Serum Sclerostin Level Is Negatively Associated with Bone Mineral Density in Hemodialysis Patients
Abstract
:1. Introduction
2. Materials and Methods
2.1. Patients
2.2. Anthropometric Analysis
2.3. Biochemical Investigations
2.4. Bone Mineral Density Measurements
2.5. Statistical Analysis
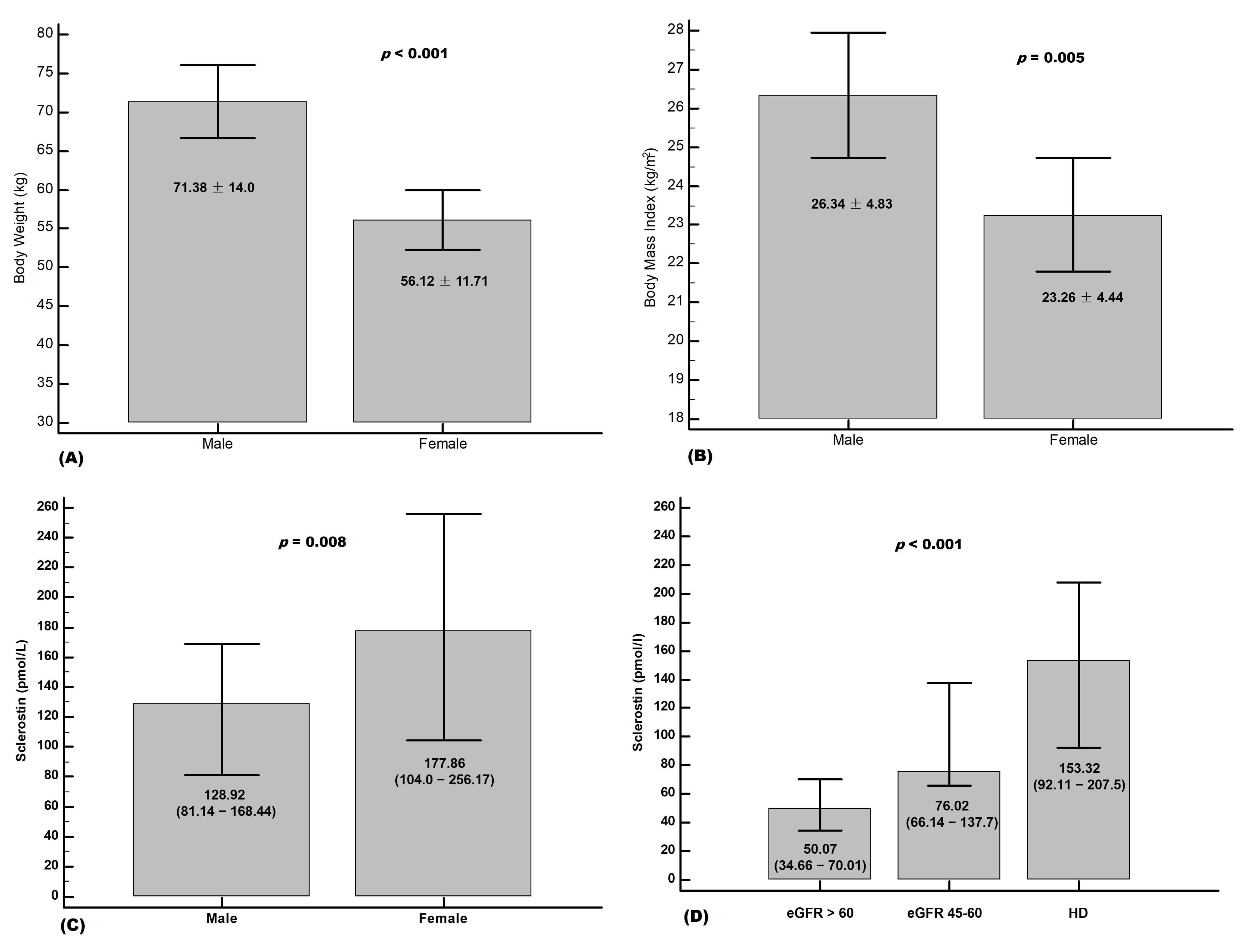
3. Results
4. Discussion
5. Conclusions
Author Contributions
Funding
Institutional Review Board Statement
Informed Consent Statement
Data Availability Statement
Conflicts of Interest
References
- Hwang, S.J.; Lin, M.Y.; Chen, H.C.; Hwang, S.C.; Yang, W.C.; Hsu, C.C.; Chiu, H.C.; Mau, L.W. Increased risk of mortality in the elderly population with late-stage chronic kidney disease: A cohort study in Taiwan. Nephrol. Dial. Transplant. 2008, 23, 3192–3198. [Google Scholar] [CrossRef] [PubMed] [Green Version]
- Jamal, S.A.; Hayden, J.A.; Beyene, J. Low bone mineral density and fractures in long-term hemodialysis patients: A meta-analysis. Am. J. Kidney Dis. 2007, 49, 674–681. [Google Scholar] [CrossRef] [PubMed]
- Kwon, Y.E.; Choi, H.Y.; Kim, S.; Ryu, D.R.; Oh, H.J. Fracture risk in chronic kidney disease: A Korean population-based cohort study. Kidney Res. Clin. Pract. 2019, 38, 220–228. [Google Scholar] [CrossRef] [PubMed] [Green Version]
- Naylor, K.L.; McArthur, E.; Leslie, W.D.; Fraser, L.A.; Jamal, S.A.; Cadarette, S.M.; Pouget, J.G.; Lok, C.E.; Hodsman, A.B.; Adachi, J.D.; et al. The three-year incidence of fracture in chronic kidney disease. Kidney Int. 2014, 86, 810–818. [Google Scholar] [CrossRef] [PubMed] [Green Version]
- Khan, M.I.; Syed, G.M.; Khan, A.I.; Sirwal, I.A.; Anwar, S.K.; Al-Oufi, A.R.; Balbaid, K.A. Mean bone mineral density and frequency of occurrence of osteopenia and osteoporosis in patients on hemodialysis: A single-center study. Saudi J. Kidney Dis. Transplant. 2014, 25, 38–43. [Google Scholar] [CrossRef] [PubMed]
- Slouma, M.; Sahli, H.; Bahlous, A.; Laadhar, L.; Smaoui, W.; Rekik, S.; Gharsallah, I.; Sallami, M.; Moussa, F.B.; Elleuch, M.; et al. Mineral bone disorder and osteoporosis in hemodialysis patients. Adv. Rheumatol. 2020, 60, 15. [Google Scholar] [CrossRef] [PubMed]
- Hsu, C.Y.; Chen, L.R.; Chen, K.H. Osteoporosis in Patients with Chronic Kidney Diseases: A Systemic Review. Int. J. Mol. Sci. 2020, 21, 6846. [Google Scholar] [CrossRef]
- Jamal, S.A.; West, S.L.; Miller, P.D. Fracture risk assessment in patients with chronic kidney disease. Osteoporos. Int. 2012, 23, 1191–1198. [Google Scholar] [CrossRef] [PubMed]
- Balemans, W.; Ebeling, M.; Patel, N.; van Hul, E.; Olson, P.; Dioszegi, M.; Lacza, C.; Wuyts, W.; van den Ende, J.; Willems, P.; et al. Increased bone density in sclerosteosis is due to the deficiency of a novel secreted protein (SOST). Hum. Mol. Genet. 2001, 10, 537–543. [Google Scholar] [CrossRef] [Green Version]
- Qureshi, A.R.; Olauson, H.; Witasp, A.; Haarhaus, M.; Brandenburg, V.; Wernerson, A.; Lindholm, B.; Söderberg, M.; Wennberg, L.; Nordfors, L.; et al. Increased circulating sclerostin levels in end-stage renal disease predict biopsy-verified vascular medial calcification and coronary artery calcification. Kidney Int. 2015, 88, 1356–1364. [Google Scholar] [CrossRef] [PubMed] [Green Version]
- Malluche, H.H.; Davenport, D.L.; Cantor, T.; Monier-Faugere, M.C. Bone mineral density and serum biochemical predictors of bone loss in patients with CKD on dialysis. Clin. J. Am. Soc. Nephrol. CJASN 2014, 9, 1254–1262. [Google Scholar] [CrossRef] [PubMed] [Green Version]
- Wang, N.; Xue, P.; Wu, X.; Ma, J.; Wang, Y.; Li, Y. Role of sclerostin and dkk1 in bone remodeling in type 2 diabetic patients. Endocr. Res. 2018, 43, 29–38. [Google Scholar] [CrossRef] [PubMed]
- Elsalam, M.A.; El-Abden, M.Z.; Mahmoud, E.; Zahab, Z.A.; Ahmed, H. Correlation between serum sclerostin level and bone density status in children on regular hemodialysis. Saudi J. Kidney Dis. Transplant. 2019, 30, 1022–1031. [Google Scholar] [CrossRef] [PubMed]
- Pelletier, S.; Dubourg, L.; Carlier, M.C.; Hadj-Aissa, A.; Fouque, D. The relation between renal function and serum sclerostin in adult patients with CKD. Clin. J. Am. Soc. Nephrol. CJASN 2013, 8, 819–823. [Google Scholar] [CrossRef] [PubMed]
- Hampson, G.; Edwards, S.; Conroy, S.; Blake, G.M.; Fogelman, I.; Frost, M.L. The relationship between inhibitors of the Wnt signalling pathway (Dickkopf-1(DKK1) and sclerostin), bone mineral density, vascular calcification and arterial stiffness in post-menopausal women. Bone 2013, 56, 42–47. [Google Scholar] [CrossRef] [PubMed]
- Thambiah, S.; Roplekar, R.; Manghat, P.; Fogelman, I.; Fraser, W.D.; Goldsmith, D.; Hampson, G. Circulating sclerostin and Dickkopf-1 (DKK1) in predialysis chronic kidney disease (CKD): Relationship with bone density and arterial stiffness. Calcif. Tissue Int. 2012, 90, 473–480. [Google Scholar] [CrossRef]
- Kuo, T.H.; Lin, W.H.; Chao, J.Y.; Wu, A.B.; Tseng, C.C.; Chang, Y.T.; Liou, H.H.; Wang, M.C. Serum sclerostin levels are positively related to bone mineral density in peritoneal dialysis patients: A cross-sectional study. BMC Nephrol. 2019, 20, 266. [Google Scholar] [CrossRef] [PubMed] [Green Version]
- Cejka, D.; Jager-Lansky, A.; Kieweg, H.; Weber, M.; Bieglmayer, C.; Haider, D.G.; Diarra, D.; Patsch, J.M.; Kainberger, F.; Bohle, B.; et al. Sclerostin serum levels correlate positively with bone mineral density and microarchitecture in haemodialysis patients. Nephrol. Dial. Transplant. 2012, 27, 226–230. [Google Scholar] [CrossRef]
- Jean, G.; Chazot, C.; Bresson, E.; Zaoui, E.; Cavalier, E. High Serum Sclerostin Levels Are Associated with a Better Outcome in Haemodialysis Patients. Nephron 2016, 132, 181–190. [Google Scholar] [CrossRef] [PubMed]
- Lu, C.W.; Wang, C.H.; Lin, Y.L.; Kuo, C.H.; Lai, Y.H.; Hsu, B.G.; Tsai, J.P. Serum Irisin Level Is Positively Associated with Bone Mineral Density in Patients on Maintenance Hemodialysis. Int. J. Endocrinol. 2021, 2021, 8890042. [Google Scholar] [CrossRef] [PubMed]
- Wu, C.F.; Hou, J.S.; Wang, C.H.; Lin, Y.L.; Lai, Y.H.; Kuo, C.H.; Liou, H.H.; Tsai, J.P.; Hsu, B.G. Serum Sclerostin but Not DKK-1 Correlated with Central Arterial Stiffness in End Stage Renal Disease Patients. Int. J. Environ. Res. Public Health 2020, 17, 1230. [Google Scholar] [CrossRef] [PubMed] [Green Version]
- Kanis, J.A.; Melton, L.J., 3rd; Christiansen, C.; Johnston, C.C.; Khaltaev, N. The diagnosis of osteoporosis. J. Bone Miner. Res. 1994, 9, 1137–1141. [Google Scholar] [CrossRef]
- Wheeler, D.C.; Wolfgang, C. KDIGO 2017 Clinical Practice Guideline Update for the Diagnosis, Evaluation, Prevention, and Treatment of Chronic Kidney Disease-Mineral and Bone Disorder (CKD-MBD). Kidney Int. Suppl. 2017, 7, 1–59. [Google Scholar]
- West, S.L.; Lok, C.E.; Langsetmo, L.; Cheung, A.M.; Szabo, E.; Pearce, D.; Fusaro, M.; Wald, R.; Weinstein, J.; Jamal, S.A. Bone mineral density predicts fractures in chronic kidney disease. J. Bone Miner. Res. 2015, 30, 913–919. [Google Scholar] [CrossRef]
- Hyun, Y.Y.; Lee, K.B.; Han, S.H.; Choi, K.H.; Park, H.C.; Oh, Y.K.; Park, S.K.; Oh, K.H.; Ahn, C. Risk factors and renal outcomes of low bone mineral density in patients with non-dialysis chronic kidney disease. Osteoporos. Int. 2020, 31, 2373–2382. [Google Scholar] [CrossRef] [PubMed]
- Fidan, N.; Inci, A.; Coban, M.; Ulman, C.; Kursat, S. Bone mineral density and biochemical markers of bone metabolism in predialysis patients with chronic kidney disease. J. Investig. Med. 2016, 64, 861–866. [Google Scholar] [CrossRef] [PubMed]
- Moester, M.J.; Papapoulos, S.E.; Lowik, C.W.; van Bezooijen, R.L. Sclerostin: Current knowledge and future perspectives. Calcif. Tissue Int. 2010, 87, 99–107. [Google Scholar] [CrossRef] [Green Version]
- Baron, R.; Kneissel, M. WNT signaling in bone homeostasis and disease: From human mutations to treatments. Nat. Med. 2013, 19, 179–192. [Google Scholar] [CrossRef] [PubMed]
- Moe, S.M.; Chen, N.X. Mechanisms of vascular calcification in chronic kidney disease. J. Am. Soc. Nephrol. JASN 2008, 19, 213–216. [Google Scholar] [CrossRef] [PubMed] [Green Version]
- Cejka, D.; Herberth, J.; Branscum, A.J.; Fardo, D.W.; Monier-Faugere, M.C.; Diarra, D.; Haas, M. and Malluche, H.H. Sclerostin and Dickkopf-1 in renal osteodystrophy. Clin. J. Am. Soc. Nephrol. CJASN 2011, 6, 877–882. [Google Scholar] [CrossRef] [PubMed] [Green Version]
- Recker, R.R.; Benson, C.T.; Matsumoto, T.; Bolognese, M.A.; Robins, D.A.; Alam, J.; Chiang, A.Y.; Hu, L.; Krege, J.H.; Sowa, H.; et al. A randomized, double-blind phase 2 clinical trial of blosozumab, a sclerostin antibody, in postmenopausal women with low bone mineral density. J. Bone Miner. Res. 2015, 30, 216–224. [Google Scholar] [CrossRef] [PubMed]
- Cosman, F.; Crittenden, D.B.; Adachi, J.D.; Binkley, N.; Czerwinski, E.; Ferrari, S.; Hofbauer, L.C.; Lau, E.; Lewiecki, E.M.; Miyauchi, A.; et al. Romosozumab Treatment in Postmenopausal Women with Osteoporosis. N. Engl. J. Med. 2016, 375, 1532–1543. [Google Scholar] [CrossRef] [PubMed]
- Kaveh, S.; Hosseinifard, H.; Ghadimi, N.; Vojdanian, M.; Aryankhesal, A. Efficacy and safety of Romosozumab in treatment for low bone mineral density: A systematic review and meta-analysis. Clin. Rheumatol. 2020, 39, 3261–3276. [Google Scholar] [CrossRef] [PubMed]

| Characteristics | HD Patients (n = 75) | Control Group (n = 65) | p Value |
|---|---|---|---|
| Lumbar BMD (g/cm2) | 0.95 ± 0.19 | 0.91 ± 0.18 | 0.288 |
| Lumbar T-score | −0.58 ± 1.55 | −0.59 ± 1.68 | 0.965 |
| Age (years) | 66.04 ± 9.08 | 65.51 ± 4.83 | 0.225 |
| Female, n (%) | 38 (50.7) | 29 (44.6) | 0.475 |
| Waist circumference (cm) | 90.93 ± 11.83 | 83.95 ± 7.83 | <0.001 * |
| Body weight (kg) | 63.65 ± 14.94 | 64.09 ± 9.88 | 0.839 |
| Body height (cm) | 159.79 ± 8.12 | 161.80 ±8.54 | 0.155 |
| BMI (kg/m2) | 24.78 ± 4.86 | 24.51 ± 3.44 | 0.714 |
| SBP (mmHg) | 139.89 ± 26.26 | 135.54 ± 11.39 | 0.197 |
| DBP (mmHg) | 73.64 ± 14.00 | 75.91 ± 5.30 | 0.220 |
| BUN (mg/dL) | 57.55 ± 13.12 | 17.71 ± 5.11 | <0.001 * |
| Creatinine (mg/dL) | 9.11 ± 1.83 | 1.06 ± 0.20 | <0.001 * |
| Estimated GFR (mL/min/1.73 m2) | 67.68 ± 17.55 | ||
| 45–60, n (%) | 25 | ||
| >60, n (%) | 40 | ||
| Alkaline phosphatase (U/L) | 79.00 (61.00–107.00) | 71.00 (61.5–96.50) | 0.189 |
| Total calcium (mg/dL) | 8.96 ± 0.73 | 9.56 ± 0.90 | <0.001 * |
| Phosphorus (mg/dL) | 4.49 ± 1.23 | 3.27 ± 0.71 | <0.001 * |
| iPTH (pg/mL) | 231.53 ± 186.60 | 43.46 ± 9.85 | <0.001 * |
| Sclerostin (pmol/L) | 153.32 (92.11–207.50) | 63.37 (40.52–83.27) | < 0.001 * |
| Dickkopf-1 (pmol/L) | 13.63 (7.42–21.87) | 7.00 (4.88–10.03) | < 0.001 * |
| Diabetes mellitus, n (%) | 34 (45.3) | 24 (36.9) | 0.314 |
| Hypertension, n (%) | 33 (44.0) | 27 (41.5) | 0.769 |
| Characteristics | Normal | Osteopenia | Osteoporosis | p Value |
|---|---|---|---|---|
| Patient number | 45 | 20 | 10 | |
| Lumbar BMD (g/cm2) | 1.07 ± 0.13 | 0.82 ± 0.06 | 0.65 ± 0.05 | < 0.001 * |
| Lumbar T-score | 0.42 ± 1.04 | −1.64 ± 0.43 | −2.96 ± 0.41 | < 0.001 * |
| Age (years) | 63.47 ± 8.87 | 69.20 ± 8.22 | 71.30 ± 8.03 | 0.008 * |
| Female, n (%) | 15 (33.3) | 14 (70.0) | 9 (90.0) | 0.001 * |
| HD duration (months) | 55.44 (20.22–102.60) | 58.86 (18.63–115.95) | 41.58 (21.27–164.61) | 0.842 |
| Waist circumference (cm) | 94.51 ± 11.74 | 88.40 ± 8.62 | 79.90 ± 10.27 | 0.001 * |
| Body weight (kg) | 68.89 ± 14.85 | 60.19 ± 10.68 | 46.96 ± 6.50 | < 0.001 * |
| Body height (cm) | 162.07 ±7.41 | 159.00 ± 6.45 | 151.10 ± 8.63 | < 0.001 * |
| BMI (kg/m2) | 26.17 ± 5.09 | 23.76 ± 3.86 | 20.55 ± 2.09 | 0.002 * |
| SBP (mmHg) | 143.69 ± 24.35 | 136.50 ± 29.06 | 129.60 ± 27.78 | 0.248 |
| DBP (mmHg) | 75.16 ± 14.94 | 73.30 ± 12.28 | 67.50 ± 12.13 | 0.296 |
| BUN (mg/dL) | 56.44 ± 12.63 | 57.15 ± 14.74 | 63.30 ± 11.50 | 0.327 |
| Creatinine (mg/dL) | 9.47 ± 1.79 | 8.79 ± 1.82 | 8.12 ± 1.68 | 0.069 |
| Alkaline phosphatase (U/L) | 73.00 (60.00–97.25) | 86.00 (68.00–125.5) | 99.50 (79.0–127.0) | 0.025 * |
| Total calcium (mg/dL) | 8.92 ± 0.68 | 9.14 ± 0.79 | 8.78 ± 0.84 | 0.385 |
| Phosphorus (mg/dL) | 4.67 ± 1.09 | 4.29 ± 1.40 | 4.12 ± 1.44 | 0.307 |
| iPTH (pg/mL) | 205.70 ± 178.57 | 275.15 ± 195.76 | 257.96 ± 202.25 | 0.348 |
| Urea reduction rate | 0.72 ± 0.04 | 0.74 ± 0.05 | 0.77 ± 0.04 | 0.006 * |
| Kt/V (Gotch) | 1.29 ± 0.15 | 1.37 ± 0.20 | 1.46 ± 0.15 | 0.008 * |
| Sclerostin (pmol/L) | 122.04 (72.85–168.44) | 169.00 (127.85–221.54) | 390.73 (373.11–410.38) | < 0.001 * |
| Dickkopf-1 (pmol/L) | 9.85 (7.30–20.64) | 19.27 (8.65–26.78) | 14.99 (8.56–20.36) | 0.413 |
| Diabetes mellitus, n (%) | 23 (51.1) | 7 (35.0) | 4 (40.0) | 0.453 |
| Hypertension, n (%) | 20 (44.4) | 10 (50.0) | 3 (30.0) | 0.579 |
| Variables | Lumbar BMD (g/cm2) | ||||
|---|---|---|---|---|---|
| Univariate | Multivariate | ||||
| r | p Value | Beta | Adjusted R2 Change | p Value | |
| Female | −0.337 | 0.003 * | −0.288 | 0.072 | 0.001 * |
| Diabetes mellitus | 0.040 | 0.730 | - | - | - |
| Hypertension | 0.055 | 0.641 | - | - | - |
| Age (years) | −0.337 | 0.003 * | −0.216 | 0.041 | 0.007 * |
| Log-HD duration (months) | −0.022 | 0.852 | - | - | - |
| Body height (cm) | 0.495 | <0.001 * | - | - | - |
| Body weight (kg) | 0.545 | <0.001 * | - | - | - |
| Waist circumference (cm) | 0.397 | <0.001 * | - | - | - |
| BMI (kg/m2) | 0.406 | <0.001 * | - | - | - |
| SBP (mmHg) | 0.145 | 0.216 | - | - | - |
| DBP (mmHg) | 0.128 | 0.275 | - | - | - |
| BUN (mg/dL) | −0.053 | 0.650 | - | - | - |
| Creatinine (mg/dL) | 0.277 | 0.016 * | - | - | - |
| Alkaline phosphatase (U/L) | −0.278 | 0.016 * | - | - | - |
| Total calcium (mg/dL) | −0.090 | 0.444 | - | - | - |
| Phosphorus (mg/dL) | 0.153 | 0.190 | - | - | - |
| iPTH (pg/mL) | −0.200 | 0.088 | - | - | - |
| Sclerostin (pmol/L) | −0.679 | <0.001 * | −0.546 | 0.454 | <0.001 * |
| Dickkopf-1 (pmol/L) | 0.112 | 0.337 | - | - | - |
| Urea reduction rate | −0.366 | 0.001 * | - | - | - |
| Kt/V (Gotch) | −0.347 | 0.002 * | - | - | - |
| Variables | Sclerostin (pmol/L) | ||||
|---|---|---|---|---|---|
| HD Patients | |||||
| Simple Regression | Multivariable Regression | ||||
| r | p Value | Beta | Adjusted R2 Change | p Value | |
| Lumbar BMD (g/cm2) | −0.679 | < 0.001 * | −0.687 | 0.465 | < 0.001 * |
| Lumbar T-score | −0.687 | < 0.001 * | — | — | — |
| Age (years) | 0.175 | 0.134 | — | — | — |
| Female, n (%) | 0.331 | 0.004 * | — | — | — |
| Log-HD duration (months) | 0.053 | 0.649 | — | — | — |
| Waist circumference (cm) | −0.394 | < 0.001 * | — | — | — |
| Body weight (kg) | −0.491 | < 0.001 * | — | — | — |
| Body height (cm) | −0.443 | < 0.001 * | — | — | — |
| BMI (kg/m2) | −0.382 | 0.001 * | — | — | — |
| SBP (mmHg) | −0.092 | 0.431 | — | — | — |
| DBP (mmHg) | −0.025 | 0.816 | — | — | — |
| BUN (mg/dL) | −0.027 | 0.818 | — | — | — |
| Creatinine (mg/dL) | −0.212 | 0.068 | — | — | — |
| Alkaline phosphatase (U/L) | 0.238 | 0.039 * | — | — | — |
| Total calcium (mg/dL) | −0.094 | 0.423 | — | — | — |
| Phosphorus (mg/dL) | −0.219 | 0.059 | — | — | — |
| iPTH (pg/mL) | −0.0004 | 0.997 | — | — | — |
| Urea reduction rate | 0.346 | 0.002 * | — | — | — |
| Kt/V (Gotch) | 0.329 | 0.004 * | — | — | — |
| Dickkopf-1 (pmol/L) | 0.022 | 0.848 | — | — | — |
Publisher’s Note: MDPI stays neutral with regard to jurisdictional claims in published maps and institutional affiliations. |
© 2022 by the authors. Licensee MDPI, Basel, Switzerland. This article is an open access article distributed under the terms and conditions of the Creative Commons Attribution (CC BY) license (https://creativecommons.org/licenses/by/4.0/).
Share and Cite
Lu, J.-W.; Syu, R.-J.; Wang, C.-H.; Hsu, B.-G.; Tsai, J.-P. Serum Sclerostin Level Is Negatively Associated with Bone Mineral Density in Hemodialysis Patients. Medicina 2022, 58, 385. https://doi.org/10.3390/medicina58030385
Lu J-W, Syu R-J, Wang C-H, Hsu B-G, Tsai J-P. Serum Sclerostin Level Is Negatively Associated with Bone Mineral Density in Hemodialysis Patients. Medicina. 2022; 58(3):385. https://doi.org/10.3390/medicina58030385
Chicago/Turabian StyleLu, Jing-Wun, Ru-Jiang Syu, Chih-Hsien Wang, Bang-Gee Hsu, and Jen-Pi Tsai. 2022. "Serum Sclerostin Level Is Negatively Associated with Bone Mineral Density in Hemodialysis Patients" Medicina 58, no. 3: 385. https://doi.org/10.3390/medicina58030385
APA StyleLu, J.-W., Syu, R.-J., Wang, C.-H., Hsu, B.-G., & Tsai, J.-P. (2022). Serum Sclerostin Level Is Negatively Associated with Bone Mineral Density in Hemodialysis Patients. Medicina, 58(3), 385. https://doi.org/10.3390/medicina58030385

