Effects of Physical Activity and Micronutrients on Cognitive Performance in Children Aged 6 to 11 Years: A Systematic Review and Meta-Analysis of Randomized Controlled Trials
Abstract
:1. Introduction
2. Materials and Methods
2.1. Eligibility Criteria
2.2. Search Strategy
2.3. Data Management and Extraction
2.4. Data Quality and Analysis
3. Results
3.1. Study Selection
3.2. Risk of Bias Based on Jadad Score
3.3. Study Characteristics
3.4. Summary of Meta-Analysis
3.5. Effect of Physical Activity on Cognitive Performance
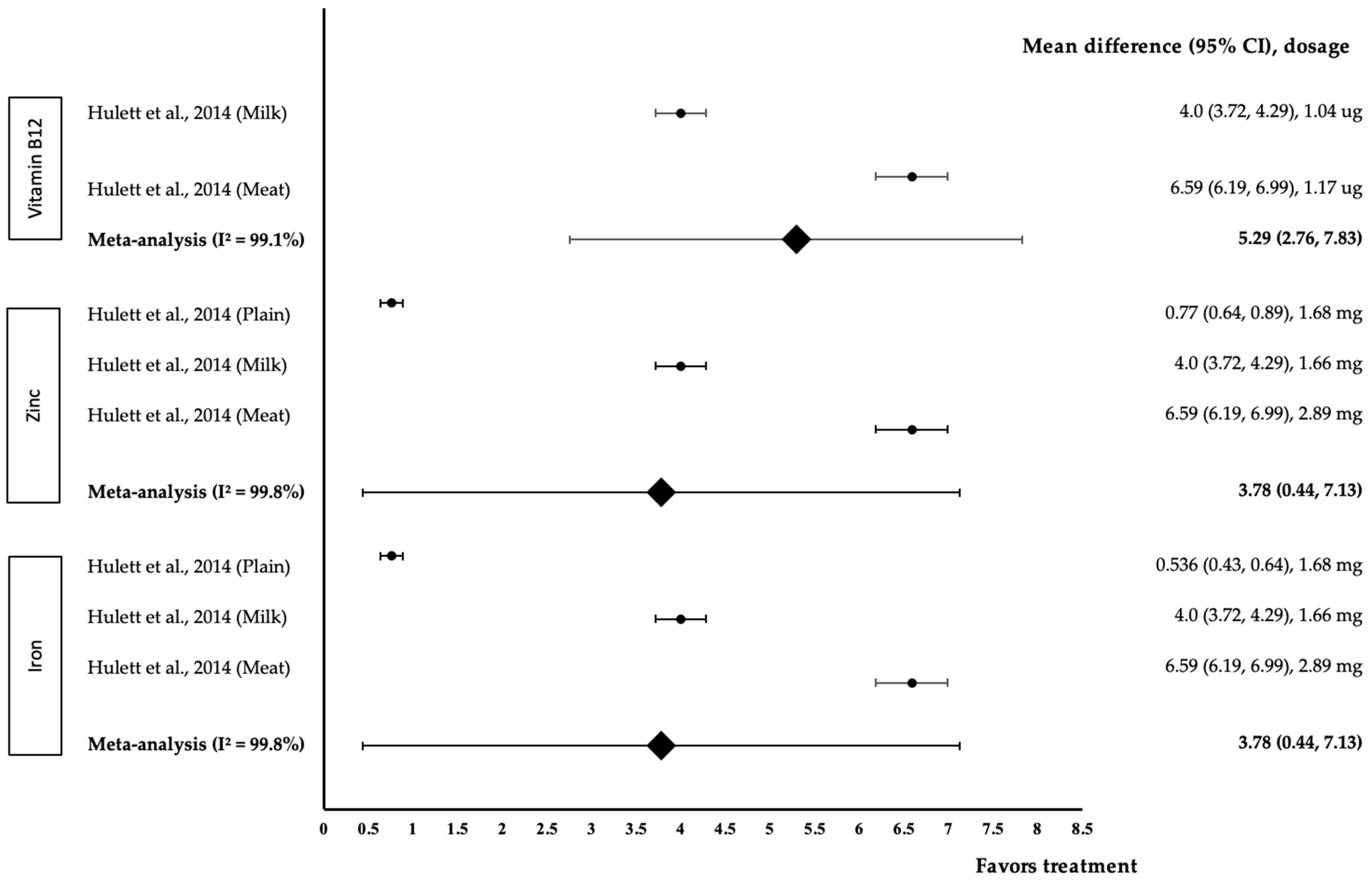
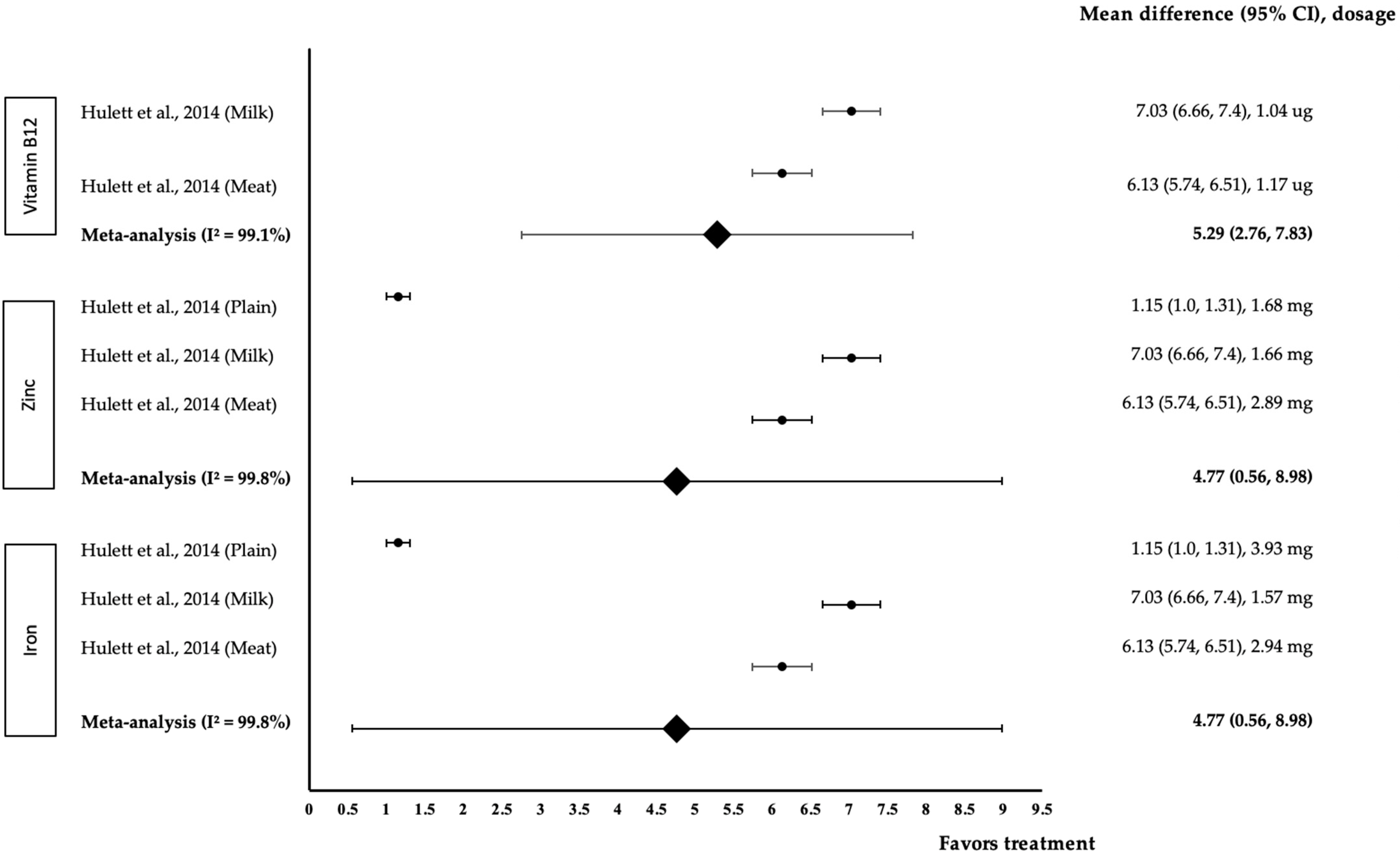
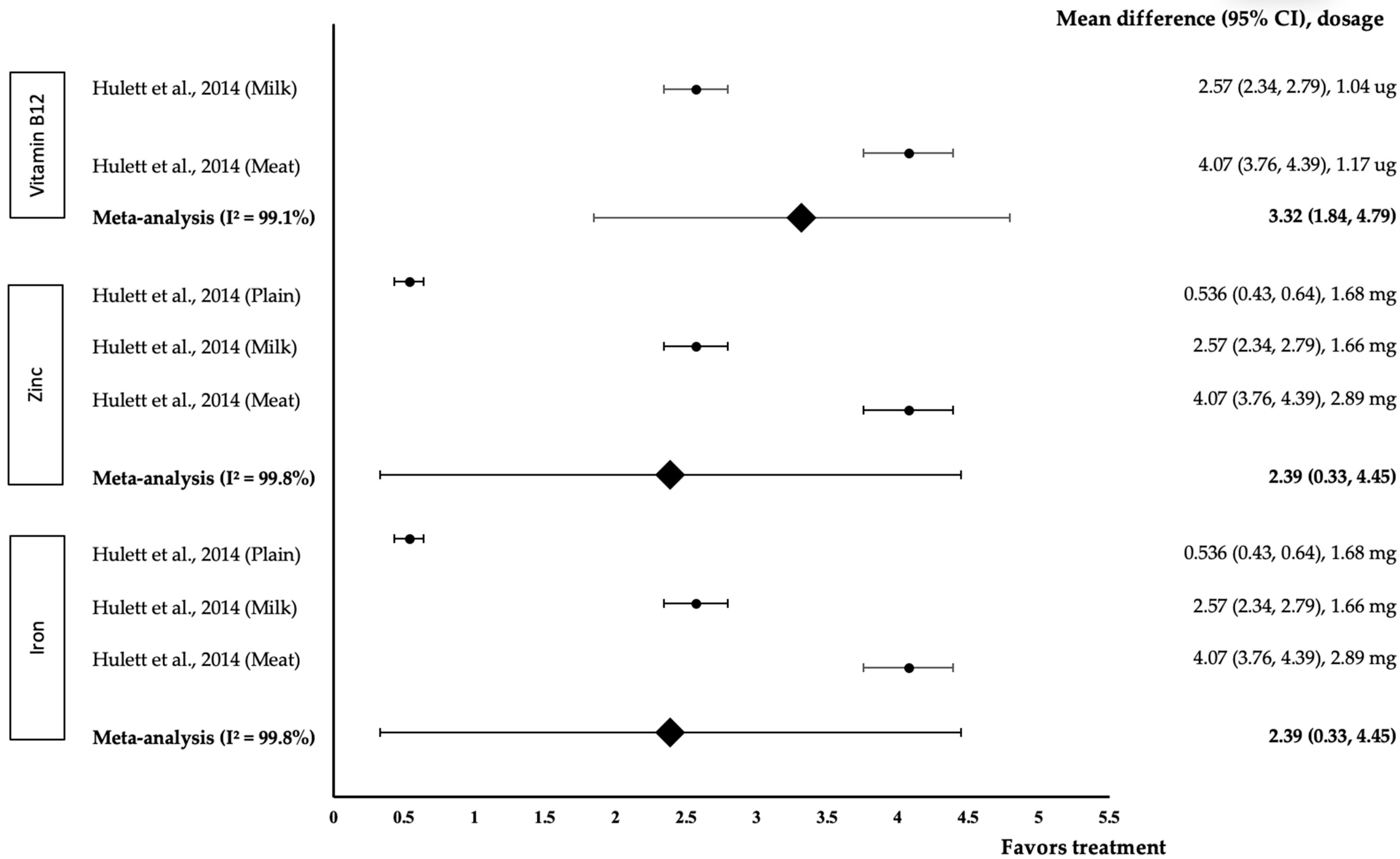
3.6. Effect of Micronutrients on Cognitive Performance
4. Discussion
5. Conclusions
Author Contributions
Funding
Institutional Review Board Statement
Informed Consent Statement
Data Availability Statement
Conflicts of Interest
References
- Ispas, D.; Borman, W.C. Psychology of Personnel Selection. In International Encyclopedia of the Social & Behavioral Sciences, 2nd ed.; Elsevier Ltd.: Amsterdam, The Netherlands, 2015; pp. 936–940. [Google Scholar]
- Feinstein, L.; Bynner, J. The Importance of Cognitive Development in Middle Childhood for Adulthood Socioeconomic Status, Mental Health, and Problem Behavior. Child Dev. 2004, 75, 1329–1339. [Google Scholar] [CrossRef] [PubMed]
- McAfee, A.J.; Mulhern, M.S.; McSorley, E.M.; Wallace, J.M.W.; Bonham, M.P.; Faure, J.; Romain, S.; Esther, C.; Shamlaye, C.F.; Watson, G.E.; et al. Intakes and adequacy of potentially important nutrients for cognitive development among 5-year-old children in the Seychelles Child Development and Nutrition Study. Public Health Nutr. 2012, 15, 1670–1677. [Google Scholar] [CrossRef] [PubMed] [Green Version]
- Alvarez-Bueno, C.; Pesce, C.; Cavero-Redondo, I.; Sanchez-Lopez, M.; Garrido-Miguel, M.; Martinez-Vizcaino, V. Academic achievement and physical activity: A meta-analysis. Pediatrics 2017, 140, e20171498. [Google Scholar] [CrossRef] [Green Version]
- Watson, A.; Timperio, A.; Brown, H.; Best, K.; Hesketh, K.D. Effect of classroom-based physical activity interventions on academic and physical activity outcomes: A systematic review and meta-analysis. Int. J. Behav. Nutr. Phys. Act. 2017, 14, 114. [Google Scholar] [CrossRef] [PubMed] [Green Version]
- Lam, L.F.; Lawlis, T.R. Feeding the brain—The effects of micronutrient interventions on cognitive performance among school-aged children: A systematic review of randomized controlled trials. Clin. Nutr. 2017, 36, 1007–1014. [Google Scholar] [CrossRef]
- Finkelstein, J.L.; Fothergill, A.; Hackl, L.S.; Haas, J.D.; Mehta, S. Iron biofortification interventions to improve iron status and functional outcomes. Proc. Nutr. Soc. 2019, 78, 197–207. [Google Scholar] [CrossRef]
- Guo, X.; Hui, L.; Jing, Q. Daily iron supplementation on cognitive performance in primary-school-aged children with and without anemia: A meta-analysis. Int. J. Clin. Exp. Med. 2015, 8, 16107–16111. [Google Scholar]
- Kraus, S.; Breier, M.; Dasí-Rodríguez, S. The art of crafting a systematic literature review in entrepreneurship research. Int. Entrep. Manag. J. 2020, 16, 1023–1042. [Google Scholar] [CrossRef] [Green Version]
- Page, M.J.; McKenzie, J.E.; Bossuyt, P.M.; Boutron, I.; Hoffmann, T.C.; Mulrow, C.D. The PRISMA 2020 statement: An updated guideline for reporting systematic reviews. BMJ 2021, 372, 71. [Google Scholar] [CrossRef]
- Jadad, A.R.; Moore, R.A.; Carroll, D.; Jenkinson, C.; Reynolds, J.M.; Gavaghan, D.J.; McQuay, H.J. Assessing the quality of reports of randomized clinical trials: Is blinding necessary? Control Clin. Trials 1996, 17, 1–12. [Google Scholar] [CrossRef]
- Effect Size Calculator. Available online: https://memory.psych.mun.ca/models/stats/effect_size.shtml (accessed on 24 August 2021).
- Neyeloff, J.L.; Fuchs, S.C.; Moreira, L.B. Meta-analyses and forest plots using a Microsoft excel spreadsheet: Step-by-step guide focusing on descriptive data analysis. BMC Res. Notes 2012, 5, 52. [Google Scholar] [CrossRef] [Green Version]
- Ramli, N.N.S.; Alkhaldy, A.A.; Mhd Jalil, A.M. Effects of Caffeinated and Decaffeinated Coffee Consumption on Metabolic Syndrome Parameters: A Systematic Review and Meta-Analysis of Data from Randomised Controlled Trials. Medicina 2021, 57, 957. [Google Scholar] [CrossRef]
- Borenstein, M.; Hedges, L.V.; Higgins, J.P.T.; Rothstein, H.R. Effect sizes based on correlations. In Introduction to Meta-Analysis; John Wiley & Sons: Chichester, UK, 2009; pp. 41–43. [Google Scholar]
- Janssen, M.; Chinapaw, M.J.M.; Rauh, S.P.; Toussaint, H.M.; van Mechelen, W.; Verhagen, E.A.L.M. A short physical activity break from cognitive tasks increases selective attention in primary school children aged 10–11. Ment. Health Phys. Act. 2014, 7, 129–134. [Google Scholar] [CrossRef]
- Hulett, J.L.; Weiss, R.E.; Bwibo, N.O.; Galal, O.M.; Drorbaugh, N.; Neumann, C.G. Animal source foods have a positive impact on the primary school test scores of Kenyan schoolchildren in a cluster-randomised, controlled feeding intervention trial. Br. J. Nutr. 2014, 111, 875–886. [Google Scholar] [CrossRef] [Green Version]
- Mavilidi, M.F.; Drew, R.; Morgan, P.J.; Lubans, D.R.; Schmidt, M.; Riley, N. Effects of different types of classroom physical activity breaks on children’s on-task behaviour, academic achievement and cognition. Int. J. Paediatr. 2019, 109, 158–165. [Google Scholar] [CrossRef] [Green Version]
- García-Hermoso, A.; Hormazábal-Aguayo, I.; Fernández-Vergara, O.; González-Calderón, N.; Russell-Guzmán, J.; Vicencio-Rojas, F.; Chacana-Cañas, C.; Ramírez-Vélez, R. A before-school physical activity intervention to improve cognitive parameters in children: The Active-Start study. Scand. J. Med. Sci. Sports 2019, 30, 108–116. [Google Scholar] [CrossRef]
- Have, M.; Nielsen, J.H.; Ernst, M.T.; Gejl, A.K.; Fredens, K.; Grøntved, A.; Kristensen, P.L. Classroom-based physical activity improves children’s math achievement—A randomized controlled trial. PLoS ONE 2018, 13, e0208787. [Google Scholar] [CrossRef] [PubMed] [Green Version]
- Berg, V.; Singh, A.S.; Komen, A.; Hazelebach, C.; van Hilvoorde, I.; Chinapaw, M.J.M. Integrating juggling with math lessons: A randomized controlled trial assessing effects of physically active learning on maths performance and enjoyment in primary school children. Int. J. Environ. Res. Public Health 2019, 16, 2452. [Google Scholar] [CrossRef] [PubMed] [Green Version]
- Lind, R.R.; Geertsen, S.S.; Ørntoft, C.; Madsen, M.; Larsen, M.N.; Dvorak, J.; Ritz, C.; Krustrup, P. Improved cognitive performance in preadolescent Danish children after the school-based physical activity programme ‘FIFA 11 for Health’ for Europe–A cluster-randomised controlled trial. Eur. J. Sport Sci. 2018, 18, 130–139. [Google Scholar] [CrossRef] [Green Version]
- Ebenezer, R.; Gunawardena, K.; Kumarendran, B.; Pathmeswaran, A.; Jukes, M.C.H.; Drake, L.J.; de Silva, N. Cluster-randomised trial of the impact of school-based deworming and iron supplementation on the cognitive abilities of schoolchildren in Sri Lanka’s plantation sector. Trop. Med. Int. Health 2013, 18, 942–951. [Google Scholar] [CrossRef] [PubMed] [Green Version]
- Kuriyan, R.; Thankachan, P.; Selvam, S.; Pauline, M.; Srinivasan, K.; Kamath-Jha, S.; Vinoy, S.; Misra, S.; Finnegan, Y.; Kurpad, A.V. The effects of regular consumption of a multiple micronutrient fortified milk beverage on the micronutrient status of school children and on their mental and physical performance. Clin. Nutr. 2016, 35, 190–198. [Google Scholar] [CrossRef] [PubMed]
- de Greeff, J.W.; Bosker, R.J.; Oosterlaan, J.; Visscher, C.; Hartman, E. Effects of physical activity on executive functions, attention and academic performance in preadolescent children: A meta-analysis. J. Sci. Med. Sport 2018, 21, 501–507. [Google Scholar] [CrossRef] [PubMed]
- Sember, V.; Jurak, G.; Kovač, M.; Morrison, S.A.; Starc, G. Children’s Physical Activity, Academic Performance, and Cognitive Functioning: A Systematic Review and Meta-Analysis. Front. Public Health 2020, 8, 307. [Google Scholar] [CrossRef] [PubMed]
- Todorich, B.; Pasquini, J.M.; Garcia, C.I.; Paez, P.M.; Connor, J.R. Oligodendrocytes and myelination: The role of iron. Glia 2009, 57, 467–478. [Google Scholar] [CrossRef]
- Youdim, M.; Yehuda, S. The neurochemical basis of cognitive deficits induced by brain iron deficiency: Involvement of dopamine-opiate system. Cell. Mol. Biol. 2000, 46, 491–500. [Google Scholar]
- Bhatnagar, S.; Taneja, S. Zinc and cognitive development. Br. J. Nutr. 2011, 85, 139–145. [Google Scholar] [CrossRef] [Green Version]
- Alpert, J.E.; Fava, M. Nutrition and depression: The role of folate. Nutr. Rev. 1997, 55, 145–149. [Google Scholar] [CrossRef]
- Hankey, G.J.; Eikelboom, J.W. Homocysteine and vascular disease. Lancet 1999, 354, 407–413. [Google Scholar] [CrossRef]
- Low, M.; Farrell, A.; Biggs, B.A.; Pasricha, S.R. Effects of daily iron supplementation in primary-school-aged children: Systematic review and meta-analysis of randomized controlled trials. CMAJ 2013, 185, E791–E802. [Google Scholar] [CrossRef] [Green Version]
- Kumar, M.V.; Rajagopalan, S. Trial using multiple micronutrient food supplement and its effect on cognition. Indian J. Paediatr. 2008, 75, 671–678. [Google Scholar] [CrossRef]









| Studies | Randomization (yes/no) | Appropriateness of Randomization (Detail) | Blinding (yes/no) * | Appropriateness of Blinding | An account of all Participants or Description of Withdrawal or Dropouts | Total Score |
|---|---|---|---|---|---|---|
| Garcia-Hermoso et al. (2019) | 1 | 1 | N/A | N/A | 1 | 3 |
| Mavilidi et al. (2019) | 1 | 1 | N/A | N/A | 1 | 3 |
| Berg et al. (2019) | 1 | 1 | N/A | N/A | 1 | 3 |
| Have et al. (2018) | 1 | 1 | 0.5 | 1 | 1 | 4.5 |
| Lind et al. (2018) | 1 | 1 | N/A | N/A | 1 | 3 |
| Kuriyan et al. (2016) | 1 | 1 | 1 | 1 | 1 | 5 |
| Janssen et al. (2014) | 1 | 1 | N/A | N/A | 1 | 3 |
| Hulett et al. (2014) | 1 | 1 | N/A | N/A | 1 | 3 |
| Ebenezer et al. (2013) | 1 | 1 | 1 | 1 | 1 | 5 |
| Study | Participant | Location | Study Design | Staff Implementing Intervention and Measurements (HQ or LQ) | Type of PA Intervention | Cognitive Performance * | |
|---|---|---|---|---|---|---|---|
| Attention | Mathematics | ||||||
| Garcia-Hermoso et al. (2019) | 70 children (8–10 years old) | Chile | Randomized, non-blinded, parallel design IG: 100 CG: 70 Duration: 8 weeks | Graduates in Sport Sciences (HQ) | The Active-Start program (i.e., program of cooperative physical games) was structured to make group cooperation essential to game success and to encourage pro-social skills. | IG = 62.48 ± 6.58 CG = 60.15 ± 7.66 p-value = 0.124 (effect size = 0.331) | IG = 0.02 ± 0.1 CG = 0.48 ± 0.16 p < 0.001 (effect size = 3.903) |
| Mavilidi et al. (2019) | 87 children (9–10 years old) | Australia | Randomized, non-blinded, parallel design IG1: 29 IG2: 29 CG: 29 Duration: 4 weeks | Classroom teacher (LQ) | IG1: The activity breaks condition—divided into two minutes of activity break at the beginning of the lesson and three minutes in the middle of the lesson. | N/A | IG1 = 0.19 ± 2.55 CG = 2.14 ± 2.57 p = 0.045 (effect size = 0.762) |
| IG2: Activity breaks and Mathematics combined condition—Students performed the PA shown in the video while they answered the mathematical questions. | N/A | IG2 = 3.11 ± 2.55 CG = 2.14 ± 2.57 p = 0.185 (effect size = 0.379) | |||||
| Berg et al. (2019) | 323 children (10–11 years old) | Netherlands | Cluster-randomized controlled trial, non-blinded, parallel design IG: 170 CG: 153 Duration: 5 weeks | Classroom teacher (LQ) | Juggling exercises—week 1 and 2, two balls in week 3 and 4, and ending with using three balls in week 5 of the program. | N/A | IG = 25.9 ± 4.8 CG = 23.3 ± 7.1 (effect size = 0.433) |
| Have et al. (2018) | 505 children (7–8 years old) | Denmark | Cluster-Randomized, single-blinded, parallel design IG: 294 CG: 211 Duration: 9 months | Classroom teacher (LQ) | 15–20 min of PA spread over an average of 6 mathematics lessons of 45 min per week | N/A | IG1 = 1.2 ± 6.56 CG = 0 (effect size = 0.240) |
| Lind et al. (2018) | 931 children (11 years old) | Denmark | Cluster-randomized, non-blinded, parallel design IG: 93 CG: 838 Duration: 11 weeks | Staff from the University of Southern Denmark and football coaches from the Danish Football Association (HQ) | FIFA 11 for Health for Europe—consisted of two 45-min football sessions, totalling 990 min over the 11 weeks | IG = 598.54 ± 5.54 CG = 618.19 ± 13.85 (effect size = 1.482) | N/A |
| Janssen et al. (2014) | 123 children (10–11 years old) | Amsterdam | Randomized, non-blinded, parallel design IG1: 108 IG2: 111 IG3: 89 CG: 112 | Researchers (HQ) | IG1: Passive break | IG1 = 2.5 ± 0.71 CG = 2.9 ± 0.78 (effect size = 0.536) | N/A |
| IG2: Moderate intensity PA break | IG2 = 2.1 ± 5.8 CG = 2.9 ± 0.78 (effect size = 0.194) | N/A | |||||
| IG3: Vigorous intensity PA break | IG3 = 2.4 ± 0.62 CG = 2.9 ± 0.78 (effect size = 0.701) | N/A | |||||
| Study | Study Overview | Study Design | Type of Micronutrient and Doses | Cognitive Performance * | |||||
|---|---|---|---|---|---|---|---|---|---|
| Mathematics | English | Geography | Science | Arts | Attention | ||||
| Hulett et al. (2014) | Subject: 360 children (7–8 years old) Country: Kenya | Cluster-randomized, non-blinded, controlled feeding intervention trial, parallel design Treatment: (1) Plain Githeri (n = 99) (2) Githeri + Milk (n = 105) (3) Githeri + Meat (n = 67) (4) Control (n = 89) Duration: two years | (1) Plain Githeri Iron = 3.93 mg Zinc = 1.68 mg | IG = 2.48 ± 1.81 CG = 3.2 ± 2.0 (effect size = 0.378) | IG = −7.51 ± 2.36 CG = −9.32 ± 2.36 (effect size = 0.765) | IG = −1.52 ± 2.36 CG = −3.88 ± 1.63 (effect size = 1.153) | IG = −6.96 ± 1.82 CG = −6.78 ± 1.82 (effect size = 0.099) | IG = 4.29 ± 1.27 CG = 3.56 ± 1.46 (effect size = 0.536) | N/A |
| (2) Githeri + Milk Iron = 1.57 mg Zinc = 1.66 mg vitamin B12 = 1.04 µg | IG = 5.92 ± 1.46 CG = 3.2 ± 2.0 (effect size = 1.574) | IG = −0.97 ± 1.82 CG = −9.32 ± 2.36 (effect size = 4.005) | IG = 6.29 ± 1.27 CG = −3.88 ± 1.63 (effect size = 7.032) | IG = -0.61 ± 1.45 CG = −6.78 ± 1.82 (effect size = 3.785) | IG = 6.83 ± 1.09 CG = 3.56 ± 1.46 (effect size = 2.569) | N/A | |||
| (3) Githeri + Meat Iron = 2.94 mg Zin = 2.89 mg vitamin B12 = 1.17 µg | IG = 9.37 ± 1.82 CG = 3.2 ± 2.0 (effect size = 3.205) | IG = 5.74 ± 2.18 CG = −9.32 ± 2.36 (effect size = 6.592) | IG = 6.11 ± 1.63 CG = −3.88 ± 1.63 (effect size = 6.129) | IG = −1.34 ± 1.81 CG = −6.78 ± 1.82 (effect size = 2.996) | IG = 9.19 ± 1.27 CG = 3.56 ± 1.46 (effect size = 4.074) | N/A | |||
| Kuriyan et al. (2016) | Subject: 227 children (7–10 years old) Country: India | Randomized, double blind, placebo-controlled study, parallel design Treatment: (1) Fortified Milk (n = 111) (2) Control (n = 114) Duration: 5 months | (1) Iron = 18 mg/2 serving (2) Zinc = 1.8 mg/2 serving (3) Vitamin B12 = 1.08 mcg/2 serving | N/A | N/A | N/A | N/A | N/A | IG = 2.0 ± 0.57 CG = 1.9 ± 0.4 (effect size = 0.204) |
| Ebenezer et al. (2013) | Subject: 1190 (8–10 years old) Country: Sri Lanka | Prospective, placebo-controlled randomized, parallel design Treatment: (1) Iron Supplement (n = 615) (2) Control (n = 575) Duration: 6 months | Iron = 60 mg | IG = 13.9 ± 17.4 CG = 12.2 ± 16.1 (effect size = 0.101) | N/A | N/A | N/A | N/A | IG = 3.4 ± 6.1 CG = 3.0 ± 6.3 (effect size = 0.065) |
Publisher’s Note: MDPI stays neutral with regard to jurisdictional claims in published maps and institutional affiliations. |
© 2021 by the authors. Licensee MDPI, Basel, Switzerland. This article is an open access article distributed under the terms and conditions of the Creative Commons Attribution (CC BY) license (https://creativecommons.org/licenses/by/4.0/).
Share and Cite
Meli, A.M.; Ali, A.; Mhd Jalil, A.M.; Mohd Yusof, H.; Tan, M.M.C. Effects of Physical Activity and Micronutrients on Cognitive Performance in Children Aged 6 to 11 Years: A Systematic Review and Meta-Analysis of Randomized Controlled Trials. Medicina 2022, 58, 57. https://doi.org/10.3390/medicina58010057
Meli AM, Ali A, Mhd Jalil AM, Mohd Yusof H, Tan MMC. Effects of Physical Activity and Micronutrients on Cognitive Performance in Children Aged 6 to 11 Years: A Systematic Review and Meta-Analysis of Randomized Controlled Trials. Medicina. 2022; 58(1):57. https://doi.org/10.3390/medicina58010057
Chicago/Turabian StyleMeli, Atiah Munirah, Asma’ Ali, Abbe Maleyki Mhd Jalil, Hayati Mohd Yusof, and Michelle M. C. Tan. 2022. "Effects of Physical Activity and Micronutrients on Cognitive Performance in Children Aged 6 to 11 Years: A Systematic Review and Meta-Analysis of Randomized Controlled Trials" Medicina 58, no. 1: 57. https://doi.org/10.3390/medicina58010057
APA StyleMeli, A. M., Ali, A., Mhd Jalil, A. M., Mohd Yusof, H., & Tan, M. M. C. (2022). Effects of Physical Activity and Micronutrients on Cognitive Performance in Children Aged 6 to 11 Years: A Systematic Review and Meta-Analysis of Randomized Controlled Trials. Medicina, 58(1), 57. https://doi.org/10.3390/medicina58010057

