different configuration compared to 4b. Compound 4c showed GI higher than 50% over four cancer cell lines. The best cytotoxic activity was against breast cancer cell line T-47D at 62.98%. In addition, the propandiamine 4k showed GI values higher than 50% against four cancer cell lines. The best cytotoxic activity elicited by 4k was against NSCL cancer cell line HOP-92 by 64.64%.
On the other hand, the propanolamine 4n showed the least potent anticancer activity among the tested compounds, and this may be due to the absence of the piperazine ring that is present in the three other tested compounds. However, 4n showed selective cytotoxicity against the T-47D breast cancer cell line with a GI% value of 68.39%.
3.3. In Vitro Anticancer MTT Assay against Four Cell Lines
Compounds 4a–4n were subjected to MTT assay [34] to test their antiproliferative activity against four human cancer cell lines, i.e., MCF-7 and SK-BR-3 (breast cancer cells), HCT-116 (human colorectal carcinoma), and K562 (leukemia cells, chronic myelogenous), by the MTT assay method. In the MTT assay, the antiproliferative assay was focused on breast cancer cell lines as it showed the best results in the NCI-60 assay. All tested compounds were tested at 100 and 10 μM. The results are expressed as the percentage of growth inhibition (GI%), using the multi-kinase inhibitor sorafenib as a reference anticancer drug (Table 2).
Table 2.
In vitro anticancer MTT assay of the tested compounds against four human cancer cell lines a,b.
The results reveal that all designed compounds had comparable cytotoxic activity against the four human cancer cell lines at 100 μM. Among the tested compounds, nine compounds (4a, 4b, and 4h–4n) manifested more than 70% GI over all tested cancer cell lines, and 27 cases were above 90% GI at 100 μM. Focusing on the concentration of 10 μM, the ethyl piperazine compounds 4a and 4h showed the best GI% of 40.87 and 46.14 against HCT-116 and SK-BR-3 cell lines, respectively. These GI% values are comparable to sorafenib (48.41 and 48.87 against HCT-116 and SK-BR-3, respectively). Both 4a and 4h compounds possess a piperazine ring in their terminal chain with slight flexibility. Considering the activity at 100 μM and 10 μM doses, it is found that compounds 4c–4f with a substituted phenyl moiety at the terminal N of piperazine have a relatively low percentage of GI (<60% at 100 μM and <40% at 10 μM). In addition, it was noted that the variation in substituents on the phenyl ring in compounds 4c–4f did not impact the anticancer activity. These cellular findings may indicate that the compounds derived from this series should have some flexibility in their terminal configuration to exert a considerable anticancer effect. The morpholine derivative 4g showed an antiproliferative pattern similar to that observed with phenylpiperazines 4c–4f. Moreover, the ethylamines 4h-4i manifested comparable activity with their corresponding propylamines 4k, 4l, and 4n, which reveals that both ethyl and propyl spacers are tolerable.
Moreover, compounds 4a and 4h showed weak cytotoxic effects over L132 normal cells, where they exerted high GI50 values of 23.52 and 26.38 μM, respectively (Table 3). These cellular outcomes reveal the selective antiproliferative activity of compounds 4a and 4h toward cancer cells.
Table 3.
GI50 of compounds 4a and 4h against L132 normal cell line a.
3.4. Structure Similarity Search
The most potent compounds, 4a, 4b, and 4h, were subjected to a structure similarity search (Molinspiration and Swiss TargetPredictors) to acquire certain insights about their potential molecular targets. Molinspiration concentrates on certain classes of drugs and calculates the specific activity scores for these classes. These bioactivity scores may be a proper measure to predict the target with the highest probability for the most potent synthesized compounds [35].
A Molinspiration bioactivity score greater than zero indicates a high probability of being active against this target. The obtained Molinspiration data (Table 4) for the most active anticancer compounds 4a, 4b, and 4h revealed their high structural similarity with kinase inhibitors class with scores varying from 0.30 to 0.38 and to a lesser extent G-protein coupled receptor (GPCR) ligands with scores ranging from 0.08 to 0.10. These suggest that compounds 4a, 4b, and 4h may exert their anticancer activity by inhibiting certain oncogenic kinases or targeting GPCR.
Table 4.
Predicted Molinspiration bioactivity score for the most active anticancer compounds 4a, 4b, and 4h.
The Swiss TargetPrediction server was used to perform ligand-based target prediction of the precise targets of compounds [36]. It was utilized to identify the possible drug targets of the most active anticancer compounds 4a, 4b, and 4h. The target prediction was limited to Homo sapiens targets to identify the targets belonging to human sources only.
The acquired data, shown in Figure 3, predicted that the targets with the highest probability percentages were kinase targets with % probability ranging from 60.0% to 66.7%. The list of putative kinase targets is tabulated in Table 5. The kinase targets that were common among the three compounds 4a, 4b, and 4h were insulin-like growth factor I receptor (IGF1R) and serine/threonine-protein kinase 4 (PLK4) and cyclin-dependent kinase 4 (CDK4).
Figure 3.
Percent (%) probability of targets predicted by Swiss TargetPrediction for the most active compounds 4a, 4b, and 4h.
Table 5.
List of kinase targets for the most active anticancer compounds 4a, 4b, and 4h, predicted by Swiss TargetPrediction.
3.5. Drug-Likeness and ADMET Prediction
Lipinski’s rule of five determines the oral bioavailability and drug-likeness of the designed small bioactive molecules [37]. The most active antiproliferative compounds 4a, 4b, and 4h were tested to decide whether or not they obey the Lipinski rule of five, utilizing Swiss ADME predictor [38], as illustrated in Table 6. It can be observed that all of the active compounds comply with Lipinski’s rule of five.
Table 6.
Calculated Lipinski’s rule of five parameters for the most active anticancer compounds 4a, 4b, and 4h.
The pharmacokinetics ADMET properties for the most potent compounds were calculated via SwissADME and PreADMET predictors [38,39]. The ADMET data of compounds 4a, 4b, and 4h, shown in Table 7, disclose that they could be easily absorbed from GIT, with a high percentage of human intestinal absorption (HIA%) ranging from 95% to 98%. Their calculated log S values span from −4.52 to −5.16, which proved moderate to good solubilization in GIT fluids before absorption. All tested compounds are predicted to be non-inhibitors of the CYP1A2 enzyme, indicating a low probability of causing drug–drug interaction. In addition, carcinogenicity tests showed that all of them are non-carcinogenic.
Table 7.
Predicted ADMET data for the most active anticancer compounds 4a, 4b, and 4h.
However, to develop an anticancer agent with better antiproliferative activity and fewer side effects than the existing chemotype, it is necessary to further investigate other structural derivatives based on this scaffold; further design for structural optimization of the TMP-thiazole series is currently underway and will be reported in due course.
4. Conclusions
Among the synthesized pyrimidine-based Trimethoxyphenyl-thiazoles, compounds 4a, 4b, and 4h showed the best growth inhibitory effects over certain cancer cell lines. Among the NCI-selected compounds, 4b showed the highest GI values of 86.28% and 73.52% against the NSCL cancer cell line HOP-92 and the CNS cancer cell SF-295, respectively. Regarding the MTT-tested compounds, both 4a and 4h stood out as the most active members in this series with GI values of 40.87% and 46.14% at 10 μM against HCT-116 colorectal carcinoma and SK-BR-3 breast cancer cell lines, respectively. In addition, Molinspiration and Swiss target predictors showed that the potential molecular targets for compounds 4a, 4b, and 4h are protein kinases. The calculated drug-likeness and ADMET data for compounds 4a, 4b, and 4h underscored their good predicted oral bioavailability and a low probability of carcinogenicity or drug–drug interactions. Further optimization of the presented compounds, especially 4b, is currently considered to generate potent anticancer chemotypes that may overcome the drawbacks of the existing anticancer chemotherapeutics.
Supplementary Materials
The following supporting information can be downloaded at: https://www.mdpi.com/article/10.3390/medicina59061076/s1, Figure S1, 1H NMR and 13C NMR spectra; Figure S2, HRMS charts; Figure S3, HPLC chromatograms; Figure S4, NCI-60 cell line screening results.
Author Contributions
Conceptualization, A.K.E.-D. and G.K.; synthesis and characterization of target compounds, H.J. and A.K.E.-D.; characterization of compounds, H.J., A.K.E.-D. and H.J.K.; cell-based assay, S.H.S.; in silico study, M.A.S.; validation and data curation, E.-K.B., M.A.S., M.M.A. and A.K.E.-D.; writing—original draft preparation, M.A.S., M.M.A. and A.K.E.-D.; writing—review and editing, A.K.E.-D. and G.K.; supervision, A.K.E.-D. and G.K.; project administration, G.K.; funding acquisition, A.K.E.-D., E.-K.B. and G.K. All authors have read and agreed to the published version of the manuscript.
Funding
This research was funded by the National Research Council of Science & Technology (NST) grant by the Korean government (MSIT) (no. CAP-20–01-KRIBB) and the Institutional Program grant by the Korea Institute of Science and Technology (2E32212). A.K. El-Damasy is supported by the Korea Research Fellowship (KRF) Program grant through the National Research Foundation of Korea (NRF), funded by the Ministry of Science and ICT (no. 2019H1D3A1A01070882). The work was also supported by the Researchers Supporting Project number (RSPD2023R628), King Saud University, Riyadh, Saudi Arabia.
Institutional Review Board Statement
Not applicable.
Informed Consent Statement
Not applicable.
Data Availability Statement
Not applicable.
Acknowledgments
This research was supported by the National Research Council of Science & Technology (NST) grant by the Korean government (MSIT) [No. CAP-20–01-KRIBB], the Institutional Program grant by the Korea Institute of Science and Technology [2E32212]. A.K. El-Damasy is supported by the Korea Research Fellowship (KRF) Program grant through the National Research Foundation of Korea (NRF), funded by the Ministry of Science and ICT [No. 2019H1D3A1A01070882]. The authors extend their appreciation to the Researchers Supporting Project number (RSPD2023R628), King Saud University, Riyadh, Saudi Arabia, for supporting this research. We thank the National Cancer Institute (NCI, Bethesda, MA, USA) for carrying out the in vitro anticancer evaluation of the new compounds.
Conflicts of Interest
The authors declare no conflict of interest.
References
- Hanahan, D. Hallmarks of cancer: New dimensions. Cancer Discov. 2022, 12, 31–46. [Google Scholar] [CrossRef] [PubMed]
- Qin, S.Y.; Cheng, Y.J.; Lei, Q.; Zhang, A.Q.; Zhang, X.Z. Combinational strategy for high-performance cancer chemotherapy. Biomaterials 2018, 171, 178–197. [Google Scholar] [CrossRef]
- Li, L.; Jiang, S.; Li, X.; Liu, Y.; Su, J.; Chen, J. Recent advances in trimethoxyphenyl (TMP) based tubulin inhibitors targeting the colchicine binding site. Eur. J. Med. Chem. 2018, 151, 482–494. [Google Scholar] [CrossRef] [PubMed]
- Pal, D.; Song, I.H.; Warkad, S.D.; Song, K.S.; Yeom, G.S.; Saha, S.; Shinde, P.B.; Nimse, S.B. Indazole-based microtubule-targeting agents as potential candidates for anticancer drugs discovery. Bioorg. Chem. 2022, 122, 105735. [Google Scholar] [CrossRef] [PubMed]
- Zhang, D.; Kanakkanthara, A. Beyond the paclitaxel and vinca alkaloids: Next generation of plant-derived microtubule-targeting agents with potential anticancer activity. Cancers 2020, 12, 1721. [Google Scholar] [CrossRef] [PubMed]
- Čermák, V.; Dostál, V.; Jelínek, M.; Libusová, L.; Kovář, J.; Rösel, D.; Brábek, J. Microtubule-targeting agents and their impact on cancer treatment. Eur. J. Cell Biol. 2020, 99, 151075. [Google Scholar] [CrossRef]
- Li, N.; Guan, Q.; Hong, Y.; Zhang, B.; Li, M.; Li, X.; Li, B.; Wu, L.; Zhang, W. Discovery of 6-aryl-2-(3,4,5-trimethoxyphenyl) thiazole [3,2-b][1,2,4]triazoles as potent tubulin polymerization inhibitors. Eur. J. Med. Chem. 2023, 256, 115402. [Google Scholar] [CrossRef]
- Tian, C.; Wang, M.; Shi, X.; Chen, X.; Wang, X.; Zhang, Z.; Liu, J. Discovery of (2-(pyrrolidin-1-yl)thieno[3,2-d]pyrimidin-4-yl)(3,4,5-trimethoxyphenyl)methanone as a novel potent tubulin depolymerizing and vascular disrupting agent. Eur. J. Med. Chem. 2022, 238, 114466. [Google Scholar] [CrossRef]
- Hao, S.Y.; Qi, Z.Y.; Wang, S.; Wang, X.R.; Chen, S.W. Synthesis and bioevaluation of N-(3,4,5-trimethoxyphenyl)-1H-pyrazolo[3,4-b]pyridin-3-amines as tubulin polymerization inhibitors with anti-angiogenic effects. Bioorg. Med. Chem. 2021, 31, 115985. [Google Scholar] [CrossRef]
- Liu, R.; Huang, M.; Zhang, S.; Li, L.; Li, M.; Sun, J.; Wu, L.; Guan, Q.; Zhang, W. Design, synthesis and bioevaluation of 6-aryl-1-(3,4,5-trimethoxyphenyl)-1H-benzo[d]imidazoles as tubulin polymerization inhibitors. Eur. J. Med. Chem. 2021, 226, 113826. [Google Scholar] [CrossRef]
- Liang, Y.; Zhang, M.; Zhou, P.; Liu, M.; Li, J.; Wang, Y. Design, synthesis and antitumor evaluation of novel chiral diaryl substituted azetidin-2-one derivatives as tubulin polymerization inhibitors. Bioorg. Chem. 2021, 115, 105239. [Google Scholar] [CrossRef] [PubMed]
- Zaki, I.; Abou-Elkhair, R.A.; Abu Almaaty, A.H.; Abu Ali, O.A.; Fayad, E.; Ahmed Gaafar, A.G.; Zakaria, M.Y. Design and synthesis of newly synthesized acrylamide derivatives as potential chemotherapeutic agents against MCF-7 breast cancer cell line lodged on PEGylated bilosomal nano-vesicles for improving cytotoxic activity. Pharmaceuticals 2021, 14, 1021. [Google Scholar] [CrossRef] [PubMed]
- Peng, X.; Ren, Y.; Pan, W.; Liu, J.; Chen, J. Discovery of novel acridane-based tubulin polymerization inhibitors with anticancer and potential immunomodulatory effects. J. Med. Chem. 2022, 66, 627–640. [Google Scholar] [CrossRef]
- Puxeddu, M.; Wu, J.; Bai, R.; D’Ambrosio, M.; Nalli, M.; Coluccia, A.; Manetto, S.; Ciogli, A.; Masci, D.; Urbani, A.; et al. Induction of Ferroptosis in Glioblastoma and Ovarian Cancers by a New Pyrrole Tubulin Assembly Inhibitor. J. Med. Chem. 2022, 65, 15805–15818. [Google Scholar] [CrossRef] [PubMed]
- Romagnoli, R.; Baraldi, P.G.; Brancale, A.; Ricci, A.; Hamel, E.; Bortolozzi, R.; Basso, G.; Viola, G. Convergent synthesis and biological evaluation of 2-amino-4-(3,4,5-trimethoxyphenyl)-5-aryl thiazoles as microtubule targeting agents. J. Med. Chem. 2011, 54, 5144–5153. [Google Scholar] [CrossRef]
- Romagnoli, R.; Baraldi, P.G.; Salvador, M.K.; Camacho, M.E.; Preti, D.; Tabrizi, M.A.; Bassetto, M.; Brancale, A.; Hamel, E.; Bortolozzi, R.; et al. Synthesis and biological evaluation of 2-substituted-4-(3,4,5-trimethoxyphenyl)-5-aryl thiazoles as anticancer agents. Bioorg. Med. Chem. 2012, 20, 7083–7094. [Google Scholar] [CrossRef]
- Wang, F.; Yang, Z.; Liu, Y.; Ma, L.; Wu, Y.; He, L.; Shao, M.; Yu, K.; Wu, W.; Pu, Y.; et al. Synthesis and biological evaluation of diarylthiazole derivatives as antimitotic and antivascular agents with potent antitumor activity. Bioorg. Med. Chem. 2015, 23, 3337–3350. [Google Scholar] [CrossRef]
- El-Abd, A.O.; Bayomi, S.M.; El-Damasy, A.K.; Mansour, B.; Abdel-Aziz, N.I.; El-Sherbeny, M.A. Synthesis and Molecular Docking Study of New Thiazole Derivatives as Potential Tubulin Polymerization Inhibitors. ACS Omega 2022, 7, 33599–33613. [Google Scholar] [CrossRef]
- Steinberg, M. Dasatinib: A tyrosine kinase inhibitor for the treatment of chronic myelogenous leukemia and philadelphia chromosome—Positive acute lymphoblastic leukemia. Clin. Ther. 2007, 29, 2289–2308. [Google Scholar] [CrossRef]
- Sabry, M.A.; Ghaly, M.A.; Maarouf, A.R.; El-Subbagh, H.I. New thiazole-based derivatives as EGFR/HER2 and DHFR inhibitors: Synthesis, molecular modeling simulations and anticancer activity. Eur. J. Med. Chem. 2022, 241, 114661. [Google Scholar] [CrossRef]
- Schade, A.E.; Schieven, G.L.; Townsend, R.; Jankowska, A.M.; Susulic, V.; Zhang, R.; Szpurka, H.; Maciejewski, J.P. Dasatinib, a small-molecule protein tyrosine kinase inhibitor, inhibits T-cell activation and proliferation. Blood Am. J. Hematol. 2008, 111, 1366–1377. [Google Scholar] [CrossRef] [PubMed]
- Nagarapu, L.; Vanaparthi, S.; Bantu, R.; Kumar, C.G. Synthesis of novel benzo [4,5] thiazolo [1,2-a] pyrimidine-3-carboxylate derivatives and biological evaluation as potential anticancer agents. Eur. J. Med. Chem. 2013, 69, 817–822. [Google Scholar] [CrossRef] [PubMed]
- El-Damasy, A.K.; Cho, N.C.; Pae, A.N.; Kim, E.E.; Keum, G. Novel 5-substituted-2-anilinoquinolines with 3-(morpholino or 4-methylpiperazin-1-yl)propoxy moiety as broad spectrum antiproliferative agents: Synthesis, cell based assays and kinase screening. Bioorg. Med. Chem. Lett. 2016, 26, 3307–3312. [Google Scholar] [CrossRef]
- Kim, H.J.; Park, J.W.; Seo, S.; Cho, K.H.; Alanazi, M.M.; Bang, E.K.; Keum, G.; El-Damasy, A.K. Discovery of New Quinoline-Based Diarylamides as Potent B-RAFV600E/C-RAF Kinase Inhibitors Endowed with Promising In Vitro Anticancer Activity. Int. J. Mol. Sci. 2023, 24, 3216. [Google Scholar] [CrossRef] [PubMed]
- Al-Ghorbani, M.; Gouda, M.A.; Baashen, M.; Alharbi, O.; Almalki, F.A.; Ranganatha, L.V. Piperazine Heterocycles as Potential Anticancer Agents: A Review. Pharm. Chem. J. 2022, 56, 29–37. [Google Scholar] [CrossRef]
- El-Damasy, A.K.; Cho, N.C.; Kang, S.B.; Pae, A.N.; Keum, G. ABL kinase inhibitory and antiproliferative activity of novel picolinamide based benzothiazoles. Bioorg. Med. Chem. Lett. 2015, 25, 2162–2168. [Google Scholar] [CrossRef]
- Richard, D.J.; Verheijen, J.C.; Curran, K.; Kaplan, J.; Toral-Barza, L.; Hollander, I.; Lucas, J.; Yu, K.; Zask, A. Incorporation of water-solubilizing groups in pyrazolopyrimidine mTOR inhibitors: Discovery of highly potent and selective analogs with improved human microsomal stability. Bioorg. Med. Chem. Lett. 2009, 19, 6830–6835. [Google Scholar] [CrossRef]
- Gao, H.; Marhefka, C.; Jacobs, M.D.; Cao, J.; Bandarage, U.K.; Green, J. ROCK inhibitors 2. Improving potency, selectivity and solubility through the application of rationally designed solubilizing groups. Bioorg. Med. Chem. Lett. 2018, 28, 2616–2621. [Google Scholar] [CrossRef]
- Ducki, S.; Rennison, D.; Woo, M.; Kendall, A.; Chabert, J.F.D.; McGown, A.T.; Lawrence, N.J. Combretastatin-like chalcones as inhibitors of microtubule polymerization. Part 1: Synthesis and biological evaluation of antivascular activity. Bioorg. Med. Chem. 2009, 17, 7698–7710. [Google Scholar] [CrossRef]
- Zheng, S.; Zhong, Q.; Jiang, Q.; Mottamal, M.; Zhang, Q.; Zhu, N.; Burow, M.E.; Worthylake, R.A.; Wang, G. Discovery of a series of thiazole derivatives as novel inhibitors of metastatic cancer cell migration and invasion. ACS Med. Chem. Lett. 2013, 4, 191–196. [Google Scholar] [CrossRef]
- DTP Human Tumor Cell Line Screen Process. Available online: https://dtp.cancer.gov/discovery_development/nci-60/methodology.htm (accessed on 4 May 2023).
- Lee, J.H.; El-Damasy, A.K.; Seo, S.H.; Gadhe, C.G.; Pae, A.N.; Jeong, N.; Hong, S.S.; Keum, G. Novel 5, 6-disubstituted pyrrolo [2,3-d] pyrimidine derivatives as broad spectrum antiproliferative agents: Synthesis, cell based assays, kinase profile and molecular docking study. Bioorg. Med. Chem. 2018, 26, 5596–5611. [Google Scholar] [CrossRef] [PubMed]
- Available online: https://dtp.cancer.gov/organization/dscb/compoundSubmission/default.htm (accessed on 4 May 2023).
- Sabry, M.A.; Ewida, H.A.; Hassan, G.S.; Ghaly, M.A.; El-Subbagh, H.I. Synthesis, antitumor testing and molecular modeling study of some new 6-substituted amido, azo or thioureido-quinazolin-4 (3H)-ones. Bioorg. Chem. 2019, 88, 102923. [Google Scholar] [CrossRef] [PubMed]
- Grob, S. Molinspiration Cheminformatics Free Web Services. Available online: https://www.molinspiration.com (accessed on 4 May 2023).
- Gfeller, D.; Grosdidier, A.; Wirth, M.; Daina, A.; Michielin, O.; Zoete, V. SwissTargetPrediction: A web server for target prediction of bioactive small molecules. Nucleic Acids Res. 2014, 42, 32–38. [Google Scholar] [CrossRef]
- Lipinski, C.A. Lead-and drug-like compounds: The rule-of-five revolution. Drug Discov. Today Technol. 2004, 1, 337–341. [Google Scholar] [CrossRef]
- Daina, A.; Michielin, O.; Zoete, V. SwissADME: A free web tool to evaluate pharmacokinetics, drug-likeness and medicinal chemistry friendliness of small molecules. Sci. Rep. 2017, 7, 42717–42720. [Google Scholar] [CrossRef] [PubMed]
- PreADMET, an Online ADMET Properties Predictor. Available online: https://preadmet.webse0072vice.bmdrc.org/ (accessed on 4 May 2023).
Disclaimer/Publisher’s Note: The statements, opinions and data contained in all publications are solely those of the individual author(s) and contributor(s) and not of MDPI and/or the editor(s). MDPI and/or the editor(s) disclaim responsibility for any injury to people or property resulting from any ideas, methods, instructions or products referred to in the content. |
© 2023 by the authors. Licensee MDPI, Basel, Switzerland. This article is an open access article distributed under the terms and conditions of the Creative Commons Attribution (CC BY) license (https://creativecommons.org/licenses/by/4.0/).




