Pulmonary Effects of One Week of Repeated Recreational Closed-Circuit Rebreather Dives in Cold Water
Abstract
1. Introduction
2. Methods
2.1. Diving Sites
2.2. Study Population
2.3. Diving Procedures
2.4. Measurements
2.4.1. Functional and Anatomical Pulmonary Monitoring
2.4.2. Hydration Status
2.4.3. Heart Rate Variability
3. Statistical Analysis
4. Results
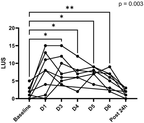
4.1. Respiratory and Pulmonary Parameters
4.2. Impedancemetry
4.3. Heart Rate Variability
5. Discussion
6. Limitations
7. Conclusions
Author Contributions
Funding
Institutional Review Board Statement
Informed Consent Statement
Data Availability Statement
Acknowledgments
Conflicts of Interest
Abbreviations
| ANOVA | analysis of variance | MSE | multi-scale entropy |
| ANS | autonomic nervous system | msw | meters of sea water |
| CCR | closed-circuit rebreather | OC | open circuit |
| DCS | decompression sickness | PEF | peak expiratory flow |
| ECW | extracellular body water | PNS | parasympathetic nervous system |
| FEF | forced expiratory flow | PpO2 | oxygen partial pressure |
| FEV1 | forced expiratory volume in one second | RMSSD | root mean square of the successive difference |
| FVC | forced vital capacity | SDNN | standard deviation of normal-to-normal R waves |
| HF | high frequency | ShanEn | Shannon entropy |
| HR | heart rate | SNS | sympathetic nervous system |
| HRV | heart-rate variability | SpO2 | pulse oxygen saturation |
| ICW | intracellular body water | TBW | total body water |
| LF | low frequency | VLF | very low frequency |
| LUS | lung ultrasound score |
References
- Mitchell, S.J.; Doolette, D.J. Recreational Technical Diving Part 1: An Introduction to Technical Diving Methods and Activities. Diving Hyperb. Med. 2013, 43, 86–93. [Google Scholar] [PubMed]
- Gempp, E.; Louge, P.; Blatteau, J.-E.; Hugon, M. Descriptive Epidemiology of 153 Diving Injuries With Rebreathers Among French Military Divers From 1979 to 2009. Mil. Med. 2011, 176, 446–450. [Google Scholar] [CrossRef] [PubMed][Green Version]
- Marinovic, J.; Ljubkovic, M.; Obad, A.; Breskovic, T.; Salamunic, I.; Denoble, P.J.; Dujic, Z. Assessment of Extravascular Lung Water and Cardiac Function in Trimix SCUBA Diving. Med. Sci. Sports Exerc. 2010, 42, 1054–1061. [Google Scholar] [CrossRef] [PubMed]
- Tetzlaff, K.; Thomas, P.S. Short- and Long-Term Effects of Diving on Pulmonary Function. Eur. Respir. Rev. 2017, 26, 160097. [Google Scholar] [CrossRef]
- Martinez-Villar, M.; Tello-Montoliu, A.; Olea, A.; Pujante, Á.; Saura, D.; Martín, S.; Venero, N.; Carneiro-Mosquera, A.; Ruiz de Pascual, N.; Valero, N.; et al. Global Longitudinal Strain Assessment of Cardiac Function and Extravascular Lung Water Formation after Diving Using Semi-Closed Circuit Rebreather. Eur. J. Appl. Physiol. 2022, 122, 945–954. [Google Scholar] [CrossRef] [PubMed]
- Castagna, O.; Regnard, J.; Gempp, E.; Louge, P.; Brocq, F.X.; Schmid, B.; Desruelle, A.-V.; Crunel, V.; Maurin, A.; Chopard, R.; et al. The Key Roles of Negative Pressure Breathing and Exercise in the Development of Interstitial Pulmonary Edema in Professional Male SCUBA Divers. Sports Med.-Open 2018, 4, 1. [Google Scholar] [CrossRef]
- Dujic, Z.; Bakovic, D.; Marinovic-Terzic, I.; Eterovic, D. Acute Effects of a Single Open Sea Air Dive and Post-Dive Posture on Cardiac Output and Pulmonary Gas Exchange in Recreational Divers. Br. J. Sports Med. 2005, 39, e24. [Google Scholar] [CrossRef]
- Ljubkovic, M.; Gaustad, S.E.; Marinovic, J.; Obad, A.; Ivancev, V.; Bilopavlovic, N.; Breskovic, T.; Wisloff, U.; Brubakk, A.; Dujic, Z. Ultrasonic Evidence of Acute Interstitial Lung Edema after SCUBA Diving Is Resolved within 2–3 h. Respir. Physiol. Neurobiol. 2010, 171, 165–170. [Google Scholar] [CrossRef]
- Skogstad, M.; Thorsen, E.; Haldorsen, T.; Melbostad, E.; Tynes, T.; Westrum, B. Divers’ Pulmonary Function after Open-Sea Bounce Dives to 10 and 50 Meters. Undersea Hyperb. Med. J. Undersea Hyperb. Med. Soc. Inc. 1996, 23, 71–75. [Google Scholar]
- Tetzlaff, K.; Friege, L.; Koch, A.; Heine, L.; Neubauer, B.; Struck, N.; Mutzbauer, T.S. Effects of Ambient Cold and Depth on Lung Function in Humans after a Single Scuba Dive. Eur. J. Appl. Physiol. 2001, 85, 125–129. [Google Scholar] [CrossRef]
- Van Ooij, P.J.A.M.; Van Hulst, R.A.; Houtkooper, A.; Sterk, P.J. Differences in Spirometry and Diffusing Capacity after a 3-h Wet or Dry Oxygen Dive with a PO2 of 150 KPa: Spirometry and Diffusing Capacity after a 3-h Oxygen Dive. Clin. Physiol. Funct. Imaging 2011, 31, 405–410. [Google Scholar] [CrossRef] [PubMed]
- Dugrenot, E.; Balestra, C.; Gouin, E.; L’Her, E.; Guerrero, F. Physiological Effects of Mixed-Gas Deep Sea Dives Using a Closed-Circuit Rebreather: A Field Pilot Study. Eur. J. Appl. Physiol. 2021, 121, 3323–3331. [Google Scholar] [CrossRef] [PubMed]
- Castagna, O.; Bergmann, C.; Blatteau, J.E. Is a 12-h Nitrox Dive Hazardous for Pulmonary Function? Eur. J. Appl. Physiol. 2019, 119, 2723–2731. [Google Scholar] [CrossRef] [PubMed]
- Bosco, G.; Rizzato, A.; Quartesan, S.; Camporesi, E.; Mrakic-Sposta, S.; Moretti, S.; Balestra, C.; Rubini, A. Spirometry and Oxidative Stress after Rebreather Diving in Warm Water. Undersea Hyperb. Med. 2018, 45, 191–198. [Google Scholar] [CrossRef] [PubMed]
- Lichtenstein, D.; Mézière, G.; Biderman, P.; Gepner, A.; Barré, O. The Comet-Tail Artifact. An Ultrasound Sign of Alveolar-Interstitial Syndrome. Am. J. Respir. Crit. Care Med. 1997, 156, 1640–1646. [Google Scholar] [CrossRef] [PubMed]
- Picano, E.; Pellikka, P.A. Ultrasound of Extravascular Lung Water: A New Standard for Pulmonary Congestion. Eur. Heart J. 2016, 37, 2097–2104. [Google Scholar] [CrossRef] [PubMed]
- Dujic, Z.; Marinovic, J.; Obad, A.; Ivancev, V.; Breskovic, T.; Jovovic, P.; Ljubkovic, M. A No-Decompression Air Dive and Ultrasound Lung Comets. Aviat. Space Environ. Med. 2011, 82, 40–43. [Google Scholar] [CrossRef]
- Lambrechts, K.; Germonpré, P.; Charbel, B.; Cialoni, D.; Musimu, P.; Sponsiello, N.; Marroni, A.; Pastouret, F.; Balestra, C. Ultrasound Lung “Comets” Increase after Breath-Hold Diving. Eur. J. Appl. Physiol. 2011, 111, 707–713. [Google Scholar] [CrossRef]
- Shaffer, F.; Ginsberg, J.P. An Overview of Heart Rate Variability Metrics and Norms. Front. Public Health 2017, 5, 258. [Google Scholar] [CrossRef]
- Chouchou, F.; Pichot, V.; Garet, M.; Barthélémy, J.-C.; Roche, F. Dominance in Cardiac Parasympathetic Activity during Real Recreational SCUBA Diving. Eur. J. Appl. Physiol. 2009, 106, 345–352. [Google Scholar] [CrossRef]
- Lundell, R.V.; Tuominen, L.; Ojanen, T.; Parkkola, K.; Räisänen-Sokolowski, A. Diving Responses in Experienced Rebreather Divers: Short-Term Heart Rate Variability in Cold Water Diving. Front. Physiol. 2021, 12, 649319. [Google Scholar] [CrossRef] [PubMed]
- Lafère, P.; Lambrechts, K.; Germonpré, P.; Balestra, A.; Germonpré, F.L.; Marroni, A.; Cialoni, D.; Bosco, G.; Balestra, C. Heart Rate Variability During a Standard Dive: A Role for Inspired Oxygen Pressure? Front. Physiol. 2021, 12, 635132. [Google Scholar] [CrossRef] [PubMed]
- World Medical Association. World Medical Association Declaration of Helsinki: Ethical Principles for Medical Research Involving Human Subjects. JAMA 2013, 310, 2191. [Google Scholar] [CrossRef] [PubMed]
- Lafère, P.; Guerrero, F.; Germonpré, P.; Balestra, C. Comparison of Insulation Provided by Dry or Wetsuits among Recreational Divers during Cold Water Immersion (<5 °C). Int. Marit. Health 2021, 72, 217–222. [Google Scholar] [CrossRef]
- Quanjer, P.H.; Stanojevic, S.; Cole, T.J.; Baur, X.; Hall, G.L.; Culver, B.H.; Enright, P.L.; Hankinson, J.L.; Ip, M.S.M.; Zheng, J.; et al. Multi-Ethnic Reference Values for Spirometry for the 3–95-Yr Age Range: The Global Lung Function 2012 Equations. Eur. Respir. J. 2012, 40, 1324–1343. [Google Scholar] [CrossRef]
- Graham, B.L.; Steenbruggen, I.; Miller, M.R.; Barjaktarevic, I.Z.; Cooper, B.G.; Hall, G.L.; Hallstrand, T.S.; Kaminsky, D.A.; McCarthy, K.; McCormack, M.C.; et al. Standardization of Spirometry 2019 Update. An Official American Thoracic Society and European Respiratory Society Technical Statement. Am. J. Respir. Crit. Care Med. 2019, 200, e70–e88. [Google Scholar] [CrossRef]
- Bouhemad, B.; Mongodi, S.; Via, G.; Rouquette, I. Ultrasound for “Lung Monitoring” of Ventilated Patients. Anesthesiology 2015, 122, 437–447. [Google Scholar] [CrossRef]
- Mongodi, S.; De Luca, D.; Colombo, A.; Stella, A.; Santangelo, E.; Corradi, F.; Gargani, L.; Rovida, S.; Volpicelli, G.; Bouhemad, B.; et al. Quantitative Lung Ultrasound: Technical Aspects and Clinical Applications. Anesthesiology 2021, 134, 949–965. [Google Scholar] [CrossRef]
- Marini, E.; Campa, F.; Buffa, R.; Stagi, S.; Matias, C.N.; Toselli, S.; Sardinha, L.B.; Silva, A.M. Phase Angle and Bioelectrical Impedance Vector Analysis in the Evaluation of Body Composition in Athletes. Clin. Nutr. 2020, 39, 447–454. [Google Scholar] [CrossRef]
- Balestra, C.; Guerrero, F.; Theunissen, S.; Germonpré, P.; Lafère, P. Physiology of Repeated Mixed Gas 100-m Wreck Dives Using a Closed-Circuit Rebreather: A Field Bubble Study. Eur. J. Appl. Physiol. 2022, 122, 515–522. [Google Scholar] [CrossRef]
- Wekre, S.L.; Landsverk, H.D.; Lautridou, J.; Hjelde, A.; Imbert, J.P.; Balestra, C.; Eftedal, I. Hydration Status during Commercial Saturation Diving Measured by Bioimpedance and Urine Specific Gravity. Front. Physiol. 2022, 13, 971757. [Google Scholar] [CrossRef] [PubMed]
- Kyle, U. Bioelectrical Impedance Analysis?Part I: Review of Principles and Methods. Clin. Nutr. 2004, 23, 1226–1243. [Google Scholar] [CrossRef] [PubMed]
- Bosy-Westphal, A.; Danielzik, S.; Dörhöfer, R.-P.; Later, W.; Wiese, S.; Müller, M.J. Phase Angle From Bioelectrical Impedance Analysis: Population Reference Values by Age, Sex, and Body Mass Index. J. Parenter Enter. Nutr. 2006, 30, 309–316. [Google Scholar] [CrossRef] [PubMed]
- Plews, D.J.; Scott, B.; Altini, M.; Wood, M.; Kilding, A.E.; Laursen, P.B. Comparison of Heart-Rate-Variability Recording With Smartphone Photoplethysmography, Polar H7 Chest Strap, and Electrocardiography. Int. J. Sports Physiol. Perform. 2017, 12, 1324–1328. [Google Scholar] [CrossRef]
- Malik, M. Heart Rate Variability: Standards of Measurement, Physiological Interpretation, and Clinical Use. Circulation 1996, 93, 1043–1065. [Google Scholar] [CrossRef]
- Tarvainen, M.P.; Niskanen, J.-P.; Lipponen, J.A.; Ranta-aho, P.O.; Karjalainen, P.A. Kubios HRV–Heart Rate Variability Analysis Software. Comput. Methods Programs Biomed. 2014, 113, 210–220. [Google Scholar] [CrossRef]
- Nunan, D.; Sandercock, G.R.H.; Brodie, D.A. A Quantitative Systematic Review of Normal Values for Short-Term Heart Rate Variability in Healthy Adults: Review of Short-Term HRV Values. Pacing Clin. Electrophysiol. 2010, 33, 1407–1417. [Google Scholar] [CrossRef]
- Clark, J.M.; Lambertsen, C.J. Pulmonary Oxygen Toxicity: A Review. Pharmacol. Rev. 1971, 23, 37–133. [Google Scholar]
- Fock, A.; Harris, R.; Slade, M. Oxygen Exposure and Toxicity in Recreational Technical Divers. Diving Hyperb. Med. 2013, 43, 67–71. [Google Scholar]
- Castagna, O.; Gempp, E.; Poyet, R.; Schmid, B.; Desruelle, A.-V.; Crunel, V.; Maurin, A.; Choppard, R.; MacIver, D.H. Cardiovascular Mechanisms of Extravascular Lung Water Accumulation in Divers. Am. J. Cardiol. 2017, 119, 929–932. [Google Scholar] [CrossRef]
- Soldati, G.; Demi, M.; Smargiassi, A.; Inchingolo, R.; Demi, L. The Role of Ultrasound Lung Artifacts in the Diagnosis of Respiratory Diseases. Expert Rev. Respir. Med. 2019, 13, 163–172. [Google Scholar] [CrossRef] [PubMed]
- Dussault, C.; Gontier, E.; Verret, C.; Soret, M.; Boussuges, A.; Hedenstierna, G.; Montmerle-Borgdorff, S. Hyperoxia and Hypergravity Are Independent Risk Factors of Atelectasis in Healthy Sitting Humans: A Pulmonary Ultrasound and SPECT/CT Study. J. Appl. Physiol. 2016, 121, 66–77. [Google Scholar] [CrossRef] [PubMed]
- Jubran, A. Pulse Oximetry. Crit. Care 2015, 19, 272. [Google Scholar] [CrossRef] [PubMed]
- Castagna, O.; Desruelle, A.; Blatteau, J.-E.; Schmid, B.; Dumoulin, G.; Regnard, J. Alterations in Body Fluid Balance During Fin Swimming in 29 °C Water in a Population of Special Forces Divers. Int. J. Sports Med. 2015, 36, 1125–1133. [Google Scholar] [CrossRef] [PubMed]
- Gempp, E.; Blatteau, J.E.; Pontier, J.-M.; Balestra, C.; Louge, P. Preventive Effect of Pre-Dive Hydration on Bubble Formation in Divers. Br. J. Sports Med. 2009, 43, 224–228. [Google Scholar] [CrossRef]
- Han, K.-H.; Hyun, G.-S.; Jee, Y.-S.; Park, J.-M. Effect of Water Amount Intake before Scuba Diving on the Risk of Decompression Sickness. Int. J. Environ. Res. Public Health 2021, 18, 7601. [Google Scholar] [CrossRef]
- Henckes, A.; Cochard, G.; Gatineau, F.; Louge, P.; Gempp, E.; Demaistre, S.; Nowak, E.; Ozier, Y. Risk Factors for Immersion Pulmonary Edema in Recreational Scuba Divers: A Case-Control Study. Undersea Hyperb. Med. J. Undersea Hyperb. Med. Soc. Inc. 2019, 46, 611–618. [Google Scholar] [CrossRef]
- Weiler-Ravell, D.; Shupak, A.; Goldenberg, I.; Halpern, P.; Shoshani, O.; Hirschhorn, G.; Margulis, A. Pulmonary Oedema and Haemoptysis Induced by Strenuous Swimming. BMJ 1995, 311, 361–362. [Google Scholar] [CrossRef]
- Ackermann, S.P.; Raab, M.; Backschat, S.; Smith, D.J.C.; Javelle, F.; Laborde, S. The Diving Response and Cardiac Vagal Activity: A Systematic Review and Meta-analysis. Psychophysiology 2022, 00, e14183. [Google Scholar] [CrossRef]
- Noh, Y.; Posada-Quintero, H.F.; Bai, Y.; White, J.; Florian, J.P.; Brink, P.R.; Chon, K.H. Effect of Shallow and Deep SCUBA Dives on Heart Rate Variability. Front. Physiol. 2018, 9, 110. [Google Scholar] [CrossRef]
- Zenske, A.; Kähler, W.; Koch, A.; Oellrich, K.; Pepper, C.; Muth, T.; Schipke, J.D. Does Oxygen-Enriched Air Better than Normal Air Improve Sympathovagal Balance in Recreational Divers?An Open-Water Study. Res. Sports Med. 2020, 28, 397–412. [Google Scholar] [CrossRef] [PubMed]
- Stein, P.K.; Reddy, A. Non-Linear Heart Rate Variability and Risk Stratification in Cardiovascular Disease. Indian Pacing Electrophysiol. J. 2005, 5, 210–220. [Google Scholar] [PubMed]
- Kim, H.-G.; Cheon, E.-J.; Bai, D.-S.; Lee, Y.H.; Koo, B.-H. Stress and Heart Rate Variability: A Meta-Analysis and Review of the Literature. Psychiatry Investig. 2018, 15, 235–245. [Google Scholar] [CrossRef] [PubMed]




| Median (1st–3rd Quartile) | |
|---|---|
| Age (years) | 40.5 [36.25; 47] |
| Weight (kg) | 80 [75; 103] |
| Height (cm) | 178 [175; 187] |
| BMI (kg.cm−2) | 25.7 [23; 30.3] |
| D1 (2 or 3 Dives) Air Diluent | D3 (2 Dives) Air Diluent | D4 (2 Dives) Air Diluent | D5 (1 Dive) Trimix 15/40 | D6 (1 Dive) Trimix 10/50 | |
|---|---|---|---|---|---|
| Maximal depth (msw) | 19.7 [13; 20.9] | 29.3 [28.6; 33.8] | 32.9 [28.6; 37.8] | 44.8 [41.6; 44.9] | 64.7 [46.1; 70.1] |
| Mean depth (msw) | 14.3 [9.3; 16.0] | 22.3 [20.8; 23.3] | 22.0 [21; 22.3] | 24.2 [23; 24.5] | 24.1 [23.6; 24.3] |
| Each dive time (min) | 54 [41; 63] | 66 [55; 94] | 64 [58; 73] | 99 [83; 99] | 90 [88; 92] |
| Total dive time (min) | 147 [98; 172] | 136 [93; 168] | 126 [109; 141] | 99 [83; 99] | 90 [88; 92] |
| Cumulative CNS (%) | 38 [22; 48] | 47 [39; 58] | 43 [34; 50] | 52 [46; 53] | 49 [45; 52] |
| Baseline | D1 | D3 | D4 | D5 | D6 | Post 24 h | p-Value | |
|---|---|---|---|---|---|---|---|---|
| FVC (l) (% pred) | 5.6 [4.8; 6] 106 [101; 111] | 5.8 [5.1; 6.5] 112 [100; 117] | 6.0 [5.9; 6.6] 115 [108; 123] | 5.9 [5.4; 6.5] 112 [106; 118] | 6.2 [4.9; 6.5] 107 [101; 115] | 6.2 [5.4; 6.4] 112 [102; 119] | 6.1 [5.2; 6.4] 107 [104; 117] | 0.2 |
| FEV1 (l) (% pred) | 4.4 [4.0; 4.5] 101 [96; 111] | 4.5 [4.2; 4.7] 104 [98; 117] | 4.5 [4.1; 4.7] 107 [94; 113] | 4.6 [4.3; 4.7] 103 [95; 116] | 4.6 [4.0; 4.8] 100 [93; 113] | 4.5 [4.2; 4.8] 101 [91; 114] | 4.5 [4.3; 4.6] 105 [95; 113] | 0.5 |
| FEV1/FVC (%) (% pred) | 78 [72; 84] 96 [89; 105] | 78 [71; 81] 97 [88; 101] | 74 [70; 78] 91 [88; 97] | 78 [72; 79] 97 [89; 99] | 77 [72; 81] 95 [89; 102] | 77 [72; 78] 94 [89; 97] | 77 [71; 82] 96 [88; 102] | 0.4 |
| PEF (l.s−1) (% pred) | 11.6 [11.1; 12.2] 125 [117; 134] | 12.3 [10.9; 13.0] 133 [115; 138] | 11.7 [10.7; 12.4] 122 [115; 136] | 12.0 [10.9; 12.5] 132 [121; 134] | 11.6 [10.4; 12.6] 120 [110; 129] | 11.7 [10.6; 13.2] 123 [108; 132] | 11.5 [10.6; 13.6] 125 [113; 147] | 0.4 |
| FEF2575 (l.s−1) (% pred) | 3.8 [3.1; 4.7] 95 [74; 120] | 3.7 [3.0; 4.9] 97 [75; 116] | 3.3 [3.1; 3.6] 82 [70; 97] | 3.4 [3.3; 4.0] 92 [71; 113] | 3.8 [3.2; 4.4] 86 [74; 115] | 3.4 [3.0; 4.2] 97 [67; 100] | 3.5 [3.2; 4.5] 91 [72; 119] | 0.8 |
| SpO2 (%) | 97.8 [97.4; 98.4] | 96.2 [95.7; 97.2] * | 96.6 [95.5; 97.3] * | 96.5 [96.3; 97.1] | 96.6 [95.5; 97.1] | 96.2 [95; 96.7] * | 97.4 [96.7; 97.7] | 0.02 |
| HR (bpm) | 78 [67; 86] | 98 [97; 104] *,†† | 94 [87; 103] *,† | 94 [84; 99] † | 98 [96; 104] *,† | 91 [80; 97] | 80 [71; 83] | <0.0001 |
| Baseline (Rest) | Dive | Post 24 h (Rest) | p-Value | |
|---|---|---|---|---|
| Time domain | ||||
| Mean HR (bpm) | 90 [65; 92] *** | 118 [108; 135] | 75 [74; 82] **** | <0.0001 |
| SDNN (ms) | 54.6 [51.4; 95] | 35.7 [28.2; 65.3] | 53.9 [53; 81.8] | 0.05 |
| RMSSD (ms) | 24.2 [20.3; 26.6] ** | 6.1 [3.3; 9.1] | 20.4 [19.8; 38.9] **** | <0.0001 |
| RR triangular index | 14.47 [13.21; 18.25] * | 9.71 [7.99; 15.12] | 14.41 [11.07; 22.05] | 0.02 |
| Frequency domain | ||||
| VLF (ms2) | 1302 [947; 2683] | 802 [467; 1908] | 1843 [1780; 1932] | 0.1 |
| LF (ms2) | 1259 [1000; 2445] **** | 69 [28; 210] | 775 [773; 2885] ** | <0.0001 |
| HF (ms2) | 117 [92; 253] ** | 10 [3; 50] | 134 [97; 629] **** | <0.0001 |
| LF/HF ratio | 11.35 [4.936; 13.68] * | 5.764 [3.629; 9.095] | 5.75 [4.585; 7.504] † | 0.01 |
| Non-linear results | ||||
| SD1 (ms) | 17.1 [14.4; 18.8] *** | 4.3 [2.3; 6.4] | 14.4 [14; 27.5] *** | <0.0001 |
| SD2 (ms) | 74.8 [71.3; 133.2] | 50.1 [39.8; 78.3) ] | 74.9 [73.4; 112.4] | 0.05 |
| SD2/SD1 ratio | 4.965 [3.976; 5.553] **** | 12.59 [7.818; 18.04] | 5.187 [4.087; 5.249] **** | <0.0001 |
| ShanEn | 3.37 [2.946; 3.47] **** | 4.238 [3.934; 4.553] | 3.463 [3.102; 3.578] *** | <0.0001 |
| MSE min | 0.758 [0.711; 0.892] | 0.658 [0.447; 0.797] | 1.044 [0.914; 1.124] ****, †† | <0.0001 |
| MSE max | 2.787 [2.224; 2.902] **** | 1.544 [1.358; 1.79] | 2.485 [2.208; 2.65] *** | <0.0001 |
Disclaimer/Publisher’s Note: The statements, opinions and data contained in all publications are solely those of the individual author(s) and contributor(s) and not of MDPI and/or the editor(s). MDPI and/or the editor(s) disclaim responsibility for any injury to people or property resulting from any ideas, methods, instructions or products referred to in the content. |
© 2022 by the authors. Licensee MDPI, Basel, Switzerland. This article is an open access article distributed under the terms and conditions of the Creative Commons Attribution (CC BY) license (https://creativecommons.org/licenses/by/4.0/).
Share and Cite
Gouin, E.; Balestra, C.; Orsat, J.; Dugrenot, E.; L’Her, E. Pulmonary Effects of One Week of Repeated Recreational Closed-Circuit Rebreather Dives in Cold Water. Medicina 2023, 59, 81. https://doi.org/10.3390/medicina59010081
Gouin E, Balestra C, Orsat J, Dugrenot E, L’Her E. Pulmonary Effects of One Week of Repeated Recreational Closed-Circuit Rebreather Dives in Cold Water. Medicina. 2023; 59(1):81. https://doi.org/10.3390/medicina59010081
Chicago/Turabian StyleGouin, Emmanuel, Costantino Balestra, Jeremy Orsat, Emmanuel Dugrenot, and Erwan L’Her. 2023. "Pulmonary Effects of One Week of Repeated Recreational Closed-Circuit Rebreather Dives in Cold Water" Medicina 59, no. 1: 81. https://doi.org/10.3390/medicina59010081
APA StyleGouin, E., Balestra, C., Orsat, J., Dugrenot, E., & L’Her, E. (2023). Pulmonary Effects of One Week of Repeated Recreational Closed-Circuit Rebreather Dives in Cold Water. Medicina, 59(1), 81. https://doi.org/10.3390/medicina59010081

