Next Article in Journal
Gene and Protein Profiles of CHI3L1 and CHI3L2 in Patients with Rheumatoid Arthritis
Previous Article in Journal
Tropical Almond Tree (Terminalia catappa L.): A Comprehensive Review of the Phytochemical Composition, Bioactivities and Economic Potential
 
 
Font Type:
Arial Georgia Verdana
Font Size:
Aa Aa Aa
Line Spacing:
Column Width:
Background:
Review

Microalgae as a Source of Photosensitizers: Analytical Strategies and Biomedical Use in Photodynamic Therapy

by
Akzhol Kuanyshbay
1,2,
Zhanar Iskakova
1,*,
Yelaman Aibuldinov
1,
Ainagul Kolpek
1,2,
Yerbolat Tashenov
1,2,*,
Nurgul Tursynova
1,
Zhanar Tekebayeva
3,
Zhanar Rakhymzhan
4,
Aliya Temirbekova
3,
Kamshat Kulzhanova
3,
Bolatbek Zhantokov
4 and
Aidana Bazarkhankyzy
3,5
1
Research Institute of New Chemical Technologies, L.N. Gumilyov Eurasian National University, Astana 010008, Kazakhstan
2
Department of Chemistry, Faculty of Natural Sciences, L.N. Gumilyov Eurasian National University, Astana 010008, Kazakhstan
3
Republican Collection of Microorganisms LPP, Astana 010000, Kazakhstan
4
Department on Environmental Management and Engineering, Faculty of Natural Sciences, L.N. Gumilyov Eurasian National University, Astana 010008, Kazakhstan
5
Department of General and Biological Chemistry, Faculty of Pharmacy, Astana Medical University, Astana 010000, Kazakhstan
*
Authors to whom correspondence should be addressed.
Pharmaceuticals 2026, 19(1), 100; https://doi.org/10.3390/ph19010100
Submission received: 16 October 2025 / Revised: 26 December 2025 / Accepted: 27 December 2025 / Published: 6 January 2026
(This article belongs to the Section Natural Products)

Abstract

Photodynamic therapy (PDT) is an established light-based treatment modality that relies on the activation of photosensitizers to generate reactive oxygen species (ROS) and induce localized cytotoxicity. In recent years, microalgae have emerged as a promising and sustainable source of natural photosensitizers due to their ability to biosynthesize structurally diverse pigments with strong light-harvesting capacity. This review provides a comprehensive, application-oriented analysis of microalgae-derived photosensitizers, focusing on chlorophylls and their derivatives, carotenoids, and phycobiliproteins. Particular attention is given to analytical strategies for pigment extraction, purification, and characterization, as well as to photophysical properties, subcellular localization, and ROS-mediated mechanisms underlying photodynamic activity. Recent advances in the chemical modification of algal pigments, including chlorin-based derivatives and 5-aminolevulinic acid–related systems, are critically discussed in relation to structure–activity relationships and translational performance. The accumulated evidence demonstrates that microalgae-derived pigments and their synthetic analogues can achieve efficient singlet oxygen generation, organelle-specific phototoxicity, and favorable therapeutic selectivity. Taken together, these findings highlight microalgae as a renewable and versatile platform for developing next-generation photosensitizers with broad biomedical potential in oncology, dermatology, and antimicrobial photodynamic therapy.

1. Introduction

Photodynamic therapy (PDT) is a clinically established, minimally invasive treatment modality that combines a photosensitizer, light of an appropriate wavelength, and molecular oxygen to induce localized cytotoxicity. After light activation, the photosensitizer generates reactive oxygen species (ROS), which trigger oxidative damage and apoptosis in malignant or infected cells [1]. Photodynamic therapy (PDT) is widely used for dermatological and skin-cancer conditions such as actinic keratosis and basal cell carcinoma [2,3,4]. In addition, PDT has proven effective for early-stage esophageal cancer [5]. More recently, a growing number of clinical and preclinical studies have expanded the scope of PDT to include various solid tumors and ongoing cancer trials [6,7].
Despite its clinical potential, the therapeutic success of PDT is constrained by the physicochemical limitations of existing photosensitizers, such as poor water solubility, suboptimal tumor selectivity, slow clearance, and phototoxic side effects [8]. Moreover, many synthetic or semisynthetic agents require complex multistep synthesis and lack environmental sustainability. These limitations have motivated a search for natural, biocompatible, and renewable sources of photosensitizers with improved photophysical and biological profiles.
Microalgae represent a diverse group of photosynthetic microorganisms that naturally produce pigments with strong light-harvesting capacity, including chlorophylls, carotenoids, and phycobiliproteins. These molecules possess photophysical characteristics like clinically used porphyrin-type photosensitizers, making microalgae a promising biological platform for PDT research [9]. Species such as Chlorella, Spirulina (Arthrospira), Haematococcus pluvialis, Dunaliella salina, and Phaeodactylum tricornutum have been shown to accumulate pigments with high singlet oxygen yields and selective cytotoxicity under illumination [10,11,12].
Recent experimental studies have confirmed the photodynamic potential of purified algal pigments. Chlorophyll derivatives and pheophorbides extracted from Chlorella and marine diatoms induce mitochondria-dependent apoptosis in cancer cells after light activation [13,14]. Likewise, astaxanthin from Haematococcus pluvialis and fucoxanthin from Phaeodactylum tricornutum exhibit selective phototoxicity and modulate oxidative stress pathways [11,15]. C-phycocyanin from Spirulina has also demonstrated strong PDT-enhanced apoptotic activity in tumor models in vitro and in vivo [16].
The translational value of microalgae-derived pigments is supported by emerging preclinical and clinical evidence. A recent randomized controlled trial reported that a chlorin e6 derivative produced from Spirulina achieved significant clinical improvement in patients with moderate-to-severe rosacea, demonstrating both efficacy and favorable safety outcomes [17]. These findings suggest that algal pigments and their derivatives may serve as viable candidates for next-generation PDT agents in oncology, dermatology, and antimicrobial therapy.
This review provides an integrated analysis of microalgae as sources of natural photosensitizers, with emphasis on pigment diversity, extraction and purification strategies, photophysical properties, biological mechanisms of action, and biomedical applications. By summarizing recent advances in both natural and synthetic algal derivatives, we highlight the potential of microalgae-derived photosensitizers as sustainable and clinically relevant alternatives to conventional PDT agents. Despite extensive research on synthetic and semisynthetic photosensitizers, natural pigment-based systems, particularly those derived from microalgae, remain insufficiently systematized in the context of photodynamic therapy. Comparative insights into pigment classes, photophysical behavior, and mechanistic contributions to ROS generation are often fragmented across disciplines, highlighting the need for an integrated and application-oriented review.

2. Microalgal Pigments as Photosensitizers

Microalgae produce a wide range of pigments that participate in photosynthesis, photoprotection, and intracellular energy transfer. Due to their extended conjugated systems and strong absorption in the visible region, many of these molecules exhibit photophysical properties like those of established photosensitizers. These include efficient light absorption, intersystem crossing to the triplet state, and the ability to generate singlet oxygen (1O2), which is the principal cytotoxic species in photodynamic therapy. The main pigment classes relevant to PDT are chlorophylls and their derivatives, carotenoids, and phycobiliproteins (Figure 1).

2.1. Chlorophylls and Chlorophyll Derivatives

Chlorophylls are porphyrin-type tetrapyrrolic pigments abundantly synthesized by green microalgae such as Chlorella, Dunaliella, and various diatoms [18]. Their absorption bands in the Soret (∼400–450 nm) and Qy (∼660–680 nm) regions overlap with clinically relevant PDT wavelengths [19]. Chlorophylls readily undergo demetallation and de-esterification during extraction, yielding derivatives such as pheophytins and pheophorbides. These compounds often display improved photostability and higher quantum yields of singlet oxygen compared to their parent molecules [20].
Pheophorbide A extracted from green algae or diatoms has been shown to induce strong phototoxicity in tumor cells through ROS-mediated apoptosis, positioning it among the most extensively investigated natural chlorophyll-derived photosensitizers [14]. The intrinsic triplet-state reactivity of these derivatives makes them promising candidates for PDT applications in oncology and antimicrobial therapy.

2.2. Carotenoids

Carotenoids represent another major class of microalgal pigments. Species such as Haematococcus pluvialis, Dunaliella salina, and Phaeodactylum tricornutum accumulate astaxanthin, β-carotene, and fucoxanthin, respectively, often at high intracellular concentrations [21]. Although carotenoids are traditionally viewed as antioxidants, several studies have demonstrated that certain carotenoids can act as pro-oxidant agents under photoexcitation or in the presence of specific redox conditions. Fucoxanthin from diatoms displays strong absorption in the blue-green region and undergoes excited-state reactions that contribute to ROS formation [22]. Astaxanthin, while primarily quenching singlet oxygen, can also modulate oxidative pathways during illumination, influencing cellular redox balance [23]. Because carotenoids interfere with excited-state energy transfer, their role in PDT can be dual: they may act either as modulators of photodynamic efficiency or as auxiliary photosensitizers under specific conditions.

2.3. Phycobiliproteins

Cyanobacteria such as Arthrospira (Spirulina) produce phycobiliproteins, including C-phycocyanin (C-PC) and phycoerythrin (PE), which possess intense absorption bands in regions not covered by chlorophylls (∼550–650 nm). These biliproteins contain open-chain tetrapyrrole chromophores covalently bound to apoproteins and display strong fluorescence and efficient energy transfer [24].
C-phycocyanin has been shown to generate ROS under irradiation and to induce selective apoptosis in cancer cells via mitochondrial pathways [25]. Due to their photophysical properties, phycobiliproteins are increasingly recognized as potential natural photosensitizers and fluorescent probes for combined imaging–therapy strategies.

2.4. Lipids and Polyunsaturated Fatty Acids (PUFAs)

Some microalgae, particularly marine species, produce high levels of polyunsaturated fatty acids (PUFAs) and other photoactive lipids. Although these compounds are not classical photosensitizers, they can undergo photooxidation and enhance lipid peroxidation during PDT, contributing to membrane destabilization and amplifying phototoxic responses [26]. Their presence may therefore modulate the overall photodynamic effect of pigment mixtures extracted from algal biomass.
A summary of representative microalgal species, their dominant pigments, and their reported photophysical or photodynamic properties is presented in Table 1.
The photodynamic efficacy of microalgae-derived pigments is governed by their intrinsic photophysical properties and their ability to generate reactive oxygen species upon light activation. Depending on pigment structure, cellular environment, and oxygen availability, different photochemical pathways may contribute to the overall biological response. A detailed discussion of these photochemical mechanisms and their biological implications is provided in Section 3.

3. Mechanisms of Photodynamic Action of Microalgae-Derived Photosensitizers

The photodynamic activity of microalgae-derived photosensitizers is primarily determined by their photophysical behavior upon light activation, subcellular localization, and the nature of reactive oxygen species (ROS) generated during irradiation. Unlike conventional synthetic photosensitizers, algal pigments represent structurally diverse natural systems that may engage multiple photochemical and biological pathways, resulting in selective cytotoxicity toward malignant or microbial cells.

3.1. Type I and Type II Photochemical Pathways

Upon absorption of light at appropriate wavelengths, microalgae-derived photosensitizers are promoted from the ground singlet state to an excited singlet state, followed by intersystem crossing to a long-lived triplet state. This excited triplet state can participate in two principal photodynamic pathways: Type I and Type II mechanisms (Figure 2). In the Type II pathway, energy transfer from the triplet photosensitizer to molecular oxygen results in the formation of singlet oxygen (1O2), which is widely recognized as the dominant cytotoxic species in photodynamic therapy [1]. Chlorophyll derivatives and phycobiliproteins, owing to their efficient light absorption and favorable triplet-state lifetimes, predominantly operate via this mechanism and exhibit high singlet oxygen yields [35,36,37].
In parallel, certain microalgae-derived pigments may also engage in Type I photochemical reactions, which involve electron or hydrogen transfer between the excited photosensitizer and surrounding biomolecules. These reactions generate radical species such as superoxide anions, hydrogen peroxide, and hydroxyl radicals [38,39]. Carotenoids and lipid-associated pigments, particularly under low-oxygen or hypoxic conditions, are more likely to contribute to Type I processes, thereby expanding the photodynamic response beyond singlet oxygen generation [40,41,42].
Importantly, the balance between Type I and Type II mechanisms depends not only on the chemical structure of the pigment but also on local oxygen availability, light dose, and cellular microenvironment. This dual photochemical behavior provides microalgae-derived photosensitizers with functional flexibility and may enhance PDT efficacy in heterogeneous biological tissues.

3.2. Subcellular Localization and Organelle-Specific Phototoxicity

A key determinant of photodynamic selectivity is the subcellular localization of photosensitizers prior to light activation. Numerous studies have demonstrated that pigments derived from microalgae preferentially accumulate in organelles that are highly sensitive to oxidative stress, including mitochondria, lysosomes, and the endoplasmic reticulum. A summary of representative microalgal pigments, their dominant subcellular localization, and associated photodynamic effects is provided in Table 2.
Chlorophyll derivatives and pheophorbides obtained from species such as Chlorella and marine diatoms have been shown to localize predominantly in mitochondria and lysosomes. Upon photoactivation, localized ROS generation disrupts mitochondrial membrane integrity, leading to loss of membrane potential and activation of intrinsic apoptotic signaling. Similarly, lysosomal photodamage results in membrane permeabilization and release of hydrolytic enzymes, which further amplify cell death pathways [8,14,43].
Carotenoids such as fucoxanthin and astaxanthin also demonstrate selective intracellular distribution, frequently associated with mitochondrial membranes and lipid-rich compartments. Their localization enables effective ROS-mediated lipid peroxidation, which contributes to membrane destabilization and enhances phototoxic outcomes [31,42,44,45,46].
Phycobiliproteins, particularly C-phycocyanin from Arthrospira (Spirulina), exhibit distinct intracellular behavior and have been reported to accumulate in lysosomal or cytoplasmic regions. Upon irradiation, these pigments induce ROS-dependent apoptosis while simultaneously modulating cellular stress responses, highlighting their dual cytotoxic and regulatory roles [25,33,47,48,49].

3.3. ROS-Mediated Cell Death and Microenvironment Modulation

Regardless of the dominant photochemical pathway, ROS generation represents the central mediator of PDT-induced cytotoxicity. Reactive oxygen species produced by microalgae-derived photosensitizers oxidize lipids, proteins, and nucleic acids, ultimately leading to programmed cell death through apoptosis or, in some cases, regulated necrosis [8,39].
Beyond direct intracellular damage, accumulating evidence suggests that photodynamic action also influences the surrounding cellular microenvironment. ROS-mediated stress can disrupt tumor vasculature, enhance membrane permeability, and promote the release of damage-associated molecular patterns (DAMPs), which collectively contribute to improved therapeutic outcomes [6,8].
Additionally, lipid-rich extracts and polyunsaturated fatty acids present in certain microalgal species may undergo photooxidation, generating cytotoxic lipid peroxides that further amplify photodynamic efficacy. Such effects are particularly relevant in antimicrobial PDT, where membrane damage plays a dominant role in microbial inactivation [26,42].
Together, these observations underscore the multifaceted nature of microalgae-derived photosensitizers, which function not only as light-activated cytotoxic agents but also as modulators of cellular and microenvironmental responses.

4. Extraction and Purification of Microalgae-Derived Photosensitizers

The efficient extraction and purification of photosensitizing compounds from microalgae are critical steps that directly influence their photophysical properties, biological activity, and suitability for biomedical applications. Unlike synthetic photosensitizers, algal pigments are embedded within complex cellular matrices and are often co-extracted with proteins, lipids, and polysaccharides, necessitating tailored analytical strategies to achieve adequate purity and functional integrity.

4.1. Pretreatment and Cell Disruption Strategies

Microalgal cell walls exhibit considerable structural diversity, ranging from relatively fragile membranes in Dunaliella species to highly resilient polysaccharide- or silica-containing walls in Chlorella and diatoms. As a result, effective cell disruption is a prerequisite for pigment recovery. Common pretreatment approaches include mechanical methods (bead milling, ultrasonication, high-pressure homogenization) and non-mechanical techniques such as enzymatic digestion or osmotic shock [50,51,52,53].
Mechanical disruption methods are widely applied due to their scalability and compatibility with downstream extraction processes. However, excessive shear forces may promote pigment degradation or alter excited-state behavior, particularly for chlorophyll derivatives and phycobiliproteins. Consequently, extraction protocols must balance disruption efficiency with preservation of photodynamic functionality.

4.2. Solvent-Based Extraction of Pigment Classes

The choice of extraction solvent is strongly dependent on pigment polarity and molecular structure. Chlorophylls and their derivatives are typically extracted using organic solvents such as acetone, ethanol, methanol, or their aqueous mixtures. Among these, ethanol has gained increasing attention as a green solvent compatible with pharmaceutical applications and regulatory requirements [54,55,56].
Carotenoids, including β-carotene, astaxanthin, and fucoxanthin, require nonpolar or moderately polar solvents (e.g., hexane, ethyl acetate, acetone) to ensure efficient recovery. Supercritical CO2 extraction has emerged as a promising alternative for carotenoid isolation, offering high selectivity, solvent-free extracts, and reduced thermal degradation [56,57,58].
In contrast, phycobiliproteins such as C-phycocyanin are water-soluble and are commonly extracted using buffered aqueous systems. Mild extraction conditions are essential to preserve protein conformation and fluorescence properties, which are closely linked to their photodynamic and imaging performance [59,60].

4.3. Purification and Fractionation Techniques

Crude algal extracts often contain complex mixtures of pigments and biomolecules that may interfere with PDT performance or reproducibility. Chromatographic purification is therefore essential to isolate individual photosensitizers and to enable reliable structure–activity correlations.
Liquid–liquid partitioning is frequently used as a preliminary fractionation step to separate pigments based on polarity. This is typically followed by column chromatography using silica gel or polymeric stationary phases. For higher purity requirements, high-performance liquid chromatography (HPLC) and preparative HPLC are widely employed, particularly for chlorophyll derivatives and carotenoids [61,62]. Advanced techniques such as high-performance countercurrent chromatography (HPCCC) and Elution-Extrusion Countercurrent Chromatography (EECCC) have been successfully applied to the isolation of fucoxanthin and other labile pigments, offering high recovery yields without irreversible adsorption to solid supports. These approaches are particularly valuable for preserving photophysical properties relevant to PDT [63,64].

4.4. Analytical Characterization and Quality Control

Following purification, comprehensive analytical characterization is required to confirm pigment identity, purity, and photodynamic suitability. UV–Vis spectroscopy is routinely used to assess absorption maxima and molar extinction coefficients, while fluorescence spectroscopy provides insight into excited-state behavior. Chromatographic purity is typically evaluated by HPLC, often coupled with diode-array detection or mass spectrometry.
Structural confirmation is achieved using spectroscopic techniques such as FT-IR and NMR, whereas singlet oxygen generation and ROS production are commonly assessed using chemical probes and photochemical assays. These analytical steps are essential for correlating extraction and purification conditions with biological performance in PDT [65,66].
Despite significant progress, several challenges remain in the extraction and purification of microalgae-derived photosensitizers. These include batch-to-batch variability in biomass composition, pigment instability during processing, and scalability constraints for pharmaceutical translation. Integrating green extraction technologies with advanced chromatographic purification and standardized analytical workflows represents a promising strategy to overcome these limitations.
In summary, continued optimization of extraction and purification methodologies will be crucial for unlocking the full potential of microalgae as a sustainable and versatile source of photosensitizers for photodynamic therapy.

5. Synthetic Derivatives of Microalgae-Derived Photosensitizers and Their Biomedical Applications

Natural pigments isolated from microalgae, particularly chlorophylls and their degradation products, provide versatile molecular scaffolds for the development of synthetic photosensitizers with enhanced photodynamic performance. While native algal pigments already exhibit notable phototoxicity upon light activation, chemical modification enables fine-tuning of their absorption properties, photostability, subcellular targeting, and reactive oxygen species (ROS) generation, thereby improving their translational potential for clinical photodynamic therapy (PDT).

5.1. Chlorin-Based Derivatives Originating from Microalgal Chlorophylls

Among microalgae-derived pigments, chlorophyll a and its catabolites (chlorin e6 and pheophorbide A) represent the most extensively explored precursors for synthetic photosensitizer development. These tetrapyrrolic structures possess strong absorption in the red and near-infrared (NIR) regions, which is advantageous for deeper tissue penetration during PDT.
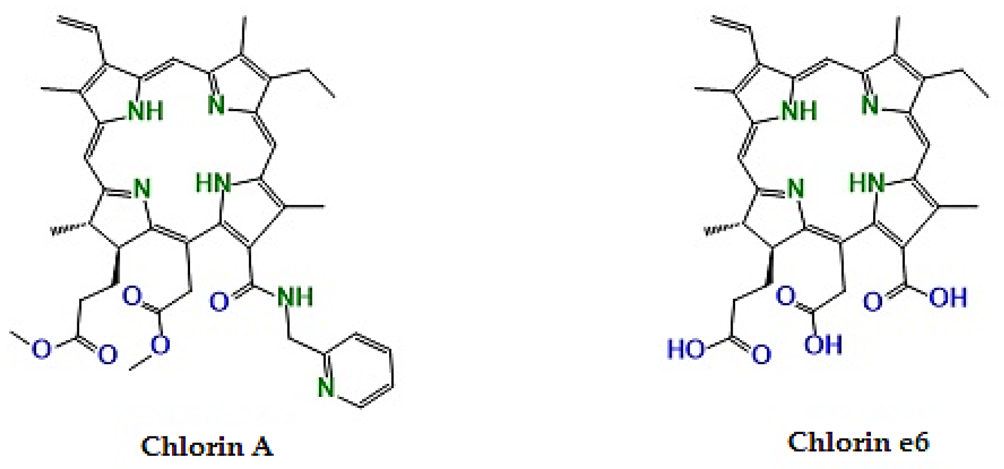
One representative example is Chlorin A (Figure 3), a pyridyl-substituted chlorin derivative synthesized from chlorophyll-based precursors isolated from Chlorella and Spirulina. This compound exhibits red-shifted absorption (≈664–667 nm), high singlet oxygen yield, and pronounced phototoxicity in vivo, resulting in significant tumor regression in murine cancer models. These properties highlight how modest structural modification of natural chlorophyll frameworks can substantially enhance PDT efficacy [67,68]. Similarly, chlorin e6 (naturally occurring in microalgae as a chlorophyll a derivative) has served as a central platform for numerous synthetic analogues aimed at improving tumor selectivity and photophysical performance [68,69,70].

5.2. Functional Modifications Enhancing Photodynamic Performance

Targeted functionalization of chlorin e6 has proven particularly effective in overcoming limitations associated with conventional photosensitizers, such as insufficient cellular uptake, photobleaching, and reduced efficacy under hypoxic conditions. A notable strategy involves the introduction of guanidinium or other cationic moieties, which enhance electrostatic interactions with negatively charged cellular membranes and promote organelle-specific accumulation.
For example, guanidine-conjugated chlorin e6 derivatives (3–4) have demonstrated superior photostability, enhanced ROS generation, and increased photocytotoxicity compared with clinically approved photosensitizers such as m-THPC (Figure 4). Fluorescence microscopy studies revealed preferential localization of these derivatives in mitochondria, lysosomes, and the endoplasmic reticulum (organelles that are highly susceptible to ROS-mediated damage), resulting in robust apoptosis induction in lung and gastrointestinal cancer models [71]. Importantly, these derivatives retain low dark toxicity while exhibiting strong light-dependent cytotoxicity, a key requirement for safe clinical translation.

5.3. ALA-Based Photosensitizer Derivatives

In addition to chlorin-based compounds, synthetic derivatives of 5-aminolevulinic acid (5-ALA) represent another important class of photosensitizers linked to microalgal metabolism. Although 5-ALA is a universal biosynthetic precursor in the tetrapyrrole pathway and has been reported in some microalgal systems, its synthetic ester derivatives have been engineered to improve bioavailability and membrane permeability [72].
Alkylated ALA derivatives (e.g., ALA-methyl and ALA-hexyl esters) exhibit enhanced intracellular conversion to protoporphyrin IX (PpIX), leading to efficient ROS production upon light activation. These compounds have demonstrated rapid bacterial eradication in antimicrobial photodynamic therapy (aPDT) models, as well as promising results in wound healing and localized infection control [72,73,74,75].
The dual applicability of ALA-based derivatives in both oncology and antimicrobial PDT underscores the versatility of tetrapyrrole-based photosensitizers derived from or inspired by microalgal metabolic pathways.

5.4. Translational Perspectives and Structure–Activity Relationships

Collectively, studies on synthetic derivatives of microalgae-derived photosensitizers reveal clear structure–activity relationships. Red-shifted absorption, cationic functional groups, and organelle-targeting motifs consistently correlate with enhanced photodynamic efficacy, improved tumor selectivity, and broader therapeutic windows (Table 3).
These synthetic agents exemplify a translational continuum, in which naturally occurring algal pigments serve as renewable chemical templates that can be systematically optimized for biomedical use. Importantly, several chlorin-based derivatives and ALA formulations have progressed to preclinical and early clinical evaluation, demonstrating the feasibility of translating microalgae-inspired photosensitizers into practical PDT applications [76,77].

6. Conclusions

Microalgae represent a biologically rich and chemically versatile source of photosensitizers with significant relevance for photodynamic therapy. The diversity of algal pigments—ranging from chlorophyll derivatives and carotenoids to phycobiliproteins and photoactive lipids—provides a unique foundation for exploring natural photodynamic systems that combine efficient light absorption with ROS-mediated biological activity. As demonstrated throughout this review, many microalgae-derived pigments exhibit photophysical characteristics comparable to clinically used photosensitizers, including favorable absorption profiles, effective singlet oxygen generation, and selective intracellular localization.
Beyond their intrinsic photodynamic properties, advances in extraction, purification, and analytical characterization have enabled the reliable isolation and functional assessment of algal photosensitizers, supporting meaningful structure–activity correlations. Furthermore, the chemical modification of naturally occurring pigments, particularly chlorophyll-based scaffolds, has led to synthetic derivatives with improved photostability, enhanced cellular uptake, and increased therapeutic selectivity. These developments underscore the translational potential of microalgae-inspired photosensitizers and demonstrate how natural molecular frameworks can be systematically optimized for biomedical use.
Importantly, microalgae-derived systems also offer broader advantages related to sustainability, scalability, and biocompatibility, aligning well with current demands for environmentally responsible pharmaceutical development. While challenges remain—including biomass variability, pigment stability, and clinical standardization—the growing body of preclinical and early clinical evidence supports continued investigation into algal photosensitizers as viable alternatives to conventional synthetic agents.
In conclusion, the integration of microalgal biotechnology, analytical chemistry, and photodynamic medicine opens new avenues for the rational design of next-generation photosensitizers. Continued interdisciplinary efforts are expected to further expand the clinical applicability of microalgae-derived pigments, reinforcing their role as a renewable and innovative resource in the future landscape of photodynamic therapy.

Author Contributions

Conceptualization, A.K. (Akzhol Kuanyshbay) and Y.T.; methodology, Z.I.; software, Y.A.; validation, A.K. (Ainagul Kolpek), N.T. and Z.T.; formal analysis, Z.R.; investigation, A.T.; resources, K.K.; data curation, B.Z. and A.B.; writing—original draft preparation, A.K. (Akzhol Kuanyshbay); writing—review and editing, Y.T.; visualization, Y.T.; supervision, Y.T.; project administration, N.T.; funding acquisition, Z.I. All authors have read and agreed to the published version of the manuscript.

Funding

This research is funded by the Committee of Science of the Ministry of Science and Education of the Republic of Kazakhstan (Grant No AP19677547).

Institutional Review Board Statement

Not applicable.

Data Availability Statement

No new data were created or analyzed in this study. Data sharing is not applicable to this article.

Acknowledgments

During the preparation of this manuscript, the authors used ChatGPT (OpenAI, GPT-5.2) for language editing and text refinement. The authors have reviewed and edited the output and take full responsibility for the content of this publication. In addition, ChemDraw Ultra 12.0 software (PerkinElmer) was used for the preparation of chemical structures and reaction schemes.

Conflicts of Interest

The authors declare no conflicts of interest.

References

  1. Correia, J.H.; Rodrigues, J.A.; Pimenta, S.; Dong, T.; Yang, Z. Photodynamic Therapy Review: Principles, Photosensitizers, Applications, and Future Directions. Pharmaceutics 2021, 13, 1332. [Google Scholar] [CrossRef]
  2. Aebisher, D.; Rogóż, K.; Myśliwiec, A.; Dynarowicz, K.; Wiench, R.; Cieślar, G.; Kawczyk-Krupka, A.; Bartusik-Aebisher, D. The Use of Photodynamic Therapy in Medical Practice. Front. Oncol. 2024, 14, 1373263. [Google Scholar] [CrossRef] [PubMed]
  3. Ericson, M.B.; Wennberg, A.M.; Larkö, O. Review of Photodynamic Therapy in Actinic Keratosis and Basal Cell Carcinoma. Ther. Clin. Risk Manag. 2008, 4, 1–9. [Google Scholar] [CrossRef] [PubMed]
  4. Ou-Yang, Y.; Zheng, Y.; Mills, K.E. Photodynamic Therapy for Skin Carcinomas: A Systematic Review and Meta-Analysis. Front. Med. 2023, 10, 1089361. [Google Scholar] [CrossRef]
  5. Bartusik-Aebisher, D.; Osuchowski, M.; Adamczyk, M.; Stopa, J.; Cieślar, G.; Kawczyk-Krupka, A.; Aebisher, D. Advancements in Photodynamic Therapy of Esophageal Cancer. Front. Oncol. 2022, 12, 1024576. [Google Scholar] [CrossRef] [PubMed]
  6. Kim, T.E.; Chang, J.-E. Recent Studies in Photodynamic Therapy for Cancer Treatment: From Basic Research to Clinical Trials. Pharmaceutics 2023, 15, 2257. [Google Scholar] [CrossRef]
  7. Chen, H.; Li, H.; Li, H.-J.; Zhang, Z. Umbrella Review of Photodynamic Therapy for Cancer: Efficacy, Safety, and Clinical Applications. Front. Oncol. 2025, 15, 1528314. [Google Scholar] [CrossRef]
  8. Agostinis, P.; Berg, K.; Cengel, K.A.; Foster, T.H.; Girotti, A.W.; Gollnick, S.O.; Hahn, S.M.; Hamblin, M.R.; Juzeniene, A.; Kessel, D.; et al. Photodynamic Therapy of Cancer: An Update. CA Cancer J. Clin. 2011, 61, 250–281. [Google Scholar] [CrossRef]
  9. Abreu, A.P.; Martins, R.; Nunes, J. Emerging Applications of Chlorella sp. And Spirulina (Arthrospira) sp. Bioengineering 2023, 10, 955. [Google Scholar] [CrossRef]
  10. Guedes, A.C.; Amaro, H.M.; Malcata, F.X. Microalgae as Sources of Carotenoids. Mar. Drugs 2011, 9, 625–644. [Google Scholar] [CrossRef]
  11. Ebbing, T.; Kopp, L.; Frick, K.; Simon, T.; Würtz, B.; Pfannstiel, J.; Schmid-Staiger, U.; Bischoff, S.C.; Tovar, G.E.M. Exploring Phaeodactylum tricornutum for Nutraceuticals: Cultivation Techniques and Neurotoxin Risk Assessment. Mar. Drugs 2025, 23, 58. [Google Scholar] [CrossRef]
  12. Chini Zittelli, G.; Lauceri, R.; Faraloni, C.; Benavides, A.M.S.; Torzillo, G. Valuable Pigments from Microalgae: Phycobiliproteins, Primary Carotenoids, and Fucoxanthin. Photochem. Photobiol. Sci. 2023, 22, 1733–1789. [Google Scholar] [CrossRef] [PubMed]
  13. Saide, A.; Riccio, G.; Ianora, A.; Lauritano, C. The Diatom Cylindrotheca closterium and the Chlorophyll Breakdown Product Pheophorbide a for Photodynamic Therapy Applications. Appl. Sci. 2023, 13, 2590. [Google Scholar] [CrossRef]
  14. Saide, A.; Lauritano, C.; Ianora, A. Pheophorbide a: State of the Art. Mar. Drugs 2020, 18, 257. [Google Scholar] [CrossRef]
  15. Cui, H.; Zhu, X.; Yu, X.; Li, S.; Wang, K.; Wei, L.; Li, R.; Qin, S. Advancements of Astaxanthin Production in Haematococcus pluvialis: Updated Insight and Way Forward. Biotechnol. Adv. 2025, 79, 108519. [Google Scholar] [CrossRef]
  16. Jaeschke, D.P.; Teixeira, I.R.; Marczak, L.D.F.; Mercali, G.D. Phycocyanin from Spirulina: A Review of Extraction Methods and Stability. Food Res. Int. 2021, 143, 110314. [Google Scholar] [CrossRef] [PubMed]
  17. Chinese Clinical Trial Registry. Study on the Efficacy and Safety of a Chlorin e6 Derivative-Mediated Photodynamic Therapy for Rosacea. ChiCTR-TRC-245860. Available online: https://www.chictr.org.cn/hvshowproject.html?id=245860&v=1.0 (accessed on 15 December 2025).
  18. Guedes, A.C.; Amaro, H.M.; Malcata, F.X. Microalgae as sources of high added-value compounds—A brief review of recent work. Biotechnol. Prog. 2011, 27, 597–613. [Google Scholar] [CrossRef]
  19. Algorri, J.F.; Ochoa, M.; Roldán-Varona, P.; Rodríguez-Cobo, L.; López-Higuera, J.M. Light Technology for Efficient and Effective Photodynamic Therapy: A Critical Review. Cancers 2021, 13, 3484. [Google Scholar] [CrossRef]
  20. Sun, D.; Wu, S.; Li, X.; Ge, B.; Zhou, C.; Yan, X.; Ruan, R.; Cheng, P. The Structure, Functions and Potential Medicinal Effects of Chlorophylls Derived from Microalgae. Mar. Drugs 2024, 22, 65. [Google Scholar] [CrossRef]
  21. Sirohi, P.; Verma, H.; Singh, S.K.; Singh, V.K.; Pandey, J.; Khusharia, S.; Kumar, D.; Kaushalendra; Teotia, P.; Kumar, A. Microalgal Carotenoids: Therapeutic Application and Latest Approaches to Enhance the Production. Curr. Issues Mol. Biol. 2022, 44, 6257–6279. [Google Scholar] [CrossRef]
  22. Heo, S.-J.; Jeon, Y.-J. Protective effect of fucoxanthin isolated from Sargassum siliquastrum on UV-B-induced cell damage. J. Photochem. Photobiol. B Biol. 2009, 95, 101–107. [Google Scholar] [CrossRef]
  23. Davinelli, S.; Saso, L.; D’Angeli, F.; Calabrese, V.; Intrieri, M.; Scapagnini, G. Astaxanthin as a Modulator of Nrf2, NF-κB, and Their Crosstalk: Molecular Mechanisms and Possible Clinical Applications. Molecules 2022, 27, 502. [Google Scholar] [CrossRef]
  24. Chen, H.; Qi, H.; Xiong, P. Phycobiliproteins—A Family of Algae-Derived Biliproteins: Productions, Characterization and Pharmaceutical Potentials. Mar. Drugs 2022, 20, 450. [Google Scholar] [CrossRef] [PubMed]
  25. Yu, J.; Sun, L.; Ji, L.; Wei, K.; Chen, X.; Fan, J.; Wei, Y. Advances about the study of phycocyanin in the treatment of breast cancer: A review. Biomed. Pharmacother. 2025, 192, 118586. [Google Scholar] [CrossRef]
  26. Santin, A.; Russo, M.T.; Ferrante, M.I.; Balzano, S.; Orefice, I.; Sardo, A. Highly Valuable Polyunsaturated Fatty Acids from Microalgae: Strategies to Improve Their Yields and Their Potential Exploitation in Aquaculture. Molecules 2021, 26, 7697. [Google Scholar] [CrossRef]
  27. Ambati, R.R.; Phang, S.-M.; Ravi, S.; Aswathanarayana, R.G. Astaxanthin: Sources, Extraction, Stability, Biological Activities and Its Commercial Applications—A Review. Mar. Drugs 2014, 12, 128–152. [Google Scholar] [CrossRef] [PubMed]
  28. Hwang, S.H.; Kim, J.M.; Kim, S.; Yoon, M.J.; Park, K.S. Chemical transformation of astaxanthin from Haematococcus pluvialis improves its antioxidative and anti-inflammatory activities. ACS Omega 2020, 5, 19120–19130. [Google Scholar] [CrossRef]
  29. Wolf, L.; Cummings, T.; Müller, K.; Reppke, M.; Volkmar, M.; Weuster-Botz, D. Production of β-carotene with Dunaliella salina CCAP19/18 at physically simulated outdoor conditions. Eng. Life Sci. 2021, 21, 115–125. [Google Scholar] [CrossRef] [PubMed]
  30. Roy, U.K.; Nielsen, B.V.; Milledge, J.J. Antioxidant Production in Dunaliella. Appl. Sci. 2021, 11, 3959. [Google Scholar] [CrossRef]
  31. Kim, K.-N.; Heo, S.-J.; Kang, S.-M.; Ahn, G.; Jeon, Y.-J. Fucoxanthin induces apoptosis in human leukemia HL-60 cells through a ROS-mediated Bcl-xL pathway. Toxicol. In Vitro 2010, 24, 1648–1654. [Google Scholar] [CrossRef]
  32. Bárcenas-Pérez, D.; Střížek, A.; Hrouzek, P.; Kopecký, J.; Barradas, M.; Sierra-Ramirez, A.; Fernandez-Marcos, P.J.; Cheel, J. Production of Fucoxanthin from Phaeodactylum tricornutum Using High Performance Countercurrent Chromatography Retaining Its FOXO3 Nuclear Translocation-Inducing Effect. Mar. Drugs 2021, 19, 517. [Google Scholar] [CrossRef]
  33. Braune, S.; Krüger-Genge, A.; Kammerer, S.; Jung, F.; Küpper, J.-H. Phycocyanin from Arthrospira platensis as Potential Anti-Cancer Drug: Review of In Vitro and In Vivo Studies. Life 2021, 11, 91. [Google Scholar] [CrossRef]
  34. Liu, Q.; Huang, Y.; Zhang, R.; Cai, T.; Cai, Y. Medical application of Spirulina platensis-derived C-phycocyanin. Evid. Based Complement. Altern. Med. 2016, 2016, 7803846. [Google Scholar]
  35. Abrahamse, H.; Hamblin, M.R. New photosensitizers for photodynamic therapy. Biochem. J. 2016, 473, 347–364. [Google Scholar] [CrossRef] [PubMed]
  36. Tan, G.; Wang, Q.; Zhang, H.; Cheng, J.; Wang, Z.; Qu, F.; Guo, C.; Jin, Y. The in vitro photodynamic activity, photophysical and photochemical research of a novel chlorophyll-derived photosensitizer. Med. Chem. Res. 2017, 26, 2639–2652. [Google Scholar] [CrossRef]
  37. Stadnichuk, I.N.; Kusnetsov, V.V. Phycobilisomes and Phycobiliproteins in the Pigment Apparatus of Oxygenic Photosynthetics: From Cyanobacteria to Tertiary Endosymbiosis. Int. J. Mol. Sci. 2023, 24, 2290. [Google Scholar] [CrossRef]
  38. Baptista, M.S.; Cadet, J.; Di Mascio, P.; Ghogare, A.A.; Greer, A.; Hamblin, M.R.; Lorente, C.; Nunez, S.C.; Ribeiro, M.S.; Thomas, A.H.; et al. Type I and Type II photosensitized oxidation reactions: Guidelines and mechanistic pathways. Photochem. Photobiol. 2017, 93, 912–919. [Google Scholar] [CrossRef]
  39. Ansari, W.A.; Srivastava, K.; Nasibullah, M.; Khan, M.F. Reactive oxygen species (ROS): Sources, generation, disease pathophysiology, and antioxidants. Discov. Chem. 2025, 2, 191. [Google Scholar] [CrossRef]
  40. Sun, H.; Mao, X.; Wu, T.; Ren, Y.; Chen, F.; Liu, B. Novel insight of carotenoid and lipid biosynthesis and their roles in storage carbon metabolism in Chlamydomonas reinhardtii. Bioresour. Technol. 2018, 263, 450–457. [Google Scholar] [CrossRef]
  41. Xi, Y.; Kong, F.; Chi, Z. ROS induce β-carotene biosynthesis caused by changes of photosynthesis efficiency and energy metabolism in Dunaliella salina under stress conditions. Front. Bioeng. Biotechnol. 2021, 8, 613768. [Google Scholar] [CrossRef]
  42. Wang, L.; Yang, T.; Pan, Y.; Shi, L.; Jin, Y.; Huang, X. The Metabolism of Reactive Oxygen Species and Their Effects on Lipid Biosynthesis of Microalgae. Int. J. Mol. Sci. 2023, 24, 11041. [Google Scholar] [CrossRef]
  43. Brillo, V.; Chieregato, L.; Leanza, L.; Muccioli, S.; Costa, R. Mitochondrial Dynamics, ROS, and Cell Signaling: A Blended Overview. Life 2021, 11, 332. [Google Scholar] [CrossRef]
  44. Gammone, M.A.; Riccioni, G.; D’Orazio, N. Marine Carotenoids against Oxidative Stress: Effects on Human Health. Mar. Drugs 2015, 13, 6226–6246. [Google Scholar] [CrossRef] [PubMed]
  45. Nishida, Y.; Nawaz, A.; Hecht, K.; Tobe, K. Astaxanthin as a Novel Mitochondrial Regulator: A New Aspect of Carotenoids, beyond Antioxidants. Nutrients 2022, 14, 107. [Google Scholar] [CrossRef]
  46. Ademowo, O.S.; Oyebode, O.; Edward, R.; Conway, M.E.; Griffiths, H.R.; Dias, I.H.K. Effects of carotenoids on mitochondrial dysfunction. Biochem. Soc. Trans. 2024, 52, 65–74. [Google Scholar] [CrossRef]
  47. Fernandes, R.; Campos, J.; Serra, M.; Fidalgo, J.; Almeida, H.; Casas, A.; Toubarro, D.; Barros, A.I.R.N.A. Exploring the Benefits of Phycocyanin: From Spirulina Cultivation to Its Widespread Applications. Pharmaceuticals 2023, 16, 592. [Google Scholar] [CrossRef]
  48. Citi, V.; Torre, S.; Flori, L.; Usai, L.; Aktay, N.; Dunford, N.T.; Lutzu, G.A.; Nieri, P. Nutraceutical Features of the Phycobiliprotein C-Phycocyanin: Evidence from Arthrospira platensis (Spirulina). Nutrients 2024, 16, 1752. [Google Scholar] [CrossRef] [PubMed]
  49. Li, Y.; Aiello, G.; Bollati, C.; Bartolomei, M.; Arnoldi, A.; Lammi, C. Phycobiliproteins from Arthrospira Platensis (Spirulina): A New Source of Peptides with Dipeptidyl Peptidase-IV Inhibitory Activity. Nutrients 2020, 12, 794. [Google Scholar] [CrossRef] [PubMed]
  50. Rahman, M.M.; Hosano, N.; Hosano, H. Recovering Microalgal Bioresources: A Review of Cell Disruption Methods and Extraction Technologies. Molecules 2022, 27, 2786. [Google Scholar] [CrossRef]
  51. Shivakumar, S.; Serlini, N.; Esteves, S.M.; Miros, S.; Halim, R. Cell Walls of Lipid-Rich Microalgae: A Comprehensive Review on Characterisation, Ultrastructure, and Enzymatic Disruption. Fermentation 2024, 10, 608. [Google Scholar] [CrossRef]
  52. Caetano, N.D.S. Microalgae Cell Disruption Methods. Encyclopedia. Available online: https://encyclopedia.pub/entry/6901 (accessed on 20 December 2025).
  53. Taj-Liad, S.T.; Raviadaran, R.; Chandran, D.; Lam, M.K. Cell disruption and extraction for microalgae biorefinery: Focus on deep eutectic solvents moving towards aqueous biphasic systems. Results Eng. 2025, 26, 105066. [Google Scholar] [CrossRef]
  54. Kopp, G.; Lauritano, C. Greener Extraction Solutions for Microalgal Compounds. Mar. Drugs 2025, 23, 269. [Google Scholar] [CrossRef]
  55. Ferreira, A.S.; Pereira, L.; Canfora, F.; Silva, T.H.; Coimbra, M.A.; Nunes, C. Stabilization of Natural Pigments in Ethanolic Solutions for Food Applications: The Case Study of Chlorella vulgaris. Molecules 2023, 28, 408. [Google Scholar] [CrossRef]
  56. Sarkar, S.; Manna, M.S.; Bhowmick, T.K.; Gayen, K. Extraction of chlorophylls and carotenoids from dry and wet biomass of isolated Chlorella thermophila: Optimization of process parameters and modelling by artificial neural network. Process Biochem. 2020, 96, 58–72. [Google Scholar] [CrossRef]
  57. Kurek, M.A.; Aktaş, H.; Pokorski, P.; Pogorzelska-Nowicka, E.; Custodio-Mendoza, J.A. A Comprehensive Review of Analytical Approaches for Carotenoids Assessment in Plant-Based Foods: Advances, Applications, and Future Directions. Appl. Sci. 2025, 15, 3506. [Google Scholar] [CrossRef]
  58. Poojary, M.M.; Barba, F.J.; Aliakbarian, B.; Donsì, F.; Pataro, G.; Dias, D.A.; Juliano, P. Innovative Alternative Technologies to Extract Carotenoids from Microalgae and Seaweeds. Mar. Drugs 2016, 14, 214. [Google Scholar] [CrossRef] [PubMed]
  59. Kovaleski, G.; Kholany, M.; Dias, L.M.S.; Correia, S.F.H.; Ferreira, R.A.S.; Coutinho, J.A.P.; Ventura, S.P.M. Extraction and purification of phycobiliproteins from algae and their applications. Front. Chem. 2022, 10, 1065355. [Google Scholar] [CrossRef]
  60. Madji, S.; Antih, J.; Tabib, M.; Silvestre, C.; Ghennai, A.; Warnery, A.; Vaillant, F.; Bichon, F.; Echalier, A.; Poucheret, P. Extraction, Purification, Bioactivity and Pharmacological Effects of Phycobiliproteins (PBPs): A Review. Analytica 2025, 6, 44. [Google Scholar] [CrossRef]
  61. Kiani, H.; Aznar, R.; Poojary, M.M.; Tiwari, B.K.; Halim, R. Chromatographic techniques to separate and identify bioactive compounds in microalgae. Front. Energy Res. 2022, 10, 904014. [Google Scholar] [CrossRef]
  62. Latasa, M.; Bidigare, R.R.; Ondrusek, M.E.; Kennicutt, M.C. HPLC analysis of algal pigments: A comparison exercise among laboratories and recommendations for improved analytical performance. Mar. Chem. 1996, 51, 315–324. [Google Scholar] [CrossRef]
  63. van Leeuwe, M.A.; Villerius, L.A.; Roggeveld, J.; Visser, R.J.W.; Stefels, J. An optimized method for automated analysis of algal pigments by HPLC. Mar. Chem. 2006, 102, 267–275. [Google Scholar] [CrossRef]
  64. Chen, D.; Jin, Y.; Hu, D.; Ye, J.; Lu, Y.; Dai, Z. One-Step Preparative Separation of Fucoxanthin from Three Edible Brown Algae by Elution-Extrusion Countercurrent Chromatography. Mar. Drugs 2022, 20, 257. [Google Scholar] [CrossRef]
  65. Yudaev, P.; Aleksandrova, Y.; Chugunova, E.; Neganova, M. The Current State of Research in the Field of Photosensitizers and Photoactivators for Photodynamic/Photothermal Cancer Therapy: A Review. Int. J. Mol. Sci. 2025, 26, 10733. [Google Scholar] [CrossRef] [PubMed]
  66. Dascalu, L.M.; Moldovan, M.; Prodan, D.; Ciotlaus, I.; Popescu, V.; Baldea, I.; Carpa, R.; Sava, S.; Chifor, R.; Badea, M.E. Assessment and Characterization of Some New Photosensitizers for Antimicrobial Photodynamic Therapy (aPDT). Materials 2020, 13, 3012. [Google Scholar] [CrossRef]
  67. He, C.; Xia, J.; Gao, Y.; Chen, Z.; Wan, X. Chlorin A-mediated photodynamic therapy induced apoptosis in human cholangiocarcinoma cells via impaired autophagy flux. Am. J. Transl. Res. 2020, 12, 5080–5094. [Google Scholar]
  68. Michalak, M.; Szymczyk, J.; Pawska, A.; Wysocki, M.; Janiak, D.; Ziental, D.; Ptaszek, M.; Güzel, E.; Sobotta, L. Chlorin Activity Enhancers for Photodynamic Therapy. Molecules 2025, 30, 2810. [Google Scholar] [CrossRef]
  69. Mansuri, P.; Tabaie, S.M.; Naderi, M.S.; Kebriti, K.; Esmaeeli Djavid, G.; Shirkavand, A. Systemic photodynamic therapy with chlorin e6 as a photosensitizer for the treatment of nodular basal cell carcinoma: A case report. J. Lasers Med. Sci. 2022, 13, e44. [Google Scholar] [CrossRef]
  70. Zhang, H.; Zhao, Y.; Tao, H.; Feng, C.; Wang, P.; Zhang, L.; Liu, X.; Chen, Y.; Wang, X. A chlorin e6 derivative-mediated photodynamic therapy for mild to moderate acne: A prospective, single-blind, randomized, split-face controlled study. Photodiagn. Photodyn. Ther. 2024, 49, 104304. [Google Scholar] [CrossRef] [PubMed]
  71. Gao, Y.-H.; Lovreković, V.; Kussayeva, A.; Chen, D.-Y.; Margetić, D.; Chen, Z.-L. The photodynamic activities of dimethyl 131-[2-(guanidinyl)ethylamino] chlorin e6 photosensitizers in A549 tumor. Eur. J. Med. Chem. 2019, 177, 144–152. [Google Scholar] [CrossRef]
  72. Tewari, K.M.; Eggleston, I.M. Chemical approaches for the enhancement of 5-aminolevulinic acid-based photodynamic therapy and photodiagnosis. Photochem. Photobiol. Sci. 2018, 17, 1553–1569. [Google Scholar] [CrossRef]
  73. Mahmoudi, K.; Garvey, K.L.; Bouras, A.; Cramer, G.; Stepp, H.; Jesu Raj, J.G.; Bozec, D.; Busch, T.M.; Hadjipanayis, C.G. 5-Aminolevulinic acid photodynamic therapy for the treatment of high-grade gliomas. J. Neurooncol. 2019, 141, 595–607. [Google Scholar] [CrossRef] [PubMed]
  74. Morrow, D.I.J.; McCarron, P.A.; Woolfson, A.D.; Juzenas, P.; Juzeniene, A.; Iani, V.; Moan, J.; Donnelly, R.F. Hexyl aminolaevulinate is a more effective topical photosensitiser precursor than methyl aminolaevulinate and 5-aminolaevulinic acid when applied in equimolar doses. J. Pharm. Sci. 2010, 99, 3486–3498. [Google Scholar] [CrossRef] [PubMed]
  75. Sajjad, F.; Sun, N.-N.; Chen, T.; Yan, Y.-J.; Margetić, D.; Chen, Z.-L. Evaluation of antimicrobial photodynamic activities of 5-aminolevulinic acid derivatives. Photodermatol. Photoimmunol. Photomed. 2021, 37, 296–305. [Google Scholar]
  76. Cuadrado, C.F.; Lagos, K.J.; Stringasci, M.D.; Bagnato, V.S.; Romero, M.P. Clinical and pre-clinical advances in the PDT/PTT strategy for diagnosis and treatment of cancer. Photodiagn. Photodyn. Ther. 2024, 50, 104387. [Google Scholar] [CrossRef]
  77. Penetra, M.; Arnaut, L.G.; Gomes-da-Silva, L.C. Trial watch: An update of clinical advances in photodynamic therapy and its immunoadjuvant properties for cancer treatment. Oncoimmunology 2023, 12, 2226535. [Google Scholar] [CrossRef] [PubMed]
Figure 1. Representative chemical structures of microalgal pigments relevant to photodynamic therapy: chlorophyll a/b, pheophorbide a; carotenoids (β-carotene, astaxanthin, and fucoxanthin); phycocyanobilin (the chromophore of C-phycocyanin) and phycoerythrobilin (the chromophore of C-phycoerythrin); docosahexaenoic acid (DHA) and eicosapentaenoic acid (EPA) as a representative polyunsaturated fatty acid. Color coding is used to distinguish different classes of compounds: green—chlorophyll derivatives, orange—carotenoids, blue—phycobilin chromophores, and dark red—polyunsaturated fatty acids.
Figure 1. Representative chemical structures of microalgal pigments relevant to photodynamic therapy: chlorophyll a/b, pheophorbide a; carotenoids (β-carotene, astaxanthin, and fucoxanthin); phycocyanobilin (the chromophore of C-phycocyanin) and phycoerythrobilin (the chromophore of C-phycoerythrin); docosahexaenoic acid (DHA) and eicosapentaenoic acid (EPA) as a representative polyunsaturated fatty acid. Color coding is used to distinguish different classes of compounds: green—chlorophyll derivatives, orange—carotenoids, blue—phycobilin chromophores, and dark red—polyunsaturated fatty acids.
Pharmaceuticals 19 00100 g001
Figure 2. Schematic representation of the photodynamic mechanism of action of microalgae-derived photosensitizers. Upon absorption of visible light, the photosensitizer (PS) is excited from the ground state to the excited singlet state, followed by intersystem crossing to the excited triplet state. From this state, photochemical reactions proceed via energy transfer to molecular oxygen, generating singlet oxygen (1O2) (Type II pathway), or via electron transfer reactions leading to the formation of other reactive oxygen species (Type I pathway). The generated reactive oxygen species induce oxidative damage in cancer or microbial cells, resulting in photodynamic cytotoxicity.
Figure 2. Schematic representation of the photodynamic mechanism of action of microalgae-derived photosensitizers. Upon absorption of visible light, the photosensitizer (PS) is excited from the ground state to the excited singlet state, followed by intersystem crossing to the excited triplet state. From this state, photochemical reactions proceed via energy transfer to molecular oxygen, generating singlet oxygen (1O2) (Type II pathway), or via electron transfer reactions leading to the formation of other reactive oxygen species (Type I pathway). The generated reactive oxygen species induce oxidative damage in cancer or microbial cells, resulting in photodynamic cytotoxicity.
Pharmaceuticals 19 00100 g002
Figure 3. General chemical structures of chlorophyll-derived chlorins, including chlorin A and chlorin e6, are commonly used as scaffolds for the development of synthetic photosensitizers due to their strong absorption in the red spectral region and high singlet oxygen generation efficiency.
Figure 3. General chemical structures of chlorophyll-derived chlorins, including chlorin A and chlorin e6, are commonly used as scaffolds for the development of synthetic photosensitizers due to their strong absorption in the red spectral region and high singlet oxygen generation efficiency.
Pharmaceuticals 19 00100 g003
Figure 4. Schematic illustration of representative functional modifications of chlorin e6, including guanidine conjugation and side-chain derivatization, leading to enhanced photostability, increased reactive oxygen species generation, and improved photocytotoxicity of chlorin-based photosensitizers. (1) Chlorin e6. (2) Chlorin e6 modified via aliphatic diamine side-chain conjugation. (3) Guanidine-functionalized chlorin e6 derivative. (4) Boc-protected guanidine-functionalized chlorin e6 derivative.
Figure 4. Schematic illustration of representative functional modifications of chlorin e6, including guanidine conjugation and side-chain derivatization, leading to enhanced photostability, increased reactive oxygen species generation, and improved photocytotoxicity of chlorin-based photosensitizers. (1) Chlorin e6. (2) Chlorin e6 modified via aliphatic diamine side-chain conjugation. (3) Guanidine-functionalized chlorin e6 derivative. (4) Boc-protected guanidine-functionalized chlorin e6 derivative.
Pharmaceuticals 19 00100 g004
Table 1. Representative microalgal species, major pigment classes, and documented photophysical/photodynamic properties.
Table 1. Representative microalgal species, major pigment classes, and documented photophysical/photodynamic properties.
SpeciesPigment(s)Peak AbsorptionReported Photodynamic/Photophysical PropertiesRefs.
Chlorella vulgarisChlorophyll a/b, pheophorbide a430, 665 nmROS generation, phototoxicity in vitro[14,20]
Haematococcus pluvialisAstaxanthin480–510 nmLight-dependent redox modulation[27,28]
Dunaliella salinaβ-carotene450–500 nmPro-oxidant activity under irradiation[29,30]
Phaeodactylum tricornutumFucoxanthin450–560 nmROS involvement, anticancer potential[31,32]
Arthrospira platensis (Spirulina)C-phycocyanin615–640 nmPDT-induced apoptosis; ROS generation[25,33,34]
Table 2. Representative microalgal pigments, dominant subcellular localization, and associated photodynamic effects.
Table 2. Representative microalgal pigments, dominant subcellular localization, and associated photodynamic effects.
Microalgal Source/PigmentMajor Pigment ClassDominant Subcellular LocalizationMain Photodynamic OutcomeNotes/Relevance for PDTRefs.
Chlorella spp.Chlorophyll a/b, pheophorbide aMitochondria, lysosomesROS-mediated apoptosis; mitochondrial dysfunctionHigh singlet oxygen yield; reference model for algal PDT[14,20]
Arthrospira (Spirulina) platensisC-phycocyaninLysosomes, cytoplasmPDT-induced apoptosis; modulation of oxidative stressWater-soluble pigment; dual cytotoxic and immunomodulatory effects[25,33]
Haematococcus pluvialisAstaxanthinMitochondrial membranesRedox modulation; enhanced phototoxicity under irradiationActs as ROS modulator; improves PDT selectivity[23,27]
Dunaliella salinaβ-CaroteneCellular membranes, cytoplasmPro-oxidant activity under photoexcitation; ROS balanceEffective under blue–green light; anticancer and antimicrobial PDT[29,41]
Phaeodactylum tricornutumFucoxanthinMitochondriaROS-mediated apoptosis; lipid peroxidationEffective under blue–green light; anticancer and antimicrobial PDT[31,32]
Nannochloropsis spp.PUFAs
(EPA, DHA)
Cellular membranesPhotooxidation-driven lipid peroxidationEnhances membrane damage; relevant for antimicrobial PDT[26,42]
Porphyridium cruentumPhycoerythrin, sulfated polysaccharidesCytoplasm, extracellular matrixROS-mediated cytotoxicity; immunomodulationSupports wound healing and TME modulation[12,24]
Table 3. Synthetic derivatives of microalgae-derived photosensitizers, structural modifications, and biomedical outcomes.
Table 3. Synthetic derivatives of microalgae-derived photosensitizers, structural modifications, and biomedical outcomes.
Synthetic DerivativeNatural Precursor Structural ModificationKey AdvantagesReported OutcomesRefs.
Chlorin AChlorin E6 (from chlorophyll A, Chlorella, Spirulina)Pyridyl substitutionLonger λ absorption (664–667 nm), higher singlet oxygen yieldStrong in vivo antitumor activity (murine esophageal cancer), deep tissue penetration[67,68]
Guanidine-conjugated chlorins (compounds 3, 4)Chlorin E6 (Chlorella, Spirulina)Guanidinium groups at C13Improved cellular uptake, ROS under hypoxia, and enhanced stabilityOutperformed m-THPC in A549 models; mitochondrial/lysosomal localization; strong apoptosis induction[71]
ALA derivatives (ALA-methyl, ALA-hexyl)5-ALA (biosynthetic precursor present in microalgae)Alkyl substitution of ALAHigher bioavailability, improved uptake, broad antimicrobial spectrumRapid bacterial eradication in vitro, wound healing acceleration in vivo, and low systemic toxicity[72,75]
Chlorin E6 diaminoethylcarboxamidePheophorbide A Ethylenediamine substitution Higher tumor selectivity, enhanced mitochondrial localizationStrong apoptotic induction in cancer cells, precursor for further chlorin analogues[36,65]
Disclaimer/Publisher’s Note: The statements, opinions and data contained in all publications are solely those of the individual author(s) and contributor(s) and not of MDPI and/or the editor(s). MDPI and/or the editor(s) disclaim responsibility for any injury to people or property resulting from any ideas, methods, instructions or products referred to in the content.

Share and Cite

MDPI and ACS Style

Kuanyshbay, A.; Iskakova, Z.; Aibuldinov, Y.; Kolpek, A.; Tashenov, Y.; Tursynova, N.; Tekebayeva, Z.; Rakhymzhan, Z.; Temirbekova, A.; Kulzhanova, K.; et al. Microalgae as a Source of Photosensitizers: Analytical Strategies and Biomedical Use in Photodynamic Therapy. Pharmaceuticals 2026, 19, 100. https://doi.org/10.3390/ph19010100

AMA Style

Kuanyshbay A, Iskakova Z, Aibuldinov Y, Kolpek A, Tashenov Y, Tursynova N, Tekebayeva Z, Rakhymzhan Z, Temirbekova A, Kulzhanova K, et al. Microalgae as a Source of Photosensitizers: Analytical Strategies and Biomedical Use in Photodynamic Therapy. Pharmaceuticals. 2026; 19(1):100. https://doi.org/10.3390/ph19010100

Chicago/Turabian Style

Kuanyshbay, Akzhol, Zhanar Iskakova, Yelaman Aibuldinov, Ainagul Kolpek, Yerbolat Tashenov, Nurgul Tursynova, Zhanar Tekebayeva, Zhanar Rakhymzhan, Aliya Temirbekova, Kamshat Kulzhanova, and et al. 2026. "Microalgae as a Source of Photosensitizers: Analytical Strategies and Biomedical Use in Photodynamic Therapy" Pharmaceuticals 19, no. 1: 100. https://doi.org/10.3390/ph19010100

APA Style

Kuanyshbay, A., Iskakova, Z., Aibuldinov, Y., Kolpek, A., Tashenov, Y., Tursynova, N., Tekebayeva, Z., Rakhymzhan, Z., Temirbekova, A., Kulzhanova, K., Zhantokov, B., & Bazarkhankyzy, A. (2026). Microalgae as a Source of Photosensitizers: Analytical Strategies and Biomedical Use in Photodynamic Therapy. Pharmaceuticals, 19(1), 100. https://doi.org/10.3390/ph19010100

Note that from the first issue of 2016, this journal uses article numbers instead of page numbers. See further details here.

Article Metrics

Back to TopTop