The Association of Polymorphisms in Genes Encoding Antioxidant Enzymes GPX1 (rs1050450), SOD2 (rs4880) and Transcriptional Factor Nrf2 (rs6721961) with the Risk and Development of Prostate Cancer
Abstract
1. Introduction
2. Materials and Methods
2.1. Selection of Patients
2.2. Histological Assessment
2.3. Laboratory Analysis
2.4. Statistical Analysis
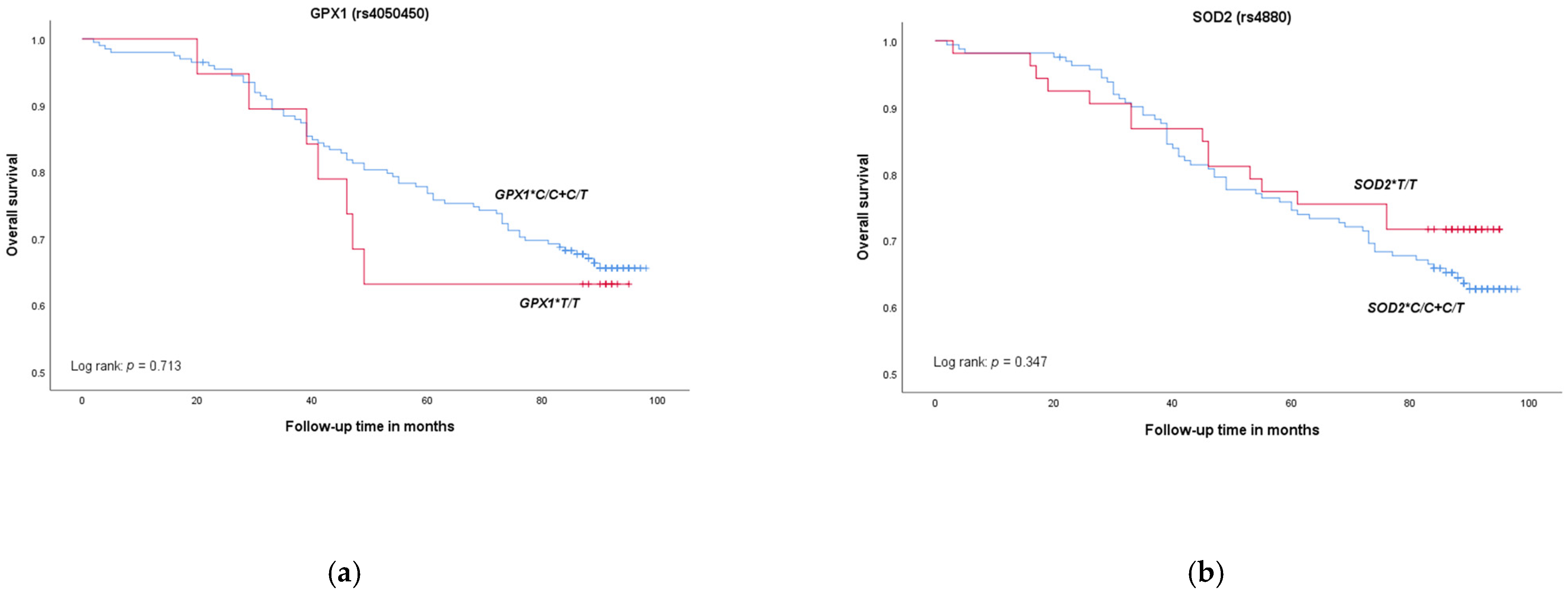
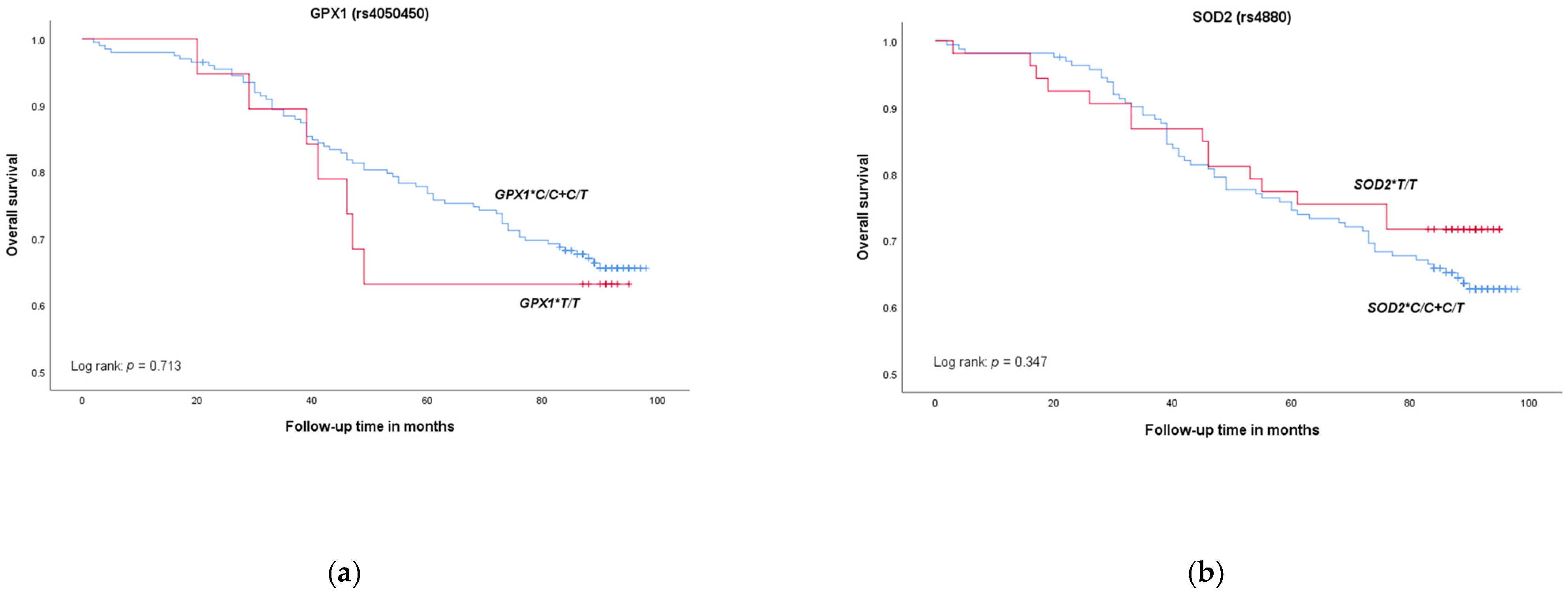
3. Results
4. Discussion
5. Conclusions
Supplementary Materials
Author Contributions
Funding
Institutional Review Board Statement
Informed Consent Statement
Data Availability Statement
Conflicts of Interest
References
- Sung, H.; Ferlay, J.; Siegel, R.L.; Laversanne, M.; Soerjomataram, I.; Jemal, A.; Bray, F. Global Cancer Statistics 2020: GLOBOCAN Estimates of Incidence and Mortality Worldwide for 36 Cancers in 185 Countries. CA Cancer J. Clin. 2021, 71, 209–249. [Google Scholar] [CrossRef]
- Cucchiara, V.; Cooperberg, M.R.; Dall’Era, M.; Lin, D.W.; Montorsi, F.; Schalken, J.A.; Evans, C.P. Genomic Markers in Prostate Cancer Decision Making. Eur. Urol. 2018, 73, 572–582. [Google Scholar] [CrossRef] [PubMed]
- Shiota, M.; Yokomizo, A.; Naito, S. Oxidative stress and androgen receptor signaling in the development and progression of castration-resistant prostate cancer. Free Radic. Biol. Med. 2011, 51, 1320–1328. [Google Scholar] [CrossRef] [PubMed]
- Kryston, T.B.; Georgiev, A.B.; Pissis, P.; Georgakilas, A.G. Role of oxidative stress and DNA damage in human carcinogenesis. Mutat. Res. /Fundam. Mol. Mech. Mutagen. 2011, 711, 193–201. [Google Scholar] [CrossRef] [PubMed]
- Chaiswing, L.; Zhong, W.; Liang, Y.; Jones, D.P.; Oberley, T.D. Regulation of prostate cancer cell invasion by modulation of extra- and intracellular redox balance. Free Radic. Biol. Med. 2012, 52, 452–461. [Google Scholar] [CrossRef] [PubMed]
- Sfanos, K.S.; De Marzo, A.M. Prostate cancer and inflammation: The evidence. Histopathology 2012, 60, 199–215. [Google Scholar] [CrossRef]
- Nguyen, D.P.; Li, J.; Tewari, A.K. Inflammation and prostate cancer: The role of interleukin 6 (IL-6). Br. J. Urol. 2014, 113, 986–992. [Google Scholar] [CrossRef]
- Acharya, A.; Das, I.; Chandhok, D.; Saha, T. Redox regulation in cancer: A double-edged sword with therapeutic potential. Oxidative Med. Cell. Longev. 2010, 3, 23–34. [Google Scholar] [CrossRef]
- England, K.; Cotter, T. Direct oxidative modifications of signalling proteins in mammalian cells and their effects on apoptosis. Redox Rep. 2005, 10, 237–245. [Google Scholar] [CrossRef]
- Assi, M. The differential role of reactive oxygen species in early and late stages of cancer. Am. J. Physiol. Integr. Comp. Physiol. 2017, 313, R646–R653. [Google Scholar] [CrossRef] [PubMed]
- Mijatović, S.; Savić-Radojević, A.; Plješa-Ercegovac, M.; Simić, T.; Nicoletti, F.; Maksimović-Ivanić, D. The Double-Faced Role of Nitric Oxide and Reactive Oxygen Species in Solid Tumors. Antioxidants 2020, 9, 374. [Google Scholar] [CrossRef]
- Sosa, V.; Moliné, T.; Somoza, R.; Paciucci, R.; Kondoh, H.; Lleonart, M.E. Oxidative stress and cancer: An overview. Ageing Res. Rev. 2013, 12, 376–390. [Google Scholar] [CrossRef]
- Mihailovic, S.; Coric, V.; Radic, T.; Radojevic, A.S.; Matic, M.; Dragicevic, D.; Djokic, M.; Vasic, V.; Dzamic, Z.; Simic, T.; et al. The Association of Polymorphisms in Nrf2 and Genes Involved in Redox Homeostasis in the Development and Progression of Clear Cell Renal Cell Carcinoma. Oxidative Med. Cell. Longev. 2021, 2021, 6617969. [Google Scholar] [CrossRef]
- Zhang, Y.; Gordon, G.B. A strategy for cancer prevention: Stimulation of the Nrf2-ARE signaling pathway. Mol. Cancer Ther. 2004, 3, 885–893. [Google Scholar] [CrossRef]
- Hayes, J.D.; McMahon, M.; Chowdhry, S.; Dinkova-Kostova, A.T. Cancer Chemoprevention Mechanisms Mediated Through the Keap1–Nrf2 Pathway. Antioxid. Redox Signal. 2010, 13, 1713–1748. [Google Scholar] [CrossRef]
- De La Vega, M.R.; Chapman, E.; Zhang, D.D. NRF2 and the Hallmarks of Cancer. Cancer Cell 2018, 34, 21–43. [Google Scholar] [CrossRef] [PubMed]
- Jaramillo, M.C.; Zhang, D.D. The emerging role of the Nrf2–Keap1 signaling pathway in cancer. Genes Dev. 2013, 27, 2179–2191. [Google Scholar] [CrossRef]
- Ramos-Gomez, M.; Kwak, M.-K.; Dolan, P.M.; Itoh, K.; Yamamoto, M.; Talalay, P.; Kensler, T.W. Sensitivity to carcinogenesis is increased and chemoprotective efficacy of enzyme inducers is lost in nrf2 transcription factor-deficient mice. Proc. Natl. Acad. Sci. USA 2001, 98, 3410–3415. [Google Scholar] [CrossRef]
- Knatko, E.V.; Ibbotson, S.H.; Zhang, Y.; Higgins, M.; Fahey, J.W.; Talalay, P.; Dawe, R.S.; Ferguson, J.; Huang, J.T.-J.; Clarke, R.; et al. Nrf2 Activation Protects against Solar-Simulated Ultraviolet Radiation in Mice and Humans. Cancer Prev. Res. 2015, 8, 475–486. [Google Scholar] [CrossRef] [PubMed]
- Li, W.; Khor, T.O.; Xu, C.; Shen, G.; Jeong, W.-S.; Yu, S.; Kong, A.-N. Activation of Nrf2-antioxidant signaling attenuates NFκB-inflammatory response and elicits apoptosis. Biochem. Pharmacol. 2008, 76, 1485–1489. [Google Scholar] [CrossRef] [PubMed]
- Wangy, X.-J.; Suny, Z.; Villeneuve, N.F.; Zhang, S.; Zhao, F.; Li, Y.; Chen, W.; Yi, X.; Zheng, W.; Wondrak, G.T.; et al. Nrf2 enhances resistance of cancer cells to chemotherapeutic drugs, the dark side of Nrf2. Carcinogenesis 2008, 29, 1235–1243. [Google Scholar] [CrossRef] [PubMed]
- DeNicola, G.M.; Karreth, F.A.; Humpton, T.J.; Gopinathan, A.; Wei, C.; Frese, K.; Mangal, D.; Yu, K.H.; Yeo, C.J.; Calhoun, E.S.; et al. Oncogene-induced Nrf2 transcription promotes ROS detoxification and tumorigenesis. Nature 2011, 475, 106–109. [Google Scholar] [CrossRef]
- Tao, S.; De La Vega, M.R.; Chapman, E.; Ooi, A.; Zhang, D.D. The effects of NRF2 modulation on the initiation and progression of chemically and genetically induced lung cancer. Mol. Carcinog. 2017, 57, 182–192. [Google Scholar] [CrossRef]
- Marzec, J.M.; Christie, J.D.; Reddy, S.P.; Jedlicka, A.E.; Vuong, H.; Lanken, P.N.; Aplenc, R.; Yamamoto, T.; Yamamoto, M.; Cho, H.-Y.; et al. Functional polymorphisms in the transcription factor NRF2 in humans increase the risk of acute lung injury. FASEB J. 2007, 21, 2237–2246. [Google Scholar] [CrossRef] [PubMed]
- Venkataraman, S.; Jiang, X.; Weydert, C.; Zhang, Y.; Zhang, H.J.; Goswami, P.C.; Ritchie, J.M.; Oberley, L.W.; Buettner, G.R. Manganese superoxide dismutase overexpression inhibits the growth of androgen-independent prostate cancer cells. Oncogene 2005, 24, 77–89. [Google Scholar] [CrossRef]
- Li, J.-J.; Oberley, L.W.; Fan, M.; Colburn, N.H. Inhibition of AP-1 and NF-κB by manganese-containing superoxide dismutase in human breast cancer cells. FASEB J. 1998, 12, 1713–1723. [Google Scholar] [CrossRef]
- Behrend, L.; Mohr, A.; Dick, T.; Zwacka, R.M. Manganese Superoxide Dismutase Induces p53-Dependent Senescence in Colorectal Cancer Cells. Mol. Cell. Biol. 2005, 25, 7758–7769. [Google Scholar] [CrossRef]
- Sutton, A.; Khoury, H.; Prip-Buus, C.; Cepanec, C.; Pessayre, D.; Degoul, F. The Ala16Val genetic dimorphism modulates the import of human manganese superoxide dismutase into rat liver mitochondria. Pharmacogenetics 2003, 13, 145–157. [Google Scholar] [CrossRef]
- Woodson, K.; Tangrea, J.A.; Lehman, T.A.; Modali, R.; Taylor, K.M.; Snyder, K.; Taylor, P.R.; Virtamo, J.; Albanes, D. Manganese superoxide dismutase (MnSOD) polymorphism, α-tocopherol supplementation and prostate cancer risk in the Alpha-Tocopherol, Beta-Carotene Cancer Prevention Study (Finland). Cancer Causes Control 2003, 14, 513–518. [Google Scholar] [CrossRef]
- Arsova-Sarafinovska, Z.; Matevska, N.; Petrovski, D.; Banev, S.; Dzikova, S.; Georgiev, V.; Sikole, A.; Sayal, A.; Aydin, A.; Suturkova, L.; et al. Manganese superoxide dismutase (MnSOD) genetic polymorphism is associated with risk of early-onset prostate cancer. Cell Biochem. Funct. 2008, 26, 771–777. [Google Scholar] [CrossRef]
- Bica, C.G.; Silva, L.L.D.M.D.; Toscani, N.V.; da Cruz, I.; Sá, G.; Graudenz, M.S.; Zettler, C.G. MnSOD Gene Polymorphism Association with Steroid-Dependent Cancer. Pathol. Oncol. Res. 2009, 15, 19–24. [Google Scholar] [CrossRef]
- Ratnasinghe, D.; A Tangrea, J.; Andersen, M.R.; Barrett, M.J.; Virtamo, J.; Taylor, P.R.; Albanes, D. Glutathione peroxidase codon 198 polymorphism variant increases lung cancer risk. Cancer Res. 2000, 60, 6381–6383. [Google Scholar]
- Hu, Y.J.; Diamond, A.M. Role of glutathione peroxidase 1 in breast cancer: Loss of heterozygosity and allelic differences in the response to selenium. Cancer Res. 2003, 63, 3347–3351. [Google Scholar]
- Wang, C.; Zhang, R.; Chen, N.; Yang, L.; Wang, Y.; Sun, Y.; Huang, L.; Zhu, M.; Ji, Y.; Li, W. Association between glutathione peroxidase-1 (GPX1) Rs1050450 polymorphisms and cancer risk. Int. J. Clin. Exp. Pathol. 2017, 10, 9527–9540. [Google Scholar]
- Eble, J.N. Pathology and Genetics of Tumours of the Urinary System and Male Genital Organs; Weltgesundheitsorganisation, International Agency for Research on Cancer, Eds.; Editorial and Consensus Conference in Lyon, France, 14–18 December 2002; IARC Press: Lyon, France, 2006.
- Shimoyama, Y.; Mitsuda, Y.; Tsuruta, Y.; Hamajima, N.; Niwa, T. Polymorphism of Nrf2, an Antioxidative Gene, is Associated with Blood Pressure and Cardiovascular Mortality in Hemodialysis Patients. Int. J. Med. Sci. 2014, 11, 726–731. [Google Scholar] [CrossRef]
- Bell, K.J.; Del Mar, C.; Wright, G.; Dickinson, J.; Glasziou, P. Prevalence of incidental prostate cancer: A systematic review of autopsy studies. Int. J. Cancer 2015, 137, 1749–1757. [Google Scholar] [CrossRef]
- Liang, Z.; Xie, B.; Li, J.; Wang, X.; Wang, S.; Meng, S.; Ji, A.; Zhu, Y.; Xu, X.; Zheng, X.; et al. Hypertension and risk of prostate cancer: A systematic review and meta-analysis. Sci. Rep. 2016, 6, 31358. [Google Scholar] [CrossRef]
- Discacciati, A.; Orsini, N.; Wolk, A. Body mass index and incidence of localized and advanced prostate cancer—A dose–response meta-analysis of prospective studies. Ann. Oncol. 2012, 23, 1665–1671. [Google Scholar] [CrossRef]
- Zhang, Z.; Jiang, D.; Wang, C.; Garzotto, M.; Kopp, R.; Wilmot, B.; Thuillier, P.; Dang, A.; Palma, A.; Farris, P.E.; et al. Polymorphisms in oxidative stress pathway genes and prostate cancer risk. Cancer Causes Control 2019, 30, 1365–1375. [Google Scholar] [CrossRef]
- Iguchi, T.; Wang, C.Y.; Delongchamps, N.B.; Kato, M.; Tamada, S.; Yamasaki, T.; De La Roza, G.; Nakatani, T.; Haas, G.P. Association of MnSOD AA Genotype with the Progression of Prostate Cancer. PLoS ONE 2015, 10, e0131325. [Google Scholar] [CrossRef]
- Santric, V.; Djokic, M.; Suvakov, S.; Pljesa-Ercegovac, M.; Nikitovic, M.; Radic, T.; Acimovic, M.; Stankovic, V.; Bumbasirevic, U.; Milojevic, B.; et al. GSTP1 rs1138272 Polymorphism Affects Prostate Cancer Risk. Medicina 2020, 56, 128. [Google Scholar] [CrossRef] [PubMed]
- Santric, V.; Dragicevic, D.; Matic, M.; Djokic, M.; Pljesa-Ercegovac, M.; Radic, T.; Suvakov, S.; Nikitovic, M.; Stankovic, V.; Milojevic, B.; et al. Polymorphisms in Genes Encoding Glutathione Transferase Pi and Glutathione Transferase Omega Influence Prostate Cancer Risk and Prognosis. Front. Mol. Biosci. 2021, 8, 620690. [Google Scholar] [CrossRef] [PubMed]
- Li, H.; Kantoff, P.W.; Giovannucci, E.; Leitzmann, M.F.; Gaziano, J.M.; Stampfer, M.J.; Ma, J. Manganese Superoxide Dismutase Polymorphism, Prediagnostic Antioxidant Status, and Risk of Clinical Significant Prostate Cancer. Cancer Res. 2005, 65, 2498–2504. [Google Scholar] [CrossRef] [PubMed]
- Kang, D.; Lee, K.-M.; Park, S.K.; Berndt, S.I.; Peters, U.; Reding, D.; Chatterjee, N.; Welch, R.; Chanock, S.; Huang, W.-Y.; et al. Functional Variant of Manganese Superoxide Dismutase (SOD2 V16A) Polymorphism Is Associated with Prostate Cancer Risk in the Prostate, Lung, Colorectal, and Ovarian Cancer Study. Cancer Epidemiol. Biomark. Prev. 2007, 16, 1581–1586. [Google Scholar] [CrossRef] [PubMed]
- Zhang, L.-F.; Xu, K.; Tang, B.-W.; Zhang, W.; Yuan, W.; Yue, C.; Shi, L.; Mi, Y.-Y.; Zuo, L.; Zhu, L.-J. Association between SOD2 V16A variant and urological cancer risk. Aging 2020, 12, 825–843. [Google Scholar] [CrossRef] [PubMed]
- Van Blarigan, E.L.; Ma, J.; Kenfield, S.A.; Stampfer, M.J.; Sesso, H.D.; Giovannucci, E.L.; Witte, J.S.; Erdman, J.W.; Chan, J.M.; Penney, K.L. Plasma Antioxidants, Genetic Variation in SOD2, CAT, GPX1, GPX4, and Prostate Cancer Survival. Cancer Epidemiol. Biomark. Prev. 2014, 23, 1037–1046. [Google Scholar] [CrossRef]
- Wang, Y.; Branicky, R.; Noë, A.; Hekimi, S. Superoxide dismutases: Dual roles in controlling ROS damage and regulating ROS signaling. J. Cell Biol. 2018, 217, 1915–1928. [Google Scholar] [CrossRef]
- Rosenblum, J.S.; Gilula, N.B.; A Lerner, R. On signal sequence polymorphisms and diseases of distribution. Proc. Natl. Acad. Sci. USA 1996, 93, 4471–4473. [Google Scholar] [CrossRef]
- Sutton, A.; Imbert, A.; Igoudjil, A.; Descatoire, V.; Cazanave, S.; Pessayre, D.; Degoul, F. The manganese superoxide dismutase Ala16Val dimorphism modulates both mitochondrial import and mRNA stability. Pharm. Genom. 2005, 15, 311–319. [Google Scholar] [CrossRef]
- Münch, G.; Gunawardena, D.; Raju, R. Hydrogen peroxide mediates pro-inflammatory cell-to-cell signaling: A new therapeutic target for inflammation? Neural Regen. Res. 2019, 14, 1430–1437. [Google Scholar] [CrossRef]
- Quirós, I.; Sáinz, R.M.; Hevia, D.; García-Suárez, O.; Astudillo, A.; Rivas, M.; Mayo, J.C. Upregulation of manganese superoxide dismutase (SOD2) is a common pathway for neuroendocrine differentiation in prostate cancer cells. Int. J. Cancer 2009, 125, 1497–1504. [Google Scholar] [CrossRef] [PubMed]
- Motohashi, H.; Yamamoto, M. Nrf2–Keap1 defines a physiologically important stress response mechanism. Trends Mol. Med. 2004, 10, 549–557. [Google Scholar] [CrossRef] [PubMed]
- Okano, Y.; Nezu, U.; Enokida, Y.; Lee, M.T.M.; Kinoshita, H.; Lezhava, A.; Hayashizaki, Y.; Morita, S.; Taguri, M.; Ichikawa, Y.; et al. SNP (–617C>A) in ARE-Like Loci of the NRF2 Gene: A New Biomarker for Prognosis of Lung Adenocarcinoma in Japanese Non-Smoking Women. PLoS ONE 2013, 8, e73794. [Google Scholar] [CrossRef]
- Yamamoto, T.; Yoh, K.; Kobayashi, A.; Ishii, Y.; Kure, S.; Koyama, A.; Sakamoto, T.; Sekizawa, K.; Motohashi, H.; Yamamoto, M. Identification of polymorphisms in the promoter region of the human NRF2 gene. Biochem. Biophys. Res. Commun. 2004, 321, 72–79. [Google Scholar] [CrossRef]
- Hartikainen, J.M.; Tengström, M.; Kosma, V.-M.; Kinnula, V.L.; Mannermaa, A.; Soini, Y. Genetic Polymorphisms and Protein Expression of NRF2 and Sulfiredoxin Predict Survival Outcomes in Breast Cancer. Cancer Res. 2012, 72, 5537–5546. [Google Scholar] [CrossRef]
- Reszka, E.; Jabłonowski, Z.; Wieczorek, E.; Jablonska, E.; Król, M.; Gromadzinska, J.; Grzegorczyk, A.; Sosnowski, M.; Wasowicz, W. Polymorphisms of NRF2 and NRF2 target genes in urinary bladder cancer patients. J. Cancer Res. Clin. Oncol. 2014, 140, 1723–1731. [Google Scholar] [CrossRef]
- Bumbasirevic, U.; Bojanic, N.; Simic, T.; Milojevic, B.; Zivkovic, M.; Kosanovic, T.; Kajmakovic, B.; Janicic, A.; Durutovic, O.; Radovanovic, M.; et al. Interplay between Comprehensive Inflammation Indices and Redox Biomarkers in Testicular Germ-Cell Tumors. J. Pers. Med. 2022, 12, 833. [Google Scholar] [CrossRef]
- Yamaguchi, Y.; Kamai, T.; Higashi, S.; Murakami, S.; Arai, K.; Shirataki, H.; Yoshida, K.-I. Nrf2 gene mutation and single nucleotide polymorphism rs6721961 of the Nrf2 promoter region in renal cell cancer. BMC Cancer 2019, 19, 1137. [Google Scholar] [CrossRef]
- Ekoue, D.N.; He, C.; Diamond, A.M.; Bonini, M.G. Manganese superoxide dismutase and glutathione peroxidase-1 contribute to the rise and fall of mitochondrial reactive oxygen species which drive oncogenesis. Biochim. Biophys. Acta 2017, 1858, 628–632. [Google Scholar] [CrossRef]
- Men, T.; Zhang, X.; Yang, J.; Shen, B.; Li, X.; Chen, N.; Wang, J. The rs1050450 C > T polymorphism of GPX1 is associated with the risk of bladder but not prostate cancer: Evidence from a meta-analysis. Tumor Biol. 2014, 35, 269–275. [Google Scholar] [CrossRef]
- Arsova-Sarafinovska, Z.; Matevska, N.; Eken, A.; Petrovski, D.; Banev, S.; Dzikova, S.; Georgiev, V.; Sikole, A.; Erdem, O.; Sayal, A.; et al. Glutathione peroxidase 1 (GPX1) genetic polymorphism, erythrocyte GPX activity, and prostate cancer risk. Int. Urol. Nephrol. 2009, 41, 63–70. [Google Scholar] [CrossRef] [PubMed]


| Variable | Patients n = 235 | Controls n = 240 | p |
|---|---|---|---|
| Age (years) * | 68.84 ± 6.95 | 67.43 ± 9.01 | 0.057 |
| BMI (kg/m2) * | 26.98 ± 3.48 | 26.71 ± 3.83 | 0.472 |
| Hypertension, n (%) ** | |||
| Yes | 127 (58) | 82 (43) | |
| No | 93 (42) | 109 (57) | 0.003 |
| Diabetes mellitus type 2, n (%) ** | |||
| Yes | 38 (17) | 11 (7) | |
| No | 190 (83) | 154 (93) | 0.003 |
| Initial PSA (ng/mL), n (%)** | |||
| <10 | 78 (34) | / | / |
| 10–20 | 67 (29) | / | / |
| >20 | 85 (37) | / | / |
| Gleason score, n (%) ** | |||
| 6 | 56 (30) | / | / |
| 7 (3 + 4) | 52 (28) | / | / |
| 7 (4 + 3) | 28 (15) | / | / |
| 8 | 28 (15) | / | / |
| 9/10 | 22 (12) | / | / |
| Treatment modality, n (%) | |||
| Radical prostatectomy | 97 (41) | / | / |
| EBRT | 138 (59) | / | / |
| Genotype | Patients, n (%) | Controls, n (%) | OR 1 ** (95% CI) | p | OR 2 ** (95% CI) | p | OR 3 ** (95% CI) | p | OR 4 ** (95% CI) | p |
|---|---|---|---|---|---|---|---|---|---|---|
| GPX1 | ||||||||||
| GPX1*T/T | 19 (8) | 22 (9) | 1.0 | 1.0 | 1.0 | 1.0 | ||||
| GPX1*C/C + C/T | 211 (92) | 218 (91) | 1.12 (0.59–2.13) | 0.728 | 1.06 (0.54–2.08) | 0.869 | 1.25 (0.58–2.70) | 0.570 | 1.27 (0.55–2.93) | 0.570 |
| SOD2 | ||||||||||
| SOD2*T/T | 60 (26) | 73 (30) | 1.0 | 1.0 | 1.0 | 1.0 | ||||
| SOD2*C/C + C/T | 168 (74) | 167 (70) | 1.22 (0.82–1.83) | 0.326 | 1.31 (0.87–1.98) | 0.191 | 1.67 (1.01–2.76) | 0.046 | 1.82 (1.09–3.03) | 0.022 |
| Nrf2 | ||||||||||
| Nrf2*C/A + A/A | 58 (25) | 64 (28) | 1.0 | 1.0 | 1.0 | 1.0 | ||||
| Nrf2*C/C | 176 (75) | 166 (72) | 1.18 (0.77–1.77) | 0.457 | 1.17 (0.77–1.78) | 0.468 | 1.24 (0.74–2.07) | 0.417 | 1.28 (0.75–2.17) | 0.362 |
| Genotype | Patients, n (%) | Controls, n (%) | OR 1 ** (95% CI) | p | OR 2 ** (95% CI) | p | OR 3 ** (95% CI) | p | OR 4 ** (95% CI) | p |
|---|---|---|---|---|---|---|---|---|---|---|
| GPX1 + Nrf2 | ||||||||||
| GPX1*T/T + Nrf2*C/A + A/A | 3 (2) | 3 (2) | 1.0 | 1.0 | 1.0 | 1.0 | ||||
| GPX1*C/C + C/T + Nrf2*C/C | 156(98) | 150 (98) | 1.04 (0.21–5.23) | 0.962 | 1.02 (0.20–5.15) | 0.869 | 0.31 (0.03–3.79) | 0.570 | 0.28 (0.02–3.83) | 0.339 |
| SOD2 + Nrf2 | ||||||||||
| SOD2*T/T + Nrf2*C/A + A/A | 10 (8) | 24 (17) | 1.0 | 1.0 | 1.0 | 1.0 | ||||
| SOD2*C/C + C/T + Nrf2*C/C | 122 (92) | 118(83) | 2.48 (0.82–1.83) | 0.022 | 2.48 (0.87–1.98) | 0.021 | 3.75 (1.01–2.76) | 0.009 | 4.07 (1.09–3.03) | 0.006 |
| GPX1 + SOD2 | ||||||||||
| GPX1*T/T + SOD2*T/T | 4 (2) | 7 (4) | 1.0 | 1.0 | 1.0 | 1.0 | ||||
| GPX1*C/C + C/T + SOD2*C/C + C/A | 153 (98) | 152 (96) | 1.76 (0.50–6.14) | 0.374 | 1.58 (0.44–5.72) | 0.484 | 1.07 (0.19–6.17) | 0.938 | 1.12 (0.19–6.50) | 0.898 |
Publisher’s Note: MDPI stays neutral with regard to jurisdictional claims in published maps and institutional affiliations. |
© 2022 by the authors. Licensee MDPI, Basel, Switzerland. This article is an open access article distributed under the terms and conditions of the Creative Commons Attribution (CC BY) license (https://creativecommons.org/licenses/by/4.0/).
Share and Cite
Djokic, M.; Radic, T.; Santric, V.; Dragicevic, D.; Suvakov, S.; Mihailovic, S.; Stankovic, V.; Cekerevac, M.; Simic, T.; Nikitovic, M.; et al. The Association of Polymorphisms in Genes Encoding Antioxidant Enzymes GPX1 (rs1050450), SOD2 (rs4880) and Transcriptional Factor Nrf2 (rs6721961) with the Risk and Development of Prostate Cancer. Medicina 2022, 58, 1414. https://doi.org/10.3390/medicina58101414
Djokic M, Radic T, Santric V, Dragicevic D, Suvakov S, Mihailovic S, Stankovic V, Cekerevac M, Simic T, Nikitovic M, et al. The Association of Polymorphisms in Genes Encoding Antioxidant Enzymes GPX1 (rs1050450), SOD2 (rs4880) and Transcriptional Factor Nrf2 (rs6721961) with the Risk and Development of Prostate Cancer. Medicina. 2022; 58(10):1414. https://doi.org/10.3390/medicina58101414
Chicago/Turabian StyleDjokic, Milica, Tanja Radic, Veljko Santric, Dejan Dragicevic, Sonja Suvakov, Smiljana Mihailovic, Vesna Stankovic, Milica Cekerevac, Tatjana Simic, Marina Nikitovic, and et al. 2022. "The Association of Polymorphisms in Genes Encoding Antioxidant Enzymes GPX1 (rs1050450), SOD2 (rs4880) and Transcriptional Factor Nrf2 (rs6721961) with the Risk and Development of Prostate Cancer" Medicina 58, no. 10: 1414. https://doi.org/10.3390/medicina58101414
APA StyleDjokic, M., Radic, T., Santric, V., Dragicevic, D., Suvakov, S., Mihailovic, S., Stankovic, V., Cekerevac, M., Simic, T., Nikitovic, M., & Coric, V. (2022). The Association of Polymorphisms in Genes Encoding Antioxidant Enzymes GPX1 (rs1050450), SOD2 (rs4880) and Transcriptional Factor Nrf2 (rs6721961) with the Risk and Development of Prostate Cancer. Medicina, 58(10), 1414. https://doi.org/10.3390/medicina58101414

