Optimal Homeostasis Model Assessment of Insulin Resistance (HOMA-IR) Cut-Offs: A Cross-Sectional Study in the Czech Population
Abstract
:1. Introduction
2. Materials and Methods
2.1. Patients and Samples
2.2. Laboratory Analysis
2.3. Statistical Analysis
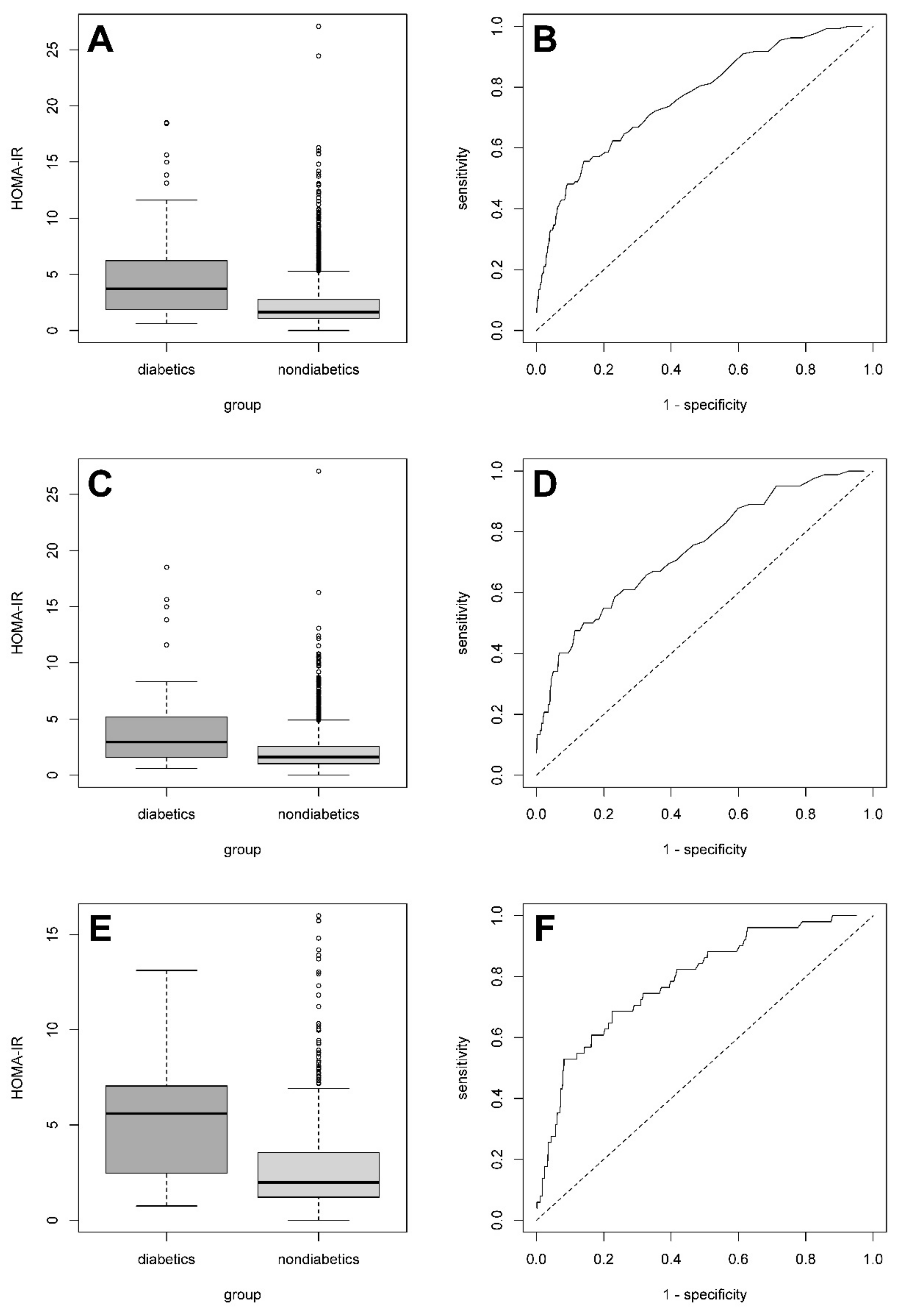
3. Results
3.1. Characteristics of the Study Population
3.2. HOMA-IR Cut-Offs
3.3. Logistic Regression
4. Discussion
Limitations of the Study
5. Conclusions
Author Contributions
Funding
Conflicts of Interest
References
- Oni, T.; Unwin, N. Why the communicable/non-communicable disease dichotomy is problematic for public health control strategies: Implications of multimorbidity for health systems in an era of health transition. Int. Health 2015, 7, 390–399. [Google Scholar] [CrossRef] [PubMed]
- Casagrande, S.S.; Menke, A.; Linder, B.; Osganian, S.K.; Cowie, C.C. Cardiovascular risk factors in adolescents with prediabetes. Diabet. Med. 2018, 35, 1202–1209. [Google Scholar] [CrossRef] [PubMed]
- Yamada, C.; Mitsuhashi, T.; Hiratsuka, N.; Inabe, F.; Araida, N.; Takahashi, E. Optimal reference interval for homeostasis model assessment of insulin resistance in a Japanese population. J. Diabetes Investig. 2011, 2, 373–376. [Google Scholar] [CrossRef] [PubMed]
- Tang, Q.; Li, X.; Song, P.; Xu, L. Optimal cut-off values for the homeostasis model assessment of insulin resistance (HOMA-IR) and pre-diabetes screening: Developments in research and prospects for the future. Drug Discov. Ther. 2015, 9, 380–385. [Google Scholar] [CrossRef] [PubMed]
- Lee, C.H.; Shih, A.Z.; Woo, Y.C.; Fong, C.H.; Leung, O.Y.; Janus, E.; Cheung, B.M.; Lam, K.S. Optimal cut-offs of homeostasis model assessment of insulin resistance (HOMA-IR) to identify dysglycemia and type 2 diabetes mellitus: A 15-year prospective study in Chinese. PLoS ONE 2016, 11, e0163424. [Google Scholar] [CrossRef] [PubMed]
- Pisprasert, V.; Ingram, K.H.; Lopez-Davila, M.F.; Munoz, A.J.; Garvey, W.T. Limitations in the use of indices using glucose and insulin levels to predict insulin sensitivity: Impact of race and gender and superiority of the indices derived from oral glucose tolerance test in African Americans. Diabetes Care 2013, 36, 845–853. [Google Scholar] [CrossRef] [PubMed]
- Matthews, D.R.; Hosker, J.P.; Rudenski, A.S.; Naylor, B.A.; Treacher, D.F.; Turner, R.C. Homeostasis model assessment: Insulin resistance and beta-cell function from fasting plasma glucose and insulin concentrations in man. Diabetologia 1985, 28, 412–419. [Google Scholar] [CrossRef] [PubMed]
- Ruopp, M.D.; Perkins, N.J.; Whitcomb, B.W.; Schisterman, E.F. Youden index and optimal cut-point estimated from observations affected by a lower limit of detection. Biom. J. 2008, 50, 419–430. [Google Scholar] [CrossRef] [PubMed]
- Alberti, K.G.M.M.; Eckel, R.H.; Grundy, S.M.; Zimmet, P.Z.; Cleeman, J.I.; Donato, K.A.; Fruchart, J.C.; James, W.P.T.; Loria, C.M.; Smith, S.C., Jr. Harmonizing the metabolic syndrome: A joint interim statement of the International Diabetes Federation Task Force on Epidemiology and Prevention; National Heart, Lung, and Blood Institute; American Heart Association; World Heart Federation; International Atherosclerosis Society; and International Association for the Study of Obesity. Circulation 2009, 120, 1640–1645. [Google Scholar] [CrossRef] [PubMed]
- Bonora, E.; Targher, G.; Alberiche, M.; Bonadonna, R.C.; Saggiani, F.; Zenere, M.B.; Monauni, T.; Muggeo, M. Homeostasis model assessment closely mirrors the glucose clamp technique in the assessment of insulin sensitivity: Studies in subjects with various degrees of glucose tolerance and insulin sensitivity. Diabetes Care 2000, 23, 57–63. [Google Scholar] [CrossRef] [PubMed]
- Wallace, T.M.; Levy, J.C.; Matthews, D.R. Use and abuse of HOMA modeling. Diabetes Care 2004, 27, 1487–1495. [Google Scholar] [CrossRef] [PubMed]
- Diabetes Prevention Program Research Group; Knowler, W.C.; Fowler, S.E.; Hamman, R.F.; Christophi, C.A.; Hoffman, H.J.; Brenneman, A.T.; Brown-Friday, J.O.; Goldberg, R.; Venditti, E.; et al. 10-year follow-up of diabetes incidence and weight loss in the Diabetes Prevention Program Outcomes Study. Lancet 2009, 374, 1677–1686. [Google Scholar] [CrossRef]
- Sumner, A.E.; Cowie, C.C. Ethnic differences in the ability of triglyceride levels to identify insulin resistance. Atherosclerosis 2008, 196, 696–703. [Google Scholar] [CrossRef] [PubMed]
- Drabsch, T.; Holzapfel, C.; Stecher, L.; Petzold, J.; Skurk, T.; Hauner, H. Associations between C-reactive protein, insulin sensitivity, and resting metabolic rate in adults: A mediator analysis. Front. Endocrinol. (Lausanne) 2018, 9, 556. [Google Scholar] [CrossRef] [PubMed]
- Zhong, V.W.; Bancks, M.P.; Schreiner, P.J.; Lewis, C.E.; Steffen, L.M.; Meigs, J.B.; Schrader, L.A.; Schorr, M.; Miller, K.K.; Sidney, S.; et al. Insulin resistance since early adulthood and appendicular lean mass in middle-aged adults without diabetes: 20 years of the CARDIA study. J. Diabetes Complications. 2019, 33, 84–90. [Google Scholar] [CrossRef] [PubMed]
- Cӑtoi, A.F.; Pârvu, A.E.; Andreicuț, A.D.; Mironiuc, A.; Crӑciun, A.; Cӑtoi, C.; Pop, I.D. Metabolically healthy versus unhealthy morbidly obese: Chronic inflammation, nitro-oxidative stress, and insulin resistance. Nutrients 2018, 10, 1199. [Google Scholar] [CrossRef] [PubMed]
- Freeman, A.M.; Pennings, N. Insulin Resistance. Available online: https://www.ncbi.nlm.nih.gov/books/NBK507839/ (accessed on 15 December 2018).
- Singh, Y.; Garg, M.K.; Tandon, N.; Marwaha, R.K. A study of insulin resistance by HOMA-IR and its cut-off value to identify metabolic syndrome in urban Indian adolescents. J. Clin. Res. Pediatr. Endocrinol. 2013, 5, 245–251. [Google Scholar] [CrossRef] [PubMed]
- Cardenas-Vargas, E.; Nava, J.A.; Garza-Veloz, I.; Torres-Castañeda, M.C.; Galván-Tejada, C.E.; Cid-Baez, M.A.; Castañeda-Arteaga, R.E.; Ortiz-Castro, Y.; Trejo-Ortiz, P.M.; Araujo-Espino, R.; et al. The influence of obesity on puberty and insulin resistance in Mexican children. Int. J. Endocrinol. 2018, 2018, 7067292. [Google Scholar] [CrossRef] [PubMed]
- Diabetes Prevention Program Research Group; Perreault, L.; Pan, Q.; Mather, K.J.; Watson, K.E.; Hamman, R.F.; Kahn, S.E. Effect of regression from prediabetes to normal glucose regulation on long-term reduction in diabetes risk: Results from the Diabetes Prevention Program Outcomes Study. Lancet 2012, 379, 2243–2251. [Google Scholar] [CrossRef]
- Kang, E.S.; Yun, Y.S.; Park, S.W.; Kim, H.J.; Ahn, C.W.; Song, Y.D.; Cha, B.S.; Lim, S.K.; Kim, K.R.; Lee, H.C. Limitation of the validity of the homeostasis model assessment as an index of insulin resistance in Korea. Metabolism 2005, 54, 206–211. [Google Scholar] [CrossRef] [PubMed]

| Characteristics | NGT | p-Value NGT vs. Prediabetics | Prediabetics | p-Value Prediabetics vs. Diabetics | Diabetics |
|---|---|---|---|---|---|
| N | 1947 (F1590, M357) | 1459 (F1047, M412) | 133 (F82, M51) | ||
| Age (years) | 38.5 (38.0; 39.1) | <0.0001 | 44.0 (43.4; 44.6) | <0.0001 | 53.6 (51.8; 55.4) |
| Glucose (mmol/L) | 5.15 (5.11; 5.18) | <0.0001 | 5.82 (5.79; 5.84) | <0.0001 | 6.59 (6.30; 6.88) |
| Insulin (mIU/L) | 7.93 (7.67; 8.19) | <0.0001 | 10.73 (10.12; 11.34) | <0.0001 | 15.32 (13.27; 17.36) |
| Total cholesterol (mmol/L) | 5.01 (4.97; 5.05) | <0.0001 | 5.25 (5.20; 5.30) | 0.0111 | 5.01 (4.84; 5.19) |
| HDL cholesterol (mmol/L) | 1.51 (1.50; 1.53) | <0.0001 | 1.38 (1.36; 1.40) | 0.0222 | 1.31 (1.24; 1.38) |
| LDL cholesterol (mmol/L) | 2.94 (2.90; 2.97) | <0.0001 | 3.14 (3.10; 3.19) | 0.1984 | 3.01 (2.86; 3.16) |
| Triglycerides (mmol/L) | 1.26 (1.21; 1.31) | <0.0001 | 1.54 (1.48; 1.61) | 0.3554 | 1.63 (1.38; 1.87) |
| BMI (kg/m2) | 31.60 (31.26; 31.94) | <0.0001 | 35.04 (34.65; 35.42) | <0.0001 | 37.81 (36.39; 39.23) |
| HOMA-IR | 1.47 (1.43; 1.51) | <0.0001 | 2.17 (2.10; 2.25) | <0.0001 | 3.49 (3.04; 3.99) |
| Sample | HOMA-IR Cut-Off | Sensitivity | Specificity | Positive PV | Negative PV | Accuracy |
|---|---|---|---|---|---|---|
| Females | 3.634 | 0.476 | 0.885 | 0.094 | 0.979 | 0.873 |
| Males | 3.691 | 0.686 | 0.775 | 0.142 | 0.971 | 0.770 |
| Females + males | 3.634 | 0.556 | 0.859 | 0.112 | 0.978 | 0.848 |
| Predictors | OR | 2.5% Quantile of OR | 97.5% Quantile of OR | p-Value |
|---|---|---|---|---|
| (intercept) | 0.0007 | 0.0003 | 0.0018 | <0.0001 |
| HOMA-IR | 1.2043 | 1.1365 | 1.2759 | <0.0001 |
| Sex = female | 0.6567 | 0.4431 | 0.9841 | 0.0384 |
| Age | 1.0824 | 1.0656 | 1.1001 | <0.0001 |
© 2019 by the authors. Licensee MDPI, Basel, Switzerland. This article is an open access article distributed under the terms and conditions of the Creative Commons Attribution (CC BY) license (http://creativecommons.org/licenses/by/4.0/).
Share and Cite
Horáková, D.; Štěpánek, L.; Janout, V.; Janoutová, J.; Pastucha, D.; Kollárová, H.; Petráková, A.; Štěpánek, L.; Husár, R.; Martiník, K. Optimal Homeostasis Model Assessment of Insulin Resistance (HOMA-IR) Cut-Offs: A Cross-Sectional Study in the Czech Population. Medicina 2019, 55, 158. https://doi.org/10.3390/medicina55050158
Horáková D, Štěpánek L, Janout V, Janoutová J, Pastucha D, Kollárová H, Petráková A, Štěpánek L, Husár R, Martiník K. Optimal Homeostasis Model Assessment of Insulin Resistance (HOMA-IR) Cut-Offs: A Cross-Sectional Study in the Czech Population. Medicina. 2019; 55(5):158. https://doi.org/10.3390/medicina55050158
Chicago/Turabian StyleHoráková, Dagmar, Ladislav Štěpánek, Vladimír Janout, Jana Janoutová, Dalibor Pastucha, Helena Kollárová, Alena Petráková, Lubomír Štěpánek, Roman Husár, and Karel Martiník. 2019. "Optimal Homeostasis Model Assessment of Insulin Resistance (HOMA-IR) Cut-Offs: A Cross-Sectional Study in the Czech Population" Medicina 55, no. 5: 158. https://doi.org/10.3390/medicina55050158
APA StyleHoráková, D., Štěpánek, L., Janout, V., Janoutová, J., Pastucha, D., Kollárová, H., Petráková, A., Štěpánek, L., Husár, R., & Martiník, K. (2019). Optimal Homeostasis Model Assessment of Insulin Resistance (HOMA-IR) Cut-Offs: A Cross-Sectional Study in the Czech Population. Medicina, 55(5), 158. https://doi.org/10.3390/medicina55050158

