Atorvastatin and Fluvastatin Potentiate Blood Pressure Lowering Effect of Amlodipine through Vasorelaxant Phenomenon
Abstract
1. Introduction
2. Materials and Methods
2.1. Study Settings
2.2. Raw Materials, Drugs and Solutions, and Standards
2.3. Animals
2.4. Data Recording
2.5. Physiological Solutions
2.6. Statins and Amlodipine Effects on 1 uM Norepinephrine (NE) Induced Contractions
2.7. Statins and Amlodipine Effects on KCl (80 mM) Induced Contractions
2.8. Statins Effects on Calcium Concentration Response Curves (CCRCs)
2.9. Effects of Statins on Systolic Blood Pressure in Hypertensive Rats
2.10. Statistical Analysis
3. Results
4. Discussion
5. Conclusions
6. Limitations
7. Recommendations
Author Contributions
Funding
Institutional Review Board Statement
Informed Consent Statement
Data Availability Statement
Acknowledgments
Conflicts of Interest
Abbreviations
| ACh | Acetylcholine |
| CVDs | Cardiovascular Diseases |
| EC50 | Effective concentration that relaxes the control maximum response by 50% |
| KCl | Potassium Chloride |
| mM | Millimole |
| NE | Norepinephrine |
| WHO | World Health Organization |
References
- Organization WHO. Cardiovascular Diseases (CVDs) Fact Sheet. no 317. 2012. 2014. Available online: https://aho.org/fact-sheets/cardiovascular-diseases-cvds-fact-sheet/ (accessed on 1 April 2023).
- Joseph, P.; Kutty, V.R.; Mohan, V.; Kumar, R.; Mony, P.; Vijayakumar, K.; Islam, S.; Iqbal, R.; Kazmi, K.; Rahman, O.; et al. Cardiovascular disease, mortality, and their associations with modifiable risk factors in a multi-national South Asia cohort: A PURE substudy. Eur. Hear. J. 2022, 43, 2831–2840. [Google Scholar] [CrossRef] [PubMed]
- Mensah, G.A.; Roth, G.A.; Fuster, V. The Global Burden of Cardiovascular Diseases and Risk Factors: 2020 and Beyond; American College of Cardiology Foundation: Washington, DC, USA, 2019; pp. 2529–2532. [Google Scholar]
- Margolis, K.L.; Davis, B.R.; Baimbridge, C.; Ciocon, J.O.; Cuyjet, A.B.; Dart, R.A.; Einhorn, P.T.; Ford, C.E.; Gordon, D.; Hartney, T.J.; et al. Long-Term Follow-Up of Moderately Hypercholesterolemic Hypertensive Patients Following Randomization to Pravastatin vs. Usual Care: The Antihypertensive and Lipid-Lowering Treatment to Prevent Heart Attack Trial (ALLHAT-LLT). J. Clin. Hypertens. 2013, 15, 542–554. [Google Scholar] [CrossRef] [PubMed]
- Neutel, J.M.; Bestermann, W.H.; Dyess, E.M.; Alan, G.; Attila, K.; Santosh, S.; Carla, Y. The use of a single-pill calcium channel blocker/statin combination in the management of hypertension and dyslipidemia: A randomized, placebo-controlled, multicenter study. J. Clin. Hypertens. 2009, 11, 22–30. [Google Scholar] [CrossRef]
- Smith, R.; Ashiya, M. Antihypertensive therapies. Nat. Rev. Drug Discov. 2007, 6, 597–598. [Google Scholar] [CrossRef] [PubMed]
- Sirtori, C. The pharmacology of statins. Pharmacol. Res. 2014, 88, 3–11. [Google Scholar] [CrossRef]
- Gotto, A.M., Jr.; Farmer, J.A. Pleiotropic effects of statins: Do they matter? Curr. Opin. Lipidol. 2001, 12, 391–394. [Google Scholar] [CrossRef]
- Liao, J.K.; Laufs, U. Pleiotropic effects of statins. Annu. Rev. Pharmacol. Toxicol. 2005, 45, 89–118. [Google Scholar] [CrossRef]
- Ali, N.; Begum, R.; Faisal, M.S.; Khan, A.; Nabi, M.; Shehzadi, G.; Ullah, S.; Ali, W. Current statins show calcium channel blocking activity through voltage gated channels. BMC Pharmacol. Toxicol. 2016, 17, 43. [Google Scholar] [CrossRef] [PubMed]
- Clunn, G.F.; Sever, P.S.; Hughes, A.D. Calcium channel regulation in vascular smooth muscle cells: Synergistic effects of statins and calcium channel blockers. Int. J. Cardiol. 2010, 139, 2–6. [Google Scholar] [CrossRef] [PubMed]
- Lefer, A.M.; Scalia, R.; Lefer, D.J. Vascular effects of HMG CoA-reductase inhibitors (statins) unrelated to cholesterol lowering: New concepts for cardiovascular disease. Cardiovasc. Res. 2001, 49, 281–287. [Google Scholar] [CrossRef] [PubMed]
- Johnson, M.L.; Pietz, K.; Battleman, D.S.; Beyth, R.J. Prevalence of comorbid hypertension and dyslipidemia and associated cardiovascular disease. Heart Dis. 2004, 2, 3. [Google Scholar]
- Neal, N.; MacMahon, S.; Chapman, N. Effects of ACE inhibitors, calcium antagonists, and other blood-pressure-lowering drugs: Results of prospectively designed overviews of randomised trials. Blood Pressure Lowering Treatment Trialists’ Collaboration. Lancet 2000, 356, 1955–1964. [Google Scholar] [PubMed]
- Briasoulis, A.; Agarwal, V.; Valachis, A.; Messerli, F.H. Antihypertensive effects of statins: A meta-analysis of prospective controlled studies. J. Clin. Hypertens. 2013, 15, 310–320. [Google Scholar] [CrossRef] [PubMed]
- Gilani, A.H.; Khan, A.-U.; Jabeen, Q.; Subhan, F.; Ghafar, R. Antispasmodic and blood pressure lowering effects of Valeriana wallichii are mediated through K+ channel activation. J. Ethnopharmacol. 2005, 100, 347–352. [Google Scholar] [CrossRef]
- Şahin, A.S.; Bariskaner, H. The mechanisms of vasorelaxant effect of leptin on isolated rabbit aorta. Fundam. Clin. Pharmacol. 2007, 21, 595–600. [Google Scholar] [CrossRef]
- Pietrobon, D.; Hess, P. Novel mechanism of voltage-dependent gating in L-type calcium channels. Nature 1990, 346, 651–655. [Google Scholar] [CrossRef]
- Godfraind, T.; Salomone, S.; Dessy, C.; Verhelst, B.; Dion, R.; Schoevaerts, J.C. Selectivity scale of calcium antagonists in the human cardiovascular system based on in vitro studies. J. Cardiovasc. Pharmacol. 1992, 20, 34–41. [Google Scholar] [CrossRef]
- Ghayur, M.N.; Gilani, A.H. Ginger lowers blood pressure through blockade of voltage-dependent calcium channels. J. Cardiovasc. Pharmacol. 2005, 45, 74–80. [Google Scholar] [CrossRef]
- Ali, N. Brine shrimp cytotoxicity of crude methanol extract and antispasmodic activity of α-amyrin acetate from Tylophora hirsuta Wall. BMC Complement. Altern. Med. 2013, 13, 135–137. [Google Scholar] [CrossRef]
- Ali, N.; Shah, S.W.A.; Ahmed, G.; Shah, I.; Shoaib, M.; Junaid, M.; Ali, W. Acute toxicity and antispasmodic activities of Achillea wilhelmsii C. Koch. Pak. J. Pharm. Sci. 2014, 27, 309–315. [Google Scholar]
- Khan, A.-U.; Gilani, A.H. Antispasmodic and bronchodilator activities of Artemisia vulgaris are mediated through dual blockade of muscarinic receptors and calcium influx. J. Ethnopharmacol. 2009, 126, 480–486. [Google Scholar] [CrossRef] [PubMed]
- Aziz, N.; Mehmood, M.H.; Gilani, A.-H. Studies on two polyherbal formulations (ZPTO and ZTO) for comparison of their antidyslipidemic, antihypertensive and endothelial modulating activities. BMC Complement. Altern. Med. 2013, 13, 371. [Google Scholar] [CrossRef] [PubMed]
- Karaki, H.; Ozaki, H.; Hori, M.; Mitsui-Saito, M.; Amano, K.-I.; Harada, K.-I.; Miyamoto, S.; Nakazawa, H.; Won, K.-J.; Sato, K. Calcium movements, distribution, and functions in smooth muscle. Pharmacol. Rev. 1997, 49, 157–230. [Google Scholar]
- Bolton, T. Mechanisms of action of transmitters and other substances on smooth muscle. Physiol. Rev. 1979, 59, 606–718. [Google Scholar] [CrossRef]
- Musha, S.; Watanabe, M.; Ishida, Y.; Kato, S.; Konishi, M.; Tomoda, A. A phenoxazine compound, 2-amino-4, 4α-dihydro-4α-7-dimethyl-3H-phenoxazine-3-one reverses the phenylephrine or high-K+ induced contraction of smooth muscles in rat aorta and guinea pig tenia cecum. Biol. Pharm. Bull. 2005, 28, 1521–1523. [Google Scholar] [CrossRef] [PubMed]





| Drugs | Aortae Status | % of KCL (Control Max) | % of NE (Control Max) | EC50 ± SD KCL Induced (Molar) | EC50 ± SD NE Induced (Molar) |
|---|---|---|---|---|---|
| Atorvastatin | Denuded | 34.4% | 36% | 3.64 × 10−5 ± 2.1 | 9.76 × 10−5 ± 3.5 |
| Intact | 39% | 33% | 1.85 × 10−6 ± 4.1 | 5.3 × 10−5 ± 3.0 | |
| Fluvastatin | Denuded | 45.4% | 10% | 4.78 × 10−5 ± 2.25 | 8.31 × 10−4 ± 1.49 |
| Intact | 28% | 17.3% | 1.46 × 10−5 ± 1.73 | 1.23 × 10−5 ± 1.35 | |
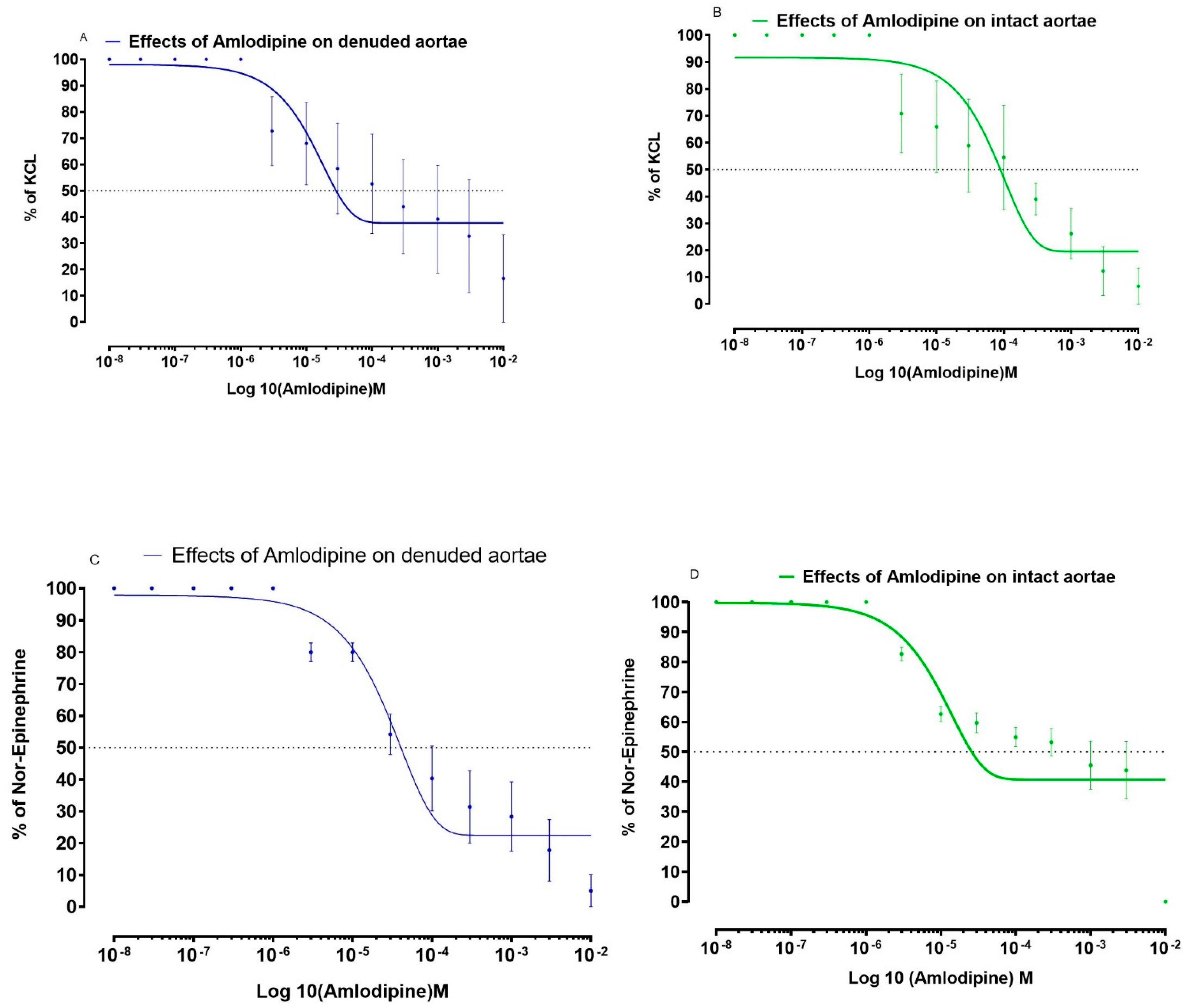
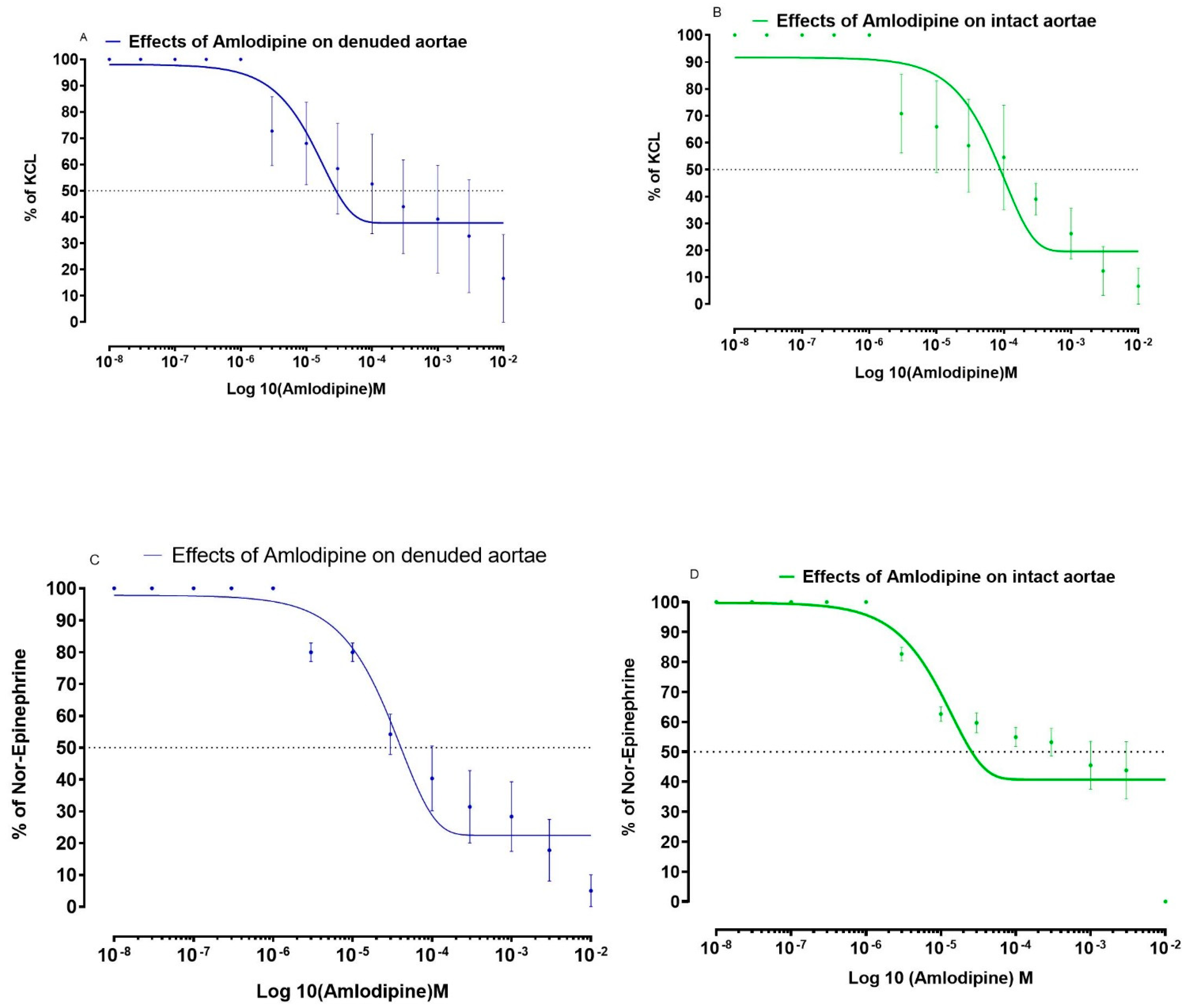
| Amlodipine | Denuded | 39.1% | 22.7% | 3.29 × 10−5 ± 1.69 | 3.83 × 10−5 ± 1.52 |
| Intact | 40% | 40.6% | 2.3 × 10−5 ± 1.11 | 2.52 × 10−5 ± 1.81 |
| Drugs | Aortae Status | % of KCL (Control Max) | % of NE (Control Max) | EC50 ± SD KCL Induced (Molar) | EC50 ± SD NE Induced (Molar) |
|---|---|---|---|---|---|
| Amlodipine + Atorvastatin | Denuded | 13% | 12.8% | 1.30 × 10−5 ± 2.1 | 4.38 × 10−6 ± 1.5 |
| Intact | 16.2% | 15.2% | 2.52 × 10−5 ± 0.01 | 1.26 × 10−5 ± 0.02 | |
| Amlodipine + Fluvastatin | Denuded | 10% | 10.6% | 6.50 × 10−6 ± 2.25 | 2.01 × 10−6 ± 1.49 |
| Intact | 12% | 13% | 3..87 × 10−6 ±1.73 | 3.1 × 10−6 ± 1.35 |
| Statins | CCRCs Specifications | EC50 Log [Ca++] M |
|---|---|---|
| Atorvastatin | Control | −2.81 |
| Test Concentration (2.7 × 10−7 M) | −2.27 ** | |
| Test Concentration (7.6 × 10−7 M) | −1.97 ** | |
| Fluvastatin | Control | −3.02 |
| Test Concentration (1.2 × 10−7 M) | −2.83 ** | |
| Test concentration (1.3 × 10−6 M) | −2.50 ** | |
| Verapamil | Control | −2.42 |
| Test Concentration (0.03 µM) | −1.41 ** | |
| Test concentration (0.1 µM) | −0.69 ** |
Disclaimer/Publisher’s Note: The statements, opinions and data contained in all publications are solely those of the individual author(s) and contributor(s) and not of MDPI and/or the editor(s). MDPI and/or the editor(s) disclaim responsibility for any injury to people or property resulting from any ideas, methods, instructions or products referred to in the content. |
© 2023 by the authors. Licensee MDPI, Basel, Switzerland. This article is an open access article distributed under the terms and conditions of the Creative Commons Attribution (CC BY) license (https://creativecommons.org/licenses/by/4.0/).
Share and Cite
Ali, N.; Ali, W.; Ullah, A.; Ahmad, S.; Alsaiari, A.A.; Almehmadi, M.; Abdulaziz, O.; Allahyani, M.; Aljuaid, A. Atorvastatin and Fluvastatin Potentiate Blood Pressure Lowering Effect of Amlodipine through Vasorelaxant Phenomenon. Medicina 2023, 59, 1023. https://doi.org/10.3390/medicina59061023
Ali N, Ali W, Ullah A, Ahmad S, Alsaiari AA, Almehmadi M, Abdulaziz O, Allahyani M, Aljuaid A. Atorvastatin and Fluvastatin Potentiate Blood Pressure Lowering Effect of Amlodipine through Vasorelaxant Phenomenon. Medicina. 2023; 59(6):1023. https://doi.org/10.3390/medicina59061023
Chicago/Turabian StyleAli, Niaz, Wajid Ali, Abid Ullah, Shujaat Ahmad, Ahad Amer Alsaiari, Mazen Almehmadi, Osama Abdulaziz, Mamdouh Allahyani, and Abdulelah Aljuaid. 2023. "Atorvastatin and Fluvastatin Potentiate Blood Pressure Lowering Effect of Amlodipine through Vasorelaxant Phenomenon" Medicina 59, no. 6: 1023. https://doi.org/10.3390/medicina59061023
APA StyleAli, N., Ali, W., Ullah, A., Ahmad, S., Alsaiari, A. A., Almehmadi, M., Abdulaziz, O., Allahyani, M., & Aljuaid, A. (2023). Atorvastatin and Fluvastatin Potentiate Blood Pressure Lowering Effect of Amlodipine through Vasorelaxant Phenomenon. Medicina, 59(6), 1023. https://doi.org/10.3390/medicina59061023

