Next Article in Journal
Anticonvulsant Potential of 1-Aryl-6,7-dimethoxy-1,2,3,4-tetrahydroisoquinolines: Insights from Strychnine and Nicotine Models in In Vivo and In Silico Studies
Next Article in Special Issue
A Review on Sulfonamide Complexes with Metals: Their Pharmacological Potential as Anticancer Drugs
Previous Article in Journal
Tribulus terrestris-Mediated ZnO/Ag-Halloysite Nanohybrids for Targeted Cisplatin and Carboplatin Delivery in Cervical Cancer Treatment
Previous Article in Special Issue
Structure–Activity Relationship Study of 3-Alkynyl-6-aryl-isothiazolo[4,3-b]pyridines as Dual Inhibitors of the Lipid Kinases PIKfyve and PIP4K2C
 
 
Font Type:
Arial Georgia Verdana
Font Size:
Aa Aa Aa
Line Spacing:
Column Width:
Background:
Review

Antimicrobial Activity of 1,3,4-Thiadiazole Derivatives

by
Sebastian Górecki
,
Agnieszka Kudelko
and
Monika Olesiejuk
*
Department of Chemical Organic Technology and Petrochemistry, The Silesian University of Technology, Krzywoustego 4, PL-44100 Gliwice, Poland
*
Author to whom correspondence should be addressed.
Pharmaceuticals 2025, 18(9), 1348; https://doi.org/10.3390/ph18091348
Submission received: 25 July 2025 / Revised: 26 August 2025 / Accepted: 5 September 2025 / Published: 8 September 2025
(This article belongs to the Special Issue Advances in the Synthesis and Application of Heterocyclic Compounds)

Abstract

The 1,3,4-thiadiazole core has attracted significant attention due to its unique electronic structure, physicochemical properties, and wide-ranging pharmacological potential. This heterocyclic scaffold exhibits a broad spectrum of biological activities, often attributed to its capacity to modulate enzyme function, interact with receptors, and disrupt key biochemical pathways in both pathogens and host cells. Additionally, 1,3,4-thiadiazoles typically display favorable pharmacokinetic properties, including high metabolic stability and appropriate lipophilicity, which enhance their drug-likeness and bioavailability. This review presents an overview of antibacterial and antifungal compounds bearing the 1,3,4-thiadiazole scaffold that have been reported over the past five years. This publication details the chemical structures of novel 1,3,4-thiadiazole derivatives and reports the results of antibacterial and antifungal activity assays conducted against a range of microbial strains. Furthermore, it provides conclusions regarding the structural features that influence the observed biological activity of the synthesized compounds. Antimicrobial activity assessments conducted against ten Gram-negative and nine Gram-positive bacterial strains revealed that 79 newly synthesized 1,3,4-thiadiazole derivatives exhibited either superior inhibitory efficacy relative to standard reference antibiotics or achieved a high level of bacterial growth suppression, defined as 90–100% inhibition. In antifungal assays, the compounds were evaluated against 25 fungal species representing 15 genera. Among the tested derivatives, 75 compounds demonstrated antifungal potency exceeding that of reference antifungal agents or produced growth inhibition within the 90–100% range. The information provided herein may serve as a valuable resource for medicinal and agricultural chemists engaged in the development of novel drug candidates and plant protection agents.

Graphical Abstract

1. Introduction

An important class of five-membered heterocyclic compounds is represented by thiadiazoles, which contain one sulfur atom and two nitrogen atoms in their structure [1,2,3]. This system gives rise to four possible isomers (Figure 1), among which the 1,3,4-thiadiazole isomer is the most widely studied and utilized due to its extensive applications in industry [4,5,6,7,8,9,10,11], medicine [12,13,14,15,16,17], and agriculture [18,19,20,21,22,23,24].
The chemistry of heterocyclic compounds employs various methods for the construction of the 1,3,4-thiadiazole ring [1,2,14]. The most widely used approach is undoubtedly cyclodehydration, typically preceded by a sulfurization step, of diacylhydrazine derivatives (Scheme 1a) or monothiodiacylhydrazines, which are most often formed as intermediates in the reaction of thiohydrazides with carboxylic acid derivatives (Scheme 1b). Another frequently applied method for the synthesis of 2,5-disubstituted 1,3,4-thiadiazoles involves the oxidative cyclization of thioacylhydrazones (Scheme 1c). Additional strategies include the sulfurization of hydrazides followed by cyclocondensation, most commonly with ortho-esters (Scheme 1d), cyclodehydrosulfurization of dithioacylhydrazine derivatives (Scheme 1e), or ring rearrangement reactions, most often involving 1,3,4-oxadiazoles (Scheme 1f). All sulfurization-based methods are typically carried out in the presence of P4S10 or Lawesson’s reagent.
The emergence of heterocyclic compounds as key pharmacophores in modern medicinal chemistry has fueled extensive research into novel scaffolds with potent and selective biological activities. The favorable pharmacokinetic properties of 1,3,4-thiadiazole derivatives are attributed to their unique chemical structure and mesoionic nature. These compounds exhibit enhanced lipophilicity and membrane permeability, facilitating effective interactions with biological targets [25,26]. The ring structure offers a balance between hydrophilicity and lipophilicity, which supports membrane permeability and bioavailability. Furthermore, studies on drug–1,3,4-thiadiazole conjugates have assessed their compliance with Lipinski’s Rule of Five, a set of guidelines predicting good oral bioavailability. These compounds demonstrated appropriate molecular weight, hydrogen bond donor and acceptor counts, and lipophilicity (log P values), all of which suggest favorable pharmacokinetic properties [26]. In addition, the electron-rich nature of thiadiazoles and their ability to form hydrogen bonds or coordinate with metal ions allow them to function as enzyme inhibitors or receptor ligands [27,28,29]. These attributes make 1,3,4-thiadiazole derivatives promising candidates for drug development, offering an optimal balance between efficacy and safety (Figure 2).
When evaluating antimicrobial activity, several standard methods and parameters are commonly used across microbiology, pharmacology, and materials science. These tests help determine the effectiveness of a compound, extract, or material against specific bacterial or fungal strains. Testing antifungal activity shares many similarities with antibacterial testing; however, fungi—especially yeasts and filamentous species—exhibit different growth characteristics, and methods are therefore adapted accordingly. The most commonly used parameters for assessing antimicrobial efficacy include the following:
  • MIC (minimum inhibitory concentration): The lowest concentration that prevents visible bacterial or fungal growth.
  • MBC (minimum bactericidal concentration): The lowest concentration that kills 99.9% of bacterial cells.
  • MFC (minimum fungicidal concentration): The lowest concentration that kills 99.9% of fungal cells (confirmed by subculturing).
  • Zone of inhibition: The diameter (in mm) of the clear, growth-free area around a disk or well.
  • Inhibition rate: Typically used in colorimetric assays; represents the reduction in microbial growth relative to an untreated control (%).
Over the years, there has been a notable surge in the synthesis and pharmacological evaluation of 1,3,4-thiadiazole derivatives (Figure 3). This growing interest is driven by their demonstrated activity across a wide range of biological domains, including antibacterial, antifungal, antiviral, anticancer, anti-inflammatory, and central nervous system (CNS) disorders [30,31,32,33,34,35]. Recent studies have also highlighted their potential as enzyme inhibitors, receptor modulators, and multi-target agents, often exhibiting favorable pharmacokinetic and safety profiles [36,37,38,39,40,41,42].
The objective of this review is to provide a systematic analysis of studies published between 2020 and 2025, highlighting the most notable advancements in the biological evaluation of 1,3,4-thiadiazole-based compounds. Particular attention is given to compounds exhibiting antibacterial and antifungal properties for antimicrobial applications. By highlighting the most recent advances, this article seeks to provide medicinal chemists and pharmaceutical scientists with an up-to-date and focused perspective on the potential of the 1,3,4-thiadiazole scaffold in drug discovery and plant protection products.

2. 1,3,4-Thiadiazole Derivatives with Biological Activity

2.1. Antibacterial Activity

2.1.1. Disubstituted 1,3,4-Thiadiazole Derivatives

Among the published articles, the most frequently studied derivatives are 1,3,4-thiadiazole derivatives substituted at positions 2 and 5 of the heterocyclic ring.
Ammara et al. synthesized oxazolidinone derivatives, two of which contained a 1,3,4-thiadiazole ring (1, 2, Figure 4) [43]. The obtained compounds incorporated an oxazolidinone core in the (S)-configuration at the C-5 position, which, according to the authors, is essential for antibacterial activity, as well as a fluorine atom substituted at the phenylene linker, a modification that typically enhances potency by 2–8 fold. Compound 1 exhibited low activity against Enterococcus faecalis (31971), Enterococcus faecalis (31972), and Enterococcus faecium, with MIC values of 64 μg/mL, 32 μg/mL, and 32 μg/mL, respectively. In contrast, compound 2 showed moderate activity against Enterococcus faecalis (31971), Enterococcus faecalis (31972), and Enterococcus faecium, with MIC values of 2 μg/mL, 2 μg/mL, and 1 μg/mL, respectively. It showed no activity against the oxazolidinone-resistant strain Enterococcus faecalis (31903), with MIC > 64 μg/mL.
Xiong et al. synthesized a series of dihydropyrrolidone derivatives containing the 1,3,4-thiadiazole moiety (3at, Figure 5) and evaluated their activity against Staphylococcus epidermidis, Staphylococcus aureus, Enterococcus faecalis, and Enterococcus faecium [44]. The compounds and their corresponding MIC values are presented in Table 1. Derivatives 3c, 3i, and 3j, characterized by the presence of a hydroxyl group at the ortho position of the benzene ring and a chlorine atom at the R3 site, as well as 3n, containing two hydroxyl groups at the R2 site, exhibited the highest activity against Gram-positive bacteria. Moreover, all compounds demonstrated low cytotoxicity and hemolytic activity.
Gumus et al. synthesized a series of 1,3,4-thiadiazole derivatives from thiosemicarbazide-substituted coumarins, yielding compounds 4ai and 5ai (Figure 6) [45]. Selected compounds were screened for antibacterial activity against Helicobacter pylori. The tested compounds did not exhibit antibacterial activity (MIC > 128 μg/mL).
Mao et al. obtained phenylthiazole derivatives containing a 1,3,4-thiadiazole thione moiety (6ap, Figure 7) [46]. The synthesized compounds were tested for antibacterial activity against Ralstonia solanacearum and Xanthomonas oryzae pv. oryzae. The activity was evaluated at concentrations of 100 μg/mL and 200 μg/mL, with the data presented in Table 2. The highest activity against Ralstonia solanacearum was observed for compounds 6b (R = 2-F), 6h (R = 3-F), 6i (R = 3-CH3), and 6k (R = 3-OCF3), which showed inhibition rates of 92.00%, 93.81%, 94.00%, and 100%, respectively, at a concentration of 100 μg/mL. Moreover, compound 6k exhibited a high inhibition rate of 72.63% against Xanthomonas oryzae pv. oryzae at the same concentration. The authors concluded that the antibacterial activity of the investigated phenylthiazole derivatives is strongly enhanced by electron-withdrawing substituents at the meta-position of the benzene ring, whereas for the ortho- and para-analogues the inhibition rate is much lower.
Hafidh et al. synthesized hybrid silica gels incorporating 1,3,4-thiadiazole rings in their structure (7a, 7b, Figure 8) [47]. The compounds were evaluated for antibacterial activity against Escherichia coli, Salmonella typhimurium, Staphylococcus aureus, and Enterococcus faecium. The results of the biological screening are presented in Table 3.
Mehta’s group synthesized a series of 1,3,4-thiadiazole derivatives containing a benzo[d]imidazole scaffold (8ao, Figure 9) [48]. The resulting compounds were evaluated for antibacterial activity against Escherichia coli, Pseudomonas aeruginosa, Staphylococcus aureus, and Streptococcus pyogenes, with the results presented in Table 4. The highest MIC values were observed for compounds 8j (R = 4-OH) and unsubstituted 8a (R = H) against Pseudomonas aeruginosa, both with values of 12.5 μg/mL. In contrast, compound 8e (R = 4-Cl) exhibited the lowest MIC value, also 12.5 μg/mL, against Staphylococcus aureus. The studies demonstrated that electron-donating substituents, such as hydroxyl and methoxy groups at the ortho and para positions of the benzylidene fragment, enhanced the biological activity against Escherichia coli, Pseudomonas aeruginosa, and Staphylococcus aureus. Electron-withdrawing groups, such as bromo, chloro, and fluoro at the para and ortho positions, also showed significant activity against the same bacterial strains.
The group of Danilova evaluated a series of bisamino-1,3,4-thiadiazoles linked via alkyl and alkenyl spacers (9ad, 10, Figure 10) against Staphylococcus aureus, Citrobacter amalonaticus, and Escherichia coli [49]. Among the tested compounds, 9a (n = 1) exhibited activity against Staphylococcus aureus at a concentration of 3.36 × 10−4 M, with a zone of inhibition measuring 1.6 mm. In the case of Citrobacter amalonaticus, only compound 10 was active at a concentration of 3.01 × 10−4 M, also with a zone of inhibition of 1.6 mm. None of the tested compounds showed activity against Escherichia coli.
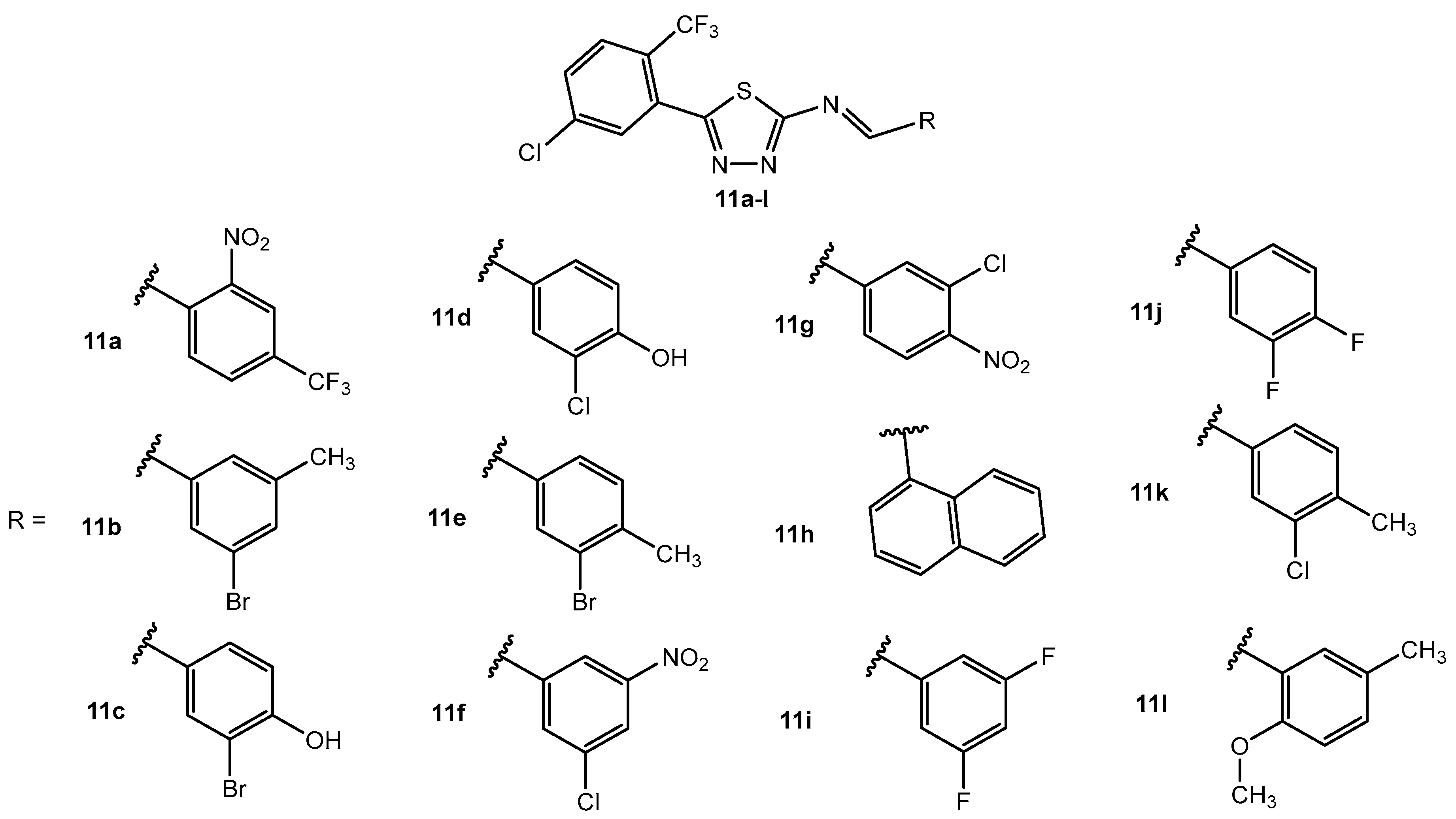
Zahoor et al. obtained Schiff base derivatives containing a 1,3,4-thiadiazole moiety (11al, Figure 11) [50]. The compounds were tested for antibacterial activity against Escherichia coli. The results are presented in Table 5. Four of the investigated compounds—11a, 11c, 11d, and 11i—exhibited bacterial inhibition rates of 42.3%, 40.1%, 38.2%, and 36.5%, respectively, in comparison to Streptomycin (44%). The authors concluded that the presence of electron-withdrawing substituents (CF3, NO2, Cl, F) within the benzylidene fragment at favorable positions—mainly para and, less frequently, ortho—ensures strong inhibition. In contrast, weaker inhibition was observed for derivatives bearing bulky groups (CH3, Br, naphthyl), particularly at the meta-positions, due to steric hindrance.
Li et al. obtained a series of 2,5-disubstituted 1,3,4-thiadiazole compounds (12ar, Figure 12) [51]. The compounds were tested for antibacterial activity against Xanthomonas oryzae pv. oryzae. The results of the screening, performed at a concentration of 100 μg/mL, are presented in Table 6. Bioassay results demonstrated that all tested compounds exhibited superior antibacterial activity against Xanthomonas oryzae pv. oryzae, with inhibition rates ranging from 52% to 79%, compared to the Thiodiazole copper standard (16%) (J, Figure 2). Enhanced in vitro antibacterial activity against Xanthomonas oryzae pv. oryzae was observed for compound 12p, which carries a trifluoromethyl group in the pyrimidine ring and a 3-chlorobenzyl unit.
Panwar and his coworkers obtained derivatives of [2-phenyl-1-(p-tolyl)pyrido[3,2-f]quinazolin-4(1H)-yl]-1,3,4-thiadiazolyl]-4-piperazine (13ai, Figure 13) [52]. The compounds were tested for antibacterial activity against Staphylococcus aureus, Escherichia coli, and Proteus vulgaris at a concentration of 250 μg/mL. The results of the analysis are presented in Table 7. It was observed that chloro-substituted thiadiazoles 13bd exhibited stronger antimicrobial activity compared to other derivatives bearing nitro, methoxy, hydroxy, or methyl groups. Among the isomeric chloro-derivatives, the 2-chlorophenyl substitution was particularly favorable for antimicrobial potency. In summary, the synthesized compounds exhibited moderate antibacterial potential, although lower than that of the standard, Ampicillin trihydrate.
Blaja et al. obtained tetranorlabdane compounds bearing 1,3,4-thiadiazole units (14ac, Figure 14) [53]. The compounds were tested against two bacterial strains: the Gram-positive Bacillus polymyxa and the Gram-negative Pseudomonas aeruginosa (Table 8). The results indicate that compound 14a, containing free amino group adjacent to 1,3,4-thiadiazole ring, possesses significant antibacterial activity, with an MIC value of 2.5 μg/mL.
Ibrahim et al. synthesized a modified chitosan–thiadiazole conjugate (15, Figure 15) [54]. The antibacterial properties of this derivative were investigated against various pathogens, including Escherichia coli, Pseudomonas aeruginosa, Bacillus subtilis, and Staphylococcus aureus. Zones of inhibition for the individual bacterial strains, measured at a concentration of 50 μg/mL, are presented in Table 9. The synthesized compound exhibited moderate antibacterial potential.
Dinh Thanh et al. obtained a series of thioureas containing a 1,3,4-thiadiazole moiety (16ai, Figure 16) [55]. The compounds were tested against Gram-positive bacteria (Bacillus subtilis, Clostridium difficile, Staphylococcus aureus, Staphylococcus epidermidis, Streptococcus pneumoniae) and Gram-negative bacteria (Escherichia coli, Klebsiella pneumoniae, Pseudomonas aeruginosa, Salmonella typhimurium). The results of the analysis are presented in Table 10. Almost all of the thioureas exhibited remarkable antibacterial activity. Among the studied compounds, 16a, unsubstituted at the 5 position of the 1,3,4-thiadiazole ring, 16h, bearing a pentyl substituent at the R site, and 16i, with an isopentyl substituent, were the most effective inhibitors against Staphylococcus aureus, with MIC values ranging from 0.78 to 3.125 μg/mL, in comparison to the standards Ciprofloxacin and Vancomycin. Structure–activity relationship analysis led to the general conclusion that the presence of short alkyl chains, such as methyl or ethyl (16b, 16c), is beneficial and results in good or moderate activity against many bacterial strains. It was also observed that chain elongation at the 5 position of the 1,3,4-thiadiazole ring increased activity, except for the n-butyl group (16f), which was completely inactive. In particular, compounds bearing five-carbon atom substituents (16h, 16i) exhibited very strong activity against several Gram-positive strains (Staphylococcus aureus, Staphylococcus epidermidis, Clostridium difficile) and Gram-negative strains (Klebsiella pneumoniae, Pseudomonas aeruginosa). Chain branching did not strongly affect overall activity but influenced the susceptibility of specific strains.
Zhao et al. obtained a series of pyrrolamide derivatives, one of which contained a 1,3,4-thiadiazole ring (17, Figure 17) [56]. The compound was tested for its inhibitory effect against Staphylococcus aureus (Gyrase IC50 = 0.137 μmol/L) and Escherichia coli (Gyrase IC50 = 6.87 μmol/L). For the investigated thiadiazole 17, the MIC values were 0.125 μg/mL and 16 μg/mL, respectively.
Hangan et al. obtained copper complexes of 1,3,4-thiadiazole derivatives bearing dimethylformamide (DMF) or 1,10-phenanthroline (phen) ligands (18, 19, Figure 18), with the formulas [Cu4(18)4(OH)4(DMF)2(H2O)] and [Cu(19)2(phen)(H2O)] [57]. The biological activity of the heterocyclic ligands was evaluated against four Gram-positive bacteria (Methicillin-susceptible Staphylococcus aureus (MSSA), Methicillin-resistant Staphylococcus aureus (MRSA), Staphylococcus lentus, and Enterococcus faecium) and two Gram-negative bacteria (Escherichia coli and Pseudomonas aeruginosa) (Table 11). Compound 18 exhibited antibacterial activity against Staphylococcus aureus (MRSA), Staphylococcus aureus (MSSA), and Escherichia coli; however, it showed no activity against Enterococcus faecium, Pseudomonas aeruginosa, or Staphylococcus lentus. Coordination of compound 18 with Cu2+ ions led to a reduction in MIC to 2 µM/L. Compound 19 showed activity against all tested bacterial strains, and its transformation into a copper complex resulted in a significant reduction in MIC values.
Kumar et al. obtained a series of (4-substituted-phenyl-1,3,4-thiadiazol-2-yl)-4-(4-substituted-phenyl)azetidin-2-one derivatives (20ag, Figure 19) [58]. The newly synthesized compounds were screened for antibacterial activity against Pseudomonas aeruginosa, Staphylococcus aureus, Klebsiella pneumoniae, Enterococcus faecalis, and Escherichia coli (Table 12). Results of the minimum bactericidal concentration (MBC) test indicated that the compounds exhibited moderate antibacterial potential. The authors demonstrated that the type and position of substituents on the phenyl rings of 4-substituted phenyl-1,3,4-thiadiazol-2-yl)-4-(4-substituted-phenyl)azetidin-2-one derivatives significantly influenced their antimicrobial activities. Electron-withdrawing groups (EWGs), such as chloro or nitro at the para position, enhanced antimicrobial activity. The best results were obtained for derivative 20g, containing bromine at the R1 site and chlorine at the para position of the benzene ring (R2), which demonstrated notable activity against both Gram-positive and Gram-negative bacteria.
Liu’s group obtained a series of gallic acid amide derivatives containing a 1,3,4-thiadiazole core (21ai, Figure 20) [59]. The compounds were tested for biological activity against Vibrio harveyi (Table 13). Among the described compounds, derivative 21b, containing a 4-fluorophenyl group adjacent to the 1,3,4-thiadiazole ring, exhibited the most promising activity, with an MIC value of 0.0313 mg/mL.
Gurunani et al. obtained Sparfloxacin derivatives containing a 1,3,4-thiadiazole ring (22aj, Figure 21) [60]. The compounds were tested for activity against Gram-negative and Gram-positive bacteria (Pseudomonas aeruginosa, Escherichia coli, Staphylococcus aureus, and Bacillus subtilis), as well as Mycobacterium tuberculosis (Table 14). Almost all compounds synthesized by the authors exhibited moderate to good antibacterial activity. The highest MIC values against Gram-negative bacteria were observed for derivatives 22b, 22e, and 22j, bearing chlorine, nitro, and phenyl groups, respectively.
Wujec and coworkers obtained a series of 1,3,4-thiadiazole derivatives (23as, Figure 22) [61]. Almost all of the synthesized compounds exhibited no or only negligible antibacterial activity against Gram-positive and Gram-negative bacteria, except for compound 23p, which contains a 4-bromophenyl substituent. This compound showed activity against Staphylococcus epidermidis with an MIC value of 31.25 µg/mL and Micrococcus luteus with an MIC value of 15.63 µg/mL.
Alqahtani et al. obtained a series of compounds bearing a benzothiazolotriazole scaffold connected to a 1,3,4-thiadiazole ring (24ac, Figure 23) [62]. The synthesized compounds were evaluated for their antibacterial activity against a panel of bacteria, including Staphylococcus aureus, Escherichia coli, Klebsiella pneumoniae, Pseudomonas aeruginosa, Proteus mirabilis, and Acinetobacter baumannii. Among the obtained compounds, only derivative 24b (R = Br) showed moderate activity against Staphylococcus aureus, with an MIC value of 128 µg/mL.
Pham’s group synthesized a series of 5-substituted-2-amino-1,3,4-thiadiazole derivatives (25al, Figure 24) [63]. The compounds were tested against Escherichia coli, Pseudomonas aeruginosa, Streptococcus faecalis, Methicillin-resistant strains of Staphylococcus aureus, and Methicillin-susceptible strains of Staphylococcus aureus. The compounds exhibited weak activity against the tested strains, with MIC values ranging from 126 to 1024 µg/mL.
Baddi et al. obtained a derivative of 1,3,4-thiadiazole (26, Figure 25), occurring in the form of two L/D isomers [64]. Both isomers were tested against Gram-positive (Bacillus subtilis and Staphylococcus aureus) and Gram-negative (Pseudomonas aeruginosa and Escherichia coli) bacteria. The hydrogel derived from the D-26 isomer exhibited greater antibacterial activity than the L-26 hydrogel, with zones of inhibition measuring 35 mm, 27.5 mm, and 24 mm for Bacillus subtilis, Staphylococcus aureus, and Pseudomonas aeruginosa, respectively.
Muğlu et al. synthesized a range of 1,3,4-thiadiazole derivatives substituted with a thiophene ring (27ag, Figure 26) [65]. The obtained compounds were tested against Gram-negative bacteria (Escherichia coli) and Gram-positive bacteria (Staphylococcus aureus, Bacillus cereus, Bacillus subtilis (6051), Bacillus subtilis (6633)). Among the tested compounds, only derivatives 27a (R = CH3) and 27f (R = 3-FC6H4) exhibited antibacterial activity, compound 27a against both Gram-positive and Gram-negative bacteria and compound 27f against Gram-positive bacteria only. Zones of inhibition at a concentration of 256 μg/mL for compound 27a against Bacillus subtilis (6633), Bacillus subtilis (6051), Staphylococcus aureus, Bacillus cereus, and Escherichia coli were 14 mm, 13 mm, 14 mm, 15 mm, and 22 mm, respectively. For compound 27f, the inhibition zones were 16 mm, 14 mm, 15 mm, and 15 mm, respectively.
Sunitha et al. obtained a series of azo-imine thiadiazoles (28ae, Figure 27) [66]. The compounds were tested against Gram-positive bacteria (Bacillus subtilis and Staphylococcus aureus) and Gram-negative bacteria (Escherichia coli and Klebsiella pneumoniae), with Streptomycin as the standard drug (Table 15). Among the synthesized dyes, compound 28b bearing a hydroxyl group at the para position of the benzene ring, 28d with chlorine at the same position, and 28e containing a nitro group showed good activity against Escherichia coli, with zones of inhibition of 13 mm, 12 mm, and 14 mm, respectively. In addition, compound 28b was also active against Bacillus subtilis.
Yu et al. obtained a series of thiochroman-4-one derivatives incorporating carboxamide and 1,3,4-thiadiazole thioether moieties (29ao, Figure 28) [67]. The compounds were tested against Xanthomonas oryzae pv. oryzae and Xanthomonas axonopodis pv. citri using Bismerthiazol and Thiodiazole copper (J, Figure 2) as standard drugs (Table 16). Compounds 29ag exhibited 74–100% and 60–94% in vitro antibacterial activity against Xanthomonas oryzae pv. oryzae at concentrations of 200 and 100 μg/mL, respectively. Meanwhile, compounds 29ah demonstrated 60–90% and 48–78% in vitro antibacterial activity against Xanthomonas axonopodis pv. citri at the same concentrations, both exceeding the activity of the Bismerthiazol and Thiodiazole copper standards.
Shu et al. obtained a series of galactoside derivatives containing a 1,3,4-thiadiazole moiety (30at, Figure 29) [68]. The compounds were tested against Xanthomonas oryzae pv. oryzae and Xanthomonas axonopodis pv. citri at concentrations of 200 and 100 μg/mL. The inhibition rates ranged from 31.5% to 64.2% and 40.8% to 57.7% against Xanthomonas oryzae pv. Oryzae and from 18.3% to 36.2% and 19.8% to 36.1% against Xanthomonas axonopodis pv. citri, respectively. These values were lower than those observed for the Thiodiazole copper standard (J, Figure 2) (70.1%, 43.6%, 80.2%, and 46.1%).
Prasad et al. obtained a series of quinoline-bridged thiophenes connected to a 1,3,4-thiadiazole ring (31ae, Figure 30) [69]. The compounds were tested against Escherichia coli and Staphylococcus aureus. The study found that all synthesized compounds (31ae) exhibited notable antibacterial activity against both Escherichia coli and Staphylococcus aureus, although their activity was weaker than that of the Chloramphenicol standard.
Acar Çevik et al. obtained a series of benzimidazole derivatives containing a 1,3,4-thiadiazole scaffold (32ak, Figure 31) [70]. The antibacterial activity of all compounds was evaluated by determining their minimum inhibitory concentration (MIC) against Escherichia coli, Klebsiella pneumoniae, Pseudomonas aeruginosa, Enterococcus faecalis, Bacillus subtilis, and Staphylococcus aureus (Table 17). Compounds 32f and 32i exhibited the greatest antibacterial activity against Escherichia coli, with MIC values below 0.97 µg/mL. In their search for structure–activity relationships, the authors found that antibacterial activity increased in compounds bearing alkylamine substituents at the 5 position of the thiadiazole ring, with longer chain or cyclic substituents (n-butyl, cyclohexyl) conferring higher potency. Among other derivatives exhibiting activity against the Escherichia coli strain, compound 32h, containing an isopropyl group (MIC = 1.95 µg/mL), as well as compounds 32j and 32k, bearing a p-methoxyphenyl substituent and an isobutyl substituent, respectively, should be highlighted (MIC = 3.90 µg/mL). For the Enterococcus faecalis strain, compounds 32d, 32i, and 32k, containing phenyl, n-butyl, and isobutyl groups, respectively, were the most active (MIC = 3.90 µg/mL).
Rdaiaan’s group obtained a series of 5-phenyl-1,3,4-thiadiazole derivatives containing a benzimidazole scaffold (33ag, Figure 32) [71]. The derivatives were tested for antibacterial activity against Gram-positive (Staphylococcus aureus, Staphylococcus epidermidis) and Gram-negative (Pseudomonas aeruginosa, Escherichia coli) bacteria. Activity data at a concentration of 25 mg/mL are presented in Table 18. The synthesized compounds exhibited moderate to good antibacterial activity against these bacterial strains.
The same group of authors also obtained another series of benzimidazole derivatives containing a 1,3,4-thiadiazole ring (34ae, Figure 33) [72]. The compounds were tested for antibacterial activity against Gram-positive (Staphylococcus aureus, Staphylococcus epidermidis) and Gram-negative (Pseudomonas aeruginosa, Escherichia coli) bacteria. Biological activity data, represented by zones of inhibition measured at a concentration of 100 mg/mL, are presented in Table 19.
Garg and coworkers obtained derivatives of 1,3,4-thiadiazole attached to 2,3-disubstituted thiazolidinones (35aj, Figure 34) [73]. The compounds were tested for antibacterial activity against Gram-positive (Staphylococcus aureus, Streptococcus pyogenes) and Gram-negative (Pseudomonas aeruginosa, Escherichia coli) bacteria. The results of the zone of inhibition assay at a concentration of 250 μg/mL are presented in Table 20. Biological screening showed that all tested compounds were active against all strains. Some of the compounds—35a (R = H), 35b (R = N(CH3)2), 35f (R = OH), and 35i (R = NH2)—exhibited activity comparable to the standard drug Ampicillin. The authors concluded that modifying the substitution at the distal phenyl ring attached to the thiazolidinone at the 2 position enhances antimicrobial activity. This effect is likely attributable to increased lipophilicity, which facilitates permeation through microbial lipid membranes. Overall, structural features, such as thiazolidinone–thiadiazole conjugation, appropriate aromatic substitution, and lipophilic character, contribute to superior antimicrobial potency compared with reference drugs.
Weaam prepared three metal complexes containing a 2,5-dihydrazinyl-1,3,4-thiadiazole ligand coordinated to chromium, cobalt, and copper atoms (36, Figure 35) [74]. The compounds were tested for antibacterial activity against Escherichia coli and Staphylococcus aureus. The results obtained from the analysis are presented in Table 21. The synthesized complexes exhibited biological activity comparable to that of Ciprofloxacin, which was used as the standard.
Gidwani’s group obtained three derivatives of 2-amino-1,3,4-thiadiazole (3739, Figure 36) [75]. The compounds were tested for antibacterial activity against Gram-positive (Bacillus subtilis) and Gram-negative (Escherichia coli) bacteria. Compounds 37 and 38 exhibited MIC values of 1000 μg/mL against Bacillus subtilis, whereas among the tested compounds only 38 showed activity against Escherichia coli, also with an MIC of 1000 μg/mL. None of the synthesized compounds demonstrated superior activity compared to the standard drug Ciprofloxacin (MIC = 25 μg/mL) against the tested microbial strains.
Nawar et al. synthesized 1,3,4-thiadiazole derivatives containing the Amoxicillin scaffold (40ag, Figure 37) [76]. The compounds were tested for antibacterial activity against Gram-negative (Proteus mirabilis and Escherichia coli) and Gram-positive (Mycobacterium tuberculosis) bacteria (Table 22) and exhibited considerable zones of inhibition. The best result was observed for derivative 40a, containing a hydroxyl group at the R site, which demonstrated greater activity than Amoxicillin.
Weaam also obtained metal complexes containing the 1,3,4-thiadiazole ligand (41, Figure 38) coordinated with iron, nickel, and copper atoms [77]. The complexes were tested for antibacterial activity against Escherichia coli and Staphylococcus aureus. The study data are presented in Table 23. The best activity against Escherichia coli was observed for the copper complex, while the iron and nickel complexes were most effective against Staphylococcus aureus. All of the obtained complexes exhibited greater antibacterial activity compared to the free 1,3,4-thiadiazole ligand.
Kaur et al. obtained a range of sulfonamides containing a 1,3,4-thiadiazole moiety (42aac, Figure 39) [78]. These compounds were screened for antibacterial activity against Enterococcus faecium. The MIC values for each of the tested derivatives are presented in Table 24. The authors noted a correlation between lipophilicity and activity; the greater the lipophilicity, the stronger the activity against Enterococcus faecium. Biological screening revealed that many of the synthesized compounds exhibited high antibacterial activity compared to the standard drug Acetazolamide. The most potent derivatives against Enterococcus faecium were 42t, containing a 3-cyclohexylpropanoyl group at the R site, 42f, bearing a 3-methylbutanoyl group at the same position, and 42g, with a heptanoyl group, with MIC values of 0.007, 0.015 and 0.015 μg/mL, respectively. In the search for correlations between the structure of the synthesized sulfonamides and their biological activity, the authors found that in addition to lipophilic groups (alkyl and cycloalkyl), chain extension by a methylene linker can also dramatically increase potency. In contrast, the presence of heteroatoms in pendant groups was found to reduce activity.
Kracz et al. obtained derivatives of 1,3,4-thiadiazoles and their zinc complexes (4347, Figure 40) [79]. The antibacterial properties against Gram-positive (Staphylococcus aureus) and Gram-negative (Escherichia coli, Pseudomonas aeruginosa) bacteria were evaluated by determining the MIC values (Table 25). The tested compounds exhibited low antibacterial efficacy. The study revealed that acylation of the amino and hydroxyl groups leads to a decrease in antibacterial activity.
Abdel-Motaal et al. obtained a benzimidazole-2-yl derivative of 1,3,4-thiadiazole containing a furan-2-yl substituent (48, Figure 41) [80]. The compound was tested for antibacterial activity against Gram-positive bacteria (Staphylococcus aureus), Gram-negative bacteria (Escherichia coli), and bacterial spores (Bacillus pumilus). The study demonstrated high activity of derivative 48 against the tested microorganisms, with zones of inhibition of 18.96 mm for Staphylococcus aureus, 18.20 mm for Bacillus pumilus, and 17.33 mm for Escherichia coli.
Scheme 1 thiadiazole moiety (49ai, 50ai, 51ah, 52ah, Figure 42) [81]. The compounds were tested against two bacterial strains: Xanthomonas oryzae pv. oryzae and Xanthomonas oryzae pv. oryzicola. The EC50 values for the tested compounds are presented in Table 26. The strongest inhibitory activity against Xanthomonas oryzae pv. oryzae was exhibited by compounds 50c, 50e, 50h, 50i, 52a, 52b, and 52c, with EC50 values of 38.74, 33.73, 33.25, 31.78, 16.03, 28.47, and 3.14 μg/mL, respectively. Against Xanthomonas oryzae pv. oryzicola, the most active compounds were 50h, 50i, 52a, 52b, and 52c, with EC50 values of 35.49, 26.54, 27.69, 36.47, and 8.83 μg/mL, respectively. Among all tested compounds, 52c, bearing an allyl group at the R1 site and a 2-chloroethyl group at the R2 site, exhibited the strongest inhibitory activity against both strains. The results indicated that in the case of thiol derivatives (49ai, 50ai), modifications to the vanillin substituents (R1) had little impact on antibacterial activity. However, substituting hydrogen at the R2 position with an alkyl group significantly reduced activity, indicating that thiol derivatives (50e, 50h, 50i) are generally more potent than their corresponding thioether analogues (51ah). Replacement of sulfur with a sulfone group enhanced activity for compounds bearing the same vanillin and R1 and R2 groups, suggesting that sulfone derivatives (52ah) may interact covalently or through hydrogen bonding with protein targets, thereby leading to stronger antibacterial effects.
Ali et al. obtained 1,3,4-thiadiazole derivatives of Resveratrol (53ad, Figure 43) [82]. The compounds were tested for antibacterial activity against Gram-positive (Staphylococcus aureus, Streptococcus pyogenes) and Gram-negative (Escherichia coli, Klebsiella pneumoniae) bacteria. The zones of inhibition for the compounds, measured at a concentration of 500 μg/mL, are presented in Table 27. The best results were obtained for compound 53c, bearing propyl substituents, and 53d, substituted with phenyl groups, which exhibited strong activity against Staphylococcus aureus. The unsubstituted derivative 53a showed notable activity against Escherichia coli.
Mahmoud et al. synthesized a series of benzimidazole derivatives containing a 1,3,4-thiadiazole ring (54a, 54b, 55a, 55b, Figure 44) [83]. The synthesized compounds were tested for antibacterial activity against Staphylococcus aureus, Bacillus subtilis, Pseudomonas aeruginosa, and Escherichia coli. Compounds 54a and 54b exhibited very good activity against all tested bacteria, with zones of inhibition ranging from 18 to 23 mm at a concentration of 100 mg/mL. Compound 55a (R = OH) demonstrated excellent activity against Escherichia coli (25 mm) and good activity against Staphylococcus aureus (14 mm) and Bacillus subtilis (19 mm), also at a concentration of 100 mg/mL.
Lungu et al. obtained a series of homodrimane sesquiterpene–thiadiazole hybrid compounds (56ae, Figure 45) [84]. The synthesized derivatives were tested for antibacterial activity against Gram-positive Bacillus subtilis and Gram-negative Pseudomonas aeruginosa bacterial strains. The determined minimum inhibitory concentration (MIC) values revealed that compound 56a, bearing a mercapto substituent at the 2 position of the 1,3,4-thiadiazole ring, and compound 56c, containing an allylamino substituent, exhibited promising non-selective antibacterial activity, with MIC values of 0.094 and 0.5 µg/mL, respectively.
Pardeshi’s group synthesized a series of benzamide–thiadiazole-based derivatives substituted at the benzamide fragment with various aryl groups (57al, Figure 46) [85]. The compounds were tested for antibacterial activity against Staphylococcus aureus, Bacillus subtilis, Escherichia coli, and Pseudomonas aeruginosa (Table 28). The synthesized derivatives exhibited good antibacterial properties, and the standard drug Streptomycin was used for comparative purposes.
Brahimi and coworkers obtained 1,3,4-thiadiazole derivatives of castor oil extract (58a, 58b, Figure 47) [86]. The synthesized compounds were tested for their in vitro antimicrobial activity against Gram-positive bacteria (Staphylococcus aureus, Enterococcus faecalis, Bacillus cereus) and Gram-negative bacteria (Pseudomonas aeruginosa, Escherichia coli, Klebsiella planticola, Salmonella, Proteus vulgaris) using nutrient agar medium (Table 29). The compounds exhibited moderate antimicrobial properties, with the best result observed for derivative 58a, containing a mercapto group adjacent to the 1,3,4-thiadiazole ring, which showed good activity against Enterococcus faecalis (12 mm) and outperformed the standard drug Ampicillin.

2.1.2. Bicyclic 1,3,4-Thiadiazole Derivatives

Another notable group of derivatives exhibiting antibacterial activity comprises fused systems in which the 1,3,4-thiadiazole ring is incorporated into a bicyclic structure. Typical examples include fusion with aromatic or heteroaromatic rings, such as benzene, pyrazole, pyridine, or pyrrole.
Parrino’s group obtained a series of 1,3,4-thiadiazolo[3,2-a]pyrimidin-5-one derivatives (59av, Figure 48) [87]. The compounds were tested for biological activity against Gram-positive pathogens Staphylococcus aureus and Enterococcus faecalis and Gram-negative pathogens Pseudomonas aeruginosa and Escherichia coli. The best results against Staphylococcus aureus were observed for derivatives 59e (R = F, R1 = H, R2 = C6H5, MIC = 50 μg/mL), 59f (R = H, R1 = CH3, R2 = C6H5, MIC = 100 μg/mL), 59k (R = H, R1 = H, R2 = CH3, MIC = 50 μg/mL), and 59l (R = H, R1 = CH3, R2 = CH3, MIC = 50 μg/mL). Regarding activity against Enterococcus faecalis, the most promising compounds were 59j (R = F, R1 = CH3, R2 = C6H5, MIC = 50 μg/mL) and 59k (R = H, R1 = H, R2 = CH3, MIC = 25 μg/mL).
Mahdavi’s group synthesized [1,2,4]triazolo[3,4-b][1,3,4]thiadiazole derivatives (60an, Figure 49) [88]. All compounds were tested against Proteus mirabilis and showed weak activity (MIC = 256 μg/mL) compared to the standard drug Ciprofloxacin (MIC = 0.25 μg/mL).
Wu et al. synthesized a series of quinazolin-4(3H)-one derivatives containing the 1,2,4-triazolo[3,4-b][1,3,4]thiadiazole moiety (61aai, Figure 50) [89]. The compounds were tested for biological activity against four bacterial strains: Xanthomonas axonopodis pv. citri, Xanthomonas oryzae pv. oryzicola, Xanthomonas oryzae pv. oryzae, and Pseudomonas syringae pv. actinidiae at a concentration of 100 µg/mL, employing the commercial antibacterial agent BMT as the positive control (Table 30).
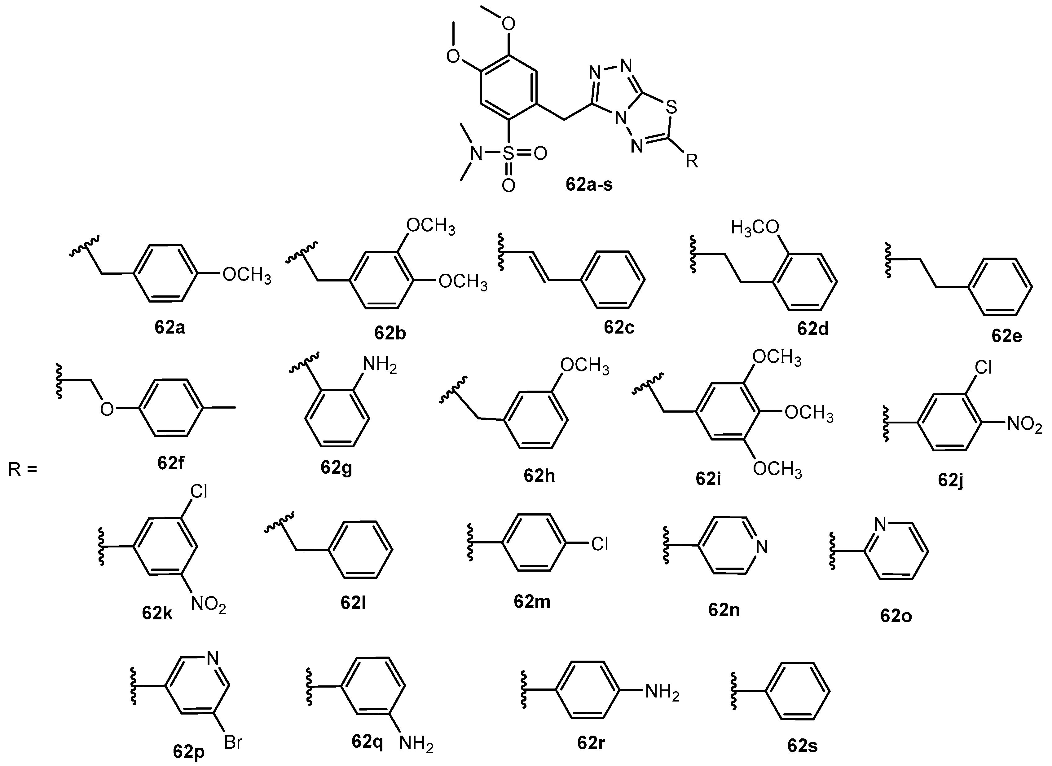
Kamoutsis et al. obtained a range of fused 1,3,4-thiadiazole arrangements (62as, Figure 51) [90]. The obtained compounds were tested for activity against Bacillus cereus, Staphylococcus aureus, Listeria monocytogenes, Pseudomonas aeruginosa, Escherichia coli, and Salmonella typhimurium. The results of antibacterial analyses are presented in Table 31. The best results were obtained for the 62s derivative, containing a phenyl group at the R site, characterized by MBC = 10–40 μg/mL and MIC = 5–20 μg/mL.
Bhadraiah et al. obtained bicyclic 1,3,4-thiadiazolo[3,2-α]pyrimidine analogues (63ai, Figure 52) [91]. The compounds were tested for bactericidal activity against Gram-positive (Bacillus cereus, Staphylococcus aureus) and Gram-negative (Escherichia coli, Klebsiella pneumoniae) bacterial strains. Biological tests revealed that derivative 63e, containing two methoxy groups at the R1 and R2 sites, exhibited the best activity among the synthesized compounds, while derivatives 63b and 63h showed moderate properties (Table 32).
Jin’s group synthesized a series of fused imidazo[2,1-b][1,3,4]thiadiazole derivatives (64ag, 65ag, 66ag, Figure 53) [92]. The obtained compounds were tested for antibacterial activity against Staphylococcus aureus (4220), Staphylococcus aureus (209), Escherichia coli, Pseudomonas aeruginosa, Methicillin-resistant Staphylococcus aureus (3167), and Quinolone-resistant Staphylococcus aureus (3505). The tested compounds exhibited no or low activity against Gram-positive and Gram-negative bacteria. However, selected derivatives demonstrated activity against multi-drug-resistant Gram-positive strains. Specifically, compounds 64c (R = 3-F, MIC50 = 12.79 μg/mL), 64e (R = 2-CH3, MIC50 = 17.84 μg/mL), 65e (R = 2-CH3, MIC50 = 15.81 μg/mL), and 66a (R = H, MIC50 = 18.49 μg/mL) showed moderate activity against Methicillin-resistant Staphylococcus aureus. In the case of Quinolone-resistant Staphylococcus aureus, moderate activity was observed for fluorine- or methyl-substituted compounds 64cf (MIC50 = 9.06–19.09 μg/mL), the unsubstituted compound 65a (MIC50 = 16.69 μg/mL), the fluorine-substituted compound 65c (MIC50 = 17.24 μg/mL), the methyl-substituted compound 65e (MIC50 = 18.02 μg/mL), and fluorine- or methyl-substituted compounds 66cg (MIC50 = 12.98–17.44 μg/mL).

2.1.3. Multi-Substituted 1,3,4-Thiadiazole Derivatives

Highly substituted 1,3,4-thiadiazole derivatives represent a less commonly explored class of compounds.
Abdel-Aziem and coworkers obtained two coumarin-linked thiadiazole derivatives (67a,b, Figure 54) [93]. The newly synthesized derivatives were initially investigated for their antibacterial activity. Six pathogenic microbes were selected for assessment: Bacillus pumilis and Streptococcus faecalis, representing Gram-positive bacteria, and Escherichia coli and Enterobacter cloacae, representing Gram-negative bacteria. The standard antibacterial drugs Penicillin G (for Gram-positive bacteria) and Ciprofloxacin (for Gram-negative bacteria) were used as references (Table 33). The obtained compounds exhibited moderate biological activity in comparison with the standard drugs.
Dai et al. obtained 5-sulfonyl-1,3,4-thiadiazole-substituted flavonoids (68aah, Figure 55) [94]. The compounds were tested for antibacterial activity against two bacterial strains: Xanthomonas axonopodis pv. citri and Xanthomonas oryzae pv. oryzae. The inhibition rates at a concentration of 50 μg/mL are presented in Table 34. Compounds 68a (R1 = H, R2 = CH3, R3 = CH3), 68c (R1 = 6-F, R2 = CH3, R3 = CH3), 68g (R1 = H, R2 = CH2CH3, R3 = CH3), 68i (R1 = 6-F, R2 = CH2CH3, R3 = CH3), 68m (R1 = 6-Br, R2 = CH2CH2CH3, R3 = CH3), and 68n (R1 = 6-F, R2 = CH2CH2CH3, R3 = CH3) exhibited remarkable antibacterial activity against Xanthomonas oryzae pv. oryzae, with EC50 values below 10 μg/mL, which were superior to that of Bismerthiazol (70.89 μg/mL). Preliminary structure–activity analysis indicated that the introduction of substituents at the 6 position of the flavonoid core significantly affected antibacterial activity. Introducing small groups, such as hydrogen or fluorine, at this position markedly increased potency. Alkyl substitutions on the sulfone group had minimal impact, whereas the presence of a benzyl group reduced antibacterial activity.
Gomha et al. obtained a series of 1,4-dihydropyridine hybrids with 1,3,4-thiadiazole (69ah, Figure 56) [95]. The compounds were assayed in vitro for their antibacterial activity against Gram-positive bacteria (Staphylococcus aureus, Staphylococcus epidermidis, Bacillus subtilis, Streptococcus pyogenes) and Gram-negative bacteria (Pseudomonas aeruginosa, Escherichia coli, Klebsiella pneumoniae, Salmonella typhimurium) at a concentration of 30 μg/mL; Gentamicin and Ampicillin were used as reference drugs (Table 35). Derivative 69e, bearing a 2-oxoindolin-3-ylidene moiety, indicated higher inhibitory activity against all of the examined bacteria than the reference standards.
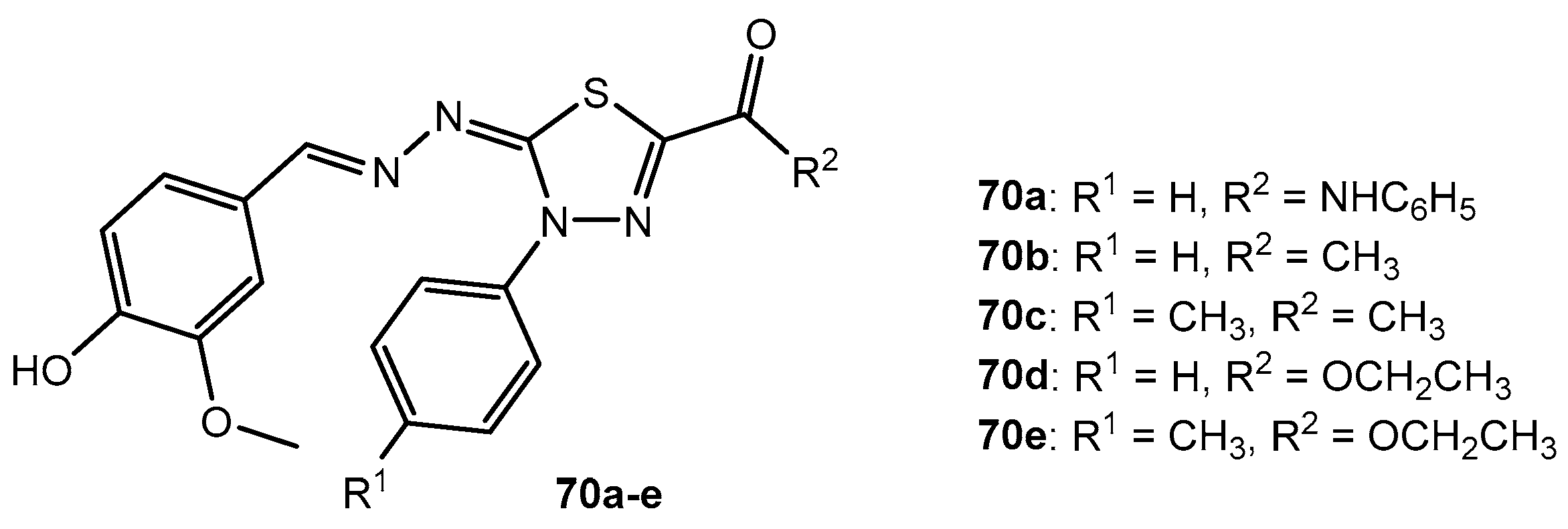
Rashdan’s group synthesized a series of tri-substituted 1,3,4-thiadiazole derivatives (70ae, Figure 57) [96]. The compounds were evaluated for antimicrobial activity against Escherichia coli, Pseudomonas aeruginosa, Proteus vulgaris, Bacillus subtilis, and Staphylococcus aureus (Table 36). Compound 70a, containing phenylamino group at the R2 site, demonstrated notable broad-spectrum efficacy across all tested strains, with low effective concentrations ranging from 20 to 40 µg/mL.
The same research group also obtained another series of 1,3,4-thiadiazole derivatives (71af, Figure 58) [97]. These compounds were tested against four pathogenic bacteria: Klebsiella pneumoniae, Pseudomonas aeruginosa, Staphylococcus aureus, and Bacillus subtilis (Table 37). Compound 71f, containing a nitro group at the R1 site and a phenylamino group at the R2 site, exhibited the strongest antibacterial activity against all evaluated strains.

2.2. Antifungal Activity

2.2.1. Disubstituted 1,3,4-Thiadiazole Derivatives

As previously noted, Mao et al. synthesized a series of derivatives containing a 1,3,4-thiadiazole thione moiety (6ap, Figure 7) [46]. In addition to antibacterial evaluation, the compounds were assessed for antifungal activity against Sclerotinia sclerotiorum, Rhizoctonia solani, Magnaporthe oryzae, and Colletotrichum gloeosporioides at a concentration of 50 μg/mL (Table 38). Compound 6b, containing a fluoro substituent at the ortho position of the benzene ring, demonstrated excellent efficacy against S. sclerotiorum (EC50 = 0.51 µg/mL), comparable to that of the commercial fungicide Carbendazim (EC50 = 0.57 µg/mL). The authors concluded that derivatives containing electron-withdrawing substituents at the ortho position exhibited enhanced antifungal activity (e.g., 6b, R = 2-F), whereas meta-substituted derivatives showed primarily antibacterial potency (e.g., 6k, R = 3-OCF3).
Hafidh et al. investigated hybrid silica gels incorporating 1,3,4-thiadiazole rings (7a, 7b, Figure 8) for their antimicrobial potential, including antifungal activity against Candida albicans [47]. The MIC values were 0.25 mg/mL for compound 7a, containing a (5-amino-1,3,4-thiadiazol-2-yl)amino moiety, and 0.5 mg/mL for 7b, containing a (5-mercapto-1,3,4-thiadiazol-2-yl)thio moiety, indicating relatively low antifungal efficacy in comparison with the reference agent Gentamicin (MIC = 7.81 µg/mL).
Baoyu Li et al. synthesized a series of derivatives incorporating a 1,3,4-thiadiazole ring (72ay, Figure 59) [98]. The compounds were evaluated for antifungal activity against Physalospora piricola, Colletotrichum orbiculare, Cercospora arachidicola, Gibberella zeae, Alternaria solani, Rhizoctonia solani, Fusarium oxysporum, and Bipolaris maydis at a concentration of 50 μg/mL (Table 39). Compound 72b, containing a 2-methylphenyl group in the 1,3,4-thiadiazole-amide fragment, showed broad-spectrum activity with high inhibition rates ranging from 67% to 89% across all tested phytopathogens. Among the tested 1,3,4-thiadiazoles, compound 72d, with a 4-methylphenyl substituent in the 1,3,4-thiadiazole-amide fragment, demonstrated particularly strong activity against Cercospora arachidicola, Gibberella zeae, and Alternaria solani, with inhibition rates of 85%, 83%, and 77%, respectively, all superior or comparable to those of the reference fungicide Boscalid. In the search for correlations between the structure of the synthesized compounds and their biological activity, the authors found that small groups at the ortho position of the terminal benzene ring (e.g., CH3 or F) enhanced activity. The same trend was observed for bulky (e.g., tert-butyl) and electron-donating groups (e.g., OCH3) at the para position. In contrast, halogens or electron-withdrawing groups (e.g., NO2) generally reduced antifungal activity.
A series of 1,3,4-thiadiazole derivatives synthesized by Mehta and coworkers (8ao, Figure 9 [48], initially tested for antibacterial properties, was also evaluated for antifungal activity against Candida albicans, Aspergillus niger, and Aspergillus clavatus. Table 40 presents the minimum inhibitory concentration (MIC) values of the tested compounds. The strongest activity against Candida albicans was observed for compounds 8c (R = 4-Br), 8e (R = 4-Cl), 8f (R = 2-F), 8i (R = 2-OH), and 8l (R = 4-OCH3), with MIC values of 250, 100, 250, 250, and 250 μg/mL, respectively. The two previously mentioned derivatives, 8c and 8i, as well as compounds 8j (R = 4-OH) and 8o (R = 4-NO2), showed activity against Aspergillus niger with MIC values of 100 μg/mL, while compound 8e inhibited Aspergillus clavatus with an MIC of 100 μg/mL.
The previously discussed series of 1,3,4-thiadiazoles (9ad, 10, Figure 10), synthesized by Danilova’s group [49], was also tested for antifungal activity against Fusarium oxysporum, Alternaria alternata, and Bipolaris sorokiniana. Among the tested compounds, only 5,5’-methylenebis(1,3,4-thiadiazol-2-amine) (9a) exhibited activity, showing inhibition against Alternaria alternata at a concentration of 200 μg/mL.
He et al. synthesized a series of indole derivatives incorporating a 1,3,4-thiadiazole ring (73ax, Figure 60) [99]. Selected compounds were evaluated for antifungal activity against Botrytis cinerea, Tomato Botrytis cinerea, and Phomopsis sp., with EC50 values presented in Table 41. Among them, compound 73b, containing a 2-methylphenyl group in the amide fragment, exhibited the highest level of activity against Botrytis cinerea, with an EC50 of 2.7 μg/mL, surpassing the efficacy of the reference fungicide Azoxystrobin (EC50 = 14.5 μg/mL). The authors observed that compounds unsubstituted at the indole fragment (73ag, R1 = H) generally exhibited stronger inhibition than those bearing halogen substituents (73hx; R1 = Br, Cl, F). The presence of electron-donating R2 substituents on the benzene ring of the opposite amide group improved antifungal activity compared with electron-withdrawing substituents. Furthermore, it was noted that the parent indole structure displayed higher activity when the benzamide fragment carried an electron-donating substituent, particularly when R2 = CH3.
Xue and coworkers synthesized a series of chalcone derivatives containing a 1,3,4-thiadiazole moiety (74ax, Figure 61) [100]. The compounds were tested against Rhizoctonia solani, Phomopsis sp., and Phytophthora capsici. Inhibition rates at a concentration of 100 μg/mL are summarized in Table 42. Bioactivity screening revealed that several derivatives exhibited notable antifungal activity with high levels of inhibition. Further evaluation showed that compound 74d, bearing 4-methylphenyl substituents at opposite terminal positions, had an EC50 value of 14.4 μg/mL against Phomopsis sp., significantly outperforming the reference fungicides Azoxystrobin (32.2 μg/mL) and Fluopyram (54.2 μg/mL). In general, it was found that compounds with electron-donating groups at the R2 or R1 positions exhibited stronger activity than those with electron-withdrawing groups. It was also observed that derivatives containing an alkyl linker composed of four methylene groups (n = 4) were more active than their counterparts with three methylene groups (n = 3).
The previously described series of 1,3,4-thiadiazole-containing Schiff bases synthesized by Zahoor and his team (11al, Figure 11) [50] was also evaluated for antifungal activity against Alternaria alternata. Inhibition rates are summarized in Table 43. Compounds 11a (R = 2-NO2-4-CF3C6H3), 11d (R = 4-Cl-3-OHC6H3), and 11i (R = 3,5-diFC6H3) showed notable antifungal efficacy, with inhibition levels of 43.4%, 31.9%, and 34.3%, respectively, compared to the reference drug Terinafine (50.7%).
Dai et al. synthesized a series of disubstituted 1,3,4-thiadiazole derivatives (75aag, Figure 62) [101]. The compounds were evaluated for antifungal activity against Botrytis cinerea, Alternaria solani, Rhizoctonia solani, Fusarium graminearum, and Colletotrichum orbiculare. In vitro inhibition rates at a concentration of 10 μg/mL are presented in Table 44. Most flavonoid-based derivatives exhibited excellent broad-spectrum antifungal activity. Notably, the EC50 values of several compounds against Rhizoctonia solani were below 4 μg/mL. Compounds 75m, with bromine at the 6 position of the chromone fragment and a propyl group in the sulfonamide part (EC50 = 0.49 μg/mL), 75o, with chlorine at the 6 position of the chromone fragment and a propyl group in the sulfonamide part (EC50 = 0.37 μg/mL), and 75s, with bromine at the 6 position of the chromone fragment and an isopropyl group in the sulfonamide part (EC50 = 0.37 μg/mL), displayed the highest potency, surpassing that of the reference fungicide Carbendazim (EC50 = 0.52 μg/mL). Structure–activity relationship analysis revealed that electron-withdrawing groups, such as bromine or chlorine, at the 6 position of the chromone fragment improved activity compared with methyl groups. For substituents located on the sulfone moiety, it was observed that large or branched groups also enhanced antifungal activity. The length of the alkyl chain (n) in the sulfonamide part was also important; longer chains (n = 4) in brominated derivatives improved activity compared with shorter counterparts (n = 3).
A series of 2,5-disubstituted 1,3,4-thiadiazole derivatives synthesized by Li and coworkers (12ar, Figure 12) [51] was also evaluated for antifungal activity against Colletotrichum gloeosporioides, Nakazawaea ishiwadae, Gilbertella persicaria, and Fusarium sp. Inhibition rates at a concentration of 100 μg/mL are summarized in Table 45. Compound 12b, containing a methyl group at the R1 site and an ethyl group at the R2 site, exhibited remarkable activity against Gilbertella persicaria, with an EC50 value of 6.71 μg/mL, significantly exceeding that of the reference fungicide Prochloraz (EC50 = 22.03 μg/mL).
Fu’s group synthesized a series of substituted 5-aryl-2-amino-1,3,4-thiadiazoles bearing a benzamide moiety (76at, Figure 63) [102]. The compounds were tested for antifungal activity against Rhizoctonia solani, Botrytis cinerea, Stemphylium lycopersici, Curvularia lunata, and Pythium aphanidermatum (Table 46). Most derivatives demonstrated excellent in vitro fungicidal efficacy. Notably, compound 76p, containing a 4-trifluoromethylphenyl substituent, exhibited the highest activity against Rhizoctonia solani (EC50 = 0.0028 μmol/L), 76l, with a 2-methoxyphenyl group, was most effective against Botrytis cinerea (EC50 = 0.0024 μmol/L), and 76e, bearing a 3-chlorophenyl substituent, showed potent activity against both Stemphylium lycopersici and Curvularia lunata (EC50 = 0.0105 μmol/L and 0.005 μmol/L, respectively). The authors made general observations regarding the influence of structural features of the synthesized compounds on their antifungal activity against specific strains. As shown in the results, the order of activity against Rhizoctonia solani was as follows: 3-CF3 > 4-OCH3 > 4-CH3 > 2,6-diF > 4-CF3 > 2-F. In the case of Botrytis cinerea, it was observed that only the presence of methoxy OCH3 and bromine Br substituents exerted a notable antifungal effect. Against Stemphylium lycopersici, only the 4-chloro-substituted compound displayed the same activity as the positive control drug.
Durairaj’s group synthesized a series of 1,3,4-thiadiazole derivatives directly linked to a pyrimidine scaffold (77aj, Figure 64) [103]. The compounds were evaluated for antifungal activity against Aspergillus niger, Penicillium species, and Candida albicans. As shown in Table 47, 5-(1,3,4-thiadiazol-2-yl)-3,4-dihydropyrimidin-2(1H)-one containing a dimethylamino group at the R1 site (77c) and 5-(1,3,4-thiadiazol-2-yl)-3,4-dihydropyrimidine-2(1H)-thione containing chlorine at the R1 site (77g) demonstrated promising activity against all three fungal strains.
Dróżdż et al. evaluated four 1,3,4-thiadiazole derivatives (78ad, Figure 65) [104] for antifungal activity against Candida albicans and Candida parapsilosis. The determined minimum inhibitory concentrations (MIC) are summarized in Table 48. For compounds 78a, containing a methyl group at the R2 site, and 78d, containing chlorine at the R1 site and a naphthalen-1-ylmethyl group at the R2 site, the MIC100 values—defined as the minimum concentration required to completely inhibit fungal growth—ranged from 64 to 128 µg/mL, depending on the strain. As a further aspect of the study, selected thiadiazole derivatives were tested in combination with Amphotericin B, revealing strong synergistic antifungal interactions.
Panwar’s group synthesized a series of [2-phenyl-1-(p-tolyl)pyrido[3,2-f]quinazolin-4(1H)-yl]-1,3,4-thiadiazolyl]-4-piperazine derivatives (13ai, Figure 13) [52]. In addition to antibacterial assessment, the compounds were tested for antifungal activity against Aspergillus fumigatus, Candida albicans, and Candida krusei. Table 49 presents the zones of inhibition recorded at a concentration of 250 μg/mL. Several derivatives exhibited antifungal efficacy against Aspergillus fumigatus, a strain intrinsically resistant to Fluconazole.
As previously mentioned, Blaja et al. synthesized tetranorlabdane derivatives bearing 1,3,4-thiadiazole units (14ac, Figure 14) [53]. The compounds were evaluated for antifungal activity against five fungal strains: Alternaria alternata, Aspergillus niger, Penicillium chrysogenum, Penicillium frequentans, and Fusarium solani. The results, summarized in Table 50, indicate that only 5-(((8aS)-2,5,5,8a-tetramethyl-4a,5,6,7,8,8a-hexahydronaphthalen-1-yl)methyl)-1,3,4-thiadiazol-2-amine (14a) exhibited pronounced antifungal activity, with an MIC value of 0.125 μg/mL.
Shi et al. synthesized a series of phenylmethanol-linked 1,3,4-thiadiazole thioethers (79aad, Figure 66) [105]. The compounds were evaluated for antifungal activity against Alternaria solani, Gibberella saubinetii, Verticillium dahliae, Gibberella zeae, and Thanatephorus cucumeris (Table 51). Bioassay results revealed that compound 79j exhibited excellent efficacy against Thanatephorus cucumeris, with an EC50 value of 9.7 μg/mL. Further studies demonstrated that (5-((2-methylbenzyl)thio)-1,3,4-thiadiazol-2-yl)(phenyl)methanol (79j) not only significantly inhibited Thanatephorus cucumeris mycelial growth but also suppressed sclerotia formation and exhibited substantial in vivo protective (61.1%) and curative (67.9%) effects at 200 μg/mL.
The modified chitosan–thiadiazole conjugate developed by Ibrahim et al. (15, Figure 15) [54], previously tested for antibacterial properties, was also evaluated for antifungal activity against Candida albicans. At a concentration of 50 μg/mL, the compound exhibited a zone of inhibition measuring 8 mm, indicating moderate antifungal potential.
Zhou et al. synthesized a series of flavanol derivatives containing a 1,3,4-thiadiazole moiety (80av, Figure 67) [106]. The compounds were screened for antifungal activity against Rhizoctonia solani, Botrytis cinerea, Fusarium graminearum, Colletotrichum gloeosporioides, Sclerotinia sclerotiorum, Phytophthora capsici, Alternaria brassicae, Fusarium oxysporum f. sp. cucumerinum, Fusarium oxysporum f. sp. capsicum, and Phomopsis sp. Inhibition rates obtained from biological assays are summarized in Table 52. Several derivatives demonstrated excellent antifungal efficacy. Notably, compounds 80l, 80m, 80q, and 80r, bearing 4-methylphenyl, 4-methoxyphenyl, 4-fluorophenyl, and 3-fluorophenyl substituents at the flavanol core, showed inhibition rates against Botrytis cinerea of 91.7%, 83.2%, 87.3%, and 96.2%, respectively, all exceeding the activity of the reference fungicide Azoxystrobin (80.7%). Additionally, compounds 80n and 80u, characterized by the presence of one or two methoxy groups, displayed superior activity against Phomopsis sp., with inhibition rates of 73.8% and 72.8% compared to 58.1% for Azoxystrobin. In summary, antifungal activity was higher for derivatives unsubstituted at the 5 position of the 1,3,4-thiadiazole ring (R1 = H) than for those bearing an amino group (R1 = NH2). Compounds with electron-withdrawing groups on the phenyl ring of the flavanol scaffold displayed stronger fungicidal effects, with an order of efficacy of 80r (R3 = 3-F) > 80l (R3 = 4-CH3) > 80m (R3 = 4-OCH3). Furthermore, substitution at R3 with 3-F conferred a greater inhibitory effect than substitution with 4-F. Overall, compound 80r (R1 = H, R2 = H, R3 = 3-F) demonstrated markedly superior performance relative to the other target compounds and Azoxystrobin.
Thanh et al. synthesized a series of 1,3,4-thiadiazole derivatives incorporating a thiourea scaffold (16ai, Figure 16) [55]. In addition to antibacterial testing, the compounds were evaluated for antifungal activity against Aspergillus niger, Aspergillus flavus, Candida albicans, Saccharomyces cerevisiae, and Fusarium oxysporum (Table 53). Compounds 16b, bearing a methyl substituent at the R site, and 16c, with the ethyl substituent, selectively inhibited the growth of Candida albicans, exhibiting strong activity with MIC values of 0.78 and 1.56 μg/mL, respectively. More broadly, compound 16i, bearing an isopentyl substituent at the R site, showed potent activity against Aspergillus niger, Saccharomyces cerevisiae, and Fusarium oxysporum, with MIC values of 0.78 μg/mL, superior to those of the reference drugs Miconazole and Fluconazole. The authors concluded that the presence of long chains (16i) at the R site and branching (16g, 16i) significantly enhanced antifungal activity compared to the corresponding unbranched analogues (16f, 16h).
The previously discussed series of thiadiazole azetidin-2-one derivatives synthesized by Kumar et al. (20ag, Figure 19, Table 54) [58] was also evaluated for antifungal activity against Trichoderma harzianum and Aspergillus niger. Additional testing revealed that compound 20g, containing bromine at the R1 site and a 4-chlorine substituent at the R2 site, exhibited remarkable efficacy against Aspergillus niger, with an MIC value of 3.42 µM, while derivative 20f, containing chlorine at the R1 site and a 4-nitro group at the R2 site, was the most active against Trichoderma harzianum, outperforming the reference drug Fluconazole (MIC = 3.71 µM).
As previously mentioned, Alqahtani et al. synthesized a series of compounds bearing a benzothiazolotriazole scaffold linked to a 1,3,4-thiadiazole ring (24ac, Figure 23) [62]. In addition to antibacterial evaluation, the compounds were tested for antifungal activity against Candida albicans, Aspergillus fumigatus, and Penicillium chrysogenum (Table 55). Among them, compound 24b, bearing 4-bromophenylamino moiety on the 1,3,4-thiadiazole ring, exhibited the highest potency, with MIC values of 8 μg/mL against Candida albicans and Penicillium chrysogenum and 16 μg/mL against Aspergillus fumigatus.
Dou et al. synthesized a series of acetophenone derivatives containing 1,3,4-thiadiazole-2-thioether moieties (81aae, Figure 68) [107]. The compounds were evaluated for antifungal activity against Gibberella saubinetii, Verticillium dahliae, Alternaria solani, Gibberella zeae, and Thanatephorus cucumeris (Table 56). Preliminary bioassay results indicated that compounds 81ac exhibited inhibitory effects against all five tested fungal strains. Notably, the EC50 value of (5-(ethylthio)-1,3,4-thiadiazol-2-yl)(phenyl)methanone (81b) against Thanatephorus cucumeris was 22.2 μg/mL, while 81c showed an EC50 of 21.5 μg/mL against Gibberella saubinetii.
Pham and coworkers synthesized a series of 5-substituted-2-amino-1,3,4-thiadiazole derivatives (25al, Figure 24) [63]. In addition to the previously discussed antibacterial evaluation, the compounds were tested for antifungal activity against Candida albicans and Aspergillus niger (Table 57). Compound 25g, bearing a 3,4-dichlorophenyl group on the 1,3,4-thiadiazole ring, exhibited the highest potency among the synthesized derivatives, with MIC values of 16 μg/mL against Candida albicans and 64 μg/mL against Aspergillus niger, outperforming Fluconazole in both cases.
Zou et al. synthesized a series of 1,3,4-thiadiazole-amide derivatives incorporating a gem-dimethyl-cyclopropane ring (82au, Figure 69) [108]. The compounds were evaluated for antifungal activity against Fusarium oxysporum f. sp. cucumerinum, Cercospora arachidicola, Physalospora piricola, Alternaria solani, Gibberella zeae, Rhizoctonia solani, Bipolaris maydis, and Colletotrichum orbiculare (Table 58). Preliminary bioassay results indicated that compound 82i, containing a 4-bromophenyl substituent at the amide moiety, exhibited broad-spectrum antifungal activity against the tested strains.
Sunitha et al. synthesized a series of azo-imine thiadiazole derivatives (28ae, Figure 27) [66] and evaluated their antifungal activity against Aspergillus niger, Aspergillus flavus, and Rhizopus stolonifera using Fluconazole as the reference drug (Table 59). Overall, compound 28c, containing a 3-hydroxy-4-methoxyphenyl substituent at the imine fragment, demonstrated moderate inhibitory activity against the tested fungal strains.
Pan et al. synthesized a series of pyrimidine derivatives bearing a 1,3,4-thiadiazole core (83at, Figure 70) [109]. The compounds were tested for antifungal activity against Botrytis cinerea, Botryosphaeria dothidea, and Phomopsis sp. at a concentration of 50 μg/mL (Table 60). Biological assay results demonstrated that compound 83h containing (4-fluoromethylbenzyl)thio moiety exhibited lower EC50 values (25.9 and 50.8 μg/mL) against Phomopsis sp. compared to the reference fungicide Pyrimethanil (32.1 and 62.8 μg/mL). Further structure–activity relationship analysis showed that more than 80% of the tested compounds exhibited excellent antifungal activity against Phomopsis sp. and Botrytis cinerea. Modification of the R1 substituent in the pyrimidine ring (H or CH3) did not significantly enhance antifungal potency; however, for Phomopsis sp., the number of compounds with R1 = H and activity above 80% was twice that observed for compounds with R1 = CH3. Moreover, introducing strong electron-withdrawing groups at R2 (e.g., CN or CF3) within the benzylthio fragment enhanced activity, whereas introduction of an alkyl group (CH3) had little effect.
Yu et al. synthesized a series of thiochroman-4-one derivatives incorporating carboxamide and 1,3,4-thiadiazole thioether moieties (29ao, Figure 28) [67], previously reported for their antibacterial activity. The compounds were also evaluated for antifungal activity against Botrytis cinerea, Verticillium dahliae, and Fusarium oxysporum at a concentration of 50 μg/mL (Table 61). Notably, compound 29m, containing a propyl group at the R1 site and a methyl group at the R2 site, exhibited superior activity against Botrytis cinerea compared to the reference fungicide Carbendazim.
As previously mentioned, Shu et al. synthesized a series of galactoside derivatives containing a 1,3,4-thiadiazole moiety (30at, Figure 29) [68]. The compounds were tested for antifungal activity against Gibberella zeae, Botryosphaeria dothidea, Phytophthora infestans, Phomopsis sp., and Thanatephorus cucumeris at a concentration of 50 μg/mL (Table 62). Among them, compound 30p, containing a nitro substituent at the meta position, compound 30r, containing a nitro substituent at the para position, and compound 30t, with a trifluoromethyl group at the meta position, demonstrated satisfactory in vitro activity against Phytophthora infestans, with inhibition rates of 80.1%, 79.7%, and 79.3%, respectively. These results were comparable to the activity of the reference fungicide Dimethomorph (78.2%).
Geng et al. synthesized a series of terpene-derived compounds incorporating a 1,3,4-thiadiazole moiety (84aab, Figure 71) [110]. The compounds were tested for antifungal activity against Valsa mali (Table 63). The results indicated that several derivatives exhibited satisfactory inhibitory effects, with some outperforming the commercial fungicide Boscalid. The most potent compound, 84aa, containing a (3-fluorophenyl)sulfonyl group, demonstrated a favorable EC50 value of 3.785 μg/mL.
Prasad et al. synthesized a series of quinoline-bridged thiophene derivatives linked to a 1,3,4-thiadiazole ring (31ae, Figure 30) [69]. In addition to antibacterial evaluation, the compounds were tested for antifungal activity against Aspergillus niger and Aspergillus flavus at a concentration of 10 μg/mL (Table 64). The study revealed that among the tested derivatives, only compound 31d, bearing a nitro group at the R site, exhibited notable activity against Aspergillus niger.
Acar Çevik et al. synthesized a series of benzimidazole derivatives containing a 1,3,4-thiadiazole scaffold (32ak, Figure 31) [70]. The antifungal activity of all compounds was assessed by determining their minimum inhibitory concentrations (MIC) against Candida albicans, Candida krusei, Candida glabrata, and Candida parapsilosis (Table 65). Screening results revealed that compound 32a, containing a methyl group at the R site, and compound 32h, containing an isopropyl group, exhibited the highest potency against Candida albicans, with MIC values of 1.95 μg/mL—twice as effective as the reference drug Voriconazole (3.90 μg/mL) and four times more effective than Fluconazole (7.81 μg/mL). The authors concluded that the enhanced antifungal activity was attributed to the presence of alkylamino groups (R) at the 5 position of the 1,3,4-thiadiazole ring, with small to medium alkyl chains (methyl, isopropyl) providing optimal activity.
Mao et al. synthesized four series of dehydroabietyl-1,3,4-thiadiazole-2-amide and dehydroabietyl-1,3,4-thiadiazole-2-imine derivatives (85ag, 86ah, 87af, 88ag, Figure 72) [111]. The antifungal activity of all synthesized compounds was evaluated against Sclerotinia sclerotiorum, Botrytis cinerea, Magnaporthe oryzae, and Fusarium oxysporum. At a concentration of 100 mg/L, the mycelial growth inhibition rates against Sclerotinia sclerotiorum, Botrytis cinerea, and Magnaporthe oryzae were below 20%, indicating weak activity. However, the activity against Fusarium oxysporum ranged from moderate to significant. Notably, compound 85e, substituted with a nitro group on the thiophene ring, demonstrated excellent antifungal efficacy, with an EC50 value of 0.618 mg/L—lower than that of the reference fungicide Carbendazim (0.649 mg/L). In vivo studies further confirmed that 85e provided a protective effect on cucumber plants.
As previously mentioned, Garg and coworkers synthesized a series of 1,3,4-thiadiazole derivatives bearing 2,3-disubstituted thiazolidinone moieties (35aj, Figure 34) [73]. In addition to antibacterial evaluation, the compounds were tested for antifungal activity against Candida albicans and Aspergillus niger (Table 66). The most promising result was obtained for compound 35b, bearing a dimethylamino substituent, which exhibited antifungal activity slightly superior to or comparable with that of the standard drug Miconazole.
Wang et al. synthesized a series of novel nopol derivatives incorporating a 1,3,4-thiadiazole–thioether moiety (89aw, Figure 73) [112]. The antifungal activity of all compounds was evaluated against Fusarium oxysporum f. sp. cucumerinum, Cercospora arachidicola, Physalospora piricola, Alternaria solani, Gibberella zeae, Rhizoctonia solani, Bipolaris maydis, and Colletotrichum orbiculare at a concentration of 50 μg/mL (Table 67). Compounds 89i (R = 3-F), 89f (R = 3-OCH3), and 89q (R = 3-I) exhibited excellent inhibition rates of 88.9%, 77.8%, and 77.8%, respectively, against Physalospora piricola, surpassing the reference fungicide Chlorothalonil (75%). Additionally, compound 89m (R = 4-Cl) showed strong activity against Rhizoeotnia solani, with an inhibition rate of 80.7%.
Chen et al. synthesized a series of 1,3,4-thiadiazole–thiourea derivatives (90ar, Figure 74) [113]. All compounds were evaluated for antifungal activity (Table 68). Several target derivatives demonstrated superior efficacy against Physalospora piricola, Cercospora arachidicola, and Alternaria solani compared to the commercial fungicide Chlorothalonil at a concentration of 50 μg/mL. Notably, compound 90c, bearing a 3-methylphenyl substituent on the thiourea fragment, compound 90q, with an isopropyl substituent, and compound 90i, with a 4-chlorophenyl substituent, exhibited inhibition rates of 86.1%, 86.1%, and 80.2%, respectively, against Physalospora piricola, clearly outperforming the reference control.
The Tahtacı group synthesized two 1,3,4-thiadiazole derivatives containing halogens (91a, 91b, Figure 75) as intermediates in the development of their imidazothiadiazole analogues [114]. In vitro antifungal activity was evaluated by determining the minimum inhibitory concentration (MIC), minimum fungicidal concentration (MFC), and lethal dose (LD50) values against Alternaria solani, Fusarium oxysporum f. sp. melonis, and Verticillium dahliae (Table 69). Based on the test results, both compounds exhibited moderate antifungal activity against the tested fungal species.
Laachir et al. synthesized a copper(II) coordination polymer based on 2,5-bis(pyridine-2-yl)-1,3,4-thiadiazole (92, Figure 76) [115]. The antifungal activity of the [Cu92Cl2]ₙ complex was evaluated against three strains of the plant pathogenic fungus Verticillium dahliae (strains SJ, SH, and SE) and one strain of Fusarium oxysporum f. sp. melonis. At a concentration of 50 μg/mL, the complex exhibited moderate inhibitory activity against Verticillium dahliae strains SH and SE and Fusarium oxysporum f. sp. melonis.

2.2.2. Bicyclic 1,3,4-Thiadiazole Derivatives

Zhan et al. synthesized a series of derivatives containing a fused 1,3,4-thiadiazole ring (93aam, Figure 77) [116]. The compounds were evaluated for antifungal activity against Rhizoctonia solani, Sclerotinia sclerotiorum, Botryosphaeria dothidea, Fusarium graminearum, Colletotrichum capsici, Phytophthora capsici, and Phomopsis sp. at a concentration of 100 μg/mL (Table 70). Compounds 93ae, bearing a phenyl group at the R2 site, and 93af, with a 4-fluorophenyl group at the same position, exhibited inhibition rates of 64–73% against Phomopsis sp., surpassing the activity of the reference fungicide Azoxystrobin. Structure–activity relationship analysis also revealed that the presence of a methyl group at the R1 site, together with a tetramethylene linker (n = 4), resulted in enhanced activity against Colletotrichum capsici compared to arrangements containing a shorter trimethylene linker (n = 3). In studies involving the Phytophthora capsici strain, the highest activity was observed for compounds carrying electron-donating groups (4-CH3, 4-OCH3) at the R2 site.
Singh et al. synthesized a series of derivatives bearing a 1,3,4-thiadiazole ring fused with a 1,2,4-triazole moiety (94am, Figure 78) [117]. The compounds were screened for antifungal activity against Fusarium oxysporum and Penicillium citrinum. The results obtained at a concentration of 100 ppm are presented in Table 71. Among the tested derivatives, compound 94c, containing a (4-chlorobenzyl)thio moiety attached to the fused core, exhibited fungicidal activity comparable to that of the reference fungicides Griseofulvin and Dithane M-45.
Mahdavi’s group synthesized a series of [1,2,4]triazolo[3,4-b][1,3,4]thiadiazole derivatives (60an, Figure 49) [88]. All compounds were evaluated for antifungal activity against Cryptococcus neoformans (Table 72). Among them, the monochloro-substituted isomers 60f (R = 3-Cl) and 60g (R = 4-Cl), as well as the dichloro-substituted derivative 60h (R = 3,4-diCl), exhibited significant activity, with MIC values of 1, 2, and 0.5 μg/mL, respectively, outperforming or matching the efficacy of the reference drug Fluconazole (MIC = 2 μg/mL).
Wu et al. synthesized a series of quinazolin-4(3H)-one derivatives incorporating a 1,2,4-triazolo[3,4-b][1,3,4]thiadiazole moiety (61aai, Figure 50) [89]. In addition to antibacterial evaluation, the compounds were tested for antifungal activity against Phytophthora nicotianae, Gibberella zeae, Fusarium solani, Alternaria tenuissima, Colletotrichum gloeosporioides, Sclerotinia sclerotiorum, and Fusarium oxysporum (Table 73). Several derivatives exhibited notable inhibitory effects against specific fungal strains. In particular, compounds 61o (R = 3-CH3C6H4), 61s (R = 4-NO2C6H4), 61w (R = 4-OCF3C6H4), 61aa (R = 3-pyridyl), and 61ab (R = 2-pyridyl), demonstrated inhibition rates above 50% against Phytophthora nicotianae, with compound 61s, bearing a 4-nitrophenyl substituent, showing the highest activity (67.2%).
As previously mentioned, Kamoutsis et al. synthesized a range of fused 1,3,4-thiadiazole derivatives (62as, Figure 51) [90]. The compounds were evaluated for antifungal activity against six fungal strains: Aspergillus versicolor, Trichoderma viride, Aspergillus niger, Penicillium verrucosum var. cyclopium, Penicillium funiculosum, and Aspergillus fumigatus (Table 74). Several derivatives exhibited antifungal activity up to 80 times greater than Ketoconazole and 3 to 40 times greater than Bifonazole, both used as reference drugs (MIC: 2–40 μg/mL; MFC: 5–67 μg/mL).
Borthakur et al. synthesized a series of thiadiazolo-thiadiazine derivatives (95ah, Figure 79) [118]. All compounds were screened for antifungal activity against two fungal species, Rhizoctonia solani and Drechslera oryzae, using Carbendazim as the reference fungicide (Table 75). Among the tested derivatives, only compound 95b, containing a nitro group at the 4 position, compound 95d, containing a methyl group at the 4 position, and compound 95g, containing chlorine at the 4 position, exhibited mild to moderate antifungal activity.
Bhadraiah et al. synthesized a series of bicyclic 1,3,4-thiadiazolo[3,2-α]pyrimidine analogues (63ai, Figure 52) [91]. In addition to antibacterial evaluation, the compounds were tested for antifungal activity against Aspergillus flavus, Aspergillus niger, Fusarium oxysporum, and Fusarium moniliforme, using Nystatin as the reference drug (Table 76). Among the synthesized derivatives, compound 63c, containing chlorine at the R2 site, and compound 63i, bearing chlorines at the R1 and R2 sites, exhibited notable antifungal activity.

2.2.3. Multi-Substituted 1,3,4-Thiadiazole Derivatives

Dai et al. synthesized a series of 5-sulfonyl-1,3,4-thiadiazole-substituted flavonoids (68aah, Figure 55) [94] initially evaluated for antibacterial activity. The compounds were also tested for antifungal activity against Botrytis cinerea, Alternaria solani, Rhizoctonia solani, Gibberella zeae, and Colletotrichum orbiculare. Inhibition rates at a concentration of 10 μg/mL are presented in Table 77. The results indicated that most of the target compounds exhibited significant antifungal activity. Against Botrytis cinerea, six halogen- and alkyl-containing compounds—68b (R1 = 6-Br, R2 = CH3, R3 = CH3), 68d (R1 = 6-Cl, R2 = CH3, R3 = CH3), 68h (R1 = 6-Br, R2 = CH2CH3, R3 = CH3), 68m (R1 = 6-Br, R2 = CH2CH2CH3, R3 = CH3), 68o (R1 = 6-Cl, R2 = CH2CH2CH3, R3 = CH3), and 68af (R1 = 6-Cl, R2 = CH3, R3 = CH2CH3)—showed high inhibition rates exceeding 80%, with the 6-bromine-containing compound 68b demonstrating the strongest effect (98%).
As previously mentioned, Gomha et al. synthesized a series of 1,4-dihydropyridine–1,3,4-thiadiazole hybrids (69ah, Figure 56) [95]. In addition to antibacterial evaluation, the compounds were assayed in vitro for antifungal activity against Aspergillus niger and Geotrichum candidum at a concentration of 30 μg/mL (Table 78), using Amphotericin as the reference fungicide. All tested derivatives exhibited high antifungal activity against the selected fungal strains.
Rashdan and coworkers synthesized a series of 1,3,4-thiadiazole derivatives (70ae, Figure 57) [96], which, in addition to antibacterial evaluation, were also tested for antifungal activity against Candida albicans. The compounds exhibited low activity, with MIC values of 20 μg/mL, in comparison to the reference drug Nystatin (MIC = 5 μg/mL).
Rashdan and coworkers also evaluated another previously reported series of 1,3,4-thiadiazole derivatives (71af, Figure 58) [97] for antifungal activity, alongside their antibacterial assessment. The compounds were screened against the black fungal strain Rhizopus oryzae at a concentration of 20 mg/mL (Table 79). The results indicated that compound 71f, containing a nitro group at the R1 site and a phenylamino substituent at the R2 site, exhibited significantly higher inhibitory potency against the tested strain.

3. Conclusions

Over the last decade, 1,3,4-thiadiazole derivatives have emerged as key scaffolds in medicinal chemistry due to their broad-spectrum biological activities and structural versatility. This review highlights recent advancements (2020–2025) in the development of thiadiazole-based compounds with notable antibacterial and antifungal properties. The antimicrobial activity of these derivatives is often attributed to the presence of a toxophoric N–C–S moiety and their ability to interact with biological targets via hydrogen bonding or metal ion coordination. The mesoionic character and favorable physicochemical properties of the 1,3,4-thiadiazole ring, such as balanced lipophilicity, molecular weight, and hydrogen bonding capacity, contribute to enhanced membrane permeability and bioavailability. These features support their potential as effective enzyme inhibitors and receptor ligands. An important role in the modulation of antimicrobial activity is also played by substituents attached to the thiadiazole ring, either directly or indirectly through an appropriate aromatic or aliphatic linker. Studies have shown that the substituents enhancing biological activity in the analyzed systems include hydroxyl, methoxy, trifluoromethyl, nitro, alkyl groups, and halogens, particularly fluorine and bromine. Biological studies conducted on 10 Gram-negative bacterial strains revealed that 53 novel thiadiazole derivatives exhibited activity exceeding that of the reference drugs or demonstrated a high level of growth inhibition (90–100%). The highest susceptibility was observed for Xanthomonas oryzae pv. oryzae (Xoo), against which 19 compounds showed antibacterial efficacy above 90%. Significant activity was also noted against Escherichia coli (14 compounds) and Pseudomonas aeruginosa (7 compounds). Similarly, studies performed on nine Gram-positive bacterial strains demonstrated that 26 derivatives exhibited activity surpassing the reference drugs or achieving a high level of growth inhibition (90–100%). The highest susceptibility was observed for Enterococcus faecium, with 17 compounds displaying antibacterial efficacy exceeding 90%. Very high activity was also recorded against Staphylococcus aureus, where seven compounds produced excellent results.
In antifungal assays, thiadiazoles were evaluated against 25 fungal species belonging to 15 genera. Among the tested derivatives, 75 novel compounds exhibited growth inhibition surpassing that of the reference drugs or within the 90–100% range. The most susceptible fungi proved to be Rhizoctonia solani, against which 18 compounds displayed fungicidal activity above 90%, followed by Botrytis cinerea (17 derivatives), Colletotrichum orbiculare and Colletotrichum gloeosporioides (14 derivatives), and Aspergillus niger and Aspergillus clavatus (12 derivatives).
In conclusion, 1,3,4-thiadiazole derivatives represent promising candidates for the development of next-generation antimicrobial agents, and ongoing research continues to reinforce their value in both pharmaceutical and agrochemical applications. These results underscore the potential of thiadiazole derivatives as versatile scaffolds for the rational design of novel antimicrobial agents.

Author Contributions

Conceptualization, M.O., S.G. and A.K.; methodology, M.O. and S.G.; investigation, M.O. and S.G.; writing—original draft preparation, M.O. and S.G.; writing—review and editing, A.K. All authors have read and agreed to the published version of the manuscript.

Funding

This research received no external funding.

Institutional Review Board Statement

Not applicable.

Informed Consent Statement

Not applicable.

Data Availability Statement

Not applicable.

Conflicts of Interest

The authors declare no conflicts of interest.

References

  1. Schatz, J.; Gogic, K.; Benkert, T. 1,3,4-Thiadiazoles. In Comprehensive Heterocyclic Chemistry IV; Black, D.S., Cossy, J., Stevens, C.V., Eds.; Elsevier: Oxford, UK, 2022; pp. 407–447. [Google Scholar]
  2. Koutentis, P.A.; Constantinides, C.P. 1,3,4-Thiadiazoles. In Comprehensive Heterocyclic Chemistry III; Katritzky, A.R., Ramsden, C.A., Scriven, E.F.V., Taylor, R.J.K., Eds.; Elsevier: Oxford, UK, 2008; Volume 5, pp. 567–605. [Google Scholar]
  3. Katritzky, A.R.; Ramsden, C.A.; Joule, J.A.; Zhdankin, V.V. Structure of Five-Membered Rings with Two or More Heteroatoms. In Handbook of Heterocyclic Chemistry; Elsevier: Oxford, UK, 2010; Volume 2, pp. 139–209. [Google Scholar]
  4. Milad, R.; Essalah, K.; Abderrabba, M. Optoelectronic and Conductivity of π-Conjugated Polymers Based on Phenylenevinylene, 1,3,4-Thiadiazole and Thiophene: Suitable Candidates for n-Type Organic Semiconductors. J. Phys. Org. Chem. 2018, 31, e3750. [Google Scholar] [CrossRef]
  5. Chen, H.; Liu, Z.; Zhao, Z.; Zheng, L.; Tan, S.; Yin, Z.; Zhu, C.; Liu, Y. Synthesis, Structural Characterization, and Field-Effect Transistor Properties of n-Channel Semiconducting Polymers Containing Five-Membered Heterocyclic Acceptors: Superiority of Thiadiazole Compared with Oxadiazole. ACS Appl. Mater. Interfaces 2016, 8, 33051–33059. [Google Scholar] [CrossRef] [PubMed]
  6. Sharma, V.S.; Shah, A.P.; Sharma, A.S.; Athar, M. Columnar Self-Assembly, Gelation and Electrochemical Behavior of Cone-Shaped Luminescent Supramolecular Calix[4]Arene LCs Based on Oxadiazole and Thiadiazole Derivatives. New J. Chem. 2019, 43, 1910–1925. [Google Scholar] [CrossRef]
  7. Vinothkumar, K.; Sethuraman, M.G. Corrosion Inhibition Ability of Electropolymerised Composite Film of 2-Amino-5-Mercapto-1,3,4-Thiadiazole/TiO2 Deposited over the Copper Electrode in Neutral Medium. Mater. Today Commun. 2018, 14, 27–39. [Google Scholar] [CrossRef]
  8. Martín, R.; Prieto, P.; Carrillo, J.R.; Torres, I.; Strassert, C.A.; Soloviova, K.; Rodríguez, A.M.; Sánchez, L.; Díaz-Ortiz, Á. Colored Optical Waveguides in Self-Assembled Thiadiazole-Based Materials. Dye. Pigment. 2018, 151, 327–334. [Google Scholar] [CrossRef]
  9. Olate, F.A.; Parra, M.L.; Vergara, J.M.; Barberá, J.; Dahrouch, M. Star-Shaped Molecules as Functional Materials Based on 1,3,5-Benzenetriesters with Pendant 1,3,4-Thiadiazole Groups: Liquid Crystals, Optical, Solvatofluorochromic and Electrochemical Properties. Liq. Cryst. 2017, 44, 1173–1184. [Google Scholar] [CrossRef]
  10. Qin, T.T.; Li, J.; Luo, H.Q.; Li, M.; Li, N.B. Corrosion Inhibition of Copper by 2,5-Dimercapto-1,3,4-Thiadiazole Monolayer in Acidic Solution. Corros. Sci. 2011, 53, 1072–1078. [Google Scholar] [CrossRef]
  11. Jin, L.; Wang, G.; Li, X.; Li, L. Poly(2,5-Dimercapto-1,3,4-Thiadiazole)/Sulfonated Graphene Composite as Cathode Material for Rechargeable Lithium Batteries. J. Appl. Electrochem. 2011, 41, 377–382. [Google Scholar] [CrossRef]
  12. Parveen, R.; Ahmad, S.; Mishra, R.; Alam, S. A Potential Review On Thiadiazoles. Int. J. ChemTech Res. 2013, 5, 2917–2923. [Google Scholar]
  13. Mishra, G.; Singh, A.K.; Jyoti, K. Thiadiazole Derivaties and It’s Pharmacological Activities. Int. J. ChemTech Res. 2011, 3, 1380–1393. [Google Scholar]
  14. Hu, Y.; Li, C.-Y.; Wang, X.-M.; Yang, Y.-H.; Zhu, H.-L. 1,3,4-Thiadiazole: Synthesis, Reactions, and Applications in Medicinal, Agricultural, and Materials Chemistry. Chem. Rev. 2014, 114, 5572–5610. [Google Scholar] [CrossRef] [PubMed]
  15. Gür, M.; Şener, N.; Kaştaş, Ç.A.; Özkan, O.E.; Muğlu, H.; Elmaswari, M.A.M. Synthesis and Characterization of Some New Heteroaromatic Compounds Having Chirality Adjacent to a 1,3,4-Thiadiazole Moiety and Their Antimicrobial Activities. J. Heterocycl. Chem. 2017, 54, 3578–3590. [Google Scholar] [CrossRef]
  16. Raj, V.; Rai, A.; Saha, S. Human Cancer Cell Line Based Approach of 1,3,4-Thiadiazole and Its Fused Ring: A Comprehensive Review. Anticancer Agents Med. Chem. 2017, 17, 500–523. [Google Scholar] [CrossRef] [PubMed]
  17. Altıntop, M.D.; Sever, B.; Özdemir, A.; Ilgın, S.; Atlı, Ö.; Turan-Zitouni, G.; Kaplancıklı, Z.A. Synthesis and Evaluation of a Series of 1,3,4-Thiadiazole Derivatives as Potential Anticancer Agents. Anticancer Agents Med. Chem. 2018, 18, 1606–1616. [Google Scholar] [CrossRef]
  18. Kalhor, M.; Dadras, A. Synthesis, Characterization, and Herbicidal Activities of New 1,3,4-Oxadiazoles, 1,3,4-Thiadiazoles, and 1,2,4-Triazoles Derivatives Bearing (R)-5-Chloro-3-Fluoro-2-Phenoxypyridine. J. Heterocycl. Chem. 2013, 50, 220–224. [Google Scholar] [CrossRef]
  19. Lv, M.; Liu, G.; Jia, M.; Xu, H. Synthesis of Matrinic Amide Derivatives Containing 1,3,4-Thiadiazole Scaffold as Insecticidal/Acaricidal Agents. Bioorg. Chem. 2018, 81, 88–92. [Google Scholar] [CrossRef]
  20. Fadda, A.A.; El Salam, M.A.; Tawfik, E.H.; Anwar, E.M.; Etman, H.A. Synthesis and Insecticidal Assessment of Some Innovative Heterocycles Incorporating a Thiadiazole Moiety against the Cotton Leafworm, Spodoptera Littoralis. RSC Adv. 2017, 7, 39773–39785. [Google Scholar] [CrossRef]
  21. Wan, R.; Zhang, J.-Q.; Han, F.; Wang, P.; Yu, P.; He, Q. Synthesis and Insecticidal Activities of Novel 1,3,4-Thiadiazole 5-Fluorouracil Acetamides Derivatives: An RNA Interference Insecticide. Nucleosides Nucleotides Nucleic Acids 2011, 30, 280–292. [Google Scholar] [CrossRef]
  22. Karaburun, A.; Acar Çevik, U.; Osmaniye, D.; Sağlık, B.; Kaya Çavuşoğlu, B.; Levent, S.; Özkay, Y.; Koparal, A.; Behçet, M.; Kaplancıklı, Z.; et al. Synthesis and Evaluation of New 1,3,4-Thiadiazole Derivatives as Potent Antifungal Agents. Molecules 2018, 23, 3129. [Google Scholar] [CrossRef]
  23. Bhinge, S.D.; Chature, V.; Sonawane, L.V. Synthesis of Some Novel 1,3,4-Thiadiazole Derivatives and Biological Screening for Anti-Microbial, Antifungal and Anthelmintic Activity. Pharm. Chem. J. 2015, 49, 367–372. [Google Scholar] [CrossRef]
  24. Cui, Z.-N.; Li, Y.-S.; Hu, D.-K.; Tian, H.; Jiang, J.-Z.; Wang, Y.; Yan, X.-J. Synthesis and Fungicidal Activity of Novel 2,5-Disubstituted-1,3,4-Thiadiazole Derivatives Containing 5-Phenyl-2-Furan. Sci. Rep. 2016, 6, 20204. [Google Scholar] [CrossRef]
  25. Matysiak, J. Biological and Pharmacological Activities of 1,3,4-Thiadiazole Based Compounds. Mini Rev. Med. Chem. 2015, 15, 762–775. [Google Scholar] [CrossRef]
  26. Ujan, R.; Saeed, A.; Channar, P.A.; Larik, F.A.; Abbas, Q.; Alajmi, M.F.; El-Seedi, H.R.; Rind, M.A.; Hassan, M.; Raza, H.; et al. Drug-1,3,4-Thiadiazole Conjugates as Novel Mixed-Type Inhibitors of Acetylcholinesterase: Synthesis, Molecular Docking, Pharmacokinetics, and ADMET Evaluation. Molecules 2019, 24, 860. [Google Scholar] [CrossRef]
  27. Dhameja, M.; Kumar, H.; Kurella, S.; Singh, R.; Uma, A.; Gupta, P. Inhibition of α-Glucosidase Enzyme By ‘click’-Inspired Pharmacophore Framework 1,3,4-Thiadiazole–1,2,3-Triazole Hybrids. Future Med. Chem. 2023, 15, 345–363. [Google Scholar] [CrossRef]
  28. Linciano, P.; Dawson, A.; Pöhner, I.; Costa, D.M.; Sa, M.S.; Cordeiro-Da-Silva, A.; Luciani, R.; Gul, S.; Witt, G.; Ellinger, B.; et al. Exploiting the 2-Amino-1,3,4-Thiadiazole Scaffold to Inhibit Trypanosoma Brucei Pteridine Reductase in Support of Early-Stage Drug Discovery. ACS Omega 2017, 2, 5666–5683. [Google Scholar] [CrossRef]
  29. Almandil, N.B.; Taha, M.; Gollapalli, M.; Rahim, F.; Ibrahim, M.; Mosaddik, A.; Anouar, E.H. Indole Bearing Thiadiazole Analogs: Synthesis, β-Glucuronidase Inhibition and Molecular Docking Study. BMC Chem. 2019, 13, 14. [Google Scholar] [CrossRef]
  30. Obakachi, V.A.; Kushwaha, B.; Kushwaha, N.D.; Mokoena, S.; Ganai, A.M.; Pathan, T.K.; van Zyl, W.E.; Karpoormath, R. Synthetic and Anti-Cancer Activity Aspects of 1, 3, 4-Thiadiazole Containing Bioactive Molecules: A Concise Review. J. Sulfur. Chem. 2021, 42, 670–691. [Google Scholar] [CrossRef]
  31. Indelicato, S.; Bongiorno, D.; Mauro, M.; Cascioferro, S. Recent Developments of 1,3,4-Thiadiazole Compounds as Anticancer Agents. Pharmaceuticals 2025, 18, 580. [Google Scholar] [CrossRef] [PubMed]
  32. Hekal, M.H.; Farag, P.S.; Hemdan, M.M.; El-Sayed, A.A.; Hassaballah, A.I.; El-Sayed, W.M. New 1,3,4-Thiadiazoles as Potential Anticancer Agents: Pro-Apoptotic, Cell Cycle Arrest, Molecular Modelling, and ADMET Profile. RSC Adv. 2023, 13, 15810–15825. [Google Scholar] [CrossRef]
  33. Anthwal, T.; Nain, S. 1,3,4-Thiadiazole Scaffold: As Anti-Epileptic Agents. Front. Chem. 2022, 9, 671212. [Google Scholar] [CrossRef] [PubMed]
  34. Kumar, D.; Aggarwal, N.; Kumar, V.; Chopra, H.; Marwaha, R.K.; Sharma, R. Emerging Synthetic Strategies and Pharmacological Insights of 1,3,4-Thiadiazole Derivatives: A Comprehensive Review. Future Med. Chem. 2024, 16, 563–581. [Google Scholar] [CrossRef] [PubMed]
  35. Raj, V.; Raj, A.; Singh, M.; Kumar, R.; Kumar, A.; Kumar, V.; Sharma, S.K. Recent Update on 1,3,4-Thiadiazole Derivatives: As Anticonvulsant Agents. Am. Res. J. Pharm. 2015, 1, 34–61. [Google Scholar] [CrossRef]
  36. Haider, S.; Alam, M.S.; Hamid, H. 1,3,4-Thiadiazoles: A Potent Multi Targeted Pharmacological Scaffold. Eur. J. Med. Chem. 2015, 92, 156–177. [Google Scholar] [CrossRef] [PubMed]
  37. Fawzi, M.; Bimoussa, A.; Laamari, Y.; Muhammed, M.T.; Irfan, A.; Oubella, A.; Alossaimi, M.A.; Riadi, Y.; Auhmani, A.; Itto, M.Y.A. Multitargeted Molecular Docking and Dynamics Simulation Studies of 1,3,4-Thiadiazoles Synthesised from (R)-Carvone against Specific Tumour Protein Markers: An In-Silico Study of Two Diastereoisomers. Comput. Biol. Chem. 2024, 112, 108159. [Google Scholar] [CrossRef] [PubMed]
  38. Radi, M.; Crespan, E.; Botta, G.; Falchi, F.; Maga, G.; Manetti, F.; Corradi, V.; Mancini, M.; Santucci, M.A.; Schenone, S.; et al. Discovery and SAR of 1,3,4-Thiadiazole Derivatives as Potent Abl Tyrosine Kinase Inhibitors and Cytodifferentiating Agents. Bioorg. Med. Chem. Lett. 2008, 18, 1207–1211. [Google Scholar] [CrossRef]
  39. Kumar, D.; Kumar, H.; Kumar, V.; Deep, A.; Sharma, A.; Marwaha, M.G.; Marwaha, R.K. Mechanism-Based Approaches of 1,3,4 Thiadiazole Scaffolds as Potent Enzyme Inhibitors for Cytotoxicity and Antiviral Activity. Med. Drug Discov. 2023, 17, 100150. [Google Scholar] [CrossRef]
  40. Tikhonova, T.A.; Rassokhina, I.V.; Kondrakhin, E.A.; Fedosov, M.A.; Bukanova, J.V.; Rossokhin, A.V.; Sharonova, I.N.; Kovalev, G.I.; Zavarzin, I.V.; Volkova, Y.A. Development of 1,3-Thiazole Analogues of Imidazopyridines as Potent Positive Allosteric Modulators of GABAA Receptors. Bioorg. Chem. 2020, 94, 103334. [Google Scholar] [CrossRef]
  41. Yang, M.G.; Dhar, T.G.M.; Xiao, Z.; Xiao, H.Y.; Duan, J.J.W.; Jiang, B.; Galella, M.A.; Cunningham, M.; Wang, J.; Habte, S.; et al. Improving the Pharmacokinetic and CYP Inhibition Profiles of Azaxanthene-Based Glucocorticoid Receptor Modulators—Identification of (S)-5-(2-(9-Fluoro-2-(4-(2-hydroxypropan-2-yl)phenyl)-5H-chromeno[2,3-b]pyridin-5-yl)-2-methylpropanamido)-N-(tetrahydro-2H-pyran-4-yl)-1,3,4-thiadiazole-2-carboxamide (BMS-341). J. Med. Chem. 2015, 58, 4278–4290. [Google Scholar] [CrossRef]
  42. Janowska, S.; Paneth, A.; Wujec, M. Cytotoxic Properties of 1,3,4-Thiadiazole Derivatives—A Review. Molecules 2020, 25, 4309. [Google Scholar] [CrossRef]
  43. Ammara, A.; Giovannuzzi, S.; Bonardi, A.; Abutaleb, N.S.; Abouelkhair, A.A.; Flaherty, D.P.; Seleem, M.N.; Capasso, C.; Gratteri, P.; Nocentini, A.; et al. Redesigning Oxazolidinones as Carbonic Anhydrase Inhibitors against Vancomycin-Resistant Enterococci. Eur. J. Med. Chem. 2025, 291, 117620. [Google Scholar] [CrossRef]
  44. Xiong, Y.; Wang, R.; Zheng, J.; Fang, D.; He, P.; Liu, S.; Lin, Z.; Chen, X.; Chen, C.; Shang, Y.; et al. Discovery of Novel Dihydropyrrolidone-Thiadiazole Compound Crosstalk between the YycG/F Two-Component Regulatory Pathway and Cell Membrane Homeostasis to Combat Methicillin-Resistant Staphylococcus Aureus. Eur. J. Med. Chem. 2024, 277, 116770. [Google Scholar] [CrossRef] [PubMed]
  45. Gumus, A.; D’Agostino, I.; Puca, V.; Crocetta, V.; Carradori, S.; Cutarella, L.; Mori, M.; Carta, F.; Angeli, A.; Capasso, C.; et al. Cyclization of Acyl Thiosemicarbazides Led to New Helicobacter Pylori α-Carbonic Anhydrase Inhibitors. Arch. Pharm. 2024, 357, e2400548. [Google Scholar] [CrossRef] [PubMed]
  46. Mao, G.; Tian, Y.; Shi, J.; Liao, C.; Huang, W.; Wu, Y.; Wen, Z.; Yu, L.; Zhu, X.; Li, J. Design, Synthesis, Antibacterial, and Antifungal Evaluation of Phenylthiazole Derivatives Containing a 1,3,4-Thiadiazole Thione Moiety. Molecules 2024, 29, 285. [Google Scholar] [CrossRef]
  47. Hafidh, A.; Chaabane, H.; Touati, F.; Sediri, F. Design and Synthesis of Novel Mesostructured Nanohybrid Materials as Antimicrobials. J. Mol. Struct. 2024, 1295, 136611. [Google Scholar] [CrossRef]
  48. Saiyad, A.H.; Godhani, D.R.; Mehta, U.P.; Parmar, K.P.; Mehta, J.P. Synthesis, Antimicrobial Evaluation, and Measurement of Physical and Thermo-Acoustical Parameters of Novel 1,3,4-Thiadiazole and Benzo[d]Imidazole Scaffolds by Ultrasonic Studies. J. Iran. Chem. Soc. 2024, 21, 1225–1243. [Google Scholar] [CrossRef]
  49. Suvorova, Y.V.; Petukhova, E.A.; Dmitriev, M.V.; Danilova, E.A. Crystal Structures and Biological Properties of Bisaminothiadiazoles. Russ. J. Gen. Chem. 2024, 94, 297–304. [Google Scholar] [CrossRef]
  50. Zahoor, T.; Khan, S.; Chinnam, S.; Iqbal, T.; Hussain, R.; Khan, Y.; Ullah, H.; Daud, S.; Rahman, R.; Iqbal, R.; et al. A Combined in Vitro and in Silico Approach of Thiadiazole Based Schiff Base Derivatives as Multipotent Inhibitor: Synthesis, Spectral Analysis, Antidiabetic and Antimicrobial Activity. Results Chem. 2024, 9, 101671. [Google Scholar] [CrossRef]
  51. Wu, S.X.; Liu, J.; Tan, B.X.; He, C.; Wu, W.Q.; Yu, L.; Li, P. Design, Synthesis, Antibacterial, and Antifungal Activity Evaluation of Novel Pyrimidine Derivatives Incorporating Amide and 1,3,4-Thiadiazole Thioether Moieties. Russ. J. Gen. Chem. 2024, 94, 3448–3455. [Google Scholar] [CrossRef]
  52. Chaudhary, N.; Dubey, R.; Ram, T.; Panwar, H. 1,3,4-Thiadiazole: A Promising Pharmacophore. Orient. J. Chem. 2023, 39, 427–433. [Google Scholar] [CrossRef]
  53. Blaja, S.; Lungu, L.; Ciocarlan, A.; Vornicu, N.; Aricu, A. SYNTHESIS AND EVALUATION OF ANTIMICROBIAL ACTIVITY OF TETRANORLABDANE COMPOUNDS BEARING 1,3,4-THIADIAZOLE UNITS. Chem. J. Mold. 2023, 18, 86–91. [Google Scholar] [CrossRef]
  54. Ibrahim, A.G.; Elgammal, W.E.; Eid, A.M.; Alharbi, M.; Mohamed, A.E.; Alayafi, A.A.M.; Hassan, S.M.; Fouda, A. New Functionalized Chitosan with Thio-Thiadiazole Derivative with Enhanced Inhibition of Pathogenic Bacteria, Plant Threatening Fungi, and Improvement of Seed Germination. Chemistry 2023, 5, 1722–1744. [Google Scholar] [CrossRef]
  55. Dinh Thanh, N.; Ngoc Toan, V.; Thi Kim Giang, N.; Thi Kim Van, H.; Son Hai, D.; Minh Tri, N.; Ngoc Toan, D. Synthesis, Biological and Molecular Modelling for 1,3,4-Thiadiazole Sulfonyl Thioureas: Bacterial and Fungal Activity. RSC Med. Chem. 2023, 14, 2751–2767. [Google Scholar] [CrossRef]
  56. Zhao, X.; Feng, J.; Zhang, J.; Han, Z.; Hu, Y.; Shao, H.H.; Li, T.; Xia, J.; Lei, K.; Wang, W.; et al. Discovery and Druggability Evaluation of Pyrrolamide-Type GyrB/ParE Inhibitor against Drug-Resistant Bacterial Infection. Acta Pharm. Sin. B 2023, 13, 4945–4962. [Google Scholar] [CrossRef]
  57. Hangan, A.C.; Lucaciu, R.L.; Turza, A.; Dican, L.; Sevastre, B.; Páll, E.; Oprean, L.S.; Borodi, G. New Copper Complexes with Antibacterial and Cytotoxic Activity. Int. J. Mol. Sci. 2023, 24, 13819. [Google Scholar] [CrossRef]
  58. Kumar, D.; Aggarwal, N.; Kumar, V.; Kumar, H.; Deep, A.; Bibi, S.; Chopra, H.; Kumar Marwaha, R.; Alshammari, A.; Alharbi, M.; et al. Synthesis, Anticancer, Antimicrobial and Antioxidant Potential of Novel 4-(Substituted Phenyl-1,3,4-Oxadiazol/Thiadiazol-2-Yl)-4-(4-Substituted Phenyl) Azetidin-2-One Derivatives. Pharmaceuticals 2023, 16, 517. [Google Scholar] [CrossRef] [PubMed]
  59. Chen, C.; Wu, Y.; Su, Z.; Qiu, M.; Gao, T.; Liang, X.; Wu, Q.; Jiang, K.; Liu, W. Synthesis of Gallic Acid Amide Derivatives Containing 1,3,4-Thiadiazole and Their Inhibitory Activity on Vibrio Harveyi. Pak. J. Pharm. Sci. 2023, 36, 99–102. [Google Scholar] [CrossRef] [PubMed]
  60. Gurunani, G.; Agrawal, K.; Walde, S.; Ittadwar, A. Synthesis of Sparfloxacin Derivatives as an Antibacterial, Antimycobacterial Agents with Cytotoxicity Investigation. Res. J. Pharm. Technol. 2022, 15, 4359–4366. [Google Scholar] [CrossRef]
  61. Janowska, S.; Khylyuk, D.; Andrzejczuk, S.; Wujec, M. Design, Synthesis, Antibacterial Evaluations and In Silico Studies of Novel Thiosemicarbazides and 1,3,4-Thiadiazoles. Molecules 2022, 27, 3161. [Google Scholar] [CrossRef]
  62. Alqahtani, A.M.; El-Din, A.G.S.; Abdou, R.; Amin, A.H.; Arab, H.H.; Abdelazeem, A.H. Novel S-Mercaptotriazolebenzothiazole-Based Derivatives as Antimicrobial Agents: Design, Synthesis, and In Vitro Evaluation. Lett. Drug Des. Discov. 2022, 19, 925–937. [Google Scholar] [CrossRef]
  63. Pham, E.C.; Truong, T.N.; Dong, N.H.; Vo, D.D.; Do, T.T.H. Synthesis of a Series of Novel 2-Amino-5-Substituted 1,3,4-Oxadiazole and 1,3,4-Thiadiazole Derivatives as Potential Anticancer, Antifungal and Antibacterial Agents. Med. Chem. 2022, 18, 558–573. [Google Scholar] [CrossRef]
  64. Baddi, S.; Dang-i, A.Y.; Huang, T.; Xing, C.; Lin, S.; Feng, C.L. Chirality-Influenced Antibacterial Activity of Methylthiazole- and Thiadiazole-Based Supramolecular Biocompatible Hydrogels. Acta Biomater. 2022, 141, 59–69. [Google Scholar] [CrossRef] [PubMed]
  65. Muğlu, H.; Akın, M.; Çavuş, M.S.; Yakan, H.; Şaki, N.; Güzel, E. Exploring of Antioxidant and Antibacterial Properties of Novel 1,3,4-Thiadiazole Derivatives: Facile Synthesis, Structural Elucidation and DFT Approach to Antioxidant Characteristics. Comput. Biol. Chem. 2022, 96, 107618. [Google Scholar] [CrossRef]
  66. Sunitha, K.; Nair, S.; Palanisamy, P. Synthesis, Characterization and Biological Evaluation of Some Novel Azo-Imine Compounds. Asian J. Chem. 2022, 34, 663–667. [Google Scholar] [CrossRef]
  67. Yu, L.; Xiao, L.; Li, P.; Chi, J.; Li, J.; Tan, S. Synthesis and Bioactivity Evaluation of Novel Thiochroman-4-One Derivatives Incorporating Carboxamide and 1, 3, 4-Thiadiazole Thioether Moieties. J. Chem. 2022, 2022, 5354088. [Google Scholar] [CrossRef]
  68. Shu, Y.; Chen, M.; Lu, D.; Zhou, Z.; Yu, J.; Hu, X.; Yang, J.; Li, A.; Liu, J.; Luo, H. Synthesis and Bioactivities of Novel Galactoside Derivatives Containing 1,3,4-Thiadiazole Moiety. Front. Chem. 2022, 10, 910710. [Google Scholar] [CrossRef]
  69. Prasad, S.R.; Satyanarayan, N.D.; Shetty, A.S.K.; Shivanna, H.; Thippeswamy, B. Design and Synthesis of Some 1,3,4-Thiadiazole Amines: Molecular Docking, in Silico ADMET, in Vitro Antimicrobials and Antioxidant Studies. Asian J. Chem. 2022, 34, 2067–2073. [Google Scholar] [CrossRef]
  70. Acar Çevik, U.; Işık, A.; Evren, A.E.; Kapusız; Gül, D.; Özkay, Y.; Kaplancıklı, Z.A. Synthesis of New Benzimidazole Derivatives Containing 1,3,4-Thiadiazole: Their in Vitro Antimicrobial, in Silico Molecular Docking and Molecular Dynamic Simulations Studies. SAR QSAR Environ. Res. 2022, 33, 899–914. [Google Scholar] [CrossRef] [PubMed]
  71. Hayder, M.H.; Muayad, A.R. Synthesis, Characterization and Docking Studies of New Benzimidazole Derivatives Containing 1,3,4 Thiadiazole Ring and Study of Their Antibacterial Activity. Int. J. Drug Deliv. Technol. 2021, 11, 1422–1428. Available online: https://impactfactor.org/PDF/IJDDT/11/IJDDT,Vol11,Issue4,Article51.pdf (accessed on 4 September 2025). [CrossRef]
  72. Omar, M.H.; Muayad, A.R. Synthesis, Structural Characterization and Evaluation of Antibacterial Activity of New 2-Methyl-1H-Benzimidazole Derivatives. Int. J. Drug Deliv. Technol. 2021, 11, 1355–1359. Available online: https://impactfactor.org/PDF/IJDDT/11/IJDDT,Vol11,Issue4,Article39.pdf (accessed on 4 September 2025). [CrossRef]
  73. Garg, A.; Garg, S. 1,3,4-Thiadiazole Attached 2, 3-Disubstituted Thiazolidinones Derivatives: Synthesis and Biological Evaluation. Indian J. Pharm. Educ. Res. 2021, 55, 1151–1163. [Google Scholar] [CrossRef]
  74. Weaam, A.S. Synthesis, Characterization, and Biological Activity for a New Ligand 2,5-Bis[(Butan-2-Ylidene)Hydrazinyl]-1,3,4-Thiadiazole with Some Transition Metal Complexes. Int. J. Drug Deliv. Technol. 2021, 11, 711–715. Available online: https://impactfactor.org/PDF/IJDDT/11/IJDDT,Vol11,Issue3,Article10.pdf (accessed on 4 September 2025). [CrossRef]
  75. Sahu, S.; Sahu, T.; Kalyani, G.; Gidwani, B. Synthesis and Evaluation of Antimicrobial Activity of 1, 3, 4-Thiadiazole Analogues for Potential Scaffold. J. Pharmacopunct. 2021, 24, 32–40. [Google Scholar] [CrossRef]
  76. Nawar, J.A.; Saja, A.A.; Faqad, T.A.; Tareq, K.I.; Ziad, T.I.A. Synthesis and Characterization of New Compounds Derived from Amoxicillin and Evaluation of Its Biological Activity. Int. J. Drug Deliv. Technol. 2021, 11, 980–982. Available online: https://impactfactor.org/PDF/IJDDT/11/IJDDT,Vol11,Issue3,Article55.pdf (accessed on 4 September 2025). [CrossRef]
  77. Weaam, A.S. Synthesis, Characterization and Biological Activity of a New Ligand 2,5-Bis[(2E)-2-(2-Bromobenzylidene) Hydrazinyl]-1,3,4-Thiadiazole with Some Transition Metal Complexes. Int. J. Drug Deliv. Technol. 2021, 11, 123–128. Available online: https://impactfactor.org/PDF/IJDDT/11/IJDDT,Vol11,Issue1,Article23.pdf (accessed on 4 September 2025). [CrossRef]
  78. Kaur, J.; Cao, X.; Abutaleb, N.S.; Elkashif, A.; Graboski, A.L.; Krabill, A.D.; Abdelkhalek, A.H.; An, W.; Bhardwaj, A.; Seleem, M.N.; et al. Optimization of Acetazolamide-Based Scaffold as Potent Inhibitors of Vancomycin-Resistant Enterococcus. J. Med. Chem. 2020, 63, 9540–9562. [Google Scholar] [CrossRef] [PubMed]
  79. Karcz, D.; Matwijczuk, A.; Kamiński, D.; Creaven, B.; Ciszkowicz, E.; Lecka-Szlachta, K.; Starzak, K. Structural Features of 1,3,4-Thiadiazole-Derived Ligands and Their Zn(II) and Cu(II) Complexes Which Demonstrate Synergistic Antibacterial Effects with Kanamycin. Int. J. Mol. Sci. 2020, 21, 5735. [Google Scholar] [CrossRef] [PubMed]
  80. Abdel-Motaal, M.; Almohawes, K.; Tantawy, M.A. Antimicrobial Evaluation and Docking Study of Some New Substituted Benzimidazole-2yl Derivatives. Bioorg. Chem. 2020, 101, 103972. [Google Scholar] [CrossRef]
  81. Wu, Q.; Cai, H.; Yuan, T.; Li, S.; Gan, X.; Song, B. Novel Vanillin Derivatives Containing a 1,3,4-Thiadiazole Moiety as Potential Antibacterial Agents. Bioorg. Med. Chem. Lett. 2020, 30, 127113. [Google Scholar] [CrossRef]
  82. Ali, D.; Dawood, A.H.; Fadhil, K. Resveratrol 1,3,4-Thiadiazole Synthesis, Characterization and Biological Study. Int. J. Pharm. Res. 2020, 12, 2726–2733. [Google Scholar] [CrossRef]
  83. Mahmoud, M.A.; Ibrahim, S.K.; Rdaiaan, M.A. Antibacterial Evaluation of Some New Benzimidazole Derivatives. Int. J. Pharm. Res. 2020, 12, 282–287. [Google Scholar] [CrossRef]
  84. Lungu, L.; Ciocarlan, A.; Smigon, C.; Ozer, I.; Shova, S.; Gutu, I.; Vornicu, N.; Mangalagiu, I.; D’Ambrosio, M.; Aricu, A. Synthesis and Evaluation of Biological Activity of Homodrimane Sesquiterpenoids Bearing 1,3,4-Oxadiazole or 1,3,4-Thiadiazole Units. Chem. Heterocycl. Compd. 2020, 56, 578–585. [Google Scholar] [CrossRef]
  85. Singh, A.; Farooqui, M.; Diwan, M.F.; Pardeshi, R.K. Design and Synthesis of Biological Active N-(5-P-Tolyl-1,3,4-Thiadiazol-2-Yl) Benzamideandits Derivatives with Evaluation of Their Antibacterial Activity. Int. J. Pharm. Sci. Res. 2020, 11, 3355–3359. Available online: https://ijpsr.com/bft-article/design-and-synthesis-of-biological-active-n-5-p-tolyl-134-thiadiazol-2-yl-benzamideandits-derivatives-with-evaluation-of-their-anti-bacterial-activity/ (accessed on 4 September 2025). [CrossRef]
  86. Brahimi, F.T.; Belkhadem, F.; Trari, B.; Othman, A.A. Diazole and Triazole Derivatives of Castor Oil Extract: Synthesis, Hypoglycemic Effect, Antioxidant Potential and Antimicrobial Activity. Grasas Y Aceites 2020, 71, e378. [Google Scholar] [CrossRef]
  87. Carbone, D.; Pecoraro, C.; Scianò, F.; Catania, V.; Schillaci, D.; Manachini, B.; Cascioferro, S.; Diana, P.; Parrino, B. Novel [1,3,4]Thiadiazole[3,2-a]Pyrimidin-5-Ones as Promising Biofilm Dispersal Agents against Relevant Gram-Positive and Gram-Negative Pathogens. Mar. Drugs 2024, 22, 133. [Google Scholar] [CrossRef]
  88. Khalili Ghomi, M.; Noori, M.; Nazari Montazer, M.; Zomorodian, K.; Dastyafteh, N.; Yazdanpanah, S.; Sayahi, M.H.; Javanshir, S.; Nouri, A.; Asadi, M.; et al. [1,2,4]Triazolo[3,4-b][1,3,4]Thiadiazole Derivatives as New Therapeutic Candidates against Urease Positive Microorganisms: Design, Synthesis, Pharmacological Evaluations, and in Silico Studies. Sci. Rep. 2023, 13, 10136. [Google Scholar] [CrossRef]
  89. Wu, N.; Yang, Y.; Tian, G.; An, L.; Liu, S.; Yan, T.; Yi, M.; Bao, X. Synthesis, X-Ray Crystal Structure, and Antimicrobial Studies of New Quinazolin-4(3H)-One Derivatives Containing the 1,2,4-Triazolo[3,4-b][1,3,4]Thiadiazole Moiety and 4-Piperidinyl Linker. J. Agric. Food Chem. 2023, 71, 19277–19287. [Google Scholar] [CrossRef]
  90. Kamoutsis, C.; Fesatidou, M.; Petrou, A.; Geronikaki, A.; Poroikov, V.; Ivanov, M.; Soković, M.; Ćirić, A.; Carazo, A.; Mladěnka, P. Triazolo Based-Thiadiazole Derivatives. Synthesis, Biological Evaluation and Molecular Docking Studies. Antibiotics 2021, 10, 804. [Google Scholar] [CrossRef]
  91. Bhadraiah, U.K.; Basavanna, V.; Gurudatt, D.M.; Shivalingappa, R.P.; Lingegowda, N.S.; Ningaiah, S. Bicyclic [1,3,4]Thiadiazolo[3,2-α]Pyrimidine Analogues: Novel One-Pot Three-Component Synthesis, Antimicrobial, and Antioxidant Evaluation. Biointerface Res. Appl. Chem. 2021, 11, 12925–12936. [Google Scholar] [CrossRef]
  92. Guo, F.Y.; Zheng, C.J.; Wang, M.; Ai, J.; Han, L.Y.; Yang, L.; Lu, Y.F.; Yang, Y.X.; Piao, M.G.; Piao, H.; et al. Synthesis and Antimicrobial Activity Evaluation of Imidazole-Fused Imidazo[2,1-b][1,3,4]Thiadiazole Analogues. ChemMedChem 2021, 16, 2354–2365. [Google Scholar] [CrossRef]
  93. Elsharabasy, S.A.; Sayed, M.T.; Abdel-Aziem, A. Novel Coumarin Linked Pyrazoles, Thiazoles, and Thiadiazoles: Synthetic Strategies and in Vitro Antimicrobial Investigation. Future Med. Chem. 2025, 17, 183–193. [Google Scholar] [CrossRef] [PubMed]
  94. Dai, P.; Jiao, J.; Li, Y.; Teng, P.; Wang, Q.; Zhu, Y.; Zhang, W. Novel 5-Sulfonyl-1,3,4-Thiadiazole-Substituted Flavonoids as Potential Bactericides and Fungicides: Design, Synthesis, Three-Dimensional Quantitative Structure-Activity Relationship Studies. J. Agric. Food Chem. 2024, 72, 6672–6683. [Google Scholar] [CrossRef]
  95. Gomha, S.M.; Muhammad, Z.A.; Al-Hussain, S.A.; Zaki, M.E.A.; Abdel-aziz, H.M. Synthesis, Characterization, and Antimicrobial Evaluation of Some New 1,4-Dihydropyridine Hybrid with 1,3,4-Thiadiazole. Polycycl. Aromat. Compd. 2022, 42, 1697–1709. [Google Scholar] [CrossRef]
  96. Shehadi, I.A.; Abdelrahman, M.T.; Abdelraof, M.; Rashdan, H.R.M. Solvent-Free Synthesis, In Vitro and In Silico Studies of Novel Potential 1,3,4-Thiadiazole-Based Molecules against Microbial Pathogens. Molecules 2022, 27, 342. [Google Scholar] [CrossRef]
  97. Rashdan, H.R.M.; Abdelrahman, M.T.; Shehadi, I.A.; El-Tanany, S.S.; Hemdan, B.A. Novel Thiadiazole-Based Molecules as Promising Inhibitors of Black Fungi and Pathogenic Bacteria: In Vitro Antimicrobial Evaluation and Molecular Docking Studies. Molecules 2022, 27, 3613. [Google Scholar] [CrossRef]
  98. Li, B.; Duan, W.; Lin, G.; Liu, X.; Cui, Y.; Man, Y. Synthesis and Antifungal Activity Evaluation of Novel L-Carvone-Based 1,3,4-Thiadiazole-Amide Derivatives as a Potential Succinate Dehydrogenase Inhibitor. J. Agric. Food Chem. 2024, 72, 26116–26124. [Google Scholar] [CrossRef]
  99. He, B.; Hu, Y.; Xing, L.; Qing, Y.; Meng, K.; Zeng, W.; Sun, Z.; Wang, Z.; Xue, W. Antifungal Activity of Novel Indole Derivatives Containing 1,3,4-Thiadiazole. J. Agric. Food Chem. 2024, 72, 10227–10235. [Google Scholar] [CrossRef] [PubMed]
  100. Zhang, T.; Liu, Y.; Xin, H.; Tian, J.; Deng, T.; Meng, K.; An, Y.; Xue, W. Synthesis and Antifungal Activity of Chalcone Derivatives Containing 1,3,4-Thiadiazole. Chem. Biodivers. 2024, 21, e202401031. [Google Scholar] [CrossRef] [PubMed]
  101. Dai, P.; Li, Y.; Ma, Z.; Jiao, J.; Xia, Q.; Zhang, W. Design, Synthesis, Antifungal Evaluation, and Three-Dimensional Quantitative Structure-Activity Relationship of Novel 5-Sulfonyl-1,3,4-Thiadiazole Flavonoids. J. Agric. Food Chem. 2024, 72, 21419–21428. [Google Scholar] [CrossRef] [PubMed]
  102. Kong, Z.; Zhang, X.; Bian, M.; Fu, D. Design, Synthesis and Fungicidal Activity of N-(5-Phenyl-1,3,4-Thiadiazol-2-Yl)-N-((1-Phenyl-1H-1,2,3-Triazol-4-Yl) Methyl) Benzamide Derivatives. Nat. Prod. Commun. 2024, 19, 1934578X241304621. Available online: https://journals.sagepub.com/doi/full/10.1177/1934578X241304621 (accessed on 4 September 2025). [CrossRef]
  103. Andrews, B.; Sudarsan, S.; Durairaj, A.L.M. Novel 1,3,4-Thiadiazole-2-Yl-Pyrimidine Derivatives In Vitro and the Etymology of Antifungal Activity. Russ. J. Org. Chem. 2024, 60, S22–S27. [Google Scholar] [CrossRef]
  104. Dróżdż, A.; Kubera, D.; Sławińska-Brych, A.; Matwijczuk, A.; Ślusarczyk, L.; Czernel, G.; Karcz, D.; Olender, A.; Bogut, A.; Pietrzak, D.; et al. Synergistic Antifungal Interactions between Antibiotic Amphotericin B and Selected 1,3,4-Thiadiazole Derivatives, Determined by Microbiological, Cytochemical, and Molecular Spectroscopic Studies. Int. J. Mol. Sci. 2023, 24, 3430. [Google Scholar] [CrossRef]
  105. Shi, H.; Li, L.; Song, D.; Zheng, Y.; Wu, Z. In Vitro/Vivo Antifungal Activity Study of Novel Mandelic Acid Derivatives as Potential Fungicides against Thanatephorus Cucumeris. Arab. J. Chem. 2023, 16, 104884. [Google Scholar] [CrossRef]
  106. Zhou, Y.; Gong, C.; Sun, Z.; Zeng, W.; Meng, K.; An, Y.; Hu, Y.; Xue, W. Novel Flavonol Derivatives Containing 1,3,4-Thiadiazole as Potential Antifungal Agents: Design, Synthesis, and Biological Evaluation. ACS Omega 2023, 9, 17297–17306. [Google Scholar] [CrossRef] [PubMed]
  107. Dou, L.; Shi, H.; Niu, X.; Zhang, H.; Zhang, K.; Wu, Z. Design, Synthesis and Antifungal Mechanism of Novel Acetophenone Derivatives Containing 1,3,4-Thiadiazole-2-Thioethers. New J. Chem. 2022, 46, 9017–9023. [Google Scholar] [CrossRef]
  108. Zou, R.; Li, B.; Duan, W.; Lin, G.; Cui, Y. Synthesis of 3-Carene-Derived Nanocellulose/1,3,4-Thiadiazole-Amide Complexes with Antifungal Activity for Plant Protection. Pest Manag. Sci. 2022, 78, 3277–3286. [Google Scholar] [CrossRef]
  109. Pan, N.; Liu, C.; Wu, R.; Fei, Q.; Wu, W. Novel Pyrimidine Derivatives Bearing a 1,3,4-Thiadiazole Skeleton: Design, Synthesis, and Antifungal Activity. Front. Chem. 2022, 10, 922813. [Google Scholar] [CrossRef]
  110. Geng, Y.; Gui, K.; Pan, T.; Ye, J.; Li, J.; Feng, J.; Ma, Z.; Lei, P.; Gao, Y. Preparation of Terpene-Derived Fungicidal Candidates with a 1,3,4-Thiadiazole Moiety for Natural Product-Inspired Agrochemical Discovery. Ind. Crops Prod. 2022, 189, 115889. [Google Scholar] [CrossRef]
  111. Mao, S.; Wu, C.; Gao, Y.; Hao, J.; He, X.; Tao, P.; Li, J.; Shang, S.; Song, Z.; Song, J. Pine Rosin as a Valuable Natural Resource in the Synthesis of Fungicide Candidates for Controlling Fusarium Oxysporum on Cucumber. J. Agric. Food Chem. 2021, 69, 6475–6484. [Google Scholar] [CrossRef]
  112. Wang, X.; Duan, W.G.; Lin, G.S.; Chen, M.; Lei, F.H. Synthesis, Antifungal Activity and 3D-QSAR Study of Novel Nopol-Based 1,3,4-Thiadiazole–Thioether Compounds. Res. Chem. Intermed. 2021, 47, 4029–4049. [Google Scholar] [CrossRef]
  113. Chen, M.; Duan, W.G.; Lin, G.S.; Fan, Z.T.; Wang, X. Synthesis, Antifungal Activity, and 3D-QSAR Study of Novel Nopol-Derived 1,3,4-Thiadiazole-Thiourea Compounds. Molecules 2021, 26, 1708. [Google Scholar] [CrossRef]
  114. Tunel, H.; Er, M.; Alici, H.; Onaran, A.; Karakurt, T.; Tahtaci, H. Synthesis, Structural Characterization, Biological Activity, and Theoretical Studies of Some Novel Thioether-Bridged 2,6-Disubstituted Imidazothiadiazole Analogues. J. Heterocycl. Chem. 2021, 58, 1321–1343. [Google Scholar] [CrossRef]
  115. Laachir, A.; Guesmi, S.; Ketatni, E.M.; Saadi, M.; El Ammari, L.; Esserti, S.; Faize, M.; Bentiss, F. Novel 1-D Copper(II) Coordination Polymer Based on 2,5-Bis(Pyridine-2-Yl)-1,3,4-Thiadiazole as Bridging Ligand: Synthesis, Crystal Structure, Hirshfeld Surface Analysis, Spectroscopic Characterizations and Biological Assessment. J. Mol. Struct. 2020, 1218, 128533. [Google Scholar] [CrossRef]
  116. Zhan, W.; Zhou, R.; Mao, P.; Yuan, C.; Zhang, T.; Liu, Y.; Tian, J.; Wang, H.; Xue, W. Synthesis, Antifungal Activity and Mechanism of Action of Novel Chalcone Derivatives Containing 1,2,4-Triazolo-[3,4-b]-1,3,4-Thiadiazole. Mol. Divers. 2024, 28, 461–474. [Google Scholar] [CrossRef] [PubMed]
  117. Singh, P.K.; Srivastava, V.; Singh, P.P. Visible Light Mediated Eosin-Y Catalysed Direct Synthesis of Biologically Potent [1,2,4]Triazolo [3,4-b] [1,3,4] Thiadiazols. Indian J. Chem. 2024, 63, 664–672. [Google Scholar] [CrossRef]
  118. Borthakur, S.K.; Konwar, L.J.; Nath, G.; Kalita, P.K.; Borthakur, S. Synthesis of Some Novel 7-Substituted [1,3,4]Thiadiazolo[3,2-c][1,3,5]Thiadiazine-6,6-Dioxides with Antifungal Evaluation against Rice Pathogens. J. Heterocycl. Chem. 2020, 57, 4210–4214. [Google Scholar] [CrossRef]
Figure 1. Possible isomers of thiadiazole core: A: 1,2,3-thiadiazole; B: 1,2,4-thiadiazole; C: 1,2,5-thiadiazole; D: 1,3,4-thiadiazole.
Figure 1. Possible isomers of thiadiazole core: A: 1,2,3-thiadiazole; B: 1,2,4-thiadiazole; C: 1,2,5-thiadiazole; D: 1,3,4-thiadiazole.
Pharmaceuticals 18 01348 g001
Scheme 1. The most popular synthetic routes for the disubstituted 1,3,4-thiadiazole derivative: (a): sulfurization and cyclodehydration step; (b): N-acylation and cyclodehydration step; (c): oxidative cyclization step; (d): sulfurization and cyclocondensation step; (e): cyclodehydrosulfurization step; (f): rearrangement step.
Scheme 1. The most popular synthetic routes for the disubstituted 1,3,4-thiadiazole derivative: (a): sulfurization and cyclodehydration step; (b): N-acylation and cyclodehydration step; (c): oxidative cyclization step; (d): sulfurization and cyclocondensation step; (e): cyclodehydrosulfurization step; (f): rearrangement step.
Pharmaceuticals 18 01348 sch001
Figure 2. Representative drugs and reference standards characterized by the presence of the 1,3,4-thiadiazole ring. E: Acetazolamide—diuretic, antiglaucoma, anticonvulsant, and treatment for altitude sickness. F: Cefazolin—treats bacterial infections (especially Gram-positive). G: Megazol—antiparasitic agent (investigated for Chagas disease and sleeping sickness). H: Sulfamethizole—treats urinary tract infections (UTIs) and other bacterial infections. I: Gludiase—treats type 2 diabetes mellitus by stimulating insulin secretion from pancreatic beta cells. J: Thiodiazole copper—a type of copper-based antimicrobial compound often used to control a wide range of plant diseases caused by bacteria and fungi.
Figure 2. Representative drugs and reference standards characterized by the presence of the 1,3,4-thiadiazole ring. E: Acetazolamide—diuretic, antiglaucoma, anticonvulsant, and treatment for altitude sickness. F: Cefazolin—treats bacterial infections (especially Gram-positive). G: Megazol—antiparasitic agent (investigated for Chagas disease and sleeping sickness). H: Sulfamethizole—treats urinary tract infections (UTIs) and other bacterial infections. I: Gludiase—treats type 2 diabetes mellitus by stimulating insulin secretion from pancreatic beta cells. J: Thiodiazole copper—a type of copper-based antimicrobial compound often used to control a wide range of plant diseases caused by bacteria and fungi.
Pharmaceuticals 18 01348 g002
Figure 3. Number of relevant articles related to 1,3,4-thiadiazole published between 2000 and 2025. The data were obtained from Scopus. Search: 1,3,4-thiadiazole; all fields (accessed June 2025).
Figure 3. Number of relevant articles related to 1,3,4-thiadiazole published between 2000 and 2025. The data were obtained from Scopus. Search: 1,3,4-thiadiazole; all fields (accessed June 2025).
Pharmaceuticals 18 01348 g003
Figure 4. Oxazolidinones containing a 1,3,4-thiadiazole ring.
Figure 4. Oxazolidinones containing a 1,3,4-thiadiazole ring.
Pharmaceuticals 18 01348 g004
Figure 5. Dihydropyrrolidone derivatives with 1,3,4-thiadiazole core.
Figure 5. Dihydropyrrolidone derivatives with 1,3,4-thiadiazole core.
Pharmaceuticals 18 01348 g005
Figure 6. Two series of 1,3,4-thiadiazole derivatives containing (2H)-chromen-2-one moiety.
Figure 6. Two series of 1,3,4-thiadiazole derivatives containing (2H)-chromen-2-one moiety.
Pharmaceuticals 18 01348 g006
Figure 7. Phenylthiazole derivatives containing a 1,3,4-thiadiazole thione moiety.
Figure 7. Phenylthiazole derivatives containing a 1,3,4-thiadiazole thione moiety.
Pharmaceuticals 18 01348 g007
Figure 8. The structure of mesostructured nanohybrids of thiadiazole.
Figure 8. The structure of mesostructured nanohybrids of thiadiazole.
Pharmaceuticals 18 01348 g008
Figure 9. The structure of 1,3,4-thiadiazole with benzo[d]imidazole scaffolds.
Figure 9. The structure of 1,3,4-thiadiazole with benzo[d]imidazole scaffolds.
Pharmaceuticals 18 01348 g009
Figure 10. The structure of bisaminothiadiazoles.
Figure 10. The structure of bisaminothiadiazoles.
Pharmaceuticals 18 01348 g010
Figure 11. The structure of thiadiazoles bearing Schiff base moiety.
Figure 11. The structure of thiadiazoles bearing Schiff base moiety.
Pharmaceuticals 18 01348 g011
Figure 12. The structure of pyrimidine derivatives incorporating amide and 1,3,4-thiadiazole thioether moiety.
Figure 12. The structure of pyrimidine derivatives incorporating amide and 1,3,4-thiadiazole thioether moiety.
Pharmaceuticals 18 01348 g012
Figure 13. The structure of 2-(pyrido[3,2-f]quinazolin-4(1H)-yl)-1,3,4-thiadiazole derivatives.
Figure 13. The structure of 2-(pyrido[3,2-f]quinazolin-4(1H)-yl)-1,3,4-thiadiazole derivatives.
Pharmaceuticals 18 01348 g013
Figure 14. The structure of tetranorlabdane-1,3,4-thiadiazole hybrid.
Figure 14. The structure of tetranorlabdane-1,3,4-thiadiazole hybrid.
Pharmaceuticals 18 01348 g014
Figure 15. The structure of functionalized chitosan with thio-thiadiazole scaffold.
Figure 15. The structure of functionalized chitosan with thio-thiadiazole scaffold.
Pharmaceuticals 18 01348 g015
Figure 16. The structure of 1,3,4-thiadiazole sulfonyl thiourea derivatives.
Figure 16. The structure of 1,3,4-thiadiazole sulfonyl thiourea derivatives.
Pharmaceuticals 18 01348 g016
Figure 17. The derivative of 1,3,4-thiadiazole connected to pyrroloamide.
Figure 17. The derivative of 1,3,4-thiadiazole connected to pyrroloamide.
Pharmaceuticals 18 01348 g017
Figure 18. The structure of the ligands containing 1,3,4-thiadiazole moiety.
Figure 18. The structure of the ligands containing 1,3,4-thiadiazole moiety.
Pharmaceuticals 18 01348 g018
Figure 19. Azetidin-2-one derivatives of 1,3,4-thiadiazole ring.
Figure 19. Azetidin-2-one derivatives of 1,3,4-thiadiazole ring.
Pharmaceuticals 18 01348 g019
Figure 20. Gallic acid amide derivatives containing a 1,3,4-thiadiazole ring.
Figure 20. Gallic acid amide derivatives containing a 1,3,4-thiadiazole ring.
Pharmaceuticals 18 01348 g020
Figure 21. Sparfloxacin derivatives containing a 1,3,4-thiadiazole ring.
Figure 21. Sparfloxacin derivatives containing a 1,3,4-thiadiazole ring.
Pharmaceuticals 18 01348 g021
Figure 22. The derivatives of 5-(4-methoxyphenyl)-1,3,4-thiadiazole.
Figure 22. The derivatives of 5-(4-methoxyphenyl)-1,3,4-thiadiazole.
Pharmaceuticals 18 01348 g022
Figure 23. S-Mercaptotriazolebenzothiazole-based derivatives of 1,3,4-thiadiazole.
Figure 23. S-Mercaptotriazolebenzothiazole-based derivatives of 1,3,4-thiadiazole.
Pharmaceuticals 18 01348 g023
Figure 24. 2-Amino-1,3,4-thiadiazole derivatives.
Figure 24. 2-Amino-1,3,4-thiadiazole derivatives.
Pharmaceuticals 18 01348 g024
Figure 25. Chiral derivative of 1,3,4-thiadiazole.
Figure 25. Chiral derivative of 1,3,4-thiadiazole.
Pharmaceuticals 18 01348 g025
Figure 26. 1,3,4-thiadiazole derivatives substituted with thiophene ring.
Figure 26. 1,3,4-thiadiazole derivatives substituted with thiophene ring.
Pharmaceuticals 18 01348 g026
Figure 27. The structure of 5-phenyl-1,3,4-thiadiazole azo dyes.
Figure 27. The structure of 5-phenyl-1,3,4-thiadiazole azo dyes.
Pharmaceuticals 18 01348 g027
Figure 28. The structure of 1,3,4-thiadiazole thioether derivatives.
Figure 28. The structure of 1,3,4-thiadiazole thioether derivatives.
Pharmaceuticals 18 01348 g028
Figure 29. The structure of galactosides containing 1,3,4-thiadiazole moiety.
Figure 29. The structure of galactosides containing 1,3,4-thiadiazole moiety.
Pharmaceuticals 18 01348 g029
Figure 30. The structure of 1,3,4-thiadiazole amine derivatives.
Figure 30. The structure of 1,3,4-thiadiazole amine derivatives.
Pharmaceuticals 18 01348 g030
Figure 31. The structure of benzimidazole-1,3,4-thiadiazole conjugates.
Figure 31. The structure of benzimidazole-1,3,4-thiadiazole conjugates.
Pharmaceuticals 18 01348 g031
Figure 32. Benzimidazole derivatives containing a 1,3,4-thiadiazole ring.
Figure 32. Benzimidazole derivatives containing a 1,3,4-thiadiazole ring.
Pharmaceuticals 18 01348 g032
Figure 33. A series of benzimidazoles containing a 1,3,4-thiadiazole ring.
Figure 33. A series of benzimidazoles containing a 1,3,4-thiadiazole ring.
Pharmaceuticals 18 01348 g033
Figure 34. Derivatives of 1,3,4-thiadiazole attached to thiazolidinone core.
Figure 34. Derivatives of 1,3,4-thiadiazole attached to thiazolidinone core.
Pharmaceuticals 18 01348 g034
Figure 35. The structure of a 2,5-dihydrazinyl-1,3,4-thiadiazole ligand.
Figure 35. The structure of a 2,5-dihydrazinyl-1,3,4-thiadiazole ligand.
Pharmaceuticals 18 01348 g035
Figure 36. The structure of 5-(2,4-dimethylphenyl)-1,3,4-thiadiazol-2-amine (37) and its derivatives.
Figure 36. The structure of 5-(2,4-dimethylphenyl)-1,3,4-thiadiazol-2-amine (37) and its derivatives.
Pharmaceuticals 18 01348 g036
Figure 37. Amoxicillin derivatives containing a 1,3,4-thiadiazole moiety.
Figure 37. Amoxicillin derivatives containing a 1,3,4-thiadiazole moiety.
Pharmaceuticals 18 01348 g037
Figure 38. The structure of the obtained 1,3,4-thiadiazole ligand bearing 2-(2-bromobenzylidene)hydrazinyl groups.
Figure 38. The structure of the obtained 1,3,4-thiadiazole ligand bearing 2-(2-bromobenzylidene)hydrazinyl groups.
Pharmaceuticals 18 01348 g038
Figure 39. 2-sulfonamide-1,3,4-thiadiazole derivatives.
Figure 39. 2-sulfonamide-1,3,4-thiadiazole derivatives.
Pharmaceuticals 18 01348 g039
Figure 40. The structures of the obtained 1,3,4-thiadiazole ligands and their metal complexes.
Figure 40. The structures of the obtained 1,3,4-thiadiazole ligands and their metal complexes.
Pharmaceuticals 18 01348 g040
Figure 41. A 1,3,4-thiadiazole derivative containing furan and benzimidazole scaffolds.
Figure 41. A 1,3,4-thiadiazole derivative containing furan and benzimidazole scaffolds.
Pharmaceuticals 18 01348 g041
Figure 42. A series of vanillin derivatives containing a 1,3,4-thiadiazole moiety.
Figure 42. A series of vanillin derivatives containing a 1,3,4-thiadiazole moiety.
Pharmaceuticals 18 01348 g042
Figure 43. Resveratrol derivatives bearing a 1,3,4-thiadiazole moiety.
Figure 43. Resveratrol derivatives bearing a 1,3,4-thiadiazole moiety.
Pharmaceuticals 18 01348 g043
Figure 44. Benzimidazole-based compounds bearing a 1,3,4-thiadiazole moiety.
Figure 44. Benzimidazole-based compounds bearing a 1,3,4-thiadiazole moiety.
Pharmaceuticals 18 01348 g044
Figure 45. The structure of novel homodrimane sesquiterpenoids bearing 1,3,4-thiadiazole units.
Figure 45. The structure of novel homodrimane sesquiterpenoids bearing 1,3,4-thiadiazole units.
Pharmaceuticals 18 01348 g045
Figure 46. Structures of benzamide derivatives containing a 1,3,4-thiadiazole ring.
Figure 46. Structures of benzamide derivatives containing a 1,3,4-thiadiazole ring.
Pharmaceuticals 18 01348 g046
Figure 47. Ricinoleic acid derivatives bearing a 1,3,4-thiadiazole moiety.
Figure 47. Ricinoleic acid derivatives bearing a 1,3,4-thiadiazole moiety.
Pharmaceuticals 18 01348 g047
Figure 48. Derivatives of 1,3,4-thiadiazolo[3,2-a]pyrimidin-5-one.
Figure 48. Derivatives of 1,3,4-thiadiazolo[3,2-a]pyrimidin-5-one.
Pharmaceuticals 18 01348 g048
Figure 49. Derivatives of [1,2,4]triazolo[3,4-b][1,3,4]thiadiazole bearing aryl substituents.
Figure 49. Derivatives of [1,2,4]triazolo[3,4-b][1,3,4]thiadiazole bearing aryl substituents.
Pharmaceuticals 18 01348 g049
Figure 50. The structure of quinazolin-4(3H)-one 1,2,4-triazolo[3,4-b][1,3,4]thiadiazole hybrids.
Figure 50. The structure of quinazolin-4(3H)-one 1,2,4-triazolo[3,4-b][1,3,4]thiadiazole hybrids.
Pharmaceuticals 18 01348 g050
Figure 51. Triazolo-based thiadiazole derivatives.
Figure 51. Triazolo-based thiadiazole derivatives.
Pharmaceuticals 18 01348 g051
Figure 52. The structure of bicyclic 1,3,4-thiadiazole-pyrimidine derivatives.
Figure 52. The structure of bicyclic 1,3,4-thiadiazole-pyrimidine derivatives.
Pharmaceuticals 18 01348 g052
Figure 53. Compounds containing the imidazo[2,1-b][1,3,4]thiadiazole scaffold.
Figure 53. Compounds containing the imidazo[2,1-b][1,3,4]thiadiazole scaffold.
Pharmaceuticals 18 01348 g053
Figure 54. The structure of tri-substituted 1,3,4-thiadiazole derivatives bearing acyl, aryl, and 2H-chromen-2-one scaffolds.
Figure 54. The structure of tri-substituted 1,3,4-thiadiazole derivatives bearing acyl, aryl, and 2H-chromen-2-one scaffolds.
Pharmaceuticals 18 01348 g054
Figure 55. The structure of 5-sulfonyl-1,3,4-thiadiazole-substituted flavonoids.
Figure 55. The structure of 5-sulfonyl-1,3,4-thiadiazole-substituted flavonoids.
Pharmaceuticals 18 01348 g055
Figure 56. The structure of 1,4-dihydropyridine hybrids with 1,3,4-thiadiazole.
Figure 56. The structure of 1,4-dihydropyridine hybrids with 1,3,4-thiadiazole.
Pharmaceuticals 18 01348 g056
Figure 57. The structure of the obtained tri-substituted 1,3,4-thiadiazole derivatives.
Figure 57. The structure of the obtained tri-substituted 1,3,4-thiadiazole derivatives.
Pharmaceuticals 18 01348 g057
Figure 58. The structure of tri-substituted 1,3,4-thiadiazole derivatives.
Figure 58. The structure of tri-substituted 1,3,4-thiadiazole derivatives.
Pharmaceuticals 18 01348 g058
Figure 59. The structure of L-carvone-based 1,3,4-thiadiazole-amide derivatives.
Figure 59. The structure of L-carvone-based 1,3,4-thiadiazole-amide derivatives.
Pharmaceuticals 18 01348 g059
Figure 60. The structure of indole derivatives containing 1,3,4-thiadiazole.
Figure 60. The structure of indole derivatives containing 1,3,4-thiadiazole.
Pharmaceuticals 18 01348 g060
Figure 61. The structure of chalcone derivatives containing 1,3,4-thiadiazole.
Figure 61. The structure of chalcone derivatives containing 1,3,4-thiadiazole.
Pharmaceuticals 18 01348 g061
Figure 62. The structure of 5-sulfonyl-1,3,4-thiadiazole flavonoids.
Figure 62. The structure of 5-sulfonyl-1,3,4-thiadiazole flavonoids.
Pharmaceuticals 18 01348 g062
Figure 63. The structure of 1,3,4-thiadiazol-2-yl-benzamide derivatives.
Figure 63. The structure of 1,3,4-thiadiazol-2-yl-benzamide derivatives.
Pharmaceuticals 18 01348 g063
Figure 64. The structure of 1,3,4-thiadiazole-2-yl-pyrimidine derivatives.
Figure 64. The structure of 1,3,4-thiadiazole-2-yl-pyrimidine derivatives.
Pharmaceuticals 18 01348 g064
Figure 65. Derivatives of 1,3,4-thiadiazole containing resorcinol moiety.
Figure 65. Derivatives of 1,3,4-thiadiazole containing resorcinol moiety.
Pharmaceuticals 18 01348 g065
Figure 66. The structure of 1,3,4-thiadiazole thioether derivatives.
Figure 66. The structure of 1,3,4-thiadiazole thioether derivatives.
Pharmaceuticals 18 01348 g066
Figure 67. The structure of flavanol derivatives containing 1,3,4-thiadiazole scaffold.
Figure 67. The structure of flavanol derivatives containing 1,3,4-thiadiazole scaffold.
Pharmaceuticals 18 01348 g067
Figure 68. The structure of 1,3,4-thiadiazole-2-thioethers.
Figure 68. The structure of 1,3,4-thiadiazole-2-thioethers.
Pharmaceuticals 18 01348 g068
Figure 69. The structure of 1,3,4-thiadiazole-amide derivatives.
Figure 69. The structure of 1,3,4-thiadiazole-amide derivatives.
Pharmaceuticals 18 01348 g069
Figure 70. The structure of pyrimidine-1,3,4-thiadiazole derivatives.
Figure 70. The structure of pyrimidine-1,3,4-thiadiazole derivatives.
Pharmaceuticals 18 01348 g070
Figure 71. The structure of terpene-derived 1,3,4-thiadiazole derivatives.
Figure 71. The structure of terpene-derived 1,3,4-thiadiazole derivatives.
Pharmaceuticals 18 01348 g071
Figure 72. The structure of dehydroabietyl-1,3,4-thiadiazole-2-amide and dehydroabietyl-1,3,4-thiadiazole-2-imine derivatives.
Figure 72. The structure of dehydroabietyl-1,3,4-thiadiazole-2-amide and dehydroabietyl-1,3,4-thiadiazole-2-imine derivatives.
Pharmaceuticals 18 01348 g072
Figure 73. The structure of 1,3,4-thiadiazole-thioether compounds.
Figure 73. The structure of 1,3,4-thiadiazole-thioether compounds.
Pharmaceuticals 18 01348 g073
Figure 74. The structure of nopol-derived 1,3,4-thiadiazole–thiourea compounds.
Figure 74. The structure of nopol-derived 1,3,4-thiadiazole–thiourea compounds.
Pharmaceuticals 18 01348 g074
Figure 75. The structure of 2-amino-1,3,4-thiadiazole derivatives.
Figure 75. The structure of 2-amino-1,3,4-thiadiazole derivatives.
Pharmaceuticals 18 01348 g075
Figure 76. The structure of the obtained ligand of 1,3,4-thiadiazole.
Figure 76. The structure of the obtained ligand of 1,3,4-thiadiazole.
Pharmaceuticals 18 01348 g076
Figure 77. The structure of chalcone derivatives containing 1,2,4-triazolo[3,4-b]-1,3,4-thiadiazole.
Figure 77. The structure of chalcone derivatives containing 1,2,4-triazolo[3,4-b]-1,3,4-thiadiazole.
Pharmaceuticals 18 01348 g077
Figure 78. The structure of [1,2,4]-triazolo-[3,4-b]-[1,3,4]-thiadiazoles.
Figure 78. The structure of [1,2,4]-triazolo-[3,4-b]-[1,3,4]-thiadiazoles.
Pharmaceuticals 18 01348 g078
Figure 79. The structure of bicyclic 1,3,4-thiadiazole derivatives.
Figure 79. The structure of bicyclic 1,3,4-thiadiazole derivatives.
Pharmaceuticals 18 01348 g079
Table 1. Antibacterial activity of compounds 3an.
Table 1. Antibacterial activity of compounds 3an.
EntryCompoundR2R3MIC (μM)
S. epidermidisS. aureusE. faecalisE. faecium
13aH2-Cl>100>100>100>100
23b4-OH2-Cl50100>100>100
33c2-OH2-Cl6.2512.512.512.5
43d3-OH2-Cl>100>100>100>100
53e3-Br-4-OH2-Cl>100>100>100>100
63f4-OCH2COOCH32-Cl>100>100>100>100
73g4-OCH2COOCH32-Cl>100>100>100>100
83h2-OH-5-OCH3H>100>100>100>100
93i2-OH4-Cl25255050
103j2-OH3-Cl25502525
113k2-OH-5-OCH32-Cl5050100100
123l2,4-diOHH>100>100>100>100
133m3,4-diOHH>100>100>100>100
143n2,3-diOHH50502525
153o2-OHH>100>100>100>100
163p2-OH2-Cl>100>100>100>100
173q2-OHH>100>100>100>100
183r2-OHH>100>100>100>100
193s2-OHH>100>100>100>100
203t2-OHH>100>100>100>100
21Daptomycin--2222
Table 2. Antibacterial activity of compounds 6ap.
Table 2. Antibacterial activity of compounds 6ap.
EntryCompoundRInhibition Rate (%)
R. solanacearumXoo
200 μg/mL100 μg/mL200 μg/mL100 μg/mL
16aH10042.45<1017.24
26b2-F10092.0098.9242.24
36c2-Cl10087.0434.30<10
46d2-Br82.0974.3747.0813.48
56e2-CH378.6345.9632.33<10
66f2-OCH347.7431.7818.70<10
76g2-OCF380.0848.2628.65<10
86h3-F94.8793.8176.1754.66
96i3-CH395.4094.0080.0714.95
106j3-OCH370.5767.5645.3431.37
116k3-OCF310010010072.63
126l4-F53.1933.5928.5912.09
136m4-CH374.0771.3749.3741.59
146n4-OCH364.1053.4148.4044.61
156o4-OCF343.4735.11<10<10
166p4-NH271.8860.6053.0041.26
Table 3. Antibacterial activity of compounds 7a,b.
Table 3. Antibacterial activity of compounds 7a,b.
Entry Compound MIC
E. coliS. typhimuriumS. aureusE. feacium
17a a0.120.120.030.12
27b a0.50.250.060.25
3Gentamicin b7.817.813.917.81
a (MIC mg/mL); b (MIC µg/mL).
Table 4. Antibacterial activity of compounds 8ao.
Table 4. Antibacterial activity of compounds 8ao.
Entry CompoundRMIC (μg/mL)
E. coliP. aeruginosaS. aureusS. pyogenes
18aH10012.5125125
28b2-Br250250100250
38c4-Br 10062.5125125
48d2-Cl50125250100
58e4-Cl1005012.5100
68f2-F125250250250
78g3-F125250100100
88h4-F10062.5100125
98i2-OH10010062.5100
108j4-OH5012.5100100
118k4-CH3100125250100
128l4-OCH325025062.5100
138m2-NO2100100250250
148n3-NO2125250125250
158o4-NO225012.510062.5
16Chloramphenicol-50505050
17Ciprofloxacin-25255050
18Norfloxacin-10101010
Table 5. Antibacterial activity of compounds 11al.
Table 5. Antibacterial activity of compounds 11al.
Compound11a11b11c11d11e11f11g11h11i11j11k11lStreptomycin
Inhibition rate (%)42.332.440.138.227.13125.518.136.519.714.218.444
Table 6. Antibacterial activity of compounds 12ar.
Table 6. Antibacterial activity of compounds 12ar.
EntryCompoundR1R2Inhibition Rate (%)
112aCH3CH372
212bCH3CH2CH372
312cCH3CH2CH2CH379
412dCH3CH2C6H578
512eCH3CH2C6H4-4-F63
612fCH3CH2C6H4-4-Cl67
712gCH3CH2C6H4-3-Cl61
812hCH3CH2C6H4-2-Cl52
912iCH3CH2C6H3-2,4-diCl76
1012jCF3CH372
1112kCF3CH2CH362
1212lCF3CH2CH2CH375
1312mCF3CH2C6H562
1412nCF3CH2C6H4-4-F68
1512oCF3CH2C6H4-4-Cl71
1612pCF3CH2C6H4-3-Cl83
1712qCF3CH2C6H4-2-Cl67
1812rCF3CH2C6H3-2,4-diCl76
Table 7. Antibacterial activity of compounds 13ai.
Table 7. Antibacterial activity of compounds 13ai.
EntryCompoundRZone of Inhibition (mm)
S. aureusE. coliP. vulgaris
113aH606
213b2-Cl141614
313c3-Cl121612
413d4-Cl141814
513e3-NO21088
613f4-NO281012
713g3-OCH3-4-OH101210
813h4-CH3101212
913i2-OH121414
10Ampicillin trihydrate-162020
Table 8. Antibacterial activity of compounds 14ac.
Table 8. Antibacterial activity of compounds 14ac.
EntryCompoundMIC (μg/mL)
B. polymyxaP. aeruginosa
114a2.52.5
214b>256>256
314c>256>256
4Kanamycin44
Table 9. Antibacterial activity of compound 15.
Table 9. Antibacterial activity of compound 15.
EntryCompoundZone of Inhibition (mm)
E. coliP. aeruginosaB. subtilisS. aureus
1151111.5118
Table 10. Antibacterial activity of compounds 16ai.
Table 10. Antibacterial activity of compounds 16ai.
Entry CompoundMIC (μg/mL)
BSCDSASESPECKPPAST
116a12.52003.1253.12512.51.5650251.56
216b6.256.252510012.5506.251.5612.5
316c1.560.786.25503.12520012.5503.125
416d3.1252550251.5612.52510025
516e1.565012.51.563.1253.1253.12512.56.25
616f400400400400400400400400400
716g0.783.12510012.50.786.254006.2550
816h20012.50.780.782000.781.560.78100
916i1001.561.566.2550250.783.1250.78
10Ciprofloxacin3.1256.253.1253.1256.251.561.561.561.56
11Vancomycin1.561.561.560.781.56----
BS: Bacillus subtilis; CD: Clostridium difficile; SA: Staphylococcus aureus; SE: Staphylococcus epidermidis; SP: Streptococcus pneumoniae; EC: Escherichia coli; KP: Klebsiella pneumonia; PA: Pseudomonas aeruginosa; ST: Salmonella typhimurium.
Table 11. Antibacterial activity of compounds 18 and 19 and their complexes.
Table 11. Antibacterial activity of compounds 18 and 19 and their complexes.
Bacterial
Strains
18 Complex MIC
µM/L
19 Complex MIC
µM/L
18 MIC
µM/L
19 MIC
µM/L
S. aureus MRSA222512.5
S. aureus MSSA2212.512.5
E. coli222525
E. faeciumn.a0.2n.a12.5
P. aeruginosan.a0.2n.a25
S. lentusn.a2n.a25
n.a—not active.
Table 12. Antibacterial activity of compounds 20ag.
Table 12. Antibacterial activity of compounds 20ag.
EntryCompoundR1R2MBC (µM)
SAEFPAECKP
120aBr4-OH14.3028.6014.3014.3014.30
220bBr4-NH214.3328.6714.3343.1014.33
320cOCH33,5-diCl14.1728.3428.3428.3428.34
420dOCH34-NO214.9914.9929.9829.9814.99
520eOCH34-Br13.8613.8613.8613.8613.86
620fCl4-NO214.8514.8529.6914.8514.85
720gBr4-Cl6.876.876.8713.7413.74
SA: Staphylococcus aureus; EF: Enterococcus faecalis; PA: Pseudomonas aeruginosa; EC: Escherichia coli; KP: Klebsiella pneumoniae.
Table 13. Antibacterial activity of compounds 21ai.
Table 13. Antibacterial activity of compounds 21ai.
Compound21a21b21c21d21e21f21g21h21iStreptomycin Sulfate
MIC (mg/mL)0.06250.03130.0625-0.06250.06250.0625--44
Table 14. Antibacterial activity of compounds 22aj.
Table 14. Antibacterial activity of compounds 22aj.
EntryCompoundRMIC [μg/mL]
S. aureusB. subtilisE. coliP. aeruginosaM. tuberculosis
122aH15.6716.6731.0065.33Resist
222bCl1.621.338.678.673.12
322cBr2.002.003.335.006.25
422dF4.677.337.677.333.12
522eNO21.671.674.672.67Resist
622fCH38.0016.3317.3332.676.25
722gOCH38.678.3316.6716.671.60
822hNH25.334.0016.008.001.60
922iOH7.339.0015.3316.33Resist
1022jC6H51.332.004.009.000.8
Table 15. Antibacterial activity of compounds 28ae.
Table 15. Antibacterial activity of compounds 28ae.
EntryCompoundZone of Inhibition (mm)
S. aureusB. subtilisK. pneumoniaE. coli
128a109128
228b14151213
328c1011-8
428d-11912
528e813-14
6Streptomycin17161515
Table 16. Antibacterial activity of compounds 29ao.
Table 16. Antibacterial activity of compounds 29ao.
EntryCompoundR1R2Inhibition Rate (%)
XooXac
200 μg/mL100 μg/mL200 μg/mL100 μg/mL
129aCH3Cl100949078
229bCH2CH3Cl92788670
329cCH2CH2CH3Cl81707461
429dCH2C6H5Cl60445140
529eCH2C6H4-4-FCl64505745
629fCH3F90758061
729gCH2CH3F74606854
829hCH2CH2CH3F68546048
929iCH2C6H5F51384731
1029jCH2C6H4-4-FF54415139
1129kCH3CH345324030
1229lCH2CH3CH337283220
1329mCH2CH2CH3CH330202514
1429nCH2C6H5CH32416168
1529oCH2C6H4-4-FCH328182112
16Bismerthiazol--70525735
17Thiodiazole copper--63453515
Table 17. Antibacterial activity of compounds 32ak.
Table 17. Antibacterial activity of compounds 32ak.
EntryCompoundMIC (μg/mL)
ECKPPAEFBSSA
132a1251252507.8115.63125
232b1251251257.8131.25125
332c12512512531.25125125
432d62.562.51253.9125125
532e12562.51257.81125125
632f<0.9731.251257.8112531.25
732g7.8162.562.57.8162.531.25
832h1.9515.6331.257.8131.257.81
932i<0.971251253.9125250
1032j3.91251257.81125125
1132k3.91251253.912562.5
12Azithromycin<0.97<0.97<0.97<0.97<0.97<0.97
EC: Escherichia coli; KP: Klebsiella pneumoniae; PA: Pseudomonas aeruginosa; EF: Enterococcus faecalis; BS: Bacillus subtilis; SA: Staphylococcus aureus.
Table 18. Antibacterial activity of compounds 33ag.
Table 18. Antibacterial activity of compounds 33ag.
EntryCompoundRZone of Inhibition (mm)
S. aureusS. epidermidisP. aeruginosaE. coli
133aH18191122
233b2-F20191118
333c2-I161513-
433d2-Cl2019--
533e3-Cl1615-15
633f4-Cl2018-17
733g4-NO22423-15
Table 19. Antibacterial activity of compounds 34ae.
Table 19. Antibacterial activity of compounds 34ae.
EntryCompoundRZone of Inhibition (mm)
S. aureusS. epidermidisP. aeruginosaE. coli
134aH14121715
234b2-Br13121415
334c2-Cl11132016
434d3-NO21401111
534e3,5-diNO221112718
Table 20. Antibacterial activity of compounds 35aj.
Table 20. Antibacterial activity of compounds 35aj.
EntryCompoundRZone of Inhibition (mm)
S. aureusS. pyogenesP. aeruginosaE. coli
135aH21202220
235bN(CH3)223242622
335c(OCH3)220212219
435dCl17172118
535eNO214151615
635fOH21232322
735gOCH319212020
835hCH320181919
935iNH224252626
1035jF20191918
11Ampicillin-25252624
Table 21. Antibacterial activity of compound 36 and its complexes.
Table 21. Antibacterial activity of compound 36 and its complexes.
EntryCompoundZone of Inhibition (mm)
E. coliS. aureus
1361122
2Cr(36)2Cl2]Cl]2126
3[Co(36)2Cl2]Cl2815
4[Cu(36)Cl2]3227
5Ciprofloxacin3025
Table 22. Antibacterial activity of compounds 40ag.
Table 22. Antibacterial activity of compounds 40ag.
EntryCompoundRZone of Inhibition in (mm)
E. coliM. tuberculosisP. mirabilis
140aOH241819
240bNO2181217
340cCl221615
440dOCH3171518
540eCH3121011
640fN(CH3)2161412
740gOC2H5211914
8Amoxicillin-201718
Table 23. Antibacterial activity of compound 41 and its complexes.
Table 23. Antibacterial activity of compound 41 and its complexes.
EntryCompoundZone of Inhibition (mm)
E. coliS. aureus
1411315
2[Fe(41)2Cl2]Cl3129
3[Ni(41)Cl2]2027
4[Cu(41)Cl2]3323
5Ciprofloxacin3025
Table 24. Antibacterial activity of compounds 42aac.
Table 24. Antibacterial activity of compounds 42aac.
EntryCompoundMIC (μg/mL)EntryCompoundMIC (μg/mL)
142a11642p0.25
242b11742q0.06
342c0.251842r0.06
442d0.51942s0.06
542e0.1252042t0.007
642f0.0152142u0.06
742g0.0152242v1
842h22342w1
942i0.52442x1
1042j0.252542y8
1142k0.252642z2
1242l0.252742aa>64
1342m0.252842ab>64
1442n22942ac>64
1542o0.2530Acetazolamide2
Table 25. Antibacterial activity of compounds 4345 and their complexes 46 and 47.
Table 25. Antibacterial activity of compounds 4345 and their complexes 46 and 47.
EntryCompoundMIC (μg/mL)
S. aureusP. aeruginosaE. coli
143500-1000
244---
345---
446500-1000
547500-1000
Table 26. Antibacterial activity of compounds 49ai, 50ai, 51ah, and 52ah.
Table 26. Antibacterial activity of compounds 49ai, 50ai, 51ah, and 52ah.
EntryCompoundEC50 (μg/mL)EntryCompoundEC50 (μg/mL)
XooXocXooXoc
149a51.0251.81 1850i31.7826.54
249b55.963.501951a100.39107.15
349c54.7862.12 2051b107.8 118.91
449d40.642.532151c61.66 61.20
549e47.686.292251d190.41163.17
649f95.3764.082351e182.31 167.98
749g51.7372.132451f175.29 176.67
849h48.6347.622551g138.08 140.29
9494i44.4545.802651h143.93147.33
1050a51.3460.722752a16.03 27.69
1150b78.9477.232852b28.47 36.47
1250c38.7446.972952c3.148.83
1350d40.5248.173052d51.8370.02
1450e33.73 40.233152e31.13 44.20
1550f88.08 89.663252f41.3166.12
1650g80.5265.663352g44.6644.59
1750h33.25 35.493452h59.5661.33
Table 27. Antibacterial activity of compounds 53ad.
Table 27. Antibacterial activity of compounds 53ad.
EntryCompoundRZone of Inhibition (mm)
S. aureusS. pyougenesK. pneumoniaeE. coli
153aH156817
253bC7H1510101012
353cC3H71581013
453dC6H5190012
Table 28. Antibacterial activity of compounds 57al.
Table 28. Antibacterial activity of compounds 57al.
EntryCompoundRZone of Inhibition (mm)
S. aureusB. subtilisE. coliP. aeruginosa
157aH14131514
257b4-CH312131215
357c4-OCH311121110
457d3-CH315141614
557e3-OCH315161514
657f4-C2H512111214
757g3-CH3-4-OCH314131412
857h4-Cl-3-CH311111312
957i4-Cl12121112
1057j4-Br10111211
1157k4-Cl-2-CH313141513
1257l4-Br-2-CH315131412
13Streptomycin-17182018
Table 29. Antibacterial activity of compounds 58a,b.
Table 29. Antibacterial activity of compounds 58a,b.
EntryCompoundZone of Inhibition in mm and (MIC) in µg/mL
SAEFBCPAECKPSPV
158a10 (6.25)12 (25)--8 (25)10 (25)10 (6.25)8 (25)
258b8 (50)8 (50)7 (100)7 (100)-10 (25)10 (25)-
3Ampicillin258321520321822
SA: Staphylococcus aureus; EF: Enterococcus faecalis; BC: Bacillus cereus; PA: Pseudomonas aeruginosa; EC: Escherichia coli; KP: Klebsiella planticola; S: Salmonella; PV: Proteus vulgarus.
Table 30. Antibacterial activity of compounds 61aai.
Table 30. Antibacterial activity of compounds 61aai.
EntryCompoundInhibition Rate (%)
XacXocXooPsa
161a77.327.130.387.5
261b78.351.139.542.0
361c69.152.737.841.5
461d66.042.453.149.9
561e63.998.487.632.1
661f74.999.310038.6
761g78.993.010047.7
861h72.944.092.834.1
961i76.923.331.727.1
1061j78.821.934.955.0
1161k69.447.232.224.6
1261l71.349.115.743.9
1361m80.915.126.052.3
1461n83.947.128.427.7
1561o74.658.620.932.1
1661p72.853.396.134.9
1761q79.413.86.357.7
1861r59.640.313.735.4
1961s68.533.221.528.2
2061t69.272.874.928.7
2161u66.718.634.033.2
2261v48.998.690.928.4
2361w53.273.117.551.0
2461x71.260.710.547.9
2561y70.746.310034.2
2661z76.926.618.824.2
2761aa75.243.913.734.3
2861ab70.142.917.038.1
2961ac76.338.16.731.1
3061ad70.499.997.631.0
3161ae67.632.525.425.0
3261af21.910098.138.4
3361ag53.199.795.145.4
3461ah48.787.282.537.5
3561ai74.977.793.347.0
36BMT58.856.660.064.5
Table 31. Antibacterial activity of compounds 62as.
Table 31. Antibacterial activity of compounds 62as.
EntryCompoundMBC (μg/mL)
BCSALMPAECST
162a2040202001020
262b202020401020
362c204010201020
462d200.200.0200.0400.0200.020
562e203640201040
662f202036401010
762g204020202020
862h364040732020
962i404020401020
1062j202040601010
1162k234020671020
1262l4037201501010
1362m2040202004720
1462n206080801320
1562o104020601020
1662p208020801020
1762q204020801020
1862r204020601020
1962s102020401010
BC: Bacillus cereus; SA: Staphylococcus aureus; LM: Listeria monocytogenes; PA: Pseudomonas aeruginosa; EC: Escherichia coli; ST: Salmonella typhimurium.
Table 32. Antibacterial activity of compounds 63ai.
Table 32. Antibacterial activity of compounds 63ai.
EntryCompoundR1R2MBC (μg/mL)
B. cereusS. aureusE. coliK. pneumoniae
163aHH280260250265
263bHOCH3130140145135
363cHCl250255260240
463dOCH3H150165210195
563eOCH3OCH3130145120135
663fOCH3Cl150140160210
763gClH280290275270
863hClOCH3185215200210
963iClCl240260250250
Table 33. Antibacterial activity of compounds 67a,b.
Table 33. Antibacterial activity of compounds 67a,b.
EntryCompoundZone of Inhibition (mm)
B. pumilisS. faecalisE. coliE. cloacae
167a19212017
267b21161918
3Penicillin G2519--
4Ciprofloxacin--3027
Table 34. Antibacterial activity of compounds 68aah.
Table 34. Antibacterial activity of compounds 68aah.
EntryCompoundR1R2R3Inhibition Rate (%)
XacXoo
168aHCH3CH3093.91
268b6-BrCH3CH348.2870.30
368c6-FCH3CH322.9988.34
468d6-ClCH3CH343.0391.57
568e6-CH3CH3CH343.1082.61
668f7-BrCH3CH346.5180.95
768gHCH2CH3CH327.3097.01
868h6-BrCH2CH3CH367.9683.62
968i6-FCH2CH3CH346.9898.99
1068j6-ClCH2CH3CH359.9993.42
1168k6-CH3CH2CH3CH363.4397.62
1268lHCH2CH2CH3CH369.6865.17
1368m6-BrCH2CH2CH3CH331.3990.31
1468n6-FCH2CH2CH3CH329.6098.14
1568o6-ClCH2CH2CH3CH357.0462.75
1668p6-CH3CH2CH2CH3CH336.7161.30
1768q7-BrCH2CH2CH3CH340.5248.02
1868rHCH3CHCH3CH344.1197.22
1968s6-BrCH3CHCH3CH348.9937.73
2068t6-FCH3CHCH3CH318.7598.06
2168u6-ClCH3CHCH3CH337.57.45.04
2268v7-BrCH3CHCH3CH357.269.64
2368w6-FallylCH357.4099.39
2468x6-CH3allylCH339.941.49
2568yHBnCH345.1936.92
2668z6-BrBnCH334.3447.66
2768aa6-FBnCH329.0246.53
2868ab6-ClBnCH366.5283.21
2968ac6-CH3BnCH329.09.38.58
3068ad7-BrBnCH342.3154.08
3168ae6-FCH3CH2CH355.8270.22
3268af6-ClCH3CH2CH387.4378.29
3368agHi-PrCH2CH338.4396.81
3468ah6-CH3i-PrCH2CH346.488.80
35Bismerthiazole---35.8531.6
Table 35. Antibacterial activity of compounds 69ah.
Table 35. Antibacterial activity of compounds 69ah.
EntryCompoundZone of Inhibition (mm)
SASEBSSPPAECKPST
169a19.319.422.7--22.318.220.4
269b18.118.720.1--19.319.218.4
369c19.422.718.3--25.221.220.6
469d19.922.017.6--23.122.423.0
569e23.622.425.5--26.926.327.2
669f22.420.923.8--24.322.526.3
769g20.119.224.3--23.719.321.6
869h22.119.824.3--24.221.323.3
9Ampicillin23.722.432.424.5----
10Gentamicin----22.325.422.623.3
SA: Staphylococcus aureus; SE: Staphylococcus epidermidis; BS: Bacillus subtilis; SP: Streptococcus pyogenes; PA: Pseudomonas aeruginosa; EC: Escherichia coli; KP: Klebsiella pneumoniae; ST: Salmonella typhimurium.
Table 36. Antibacterial activity of compounds 70ae.
Table 36. Antibacterial activity of compounds 70ae.
EntryCompoundMIC (μg/mL)
E. coliP. aeruginosaP. vulgarisB. subtilisS. aureus
170a2040201020
270b---4080
370c40160804020
470d160--80160
570e-----
6Ciprofloxacin571.252.51.25
Table 37. Antibacterial activity of compounds 71af.
Table 37. Antibacterial activity of compounds 71af.
EntryCompoundZone of Inhibition (mm)
K. pneumoniaeP. aeruginosaS. aureusB. subtilis
171a19201315
271b13151012
371c16181315
471d15171214
571e20221517
671f22251820
7Ciprofloxacin18201517
Table 38. Antifungal activity of compounds 6ap.
Table 38. Antifungal activity of compounds 6ap.
EntryCompoundRInhibition Rate (%)
S. sclerotiorumR. solaniM. oryzaeC. gloeosporioides
16aH32.1430.6528.5728.27
26b2-F90.4872.3255.3652.98
36c2-Cl67.8540.7815.7016.12
46d2-Br33.0423.2129.4626.19
56e2-CH317.8152.8519.1133.22
66f2-OCH350.0038.6931.2525.89
76g2-OCF3<1031.7834.1324.34
86h3-F82.1457.4438.9945.83
96i3-CH383.6352.9831.8538.69
106j3-OCH369.0554.7630.9542.56
116k3-OCF359.5240.4841.9643.15
126l4-F32.1439.8826.4935.42
136m4-CH350.0027.9822.0233.04
146n4-OCH355.3649.4033.6333.93
156o4-OCF323.5133.6348.5141.37
166p4-NH280.0631.5522.6231.85
17Thifluzamide-72.9298.5125.8926.49
18Carbendazim-98.2110010096.13
Table 39. Antifungal activity of compounds 72ay.
Table 39. Antifungal activity of compounds 72ay.
Entry CompoundInhibition Rate (%)
PPCOCAGZASRSFOBM
172a4374546474530
272b8980706770746974
372c5310454033211118
472d4208583771863
572e5113606063681718
672f7450556257394041
772g6830103047172327
872h427702543131421
972i49320252011119
1072j7427454957452624
1172k7957303747274341
1272l3002519171690
1372m4740402537123135
1472n7947454333163132
1572o4913302733162021
1672p7040455753623432
1772q42050372716119
1872r7053704947194641
1972s7753453233124347
2072t4213353533121124
2172u15055482312012
2272v42755406333918
2372w57055244010149
2472x5117452727101124
2572y7957553560314638
26Boscalid8950901867874038
PP: Physalospora piricola; CO: Colletotrichum orbiculare; CA: Cercospora arachidicola; GZ: Gibberella zeae; AS: Alternaria solani; RS: Rhizoctonia solani; FO: Fusarium oxysporum; BM: Bipolaris maydis.
Table 40. Antifungal activity of compounds 8ao.
Table 40. Antifungal activity of compounds 8ao.
Entry CompoundRMIC (μg/mL)
C. albicansA. nigerA. clavatus
18aH500500500
28b2-Br1000>1000>1000
38c4-Br 250100500
48d2-Cl100010001000
58e4-Cl100>1000100
68f2-F250500500
78g3-F5001000>1000
88h4-F100010001000
98i2-OH250100500
108j4-OH10001001000
118k4-CH350010001000
128l4-OCH3250>1000>1000
138m2-NO21000500500
148n3-NO2>1000500500
158o4-NO21000100250
16Nystatin-100100100
17Griseofulvin-500100100
Table 41. Antifungal activity of selected compounds 73ax.
Table 41. Antifungal activity of selected compounds 73ax.
Entry Compound Pathogens EC50 (μg/mL)
173bBotrytis cinerea2.7
273gBotrytis cinerea2.9
373oBotrytis cinerea5.2
4AzoxystrobinBotrytis cinerea14.5
573dTomato Botrytis cinerea3.5
673eTomato Botrytis cinerea14.1
773vTomato Botrytis cinerea25.9
8AzoxystrobinTomato Botrytis cinerea26.5
973bPhomopsis sp.6.4
1073dPhomopsis sp.5.3
1173oPhomopsis sp.7.8
12AzoxystrobinPhomopsis sp.10.4
Table 42. Antifungal activity of compounds 74ax.
Table 42. Antifungal activity of compounds 74ax.
Entry Compound Inhibition Rate (%)
R. solaniPhomopsis sp.P. capsici
174a73.283.963.1
274b59.482.639.5
374c76.271.383.3
474d83.791.373.0
574e73.671.374.7
674f78.281.341.2
774g35.615.721.9
874h72.860.982.8
974i61.570.068.2
1074j54.059.150.6
1174k60.357.459.7
1274l67.480.075.5
1374m58.656.185.0
1474n46.460.984.1
1574o59.430.475.1
1674p71.682.677.7
1774q32.229.630.5
1874r53.175.260.1
1974s71.667.284.5
2074t73.239.185.0
2174u67.847.841.2
2274v52.739.171.7
2374w40.235.755.8
2474x73.675.782.4
Table 43. Antifungal activity of compounds 11al.
Table 43. Antifungal activity of compounds 11al.
Compound11a11b11c11d11e11f11g11h11i11j11k11lTerinafine
Inhibition rate (%)43.43.425.831.94.37.311.114.234.321.29.4050.7
Table 44. Antifungal activity of compounds 75aag.
Table 44. Antifungal activity of compounds 75aag.
EntryCompoundR1R2Inhibition Rate (%)
B. cinereaA. solaniR. solaniF. graminearumC. orbiculare
175aHCH362.143.4 64.8 32.3 51.1
275b6-BrCH310087.0 92.4 70.0 87.4
375c6-FCH334.4 43.7 50.4 28.7 43.8
475d6-ClCH310081.7 83.0 44.5 75.1
575e6-CH3CH359.3 41.3 53.7 28.7 48.6
675f7-BrCH311.0 32.3 75.4 38.3 13.3
775gHCH2CH310065.6 85.6 48.7 100
875h6-BrCH2CH310084.9 91.8 71.8 100
975i6-FCH2CH310010010049.4 100
1075j6-ClCH2CH310010010073.9 100
1175k6-CH3CH2CH359.9 50.4 62.6 41.1 61.2
1275lHPr64.3 53.9 76.3 36.1 77.4
1375m6-BrPr10071.4 91.2 79.0 93.2
1475n6-FPr84.9 63.6 86.8 76.1 98.9
1575o6-ClPr82.7 69.2 10059.4 95.4
1675p6-CH3Pr39.8 36.6 38.9 28.3 48.8
1775q7-BrPr16.1 23.9 23.9 14.7 16.9
1875rHi-Pr49.1 79.1 89.1 40.6 100
1975s6-Bri-Pr10098.5 10065.6 100
2075t6-Fi-Pr44.8 84.9 93.5 51.0 100
2175u6-Cli-Pr10066.2 10075.6 100
2275v6-CH3i-Pr51.8 46.3 45.8 40.0 68.6
2375w7-Bri-Pr22.036.1 62.1 26.1 27.1
2475xHallyl85.3 59.0 93.9 35.0 83.3
2575y6-Clallyl10084.0 10021.4 30.2
2675z6-CH3allyl24.9 19.0 57.4 36.2 32.8
2775aa7-Brallyl33.9 41.7 70.7 17.5 20.0
2875abHBn13.9 27.0 23.7 17.3 16.7
2975ac6-BrBn13.6 39.2 73.6 54.6 39.0
3075ad6-FBn20.2 25.4 31.7 40.1 33.1
3175ae6-ClBn13.7 5.3 12.9 14.7 5.1
3275af6-CH3Bn10.7 024.0 19.6 11.9
3375ag7-BrBn6.8014.19.55.1
34Carbendazim--97.165.310010084.3
35Boscalid--83.735.781.917.5-
Table 45. Antifungal activity of compounds 12ar.
Table 45. Antifungal activity of compounds 12ar.
EntryCompoundR1R2Inhibition Rate (%)
C. gloeosporioidesN. ishiwadaeG. persicariaFusarium sp.
112aCH3CH362748565
212bCH3CH2CH383748159
312cCH3CH2CH2CH387667756
412dCH3CH2C6H585757974
512eCH3CH2C6H4-4-F60606545
612fCH3CH2C6H4-4-Cl76627249
712gCH3CH2C6H4-3-Cl70517435
812hCH3CH2C6H4-2-Cl56466434
912iCH3CH2C6H3-2,4-diCl63705959
1012jCF3CH364747557
1112kCF3CH2CH379556543
1212lCF3CH2CH2CH366637751
1312mCF3CH2C6H568346023
1412nCF3CH2C6H4-4-F78617451
1512oCF3CH2C6H4-4-Cl74717263
1612pCF3CH2C6H4-3-Cl90374154
1712qCF3CH2C6H4-2-Cl77517439
1812rCF3CH2C6H3-2,4-diCl73667049
19Prochloraz--87989591
Table 46. Antifungal activity of compounds 76at.
Table 46. Antifungal activity of compounds 76at.
EntryCompoundREC50 (95% Cl, μmol/L)
R. solaniB. cinereaS. lycopersiciC. lunataP. aphanidermatum
176a2-F0.0285 0.8424 0.1432 0.4226 ---
276b3-F2.4311 ---0.0374 0.0237 ---
376c4-F0.1297 7.7911 1.2300 ------
476d2-Cl0.1586 1.2954 ---------
576e3-Cl0.0466 ---0.0105 0.0051 0.1603
676f4-Cl0.0415 0.1422 1.0919 1.1636 0.7236
776g2-Br---0.0045 ------0.2273
876h4-Br------0.0590 0.0359 0.2717
976i2-CH30.1303 0.1169 1.8938 0.2065 ---
1076j3-CH30.0107 ---3.6669 0.3369 ---
1176k4-CH30.0328 0.9588 ------0.0334
1276l2-OCH31.5904 0.0024 2.9342 0.4719 -
1376m3-OCH30.0079 0.9994 0.0993 0.0119 0.0355
1476n4-OCH30.0857 -------0.0180
1576o3-CF30.0160 0.1465 0.0481 0.3058 0.0270
1676p4-CF30.0028 ---0.0359 1.07901.9811
1776q2,4-diCl0.0547 0.0347 0.2990 0.2019-
1876r2,4-diF0.0155 0.1419 8.2794 -0.4482
1976s3,4-diOCH30.0189 0.17080.2725 0.0318 3.5046
2076t3,4,5-triOCH31.8869 1.1614 0.1054 0.0198 1.1971
21Difenoconazole-0.00190.00420.01240.00140.0001
Table 47. Antifungal activity of compounds 77aj.
Table 47. Antifungal activity of compounds 77aj.
EntryCompoundZone of Inhibition (mm)
C. albicansP. speciesA. Niger
177a---
277b-95
377c656
477d-6-
577e-8-
677f-8-
777g7108
877h-5-
977i---
1077j-8-
Table 48. Antifungal activity of compounds 78ad.
Table 48. Antifungal activity of compounds 78ad.
Entry Compound MIC (μg/mL)
C. albicansC. parapsilosis
178a12864
278b>128>128
378c>12816
478d12864
Table 49. Antifungal activity of compounds 13ai.
Table 49. Antifungal activity of compounds 13ai.
EntryCompoundRZone of Inhibition (mm)
A. fumigatusC. albicansC. krusei
113aH600
213b2-Cl61616
313c3-Cl101214
413d4-Cl121618
513e3-NO2101212
613f4-NO201010
713g3-OCH3-4-OH0108
813h4-CH3668
913i2-OH81216
10Fluconazole-02920
Table 50. Antifungal activity of compounds 14ac.
Table 50. Antifungal activity of compounds 14ac.
EntryCompoundMIC (μg/mL)
A. nigerF. solaniP. chrysogenumP. frequentansA. alternata
114a0.1250.1250.1250.1250.125
214b>32>32>32>32>32
314c>32>32>32>32>32
4Caspofungin0.250.250.250.250.25
Table 51. Antifungal activity of selected compounds 79aae.
Table 51. Antifungal activity of selected compounds 79aae.
Entry Compound MIC (μg/mL)
G. saubinetiiA. solaniV. dahliaeG. zeaeT. cucumeris
179c102.891.9--31.3
279d84.2119.0--15.3
379i86.862.5-87.311.8
479j23.350.088.463.09.7
579k28.045.989.254.918.7
679m43.342.358.7104.035.4
779n52.237.173.4112.727.7
879o11.436.669.6167.546.1
979p92.737.0---
1079q90.163.8-108.125.7
1179s47.656.466.255.351.2
1279t37.642.172.149.120.0
1379u23.641.272.933.724.3
1479w69.270.5---
1579x37.149.6110.681.434.9
1679y47.776.4102.9119.932.7
1779z43.935.8-93.860.6
1879aa31.447.195.886.332.3
1979ac49.253.2175.892.3116.4
2079ad91.048.2-112.953.9
21Triadimefon14.845.32.916.911.0
Table 52. Antifungal activity of compounds 80av.
Table 52. Antifungal activity of compounds 80av.
EntryCompoundInhibition Rate (%)
BCPSCGRSPCSSFcUFGABFcA
180a55.532.247.754.030.040.620.533.244.444.4
280b61.340.446.055.538.438.218.936.546.033.9
380c65.137.247.759.334.563.632.324.951.748.8
480d36.634.142.738.641.843.835.038.551.040.3
580e38.760.241.843.836.344.632.731.649.842.3
680f60.151.732.248.528.710.741.732.835.642.3
780g74.636.830.155.332.151.229.135.732.639.1
880h62.253.535.651.531.252.630.728.342.942.7
980i54.455.036.052.249.453.831.131.639.847.6
1080j56.737.238.947.151.945.030.333.228.741.5
1180k33.327.124.357.435.745.746.533.536.847.6
1280l91.759.636.055.524.554.237.835.739.545.6
1380m83.242.841.854.034.247.046.535.739.852.4
1480n69.173.854.065.616.871.540.920.247.950.8
1580o58.859.036.040.132.957.439.451.634.547.6
1680p50.450.223.940.832.548.839.431.230.351.6
1780q87.366.146.465.222.465.334.328.448.350.4
1880r96.265.345.263.422.458.729.518.047.151.2
1980s60.149.441.045.628.347.041.332.040.246.4
2080t65.942.834.345.249.845.026.026.631.446.4
2180u58.472.845.246.346.866.935.444.342.548.4
2280v52.738.037.752.852.741.728.737.736.844.4
23Azoxystrobin80.758.156.175.775.571.948.036.624.560.9
RS: Rhizoctonia solani; BC: Botrytis cinereal; FG: Fusarium graminearum; CG: Colletotrichum gloeosporioides; SS: Sclerotinia sclerotiorum; PC: Phytophthora capsica; AB: Alternaria brassicae; FcU: Fusarium oxysporum f. sp. Cucumerinum; FcA: Fusarium oxysporum f. sp. Capsicum; PS: Phomopsis sp.
Table 53. Antifungal activity of compounds 16ai.
Table 53. Antifungal activity of compounds 16ai.
Entry CompoundMIC (μg/mL)
A. nigerA. flavusC. albicansS. cerevisiaeF. oxysporum
116a200502512.525
216b50250.786.2525
316c1006.251.56256.25
416d12.51.563.1251.56200
516e6.252006.251006.25
616f400400400400400
716g500.783.1253.1251.56
816h3.12512.52004001.56
916i0.783.12512.50.780.78
10Miconazole1.561.563.1253.1253.125
11Fluconazole1.560.780.780.780.78
Table 54. Antifungal activity of compounds 20ag.
Table 54. Antifungal activity of compounds 20ag.
EntryCompoundR1R2MIC (µM)
T. harzianumA. niger
120aBr4-OH7.1528.60
220bBr4-NH228.6728.67
320cOCH33,5-diCl14.1728.34
420dOCH34-NO214.9914.99
520eOCH34-Br6.9313.86
620fCl4-NO23.7129.69
720gBr4-Cl6.873.43
8Fluconazole--5.105.10
Table 55. Antifungal activity of compounds 24ac.
Table 55. Antifungal activity of compounds 24ac.
EntryCompoundRMIC (μg/mL)
C. albicansA. fumigatusP. chrysogenum
124aH6412864
224bBr8168
324cCH3163216
4Fluconazole-488
Table 56. Antifungal activity of selected compounds 81aae.
Table 56. Antifungal activity of selected compounds 81aae.
EntryCompoundEC50 (100 μg/mL)
G. saubinetiiV. dahliaeA. solaniG. zeaeT. cucumeris
181a30.548.161.759.832.8
281b21.945.467.542.822.2
381c21.541.663.437.339.6
4Triadimefon14.82.945.316.911.0
5Tebuconazole0.40.11.30.40.6
Table 57. Antifungal activity of compounds 25al.
Table 57. Antifungal activity of compounds 25al.
EntryCompoundMIC (μg/mL)
C. albicansA. niger
125a--
225b1024512
325c512>1024
425d128128
525e--
625f--
725g864
825h--
925i--
1025j128128
1125k1024>1024
1225l512512
13Fluconazole4256
Table 58. Antifungal activity of compounds 82au.
Table 58. Antifungal activity of compounds 82au.
EntryCompoundInhibition Rate (%)
FOCAPPASGZRSBMCO
182a19.123.033.157.631.212.219.514.5
282b23.631.748.543.328.212.219.514.5
382c34.164.394.856.256.619.831.331.6
482d28.214.348.557.625.238.319.514.5
582e14.514.325.448.140.314.319.514.5
682f28.231.733.124.325.212.233.828.2
782g23.614.317.752.931.231.719.514.5
882h32.740.433.167.131.247.033.837.3
982i69.183.979.276.770.686.171.973.6
1082j23.631.717.757.634.262.229.032.7
1182k28.223.017.752.925.253.524.323.6
1282l28.214.317.757.625.231.719.523.6
1382m23.623.017.752.928.231.729.037.3
1482n35.964.333.945.951.417.335.533.5
1582o28.257.848.552.952.453.533.832.7
1682p14.523.017.733.840.331.719.523.6
1782q23.614.317.743.331.242.615.523.6
1882r46.466.548.567.152.470.943.346.4
1982s18.214.333.143.343.362.233.832.7
2082t18.214.333.157.631.225.233.823.6
2182u13.614.317.738.643.342.629.023.6
23Chlorothalonil10073.375.073.973.196.190.491.3
FO: Fusarium oxysporum f. sp. Cucumerinum; CA: Cercospora arachidicola; PP: Physalospora piricola; AS: Alternaria solani; GZ: Gibberella zeae; RS: Rhzioeotnia solani; BM: Bipolaris maydis; CO: Colleterichum orbicalare.
Table 59. Antifungal activity of compounds 28ae.
Table 59. Antifungal activity of compounds 28ae.
EntryCompoundZone of Inhibition (mm)
A. flavusA. nigerR. stolonifera
128a8--
228b878
328c101612
428d8--
528e---
6Fluconazole201921
Table 60. Antifungal activity of compounds 83at.
Table 60. Antifungal activity of compounds 83at.
EntryCompoundR1R2Inhibition Rate (%)
B. dothideaPhomopsis sp.B. cinerea
183aH2-CH341.850.673.2
283bH2-F63.083.278.7
383cH4-F75.689.685.1
483dH2-Cl57.474.671.1
583eH3-Cl65.979.479.2
683fH4-Cl72.484.584.9
783gH2-CN80.088.786.1
883hH4-CF382.689.290.7
983iH3,4-diCl70.884.685.4
1083jCH32-CH336.242.965.3
1183kCH34-F59.071.674.0
1283lCH32-Cl51.564.565.7
1383mCH33-Cl57.471.973.3
1483nCH34-Cl65.478.480.4
1583oCH32-CN73.776.778.8
1683pCH32-CF368.480.381.8
1783qCH34-CF375.786.888.3
1883rCH32,3-diCl58.269.066.5
1983sCH32,4-diCl75.682.483.9
2083tCH33,4-diCl65.778.080.8
21Pyrimethanil--84.485.182.8
Table 61. Antifungal activity of compounds 29ao.
Table 61. Antifungal activity of compounds 29ao.
EntryCompoundR1R2Inhibition Rate (%)
B. cinereaV. dahliaeF. oxysporum
129aCH3Cl002
229bCH2CH3Cl1785
329cCH2CH2CH3Cl211512
429dCH2C6H5Cl020
529eCH2C6H4-4-FCl000
629fCH3F000
729gCH2CH3F482416
829hCH2CH2CH3F553626
929iCH2C6H5F000
1029jCH2C6H4-4-FF000
1129kCH3CH30120
1229lCH2CH3CH3614532
1329mCH2CH2CH3CH3695440
1429nCH2C6H5CH3000
1529oCH2C6H4-4-FCH3960
16Carbendazim--5779100
Table 62. Antifungal activity of compounds 30at.
Table 62. Antifungal activity of compounds 30at.
EntryCompoundInhibition Rate (%)
G. zeaeB. dothideaP. infestansPhompsis sp.T. cucumeris
130a28.824.523.649.245.2
230b34.532.028.136.333.4
330c37.631.025.632.556.3
430d45.425.824.736.242.6
530e40.126.825.347.547.5
630f36.221.656.434.243.4
730g47.033.256.755.646.3
830h34.248.556.135.235.7
930i38.654.859.833.545.6
1030j43.051.657.537.355.4
1130k45.450.757.645.143.0
1230l63.450.573.534.559.7
1330m53.846.473.148.168.3
1430n52.366.477.542.656.5
1530o61.065.375.145.256.3
1630p52.266.080.158.156.5
1730r45.254.379.743.258.7
1830s55.455.278.044.565.3
1930t57.254.779.348.268.4
20Dimethomorph74.372.378.269.368.3
Table 63. Antifungal activity of compounds 84aab.
Table 63. Antifungal activity of compounds 84aab.
EntryCompoundEC50 (μg/mL)EntryCompoundEC50 (μg/mL)
184a83.450 1684p114.00 
284b70.725 1784q82.085 
384c29.924 1884r89.406 
484d41.398 1984s107.633 
584e45.246 2084t90.859 
684f50.608 2184u52.089 
784g43.570 2284v126.441 
884h84.770 2384w101.486 
984i79.635 2484x66.656 
1084j40.969 2584y205.857 
1184k55.469 2684z9.911 
1284l58.441 2784aa3.785 
1384m50.201 2884ab6.049 
1484n43.448 29Boscalid47.356 
1584o62.553 
Table 64. Antifungal activity of compounds 31ae.
Table 64. Antifungal activity of compounds 31ae.
EntryCompoundRZone of Inhibition (mm)
A. nigerA. flavus
131aH66
231bCl610
331cF126
431dNO220.56
531eBr96
6Fluconazole-19.525
Table 65. Antifungal activity of compounds 32ak.
Table 65. Antifungal activity of compounds 32ak.
EntryCompoundMIC (μg/mL)
C. albicansC. kruseiC. glabrataC. parapsilosis
132a1.9562.53.962.5
232b15.62562.53.962.5
332c15.62562.53.9125
432d15.625125125125
532e31.251257.81125
632f15.62512531.25125
732g7.8162.53.962.5
832h1.957.811.957.81
932i7.8112512562.5
1032j15.62512562.562.5
1132k3.912562.562.5
12Voriconazole3.93.91.953.9
13Fluconazole7.817.813.93.9
Table 66. Antifungal activity of compounds 35aj.
Table 66. Antifungal activity of compounds 35aj.
EntryCompoundRZone of Inhibition (mm)
A. nigerC. albicans
250 μg/mL25 μg/mL250 μg/mL25 μg/mL
135aH16111713
235bN(CH3)220151812
335c(OCH3)215-1410
435dCl15-1410
535eNO215101611
635fOH16121512
735gOCH318111713
835hCH317121410
935iNH219131712
1035jF14101711
11Miconazole-19141714
Table 67. Antifungal activity of compounds 89aw.
Table 67. Antifungal activity of compounds 89aw.
EntryCompoundInhibition Rate (%)
FCCAPPASGZRSBMCO
189a62.254.259.340.923.850.631.621.6
289b8.120.833.3023.850.631.629.7
389c29.725.059.322.733.344.628.921.6
489d45.954.240.736.414.362.757.921.6
589e21.629.259.39.123.853.034.235.1
689f54.154.277.863.633.332.523.716.2
789g51.450.029.618.233.353.031.627.0
889h43.245.859.345.519.044.634.232.4
989i37.833.388.927.338.18.413.229.7
1089j24.325.051.94.528.68.418.418.9
1189k29.733.325.922.733.338.618.421.6
1289l21.654.259.3014.314.542.121.6
1389m16.225.022.2052.480.760.562.2
1489n40.541.728.540.938.138.631.640.5
1589o56.854.229.627.319.062.739.545.9
1689p56.854.233.340.947.668.750.035.1
1789q54.162.577.850.023.836.121.110.8
1889r10.816.740.79.147.660.236.829.7
1989s27.135.750.124.122.816.824.946.7
2089t28.651.647.328.627.446.239.544.3
2189u18.945.859.3023.826.521.110.8
2289v51.454.229.650.047.662.752.629.7
2389w43.266.731.145.533.362.734.229.7
24Chlorothalonil10073.375.073.973.196.190.491.3
FC: Fusarium oxysporum f. sp. Cucumerinum; CA: Cercospora arachidicola; PP: Physalospora piricola; AS: Alternaria solani; GZ: Gibberella zeae; RS: Rhizoeotnia solani; BM: Bipolaris maydis; CO: Colleterichum orbicalare.
Table 68. Antifungal activity of compounds 90ar.
Table 68. Antifungal activity of compounds 90ar.
EntryCompoundInhibition Rate (%)
FCCAPPASGZRSBMCO
190a34.164.364.360.654.819.837.735.5
290b37.867.175.272.347.919.829.135.5
390c28.552.986.161.356.617.333.425.7
490d30.450.066.533.147.953.924.929.6
590e28.564.355.765.058.314.924.927.6
690f21.150.568.750.939.317.322.825.7
790g21.170.064.377.356.617.327.027.6
890h30.580.655.569.756.819.336.533.6
990i29.869.380.261.358.122.338.428.7
1090j36.166.366.370.365.421.839.749.3
1190k32.264.375.269.047.914.935.533.5
1290l26.752.951.371.030.719.835.529.6
1390m34.167.164.361.327.217.329.131.6
1490n34.161.457.872.879.016.131.337.5
1590o26.772.953.570.956.617.329.125.7
1690p35.972.936.163.851.417.335.537.5
1790q34.170.086.160.658.317.322.829.6
1890r28.561.475.263.851.414.924.927.6
19Chlorothalonil10073.375.073.973.196.190.491.3
FC: Fusarium oxysporum f. sp. Cucumerinum; CA: Cercospora arachidicola; PP: Physalospora piricola; AS: Alternaria solani; GZ: Gibberella zeae; RS: Rhizoeotnia solani; BM: Bipolaris maydis; CO: Colleterichum orbicalare.
Table 69. Antifungal activity of compounds 91a,b.
Table 69. Antifungal activity of compounds 91a,b.
EntryCompound(LD50 a/MIC b/MFC c μg/mL)
A. solaniF. melonisV. dahliae
191a28.7/<1.25/<4080.3/0.625/>4014.3/<0.625/20
291b26.1/<1.25/<4027.9/<1.25/>4023.5/<0.625/>20
3Thiram 80% d11.9/>0.625/<300011.3/>0.625/<300014.34/<1.25/<3000
a LD50: The amount of a compound that causes the death of 50% (one half) of test fungi; b MIC: Minimum inhibitory concentration; c MFC: Minimum fungicidal concentration; d positive control.
Table 70. Antifungal activity of compounds 93aam.
Table 70. Antifungal activity of compounds 93aam.
EntryCompoundInhibition Rate (%)
RSPSFGCCPCBDSS
193a53.727.016.419.324.614.234.1
293b6.321.816.224.130.619.833.7
393c10.727.415.626.635.826.327.2
493d20.012.99.312.96.912.612.2
593e11.519.816.021.436.25.739.0
693f11.112.517.731.530.63.235.7
793g22.930.231.530.234.95.248.3
893h27.034.724.825.436.614.941.8
993i22.629.428.619.337.13.636.9
1093j28.532.738.224.631.04.849.5
1193k26.323.019.825.432.06.035.7
1293l21.112.527.321.427.63.633.3
1393m27.012.95.922.228.52.441.6
1493n21.514.124.417.735.42.836.5
1593o26.313.726.919.734.3.633.3
1693p18.95.217.719.430.63.531.7
1793q27.06.821.016.525.926.733.7
1893r21.923.047.526.625.43.236.5
1993s19.215.734.525.431.09.740.2
2093t17.418.226.529.431.58.134.9
2193u16.314.532.414.128.515.334.9
2293v15.220.234.913.326.76.034.5
2393w22.220.342.414.931.517.027.6
2493x22.619.131.125.032.322.236.1
2593y25.212.025.612.933.23.237.4
2693z6.110.49.312.96.912.546.7
2793aa23.524.534.537.135.416.212.2
2893ab21.321.630.711.739.227.933.3
2993ac19.127.841.233.953.521.441.4
3093ad22.649.026.929.455.115.847.5
3193ae28.373.115.548.425.928.749.5
3293af30.464.427.748.419.517.449.9
3393ag22.229.128.632.334.310.139.0
3493ah19.921.627.320.228.73.647.9
3593ai24.310.827.330.526.73.841.8
3693aj21.317.923.125.736.33.845.9
3793ak19.514.128.627.835.816.247.9
3893al23.536.146.227.831.912.450.8
3993am22.615.416.532.819.54.250.4
40Azoxystrobin58.255.656.652.664.771.973.5
RS: Rhizoctonia solani; SS: Sclerotinia sclerotiorum; BD: Botryosphaeria dothidea; FG: Fusarium graminearum; CC: Colletotrichum capsica; PC: Phytophthora capsica; PS: Phomopsis sp.
Table 71. Antifungal activity of compounds 94am.
Table 71. Antifungal activity of compounds 94am.
Entry Compounds RInhibition Rate (%)
F. oxysporumP. citrinum
194aH4233
294b4-Br5644
394c4-Cl9095
494d4-F5140
594e4-NO24838
694f3,4-diCl3828
794g3-Br5038
894h3-Cl6764
994i3-F6862
1094j3-CH35248
1194k2-Br3526
1294l2-Cl5961
1394m2-CH36342
14Dithane M-45-9697
15Griseofulvin 9998
Table 72. Antifungal activity of compounds 60-n.
Table 72. Antifungal activity of compounds 60-n.
EntryCompoundRMIC (µg/mL)
160aH>256
260b2-F>256
360c3-F>256
460d4-F>256
560e2-Cl>256
660f3-Cl1
760g4-Cl2
860h3,4-diCl0.5
960i2-Br>256
1060j3-Br>256
1160k4-Br>256
1260l4-NO2>256
1360m2-CH3>256
1460n3-CH3>256
15Fluconazole-2
Table 73. Antifungal activity of compounds 61aai.
Table 73. Antifungal activity of compounds 61aai.
EntryCompoundInhibition Rate (%)
PNGZVDFSATSSFO
161a26.337.218.110.913.17.223.0
261b33.732.618.3025.320.110.0
361c33.535.726.58.319.625.414.3
461d24.720.915.8012.07.616.8
561e11.745.06.03.615.54.811.7
661f31.837.819.09.614.617.98.9
761g34.841.524.27.816.48.730.1
861h35.217.410.46.919.99.811.7
961i29.624.313.65.118.216.117.4
1061j23.625.714.58.616.514.828.9
1161k31.223.821.4014.210.40
1261l36.448.324.812.613.69.333.5
1361m23.535.014.88.113.821.515.7
1461n44.021.78.58.812.823.411.5
1561o62.719.641.012.121.224.517.9
1661p39.043.433.66.615.926.821.9
1761q18.818.411.409.6011.5
1861r26.716.5010.49.88.29.7
1961s67.215.715.58.910.35.08.3
2061t012.709.607.111.3
2161u19.936.113.1012.012.60
2261v47.24.45.86.48.35.313.1
2361w52.847.040.611.220.528.435.8
2461x6.19.46.88.611.900
2561y41.619.636.221.733.650.417.6
2661z41.116.507.810.5010.7
2761aa51.222.24.88.818.138.620.7
2861ab50.123.91.810.210.108.3
2961ac29.325.08.512.313.46.213.3
3061ad48.819.67.58.314.07.910.0
3161ae34.412.906.18.5011.4
3261af11.620.28.57.85.98.38.6
3361ag012.84.400012.3
3461ah011.95.67.704.912.1
3561ai012.43.87.405.215.5
36Chlorothalonil84.575.167.164.773.510067.5
37Carbendazim81.110073.5100100100100
PN: Phytophthora nicotianae; GZ: Gibberella zeae; FS: Fusarium solani; AT: Alternaria tenuissima; VD: Colletotrichum gloeosporioides; SS: Sclerotinia sclerotiorum; FO: Fusarium oxysporum.
Table 74. Antifungal activity of compounds 62as.
Table 74. Antifungal activity of compounds 62as.
EntryCompoundMIC/MFC (μg/mL)
AFAVANTVPFPC
162a5/102/510/202/520/4010/20
262b10/205/1010/202/510/2010/20
362c20/4010/2015/202/520/3620/36
462d2/52/55/15/110/2010/20
562e20/3610/2015/208/1033/4020/40
662f5/105/105/102/510/2010/20
762g10/2010/205/105/105/1020/36
862h10/2010/2015/205/1010/2015/20
962i5/105/1010/205/1036/8030/40
1062j32/4020/4010/205/1010/2020/40
1162k20/405/1020/322/52/52/5
1262l5/2010/2015/205/1040/6720/40
1362m40/6720/3620/402/540/8032/40
1462n10/3610/2010/205/1030/4032/40
1562o15/2010/2020/375/1030/4030/36
1662p20/4010/205/15/810/2020/40
1762q20/4020/4020/325/1030/4030/40
1862r20/3210/2010/208/1020/4030/36
1962s20/4020/3610/208/1020/4020/40
20Ketoconazole20/500200/500200/5001000/1500200/500200/300
21Bifonazole150/200100/200150/200150/200200/250100/200
AV: Aspergillus versicolor; TV: Trichoderma viride; AN: Aspergillus niger; PC: Penicillium verrucosum var. cyclopium; PF: Penicillium funiculosum; AF: Aspergillus fumigatus.
Table 75. Antifungal activity of compounds 95ah.
Table 75. Antifungal activity of compounds 95ah.
EntryCompoundInhibition Rate (%)
R. solaniD. orazae
Concentration
50 (ppm)
Concentration
100 (ppm)
Concentration
50 (ppm)
Concentration
100 (ppm)
195a33.2550.1536.1252.19
295b46.2174.8042.1476.20
395c31.4650.1242.0957.20
495d35.3459.8430.8668.76
595e40.7459.3536.7549.45
695f46.7552.7646.5461.95
795g47.3775.3838.4555.20
895h38.5662.2442.2460.24
9carbendazim96.6798.5695.4598.26
Table 76. Antifungal activity of compounds 63ai.
Table 76. Antifungal activity of compounds 63ai.
EntryCompoundR1R2MFC (μg/mL)
A. flavusA. nigerF. oxysporumF. monaliforme
163aHH250265270280
263bHOCH3290285280275
363cHCl135120125120
463dOCH3H250220270230
563eOCH3OCH3135155150165
663fOCH3Cl285275280260
763gClH135155140165
863hClOCH3215220210215
963iClCl120125130130
10Nystatin--100100100100
Table 77. Antifungal activity of compounds 68aah.
Table 77. Antifungal activity of compounds 68aah.
EntryCompoundR1R2R3Inhibition Rate (%)
B. cinereaA. solaniR. solaniG. zeaeC. orbiculare
168aHCH3CH369.36 47.71 82.53 54.59 46.88
268b6-BrCH3CH398.57 100.00 100.0077.32 92.90
368c6-FCH3CH369.84 70.00 91.67 71.46 86.53
468d6-ClCH3CH389.07 100.00 100.00 81.41 94.67
568e6-CH3CH3CH329.82 48.02 79.13 51.13 65.43
668f7-BrCH3CH338.37 89.17 100.00 33.37 59.62
768gHCH2CH3CH343.00 59.94 95.57 54.08 92.21
868h6-BrCH2CH3CH384.56 100.00 100.00 81.60 100.00
968i6-FCH2CH3CH342.52 74.01 90.08 67.02 100.00
1068j6-ClCH2CH3CH378.29 100.00 100.00 68.22 100.00
1168k6-CH3CH2CH3CH331.66 62.44 84.33 46.91 90.87
1268lHCH2CH2CH3CH360.38 56.88 87.48 38.13 78.14
1368m6-BrCH2CH2CH3CH380.82 95.72 100.00 51.11 84.84
1468n6-FCH2CH2CH3CH342.51 90.70 100.00 39.56 97.73
1568o6-ClCH2CH2CH3CH381.33 92.68 100.00 50.52 92.56
1668p6-CH3CH2CH2CH3CH332.72 25.73 47.28 20.89 32.22
1768q7-BrCH2CH2CH3CH332.51 35.03 60.62 17.83 33.09
1868rHCH3CHCH3CH333.55 65.77 87.77 47.81 67.93
1968s6-BrCH3CHCH3CH372.86 100.00 100.00 50.03 100.00
2068t6-FCH3CHCH3CH35.44 94.47 89.1750.33 79.39
2168u6-ClCH3CHCH3CH372.31 100.00 100.00 55.77 97.06
2268v7-BrCH3CHCH3CH322.18 64.92 100.00 70.02 21.12
2368w6-FallylCH359.09 39.18 77.34 38.37 91.38
2468x6-CH3allylCH335.77 17.69 61.59 14.74 37.90
2568yHBnCH314.52 26.04 47.78 21.93 11.03
2668z6-BrBnCH35.50 39.18 60.28 22.48 13.01
2768aa6-FBnCH319.13 18.5462.60 22.5120.27
2868ab6-ClBnCH313.61 18.78 1.54 5.890.80
2968ac6-CH3BnCH314.33 0.0047.46 7.54 6.88
3068ad7-BrBnCH311.82 0.00 16.52 3.93 1.38
3168ae6-FCH3CH2CH316.04 71.83 100.00 50.47 87.39
3268af6-ClCH3CH2CH385.61 100.00 100.00 66.48 94.80
3368agHi-PrCH2CH327.38 94.17 94.08 10.62 89.66
3468ah6-CH3i-PrCH2CH367.48 83.44 69.7231.83 82.86
Table 78. Antifungal activity of compounds 69ah.
Table 78. Antifungal activity of compounds 69ah.
EntryCompoundZone of Inhibition (mm)
A. nigerG. candidum
169a21.119.8
269b22.323.4
369c18.523.2
469d19.924.1
569e25.324.2
669f24.123.6
769g23.322.3
869h25.523.2
9Amphotericin B23.325.2
Table 79. Antifungal activity of compounds 71af.
Table 79. Antifungal activity of compounds 71af.
Compound71a71b71c71d71e71fAmphotericin
Zone of inhibition (mm)9.7101211141721
Disclaimer/Publisher’s Note: The statements, opinions and data contained in all publications are solely those of the individual author(s) and contributor(s) and not of MDPI and/or the editor(s). MDPI and/or the editor(s) disclaim responsibility for any injury to people or property resulting from any ideas, methods, instructions or products referred to in the content.

Share and Cite

MDPI and ACS Style

Górecki, S.; Kudelko, A.; Olesiejuk, M. Antimicrobial Activity of 1,3,4-Thiadiazole Derivatives. Pharmaceuticals 2025, 18, 1348. https://doi.org/10.3390/ph18091348

AMA Style

Górecki S, Kudelko A, Olesiejuk M. Antimicrobial Activity of 1,3,4-Thiadiazole Derivatives. Pharmaceuticals. 2025; 18(9):1348. https://doi.org/10.3390/ph18091348

Chicago/Turabian Style

Górecki, Sebastian, Agnieszka Kudelko, and Monika Olesiejuk. 2025. "Antimicrobial Activity of 1,3,4-Thiadiazole Derivatives" Pharmaceuticals 18, no. 9: 1348. https://doi.org/10.3390/ph18091348

APA Style

Górecki, S., Kudelko, A., & Olesiejuk, M. (2025). Antimicrobial Activity of 1,3,4-Thiadiazole Derivatives. Pharmaceuticals, 18(9), 1348. https://doi.org/10.3390/ph18091348

Note that from the first issue of 2016, this journal uses article numbers instead of page numbers. See further details here.

Article Metrics

Back to TopTop