Modelling and Performance Analysis of MgB2 and Hybrid Magnetic Shields
Abstract
:1. Introduction
2. Materials And Methods
2.1. Materials Properties
2.2. Basics of the A-Formulation
2.3. Basics of the H-Formulation
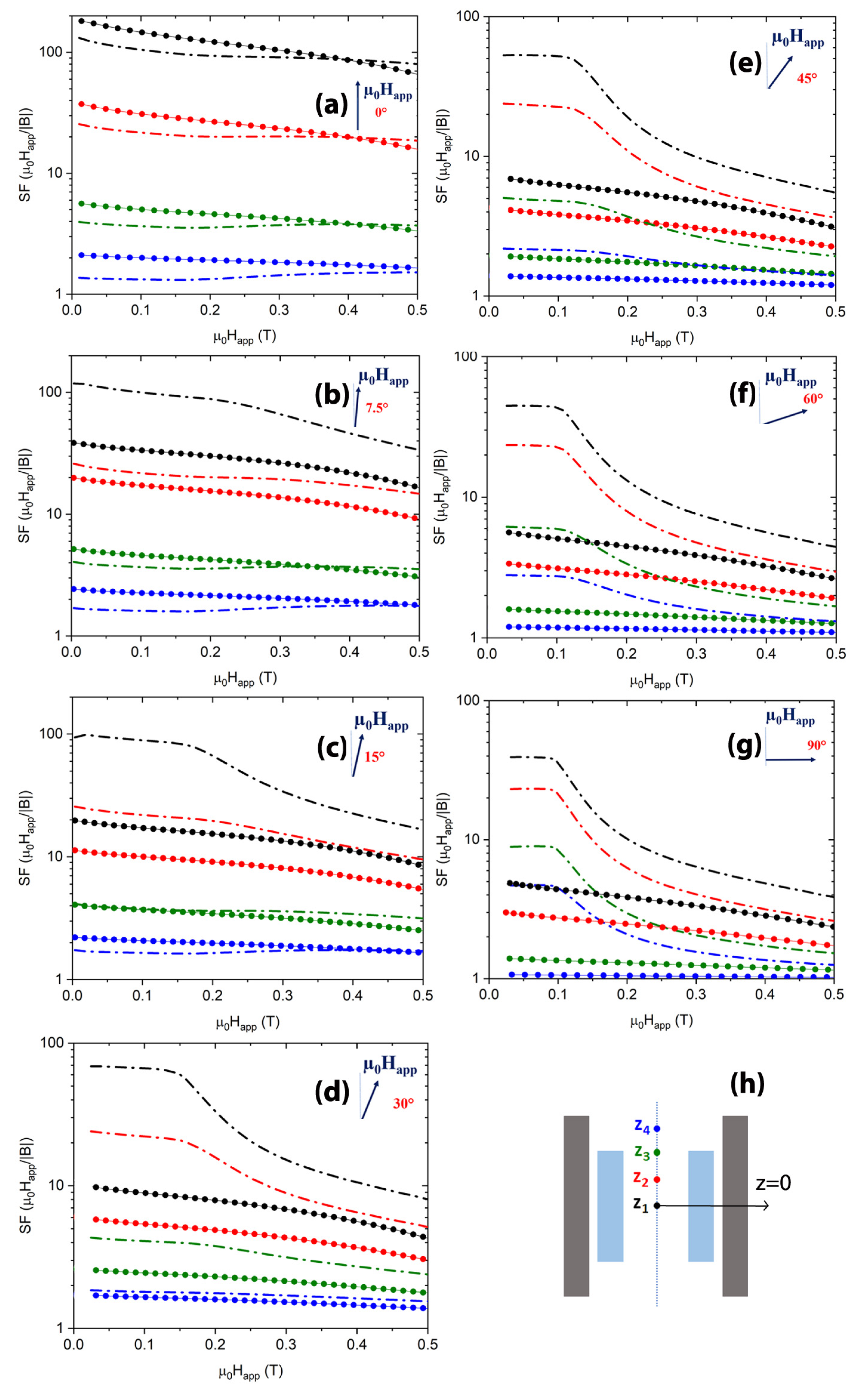
3. Results and Discussion
3.1. Solution of a Benchmark Problem via A- and H-Formulation Approaches
3.2. Tube-Shaped Shields
3.3. Cup-Shaped Shields
4. Conclusions
Author Contributions
Funding
Institutional Review Board Statement
Informed Consent Statement
Data Availability Statement
Acknowledgments
Conflicts of Interest
References
- Arpaia, P.; Ballarino, A.; Giunchi, G.; Montenero, G. MgB2 cylindrical superconducting shielding for cryogenic measurement applications: A case study on DC current transformers. J. Instrum. 2014, 9, P04020. [Google Scholar] [CrossRef]
- Giunchi, G. The MgB2 bulk cylinders as magnetic shields for physical instrumentation. In Proceedings of the 20th IMEKO TC4 International Symposium and 18th International Workshop on ADC Modelling and Testing Research on Electric and Electronic Measurement for the Economic Upturn, Benevento, Italy, 15–17 September 2014; pp. 1033–1037. [Google Scholar]
- Bergen, A.; van Weers, H.J.; Bruineman, C.; Dhallé, M.M.J.; Krooshoop, H.J.G.; ter Brake, H.J.M.; Ravensberg, K.; Jackson, B.D.; Wafelbakker, C.K. Design and validation of a large-format transition edge sensor array magnetic shielding system for space application. Rev. Sci. Instrum. 2016, 87, 105109. [Google Scholar] [CrossRef] [PubMed]
- Vavagiakis, E.; Henderson, S.; Zheng, K.; Cho, H.M.; Cothard, N.; Dober, B.; Duff, S.; Gallardo, P.; Hilton, G.; Hubmayr, J.; et al. Magnetic sensitivity of AlMn TESes and shielding considerations for next-generation CMB surveys. J. Low Temp. Phys. 2018, 193, 288–297. [Google Scholar] [CrossRef] [Green Version]
- Hogan, K.; Vanderbemden, P.; Vanderheyden, B.; Radovinsky, A.; Minervini, J.V. Design of a superconducting magnetic shield closed on both ends for a high-sensitivity particle detector. In Proceedings of the 7th International Workshop on Numerical Modelling of High Temperature Superconductors, Nancy, France, 22–23 June 2021. [Google Scholar]
- Haran, K.S.; Loder, D.; Deppen, T.O.; Zheng, L. Actively Shielded High-Field Air-Core Superconducting Machines. IEEE Trans. Appl. Supercond. 2016, 26, 5202508. [Google Scholar] [CrossRef]
- Durrell, J.H.; Ainslie, M.D.; Zhou, D.; Vanderbemden, P.; Bradshaw, T.; Speller, S.; Filipenko, M.; Cardwell, D.A. Bulk superconductors: A roadmap to applications. Supercond. Sci. Technol. 2018, 31, 103501. [Google Scholar] [CrossRef]
- Wera, L.; Fagnard, J.F.; Namburi, D.K.; Shi, Y.; Vanderheyden, B.; Vanderbemden, P. Magnetic shielding above 1 T at 20 K with bulk, large grain YBCO tubes made by buffer-aided top seeded melt growth. IEEE Trans. Appl. Supercond. 2017, 27, 6800305. [Google Scholar] [CrossRef]
- Barna, D.; Giunchi, G.; Novák, M.; Brunner, K.; Német, A.; Petrone, C.; Atanasov, M.; Bajas, H.; Feuvrier, J. An MgB2 Superconducting Shield Prototype for the Future Circular Collider Septum Magnet. IEEE Trans. Appl. Supercond. 2019, 29, 4101310. [Google Scholar] [CrossRef]
- Denis, S.; Dusoulier, L.; Dirickx, M.; Vanderbemden, P.; Cloots, R.; Ausloos, M.; Vanderheyden, B. Magnetic shielding properties of high-temperature superconducting tubes subjected to axial fields. Supercond. Sci. Technol. 2007, 20, 192–201. [Google Scholar] [CrossRef] [Green Version]
- Wéra, L.; Fagnard, J.F.; Hogan, K.; Vanderheyden, B.; Namburi, D.K.; Shi, Y.; Cardwell, D.A.; Vanderbemden, P. Magnetic Shielding of Open and Semi-closed Bulk Superconductor Tubes: The Role of a Cap. IEEE Trans. Appl. Supercond. 2019, 29, 6801109. [Google Scholar] [CrossRef]
- Dorget, R.; Nouailhetas, Q.; Colle, A.; Berger, K.; Sudo, K.; Ayat, S.; Lévêque, J.; Koblischka, M.R.; Sakai, N.; Oka, T.; et al. Review on the Use of Superconducting Bulks for Magnetic Screening in Electrical Machines for Aircraft Applications. Materials 2021, 14, 2847. [Google Scholar] [CrossRef]
- Matsumoto, S.; Kiyoshi, T.; Uchida, A. Shielding of Magnetic Fields by REBCO Coated Conductors. IEEE Trans. Appl. Supercond. 2011, 21, 2283–2286. [Google Scholar] [CrossRef]
- Tomków, Ł.; Ciszek, M.; Chorowski, M. Combined magnetic screen made of Bi-2223 bulk cylinder and YBCO tape rings—Modeling and experiments. J. Appl. Phys. 2015, 117, 043901. [Google Scholar] [CrossRef]
- Wéra, L.; Fagnard, J.F.; Levin, G.A.; Vanderheyden, B.; Vanderbemden, P. A comparative study of triaxial and uniaxial magnetic shields made out of YBCO coated conductors. Supercond. Sci. Technol. 2015, 28, 074001. [Google Scholar] [CrossRef] [Green Version]
- Kvitkovic, J.; Patel, S.; Zhang, M.; Zhang, Z.; Peetz, J.; Marney, A.; Pamidi, S. Enhanced magnetic field sensing using planar high-temperature superconductor shields. IEEE Trans. Appl. Supercond. 2018, 28, 9001705. [Google Scholar] [CrossRef] [Green Version]
- Tomków, Ł.; Kulikov, E.; Kozłowski, K.; Drobin, V. Improvement of the homogeneity of magnetic field by the attenuation of a selected component with an open superconducting shield made of commercial tapes. J. Appl. Phys. 2019, 126, 083903. [Google Scholar] [CrossRef] [Green Version]
- Seki, Y.; Suzuki, D.; Ogata, K.; Tsukada, K. Open-type hybrid magnetic shield using high-TC superconducting wire and flexible magnetic sheets. Appl. Phys. Lett. 2003, 82, 940–942. [Google Scholar] [CrossRef]
- Omura, A.; Oka, M.; Mori, K.; Itoh, M. Magnetic shielding effects of the superposition of a ferromagnetic cylinder over an HTS cylinder: Magnetic shielding dependence on the air gap between the BPSCCO and soft-iron cylinders. Phys. C Supercond. 2003, 386, 506–511. [Google Scholar] [CrossRef]
- Lousberg, G.P.; Fagnard, J.F.; Ausloos, M.; Vanderbemden, P.; Vanderheyden, B. Numerical Study of the Shielding Properties of Macroscopic Hybrid Ferromagnetic/Superconductor Hollow Cylinders. IEEE Trans. Appl. Supercond. 2010, 20, 33–41. [Google Scholar] [CrossRef] [Green Version]
- Gozzelino, L.; Agostino, A.; Gerbaldo, R.; Ghigo, G.; Laviano, F. Magnetic shielding efficiency of superconducting/ferromagnetic systems. Supercond. Sci. Technol. 2012, 25, 115013. [Google Scholar] [CrossRef]
- Gozzelino, L.; Gerbaldo, R.; Ghigo, G.; Laviano, F.; Agostino, A.; Bonometti, E.; Chiampi, M.; Manzin, A.; Zilberti, L. DC Shielding Properties of Coaxial MgB2/Fe Cups. IEEE Trans. Appl. Supercond. 2013, 23, 8201305. [Google Scholar] [CrossRef]
- Kvitkovic, J.; Patel, S.; Pamidi, S. Magnetic shielding characteristics of hybrid high-temperature superconductor/ferromagnetic material multilayer shields. IEEE Trans. Appl. Supercond. 2017, 27, 4700705. [Google Scholar] [CrossRef]
- Irisawa, D.; Imai, K.; Shintomi, K.; Yahara, A.; Matsubara, H. Superconducting magnetic shield for MEG coupled with permalloy PC. Electr. Eng. Jpn. 2019, 207, 3–14. [Google Scholar] [CrossRef]
- Gömöry, F.; Solovyov, M.; Šouc, J.; Navau, C.; Prat-Camps, J.; Sanchez, A. Experimental Realization of a Magnetic Cloak. Science 2012, 335, 1466–1468. [Google Scholar] [CrossRef]
- Gömöry, F.; Solovyov, M.; Šouc, J. Magnetization loop modelling for superconducting/ferromagnetic tube of an ac magnetic cloak. Supercond. Sci. Technol. 2015, 28, 044001. [Google Scholar] [CrossRef]
- Prat-Camps, J.; Navau, C.; Sanchez, A. A Magnetic Wormhole. Sci. Rep. 2015, 5, 12488. [Google Scholar] [CrossRef]
- Zhu, J.; Jiang, W.; Liu, Y.; Yin, G.; Yuan, J.; He, S.; Ma, Y. Three-dimensional magnetic cloak working from dc to 250 kHz. Nat. Commun. 2015, 6, 8931. [Google Scholar] [CrossRef] [PubMed] [Green Version]
- Zhou, P.B.; Ma, G.T.; Wang, Z.T.; Gong, T.Y.; Ye, C.Q.; Zhang, H. Cloaking the Static Magnetic Fields by Alternate Superconductor–Ferromagnet Heterostructure. IEEE Trans. Appl. Supercond. 2016, 26, 0601805. [Google Scholar] [CrossRef]
- Capobianco-Hogan, K.; Cervantes, R.; Deshpande, A.; Feege, N.; Krahulik, T.; LaBounty, J.; Sekelsky, R.; Adhyatman, A.; Arrowsmith-Kron, G.; Coe, B.; et al. A magnetic field cloak for charged particle beams. Nucl. Instrum. Methods Phys. Res. Sect. A Accel. Spectrom. Detect. Assoc. Equip. 2018, 877, 149–156. [Google Scholar] [CrossRef] [Green Version]
- Sirois, F.; Grilli, F. Potential and limits of numerical modelling for supporting the development of HTS devices. Supercond. Sci. Technol. 2015, 28, 043002. [Google Scholar] [CrossRef]
- Brambilla, R.; Grilli, F.; Martini, L. Development of an edge-element model for AC loss computation of high-temperature superconductors. Supercond. Sci. Technol. 2006, 20, 16–24. [Google Scholar] [CrossRef]
- Sirois, F.; Grilli, F.; Morandi, A. Comparison of constitutive laws for modeling high-temperature superconductors. IEEE Trans. Appl. Supercond. 2019, 29, 8000110. [Google Scholar] [CrossRef]
- Arsenault, A.; Sirois, F.; Grilli, F. Implementation of the H-ϕ formulation in COMSOL Multiphysics for simulating the magnetization of bulk superconductors and comparison with the H-formulation. IEEE Trans. Appl. Supercond. 2021, 31, 6800111. [Google Scholar] [CrossRef]
- Lahtinen, V.; Stenvall, A.; Sirois, F.; Pellikka, M. A Finite Element Simulation Tool for Predicting Hysteresis Losses in Superconductors Using an H-Oriented Formulation with Cohomology Basis Functions. J. Supercond. Nov. Magn. 2015, 28, 2345–2354. [Google Scholar] [CrossRef]
- Lousberg, G.P.; Ausloos, M.; Geuzaine, C.; Dular, P.; Vanderbemden, P.; Vanderheyden, B. Numerical simulation of the magnetization of high-temperature superconductors: A 3D finite element method using a single time-step iteration. Supercond. Sci. Technol. 2009, 22, 055005. [Google Scholar] [CrossRef]
- Bortot, L.; Auchmann, B.; Garcia, I.C.; De Gersem, H.; Maciejewski, M.; Mentink, M.; Schöps, S.; Van Nugteren, J.; Verweij, A.P. A coupled A–H formulation for magneto-thermal transients in high-temperature superconducting magnets. IEEE Trans. Appl. Supercond. 2020, 30, 4900911. [Google Scholar] [CrossRef] [Green Version]
- Berrospe-Juarez, E.; Zermeño, V.M.; Trillaud, F.; Grilli, F. Real-time simulation of large-scale HTS systems: Multi-scale and homogeneous models using the T-A formulation. Supercond. Sci. Technol. 2019, 32, 065003. [Google Scholar] [CrossRef] [Green Version]
- Stenvall, A.; Tarhasaari, T. Programming finite element method based hysteresis loss computation software using non-linear superconductor resistivity and T-ϕ formulation. Supercond. Sci. Technol. 2010, 23, 075010. [Google Scholar] [CrossRef]
- Pratap, S.; Hearn, C.S. 3-D transient modeling of bulk high-temperature superconducting material in passive magnetic bearing applications. IEEE Trans. Appl. Supercond. 2015, 25, 5203910. [Google Scholar] [CrossRef]
- Solovyov, M.; Gömöry, F. A-V formulation for numerical modelling of superconductor magnetization in true 3D geometry. Supercond. Sci. Technol. 2019, 32, 115001. [Google Scholar] [CrossRef]
- COMSOL Multiphysics®. Available online: https://www.comsol.com/ (accessed on 28 October 2021).
- Gozzelino, L.; Fracasso, M.; Ferracin, S.; Napolitano, A.; Torsello, D. Superconducting and hybrid magnetic shields: Comparison between 3D modeling and experiment. In Proceedings of the 7th International Workshop on Numerical Modelling of High Temperature Superconductors, Online, 22–23 June 2021. [Google Scholar]
- Gozzelino, L.; Fracasso, M.; Solovyov, M.; Gömöry, F.; Napolitano, A.; Gerbaldo, R.; Ghigo, G.; Laviano, F.; Torsello, D.; Grigoroscuta, M.A.; et al. Screening of magnetic fields by superconducting and hybrid shields with circular cross-section. Supercond. Sci. Technol. 2022. [Google Scholar] [CrossRef]
- Berger, K.; Koblischka, M.R.; Douine, B.; Noudem, J.; Bernstein, P.; Hauet, T.; Lévêque, J. High Magnetic Field Generated by Bulk MgB2 Prepared by Spark Plasma Sintering. IEEE Trans. Appl. Supercond. 2016, 26, 6801005. [Google Scholar] [CrossRef]
- Noudem, J.G.; Xing, Y.; Bernstein, P.; Retoux, R.; Higuchi, M.; Arvapalli, S.S.; Muralidhar, M.; Murakami, M. Improvement of critical current density of MgB2 bulk superconductor processed by Spark Plasma Sintering. J. Am. Ceram. Soc. 2020, 103, 6169–6175. [Google Scholar] [CrossRef]
- Rindfleisch, M.; Tomsic, M. Superconducting MgB2 tubes for Passive Magnetic Field Shielding for the Electron Ion Collider. 2019. Available online: https://www.osti.gov/biblio/1616955 (accessed on 28 October 2021).
- Gozzelino, L.; Gerbaldo, R.; Ghigo, G.; Laviano, F.; Torsello, D.; Bonino, V.; Truccato, M.; Batalu, D.; Grigoroscuta, M.A.; Burdusel, M.; et al. Passive magnetic shielding by machinable MgB2 bulks: Measurements and numerical simulations. Supercond. Sci. Technol. 2019, 32, 034004. [Google Scholar] [CrossRef]
- Gozzelino, L.; Gerbaldo, R.; Ghigo, G.; Torsello, D.; Bonino, V.; Truccato, M.; Grigoroscuta, M.A.; Burdusel, M.; Aldica, G.V.; Sandu, V.; et al. High magnetic shielding properties of an MgB2 cup obtained by machining a spark-plasma-sintered bulk cylinder. Supercond. Sci. Technol. 2020, 33, 044018. [Google Scholar] [CrossRef]
- Giunchi, G.; Ripamonti, G.; Cavallin, T.; Bassani, E. The reactive liquid Mg infiltration process to produce large superconducting bulk MgB2 manufacts. Cryogenics 2006, 46, 237–242. [Google Scholar] [CrossRef]
- Bhagurkar, A.; Yamamoto, A.; Anguilano, L.; Dennis, A.; Durrell, J.; Babu, N.H.; Cardwell, D. A trapped magnetic field of 3 T in homogeneous, bulk MgB2 superconductors fabricated by a modified precursor infiltration and growth process. Supercond. Sci. Technol. 2016, 29, 035008. [Google Scholar] [CrossRef]
- Fagnard, J.F.; Vanderheyden, B.; Pardo, E.; Vanderbemden, P. Magnetic shielding of various geometries of bulk semi-closed superconducting cylinders subjected to axial and transverse fields. Supercond. Sci. Technol. 2019, 32, 074007. [Google Scholar] [CrossRef]
- Claycomb, J.R. Magnetic shields. In Applied Superconductivity: Handbook on Devices and Applications; John Wiley & Sons: Hoboken, NJ, USA, 2015; pp. 780–806. [Google Scholar]
- Fracasso, M.; Napolitano, A.; Torsello, D.; Gozzelino, L. Superconductive and hybrid shielding design: A 3D-modeling study. In Proceedings of the 7th International Workshop on Numerical Modelling of High Temperature Superconductors, Online, 22–23 June 2021. [Google Scholar]
- Campbell, A.M. A new method of determining the critical state in superconductors. Supercond. Sci. Technol. 2007, 20, 292–295. [Google Scholar] [CrossRef]
- Gömöry, F.; Vojenčiak, M.; Pardo, E.; Šouc, J. Magnetic flux penetration and AC loss in a composite superconducting wire with ferromagnetic parts. Supercond. Sci. Technol. 2009, 22, 034017. [Google Scholar] [CrossRef]
- Gömöry, F.; Vojenčiak, M.; Pardo, E.; Solovyov, M.; Šouc, J. AC losses in coated conductors. Supercond. Sci. Technol. 2010, 23, 034012. [Google Scholar] [CrossRef] [Green Version]
- Bean, C.P. Magnetization of Hard Superconductors. Phys. Rev. Lett. 1962, 8, 250–253. [Google Scholar] [CrossRef]
- Fujishiro, H.; Naito, T.; Yoshida, T. Numerical simulation of the trapped field in MgB2 bulk disks magnetized by field cooling. Supercond. Sci. Technol. 2014, 27, 065019. [Google Scholar] [CrossRef]
- Gozzelino, L.; Gerbaldo, R.; Ghigo, G.; Laviano, F.; Truccato, M.; Agostino, A. Superconducting and hybrid systems for magnetic field shielding. Supercond. Sci. Technol. 2016, 29, 034004. [Google Scholar] [CrossRef]
- Gozzelino, L.; Gerbaldo, R.; Ghigo, G.; Laviano, F.; Truccato, M. Comparison of the Shielding Properties of Superconducting and Superconducting/Ferromagnetic Bi- and Multi-layer Systems. J. Supercond. Nov. Magn. 2017, 30, 749–756. [Google Scholar] [CrossRef]











| DOF | Computation Time | |
|---|---|---|
| H-formulation | 49,479 | ≈120 h |
| A-formulation | 405,296 | ≈24 h |
Publisher’s Note: MDPI stays neutral with regard to jurisdictional claims in published maps and institutional affiliations. |
© 2022 by the authors. Licensee MDPI, Basel, Switzerland. This article is an open access article distributed under the terms and conditions of the Creative Commons Attribution (CC BY) license (https://creativecommons.org/licenses/by/4.0/).
Share and Cite
Fracasso, M.; Gömöry, F.; Solovyov, M.; Gerbaldo, R.; Ghigo, G.; Laviano, F.; Napolitano, A.; Torsello, D.; Gozzelino, L. Modelling and Performance Analysis of MgB2 and Hybrid Magnetic Shields. Materials 2022, 15, 667. https://doi.org/10.3390/ma15020667
Fracasso M, Gömöry F, Solovyov M, Gerbaldo R, Ghigo G, Laviano F, Napolitano A, Torsello D, Gozzelino L. Modelling and Performance Analysis of MgB2 and Hybrid Magnetic Shields. Materials. 2022; 15(2):667. https://doi.org/10.3390/ma15020667
Chicago/Turabian StyleFracasso, Michela, Fedor Gömöry, Mykola Solovyov, Roberto Gerbaldo, Gianluca Ghigo, Francesco Laviano, Andrea Napolitano, Daniele Torsello, and Laura Gozzelino. 2022. "Modelling and Performance Analysis of MgB2 and Hybrid Magnetic Shields" Materials 15, no. 2: 667. https://doi.org/10.3390/ma15020667
APA StyleFracasso, M., Gömöry, F., Solovyov, M., Gerbaldo, R., Ghigo, G., Laviano, F., Napolitano, A., Torsello, D., & Gozzelino, L. (2022). Modelling and Performance Analysis of MgB2 and Hybrid Magnetic Shields. Materials, 15(2), 667. https://doi.org/10.3390/ma15020667

