Pulse Wave Velocity, a Predictor of Major Adverse Cardiovascular Events, and Its Correlation with the General Stress Level of Health Care Workers during the COVID-19 Pandemic
Abstract
:1. Introduction
2. Materials and Methods
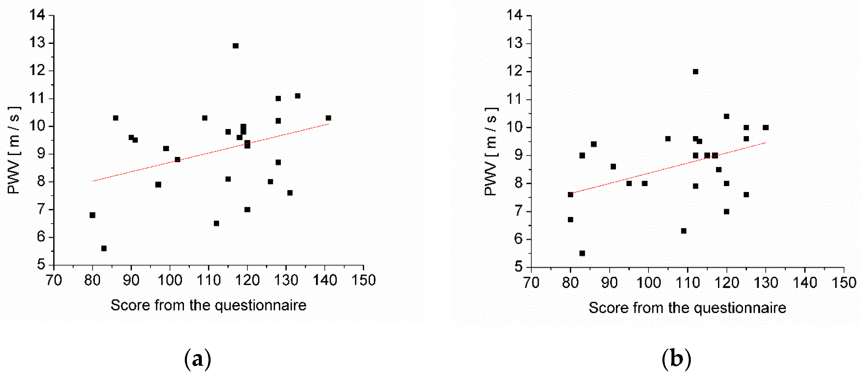
3. Results
4. Discussion
5. Conclusions
Author Contributions
Funding
Institutional Review Board Statement
Informed Consent Statement
Data Availability Statement
Acknowledgments
Conflicts of Interest
References
- Tomlin, J.; Dalgleish-Warburton, B.; Lamph, G. Psychosocial Support for Healthcare Workers During the COVID-19 Pandemic. Front. Psychol. 2020, 11, 1960. [Google Scholar] [CrossRef]
- Walton, M.; Murray, E.; Christian, M.D. Mental health care for medical staff and affiliated healthcare workers during the COVID-19 pandemic. Eur. Heart J. Acute Cardiovasc. Care 2020, 9, 241–247. [Google Scholar] [CrossRef] [PubMed]
- Benito Oliver, E.; Arranz Carrillo de Albornoz, P.; Cancio López, H. Herramientas para el autocuidado del profesional que atiende a personas que sufren. FMC. Form. Médica Contin. En. Atención Primaria 2011, 18, 59–65. [Google Scholar] [CrossRef]
- Grossman, P.; Niemann, L.; Schmidt, S.; Walach, H. Mindfulness-based stress reduction and health benefits. A meta-analysis. J. Psychosom. Res. 2004, 57, 35–43. [Google Scholar] [CrossRef]
- Bryant, R.A.; Harvey, A.G. Acute stress disorder: A critical review of diagnostic issues. Clin. Psychol. Rev. 1997, 17, 757–773. [Google Scholar] [CrossRef]
- Vere, C.C.; Streba, C.T.; Streba, L.M.; Ionescu, A.G.; Sima, F. Psychosocial stress and liver disease status. World J. Gastroenterol. 2009, 15, 2980–2986. [Google Scholar] [CrossRef]
- Nagano, J.; Nagase, S.; Sudo, N.; Kubo, C. Psychosocial stress, personality, and the severity of chronic hepatitis C. Psychosomatics 2004, 45, 100–106. [Google Scholar] [CrossRef]
- Eckerling, A.; Ricon-Becker, I.; Sorski, L.; Sandbank, E.; Ben-Eliyahu, S. Stress and cancer: Mechanisms, significance and future directions. Nat. Rev. Cancer 2021, 21, 767–785. [Google Scholar] [CrossRef]
- Surwit, R.S.; Schneider, M.S.; Feinglos, M.N. Stress and diabetes mellitus. Diabetes Care 1992, 15, 1413–1422. [Google Scholar] [CrossRef] [Green Version]
- Hewitt, G.; Jurk, D.; Marques, F.D.; Correia-Melo, C.; Hardy, T.; Gackowska, A.; Anderson, R.; Taschuk, M.; Mann, J.; Passos, J.F. Telomeres are favoured targets of a persistent DNA damage response in ageing and stress-induced senescence. Nat. Commun. 2012, 3, 708. [Google Scholar] [CrossRef]
- Yao, B.C.; Meng, L.B.; Hao, M.L.; Zhang, Y.M.; Gong, T.; Guo, Z.G. Chronic stress: A critical risk factor for atherosclerosis. J. Int. Med. Res. 2019, 47, 1429–1440. [Google Scholar] [CrossRef] [PubMed]
- Kelly, J.J.; Mangos, G.; Williamson, P.M.; Whitworth, J.A. Cortisol and hypertension. Clin. Exp. Pharm. Physiol. Suppl. 1998, 25, S51–S56. [Google Scholar] [CrossRef] [PubMed]
- Mannelli, M.; Pupilli, C.; Lanzillotti, R.; Ianni, L.; Serio, M. Catecholamines and Blood Pressure Regulation. Horm. Res. Paediatr. 1990, 34, 156–160. [Google Scholar] [CrossRef] [PubMed]
- van Popele, N.M.; Grobbee, D.E.; Bots, M.L.; Asmar, R.; Topouchian, J.; Reneman, R.S.; Hoeks, A.P.; van der Kuip, D.A.; Hofman, A.; Witteman, J.C. Association between arterial stiffness and atherosclerosis: The Rotterdam Study. Stroke 2001, 32, 454–460. [Google Scholar] [CrossRef] [PubMed] [Green Version]
- Blacher, J.; Safar, M.E.; Guerin, A.P.; Pannier, B.; Marchais, S.J.; London, G.M. Aortic pulse wave velocity index and mortality in end-stage renal disease. Kidney Int. 2003, 63, 1852–1860. [Google Scholar] [CrossRef] [Green Version]
- Laurent, S.; Boutouyrie, P.; Asmar, R.; Gautier, I.; Laloux, B.; Guize, L.; Ducimetiere, P.; Benetos, A. Aortic stiffness is an independent predictor of all-cause and cardiovascular mortality in hypertensive patients. Hypertension 2001, 37, 1236–1241. [Google Scholar] [CrossRef] [Green Version]
- Cruickshank, K.; Riste, L.; Anderson, S.G.; Wright, J.S.; Dunn, G.; Gosling, R.G. Aortic pulse-wave velocity and its relationship to mortality in diabetes and glucose intolerance: An integrated index of vascular function? Circulation 2002, 106, 2085–2090. [Google Scholar] [CrossRef] [Green Version]
- Logan, J.G.; Barksdale, D.J.; Carlson, J.; Carlson, B.W.; Rowsey, P.J. Psychological stress and arterial stiffness in Korean Americans. J. Psychosom Res. 2012, 73, 53–58. [Google Scholar] [CrossRef] [Green Version]
- Nomura, K.; Nakao, M.; Karita, K.; Nishikitani, M.; Yano, E. Association between work-related psychological stress and arterial stiffness measured by brachial-ankle pulse-wave velocity in young Japanese males from an information service company. Scand. J. Work Env. Health 2005, 31, 352–359. [Google Scholar] [CrossRef]
- Kantermann, T.; Duboutay, F.; Haubruge, D.; Kerkhofs, M.; Schmidt-Trucksäss, A.; Skene, D.J. Atherosclerotic risk and social jetlag in rotating shift-workers: First evidence from a pilot study. Work 2013, 46, 273–282. [Google Scholar] [CrossRef] [Green Version]
- Van Bortel, L.M.; Duprez, D.; Starmans-Kool, M.J.; Safar, M.E.; Giannattasio, C.; Cockcroft, J.; Kaiser, D.R.; Thuillez, C. Clinical applications of arterial stiffness, Task Force III: Recommendations for user procedures. Am. J. Hypertens. 2002, 15, 445–452. [Google Scholar] [CrossRef] [Green Version]
- Melgosa, J. Un nou Stil de Viata. Fara Stres; Viata si Sanatate: Bucuresti, Romania, 2000; pp. 155–161. [Google Scholar]
- Esteban-Sepúlveda, S.; Terradas-Robledo, R.; Castro-Ribeiro, T.; García-Pagès, E.; Sobregrau-Sangrà, P.; Lacueva-Pérez, L. Pandemia COVID-19 sobre profesionales sanitarios en un hospital de tercer nivel en España: Cambios laborales durante la primera ola, salud mental a los 4 meses y seguimiento a los 9 meses. Enfermería Clínica 2022, 32, 143–151. [Google Scholar] [CrossRef] [PubMed]
- Naldi, A.; Vallelonga, F.; Di Liberto, A.; Cavallo, R.; Agnesone, M.; Gonella, M.; Sauta, M.D.; Lochner, P.; Tondo, G.; Gragazzi, N.L.; et al. COVID-19 pandemic-related anxiety, distress and burnout: Prevalence and associated factors in healthcare workers of North-West Italy. BJPsych Open 2021, 7, 1–9. [Google Scholar] [CrossRef] [PubMed]
- Buchanan, T.M.; McConnell, A.R. Family as a source of support under stress: Benefits of greater breadth of family inclusion. Self Identity 2017, 16, 97–122. [Google Scholar] [CrossRef]
- Gayatri, M.; Irawaty, D.K. Family Resilience during COVID-19 Pandemic: A Literature Review. Fam. J. 2022, 30, 132–138. [Google Scholar] [CrossRef]
- Lieberoth, A.; Lin, S.Y.; Stöckli, S.; Han, H.; Kowal, M.; Gelpi, R.; Chrona, S.; Tran, T.P.; Jeftić, A.; Rasmussen, J.; et al. COVIDiSTRESS global survey consortium. Stress and worry in the 2020 coronavirus pandemic: Relationships to trust and compliance with preventive measures across 48 countries in the COVIDiSTRESS global survey. R. Soc. Open Sci. 2021, 8, 200589. [Google Scholar] [CrossRef]
- Lee, M.; You, M. Psychological and behavioral responses in south korea during the early stages of Coronavirus Disease 2019 (COVID-19). Int. J. Env. Res. Public Health 2020, 17, 2977. [Google Scholar] [CrossRef]
- Park, C.L.; Russell, B.S.; Fendrich, M.; Finkelstein-Fox, L.; Hutchison, M.; Becker, J. Americans‘ COVID-19 Stress, Coping, and Adherence to CDC Guidelines. J. Gen. Intern. Med. 2020, 35, 2296–2303. [Google Scholar] [CrossRef]
- Babapour, A.R.; Gahassab-Mozaffari, N.; Fathnezhad-Kazemi, A. Nurses’ job stress and its impact on quality of life and caring behaviors: A cross-sectional study. BMC Nurs. 2022, 21, 2–10. [Google Scholar] [CrossRef]
- The Reference Values for Arterial Stiffness‘ Collaboration. Determinants of pulse wave velocity in healthy people and in the presence of cardiovascular risk factors: ‘establishing normal and reference values’. Eur. Heart J. 2010, 31, 2338–2350. [Google Scholar] [CrossRef]
- Vlachopoulos, C.; Kosmopoulou, F.; Alexopoulos, N.; Ioakeimidis, N.; Siasos, G.; Stefanadis, C. Acute mental stress has a prolonged unfavorable effect on arterial stiffness and wave reflections. Psychosom. Med. 2006, 68, 231–237. [Google Scholar] [CrossRef]
- Kume, D.; Nishiwaki, M.; Hotta, N.; Endoh, H. Impact of acute mental stress on segmental arterial stiffness. Eur. J. Appl. Physiol. 2020, 120, 2247–2257. [Google Scholar] [CrossRef] [PubMed]
- Lydakis, C.; Momen, A.; Blaha, C.; Gugoff, S.; Gray, K.; Herr, M.; Leuenberger, U.A.; Sinoway, L.I. Changes of central haemodynamic parameters during mental stress and acute bouts of static and dynamic exercise. J. Hum. Hypertens 2008, 22, 320–328. [Google Scholar] [CrossRef] [PubMed]
- Matsumura, K.; Noguchi, H.; Rolfe, P.; Yamakoshi, T.; Matsuoka, Y. Differential effect of two mental stress tasks on arterial stiffness. Jpn. Psychol. Res. 2019, 61, 249–261. [Google Scholar] [CrossRef]
- Logan, J.G.; Teachman, B.A.; Liu, X.; Farber, C.R.; Liu, Z.; Annex, B.H. Acute psychological stress, autonomic function, and arterial stiffness among women. Int. J. Psychophysiol. 2020, 155, 219–226. [Google Scholar] [CrossRef] [PubMed]
- Kume, D.; Nishiwaki, M.; Hotta, N.; Endoh, H. Acute mental stress-caused arterial stiffening can be counteracted by brief aerobic exercise. Eur. J. Appl. Physiol. 2021, 121, 1359–1366. [Google Scholar] [CrossRef] [PubMed]
- Karelius, S.; Vahtera, J.; Heinonen, O.J.; Niiranen, T.J.; Stenholm, S. Association between Life Stressors and Arterial Stiffness: The Finnish Retirement and Aging Study. Artery Res. 2021, 27, 129–134. [Google Scholar] [CrossRef]
- Brosschot, J.F.; Geurts, S.A.E.; Kruizinga, I.; Radstaak, M.; Verkuil, B.; Quirin, M.; Kompier, M.A.J. Does unconscious stress play a role in prolonged cardiovascular stress recovery? Stress Health J. Int. Soc. Investig. Stress 2014, 30, 179–187. [Google Scholar] [CrossRef]



| Parameter | Mean Value | Standard Deviation |
|---|---|---|
| Age | 45.61 years | 10.20 years |
| Seniority at work | 22.34 years | 12.65 years |
| Height | 1.65 m | 0.074 m |
| Weight | 72.57 kg | 15.93 kg |
| BMI | 26.45 kg/m2 | 4.49 kg/m2 |
| Systolic BP | 115.96 mmHg | 12.05 mmHg |
| Diastolic BP | 69.07 mmHg | 9.19 mmHg |
| Heart rate | 72.03 bpm | 8.82 bpm |
| Mean [m/s] | SD [m/s] | SEM [m/s] | |
|---|---|---|---|
| Stress score at the beginning of the study | 112.57 | 16.65 | 3.26 |
| Stress score at the end of the study | 107.65 | 15.44 | 3.02 |
| Null hypothesis | Stress score at the beginning of the study–Stress score at the end of the study = 0 | ||
| Alternate hypothesis | Stress score at the beginning of the study is different from the stress score at the end of the study | ||
| p (from t-test) 1 | 7.57∙10−9 | ||
| Alpha | 0.05 | ||
| Power | 1 | ||
| Age Group | Average Score at the Beginning of the Study | SD at the Beginning of the Study | Average Score at the End of the Study | SD at the End of the Study |
|---|---|---|---|---|
| 20–40 | 104.66 | 18.17 | 102.83 | 16.94 |
| 41–60 | 114.95 | 15.88 | 109.10 | 15.13 |
| Mean [m/s] | SD [m/s] | SEM [m/s] | |
|---|---|---|---|
| PWV at the beginning of the study | 9.12 | 1.61 | 0.31 |
| PWV at the end of the study | 8.64 | 1.39 | 0.27 |
| Null hypothesis | PWV at the beginning of the study–PWV at the end of the study = 0 | ||
| Alternate hypothesis | PWV at the beginning of the study is different from PWV at the end of the study | ||
| p (from t-test) 1 | 3.32∙10−4 | ||
| Alpha | 0.05 | ||
| Power | 0.97 | ||
| Age Group | PWV at the Beginning of the Study [m/s] | SD at the Beginning of the Study [m/s] | PWV at the End of the Study [m/s] | SD at the End of the Study [m/s] |
|---|---|---|---|---|
| 20–40 | 7.26 | 1.40 | 7.15 | 1.39 |
| 41–60 | 9.68 | 1.81 | 9.09 | 1.06 |
| Dependence of PWV on the Stress Questionnaire Score | Slope | Intercept | Pearson’s Correlation Coefficient | Significance 2 |
|---|---|---|---|---|
| at the beginning of the study | 0.033 | 5.325 | 0.348 | 0.080 |
| at the end of the study | 0.036 | 4.728 | 0.403 | 0.041 |
Publisher’s Note: MDPI stays neutral with regard to jurisdictional claims in published maps and institutional affiliations. |
© 2022 by the authors. Licensee MDPI, Basel, Switzerland. This article is an open access article distributed under the terms and conditions of the Creative Commons Attribution (CC BY) license (https://creativecommons.org/licenses/by/4.0/).
Share and Cite
Marin, I.; Iurciuc, M.; Popescu, F.G.; Iurciuc, S.; Popoiu, C.M.; Marin, C.N.; Ursoniu, S.; Fira-Mladinescu, C. Pulse Wave Velocity, a Predictor of Major Adverse Cardiovascular Events, and Its Correlation with the General Stress Level of Health Care Workers during the COVID-19 Pandemic. Medicina 2022, 58, 704. https://doi.org/10.3390/medicina58060704
Marin I, Iurciuc M, Popescu FG, Iurciuc S, Popoiu CM, Marin CN, Ursoniu S, Fira-Mladinescu C. Pulse Wave Velocity, a Predictor of Major Adverse Cardiovascular Events, and Its Correlation with the General Stress Level of Health Care Workers during the COVID-19 Pandemic. Medicina. 2022; 58(6):704. https://doi.org/10.3390/medicina58060704
Chicago/Turabian StyleMarin, Ioana, Mircea Iurciuc, Florina Georgeta Popescu, Stela Iurciuc, Calin Marius Popoiu, Catalin Nicolae Marin, Sorin Ursoniu, and Corneluta Fira-Mladinescu. 2022. "Pulse Wave Velocity, a Predictor of Major Adverse Cardiovascular Events, and Its Correlation with the General Stress Level of Health Care Workers during the COVID-19 Pandemic" Medicina 58, no. 6: 704. https://doi.org/10.3390/medicina58060704
APA StyleMarin, I., Iurciuc, M., Popescu, F. G., Iurciuc, S., Popoiu, C. M., Marin, C. N., Ursoniu, S., & Fira-Mladinescu, C. (2022). Pulse Wave Velocity, a Predictor of Major Adverse Cardiovascular Events, and Its Correlation with the General Stress Level of Health Care Workers during the COVID-19 Pandemic. Medicina, 58(6), 704. https://doi.org/10.3390/medicina58060704

