Terpenoids: Emerging Natural Modulators for Reversing ABC Transporter-Mediated Multidrug Resistance in Cancer Chemotherapy
Abstract
1. Introduction
2. Mechanisms of MDR
2.1. Increased Drug Efflux
2.2. Changing Drug Targets
2.3. Increased DNA Damage Repair
2.4. Tumor Microenvironment (TME)
2.5. MDR-Related Factors or Signaling Pathways
2.6. Cell Death and Regulatory Mechanisms
3. Tumor MDR Reversal Agents
4. Progress of Terpenoids in the Study of Tumor MDR
4.1. Terpenoids: Chemical and Biosynthetic Overview
4.1.1. Classification of Terpenes
Classification by Structural Framework Complexity
Classification by Functional Group Modification Type
4.2. Monoterpene
4.2.1. Monoterpenes Directly Inhibits Drug Efflux Mediated by ABC Transporters
4.2.2. Modulation of Drug-Metabolizing Enzymes and Nuclear Receptor Signaling Pathways
4.2.3. Enhancing Drug Delivery Efficiency and Tissue Barrier Penetration
4.3. Sesquiterpenes
4.3.1. Competitive Inhibition of ABCB1 (P-gp) Transport Function
4.3.2. Subtype-Selective Targeting of ABC Transporters
4.4. Diterpenoids
4.4.1. Diterpenoid Compounds Directly Inhibit P-gp Function
4.4.2. Dual-Target/Multi-Target Inhibition
4.4.3. Other Relevant Mechanisms
4.5. Triterpenes
4.5.1. The Direct Inhibition of ABC Transporter Function by Triterpenes and Its Structure–Activity Relationship
4.5.2. Other Mechanisms by Which Triterpenes Reverse Tumor Multidrug Resistance
5. Conclusions
5.1. Comparative Analysis of Terpenoid Subtypes and Lead Compound Screening
5.1.1. The Precise Structure-Mechanism-Activity Relationship Is the Core Principle Underlying Terpenoids-Mediated MDR Reversal
5.1.2. Terpenoids Possess Irreplaceable Advantages over Traditional MDR Reversers
5.1.3. Multiple Classes of Terpenoids Exhibit Distinct Clinical Translation Potential
5.1.4. Structural Modification and Precise Targeting Are Key Strategies to Improve Draggability
5.2. Clinical Translation Potential and Practical Challenges of Terpenoid Multidrug Resistance Reversal Agents
5.3. Future Development Prospects
Author Contributions
Funding
Institutional Review Board Statement
Informed Consent Statement
Data Availability Statement
Acknowledgments
Conflicts of Interest
References
- Chen, W.; Zheng, R.; Baade, P.D.; Zhang, S.; Zeng, H.; Bray, F.; Jemal, A.; Yu, X.Q.; He, J. Cancer statistics in China, 2015. CA Cancer J. Clin. 2016, 66, 115–132. [Google Scholar] [CrossRef]
- Bizuayehu, H.M.; Ahmed, K.Y.; Kibret, G.D.; Dadi, A.F.; Belachew, S.A.; Bagade, T.; Tegegne, T.K.; Venchiarutti, R.L.; Kibret, K.T.; Hailegebireal, A.H.; et al. Global Disparities of Cancer and Its Projected Burden in 2050. JAMA Netw. Open 2024, 7, e2443198. [Google Scholar] [CrossRef] [PubMed]
- Li, Y.; Huang, Y.; Huang, H.; Wei, T.; Zhang, A.; Xing, L.; Yin, X.; Li, H.; Ren, G.; Li, F. Global, regional, and national burden of male breast cancer in 204 countries and territories: A systematic analysis from the global burden of disease study, 1990–2021. eClinicalMedicine 2025, 80, 103027. [Google Scholar] [CrossRef]
- Chen, Y.; Chen, Z.; Chen, R.; Fang, C.; Zhang, C.; Ji, M.; Yang, X. Immunotherapy-based combination strategies for treatment of EGFR-TKI-resistant non-small-cell lung cancer. Future Oncol. 2022, 18, 1757–1775. [Google Scholar] [CrossRef]
- Zhang, L.; Song, J.; Kong, L.; Yuan, T.; Li, W.; Zhang, W.; Hou, B.; Lu, Y.; Du, G. The strategies and techniques of drug discovery from natural products. Pharmacol. Ther. 2020, 216, 107686. [Google Scholar] [CrossRef] [PubMed]
- Zhang, L.; Ye, B.; Chen, Z.; Chen, Z.-S. Progress in the studies on the molecular mechanisms associated with multidrug resistance in cancers. Acta Pharm. Sin. B 2022, 13, 982–997. [Google Scholar] [CrossRef]
- Kawase, M.; Motohashi, N. New multidrug resistance reversal agents. Curr. Drug Targets 2003, 4, 31–43. [Google Scholar] [CrossRef]
- Guo, B.-J.; Bian, Z.-X.; Qiu, H.-C.; Wang, Y.-T.; Wang, Y. Biological and clinical implications of herbal medicine and natural products for the treatment of inflammatory bowel disease. Ann. N. Y. Acad. Sci. 2017, 1401, 37–48. [Google Scholar] [CrossRef] [PubMed]
- Giddings, E.L.; Champagne, D.P.; Wu, M.-H.; Laffin, J.M.; Thornton, T.M.; Valenca-Pereira, F.; Culp-Hill, R.; Fortner, K.A.; Romero, N.; East, J.; et al. Mitochondrial ATP fuels ABC transporter-mediated drug efflux in cancer chemoresistance. Nat. Commun. 2021, 12, 2804. [Google Scholar] [CrossRef]
- Ibrahim, M.A.A.; Abdeljawaad, K.A.A.; Jaragh-Alhadad, L.A.; Oraby, H.F.; Atia, M.A.M.; Alzahrani, O.R.; Mekhemer, G.A.H.; Moustafa, M.F.; Shawky, A.M.; Sidhom, P.A.; et al. Potential drug candidates as P-glycoprotein inhibitors to reverse multidrug resistance in cancer: An in silico drug discovery study. J. Biomol. Struct. Dyn. 2023, 41, 13977–13992. [Google Scholar] [CrossRef]
- Chang, Y.-T.; Lin, Y.-C.; Sun, L.; Liao, W.-C.; Wang, C.C.N.; Chou, C.-Y.; Morris-Natschke, S.L.; Lee, K.-H.; Hung, C.-C. Wilforine resensitizes multidrug resistant cancer cells via competitive inhibition of P-glycoprotein. Phytomedicine 2020, 71, 153239. [Google Scholar] [CrossRef]
- Liu, M.; Xu, C.; Qin, X.; Liu, W.; Li, D.; Jia, H.; Gao, X.; Wu, Y.; Wu, Q.; Xu, X.; et al. DHW-221, a Dual PI3K/mTOR Inhibitor, Overcomes Multidrug Resistance by Targeting P-Glycoprotein (P-gp/ABCB1) and Akt-Mediated FOXO3a Nuclear Translocation in Non-small Cell Lung Cancer. Front. Oncol. 2022, 12, 873649. [Google Scholar] [CrossRef]
- Mohammad, I.S.; He, W.; Yin, L. Understanding of human ATP binding cassette superfamily and novel multidrug resistance modulators to overcome MDR. Biomed. Pharmacother. 2018, 100, 335–348. [Google Scholar] [CrossRef]
- Kolata, G. Why do cancer cells resist drugs? Science 1986, 231, 220–221. [Google Scholar] [CrossRef]
- Mehla, J.; Ernst, R.; Moore, R.; Wakschlag, A.; Marquis, M.K.; Ambudkar, S.V.; Golin, J. Evidence for a molecular diode-based mechanism in a multispecific ATP-binding cassette (ABC) exporter: SER-1368 as a gatekeeping residue in the yeast multidrug transporter Pdr5. J. Biol. Chem. 2014, 289, 26597–26606. [Google Scholar] [CrossRef] [PubMed]
- Pote, M.S.; Gacche, R.N. ATP-binding cassette efflux transporters and MDR in cancer. Drug Discov. Today 2023, 28, 103537. [Google Scholar] [CrossRef]
- Gottesman, M.M.; Fojo, T.; Bates, S.E. Multidrug resistance in cancer: Role of ATP-dependent transporters. Nat. Rev. Cancer 2002, 2, 48–58. [Google Scholar] [CrossRef]
- Leslie, E.M.; Deeley, R.G.; Cole, S.P. Multidrug resistance proteins: Role of P-glycoprotein, MRP1, MRP2, and BCRP (ABCG2) in tissue defense. Toxicol. Appl. Pharmacol. 2005, 204, 216–237. [Google Scholar] [CrossRef] [PubMed]
- Longley, D.B.; Johnston, P.G. Molecular mechanisms of drug resistance. J. Pathol. 2005, 205, 275–292. [Google Scholar] [CrossRef] [PubMed]
- Liu, C.; Zhang, T.; Chen, L.; Chen, Y. The choice of anti-tumor strategies based on micromolecules or drug loading function of biomaterials. Cancer Lett. 2020, 487, 45–52. [Google Scholar] [CrossRef]
- Ramirez, M.; Rajaram, S.; Steininger, R.J.; Osipchuk, D.; Roth, M.A.; Morinishi, L.S.; Evans, L.; Ji, W.; Hsu, C.H.; Thurley, K.; et al. Altschuler, Diverse drug-resistance mechanisms can emerge from drug-tolerant cancer persister cells. Nat. Commun. 2016, 7, 10690. [Google Scholar] [CrossRef]
- Awad, M.M.; Katayama, R.; McTigue, M.; Liu, W.; Deng, Y.-L.; Brooun, A.; Friboulet, L.; Huang, D.; Falk, M.D.; Timofeevski, S.; et al. Acquired resistance to crizotinib from a mutation in CD74-ROS1. N. Engl. J. Med. 2013, 368, 2395–2401. [Google Scholar] [CrossRef]
- Montagut, C.; Dalmases, A.; Bellosillo, B.; Crespo, M.; Pairet, S.; Iglesias, M.; Salido, M.; Gallen, M.; Marsters, S.; Tsai, S.P.; et al. Albanell, Identification of a mutation in the extracellular domain of the Epidermal Growth Factor Receptor conferring cetuximab resistance in colorectal cancer. Nat. Med. 2012, 18, 221–223. [Google Scholar] [CrossRef]
- Johnston, P.G.; Lenz, H.J.; Leichman, C.G.; Danenberg, K.D.; Allegra, C.J.; Danenberg, P.V.; Leichman, L. Thymidylate synthase gene and protein expression correlate and are associated with response to 5-fluorouracil in human colorectal and gastric tumors. Cancer Res. 1995, 55, 1407–1412. [Google Scholar] [PubMed]
- Longley, D.B.; Ferguson, P.R.; Boyer, J.; Latif, T.; Lynch, M.; Maxwell, P.; Harkin, D.P.; Johnston, P.G. Characterization of a thymidylate synthase (TS)-inducible cell line: A model system for studying sensitivity to TS- and non-TS-targeted chemotherapies. Clin. Cancer Res. 2001, 7, 3533–3539. [Google Scholar] [PubMed]
- Chu, E.; Allegra, C.J. The role of thymidylate synthase in cellular regulation. Adv. Enzym. Regul. 1996, 36, 143–163. [Google Scholar] [CrossRef] [PubMed]
- Li, L.-Y.; Guan, Y.-D.; Chen, X.-S.; Yang, J.-M.; Cheng, Y. DNA Repair Pathways in Cancer Therapy and Resistance. Front. Pharmacol. 2020, 11, 629266. [Google Scholar] [CrossRef]
- Huang, R.; Zhou, P.-K. DNA damage repair: Historical perspectives, mechanistic pathways and clinical translation for targeted cancer therapy. Signal Transduct. Target. Ther. 2021, 6, 254. [Google Scholar] [CrossRef] [PubMed]
- Mori, R.; Yoshida, K.; Futamura, M.; Suetsugu, T.; Shizu, K.; Tanahashi, T.; Tanaka, Y.; Matsuhashi, N.; Yamaguchi, K. The inhibition of thymidine phosphorylase can reverse acquired 5FU-resistance in gastric cancer cells. Gastric Cancer 2019, 22, 497–505. [Google Scholar] [CrossRef]
- Ahmed, S.; Alam, W.; Aschner, M.; Alsharif, K.F.; Albrakati, A.; Saso, L.; Khan, H. Natural products targeting the ATR-CHK1 signaling pathway in cancer therapy. Biomed. Pharmacother. 2022, 155, 113797. [Google Scholar] [CrossRef]
- Rundle, S.; Bradbury, A.; Drew, Y.; Curtin, N.J. Targeting the ATR-CHK1 Axis in Cancer Therapy. Cancers 2017, 9, 41. [Google Scholar] [CrossRef] [PubMed]
- Hegazy, M.-E.F.; Dawood, M.; Mahmoud, N.; Elbadawi, M.; Sugimoto, Y.; Klauck, S.M.; Mohamed, N.; Efferth, T. 2α-Hydroxyalantolactone from Pulicaria undulata: Activity against multidrug-resistant tumor cells and modes of action. Phytomedicine 2020, 81, 153409. [Google Scholar] [CrossRef] [PubMed]
- Zhang, C.; Guo, Q.; Chen, L.; Wu, Z.; Yan, X.J.; Zou, C.; Zhang, Q.; Tan, J.; Fang, T.; Rao, Q.; et al. A ribosomal gene panel predicting a novel synthetic lethality in non-BRCAness tumors. Signal Transduct. Target. Ther. 2023, 8, 183. [Google Scholar] [CrossRef]
- Li, X.Y.; Cui, X.; Xie, C.Q.; Wu, Y.; Song, T.; He, J.D.; Feng, J.; Cui, Q.R.; Bin, J.L.; Li, Q.Y.; et al. Andrographolide causes p53-independent HCC cell death through p62 accumulation and impaired DNA damage repair. Phytomedicine 2023, 121, 155089. [Google Scholar] [CrossRef]
- Elayapillai, S.P.; Dogra, S.; Lausen, J.; Parker, M.; Kennedy, A.; Benbrook, D.M.; Moxley, K.M.; Hannafon, B.N. ATR inhibition increases reliance on PARP-mediated DNA repair revealing an improved therapeutic strategy for cervical cancer. Gynecol. Oncol. 2024, 191, 182–193. [Google Scholar] [CrossRef]
- Han, F.; Qi, G.; Li, R.; Peng, J.; Yan, S.; Yuan, C.; Kong, B.; Ma, H. USP28 promotes PARP inhibitor resistance by enhancing SOX9-mediated DNA damage repair in ovarian cancer. Cell Death Dis. 2025, 16, 305. [Google Scholar] [CrossRef]
- Zhou, D.; Zhang, F.; Kikuchi, T.; Yao, M.; Otsuki, K.; Chen, G.; Li, W.; Li, N. Lathyrane and Jatrophane Diterpenoids from Euphorbia helioscopia Evaluated for Cytotoxicity against a Paclitaxel-Resistant A549 Human Lung Cancer Cell Line. J. Nat. Prod. 2022, 85, 1174–1179. [Google Scholar] [CrossRef]
- Guan, J.; Chen, J. Mesenchymal stem cells in the tumor microenvironment. Biomed. Rep. 2013, 1, 517–521. [Google Scholar] [CrossRef]
- Jena, B.C.; Mandal, M. The emerging roles of exosomes in anti-cancer drug resistance and tumor progression: An insight towards tumor-microenvironment interaction. Biochim. Biophys. Acta Rev. Cancer 2021, 1875, 188488. [Google Scholar] [CrossRef] [PubMed]
- Nishimura, K.; Semba, S.; Aoyagi, K.; Sasaki, H.; Yokozaki, H. Mesenchymal stem cells provide an advantageous tumor microenvironment for the restoration of cancer stem cells. Pathobiology 2012, 79, 290–306. [Google Scholar] [CrossRef]
- Bai, R.; Cui, J. Development of Immunotherapy Strategies Targeting Tumor Microenvironment Is Fiercely Ongoing. Front. Immunol. 2022, 13, 890166. [Google Scholar] [CrossRef]
- Tufail, M.; Wan, W.-D.; Jiang, C.; Li, N. Targeting PI3K/AKT/mTOR signaling to overcome drug resistance in cancer. Chem.-Biol. Interact. 2024, 396, 111055. [Google Scholar] [CrossRef]
- Wang, J.; Hu, K.; Cai, X.; Yang, B.; He, Q.; Wang, J.; Weng, Q. Targeting PI3K/AKT signaling for treatment of idiopathic pulmonary fibrosis. Acta Pharm. Sin. B 2022, 12, 18–32. [Google Scholar] [CrossRef]
- Zhang, W.; Li, S.; Li, C.; Li, T.; Huang, Y. Remodeling tumor microenvironment with natural products to overcome drug resistance. Front. Immunol. 2022, 13, 1051998. [Google Scholar] [CrossRef]
- Emran, T.B.; Shahriar, A.; Mahmud, A.R.; Rahman, T.; Abir, M.H.; Siddiquee, M.F.; Ahmed, H.; Rahman, N.; Nainu, F.; Wahyudin, E.; et al. Multidrug Resistance in Cancer: Understanding Molecular Mechanisms, Immunoprevention and Therapeutic Approaches. Front. Oncol. 2022, 12, 891652. [Google Scholar] [CrossRef] [PubMed]
- Zeng, A.-Q.; Chen, X.; Dai, Y.; Zhao, J.-N. Betulinic acid inhibits non-small cell lung cancer by repolarizing tumor-associated macrophages via mTOR signaling pathway. China J. Chin. Mater. Medica 2024, 49, 2376–2384. [Google Scholar]
- Evans, L.; Milward, K.; Attanoos, R.; Clayton, A.; Errington, R.; Tabi, Z. Macrophage Plasticity and Function in the Lung Tumour Microenvironment Revealed in 3D Heterotypic Spheroid and Explant Models. Biomedicines 2021, 9, 302. [Google Scholar] [CrossRef] [PubMed]
- Chen, B.; Qiu, X.; Li, Y. Exosomes in ovarian cancer: Impact on drug resistance and advances in SERS detection techniques. J. Pharm. Anal. 2025, 15, 101170. [Google Scholar] [CrossRef] [PubMed]
- Cheng, H.Y.; Su, G.L.; Wu, Y.X.; Chen, G.; Yu, Z.L. Extracellular vesicles in anti-tumor drug resistance: Mechanisms and therapeutic prospects. J. Pharm. Anal. 2024, 14, 100920. [Google Scholar] [CrossRef]
- Lim, S.M.; Syn, N.L.; Cho, B.C.; Soo, R.A. Acquired resistance to EGFR targeted therapy in non-small cell lung cancer: Mechanisms and therapeutic strategies. Cancer Treat. Rev. 2018, 65, 1–10. [Google Scholar] [CrossRef]
- Li, Y.; Zhao, B.; Peng, J.; Tang, H.; Wang, S.; Peng, S.; Ye, F.; Wang, J.; Ouyang, K.; Li, J.; et al. Inhibition of NF-κB signaling unveils novel strategies to overcome drug resistance in cancers. Drug Resist. Updat. 2024, 73, 101042. [Google Scholar] [CrossRef] [PubMed]
- Zhu, K.; Wu, Y.; He, P.; Fan, Y.; Zhong, X.; Zheng, H.; Luo, T. PI3K/AKT/mTOR-Targeted Therapy for Breast Cancer. Cells 2022, 11, 2508. [Google Scholar] [CrossRef] [PubMed]
- Wu, S.; Liao, X.; Zhu, Z.; Huang, R.; Chen, M.; Huang, A.; Zhang, J.; Wu, Q.; Wang, J.; Ding, Y. Antioxidant and anti-inflammation effects of dietary phytochemicals: The Nrf2/NF-κB signalling pathway and upstream factors of Nrf2. Phytochemistry 2022, 204, 113429. [Google Scholar] [CrossRef] [PubMed]
- Cao, Y.; Yi, Y.; Han, C.; Shi, B. NF-κB signaling pathway in tumor microenvironment. Front. Immunol. 2024, 15, 1476030. [Google Scholar] [CrossRef]
- Su, H.; Peng, C.; Liu, Y. Regulation of ferroptosis by PI3K/Akt signaling pathway: A promising therapeutic axis in cancer. Front. Cell Dev. Biol. 2024, 12, 1372330. [Google Scholar] [CrossRef]
- Xiong, Y.; Wen, S.; Li, Y.; Wei, Y.; Fang, B.; Li, C.; Huang, Q.; Lin, X. Comprehensive analysis of transcriptomics and metabolomics to illustrate the underlying mechanism of helenalin against hepatic fibrosis. Eur. J. Pharmacol. 2022, 919, 174770. [Google Scholar] [CrossRef]
- Yang, L.; Yang, M.; Zhang, H.; Wang, Z.; Yu, Y.; Xie, M.; Zhao, M.; Liu, L.; Cao, L. S100A8-targeting siRNA enhances arsenic trioxide-induced myeloid leukemia cell death by down-regulating autophagy. Int. J. Mol. Med. 2012, 29, 65–72. [Google Scholar] [CrossRef]
- Pan, B.; Chen, D.; Huang, J.; Wang, R.; Feng, B.; Song, H.; Chen, L. HMGB1-mediated autophagy promotes docetaxel resistance in human lung adenocarcinoma. Mol. Cancer 2014, 13, 165. [Google Scholar] [CrossRef]
- Fan, T.; Zhang, C.; Zong, M.; Zhao, Q.; Yang, X.; Hao, C.; Zhang, H.; Yu, S.; Guo, J.; Gong, R.; et al. Peptidylarginine deiminase IV promotes the development of chemoresistance through inducing autophagy in hepatocellular carcinoma. Cell Biosci. 2014, 4, 49. [Google Scholar] [CrossRef]
- Sun, W.L.; Chen, J.; Wang, Y.P.; Zheng, H. Autophagy protects breast cancer cells from epirubicin-induced apoptosis and facilitates epirubicin-resistance development. Autophagy 2011, 7, 1035–1044. [Google Scholar] [CrossRef]
- Sun, W.L.; Lan, D.; Gan, T.Q.; Cai, Z.W. Autophagy facilitates multidrug resistance development through inhibition of apoptosis in breast cancer cells. Neoplasma 2015, 62, 199–208. [Google Scholar] [CrossRef] [PubMed]
- Yang, Y.; Liu, L.; Tian, Y.; Gu, M.; Wang, Y.; Ashrafizadeh, M.; Reza Aref, A.; Cañadas, I.; Klionsky, D.J.; Goel, A.; et al. Autophagy-driven regulation of cisplatin response in human cancers: Exploring molecular and cell death dynamics. Cancer Lett. 2024, 587, 216659. [Google Scholar] [CrossRef]
- Fourrier, C.; Bryksin, V.; Hattersley, K.; Hein, L.K.; Bensalem, J.; Sargeant, T.J. Comparison of chloroquine-like molecules for lysosomal inhibition and measurement of autophagic flux in the brain. Biochem. Biophys. Res. Commun. 2021, 534, 107–113. [Google Scholar] [CrossRef]
- Nobili, S.; Landini, I.; Mazzei, T.; Mini, E. Overcoming tumor multidrug resistance using drugs able to evade P-glycoprotein or to exploit its expression. Med. Res. Rev. 2012, 32, 1220–1262. [Google Scholar] [CrossRef]
- Ozols, R.F.; Cunnion, R.E.; Klecker, R.W.; Hamilton, T.C.; Ostchega, Y.; Parrillo, J.E.; Young, R.C. Verapamil and adriamycin in the treatment of drug-resistant ovarian cancer patients. J. Clin. Oncol. 1987, 5, 641–647. [Google Scholar] [CrossRef] [PubMed]
- Duran, G.E.; Derdau, V.; Weitz, D.; Philippe, N.; Blankenstein, J.; Atzrodt, J.; Sémiond, D.; Gianolio, D.A.; Macé, S.; Sikic, B.I. Cabazitaxel is more active than first-generation taxanes in ABCB1(+) cell lines due to its reduced affinity for P-glycoprotein. Cancer Chemother. Pharmacol. 2018, 81, 1095–1103. [Google Scholar] [CrossRef] [PubMed]
- Lhommé, C.; Joly, F.; Walker, J.L.; Lissoni, A.A.; Nicoletto, M.O.; Manikhas, G.M.; Baekelandt, M.M.; Gordon, A.N.; Fracasso, P.M.; Mietlowski, W.L.; et al. Phase III study of valspodar (PSC 833) combined with paclitaxel and carboplatin compared with paclitaxel and carboplatin alone in patients with stage IV or suboptimally debulked stage III epithelial ovarian cancer or primary peritoneal cancer. J. Clin. Oncol. 2008, 26, 2674–2682. [Google Scholar] [CrossRef]
- Baer, M.R.; George, S.L.; Dodge, R.K.; O’Loughlin, K.L.; Minderman, H.; Caligiuri, M.A.; Anastasi, J.; Powell, B.L.; Kolitz, J.E.; Schiffer, C.A.; et al. Phase 3 study of the multidrug resistance modulator PSC-833 in previously untreated patients 60 years of age and older with acute myeloid leukemia: Cancer and Leukemia Group B Study 9720. Blood 2002, 100, 1224–1232. [Google Scholar] [CrossRef]
- Boote, D.J.; Dennis, I.F.; Twentyman, P.R.; Osborne, R.J.; Laburte, C.; Hensel, S.; Smyth, J.F.; Brampton, M.H.; Bleehen, N.M. Phase I study of etoposide with SDZ PSC 833 as a modulator of multidrug resistance in patients with cancer. J. Clin. Oncol. 1996, 14, 610–618. [Google Scholar] [CrossRef]
- Karbanova, S.; Cerveny, L.; Jiraskova, L.; Karahoda, R.; Ceckova, M.; Ptackova, Z.; Staud, F. Transport of ribavirin across the rat and human placental barrier: Roles of nucleoside and ATP-binding cassette drug efflux transporters. Biochem. Pharmacol. 2019, 163, 60–70. [Google Scholar] [CrossRef]
- Cui, Q.; Wang, J.Q.; Assaraf, Y.G.; Ren, L.; Gupta, P.; Wei, L.; Ashby, C.R., Jr.; Yang, D.H.; Chen, Z.S. Modulating ROS to overcome multidrug resistance in cancer. Drug Resist. Updat. 2018, 41, 1–25. [Google Scholar] [CrossRef] [PubMed]
- Fox, E.; Bates, S.E. Tariquidar (XR9576): A P-glycoprotein drug efflux pump inhibitor. Expert Rev. Anticancer. Ther. 2007, 7, 447–459. [Google Scholar] [CrossRef] [PubMed]
- Fan, J.; To, K.K.W.; Chen, Z.-S.; Fu, L. ABC transporters affects tumor immune microenvironment to regulate cancer immunotherapy and multidrug resistance. Drug Resist. Updates 2022, 66, 100905. [Google Scholar] [CrossRef]
- Zhao, X.; Di, J.; Luo, D.; Vaishnav, Y.; Kamal, n.; Nuralieva, N.; Verma, D.; Verma, P.; Verma, S. Recent developments of P-glycoprotein inhibitors and its structure–activity relationship (SAR) studies. Bioorg. Chem. 2023, 143, 106997. [Google Scholar] [CrossRef]
- Mollazadeh, S.; Sahebkar, A.; Hadizadeh, F.; Behravan, J.; Arabzadeh, S. Structural and functional aspects of P-glycoprotein and its inhibitors. Life Sci. 2018, 214, 118–123. [Google Scholar] [CrossRef]
- Lima, Á.A.N.; Koester, L.S.; Veiga-Junior, V.F. Formulating Bioactive Terpenes. Biomolecules 2021, 11, 1745. [Google Scholar] [CrossRef] [PubMed]
- Wang, J.; VanderWeide, J.; Yan, Y.; Tindjau, R.; Pico, J.; Deluc, L.; Zandberg, W.F.; Castellarin, S.D. Impact of hormone applications on ripening-related metabolites in Gewürztraminer grapes (Vitis vinifera L.): The key role of jasmonates in terpene modulation. Food Chem. 2022, 388, 132948. [Google Scholar] [CrossRef] [PubMed]
- Zongo, A.W.-S.; Jin, C.; Hao, G.; Yu, N.; Zogona, D.; Nie, X.; Lu, Y.; Ye, Q.; Meng, X. Functional compounds of Torreya grandis nuts and their processing byproducts: Extraction process, health benefits, and food applications—A comprehensive review. Food Res. Int. 2024, 197, 115232. [Google Scholar] [CrossRef]
- Kim, Y.-J.; Choi, H.-J.; Chung, M.-S.; Ko, M.-J. Selective extraction of oxygenated terpene in caraway (Carum carvi L.) using subcritical water extraction (SWE) technique. Food Chem. 2022, 381, 132192. [Google Scholar] [CrossRef]
- Mironeasa, S.; Coţovanu, I.; Mironeasa, C.; Ungureanu-Iuga, M. A Review of the Changes Produced by Extrusion Cooking on the Bioactive Compounds from Vegetal Sources. Antioxidants 2023, 12, 1453. [Google Scholar] [CrossRef]
- Yan, H.; Li, W.-X.; Zhu, Y.-L.; Lin, Z.-Y.; Chen, D.; Zhang, Y.; Lv, H.-P.; Dai, W.-D.; Ni, D.-J.; Lin, Z.; et al. Comprehensive comparison of aroma profiles and chiral free and glycosidically bound volatiles in Fujian and Yunnan white teas. Food Chem. 2024, 448, 139067. [Google Scholar] [CrossRef]
- Hanssens, J.; Meneses, D.; Saya, J.M. Terpenes and Terpenoids: How can we use them? Eur. J. Org. Chem. 2025, 28, e202401151. [Google Scholar] [CrossRef]
- Ji, W.; Ji, X. Comparative Analysis of Volatile Terpenes and Terpenoids in the Leaves of Pinus Species—A Potentially Abundant Renewable Resource. Molecules 2021, 26, 5244. [Google Scholar] [CrossRef]
- Reis, M.; Ferreira, R.J.; Santos, M.M.M.; dos Santos, J.; Molnár, D.J.V.A.; Ferreira, M.-J.U. Enhancing Macrocyclic Diterpenes as Multidrug-Resistance Reversers: Structure–Activity Studies on Jolkinol D Derivatives. J. Med. Chem. 2013, 56, 748–760. [Google Scholar] [CrossRef]
- Zheng, Q.; Chen, N.-Y.; Lou, S.-Q.; Liu, Q.-Q.; Luo, Y.-T.; Liang, D.-E.; Zhan, Z.-J.; Ma, L.-F. New Jatrophane-Type Diterpenoids from Euphorbia kansui as Potential MDR Reversal Agents. Chem. Biodivers. 2022, 19, e202200660. [Google Scholar] [CrossRef]
- Gao, J.; Chen, Q.-B.; Liu, Y.-Q.; Xin, X.-L.; Yili, A.; Aisa, H.A. Diterpenoid constituents of Euphorbia macrorrhiza. Phytochemistry 2016, 122, 246–253. [Google Scholar] [CrossRef] [PubMed]
- Yang, H.; Mamatjan, A.; Tang, D.; Aisa, H.A. Jatrophane diterpenoids as multidrug resistance modulators from Euphorbia sororia. Bioorg. Chem. 2021, 112, 104989. [Google Scholar] [CrossRef] [PubMed]
- Liu, Q.; Cai, P.; Guo, S.; Shi, J.; Sun, H. Identification of a lathyrane-type diterpenoid EM-E-11-4 as a novel paclitaxel resistance reversing agent with multiple mechanisms of action. Aging 2020, 12, 3713–3729. [Google Scholar] [CrossRef]
- Bautista, E.; Fragoso-Serrano, M.; Ortiz-Pastrana, N.; Toscano, R.A.; Ortega, A. Structural elucidation and evaluation of multidrug-resistance modulatory capability of amarissinins A-C, diterpenes derived from Salvia amarissima. Fitoterapia 2016, 116, 146. [Google Scholar] [CrossRef]
- Bergman, M.E.; Franks, A.E.; Phillips, M.A. Biosynthesis, natural distribution, and biological activities of acyclic monoterpenes and their derivatives. Phytochem. Rev. 2022, 22, 361–384. [Google Scholar] [CrossRef]
- Ghorbanzadeh, V.; Aljaf, K.A.H.; Wasman, H.M.; Pirzeh, L.; Azimi, S.; Dariushnejad, H. Carvacrol Enhance Apoptotic Effect of 5-FU on MCF-7 Cell Line via inhibiting P-glycoprotein: An In-silco and In-vitro Study. Drug. Res. 2022, 72, 203–208. [Google Scholar] [CrossRef]
- Yoshida, N.; Takagi, A.; Kitazawa, H.; Kawakami, J.; Adachi, I. Inhibition of P-glycoprotein-mediated transport by extracts of and monoterpenoids contained in Zanthoxyli fructus. Toxicol. Appl. Pharmacol. 2005, 209, 167–173. [Google Scholar] [CrossRef]
- Środa-Pomianek, K.; Palko-Łabuz, A.; Poła, A.; Ferens-Sieczkowska, M.; Wesołowska, O.; Kozioł, A. TMPE Derived from Saffron Natural Monoterpene as Cytotoxic and Multidrug Resistance Reversing Agent in Colon Cancer Cells. Int. J. Mol. Sci. 2020, 21, 7529. [Google Scholar] [CrossRef]
- Mukhtar, M.H.; El-Readi, M.Z.; Elzubier, M.E.; Fatani, S.H.; Refaat, B.; Shaheen, U.; Adam Khidir, E.B.; Taha, H.H.; Eid, S.Y. Cymbopogon citratus and Citral Overcome Doxorubicin Resistance in Cancer Cells via Modulating the Drug’s Metabolism, Toxicity, and Multidrug Transporters. Molecules 2023, 28, 3415. [Google Scholar] [CrossRef]
- Liu, Y.; Cai, J.Y.; Liu, Y.; Zhang, L.; Guo, R.B.; Li, X.T.; Ma, L.Y.; Kong, L. Borneol-modified docetaxel plus tetrandrine micelles for treatment of drug-resistant brain glioma. Drug Dev. Ind. Pharm. 2024, 50, 135–149. [Google Scholar] [CrossRef] [PubMed]
- Barthomeuf, C.; Demeule, M.; Grassi, J.; Saidkhodjaev, A.; Beliveau, R. Conferone from Ferula schtschurowskiana enhances vinblastine cytotoxicity in MDCK-MDR1 cells by competitively inhibiting P-glycoprotein transport. Planta Medica 2006, 72, 634–639. [Google Scholar] [CrossRef]
- Min, Y.D.; Kwon, H.C.; Yang, M.C.; Lee, K.H.; Choi, S.U.; Lee, K.R. Isolation of limonoids and alkaloids fromPhellodendron amurense and their multidrug resistance (MDR) reversal activity. Arch. Pharmacal Res. 2007, 30, 58–63. [Google Scholar] [CrossRef] [PubMed]
- Cortés-Selva, F.; Jiménez, I.A.; Munoz-Martínez, F.; Campillo, M.; Bazzocchi, I.L.; Pardo, L.; Ravelo, A.G.; Castanys, S.; Gamarro, F. Dihydro-beta-agarofuran sesquiterpenes: A new class of reversal agents of the multidrug resistance phenotype mediated by P-glycoprotein in the protozoan parasite Leishmania. Curr. Pharm. Des. 2005, 11, 3125–3139. [Google Scholar] [CrossRef] [PubMed]
- Legault, J.; Pichette, A. Potentiating effect of beta-caryophyllene on anticancer activity of alpha-humulene, isocaryophyllene and paclitaxel. J. Pharm. Pharmacol. 2007, 59, 1643–1647. [Google Scholar] [CrossRef]
- Wei, D.-D.; Wang, J.-S.; Kong, L.-Y. Reversal Effects of Components from the Fruits of Illicium simonsii on Human Adriamycin-resistant MCF-7 and 5-Fluorouracil-resistant Bel7402 Cells. Phytother. Res. 2011, 26, 562–567. [Google Scholar] [CrossRef]
- Hasan, A.; Tang, D.; Nijat, D.; Yang, H.Q.; Aisa, H.A. Diterpenoids from Euphorbia glomerulans with potential reversal activities against P-glycoprotein-mediated multidrug resistance. Bioorg. Chem. 2021, 117, 105442. [Google Scholar] [CrossRef] [PubMed]
- Neto, S.; Duarte, N.; Pedro, C.; Spengler, G.; Molnár, J.; Ferreira, M.-J.U. Effective MDR reversers through phytochemical study of Euphorbia boetica. Phytochem. Anal. 2019, 30, 498–511. [Google Scholar] [CrossRef]
- Wang, S.Y.; Li, J.C.; Liu, D.; Yang, T.; Chen, X.Q.; Li, R.T. Ingenane and jatrophane-type diterpenoids from Euphorbia kansui with multidrug resistance reversal activity. Phytochemistry 2021, 188, 112775. [Google Scholar] [CrossRef]
- Ferreira, M.J.; Gyémánt, N.; Madureira, A.M.; Molnár, J. Inhibition of P-glycoprotein transport activity in a resistant mouse lymphoma cell line by diterpenic lactones. Anticancer Res. 2005, 25, 3259–3262. [Google Scholar] [PubMed]
- Corea, G.; Di Pietro, A.; Dumontet, C.; Fattorusso, E.; Lanzotti, V. Jatrophane diterpenes from Euphorbia spp. as modulators of multidrug resistance in cancer therapy. Phytochem. Rev. 2009, 8, 431–447. [Google Scholar] [CrossRef]
- Valente, I.; Reis, M.; Duarte, N.; Serly, J.; Molnár, J.; Ferreira, M.-J.U. Jatrophane Diterpenes from Euphorbia mellifera and Their Activity as P-Glycoprotein Modulators on Multidrug-Resistant Mouse Lymphoma and Human Colon Adenocarcinoma Cells. J. Nat. Prod. 2012, 75, 1915–1921. [Google Scholar] [CrossRef]
- Shaker, S.; Sang, J.; Yan, X.L.; Fan, R.Z.; Tang, G.H.; Xu, Y.K.; Yin, S. Diterpenoids from Euphorbia royleana reverse P-glycoprotein-mediated multidrug resistance in cancer cells. Phytochemistry 2020, 176, 112395. [Google Scholar] [CrossRef]
- Krstić, G.; Jadranin, M.; Todorović, N.M.; Pešić, M.; Stanković, T.; Aljančić, I.S.; Tešević, V.V. Jatrophane diterpenoids with multidrug-resistance modulating activity from the latex of Euphorbia nicaeensis. Phytochemistry 2018, 148, 104–112. [Google Scholar] [CrossRef]
- Corea, G.; Fattorusso, E.; Lanzotti, V.; Taglialatela-Scafati, O.; Appendino, G.; Ballero, M.; Simon, P.-N.; Dumontet, C.; Di Pietro, A. Jatrophane diterpenes as P-glycoprotein inhibitors. First insights of structure-activity relationships and discovery of a new, powerful lead. J. Med. Chem. 2003, 46, 3395–3402. [Google Scholar] [CrossRef]
- Chen, Y.; Luo, D.; Chen, N.Y.; Zhang, Y.; Liang, D.E.; Zhan, Z.J.; Ma, L.F. New ingenane diterpenoids from Euphorbia kansui reverse multi-drug resistance. Phytochem. Lett. 2021, 43, 169–172. [Google Scholar] [CrossRef]
- Zhang, Y.; Fan, R.Z.; Sang, J.; Tian, Y.J.; Chen, J.Q.; Tang, G.H.; Yin, S. Ingol diterpenoids as P-glycoprotein-dependent multidrug resistance (MDR) reversal agents from Euphorbia marginata. Bioorg. Chem. 2020, 95, 103546. [Google Scholar] [CrossRef]
- Rédei, D.; Kúsz, N.; Sátori, G.; Kincses, A.; Spengler, G.; Burián, K.; Barina, Z.; Hohmann, J. Bioactive Segetane, Ingenane, and Jatrophane Diterpenes from Euphorbia taurinensis. Planta Medica 2018, 84, 729–735. [Google Scholar] [CrossRef] [PubMed]
- Wiśniewski, J.; Wesołowska, O.; Środa-Pomianek, K.; Paprocka, M.; Bielawska-Pohl, A.; Krawczenko, A.; Duarte, N.; Ferreira, M.-J.U.; Duś, D.; Michalak, K. Euphorbia Species-derived Diterpenes and Coumarins as Multidrug Resistance Modulators in Human Colon Carcinoma Cells. Anticancer Res. 2016, 36, 2259–2264. [Google Scholar]
- Zhang, J.-Y.; Mi, Y.-J.; Chen, S.-P.; Wang, F.; Liang, Y.-J.; Zheng, L.-S.; Shi, C.-J.; Tao, L.-Y.; Chen, L.-M.; Chen, H.-B.; et al. Euphorbia factor L1 reverses ABCB1-mediated multidrug resistance involving interaction with ABCB1 independent of ABCB1 downregualtion. J. Cell. Biochem. 2011, 112, 1076–1083. [Google Scholar] [CrossRef] [PubMed]
- Li, W.; Tang, Y.-Q.; Sang, J.; Fan, R.-Z.; Tang, G.-H.; Yin, S. Jatrofolianes A and B: Two Highly Modified Lathyrane Diterpenoids from Jatropha gossypiifolia. Org. Lett. 2019, 22, 106–109. [Google Scholar] [CrossRef]
- Madureira, A.M.; Gyémant, N.; Ascenso, J.R.; Abreu, P.M.; Molnar, J.; Ferreira, M.J. Euphoportlandols A and B, tetracylic diterpene polyesters from Euphorbia portlandica and their anti-MDR effects in cancer cells. J. Nat. Prod. 2006, 69, 950–953. [Google Scholar] [CrossRef]
- Xie, X.-L.; Fan, R.-Z.; Hu, R.; Luo, S.-Y.; Tang, G.-H.; Yin, S. Euphoresulanes A-M, structurally diverse jatrophane diterpenoids from Euphorbia esula. Bioorg. Chem. 2020, 98, 103763. [Google Scholar] [CrossRef] [PubMed]
- Yang, T.; Wang, S.; Li, H.; Zhao, Q.; Yan, S.; Dong, M.; Liu, D.; Chen, X.; Li, R. Lathyrane diterpenes from Euphorbia lathyris and the potential mechanism to reverse the multi-drug resistance in HepG2/ADR cells. Biomed. Pharmacother. 2020, 121, 109663. [Google Scholar] [CrossRef]
- Vieira, C.; Duarte, N.; Reis, M.A.; Spengler, G.; Madureira, A.M.; Molnár, J.; Ferreira, M.J. Improving the MDR reversal activity of 6,17-epoxylathyrane diterpenes. Bioorg. Med. Chem. 2014, 22, 6392–6400. [Google Scholar] [CrossRef]
- Ferreira, M.-J.U.; Gyémánt, N.; Madureira, A.M.; Tanaka, M.; Koós, K.; Didziapetris, R.; Molnár, J. The effects of jatrophane derivatives on the reversion of MDR1- and MRP-mediated multidrug resistance in the MDA-MB-231 (HTB-26) cell line. Anticancer Res. 2005, 25, 4173–4178. [Google Scholar] [PubMed]
- Hasan, A.; Liu, G.-Y.; Hu, R.; Aisa, H.A. Jatrophane Diterpenoids from Euphorbia glomerulans. J. Nat. Prod. 2019, 82, 724–734. [Google Scholar] [CrossRef]
- Duarte, N.; Járdánházy, A.; Molnár, J.; Hilgeroth, A.; Ferreira, M.-J.U. Synergistic interaction between p-glycoprotein modulators and epirubicine on resistant cancer cells. Bioorg. Med. Chem. 2008, 16, 9323–9330. [Google Scholar] [CrossRef]
- Gao, J.; Aisa, H.A. Terpenoids from Euphorbia soongarica and Their Multidrug Resistance Reversal Activity. J. Nat. Prod. 2017, 80, 1767–1775. [Google Scholar] [CrossRef] [PubMed]
- Ferreira, R.J.; Kincses, A.; Gajdács, M.; Spengler, G.; dos Santos, D.J.V.A.; Molnár, J.; Ferreira, M.-J.U. Terpenoids from Euphorbia pedroi as Multidrug-Resistance Reversers. J. Nat. Prod. 2018, 81, 2032–2040. [Google Scholar] [CrossRef]
- Wang, C.; Zhang, J.-X.; Shen, X.-L.; Wan, C.-K.; Tse, A.K.-W.; Fong, W.-F. Reversal of P-glycoprotein-mediated multidrug resistance by Alisol B 23-acetate. Biochem. Pharmacol. 2004, 68, 843–855. [Google Scholar] [CrossRef] [PubMed]
- Jain, S.; Laphookhieo, S.; Shi, Z.; Fu, L.-w.; Akiyama, S.-i.; Chen, Z.-S.; Youssef, D.T.A.; van Soest, R.W.M.; El Sayed, K.A. Reversal of P-Glycoprotein-Mediated Multidrug Resistance by Sipholane Triterpenoids. J. Nat. Prod. 2007, 70, 928–931. [Google Scholar] [CrossRef] [PubMed]
- Martins, A.; Vasas, A.; Schelz, Z.; Viveiros, M.; Molnár, J.; Hohmann, J.; Amaral, L. Constituents of Carpobrotus edulis inhibit P-glycoprotein of MDR1-transfected mouse lymphoma cells. Anticancer Res. 2010, 30, 829–835. [Google Scholar]
- Huang, X.; Li, G.; Li, H.; Zhong, W.; Jiang, G.; Cai, J.; Xiong, Q.; Wu, C.; Su, K.; Huang, R.; et al. Glycyrrhetinic Acid as a Hepatocyte Targeting Ligand-Functionalized Platinum(IV) Complexes for Hepatocellular Carcinoma Therapy and Overcoming Multidrug Resistance. J. Med. Chem. 2024, 67, 8020–8042. [Google Scholar] [CrossRef]
- Jain, S.; Abraham, I.; Carvalho, P.; Kuang, Y.-H.; Shaala, L.A.; Youssef, D.T.A.; Avery, M.A.; Chen, Z.-S.; El Sayed, K.A. Sipholane Triterpenoids: Chemistry, Reversal of ABCB1/P-Glycoprotein-Mediated Multidrug Resistance, and Pharmacophore Modeling. J. Nat. Prod. 2009, 72, 1291–1298. [Google Scholar] [CrossRef]
- Zhang, D.-M.; Shu, C.; Chen, J.-J.; Sodani, K.; Wang, J.; Bhatnagar, J.; Lan, P.; Ruan, Z.-X.; Xiao, Z.-J.; Ambudkar, S.V.; et al. BBA, a Derivative of 23-Hydroxybetulinic Acid, Potently Reverses ABCB1-Mediated Drug Resistance In Vitro and In Vivo. Mol. Pharm. 2012, 9, 3147–3159. [Google Scholar] [CrossRef]
- Ramalhete, C.; Mulhovo, S.; Molnar, J.; Ferreira, M.-J.U. Triterpenoids from Momordica balsamina: Reversal of ABCB1-mediated multidrug resistance. Bioorg. Med. Chem. 2016, 24, 5061–5067. [Google Scholar] [CrossRef]
- Silva, C.D.; Ramalhete, C.; Spengler, G.; Mulhovo, S.; Molnar, J.; Ferreira, M.-J.U. Triterpenes from Momordica balsamina (African pumpkin): ABCB1 inhibition and synergistic interaction with doxorubicin in resistant cancer cells. Phytochemistry 2022, 203, 113354. [Google Scholar] [CrossRef]
- Nabekura, T.; Yamaki, T.; Hiroi, T.; Ueno, K.; Kitagawa, S. Inhibition of anticancer drug efflux transporter P-glycoprotein by rosemary phytochemicals. Pharmacol. Res. 2009, 61, 259–263. [Google Scholar] [CrossRef]
- Braga, F.; Ayres-Saraiva, D.; Gattass, C.R.; Capella, M.A.M. Oleanolic acid inhibits the activity of the multidrug resistance protein ABCC1 (MRP1) but not of the ABCB1 (P-glycoprotein): Possible use in cancer chemotherapy. Cancer Lett. 2006, 248, 147–152. [Google Scholar] [CrossRef] [PubMed]
- Yoshida, N.; Takada, T.; Yamamura, Y.; Adachi, I.; Suzuki, H.; Kawakami, J. Inhibitory effects of terpenoids on multidrug resistance-associated protein 2- and breast cancer resistance protein-mediated transport. Drug Metab. Dispos. 2008, 36, 1206–1211. [Google Scholar] [CrossRef]
- Srovnalova, A.; Gurska, S.; Urban, M.; Sarek, J.; Rehulka, J.; Dzubak, P.; Hajduch, M. Abstract 1530: Derivatives of betulinic acid act as modulators of the androgen receptor and report cytotoxicity towards cancer cell lines. Cancer Res. 2022, 82, 1530. [Google Scholar] [CrossRef]
- Hordyjewska, A.; Ostapiuk, A.; Horecka, A.; Kurzepa, J. Betulin and betulinic acid: Triterpenoids derivatives with a powerful biological potential. Phytochem. Rev. 2019, 18, 929–951. [Google Scholar] [CrossRef]
- Benary, G.E.; Frank, K.; Sascha, K.; Jürgen, S. Monophthalates of betulinic acid and related pentacyclic triterpenes inhibit efficiently the SOS-mediated nucleotide exchange and impact PI3K/AKT signaling in oncogenic K-RAS4B proteins. RSC Adv. 2025, 15, 883–895. [Google Scholar] [CrossRef]
- Zhao, M.; Yang, Y.; Nian, Q.; Shen, C.; Xiao, X.; Liao, W.; Zheng, Q.; Zhang, G.; Chen, N.; Gong, D.; et al. Phytochemicals and mitochondria: Therapeutic allies against gastric cancer. Phytomedicine 2023, 110, 154608. [Google Scholar] [CrossRef]
- Zhong, H.; Han, L.; Lu, R.-Y.; Wang, Y. Antifungal and Immunomodulatory Ingredients from Traditional Chinese Medicine. Antibiotics 2022, 12, 48. [Google Scholar] [CrossRef]
- Huang, D.; Zheng, D.; Sun, C.; Fu, M.; Wu, Y.; Wang, H.; Yu, J.; Yang, Y.; Li, Y.; Wan, X.; et al. Combined multi-omics approach to analyze the flavor characteristics and formation mechanism of gabaron green tea. Food Chem. 2024, 445, 138620. [Google Scholar] [CrossRef]
- Dodoš, T.; Novaković, J.; Vujisić, L.; Marin, P.D.; Rajčević, N. Geographic variability of winter savory essential oil. Ind. Crops Prod. 2024, 210, 118167. [Google Scholar] [CrossRef]
- Budiman, A.; Ivana, H.; Huang, K.A.; Huang, S.A.; Nadhira, M.S.; Rusdin, A.; Aulifa, D.L. Biocompatible Natural Polymer-Based Amorphous Solid Dispersion System Improving Drug Physicochemical Properties, Stability, and Efficacy. Polymers 2025, 17, 2059. [Google Scholar] [CrossRef]
- Jin, X.; Qian, H.; Xie, Y.; Liu, C.; Cheng, Y.; Hou, J.; Zheng, J. Biocompatible and Biodegradable Nanocarriers for Targeted Drug Delivery in Precision Medicine. Biomimetics 2025, 10, 430. [Google Scholar] [CrossRef] [PubMed]
- Wargantiwar, S.; Bhattacharya, S. Biocompatible Natural Polymers and Cutting-Edge Fabrication Techniques in the Development of Next-Generation Oral Thin Films for Enhanced Drug Delivery Systems. Curr. Pharm. Des. 2024, 31, 331–343. [Google Scholar] [CrossRef] [PubMed]
- Biris, M.; Gluhovschi, A.; Boruga, M.; Lazureanu, V.; Moza, I.; Boruga, O.; Vlaicu, B.; Poenaru, M. Encapsulation of Three Different Crude Extracts Rich in Triterpenes in a Biocompatible Polymer and their Evaluation in vitro for further Applications as Anti-inflammatory and/or Anti-tumour Alternative Therapeutic Agents. Mater. Plast. 2019, 56, 282–284. [Google Scholar] [CrossRef]
- Malík, M.; Velechovský, J.; Tlustoš, P. Natural pentacyclic triterpenoid acids potentially useful as biocompatible nanocarriers. Fitoterapia 2021, 151, 104845. [Google Scholar] [CrossRef] [PubMed]
- Mostafavi, S.H.; Aghajani, M.; Amani, A.; Darvishi, B.; Noori Koopaei, M.; Pashazadeh, A.M.; Maghazei, M.S.; Alvandifar, F.; Nabipour, I.; Karami, F.; et al. Optimization of paclitaxel-loaded poly (d,l-lactide-co-glycolide-N-p-maleimido benzoic hydrazide) nanoparticles size using artificial neural networks. Pharm. Dev. Technol. 2014, 20, 845–853. [Google Scholar] [CrossRef]
- Maleki, H.; Naghibzadeh, M.; Amani, A.; Adabi, M.; Khosravani, M. Preparation of Paclitaxel and Etoposide Co-loaded mPEG-PLGA Nanoparticles: An Investigation with Artificial Neural Network. J. Pharm. Innov. 2019, 16, 11–25. [Google Scholar] [CrossRef]
- Stasiłowicz-Krzemień, A.; Rosiak, N.; Racaniello, G.F.; Denora, N.; Cielecka-Piontek, J. Effective and Stable Senomorphic Apigenin Delivery System Obtained by Supercritical Carbon Dioxide Processing. Int. J. Mol. Sci. 2025, 26, 8126. [Google Scholar] [CrossRef]









| Classification of Inhibitors | Compounds | Representative Compound Structures | Disadvantages | Clinical Trial Status |
|---|---|---|---|---|
| First generation | Verapamil Cyclosporine A Vincristine Reserpine Tamoxifen | ![]() | High dosage, poor efficacy and susceptibility to toxic side effects [64] | Verapamil-induced cardiotoxicity and cyclosporine A-induced nephrotoxicity Early Phase I/II trials, self-induced toxicity [65] |
| Second generation | (R) Verapamil Dexniguldipine Biricodar Trifluoperazine Valspodar(PSC-833) | ![]() | Poor selectivity, disruption of normal cellular metabolism and toxic side effects [66,67] | Interference with CYP3A4 metabolism induces severe pharmacokinetic interactions, and the superimposed toxicities overshadow the therapeutic efficacy PSC 833 Pharmacokinetic Interactions, Phase III Ineffective [68,69] |
| Third generation | Tariquidar (XR9576) Laniquidar (R101933) Annamycin Zosuquidar (LY335979) | ![]() | Despite improvements, they remain highly toxic to normal cells and have pharmacokinetic abnormalities [70,71] | The single-target mechanism fails to counteract the multifactorial complexity of clinical multidrug resistance (MDR) Phase III efficacy negative [72] |
| Number | Source | Configuration | Cell | Mechanism | Reference |
|---|---|---|---|---|---|
| 1 | Zanthoxyli | Monoterpenes | LLC-PK1, LLC-GA5 COL150 | 1. The ethyl acetate extract of Sichuan peppe exhibited the strongest P-gp inhibitory activity, with an IC50 of 166 μg/mL; 2. Among monoterpenoid constituents, (R)-(+)-citronellaldehyde and (S)-β-citronellol exhibited P-gp IC50 values of 167 μM and 504 μM, respectively, significantly enhancing [3H] digoxin accumulation within LLC-GA5-COL150 cells. | [92] |
| 2 | Thymus vulgaris | MCF-7 | MTT assays confirmed that apigenin combined with 5-FU exhibited a dose-dependent inhibition of MCF-7 cell proliferation, with IC50 values of 135 µM (apigenin) and 102 µM (5-FU), respectively. | [91] | |
| 3 | Saffron | monoterpenoid derivatives | HT-29 HT29/Dx | Combination therapy studies demonstrate that TMPE exhibits synergistic effects with doxorubicin (CI < 1), enhancing LoVo/Dx cell sensitivity to doxorubicin by 40%. | [93] |
| 4 | Cymbopogon citratus | Monoterpenes | MCF-7/ADR HepG-2/ADR SKOV-3/ADR | Drug accumulation experiments demonstrated that LG (20 µg/mL) enhanced the accumulation of doxorubicin within drug-resistant cells by 2.1 to 2.3-fold and citral by 1.9 to 2.0-fold, exhibiting superior efficacy compared to the positive control verapamil. | [94] |
| 5 | Dryobalanops aromatica | B-DTX-TET-M crosses the blood–brain barrier, accumulates at glioma sites, achieves a tumor suppression rate of 78.3%, and significantly reduces P-gp expression in tumor tissue. | [95] |
| Number | Source | Configuration | Cell | Mechanism | Reference |
|---|---|---|---|---|---|
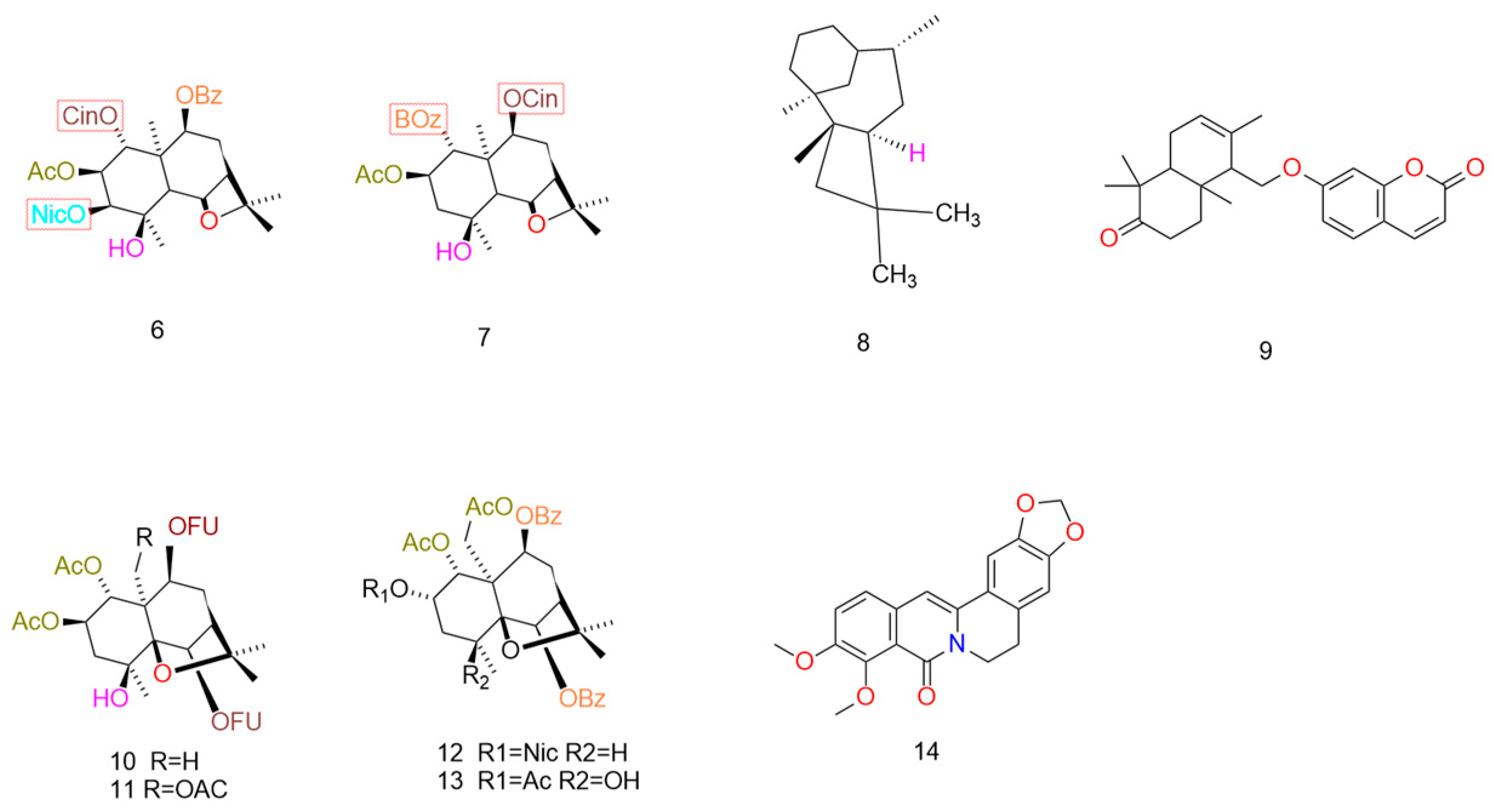
| 6, 7 | Leishmania tropica | Dihydro-β-agarofuran-type sesquiterpenoid | Sf 9 | Inhibiting the drug efflux pump P-glycoprotein (P-gp) | [98] |
| 14 | Curcuma zedoaria Roscoe | Sesquiterpene hydrocarbons | MCF-7 DLD-1 L-929 | Combination of 5 μM β-caryophyllene with paclitaxel reduced the IC50 of MCF-7/ADR cells from 4.7 μM to 0.5 μM. | [96] |
| 13 | Ferulaschtschurow skiana | Sesquiterpene lactones | MDCK-MDR1 | 10 μM Conferone reduced the IC50 of MDCK-MDR1 cells for vincristine from 12.8 μM to 2.3 μM, representing a 5.6-fold reversal. | [99] |
| 8–11 | Illicium simonsii | MCF-7/ADR Bel7402/5-FU | The reversal ratio for MCF-7/ADR cells reached 12.26, comparable to the activity of verapamil. | [100] | |
| 12 | Phellodendron amurense | Limonoid-type sesquiterpenoids | MES-SA/DX5 HCT15 | Obacunone exhibits comparable activity to verapamil in MES-SA/DX5 (ED50 = 0.028 μg/mL) and HCT15 (ED50 = 0.0011 μg/mL) cells. | [97] |
| Number | Source | Configuration | Cell | Mechanism | References |
|---|---|---|---|---|---|
| 15 | Euphorbia glomerulans | Jatrophane Ingenane | MCF-7/ADR | The binding affinity to P-gp (−8.4 kcal/mol) is superior to that of VRP (−7.5 kcal/mol). | [101] |
| 16–19 | Euphorbia kansui | HepG2/ADR | 6β,7β-epoxy-3β,4β,5β-trihydroxy-20-deoxy-gigantol RF = 186.4, 3,5,7,15-tetraacetoxy-9-nicotinoxy-14-oxo-phytol-6 (17),11-diene RF = 143.8, both superior to VRP (RF = 93.7) | [103] | |
| 20 | Euphorbia spp. | Jatrophane Modified jatrophane | MCF-7 | At 60 μM, the compound exhibits a FAR of 82.2, outperforming VRP. | [105] |
| 21–22 | Euphorbia mellifera | Jatrophane | EL4, COLO320 L5178Y/MDR | EpieuphoscopinB IC50 = 1.71 μM, superior to VRP (3.37 μM). | [106] |
| 23 | Euphorbia royleana | HepG2/DOX | Following compound treatment, the nuclear accumulation rate of DOX within MCF-7/ADR cells increased 3.8-fold. RF = 28.7, outperforming VRP (RF = 19.5). | [107] | |
| 24–25 | Euphorbia nicaeensis | NCI-H460/R | Selectivity index (SI) of the compound against P-gp = 28.5. DNA fragmentation rate in drug-resistant cells increased 4.2-fold. | [108] | |
| 26 | Jatropha Euphorbiaceae | K526/R7 | The compound exhibits a binding constant K_d = 0.8 μM with P-gp; C-3-position benzyloxy substitution markedly enhances activity. | [109] | |
| 27–28 | Euphorbia kansui | Ingenane | MCF-7/ADR | At 5 μM, glycerol A exhibited an RF of 21.5, while glycerol B at 5 μM yielded an RF of 18.8, both superior to VRP (RF = 6.7). | [110] |
| 29 | Euphorbia | HepG2/ADR | At 10 μM, the compound exhibits an RF of 35.2, significantly enhancing the toxicity of ADR towards drug-resistant cells. | [111] | |
| 30–31 | Euphorbia taurinensis | L5178 L5178/MDR | Following treatment with the compound, the mitochondrial membrane potential in drug-resistant cells decreased by 45%. RF = 31.6, outperforming VRP (RF = 29.2). | [112] | |
| 32 | Euphorbia | Lathyrane | COLO LoVo/DOX | Latilagascene B at 100 μM exhibits a FIR of 6.51, enhancing the nuclear distribution of DOX. | [113] |
| 33 | Euphorbia | MCF-7/ADR KBv200 | Molecular docking indicates a binding energy of −9.2 kcal/mol with the TMD pocket of ABCB1. | [114] | |
| 34–35 | Euphorbiaceae | HepG2/ADR HCT-15/5-FU | The compounds exhibited RF values of 27.3 and 21.8 for P-gp and BCRP, respectively. | [115] | |
| 36–37 | Euphorbia portlandica | Segetane | L5178Y EL4 | At 40 μg/mL, compound 1 exhibited a fluorescence activity ratio of R = 40.3, while compound at 40 μg/mL yielded R = 30.7, outperforming VRP (R = 9.7). | [116] |
| 38–41 | Euphorbia | Ent-abietane | HepG-2/ADR | Compound (helioscopinolide F) at 40 μg/mL yielded R = 138.56, significantly outperforming VRP (R = 12.23). | [104] |
| 42 | Salvia amarissima Lamiaceae | Triterpenes from Salvia miltiorrhiza (Arabidopsis thaliana AC) | HepG2/ADR | Compound IC50 = 3.1 μM, RF = 25.8; Bcl-2 mRNA levels decreased by 71% | [117] |
| 43–47 | Euphorbia | Taxane diterpenes | MCF-7/ADR KBv200 | Following compound treatment, VCR accumulation within MDR cells increased 4.1-fold; | [118] |
| Number | Source | Configuration | Cell | Mechanism | References |
|---|---|---|---|---|---|
| 48 | Euphorbia lathyris | Lathyrane | HepG2/ADR | The compound significantly reduced the mRNA levels of ABCB1 and ABCC1 in HepG2-ADR cells. | [118] |
| 49–53 | Euphorbia esula | Jatrophane | HepG2/ADR | Significantly reduced mRNA levels of Nrf2, ABCB1, and ABCG2 | [117] |
| 54–58 | Euphorbia jolkinii | L5178Y | Membrane protein extraction confirmed a 53% and 47% reduction in the membrane localisation levels of P-gp and MRP1, respectively. | [84] |
| Number | Source | Configuration | Cell | Experimental Results | References |
|---|---|---|---|---|---|
| 59 | Euphorbia kansui | Jatrophane | MCF-7/ADR | IC50 = 2.3 μM, RF = 32.1 | [85] |
| 60 | Euphorbia macrorrhiza | KB KBv200 | Following treatment with the compound, MDR1 mRNA levels decreased by 62%. | [86] | |
| 61 | Euphorbia sororia | MCF-7/ADR | EC50 = 1.82 μM, RF = 26.90 | [87] |
| Number | Source | Configuration | Cell | Experimental Results | References |
|---|---|---|---|---|---|
| 62–63 | Euphorbia boetica | 6,17-Epoxy-12-triterpenoid | L5178YT | The epoxy-modified compound exhibited an RF of 41.5, representing a 2.3-fold increase compared to the unmodified form. | [119] |
| 64–65 | Euphorbia glomerulans | Jatrophane | MCF-7 MCF-7/ADR | Following treatment with the compound, P-gp ATPase activity decreased by 67%. | [120] |
| 66–70 | Euphorbia | Jatrophane | MDA-MB-231 | At a concentration of 10 μM, the compound exhibited reversal rates of 78% and 65% for MDR1 and MRP, respectively. | [121] |
| 71 | Euphorbia boetica | Jatrophane | L5178Y-MDR Colo320 | RF = 36.4, superior to VRP (RF = 29.3) | [102] |
| 72–78 | Euphorbia | Jatrophane | ML5178 | Synergy Index (CI) = 0.42, indicating a significant synergistic effect | [122] |
| Number | Source | Type | Cell | Experimental Results | Refereence |
|---|---|---|---|---|---|
| 79 | Euphorbia pedroi | spiropedroxodiol | L5178YMDRColo320 | At a concentration of 0.2 μM, spiropedroxodiol exhibited a fluorescence activity ratio (FAR) of 43.75 against L5178Y-MDR cells, significantly promoting Rh123 accumulation. | [124] |
| 80 | Sipholane | KB-C2; KB3-1 | At a concentration of 5 μM, KB-C2 cells exhibited a reduction in colchicine resistance from 578-fold to 35.6-fold. | [126] | |
| 81–82 | Callyspongia | sipholenol | KB-C2 KB-3-1 | The cis-decalin ring system (rings C/D), connected via a methylene bridge, stably embeds within the ABCB1 binding pocket. | [129] |
| 83 | Euphorbia soongarica | sooneuphanone | KB KBv200 | Compound 83 exhibited a FAR of 5.23 at 10 μM, reducing the IC50 of KBv200 cells by over 3200-fold when combined with vinorelbine, demonstrating superior reversal activity compared to verapamil; | [123] |
| 84 | Rhizoma Alismatis | Alisol B 23-acetate | HepG2-DR; K562-DR | 5 μM ABA reduced the IC50 of paclitaxel in HepG2-DR cells from 4.8 M to 0.6 μM, with CI < 0.8 (strong synergy). | [125] |
| 85 | 23-hydroxybetulinic acid | Lupane skeleton | KB-C2 | 5 μM BBA reversed the resistance of HepG2/ADM cells to doxorubicin by 53.6-fold. | [130] |
| 86 | Carpobrotus edulis | L5178Y | Compound 86 increased R123 accumulation in L5178Y-MDR cells by 3- to 8-fold at a concentration of 10 μM, with a FAR value of 2.8–7.5. | [127] | |
| 87–88 | Momordica balsamina | Cucurbitane skeleton | L5178Y-MDRMDR1 L5178Y-PAR | At 20 μM, the fold reversal (FAR) value was 198.9, and its combination with doxorubicin resulted in a combination index (CI) of 0.268, indicating strong synergy. | [131] |
| 89 | Momordica L. Cucurbitaceae | COLO 205 COLO 320 | When combined with doxorubicin, the survival rate of KB-C2 cells was reduced from 62% to 18%, with a combination index (CI) ranging from 0.32 to 0.67, indicating synergistic effects. Molecular docking analysis revealed that key hydrogen bonds were formed with Tyr310 and Phe728 residues of ABCB1. | [132] | |
| 90–91 | Salvia Lamiaceae | Oleanane skeleton | KB-C2 KB/MRP MRP1 | At 20 μM, ursolic acid reduced the IC50 of doxorubicin in KBv200 cells from 46 μM to 2.3 μM, representing a 19.9-fold reversal. | [133] |
| 92 | Euphorbia species | Ma104 | At a concentration of 15 μM, quinic acid reduced the IC50 of vincristine by 6.8-fold in KB-CV60 cells overexpressing ABCC1. | [134] | |
| 93 | Euphorbia species | LLC-PK1 Sf9 | At a concentration of 5 μM, mitoxantrone fluorescence intensity increased by 4–9-fold in cells overexpressing ABCG2. | [135] |
Disclaimer/Publisher’s Note: The statements, opinions and data contained in all publications are solely those of the individual author(s) and contributor(s) and not of MDPI and/or the editor(s). MDPI and/or the editor(s) disclaim responsibility for any injury to people or property resulting from any ideas, methods, instructions or products referred to in the content. |
© 2026 by the authors. Licensee MDPI, Basel, Switzerland. This article is an open access article distributed under the terms and conditions of the Creative Commons Attribution (CC BY) license.
Share and Cite
Ma, L.; Mahemuti, D.; Lan, Y.; Xu, J.; Li, W.; Su, Z.; Li, J.; Abuduwaili, A.; Maimaitijiang, A. Terpenoids: Emerging Natural Modulators for Reversing ABC Transporter-Mediated Multidrug Resistance in Cancer Chemotherapy. Pharmaceuticals 2026, 19, 146. https://doi.org/10.3390/ph19010146
Ma L, Mahemuti D, Lan Y, Xu J, Li W, Su Z, Li J, Abuduwaili A, Maimaitijiang A. Terpenoids: Emerging Natural Modulators for Reversing ABC Transporter-Mediated Multidrug Resistance in Cancer Chemotherapy. Pharmaceuticals. 2026; 19(1):146. https://doi.org/10.3390/ph19010146
Chicago/Turabian StyleMa, Lanfei, Dina Mahemuti, Yuanhong Lan, Jianxiong Xu, Wenfang Li, Zhengding Su, Jinyao Li, Aytursun Abuduwaili, and Ayitila Maimaitijiang. 2026. "Terpenoids: Emerging Natural Modulators for Reversing ABC Transporter-Mediated Multidrug Resistance in Cancer Chemotherapy" Pharmaceuticals 19, no. 1: 146. https://doi.org/10.3390/ph19010146
APA StyleMa, L., Mahemuti, D., Lan, Y., Xu, J., Li, W., Su, Z., Li, J., Abuduwaili, A., & Maimaitijiang, A. (2026). Terpenoids: Emerging Natural Modulators for Reversing ABC Transporter-Mediated Multidrug Resistance in Cancer Chemotherapy. Pharmaceuticals, 19(1), 146. https://doi.org/10.3390/ph19010146




