Current Pharmacotherapeutic Strategies in Diffuse Gliomas: Focus on Glioblastoma, IDH-Wildtype, and Emerging Targeted Therapies for IDH-Mutant Tumors
Abstract
1. Introduction
2. Contemporary Approaches to Glioblastoma: Epidemiology, Pharmacotherapy, and Emerging Drug-Delivery Technologies
2.1. Epidemiology and Significance of the Problem
2.1.1. Risk Factors and Predispositions
2.1.2. Clinical and Social Significance
2.1.3. Global Epidemiological Data
2.1.4. Symptoms
2.1.5. Histopathology
2.1.6. Cell Morphology and Growth Patterns
2.1.7. Tumor Microenvironment
2.1.8. Histopathological and Molecular Classification
2.1.9. Necrotic Areas and Microangiopathy
2.1.10. Diagnostic Methods and Challenges
2.1.11. Clinical Significance and Future Directions
2.2. Types of Drugs Currently Used for Glioma
2.2.1. Chemotherapy
2.2.2. Anti-Edematous Drugs
2.2.3. Anticonvulsants
2.2.4. Angiogenesis Inhibitors
2.2.5. Immunotherapy and Other Experimental Approaches
2.2.6. Limitations and Future Directions
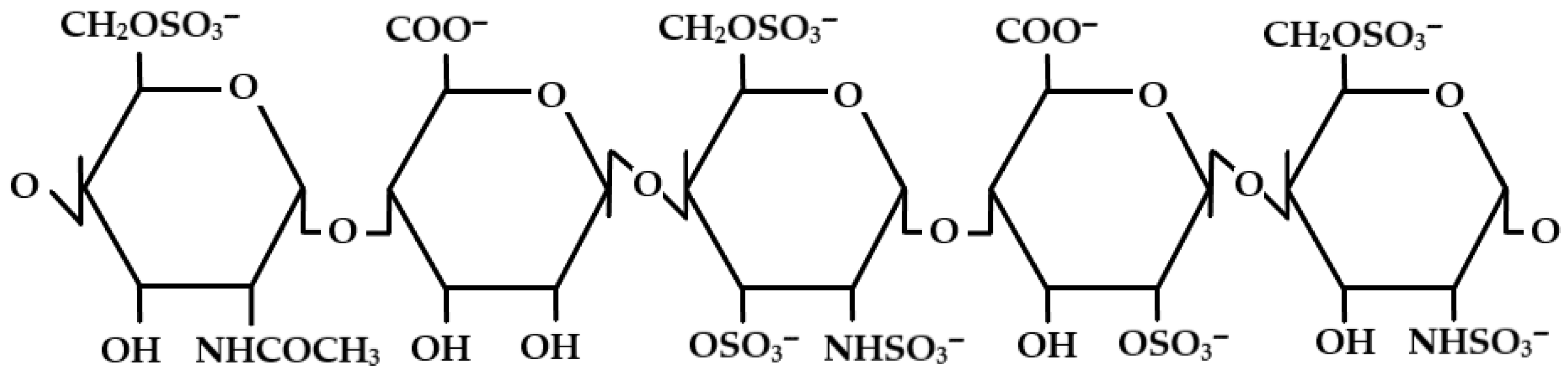
2.3. Innovative Drug-Delivery Technologies for Crossing the Blood–Brain Barrier—New Approaches to BBB Penetration—The Use of Cyclodextrins and Heparin Oligosaccharides
2.4. Drug Candidate
2.4.1. Mechanism of Action and Selectivity
2.4.2. Potential Benefits
2.4.3. Current State of Research
2.4.4. Clinical Perspectives
2.4.5. Challenges and Limitations of Ivosidenib Use in Glioma Treatment
Bioavailability and the Blood–Brain Barrier
Tumor Resistance and Heterogeneity
Toxicity and Adverse Events
Implementation Limitations and Clinical Availability
Strategies to Overcome Limitations
3. Conclusions
Author Contributions
Funding
Institutional Review Board Statement
Informed Consent Statement
Data Availability Statement
Conflicts of Interest
References
- Louis, D.N.; Perry, A.; Wesseling, P.; Brat, D.J.; Cree, I.A.; Figarella-Branger, D.; Hawkins, C.; Ng, H.K.; Pfister, S.M.; Reifenberger, G.; et al. The 2021 WHO Classification of Tumors of the Central Nervous System: A summary. Neuro-Oncol. 2021, 23, 1231–1251. [Google Scholar] [CrossRef] [PubMed]
- Chan, P.; Rich, J.N.; Kay, S.A. Watching the clock in glioblastoma. Neuro-Oncol. 2023, 25, 1932–1946. [Google Scholar] [CrossRef]
- Teraiya, M.; Perreault, H.; Chen, V.C. An overview of glioblastoma multiforme and temozolomide resistance: Can LC-MS-based proteomics reveal the fundamental mechanism of temozolomide resistance? Front. Oncol. 2023, 13, 1166207. [Google Scholar] [CrossRef]
- Obrador, E.; Moreno-Murciano, P.; Oriol-Caballo, M.; López-Blanch, R.; Pineda, B.; Gutiérrez-Arroyo, J.L.; Loras, A.; Gonzalez-Bonet, L.G.; Martinez-Cadenas, C.; Estrela, J.M.; et al. Glioblastoma Therapy: Past, Present and Future. Int. J. Mol. Sci. 2024, 25, 2529. [Google Scholar] [CrossRef]
- Oronsky, B.; Reid, T.R.; Oronsky, A.; Sandhu, N.; Knox, S.J. A Review of Newly Diagnosed Glioblastoma. Front. Oncol. 2021, 10, 574012. [Google Scholar] [CrossRef]
- Shaw, R.; Basu, M.; Karmakar, S.; Ghosh, M.K. MGMT in TMZ-based glioma therapy: Multifaceted insights and clinical trial perspectives. Biochim. Biophys. Acta Mol. Cell Res. 2024, 1871, 119673. [Google Scholar] [CrossRef] [PubMed]
- Omuro, A.; Brandes, A.A.; Carpentier, A.F.; Idbaih, A.; Reardon, D.A.; Cloughesy, T.; Sumrall, A.; Baehring, J.; van den Bent, M.; Bähr, O.; et al. Radiotherapy combined with nivolumab or temozolomide for newly diagnosed glioblastoma with unmethylated MGMT promoter: An international randomized phase III trial. Neuro-Oncol. 2023, 25, 123–134. [Google Scholar] [CrossRef] [PubMed]
- Xie, Y.; Yang, F.; He, L.; Huang, H.; Chao, M.; Cao, H.; Hu, Y.; Fan, Z.; Zhai, Y.; Zhao, W.; et al. Single-cell dissection of the human blood-brain barrier and glioma blood-tumor barrier. Neuron 2024, 112, 3089–3105.e7. [Google Scholar] [CrossRef]
- Chen, J.; Liu, G.; Wang, X.; Hong, H.; Li, T.; Li, L.; Wang, H.; Xie, J.; Li, B.; Li, T.; et al. Glioblastoma stem cell-specific histamine secretion drives pro-angiogenic tumor microenvironment remodeling. Cell Stem Cell 2022, 29, 1531–1546.e7. [Google Scholar] [CrossRef]
- Castellan, M.; Guarnieri, A.; Fujimura, A.; Zanconato, F.; Battilana, G.; Panciera, T.; Sladitschek, H.L.; Contessotto, P.; Citron, A.; Grilli, A.; et al. Single-cell analyses reveal YAP/TAZ as regulators of stemness and cell plasticity in Glioblastoma. Nat. Cancer 2021, 2, 174–188. [Google Scholar] [CrossRef]
- Sharma, G.; Braga, M.C.; Da Pieve, C.; Szopa, W.; Starzetz, T.; Plate, K.H.; Kaspera, W.; Kramer-Marek, G. Immuno-PET Imaging of Tumour PD-L1 Expression in Glioblastoma. Cancers 2023, 15, 3131. [Google Scholar] [CrossRef]
- Guo, D.; Tong, Y.; Jiang, X.; Meng, Y.; Jiang, H.; Du, L.; Wu, Q.; Li, S.; Luo, S.; Li, M.; et al. Aerobic glycolysis promotes tumor immune evasion by hexokinase2-mediated phosphorylation of IκBα. Cell Metab. 2022, 34, 1312–1324.e6. [Google Scholar] [CrossRef]
- Bota, D.A.; Taylor, T.H.; Lomeli, N.; Kong, X.T.; Fu, B.D.; Schönthal, A.H.; Singer, S.; Blumenthal, D.T.; Senecal, F.M.; Linardou, H.; et al. A Prospective, Cohort Study of SITOIGANAP to Treat Glioblastoma When Given in Combination with Granulocyte-Macrophage Colony-Stimulating Factor/Cyclophosphamide/Bevacizumab/Nivolumab or Granulocyte-Macrophage Colony-Stimulating Factor/Cyclophosphamide/Bevacizumab/Pembrolizumab in Patients Who Failed Prior Treatment with Surgical Resection, Radiation, and Temozolomide. Front. Oncol. 2022, 12, 934638. [Google Scholar] [CrossRef]
- Nayak, L.; Molinaro, A.M.; Peters, K.; Clarke, J.L.; Jordan, J.T.; de Groot, J.; Nghiemphu, L.; Kaley, T.; Colman, H.; McCluskey, C.; et al. Randomized Phase II and Biomarker Study of Pembrolizumab plus Bevacizumab versus Pembrolizumab Alone for Patients with Recurrent Glioblastoma. Clin. Cancer Res. 2021, 27, 1048–1057. [Google Scholar] [CrossRef]
- Mellinghoff, I.K.; van den Bent, M.J.; Blumenthal, D.T.; Touat, M.; Peters, K.B.; Clarke, J.; Mendez, J.; Yust-Katz, S.; Welsh, L.; Mason, W.P.; et al. Vorasidenib in IDH1- or IDH2-Mutant Low-Grade Glioma. N. Engl. J. Med. 2023, 389, 589–601. [Google Scholar] [CrossRef]
- Xie, X.P.; Laks, D.R.; Sun, D.; Ganbold, M.; Wang, Z.; Pedraza, A.M.; Bale, T.; Tabar, V.; Brennan, C.; Zhou, X.; et al. Quiescent human glioblastoma cancer stem cells drive tumor initiation, expansion, and recurrence following chemotherapy. Dev. Cell 2022, 57, 32–46.e8. [Google Scholar] [CrossRef] [PubMed]
- Mao, M.; Yang, W.; Zhang, X. Current mRNA-based vaccine strategies for glioma treatment. Crit. Rev. Oncol. Hematol. 2024, 202, 104459. [Google Scholar] [CrossRef] [PubMed]
- Królicki, L.; Bruchertseifer, F.; Kunikowska, J.; Koziara, H.; Królicki, B.; Jakuciński, M.; Pawlak, D.; Apostolidis, C.; Mirzadeh, S.; Rola, R.; et al. Safety and efficacy of targeted alpha therapy with 213Bi-DOTA-substance P in recurrent glioblastoma. Eur. J. Nucl. Med. Mol. Imaging 2019, 46, 614–622. [Google Scholar] [CrossRef]
- Wang, Y.; He, K.; Zhang, Y.; Chen, Y.; Wang, S.; Zhao, K.; Liu, Z.; Hu, M. Peptide-based immuno-PET/CT monitoring of dynamic PD-L1 expression during glioblastoma radiotherapy. J. Pharm. Anal. 2025, 15, 101082. [Google Scholar] [CrossRef] [PubMed]
- Pandith, A.A.; Qasim, I.; Baba, S.M.; Koul, A.; Zahoor, W.; Afroze, D.; Lateef, A.; Manzoor, U.; Bhat, I.A.; Sanadhya, D.; et al. Favorable role of IDH1/2 mutations aided with MGMT promoter gene methylation in the outcome of patients with malignant glioma. Future Sci. 2020, 7, FSO663. [Google Scholar] [CrossRef]
- Yang, K.; Wu, Z.; Zhang, H.; Zhang, N.; Wu, W.; Wang, Z.; Dai, Z.; Zhang, X.; Zhang, L.; Peng, Y.; et al. Glioma targeted therapy: Insight into future of molecular approaches. Mol. Cancer 2022, 21, 39. [Google Scholar] [CrossRef]
- Ostrom, Q.T.; Cioffi, G.; Gittleman, H.; Patil, N.; Waite, K.; Kruchko, C.; Barnholtz-Sloan, J.S. CBTRUS Statistical Report: Primary Brain and Other Central Nervous System Tumors Diagnosed in the United States in 2012–2016. Neuro-Oncol. 2019, 21, v1–v100. [Google Scholar] [CrossRef]
- Ostrom, Q.T.; Patil, N.; Cioffi, G.; Waite, K.; Kruchko, C.; Barnholtz-Sloan, J.S. CBTRUS Statistical Report: Primary Brain and Other Central Nervous System Tumors Diagnosed in the United States in 2013–2017. Neuro-Oncol. 2020, 22, iv1–iv96. [Google Scholar] [CrossRef]
- Davis, F.G.; Smith, T.R.; Gittleman, H.R.; Ostrom, Q.T.; Kruchko, C.; Barnholtz-Sloan, J.S. Glioblastoma incidence rate trends in Canada and the USA compared with England, 1995–2015. Neuro-Oncol. 2020, 22, 301–302. [Google Scholar] [CrossRef]
- Grech, N.; Dalli, T.; Mizzi, S.; Meilak, L.; Calleja, N.; Zrinzo, A. Rising Incidence of Glioblastoma Multiforme in a Well-Defined Population. Cureus 2020, 12, e8195. [Google Scholar] [CrossRef] [PubMed]
- Cavatorta, C.; Meroni, S.; Montin, E.; Oprandi, M.C.; Pecori, E.; Lecchi, M.; Diletto, B.; Alessandro, O.; Peruzzo, D.; Biassoni, V.; et al. Retrospective study of late radiation-induced damages after focal radiotherapy for childhood brain tumors. PLoS ONE 2021, 16, e0247748. [Google Scholar] [CrossRef] [PubMed]
- Claus, E.B.; Cannataro, V.L.; Gaffney, S.G.; Townsend, J.P. Environmental and sex-specific molecular signatures of glioma causation. Neuro-Oncol. 2022, 24, 29–36. [Google Scholar] [CrossRef]
- Fletcher-Sananikone, E.; Kanji, S.; Tomimatsu, N.; Di Cristofaro, L.F.M.; Kollipara, R.K.; Saha, D.; Floyd, J.R.; Sung, P.; Hromas, R.; Burns, T.C.; et al. Elimination of Radiation-Induced Senescence in the Brain Tumor Microenvironment Attenuates Glioblastoma Recurrence. Cancer Res. 2021, 81, 5935–5947. [Google Scholar] [CrossRef] [PubMed]
- Messina, R.; Cazzato, G.; Perillo, T.; Stagno, V.; Blè, V.; Resta, M.; de Leonardis, F.; Santoro, N.; Signorelli, F.; Ingravallo, G.A. Unique Case of Bilateral Thalamic High-Grade Glioma in a Pediatric Patient with LI-Fraumeni Syndrome: Case Presentation and Review of the Literature. Neurol. Int. 2021, 13, 175–183. [Google Scholar] [CrossRef]
- Murugan, A.K.; Alzahrani, A.S. Isocitrate Dehydrogenase IDH1 and IDH2 Mutations in Human Cancer: Prognostic Implications for Gliomas. Br. J. Biomed. Sci. 2022, 79, 10208. [Google Scholar] [CrossRef]
- Fotakopoulos, G.; Montasr, M.M.; Georgakopoulou, V.E.; Gatos, C.; Foroglou, N. Association Between Polymorphisms in DNA Repair Genes and Glioma Susceptibility: A Meta-Analysis of Four Single Nucleotide Polymorphisms (rs3212986, rs13181, rs25487, and rs861539). Cureus 2024, 16, e76084. [Google Scholar] [CrossRef] [PubMed]
- Drexler, R.; Khatri, R.; Sauvigny, T.; Mohme, M.; Maire, C.L.; Ryba, A.; Zghaibeh, Y.; Dührsen, L.; Salviano-Silva, A.; Lamszus, K.; et al. A prognostic neural epigenetic signature in high-grade glioma. Nat. Med. 2024, 30, 1622–1635. [Google Scholar] [CrossRef]
- Wang, K.; Wang, J.; Zhang, J.; Zhang, A.; Liu, Y.; Zhou, J.; Wang, X.; Zhang, J. Ferroptosis in Glioma Immune Microenvironment: Opportunity and Challenge. Front. Oncol. 2022, 12, 917634. [Google Scholar] [CrossRef]
- Sipos, D.; Raposa, B.L.; Freihat, O.; Simon, M.; Mekis, N.; Cornacchione, P.; Kovács, Á. Glioblastoma: Clinical Presentation, Multidisciplinary Management, and Long-Term Outcomes. Cancers 2025, 17, 146. [Google Scholar] [CrossRef]
- Weller, M.; van den Bent, M.; Preusser, M.; Le Rhun, E.; Tonn, J.C.; Minniti, G.; Bendszus, M.; Balana, C.; Chinot, O.; Dirven, L.; et al. EANO guidelines on the diagnosis and treatment of diffuse gliomas of adulthood. Nat. Rev. Clin. Oncol. 2021, 18, 170–186. [Google Scholar] [CrossRef]
- Müther, M.; Stummer, W. 5-ALA fluorescence in indeterminate grade gliomas. Neurosurg. Focus 2022, 6, V6. [Google Scholar] [CrossRef] [PubMed]
- Khagi, S.; Kotecha, R.; Gatson, N.T.N.; Jeyapalan, S.; Abdullah, H.I.; Avgeropoulos, N.G.; Batzianouli, E.T.; Giladi, M.; Lustgarten, L.; Goldlust, S.A. Recent advances in Tumor Treating Fields (TTFields) therapy for glioblastoma. Oncologist 2025, 30, oyae227. [Google Scholar] [CrossRef]
- Coronatto, L.H.; Formentin, C. Palliative care in glioblastoma patients: A systematic review. Rev. Da Assoc. Medica Bras. 2024, 70, e2024S122. [Google Scholar] [CrossRef]
- Rios, J.D.; Velummailum, R.; Bennett, J.; Nobre, L.; Tsang, D.S.; Bouffet, E.; Hawkins, C.; Tabori, U.; Denburg, A.; Pechlivanoglou, P. Clinical and economic impact of molecular testing for BRAF fusion in pediatric low-grade Glioma. BMC Pediatr. 2022, 22, 13. [Google Scholar] [CrossRef] [PubMed]
- Ostrom, Q.T.; Price, M.; Neff, C.; Cioffi, G.; Waite, K.A.; Kruchko, C.; Barnholtz-Sloan, J.S. CBTRUS Statistical Report: Primary Brain and Other Central Nervous System Tumors Diagnosed in the United States in 2015–2019. Neuro-Oncol. 2022, 24, v1–v95. [Google Scholar] [CrossRef]
- Papacocea, S.I.; Vrinceanu, D.; Dumitru, M.; Manole, F.; Serboiu, C.; Papacocea, M.T. Molecular profile as an outcome predictor in glioblastoma along with MRI features and surgical resection: A scoping review. Int. J. Mol. Sci. 2024, 25, 9714. [Google Scholar] [CrossRef]
- Grochans, S.; Cybulska, A.M.; Simińska, D.; Korbecki, J.; Kojder, K.; Chlubek, D.; Baranowska-Bosiacka, I. Epidemiology of glioblastoma multiforme: Literature review. Cancers 2022, 14, 2412. [Google Scholar] [CrossRef]
- Gheorghiu, A.; Brunborg, C.; Johannesen, T.B.; Helseth, E.; Zwart, J.A.; Wiedmann, M.K.H. Life-style and metabolic factors do not affect risk for glioma: A prospective population-based study (The Cohort of Norway). Front. Oncol. 2024, 14, 1471733. [Google Scholar] [CrossRef]
- Filho, A.M.; Znaor, A.; Sunguc, C.; Zahwe, M.; Marcos-Gragera, R.; Figueroa, J.D.; Bray, F. Cancers of the brain and central nervous system: Global patterns and trends in incidence. J. Neuro-Oncol. 2025, 172, 567–578. [Google Scholar] [CrossRef] [PubMed]
- Goldbrunner, R.; Foroglou, N.; Signorelli, F.; Schucht, P.; Jakola, A.S.; Minniti, G.; Rola, R.; Renovanz, M.; Preusser, M.; Furtner, J.; et al. EANS-EANO Guidelines on the extent of resection in gliomas. Neuro-Oncol. 2025, noaf217, advance online publication. [Google Scholar] [CrossRef]
- Wen, P.Y.; van den Bent, M.; Youssef, G.; Cloughesy, T.F.; Ellingson, B.M.; Weller, M.; Galanis, E.; Barboriak, D.P.; de Groot, J.; Gilbert, M.R.; et al. RANO 2.0: Update to the Response Assessment in Neuro-Oncology Criteria for High- and Low-Grade Gliomas in Adults. J. Clin. Oncol. Off. J. Am. Soc. Clin. Oncol. 2023, 41, 5187–5199. [Google Scholar] [CrossRef] [PubMed]
- Ilic, I.; Ilic, M. International patterns and trends in the brain cancer incidence and mortality: An observational study based on the global burden of disease. Heliyon 2023, 9, e18222. [Google Scholar] [CrossRef]
- Burri, S.H.; Gondi, V.; Brown, P.D.; Mehta, M.P. The Evolving Role of Tumor Treating Fields in Managing Glioblastoma: Guide for Oncologists. Am. J. Clin. Oncol. 2018, 41, 191–196. [Google Scholar] [CrossRef] [PubMed]
- Śledzińska, P.; Bebyn, M.G.; Furtak, J.; Kowalewski, J.; Lewandowska, M.A. Prognostic and Predictive Biomarkers in Gliomas. Int. J. Mol. Sci. 2021, 22, 10373. [Google Scholar] [CrossRef]
- Schaff, L.R.; Mellinghoff, I.K. Glioblastoma and Other Primary Brain Malignancies in Adults: A Review. J. Am. Med. Assoc. 2023, 329, 574–587. [Google Scholar] [CrossRef] [PubMed]
- Luo, C.; Song, K.; Wu, S.; Hameed, N.U.F.; Kudulaiti, N.; Xu, H.; Qin, Z.Y.; Wu, J.S. The prognosis of glioblastoma: A large, multifactorial study. Br. J. Neurosurg. 2021, 35, 555–561. [Google Scholar] [CrossRef]
- Sacko, O.; Benouaich-Amiel, A.; Brandicourt, P.; Niaré, M.; Charni, S.; Cavandoli, C.; Brauge, D.; Catalaa, I.; Brenner, A.; Moyal, E.C.; et al. The Impact of Surgery on the Survival of Patients with Recurrent Glioblastoma. Asian J. Neurosurg. 2021, 16, 1–7. [Google Scholar] [CrossRef]
- Mrowczynski, O.D.; Yang, A.L.; Liao, J.; Rizk, E. The Potential of Glioblastoma Patient Symptoms to Diagnose and Predict Survival. Cureus 2021, 13, e16675. [Google Scholar] [CrossRef] [PubMed]
- van Roessel, I.M.A.A.; Gorter, J.E.; Bakker, B.; van den Heuvel-Eibrink, M.M.; Lequin, M.H.; van der Lugt, J.; Meijer, L.; Schouten-van Meeteren, A.Y.N.; van Santen, H.M. Bone health in childhood low-grade glioma: An understudied problem. Endocr. Connect. 2024, 13, e240224. [Google Scholar] [CrossRef]
- Rossi, J.; Bianchi, F.; Conti, N.; Ferrara, R.; Lombardi, G. To be or not to be: The dilemma over the prognostic role of seizures in glioblastoma. BMC Cancer 2024, 24, 13249. [Google Scholar] [CrossRef] [PubMed]
- Beangklang, R.; Sitthinamsuwan, B.; Tansirisithikul, C.; Nunta-Aree, S. Hydrocephalus following Brain Tumor Surgery: Factors Correlating with Occurrence of Postoperative Hydrocephalus and Predictive Scoring Model. Asian J. Neurosurg. 2024, 19, 44–51. [Google Scholar] [CrossRef] [PubMed] [PubMed Central]
- Ramar, V.; Chien, L.-N.; Zhang, Y.; Cherng, S.-T. Progress in glioma stem cell research. Cancer 2023, 16, 102. [Google Scholar] [CrossRef]
- Han, H.; Du, A.; Li, J.; Han, H.; Feng, P.; Zhu, Y.; Li, X.; Tian, G.; Yu, H.; Zhang, B.; et al. Transitioning from molecular methods to therapeutic methods: An in-depth analysis of glioblastoma (Review). Oncol. Rep. 2025, 53, 48. [Google Scholar] [CrossRef] [PubMed]
- Lan, Z.; Li, X.; Zhang, X. Glioblastoma: An Update in Pathology, Molecular Mechanisms and Biomarkers. Int. J. Mol. Sci. 2024, 25, 3040. [Google Scholar] [CrossRef]
- Ghochani, Y.; Muthukrishnan, S.D.; Sohrabi, A.; Kawaguchi, R.; Condro, M.C.; Bastola, S.; Gao, F.; Qin, Y.; Mottahedeh, J.; Iruela-Arispe, M.L.; et al. A molecular interactome of the glioblastoma perivascular niche reveals integrin binding sialoprotein as a mediator of tumor cell migration. Cell Rep. 2022, 41, 111511. [Google Scholar] [CrossRef]
- Ballato, M.; Germanà, E.; Ricciardi, G.; Giordano, W.G.; Tralongo, P.; Buccarelli, M.; Castellani, G.; Ricci-Vitiani, L.; D’Alessandris, Q.G.; Giuffrè, G.; et al. Understanding neovascularization in glioblastoma: Insights from current literature. Int. J. Mol. Sci. 2025, 26, 2763. [Google Scholar] [CrossRef]
- Pennisi, G.; Valeri, F.; Burattini, B.; Bruzzaniti, P.; Sturiale, C.L.; Talacchi, A.; Papacci, F.; Olivi, A.; Della Pepa, G.M. Targeting Macrophages in Glioblastoma: Current Therapies and Future Directions. Cancers 2025, 17, 2687. [Google Scholar] [CrossRef]
- Khan, F.; Pang, L.; Dunterman, M.; Lesniak, M.S.; Heimberger, A.B.; Chen, P. Macrophages and microglia in glioblastoma: Heterogeneity, plasticity, and therapy. J Clin Investig. 2023, 133, e163446. [Google Scholar] [CrossRef] [PubMed] [PubMed Central]
- Hambardzumyan, D.; Gutmann, D.H.; Kettenmann, H. The role of microglia and macrophages in glioma maintenance and progression. Nat. Neurosci. 2016, 19, 20–27. [Google Scholar] [CrossRef] [PubMed]
- Zhou, W.; Yu, X.; Sun, S.; Zhang, X.; Yang, W.; Zhang, J.; Zhang, X.; Jiang, Z. Increased expression of MMP-2 and MMP-9 indicates poor prognosis in glioma recurrence. Biomed. Pharmacother. 2019, 118, 109369. [Google Scholar] [CrossRef]
- Pibuel, M.A.; Poodts, D.; Díaz, M.; Hajos, S.E.; Lompardía, S.L. The scrambled story between hyaluronan and glioblastoma. J. Biol. Chem. 2021, 296, 100549. [Google Scholar] [CrossRef]
- Fawcett, J.W.; Kwok, J.C.F. Proteoglycan Sulphation in the Function of the Mature Central Nervous System. Front. Integr. Neurosci. 2022, 16, 895493. [Google Scholar] [CrossRef]
- Cha, J.; Ding, E.A.; Carvalho, E.M.; Fowler, A.; Aghi, M.K.; Kumar, S. Glioma Cells Secrete Collagen VI to Facilitate Invasion. bioRxiv 2023. [Google Scholar] [CrossRef]
- Yao, L.; Tran, K.; Nguyen, D. Collagen Matrices Mediate Glioma Cell Migration Induced by an Electrical Signal. Gels 2022, 8, 545. [Google Scholar] [CrossRef] [PubMed]
- Chou, F.J.; Liu, Y.; Lang, F.; Yang, C. D-2-Hydroxyglutarate in Glioma Biology. Cells 2021, 10, 2345. [Google Scholar] [CrossRef] [PubMed]
- Guo, X.; Gu, L.; Li, Y.; Zheng, Z.; Chen, W.; Wang, Y.; Wang, Y.; Xing, H.; Shi, Y.; Liu, D.; et al. Histological and molecular glioblastoma, IDH-wildtype: A real-world landscape using the 2021 WHO classification of central nervous system tumors. Front. Oncol. 2023, 13, 1200815. [Google Scholar] [CrossRef]
- Liu, E.M.; Shi, Z.F.; Li, K.K.; Malta, T.M.; Chung, N.Y.; Chen, H.; Chan, J.Y.; Poon, M.F.; Kwan, J.S.; Chan, D.T.; et al. Molecular landscape of IDH-wild type, pTERT-wild type adult glioblastomas. Brain Pathol. 2022, 32, e13107. [Google Scholar] [CrossRef]
- Wang, Q.; Hu, B.; Hu, X.; Kim, H.; Squatrito, M.; Scarpace, L.; deCarvalho, A.C.; Lyu, S.; Li, P.; Li, Y.; et al. Tumor Evolution of Glioma-Intrinsic Gene Expression Subtypes Associates with Immunological Changes in the Microenvironment. Cancer Cell 2017, 32, 42–56.e6. [Google Scholar] [CrossRef]
- Zielinska, Z.; Giełażyn, J.; Dzieciol-Anikiej, Z.; Dzieciol, J.; Mrozek, P.; Reszec-Gielazyn, J.; Gorodkiewicz, E. A Study on the Levels of Selected Proangiogenic Proteins in Human Tissues and Plasma in Relation to Brain Glioma. Int. J. Mol. Sci. 2025, 26, 4802. [Google Scholar] [CrossRef] [PubMed]
- Zhu, R.; He, H.; Chen, Y.; Yi, M.; Ran, S.; Wang, C.; Wang, Y. Deep learning for rapid virtual H&E staining of label-free glioma tissue from hyperspectral images. Comput. Biol. Med. 2024, 180, 108958. [Google Scholar] [CrossRef] [PubMed]
- Ramos-Fresnedo, A.; Pullen, M.W.; Perez-Vega, C.; Domingo, R.A.; Akinduro, O.O.; Almeida, J.P.; Suarez-Meade, P.; Marenco-Hillembrand, L.; Jentoft, M.E.; Bendok, B.R.; et al. The survival outcomes of molecular glioblastoma IDH-wildtype: A multicenter study. J. Neuro-Oncol. 2022, 157, 177–185. [Google Scholar] [CrossRef]
- Reifenberger, G.; Wirsching, H.G.; Knobbe-Thomsen, C.B.; Weller, M. Advances in the molecular genetics of gliomas–implications for classification and therapy. Nat. Rev. Clin. Oncol. 2017, 14, 434–452. [Google Scholar] [CrossRef]
- Comba, A.; Dunn, P.J.; Kish, P.E.; Kadiyala, P.; Kahana, A.; Castro, M.G.; Lowenstein, P.R. Laser Capture Microdissection of Glioma Subregions for Spatial and Molecular Characterization of Intratumoral Heterogeneity, Oncostreams, and Invasion. JoVE 2020, 158, e60939. [Google Scholar] [CrossRef]
- Maldonado, F.; Fábregas, N.; Aldecoa, I.; González, J.; García-Orellana, M.; Belda, I.; Hurtado, P.; Gracia, I.; de Riva, N.; Tercero, J.; et al. Association between preoperative serum lactate concentrate with tumor cell proliferative index in primary brain tumor. J. Neurosurg. Sci. 2022, 66, 91–95. [Google Scholar] [CrossRef]
- Thomas, B.C.; Staudt, D.E.; Douglas, A.M.; Monje, M.; Vitanza, N.A.; Dun, M.D. CAR T cell therapies for diffuse midline glioma. Trends Cancer 2023, 9, 791–804. [Google Scholar] [CrossRef]
- Brown, C.E.; Hibbard, J.C.; Alizadeh, D.; Blanchard, M.S.; Natri, H.M.; Wang, D.; Ostberg, J.R.; Aguilar, B.; Wagner, J.R.; Paul, J.A.; et al. Locoregional delivery of IL-13Rα2-targeting CAR-T cells in recurrent high-grade glioma: A phase 1 trial. Nat. Med. 2024, 30, 1001–1012. [Google Scholar] [CrossRef]
- Vandecandelaere, G.; Ramapriyan, R.; Gaffey, M.; Richardson, L.G.; Steuart, S.J.; Tazhibi, M.; Kalaw, A.; Grewal, E.P.; Sun, J.; Curry, W.T.; et al. Pre-Clinical Models for CAR T-Cell Therapy for Glioma. Cells 2024, 13, 1480. [Google Scholar] [CrossRef] [PubMed]
- Kim, Y.Z.; Kim, C.Y.; Lim, D.H. The Overview of Practical Guidelines for Gliomas by KSNO, NCCN, and EANO. Brain Tumor Res. Treat. 2022, 10, 83–93. [Google Scholar] [CrossRef]
- Zhou, Y.S.; Wang, W.; Chen, N.; Wang, L.C.; Huang, J.B. Research progress of anti-glioma chemotherapeutic drugs (Review). Oncol. Rep. 2022, 47, 101. [Google Scholar] [CrossRef]
- Wielgat, P.; Trofimiuk, E.; Czarnomysy, R.; Braszko, J.J.; Car, H. Sialic acids as cellular markers of immunomodulatory action of dexamethasone on glioma cells of different immunogenicity. Mol. Cell. Biochem. 2019, 455, 147–157. [Google Scholar] [CrossRef]
- Yamasaki, F.; Takayasu, T.; Hanaya, R. No Shinkei geka. Neurol. Surg. 2021, 49, 647–659. [Google Scholar] [CrossRef]
- Okada, M.; Miyake, K.; Tamiya, T. Glioblastoma Treatment in the Elderly. Neurol. Med. Chir. 2017, 57, 667–676. [Google Scholar] [CrossRef] [PubMed]
- Lin, K.; Zou, C.; Hubbard, A.; Sengelmann, S.; Goudy, L.; Wang, I.C.; Sharma, R.; Pak, J.; Foster, K.; Ozawa, T.; et al. Multiplexed epigenetic memory editing using CRISPRoff sensitizes glioblastoma to chemotherapy. Neuro-Oncol. 2025, 27, 1443–1457. [Google Scholar] [CrossRef]
- Zhang, Y.; Qin, S.; Song, T.; Huang, Z.; Lv, Z.; Zhao, Y.; Jiao, X.; Sun, M.; Zhang, Y.; Xie, G.; et al. A novel dual-targeting strategy of nanobody-driven protein corona modulation for glioma therapy. Acta Pharm. Sin. B. 2025, 15, 4917–4931. [Google Scholar] [CrossRef]
- Ballo, M.T.; Conlon, P.; Lavy-Shahaf, G.; Kinzel, A.; Vymazal, J.; Rulseh, A.M. Association of Tumor Treating Fields (TTFields) therapy with survival in newly diagnosed glioblastoma: A systematic review and meta-analysis. J. Neuro-Oncol. 2023, 164, 1–9. [Google Scholar] [CrossRef]
- Stupp, R.; Mason, W.P.; van den Bent, M.J.; Weller, M.; Fisher, B.; Taphoorn, M.J.B.; Belanger, K.; Brandes, A.A.; Marosi, C.; Bogdahn, U.; et al. Radiotherapy plus concomitant and adjuvant temozolomide for glioblastoma. N. Engl. J. Med. 2005, 352, 987–996. [Google Scholar] [CrossRef] [PubMed]
- Lim, M.; Weller, M.; Idbaih, A.; Steinbach, J.; Finocchiaro, G.; Raval, R.R.; Ansstas, G.; Baehring, J.; Taylor, J.W.; Honnorat, J.; et al. Phase III trial of chemoradiotherapy with temozolomide plus nivolumab or placebo for newly diagnosed glioblastoma with methylated MGMT promoter. Neuro-Oncol. 2022, 24, 1935–1949. [Google Scholar] [CrossRef]
- Wu, W.; Klockow, J.L.; Zhang, M.; Lafortune, F.; Chang, E.; Jin, L.; Wu, Y.; Daldrup-Link, H.E. Glioblastoma multiforme (GBM): An overview of current therapies and mechanisms of resistance. Pharmacol. Res. 2021, 171, 105780. [Google Scholar] [CrossRef]
- Wen, P.Y.; Weller, M.; Lee, E.Q.; Touat, M.; Khasraw, M.; Rahman, R.; Platten, M.; Lim, M.; Winkler, F.; Horbinski, C.; et al. Glioblastoma in Adults: A Society for Neuro-Oncology (SNO) and European Society of Neuro-Oncology (EANO) Consensus Review on Current Management and Future Directions. Neuro-Oncol. 2025, 22, 1073–1113. [Google Scholar] [CrossRef]
- Wu, Y.; Peng, Z.; Wang, H.; Xiang, W. Identifying the Hub Genes of Glioma Peritumoral Brain Edema Using Bioinformatical Methods. Brain Sci. 2022, 12, 805. [Google Scholar] [CrossRef]
- Medikonda, R.; Patel, K.; Jackson, C.; Saleh, L.; Srivastava, S.; Feghali, J.; Mohan, A.; Pant, A.; Jackson, C.M.; Weingart, J.; et al. The safety and efficacy of dexamethasone in the perioperative management of glioma patients. J. Neurosurg. 2021, 136, 1062–1069. [Google Scholar] [CrossRef]
- Koch, M.S.; Zdioruk, M.; Nowicki, M.O.; Griffith, A.M.; Aguilar, E.; Aguilar, L.K.; Guzik, B.W.; Barone, F.; Tak, P.P.; Tabatabai, G.; et al. Systemic high-dose dexamethasone treatment may modulate the efficacy of intratumoral viral oncolytic immunotherapy in glioblastoma models. J. Immunother. Cancer 2022, 10, e003368. [Google Scholar] [CrossRef]
- Xuexue, B.; Chengrui, Y.; Ma, W.; Ming, F.; Chao, W. Predictive role of MGMT and IDH status in the efficacy of bevacizumab for high-grade glioma: A retrospective study. Front. Oncol. 2025, 15, 1634892. [Google Scholar] [CrossRef] [PubMed]
- Chen, X.; Yang, J.Z.; Kong, L.Y.; Li, Z.Y.; Tang, F.; Li, Z.Q. Research progress in glioma-related epilepsy (Review). Biomed. Rep. 2025, 23, 167. [Google Scholar] [CrossRef] [PubMed]
- van der Meer, P.B.; Maschio, M.; Dirven, L.; Taphoorn, M.J.B.; Koekkoek, J.A.F. Italian League Against Epilepsy Brain Tumor-Related Epilepsy Study Group. First-line levetiracetam versus enzyme-inducing antiseizure medication in glioma patients with epilepsy. Epilepsia 2023, 64, 162–169. [Google Scholar] [CrossRef] [PubMed]
- Ollila, L.; Roivainen, R. Antiseizure medication choice in diffuse glioma: A single-center population-based experience. Epilepsia Open 2025, 10, 705–716. [Google Scholar] [CrossRef]
- Bernardes, S.S.; Pinto, M.C.X.; Amorim, J.H.; Azevedo, V.A.C.; Resende, R.R.; Mintz, A.; Birbrair, A. Glioma Pericytes Promote Angiogenesis by Producing Periostin. Cell Mol. Neurobiol. 2022, 42, 557–564. [Google Scholar] [CrossRef] [PubMed]
- Faisal, S.M.; Castro, M.G.; Lowenstein, P.R. Combined cytotoxic and immune-stimulatory gene therapy using Ad-TK and Ad-Flt3L: Translational developments from rodents to glioma patients. Mol. Ther. 2023, 31, 2839–2860. [Google Scholar] [CrossRef]
- Gravina, G.L.; Mancini, A.; Marampon, F.; Colapietro, A.; Delle Monache, S.; Sferra, R.; Vitale, F.; Richardson, P.J.; Patient, L.; Burbidge, S.; et al. The brain-penetrating CXCR4 antagonist, PRX177561, increases the antitumor effects of bevacizumab and sunitinib in preclinical models of human glioblastoma. J. Hematol. Oncol. 2017, 10, 5. [Google Scholar] [CrossRef]
- Zhang, Q.; Xiang, W.; Xue, B.Z.; Yi, D.Y.; Zhao, H.Y.; Fu, P. Growth factors contribute to the mediation of angiogenic capacity of glioma-associated mesenchymal stem cells. Oncol. Lett. 2021, 21, 215. [Google Scholar] [CrossRef]
- McBain, C.; Lawrie, T.A.; Rogozińska, E.; Kernohan, A.; Robinson, T.; Jefferies, S. Treatment options for progression or recurrence of glioblastoma: A network meta-analysis. Cochrane Database Syst. Rev. 2021, 5, CD013579. [Google Scholar] [CrossRef]
- Yasinjan, F.; Xing, Y.; Geng, H.; Guo, R.; Yang, L.; Liu, Z.; Wang, H. Immunotherapy: A promising approach for glioma treatment. Front. Immunol. 2023, 14, 1255611. [Google Scholar] [CrossRef] [PubMed]
- Hung, C.Y.; Kang, E.Y.; Jacek, K.; Yu, C.; Zhang, X.; Zhu, Y.; Aftabizadeh, M.; Wong, R.A.; Badie, B.; Świderski, P.; et al. Multimodal glioma immunotherapy combining TLR9-targeted STAT3 antisense oligodeoxynucleotides with PD1 immune checkpoint blockade. Neuro-Oncol. 2025, 27, 2296–2312. [Google Scholar] [CrossRef]
- Wang, X.; Lu, J.; Guo, G.; Yu, J. Immunotherapy for recurrent glioblastoma: Practical insights and challenging prospects. Cell Death Dis. 2021, 12, 299. [Google Scholar] [CrossRef] [PubMed]
- Luiz, M.T.; Tofani, L.B.; Araújo, V.H.S.; Di Filippo, L.D.; Duarte, J.L.; Marchetti, J.M.; Chorilli, M. Gene Therapy Based on Lipid Nanoparticles as Non-viral Vectors for Glioma Treatment. Curr. Gene Ther. 2021, 21, 452–463. [Google Scholar] [CrossRef]
- Kang, J.H.; Desjardins, A. Convection-enhanced delivery for high-grade glioma. Neurooncol. Pract. 2021, 9, 24–34. [Google Scholar] [CrossRef]
- Vitanza, N.A.; Wilson, A.L.; Huang, W.; Seidel, K.; Brown, C.; Gustafson, J.A.; Yokoyama, J.K.; Johnson, A.J.; Baxter, B.A.; Koning, R.W.; et al. Intraventricular B7-H3 CAR T Cells for Diffuse Intrinsic Pontine Glioma: Preliminary First-in-Human Bioactivity and Safety. Cancer Discov. 2023, 13, 114–131. [Google Scholar] [CrossRef] [PubMed]
- Wang, R.; Deng, D.; Shao, N.; Xu, Y.; Xue, L.; Peng, Y.; Liu, Y.; Zhi, F. Evodiamine activates cellular apoptosis through suppressing PI3K/AKT and activating MAPK in glioma. Onco. Targets Ther. 2018, 11, 1183–1192. [Google Scholar] [CrossRef]
- Geng, L.; Bai, Z.; Wen, X.; Liu, H.; Xie, H.; Wang, Y.; Wu, W.; Zeng, Z.; Zheng, K. PTEN-Long inhibits the biological behaviors of glioma cells. Am. J. Transl. Res. 2024, 16, 2840–2851. [Google Scholar] [CrossRef]
- Wu, D.; Chen, X.; Zhou, S.; Li, B. Reactive oxidative species (ROS)-based nanomedicine for BBB crossing and glioma treatment: Current status and future directions. Front. Immunol. 2023, 14, 1241791. [Google Scholar] [CrossRef]
- Salem, L.H.; El-Feky, G.S.; Fahmy, R.H.; El Gazayerly, O.N.; Abdelbary, A. Coated lipidic nanoparticles as a new strategy for enhancing nose-to-brain delivery of a hydrophilic drug molecule. J. Pharm. Sci. 2020, 109, 2746–2757. [Google Scholar] [CrossRef] [PubMed]
- Fawzy, M.; El Tayebi, H.M.; Samir, A. Exploring Neural Stem Cell Therapies as Innovative Treatments for Glioblastoma. Cell Mol. Neurobiol. 2025, 45, 108. [Google Scholar] [CrossRef]
- Melone, L.; Bach, A.; Lamura, G.; Canepa, F.; Nivajärvi, R.; Olsson, V.; Kettunen, M. Cyclodextrin-Based Organic Radical Contrast Agents for in vivo Imaging of Gliomas. ChemPlusChem 2020, 85, 1171–1178. [Google Scholar] [CrossRef]
- Shepelytskyi, Y.; Newman, C.J.; Grynko, V.; Seveney, L.E.; DeBoef, B.; Hane, F.T.; Albert, M.S. Cyclodextrin-Based Contrast Agents for Medical Imaging. Molecules 2020, 25, 5576. [Google Scholar] [CrossRef] [PubMed]
- Rezaeisadat, M.; Salehi, N.; Bordbar, A.K. Inclusion of Levodopa into β-Cyclodextrin: A Comprehensive Computational Study. ACS Omega 2021, 6, 23814–23825. [Google Scholar] [CrossRef]
- Ajayi, E.D.; Elazazy, M.; Abouzid, K.; Ali, H.I. Breaking barriers: Medicinal chemistry strategies and advanced in-silico approaches for overcoming the BBB and enhancing CNS penetration. Eur. J. Med. Chem. 2025, 301, 118219. [Google Scholar] [CrossRef]
- Yan, C.; Bai, X.; Wu, C.; Ma, W.; Feng, M. Correlation between MGMT methylation and the efficacy of bevacizumab in high-grade glioma. Front. Oncol. 2025, 15, 1644934. [Google Scholar] [CrossRef]
- Barash, U.; Farhoud, M.; Odeh, M.; Huberman, E.; Wu, L.; Vlodavsky, I. Heparanase-Neutralizing Monoclonal Antibody (mAb A54) Attenuates Tumor Growth and Metastasis. Cells 2025, 14, 1379. [Google Scholar] [CrossRef]
- Ranjan, S.; Leung, D.; Ghiaseddin, A.P.; Taylor, J.W.; Lobbous, M.; Dhawan, A.; Budhu, J.A.; Coffee, E.; Melnick, K.; Chowdhary, S.A.; et al. Practical guidance for direct oral anticoagulant use in the treatment of venous thromboembolism in primary and metastatic brain tumor patients. Cancer 2024, 130, 1577–1589. [Google Scholar] [CrossRef]
- Lopez, V.; Schuh, H.J.M.; Mirza, S.; Vaaßen, V.J.; Schmidt, M.S.; Sylvester, K.; Idris, R.M.; Renn, C.; Schäkel, L.; Pelletier, J.; et al. Heparins are potent inhibitors of ectonucleotide pyrophosphatase/phospho-diesterase-1 (NPP1)–A promising target for the immunotherapy of cancer. Front. Immunol. 2023, 14, 1173634. [Google Scholar] [CrossRef]
- Khan, S.; Haider, M.F.; Rab, S.O. Nanocarrier Strategies in Glioblastoma: Overcoming Barriers to Effective Brain Tumor Therapy. AAPS Pharm. Sci. Tech. 2025, 27, 40. [Google Scholar] [CrossRef]
- Dang, L.; Yen, K.; Attar, E.C. IDH mutations in cancer and progress toward development of targeted therapeutics. Ann. Oncol. 2016, 27, 599–608. [Google Scholar] [CrossRef]
- Mondesir, J.; Willekens, C.; Touat, M.; de Botton, S. IDH1 and IDH2 mutations as novel therapeutic targets: Current perspectives. J. Blood Med. 2016, 7, 171–180. [Google Scholar] [CrossRef]
- Zhu, C.; Chen, X.; Liu, T.Q.; Cheng, L.; Cheng, W.; Cheng, P.; Wu, A.H. Hexosaminidase B-driven cancer cell-macrophage co-dependency promotes glycolysis addiction and tumorigenesis in glioblastoma. Nat. Commun. 2024, 15, 8506. [Google Scholar] [CrossRef] [PubMed]
- Valvi, S.; Fouladi, M.; Fisher, M.J.; Gottardo, N.G. IDH mutant high-grade gliomas. Front. Mol. Neurosci. 2025, 18, 1662414. [Google Scholar] [CrossRef] [PubMed]
- Popovici-Muller, J.; Lemieux, R.M.; Artin, E.; Saunders, J.O.; Salituro, F.G.; Travins, J.; Cianchetta, G.; Cai, Z.; Zhou, D.; Cui, D.; et al. Discovery of AG-120 (Ivosidenib): A First-in-Class Mutant IDH1 Inhibitor for the Treatment of IDH1 Mutant Cancers. ACS Med. Chem. Lett. 2018, 9, 300–305. [Google Scholar] [CrossRef] [PubMed]
- Cadoux-Hudson, T.; Schofield, C.J.; McCullagh, J.S.O. Isocitrate dehydrogenase gene variants in cancer and their clinical significance. Biochem. Soc. Trans. 2021, 49, 2561–2572. [Google Scholar] [CrossRef]
- Zhang, T.; Yuan, L.; Sheng, M.; Chen, Y.; Wang, J.; Lan, Q. Identifying α-KG-dependent prognostic signature for lower-grade glioma based on transcriptome profiles. Front. Oncol. 2022, 12, 840394. [Google Scholar] [CrossRef] [PubMed]
- Zhan, D.; Ma, D.; Wei, S.; Lal, B.; Fu, Y.; Eberhart, C.; Laterra, J.; Ying, M.; Li, Y.; Meeker, A.; et al. Monoallelic IDH1 R132H Mutation Mediates Glioma Cell Response to Anticancer Therapies via Induction of Senescence. Mol. Cancer Res. 2021, 19, 1878–1888. [Google Scholar] [CrossRef] [PubMed]
- Yin, A.; Shang, Z.; Etcheverry, A.; He, Y.; Aubry, M.; Lu, N.; Liu, Y.; Mosser, J.; Lin, W.; Zhang, X.; et al. Integrative analysis identifies an immune-relevant epigenetic signature for prognostication of non-G-CIMP glioblastomas. Oncoimmunology 2021, 10, 1902071. [Google Scholar] [CrossRef] [PubMed]
- Lanman, T.A.; Youssef, G.; Huang, R.; Rahman, R.; DeSalvo, M.; Flood, T.; Hassanzadeh, E.; Lang, M.; Lauer, J.; Potter, C.; et al. Ivosidenib for the treatment of IDH1-mutant glioma, grades 2-4: Tolerability, predictors of response, and outcomes. Neurooncol Adv. 2024, 7, vdae227. [Google Scholar] [CrossRef]
- Mellinghoff, I.K.; Lu, M.; Wen, P.Y.; Taylor, J.W.; Maher, E.A.; Arrillaga-Romany, I. Vorasidenib and ivosidenib in IDH1-mutant low-grade glioma: A randomized, perioperative phase 1 trial. Nat. Med. 2023, 29, 615–622. [Google Scholar] [CrossRef]
- Spitzer, A.; Gritsch, S.; Nomura, M.; Jucht, A.; Fortin, J.; Raviram, R.; Weisman, H.R.; Gonzalez Castro, L.N.; Druck, N.; Chanoch-Myers, R.; et al. Mutant IDH inhibitors induce lineage differentiation in IDH-mutant oligodendroglioma. Cancer Cell 2024, 42, 904–914.e9. [Google Scholar] [CrossRef]
- Dhillon, S. Ivosidenib: First Global Approval. Drugs 2018, 78, 1509–1516. [Google Scholar] [CrossRef]
- Agios Pharmaceuticals. Celgene and Agios Extend CANCER-Metabolism Collaboration. 2011. Available online: http://investor.agios.com/news-releases/news-release-details/celgene-and-agios-extend-cancer-metabolism-collaboration (accessed on 5 October 2011).
- Agios Pharmaceuticals. Agios Advances Cancer Metabolism Collaboration with Celgene. 2013. Available online: http://investor.agios.com/news-releases/news-release-details/agios-advances-cancer-metabolism-collaboration-celgene (accessed on 11 December 2013).
- Agios Pharmaceuticals. Agios Pharmaceuticals Exercises Option to US Development and Commercialization Rights for IDH1 Program UNDER Celgene Collaboration. 2014. Available online: http://investor.agios.com/news-releases/news-release-details/agios-pharmaceuticals-exercises-option-us-development-and (accessed on 3 February 2014).
- DiNardo, C.D.; Stein, A.S.; Stein, E.M.; Fathi, A.T.; Frankfurt, O.; Schuh, A.C.; Döhner, H.; Martinelli, G.; Patel, P.A.; Raffoux, E.; et al. Mutant Isocitrate Dehydrogenase 1 Inhibitor Ivosidenib in Combination With Azacitidine for Newly Diagnosed Acute Myeloid Leukemia. J. Clin. Oncol. 2021, 39, 57–65, Erratum in J. Clin. Oncol. 2021, 39, 341. https://doi.org/10.1200/JCO.20.03658. [Google Scholar] [CrossRef]
- Nicolay, B.; Narayanaswamy, R.; Aguado, E.; Nagaraja, R.; Murtie, J.; Liu, G.; Ishii, Y. EXTH-59. Mutant IDH1 inhibitor AG-120 shows strong inhibition of 2-HG production in an orthotopic mutant IDH1 glioma model in vivo. Neuro-Oncol. 2017, 19, vi86. [Google Scholar] [CrossRef][Green Version]
- DiNardo, C.D.; Stein, E.M.; de Botton, S.; Roboz, G.J.; Altman, J.K.; Mims, A.S.; Swords, R.; Collins, R.H.; Mannis, G.N.; Pollyea, D.A.; et al. Durable Remissions with Ivosidenib in IDH1-Mutated Relapsed or Refractory AML. N. Engl. J. Med. 2018, 378, 2386–2398. [Google Scholar] [CrossRef]
- Dai, D.; DiNardo, C.D.; Stein, E.; de Botton, S.; Attar, E.C.; Liu, H.; Liu, G.; Lemieux, L.; Agresta, S.V.; Yang, H.; et al. Clinical pharmacokinetics/pharmacodynamics (PK/PD) of ivosidenib in patients with advanced IDH1-mutant hematologic malignancies in a phase 1 study (Abstract No. 2581, poster). J. Clin. Oncol. 2018, 36, 2577. [Google Scholar] [CrossRef]
- Fan, B.; Goyal, L.; Lowery, M.A.; Pandya, S.S.; Manyak, E.; Le, K.; Jiang, L.; Auer, J.; Dai, D. Pharmacokinetic/pharmacodynamic (PK/PD) profile of AG-120 in patients with IDH1-mutant cholangiocarcinoma in a phase 1 study of advanced solid tumors (Abstract No. 4082, poster). J. Clin. Oncol. 2017, 35, 4082. [Google Scholar] [CrossRef]
- Mellinghoff, I.K.; Touat, M.; Maher, E.; De La Fuente, M.; Cloughesy, T.F.; Holdhoff, M.; Cote, G.M.; Burris, H.; Janku, F.; Huang, R.; et al. ACTR-46. AG-120, a first-in-class mutant IDH1 inhibitor in patients with recurrent or progressive IDH1-mutant glioma: Updated results from the phase 1 non-enhancing glioma population. Neuro-Oncol. 2017, 19, vi10–vi11. [Google Scholar] [CrossRef]
- Rossi, J.; Picca, A.; Santonocito, O.S.; Schembari, S.; Testaverde, L.; Sanson, M.; Berzero, G.; Di Stefano, A.L. Advances in the management of patients with idh-mutant glioma. Oncologist 2025, 30, oyaf391. [Google Scholar] [CrossRef]
- Miller, J.J. Targeting IDH-Mutant Glioma. Neurotherapeutics 2022, 19, 1724–1732. [Google Scholar] [CrossRef] [PubMed]
- Nguyen, M.K.; Jelinek, M.; Singh, A.; Isett, B.; Myers, E.S.; Mullett, S.J.; Eisele, Y.; Beumer, J.H.; Parise, R.A.; Urban, J.; et al. Clinical and translational study of ivosidenib plus nivolumab in advanced solid tumors harboring IDH1 mutations. Oncologist 2025, 30, oyaf362. [Google Scholar] [CrossRef]
- Karpel-Massler, G.; Nguyen, T.T.T.; Shang, E.; Siegelin, M.D. Novel IDH1-Targeted Glioma Therapies. CNS Drugs 2019, 33, 1155–1166. [Google Scholar] [CrossRef] [PubMed]
- Zeidan, A.M.; Wang, E. Advancing AML Treatment: Evidence-Based Regimens and Guideline Updates for Targeted Treatments in R/R AML [Podcast]. Blood Lymphat. Cancer 2025, 15, 69–75. [Google Scholar] [CrossRef]
- Raby, M.; Servant, E.; Dangouloff-Ros, V.; Lebre, A.S.; Simboli, G.A.; Saffroy, R.; Benichi, S.; Bourgeois, M.; Blauwblomme, T.; Onken, J.; et al. Rare IDH hotspot mutations in dysembryoplastic neuroepithelial tumors expand the spectrum of IDH-altered CNS tumors. Acta Neuropathol. 2025, 150, 53. [Google Scholar] [CrossRef] [PubMed]
- Haydo, A.; Schmidt, J.; Crider, A.; Kögler, T.; Ertl, J.; Hehlgans, S.; Hoffmann, M.E.; Rathore, R.; Güllülü, Ö.; Wang, Y.; et al. BRAT1–a new therapeutic target for glioblastoma. Cell Mol. Life Sci. 2025, 82, 52. [Google Scholar] [CrossRef]
- Rizwani, F.; Patil, P.; Jain, K. Unlocking glioblastoma: Breakthroughs in molecular mechanisms and next-generation therapies. Med. Oncol. 2025, 42, 276. [Google Scholar] [CrossRef]
- Zannikou, M.; Duffy, J.T.; Procissi, D.; Najem, H.; Levine, R.N.; Thakur, A.; Hambardzumyan, D.; Lee-Chang, C.; Leoni, L.; Horbinski, C.M.; et al. Bi-specific T cell-engaging antibody triggers protective immune memory and glioma microenvironment remodeling in immune-competent preclinical models. J. Immunother. Cancer 2025, 13, e011714. [Google Scholar] [CrossRef]
- Kraus, T.F.J.; Alinger-Scharinger, B.; Langwieder, C.K.; Mol, A.; Aleksic, T.; van Merkestijn, B.; Schlicker, H.U.; Spendel, M.; Pöppe, J.; Schwartz, C.; et al. Ultra-Fast Intraoperative IDH-Mutation Analysis Enables Rapid Stratification and Therapy Planning in Diffuse Gliomas. Int. J. Mol. Sci. 2025, 26, 9639. [Google Scholar] [CrossRef] [PubMed]
- Peters, K.B.; Alford, C.; Heltemes, A.; Savelli, A.; Landi, D.B.; Broadwater, G.; Desjardins, A.; Johnson, M.O.; Low, J.T.; Khasraw, M.; et al. Use, access, and initial outcomes of off-label ivosidenib in patients with IDH1 mutant glioma. Neurooncol Pract. 2023, 11, 199–204. [Google Scholar] [CrossRef]
- Chen, Y.; Ma, Z.; Zhao, D.; Mi, L.; Sun, X. The efficacy and clinical significance of microsurgery on cognitive function, activities of daily living, and serum biomarkers in patients with glioma. Pak. J. Med. Sci. 2025, 41, 2721–2725. [Google Scholar] [CrossRef]
- Sule, A.; Van Doorn, J.; Sundaram, R.K.; Ganesa, S.; Vasquez, J.C.; Bindra, R.S. Targeting IDH1/2 mutant cancers with combinations of ATR and PARP inhibitors. NAR Cancer 2021, 3, zcab018. [Google Scholar] [CrossRef]
- Thol, F.; Heuser, M. Treatment for Relapsed/Refractory Acute Myeloid Leukemia. HemaSphere 2021, 5, e572. [Google Scholar] [CrossRef] [PubMed]
- Diekmann, B.; Timmerman, M.; Hempenius, L.; van Roon, E.; Franken, B.; Hoogendoorn, M. New treatment opportunities for older patients with acute myeloid leukemia and the increasing importance of frailty assessment–An oncogeriatric perspective. J. Geriatr. Oncol. 2024, 15, 101631. [Google Scholar] [CrossRef]
- Tiwari, V.; Ganji, S.K.; An, Z.; Pinho, M.C.; Davis, L.T.; McKnight, C.D.; Berry, J.D.; Mobley, B.C.; Luo, L.Y.; Mohler, A.C.; et al. Magnetic Resonance Spectroscopy of 2-Hydroxyglutarate and Glycine in Adult Subjects with Brainstem Gliomas. NMR Biomed. 2025, 38, e70153. [Google Scholar] [CrossRef] [PubMed]
- Beylerli, O.; Gareev, I.; Musaev, E.; Roumiantsev, S.; Chekhonin, V.; Ahmad, A.; Chao, Y.; Yang, G. New approaches to targeted drug therapy of intracranial tumors. Cell Death Discov. 2025, 11, 111. [Google Scholar] [CrossRef] [PubMed]
- Padovan, M.; Maccari, M.; Bosio, A.; De Toni, C.; Vizzaccaro, S.; Cestonaro, I.; Corrà, M.; Caccese, M.; Cerretti, G.; Zagonel, V.; et al. Actionable molecular alterations in newly diagnosed and recurrent IDH1/2 wild-type glioblastoma patients and therapeutic implications: A large mono-institutional experience using extensive next-generation sequencing analysis. Eur. J. Cancer 2023, 191, 112959. [Google Scholar] [CrossRef] [PubMed]





| Geographic Region | Incidence (per 100,000 People/Year) | Mortality Rate (per 100,000 People/Year) | Median Age of Onset (Years) | Clinical Notes |
|---|---|---|---|---|
| North America | 3.2–3.5 | 2.8–3.0 | 63–66 | Highest detection rate; well-developed diagnostics |
| Western Europe | 3.0–4.0 | 2.5–3.0 | 60–65 | High incidence in the elderly population |
| East Asia | 0.8–1.2 | 0.5–0.9 | 58–62 | Lower rates; possible genetic factors |
| South America | 1.2–1.8 | 1.0–1.6 | 59–63 | Limited access to diagnostic imaging |
| Sub-Saharan Africa | 1.0–1.6 | 0.8–1.4 | 55–60 | Likely underestimation of cases |
| Drug | Class | Mechanism of Action | Clinical Application | Clinical Outcome | Common Side Effects |
|---|---|---|---|---|---|
| Temozolomide | Chemotherapeutic agent | DNA alkylation and induction of apoptosis | Standard adjuvant and concomitant therapy | Modest improvement in survival in newly diagnosed glioblastoma | Nausea, thrombocytopenia |
| Dexamethasone | Glucocorticosteroid | Reduction in vascular permeability and inflammation | Management of peritumoral edema | Symptomatic benefit without direct antitumor effect | Muscle weakness, hyperglycemia |
| Levetiracetam | Anticonvulsant | Stabilization of ion channels | Seizure control | Improvement of neurological symptoms and quality of life | Drowsiness, fatigue |
| Bevacizumab | Anti—VEGF antibody | Inhibition of tumor angiogenesis | Recurrent glioblastoma | Improvement in progression-free disease control without consistent survival benefit | Hypertension, bleeding |
Disclaimer/Publisher’s Note: The statements, opinions and data contained in all publications are solely those of the individual author(s) and contributor(s) and not of MDPI and/or the editor(s). MDPI and/or the editor(s) disclaim responsibility for any injury to people or property resulting from any ideas, methods, instructions or products referred to in the content. |
© 2026 by the authors. Licensee MDPI, Basel, Switzerland. This article is an open access article distributed under the terms and conditions of the Creative Commons Attribution (CC BY) license.
Share and Cite
Dynarowicz, K.; Smolak, B.; Bartusik-Aebisher, D.; Guz, W.; Henrykowska, G.; Aebisher, D. Current Pharmacotherapeutic Strategies in Diffuse Gliomas: Focus on Glioblastoma, IDH-Wildtype, and Emerging Targeted Therapies for IDH-Mutant Tumors. Pharmaceuticals 2026, 19, 148. https://doi.org/10.3390/ph19010148
Dynarowicz K, Smolak B, Bartusik-Aebisher D, Guz W, Henrykowska G, Aebisher D. Current Pharmacotherapeutic Strategies in Diffuse Gliomas: Focus on Glioblastoma, IDH-Wildtype, and Emerging Targeted Therapies for IDH-Mutant Tumors. Pharmaceuticals. 2026; 19(1):148. https://doi.org/10.3390/ph19010148
Chicago/Turabian StyleDynarowicz, Klaudia, Barbara Smolak, Dorota Bartusik-Aebisher, Wiesław Guz, Gabriela Henrykowska, and David Aebisher. 2026. "Current Pharmacotherapeutic Strategies in Diffuse Gliomas: Focus on Glioblastoma, IDH-Wildtype, and Emerging Targeted Therapies for IDH-Mutant Tumors" Pharmaceuticals 19, no. 1: 148. https://doi.org/10.3390/ph19010148
APA StyleDynarowicz, K., Smolak, B., Bartusik-Aebisher, D., Guz, W., Henrykowska, G., & Aebisher, D. (2026). Current Pharmacotherapeutic Strategies in Diffuse Gliomas: Focus on Glioblastoma, IDH-Wildtype, and Emerging Targeted Therapies for IDH-Mutant Tumors. Pharmaceuticals, 19(1), 148. https://doi.org/10.3390/ph19010148

