Dimensionality of the Superconductivity in the Transition Metal Pnictide WP
Abstract
1. Introduction
2. Sample Preparation Method and Experimental Details
3. Theoretical and Experimental Results
3.1. Theoretical Calculations
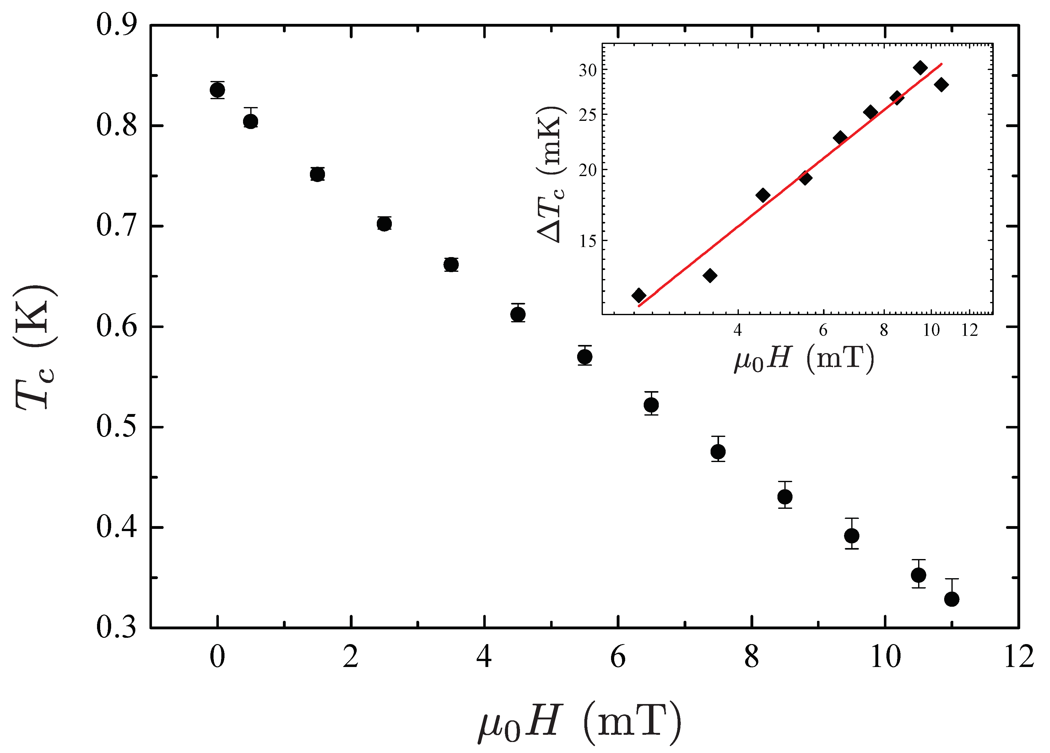
3.2. Experimental Results
4. Conclusions
Author Contributions
Funding
Data Availability Statement
Conflicts of Interest
References
- Wu, W.; Cheng, J.; Matsubayashi, K.; Kong, P.; Lin, F.; Jin, C.; Wang, N.; Uwatoko, Y.; Luo, J. Superconductivity in the vicinity of antiferromagnetic order in CrAs. Nat. Commun. 2014, 5, 5508. [Google Scholar] [CrossRef] [PubMed]
- Kotegawa, H.; Nakahara, S.; Tou, H.; Sugawara, H. Superconductivity of 2.2 K under pressure in helimagnet CrAs. J. Phys. Soc. Jpn. 2014, 83, 093702. [Google Scholar] [CrossRef]
- Wu, W.; Zhang, X.; Yin, Z.; Zheng, P.; Wang, N.; Luo, J. Low temperature properties of pnictide CrAs single crystal. Sci. China Phys. Mech. Astron. 2010, 53, 1207. [Google Scholar] [CrossRef]
- Cheng, J.-G.; Matsubayashi, K.; Wu, W.; Sun, J.P.; Lin, F.K.; Luo, J.L.; Uwatoko, Y. Pressure induced superconductivity on the border of magnetic order in MnP. Phys. Rev. Lett. 2015, 114, 117001. [Google Scholar] [CrossRef] [PubMed]
- Cuono, G.; Romano, A.; Noce, C.; Autieri, C. Double-helix magnetic order in CrAs with Pnma space group. arXiv 2021, arXiv:2110.15631. [Google Scholar]
- Chen, R.Y.; Wang, N.L. Progress in Cr- and Mn-based superconductors: A key issues review. Rep. Prog. Phys. 2018, 82, 012503. [Google Scholar] [CrossRef] [PubMed]
- Noce, C. The chromium pnictide materials: A tunable platform for exploring new exciting phenomena. EPL 2020, 130, 67001. [Google Scholar] [CrossRef]
- Liu, Z.; Wu, W.; Zhao, Z.; Zhao, H.; Cui, J.; Shan, P.; Zhang, J.; Yang, C.; Sun, P.; Wei, Y.; et al. Superconductivity in WP single crystals. Phys. Rev. B 2019, 99, 184509. [Google Scholar] [CrossRef]
- Cuono, G.; Forte, F.; Cuoco, M.; Islam, R.; Luo, J.; Noce, C.; Autieri, C. Multiple band crossings and Fermi surface topology: Role of double nonsymmorphic symmetries in MnP-type crystal structures. Phys. Rev. Mater. 2019, 3, 095004. [Google Scholar] [CrossRef]
- Kim, B.J.; Ohsumi, H.; Komesu, T.; Sakai, S.; Morita, T.; Takagi, H.; Arima, T. Phase-sensitive observation of a spin-orbital Mott state in Sr2IrO4. Science 2009, 323, 1329–1332. [Google Scholar] [CrossRef]
- Cao, G.; Terzic, J.; Zhao, H.D.; Zheng, H.; Long, L.E.D.; Riseborough, P.S. Electrical control of structural and physical properties via strong spin-orbit interactions in Sr2IrO4. Phys. Rev. Lett. 2018, 120, 017201. [Google Scholar] [CrossRef] [PubMed]
- Autieri, C.; Noce, C. First principles study of structural, magnetic and electronic properties of CrAs. Philos. Mag. 2017, 97, 3276. [Google Scholar] [CrossRef]
- Autieri, C.; Cuono, G.; Forte, F.; Noce, C. Low energy bands and transport properties of chromium arsenide. J. Phys. Condens. Matter 2017, 29, 224004. [Google Scholar] [CrossRef] [PubMed]
- Autieri, C.; Cuono, G.; Forte, F.; Noce, C. Tight-binding calculation of the magnetic moment of CrAs under pressure. J. Phys. Conf. Ser. 2018, 969, 012106. [Google Scholar] [CrossRef]
- Cuono, G.; Autieri, C.; Guarnaccia, G.; Avella, A.; Cuoco, M.; Forte, F.; Noce, C. Spin–orbit coupling effects on the electronic properties of the pressure-induced superconductor CrAs. Eur. Phys. Spec. Top. 2019, 228, 631. [Google Scholar] [CrossRef]
- Niu, Q.; Yu, W.C.; Yip, K.Y.; Lim, Z.L.; Kotegawa, H.; Matsuoka, E.; Sugawara, H.; Tou, H.; Yanase, Y.; Goh, S.K. Quasilinear quantum magnetoresistance in pressure-induced nonsymmorphic superconductor chromium arsenide. Nat. Commun. 2017, 8, 15358. [Google Scholar] [CrossRef]
- Daido, A.; Yoshida, T.; Yanase, Y. Z4 Topological superconductivity in UCoGe. Phys. Rev. Lett. 2019, 122, 227001. [Google Scholar] [CrossRef]
- Wysokiński, M.M. Mechanism for transitions between ferromagnetic and antiferromagnetic orders in d-electron metallic magnets. Sci. Rep. 2019, 9, 19461. [Google Scholar] [CrossRef]
- Gercsi, Z.; Sandeman, K.G. Structurally driven metamagnetism in MnP and related Pnma compounds. Phys. Rev. B 2010, 81, 224426. [Google Scholar] [CrossRef]
- Continenza, A.; Picozzi, S.; Geng, W.T.; Freeman, A.J. Coordination and chemical effects on the structural, electronic, and magnetic properties in Mn pnictides. Phys. Rev. B 2001, 64, 085204. [Google Scholar] [CrossRef]
- Edelmann, M.; Sangiovanni, G.; Capone, M.; de’ Medici, L. Chromium analogs of iron-based superconductors. Phys. Rev. B 2017, 95, 205118. [Google Scholar] [CrossRef]
- Cuono, G.; Autieri, C.; Forte, F.; Busiello, G.; Mercaldo, M.T.; Romano, A.; Noce, C.; Avella, A. Optimizing the tight-binding parametrization of the quasi-one-dimensional superconductor K2Cr3As3. AIP Adv. 2018, 8, 101312. [Google Scholar] [CrossRef]
- Cuono, G.; Autieri, C.; Forte, F.; Mercaldo, M.T.; Romano, A.; Avella, A.; Noce, C. A minimal tight-binding model for the quasi-one-dimensional superconductor K2Cr3As3. New J. Phys. 2019, 21, 063027. [Google Scholar] [CrossRef]
- Cuono, G.; Forte, F.; Romano, A.; Ming, X.; Luo, J.; Autieri, C.; Noce, C. Intra-chain collinear magnetism and inter-chain magnetic phases in Cr3As3-K-based materials. Phys. Rev. B 2021, 103, 214406. [Google Scholar] [CrossRef]
- Cuono, G.; Forte, F.; Romano, A.; Ming, X.; Luo, J.; Autieri, C.; Noce, C. Tuning interchain ferromagnetic instability in A2Cr3As3 ternary arsenides by chemical pressure and uniaxial strain. Phys. Rev. Mater. 2021, 5, 064402. [Google Scholar] [CrossRef]
- Shen, Y.; Wang, Q.; Hao, Y.; Pan, B.; Feng, Y.; Huang, Q.; Harriger, L.W.; Leao, J.B.; Zhao, Y.; Chisnell, R.M.; et al. Structural and magnetic phase diagram of CrAs and its relationship with pressure-induced superconductivity. Phys. Rev. B 2016, 93, 060503. [Google Scholar] [CrossRef]
- Wang, Y.; Feng, Y.; Cheng, J.G.; Wu, W.; Luo, J.L.; Rosenbaum, T.F. Spiral magnetic order and pressure-induced superconductivity in transition metal compounds. Nat. Commun. 2016, 7, 13037. [Google Scholar] [CrossRef]
- Matsuda, M.; Lin, F.K.; Yu, R.; Cheng, J.-G.; Wu, W.; Sun, J.P.; Zhang, J.H.; Sun, P.J.; Matsubayashi, K.; Miyake, T.; et al. Evolution of magnetic double helix and quantum criticality near a dome of superconductivity in CrAs. Phys. Rev. X 2018, 8, 031017. [Google Scholar] [CrossRef]
- Sen, K.; Yao, Y.; Heid, R.; Omoumi, A.; Hardy, F.; Willa, K.; Merz, M.; Haghighirad, A.A.; Tacon, M.L. Raman scattering study of lattice and magnetic excitations in CrAs. Phys. Rev. B 2019, 100, 104301. [Google Scholar] [CrossRef]
- Guo, C.Y.; Smidman, M.; Shen, B.; Wu, W.; Lin, F.K.; Han, X.L.; Chen, Y.; Wu, F.; Wang, Y.F.; Jiang, W.B.; et al. Evidence for triplet superconductivity near an antiferromagnetic instability in CrAs. Phys. Rev. B 2018, 98, 024520. [Google Scholar] [CrossRef]
- Nigro, A.; Marra, P.; Autieri, C.; Wu, W.; Cheng, J.; Luo, J.; Noce, C. Resistivity measurements unveil microscopic properties of CrAs. EPL 2019, 125, 57002. [Google Scholar] [CrossRef]
- Keller, L.; White, J.S.; Frontzek, M.; Babkevich, P.; Susner, M.A.; Sims, Z.C.; Sefat, A.S.; Rønnow, H.M.; Rüegg, C. Pressure dependence of the magnetic order in CrAs: A neutron diffraction investigation. Phys. Rev. B 2015, 91, 020409. [Google Scholar] [CrossRef]
- Khasanov, R.; Guguchia, Z.; Eremin, I.; Luetkens, H.; Amato, A.; Biswas, P.K.; Rüegg, C.; Susner, M.A.; Sefat, A.S.; Zhigadlo, N.D.; et al. Pressure-induced electronic phase separation of magnetism and superconductivity in CrAs. Sci. Rep. 2015, 5, 13788. [Google Scholar] [CrossRef] [PubMed]
- Kotegawa, H.; Nakahara, S.; Akamatsu, R.; Tou, H.; Sugawara, H.; Harima, H. Detection of an unconventional superconducting phase in the vicinity of the strong first-order magnetic transition in CrAs using 75As-nuclear quadrupole resonance. Phys. Rev. Lett. 2015, 114, 117002. [Google Scholar] [CrossRef]
- Park, S.; Shin, S.; Kim, S.-I.; Kim, S.; Park, C.-K.; Thompson, J.D.; Park, T. Tunable quantum critical point and detached superconductivity in Al-doped CrAs. Npj Quantum Mater. 2019, 4, 49. [Google Scholar] [CrossRef]
- Wu, W.; Liu, K.; Li, Y.; Yu, Z.; Wu, D.; Shao, Y.; Na, S.; Li, G.; Huang, R.; Xiang, T.; et al. Superconductivity in chromium nitrides Pr3Cr10-xN11 with strong electron correlations. Natl. Sci. Rev. 2019, 7, 21. [Google Scholar] [CrossRef]
- Tinkham, M. Effect of fluxoid quantization on transitions of superconducting films. Phys. Rev. 1963, 129, 2413. [Google Scholar] [CrossRef]
- Ketterson, J.; Song, S. Superconductivity; Cambridge University Press: Cambridge, UK, 1999; p. 45. [Google Scholar]
- Ullah, S.; Dorsey, A.T. Critical fluctuations in high-temperature superconductors and the Ettingshausen effect. Phys. Rev. Lett. 1990, 65, 2066. [Google Scholar] [CrossRef]
- Motojima, S.; Higashi, T. Deposition and hallow crystal growth of CrP and Cr3P by CVD process. J. Cryst. Growth 1985, 71, 639. [Google Scholar] [CrossRef]
- Yang, L.X.; Liu, Z.K.; Sun, Y.; Peng, H.; Yang, H.F.; Zhang, T.; Zhou, B.; Zhang, Y.; Guo, Y.F.; Rahn, M.; et al. Weyl semimetal phase in the non-centrosymmetric compound TaAs. Nat. Phys. 2015, 11, 728. [Google Scholar] [CrossRef]
- Liu, Z.K.; Yang, L.X.; Sun, Y.; Zhang, T.; Peng, H.; Yang, H.F.; Chen, C.; Zhang, Y.; Guo, Y.F.; Prabhakaran, D.; et al. Evolution of the Fermi surface of Weyl semimetals in the transition metal pnictide family. Nat. Mater. 2016, 15, 27. [Google Scholar] [CrossRef]
- Tayran, C.; Çakmak, M. Electronic structure, phonon and superconductivity for WP 5d-transition metal. J. Appl. Phys. 2019, 126, 175103. [Google Scholar] [CrossRef]
- Gao, Y.; Guo, P.-J.; Liu, K.; Lu, Z.-Y. RRuB2(R = Y,Lu), topological superconductor candidates with hourglass-type Dirac ring. Phys. Rev. B 2020, 102, 115137. [Google Scholar] [CrossRef]
- Campbell, D.J.; Collini, J.; Slawinska, J.; Autieri, C.; Wang, L.; Wang, K.; Wilfong, B.; Eo, Y.S.; Neves, P.; Graf, D.; et al. Topologically-driven linear magnetoresistance in helimagnetic FeP. Npj Quantum Mater. 2021, 6, 38. [Google Scholar] [CrossRef]
- Kresse, G.; Furthmüller, J. Efficiency of ab-initio total energy calculations for metals and semiconductors using a plane-wave basis set. Comput. Mat. Sci. 1996, 6, 15. [Google Scholar] [CrossRef]
- Kresse, G.; Joubert, D. From ultrasoft pseudopotentials to the projector augmented-wave method. Phys. Rev. B 1999, 59, 1758. [Google Scholar] [CrossRef]
- Setyawan, W.; Curtarolo, S. High-throughput electronic band structure calculations: Challenges and tools. Comput. Mat. Sci. 2010, 49, 299. [Google Scholar] [CrossRef]
- Kawamura, M. FermiSurfer: Fermi-surface viewer providing multiple representation schemes. Comput. Phys. Commun. 2019, 239, 197. [Google Scholar] [CrossRef]
- Kawamura, M.; Akashi, R.; Tsuneyuki, S. Anisotropic superconducting gaps in YNi2B2C: A first-principles investigation. Phys. Rev. B 2017, 95, 054506. [Google Scholar] [CrossRef]
- Grimaldi, G.; Leo, A.; Nigro, A.; Pace, S.; Braccini, V.; Bellingeri, E.; Ferdeghini, C. Angular dependence of vortex instability in a layered superconductor: The case study of Fe(Se,Te) material. Sci. Rep. 2018, 8, 4150. [Google Scholar] [CrossRef]
- Aperis, A.; Maldonado, P.; Oppeneer, P.M. Ab initio theory of magnetic-field-induced odd-frequency two-band superconductivity in MgB2. Phys. Rev. B 2015, 92, 054516. [Google Scholar] [CrossRef]
- Blatter, G.; Feigel’man, M.V.; Geshkenbein, V.B.; Larkin, A.I.; Vinokur, V.M. Vortices in high-temperature superconductors. Rev. Mod. Phys. 1994, 66, 1125. [Google Scholar] [CrossRef]
- Larkin, A.I.; Varlamov, A. Theory of Fluctuations in Superconductors; Oxford University Press: Oxford, UK, 2005. [Google Scholar]
- Ikeda, R.; Ohmi, T.; Tsuneto, T. Renormalized fluctuation theory of resistive transition in high-temperature superconductors under magnetic field. J. Phys. Soc. Jpn. 1989, 58, 1377. [Google Scholar] [CrossRef]
- Ikeda, R.; Ohmi, T.; Tsuneto, T. Renormalized superconducting fluctuations in magnetic field—Extrapolation to lower temperature. J. Phys. Soc. Jpn. 1990, 59, 1397. [Google Scholar] [CrossRef]
- Eley, S.; Miura, M.; Maiorov, B.; Civale, L. Universal lower limit on vortex creep in superconductors. Nat. Mater. 2017, 16, 409. [Google Scholar] [CrossRef]
- Lee, P.A.; Shenoy, S.R. Effective dimensionality change of fluctuations in superconductors in a magnetic field. Phys. Rev. Lett. 1972, 28, 1025. [Google Scholar] [CrossRef]
- Tešanović, Z.; Andreev, A.V. Thermodynamic scaling functions in the critical region of type-II superconductors. Phys. Rev. B 1994, 49, 4064. [Google Scholar] [CrossRef]
- Urbach, J.S.; Lombardo, L.W.; White, W.R.; Beasley, M.R.; Kapitulnik, A. Resistive and thermodynamic transitions of a two-dimensional superconductor in a magnetic field. J. Phys. C 1994, 219, 93. [Google Scholar] [CrossRef]
- Nikulov, A.V.; Remisov, D.Y.; Oboznov, V.A. Absence of the transition into Abrikosov vortex state of two-dimensional type-ii superconductor with weak pinning. Phys. Rev. Lett. 1995, 75, 2586. [Google Scholar] [CrossRef]
- Theunissen, M.H.; Kes, P.H. Resistive transitions of thin film superconductors in a magnetic field. Phys. Rev. B 1997, 55, 15183. [Google Scholar] [CrossRef]
- Welp, U.; Fleshler, S.; Kwok, W.K.; Klemm, R.A.; Vinokur, V.M.; Downey, J.; Veal, B.; Crabtree, G.W. High-field scaling behavior of thermodynamic and transport quantities of YBa2Cu3O7-δ near the superconducting transition. Phys. Rev. Lett. 1991, 67, 3180. [Google Scholar] [CrossRef] [PubMed]
- Costa, R.M.; Pureur, P.; Ghivelder, L.; Campá, J.A.; Rasines, I. Gaussian, three-dimensional-XY, and lowest-Landau-level scalings in the low-field fluctuation magnetoconductivity of Bi2Sr2CaCu2O8. Phys. Rev. B 1997, 56, 10836. [Google Scholar] [CrossRef]
- Costa, R.M.; Pureur, P.; Ao, M.G.; Senoussi, S.; Behnia, K. Fluctuation magnetoconductivity in YBa2Cu3O7: Gaussian, three-dimensional XY, beyond three-dimensional XY, and lowest-Landau-level scaling. Phys. Rev. B 2001, 64, 214513. [Google Scholar] [CrossRef]
- Pallecchi, I.; Fanciulli, C.; Tropeano, M.; Palenzona, A.; Ferretti, M.; Malagoli, A.; Martinelli, A.; Sheikin, I.; Putti, M.; Ferdeghini, C. Upper critical field and fluctuation conductivity in the critical regime of doped SmFeAsO. Phys. Rev. B 2009, 79, 104515. [Google Scholar] [CrossRef]
- Pandya, S.; Sherif, S.; Chandra, L.S.S.; Ganesan, V. Resistive broadening in sulfur doped FeTe. Supercond. Sci. Technol. 2010, 23, 075015. [Google Scholar] [CrossRef]
- Pandya, S.; Sherif, S.; Chandra, L.S.S.; Ganesan, V. Magneto-transport studies of FeSe0.9−xMx(M = Si, Sb). Supercond. Sci. Technol. 2011, 24, 045011. [Google Scholar] [CrossRef]
- Marra, P.; Nigro, A.; Li, Z.; Chen, G.F.; Wang, N.L.; Luo, J.L.; Noce, C. Paraconductivity of the K-doped SrFe2As2 superconductor. New J. Phys. 2012, 14, 043001. [Google Scholar] [CrossRef][Green Version]
- Hardy, F.; Doussoulin, L.; Klein, T.; He, M.; Demuer, A.; Willa, R.; Willa, K.; Haghighirad, A.-A.; Wolf, T.; Merz, M.; et al. Vortex-lattice melting and paramagnetic depairing in the nematic superconductor FeSe. Phys. Rev. Res. 2020, 2, 033319. [Google Scholar] [CrossRef]
- Koshelev, A.E.; Willa, K.; Willa, R.; Smylie, M.P.; Bao, J.-K.; Chung, D.Y.; Kanatzidis, M.G.; Kwok, W.-K.; Welp, U. Melting of vortex lattice in the magnetic superconductor RbEuFe4As4. Phys. Rev. B 2019, 100, 094518. [Google Scholar] [CrossRef]
- Liarte, D.B.; Posen, S.; Transtrum, M.K.; Catelani, G.; Liepe, M.; Sethna, J.P. Theoretical estimates of maximum fields in superconducting resonant radio frequency cavities: Stability theory, disorder, and laminates. Supercond. Sci. Technol. 2017, 30, 033002. [Google Scholar] [CrossRef]
- Forgan, E.M.; Levett, S.J.; Kealey, P.G.; Cubitt, R.; Dewhurst, C.D.; Fort, D. Intrinsic behavior of flux Lines in pure niobium near the upper critical field. Phys. Rev. Lett. 2002, 88, 167003. [Google Scholar] [CrossRef] [PubMed]
- Mikitik, G.P.; Brandt, E.H. Peak effect, vortex-lattice melting line, and order-disorder transition in conventional and high-Tc superconductors. Phys. Rev. B 2001, 64, 184514. [Google Scholar] [CrossRef]
- Mikitik, G.P.; Brandt, E.H. Vortex-glass transitions in low-Tc superconducting Nb thin films and Nb/Cu superlattices. Phys. Rev. B 2005, 71, 144522. [Google Scholar] [CrossRef]
- Borg, C.K.H.; Zhou, X.; Eckberg, C.; Campbell, D.J.; Saha, S.R.; Paglione, J.; Rodriguez, E.E. Strong anisotropy in nearly ideal tetrahedral superconducting FeS single crystals. Phys. Rev. B 2016, 93, 094522. [Google Scholar] [CrossRef]
- Yamamoto, R.; Yanagita, Y.; Namaizawa, T.; Komuro, S.; Furukawa, T.; Itou, T.; Kato, R. Dimensionality of superconductivity in the layered organic material EtMe3P[Pd(dmit)2]2 under pressure. Phys. Rev. B 2018, 97, 224502. [Google Scholar] [CrossRef]
- Sun, Y.; Yamada, T.; Pyon, S.; Tamegai, T. Structural-transition-induced quasi-two-dimensional Fermi surface in FeSe. Phys. Rev. B 2016, 94, 134505. [Google Scholar] [CrossRef]









| Parameters | Values |
|---|---|
Publisher’s Note: MDPI stays neutral with regard to jurisdictional claims in published maps and institutional affiliations. |
© 2022 by the authors. Licensee MDPI, Basel, Switzerland. This article is an open access article distributed under the terms and conditions of the Creative Commons Attribution (CC BY) license (https://creativecommons.org/licenses/by/4.0/).
Share and Cite
Nigro, A.; Cuono, G.; Marra, P.; Leo, A.; Grimaldi, G.; Liu, Z.; Mi, Z.; Wu, W.; Liu, G.; Autieri, C.; et al. Dimensionality of the Superconductivity in the Transition Metal Pnictide WP. Materials 2022, 15, 1027. https://doi.org/10.3390/ma15031027
Nigro A, Cuono G, Marra P, Leo A, Grimaldi G, Liu Z, Mi Z, Wu W, Liu G, Autieri C, et al. Dimensionality of the Superconductivity in the Transition Metal Pnictide WP. Materials. 2022; 15(3):1027. https://doi.org/10.3390/ma15031027
Chicago/Turabian StyleNigro, Angela, Giuseppe Cuono, Pasquale Marra, Antonio Leo, Gaia Grimaldi, Ziyi Liu, Zhenyu Mi, Wei Wu, Guangtong Liu, Carmine Autieri, and et al. 2022. "Dimensionality of the Superconductivity in the Transition Metal Pnictide WP" Materials 15, no. 3: 1027. https://doi.org/10.3390/ma15031027
APA StyleNigro, A., Cuono, G., Marra, P., Leo, A., Grimaldi, G., Liu, Z., Mi, Z., Wu, W., Liu, G., Autieri, C., Luo, J., & Noce, C. (2022). Dimensionality of the Superconductivity in the Transition Metal Pnictide WP. Materials, 15(3), 1027. https://doi.org/10.3390/ma15031027

