Next Article in Journal
Interventions for Neglected Diseases Caused by Kinetoplastid Parasites: A One Health Approach to Drug Discovery, Development, and Deployment
Previous Article in Journal
Obesity-Related Cancers in Relation to Use of Statins and Testosterone Replacement Therapy Among Older Women: SEER-Medicare 2007–2015
Previous Article in Special Issue
Antimicrobial Activity of 1,3,4-Thiadiazole Derivatives
 
 
Font Type:
Arial Georgia Verdana
Font Size:
Aa Aa Aa
Line Spacing:
Column Width:
Background:
Review

A Review on Sulfonamide Complexes with Metals: Their Pharmacological Potential as Anticancer Drugs

by
Przemysław Rozbicki
* and
Danuta Branowska
*
Institute of Chemical Sciences, Faculty of Science, University of Siedlce, 3 Maja 54 Street, PL-08-1103 Siedlce, Poland
*
Authors to whom correspondence should be addressed.
Pharmaceuticals 2025, 18(9), 1414; https://doi.org/10.3390/ph18091414
Submission received: 25 August 2025 / Revised: 12 September 2025 / Accepted: 13 September 2025 / Published: 19 September 2025
(This article belongs to the Special Issue Advances in the Synthesis and Application of Heterocyclic Compounds)

Abstract

Sulfonamides represent a versatile class of biologically active compounds, best known for their antibacterial activity, but increasingly investigated for their potential in oncology. Free sulfonamides themselves display cytotoxic properties; however, coordination with metal ions often enhances both selectivity and potency, while also introducing new mechanisms of action. Although numerous studies have reported sulfonamide–metal complexes with anticancer activity, a systematic overview linking biological properties to the central metal atom has been lacking. This review summarizes current research on sulfonamide complexes with transition metals and selected main-group elements, focusing on their pharmacological potential as anticancer agents. The compounds discussed include complexes of titanium, chromium, manganese, rhenium, ruthenium, osmium, iridium, palladium, platinum, copper, silver, gold, iron, cobalt, nickel, uranium, calcium, magnesium and bismuth. For each group, representative structures are presented along with cytotoxicity data against cancer cell lines, comparisons with reference drugs such as for example cisplatin, and where relevant, studies on carbonic anhydrase inhibition. The survey of available data demonstrates that many sulfonamide–metal complexes show cytotoxic activity comparable to or greater than existing chemotherapeutic agents, while in some cases exhibiting reduced toxicity toward non-cancerous cells. These findings highlight the promise of sulfonamide–metal complexes as a fertile area for anticancer drug development and provide a framework for future design strategies. This review covers the research on anti-cancer activity of sulfonamide complexes during the years 2007–2025.

Graphical Abstract

1. Introduction

Sulfonamides are part of a broader class of biologically active compounds. Their prominence emerged from their invaluable antibacterial properties, which, during the Second World War, played a crucial role in saving countless lives. The biological activity of sulfonamides is closely linked to their molecular structure, characterized by sulfonamide and amine substituents, as well as a variety of aromatic and heteroaromatic frameworks. As of 24 August 2025, the DrugBank database lists 175 compounds classified as sulfonamides. Of these, 110 structures are either approved or in clinical trials, with 80 approved for therapeutic use. Sixty-nine structures remain under investigation, and 65 are in experimental stages. Among those approved as drugs, 16 have been withdrawn from medical practice due to health concerns. Silver salts are also present in this group as therapeutic agents; however, no records in DrugBank describe sulfonamide–metal complexes [1]. This absence does not imply a lack of such compounds in the scientific literature, where publications on the subject are in fact numerous. Despite this body of work, no comprehensive review has yet examined the biological activity of sulfonamide complexes in relation to the metal present. This article aims to address that gap by synthesizing findings from various studies and organizing them according to the type of metal forming complexes with structurally diverse sulfonamides.
Among sulfonamides with anticancer activity are sulfonamides containing various aromatic or heteroaromatic rings for example: quinazoline [2], 1,2,4-triazine [3], 1,3,5-triazine [4], thiophene [5], 3,4-dihydro-2(1H)-quinolinone [6], 1,3-oxazole [7], fluorinated pyridine [8] and many others heteroaromatic rings, as well as sulfamethoxazole-based sulfonamides [9] many chiral sulfonamides [10]. In addition, there are sulfonamide anticancer drugs that are already widely used in oncological treatment. Examples of such drugs include pazopanib [11], amsacrine (used in the treatment leukemias as well as Hodgkin’s and non-Hodgkin’s lymphomas) [12], belinostat (used in the treatment of T-cell lymphoma) [13], venetoclax (used to treat chronic lymphocytic leukemia) [14] and dabrafenib (used to treat melanoma) [15]. The sulfonamide group plays a key role in anticancer activity, but it can also act as a link between two groups that are important in increasing the activity of the compound [16].
In medicine, various organic compounds, acting in different ways, such as by intercalation, alkylation, etc., as well as some metal complexes, are used for widespread use in cancer treatment. The most popular anticancer drug currently used in medicine is cisplatin and its analogs: carboplatin, oxaliplatin, nedaplatin, lobaplatin and heptaplatin, shown in Figure 1. This figure also shows the history of the discovery of these drugs and their introduction into patient treatment.
The oldest platinum drug is cisplatin, obtained in 1845 by the Italian chemist Michele Peyrone. After 120 years, the cytotoxic properties of this compound were accidentally discovered by American biophysicist Barnett Rosenberg. Currently, this compound is most often used in multi-drug therapy. Cisplatin is an alkylating cytotoxic agent, which binds to DNA by covalent binding. Cisplatin has many side effects, e.g., action only on certain types of cancer, non-selectivity of the drug, adverse effects on: kidneys, nervous system, hearing, vomiting and fatigue, natural or acquired drug resistance of certain types of cancer during therapy. To reduce these side effects, new platinum drugs have been obtained and are widely used in medicine: carboplatin, oxaliplatin, nedaplatin, lobaplatin and heptaplatin. All these platinum drugs meet the rule of the so-called classical platinum drugs: platinum is present in the II oxidation state, they contain two labile anionic and two inert neutral ligands with cis geometry and the entire complexes are inert.
Over the years, many other platinum complexes deviating from these rules have been obtained and studied, e.g., complexes with trans geometry, platinum complexes on the IV oxidation state, platinum multicore complexes, encapsulation of platinum drugs in liposomal carriers and a number of complexes of other transition metals, e.g., titanium, ruthenium, osmium, gold, etc.—elements that differ in chemical properties related to their electron configuration. The most important features of the new compounds sought are cytotoxicity and selectivity. The chemical properties of the new complexes often determine different mechanisms of biological action than in the case of cisplatin and its derivatives. This could lead to a reduction in tumor resistance to the drug.
The design of new complexes with anticancer activity uses multiple organic ligands, complexing most often via a nitrogen or oxygen atom. Examples of such organic ligands are sulfonamides—compounds containing the functional group -SO2NR2. Since free sulfonamides themselves also exhibit anticancer activity [17], therefore this publication presents examples of sulfonamide complexes of d-block metals and uranium and bismuth with anti-cancer activity.
There are various mechanisms of anticancer activity of the complexes discussed. The most common mechanism is the inhibition of carbonic anhydrase IX and XII. Other mechanisms include, for example, cell cycle arrest in the S phase or G1 phase, double DNA breaks, increased levels of reactive oxygen species, interaction with proteins responsible for tumor development and high mitochondrial membrane depolarization.
The collected information on the latest sulfonamide complexes with anticancer activi-ty covers publications from the beginning of the 21st century to 2025. Databases such as Reaxys, SciFinder, and DrugBank were used for this purpose.

2. Sulfonamide Complexes with Metals

2.1. Titanium Complexes

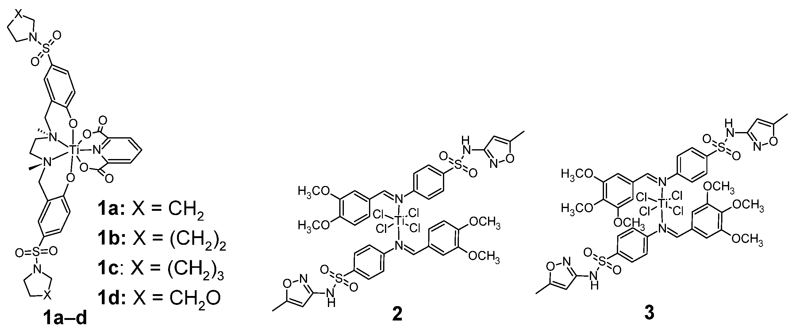
Sulfonamides form complexes with titanium as shown in Figure 2. Antitumor sulfonamide titanium complexes include the seven-coordinated Ti(IV) complexes 1ad [18].
The compounds 1ad were tested for anticancer activity against cell lines: Hela S3 (a derivative of the parent HeLa cell line—cervical cancer) and Hep G2 (Hepatocellular carcinoma). The anticancer activity of Ti(IV) complexes, depending on the X substituent, is shown in Table 1.
The highest antitumor activity against the HeLa S3 cell line is shown by compound 1c, higher than cisplatin, used as a reference compound. Compound 1c also shows the highest anti-tumor activity against the HepG2 cell line.
Another example of anticancer sulfonamide titanium complexes are the six-coordinated complexes 2 and 3 (Figure 1) [19]. The compounds were tested for anticancer activity against PC3 and HeLa cell lines (Table 2). Complex 2 was significantly more active against both cell lines than complex 3, however, it was less active than doxorubicin.

2.2. Chromium(II) Complex

The sulfonamide-chromium complex with anti-cancer activity is complex 4, shown in Figure 3 [20].
The anti-cancer activity of this complex was measured by cell viability after treatment, given as a percentage (%). For the MCF-7 cell line (breast cancer), it was 45.73%, and for the HCEC cell line (human corneal epithelial cells), it was 25.40%. For the free ligand, forming this complex—the viability of MCF-7 cells was 100%, and in the case of HCEC cells was 22.97%.

2.3. Manganese Complexes

Manganese(II) sulfonamide complexes include complex 5, containing saccharin and 2,6-bis(2-benzimidazolyl)pyridine (bzimpy) as a ligands (Figure 4) [21].
This complex was tested for cytotoxic activity against four cell lines: A459 (lung cancer), HT29 (colorectal adenocarcinoma), MCF-7 (breast cancer) and MCF-10A (non-tumorigenic epithelial cell line). Antitumor activity was compared with that of the bzimpy ligand and cisplatin. (Table 3).
It can be seen from Table 3 that complex 5 exhibits greater anti-cancer activity against cells of the A549 line and cells of the MCF-7 line, both in comparison to the Bzimpy ligand and in comparison to cisplatin. In contrast, 5 was less cytotoxic to the HT29 cell line, compared to the ligand and cisplatin. Both complex 5 and the free Bzimpy ligand were less cytotoxic against MCF-10A cell line than cisplatin.
A sulfonamide manganese(II) complex with an identical structure to complex 4 is also known (Figure 3). This compound showed a cell viability after treatment of 42.58% against the MCF-7 cell line and 79.86% against the normal HCEC cell line [20].

2.4. Rhenium Complexes

Sulfonamide rhenium complexes that exhibit anticancer activity include carbonyl complexes (Figure 5). An example of such a complex is the carbonyl complexes of rhenium 69, which have a tetrahedral structure and complexes through the aromatic system of the cyclopentadiene ring [22].
These compounds were tested for human carbonic anhydrase (hCA) inhibition. Carbonic anhydrase is a target for both diagnosis and anticancer therapy. The results of the activity of this complex on tumor-associated isoforms hCA IX and hCA XII are shown in Table 4. Inhibition was compared with acetazolamide, used as a reference compound.
This table shows that among complexes 69, complex 7 shows the highest inhibition activity against hCA IX isosyme, while complex 9 shows the highest activity against hCA XII isosyme.
Another example of a sulfonamide carbonyl rhenium complex with anticancer activity is a six-coordinated complex 10, containing a primary sulfonamide group, in which the metal atom is complexed via a 4-(2-pyridyl)-1,2,3-triazole group [23]. The compound was tested for carbonic anhydrase inhibition, including hCA IX and hCA XII isoforms, in the CO2 hydrase stopped-flow assay. The activity of this compound was compared with acetazolamide (Table 4).
The activity of the complex 10 against isoform hCA IX was slightly lower than activity of acetazolamide, however, against isoform hCA XII the complex 10 showed much lower activity than acetazolamide.
Rhenium complexes 810 are an example of primary benzenesulfonamide complexes. The Ph-SO2NH2 group is one of the most potent inhibitors of carbonic anhydrase. Its mechanism of action involves the binding of zinc ions by the deprotonated form of the sulfonamide at the lower part of the active site. In addition, hydrogen bonds are formed between the sulfonamide group and the threonine residue Thr199, as well as hydrophobic interactions between the benzene ring and the leucine residue Leu198 and valine residue Val121 in the middle part of cavity (Figure 6) [24].
Among other known compounds, there are anticancer sulfonamide rhenium six-coordinated complexes (also carbonyl), in which the rhenium atom is complexed by three nitrogen atoms, including the nitrogen atom of the sulfonamide group 11ab and 12ab. These ligands contain a biphenyl grouping [25] (11ab) and naphthalene rings [26] (12ab). The complexes 11ab and 12ab were tested for activity against the NCI-H292 cell line (non-small cell lung cancer cells) and compared with cisplatin (Table 5).
Compound 11a shows slightly less anti-cancer activity than cisplatin, while compound 11b shows much higher anti-cancer activity than cisplatin. This table shows that both complex 12a and complex 12b are more cytotoxic against the NCI-H292 cell line than the reference compound.
Another group of sulfonamide rhenium complexes that exhibit anti-cancer activity are sulfonamide derivatives of cyclopentadienyl imines 13ab [27]. These compounds were tested for anticancer activity against non-small cell lung cancer cell line—H1299 and compared with cisplatin (Table 6).
Compound 13a is less active to the H1299 cell line than cisplatin. Compound 13b is more cytotoxic against the H1299 cell line than complex 13a, however, it is also less active than the reference compound.
A different example of sulfonamide anticancer rhenium complexes are benzenesulfonamide derivatives (14am), shown in Figure 7 [28]. The molecules of these compounds consist of a benzenesulfonamide group linked via a linker (symbol L in the Figure 7) to nitrogen tridentate ligands that bind the rhenium atom (Z group in the Figure 7). These complexes were tested for affinity to hCA-IX carbonic anhydrase and compared with acetazolamide (Table 7). The complex with the highest affinity for hCA-IX is 14e, showing higher affinity than acetazolamide. The lowest affinity for hCA IX was shown by compound 14a and 14j.

2.5. Iron, Cobalt, Nickel Complexes

Figure 8 shows sulfonamide complexes of iron, cobalt and nickel with anticancer activity. Among the anti-cancer, sulfonamide iron complexes are ferrocene complexes 1518 [29].
The complexes 1518 were tested for cytotoxic activity against three cancer cell lines: HCT116 (colon cancer), MCF7 (breast cancer), MDA-MB-231 (breast cancer) and against one non-cancerous BJ cell line (fibroblasts from normal foreskin). The results are shown in Table 8.
The lowest cytostatic activity, both against the cancer cell lines and against the BJ cell line, was shown by complex 15. Against the HCT116 cell line, all complexes were less active than cisplatin. The most active complex against the HCT116 cells was complex 16. All the complexes analyzed in this research were less cytotoxic against the non-cancerous BJ cell line than cisplatin. Complexes 15 and 16 were the least cytotoxic to the BJ cell line, while compounds 17 and 18 showed similar cytotoxicity against this cell line. In the case of the MCF-7 cell line, compound 18 was the most active, although it showed less cytotoxicity against this cell line than the reference compound. Complexes 17 and 18, on the other hand, showed higher antitumor activity than cisplatin against the MDA-MB-231 cell line, with reduced cytotoxicity against the normal BJ cell line.
Sulfaclozine (SCZ) forms complexes 1920 with iron, cobalt and nickel, shown in Figure 8 [30]. The anti-cancer activity of these complexes is shown in Table 9 and compared with sulfaclozine, as a ligand.
Among these complexes, the highest cytotoxic activity, both against MCF-7 and CaCo-2 cell lines, was shown by complex 20a. The compound was more cytotoxic than sulfaclozine in the case of the MCF-7 cell line.
A well known compound is the sulfamethoxazole complex with nickel(II) 21, and its cytotoxic activity against K562, HT-29 and MCF-7 cell lines is shown in Table 10 [31]. However, the compound was less cytotoxic against these three cell lines than cisplatin, used as a reference compound.
Sulfonamide complexes with iron, cobalt and nickel with an identical structure to chromium(II) complex 4 (Figure 3) exhibit cytotoxic activity, which is shown in Table 11 [20]. The most active of these compounds against the MCF-7 cell line was the nickel complex.
A. Salmon’s research group studied the anticancer activity of ferrocene complexes 2233 by inhibiting the cancer-associated carbonic anhydrase enzymes IX and XII [32]. Compound 25 was the most potent inhibitor of hCA IX and hCA XII (Table 12).
Nickel complexes 3436 are complexes of nickel with Schiff bases, containing a sulfonamide group [33]. Their anticancer activity is shown in Table 13. Complex 35 was the most active against the MCF-7 cell line (more active than cisplatin); however, it had similar cytotoxic properties to cisplatin against normal cells of the OEC line (normal oral epithelial).
Azo derivatives of sulfafurazole form complexes with iron 37, cobalt 38 and nickel 39 [34]. The data in Table 14 show that all three complexes (3739) exhibit greater cytostatic activity against A-549 and PANC-1 cell lines than the unbound sulfafurazole ligand, but this activity is weaker than that of vinblastine sulfate.
Azo derivatives of sulfathiazole form complexes 40 and 41 with Co(II) and Ni(II), respectively [35]. The cytotoxic activity of these complexes against the Hep-G2 and MCF-7 cell lines is shown in Table 15. As can be seen from this table, both complexes show greater cytotoxic activity against both cell lines than the unbound sulfathiazole ligand, while both compounds show less cytotoxic activity against the Hep-G2 cell line than cisplatin. In contrast, cobalt complex (40) is more cytotoxic active against the MCF-7 cell line than 5-fluorouracil.

2.6. Ruthenium Complexes

Among the many metals under investigation, ruthenium complexes are among a group of compounds offering hope for potential use in chemotherapy. Ru(II) and Ru(III) ions have a strong affinity for nitrogen and sulfur [36]. Three important features predispose ruthenium ions to biological studies:
(a)
chemical similarity to iron due to ruthenium’s location in the same group of the periodic table, e.g., oxidation degrees and a preferential coordination number = 6,
(b)
low redox potentials allowing for easy change of basic oxidation degrees under physiological conditions,
(c)
relatively slow ligand exchange (a rate comparable to the rate of cell division—mitosis), which means that if ruthenium binds to a selected cell component, it will remain so bound throughout the cell life cycle [37].
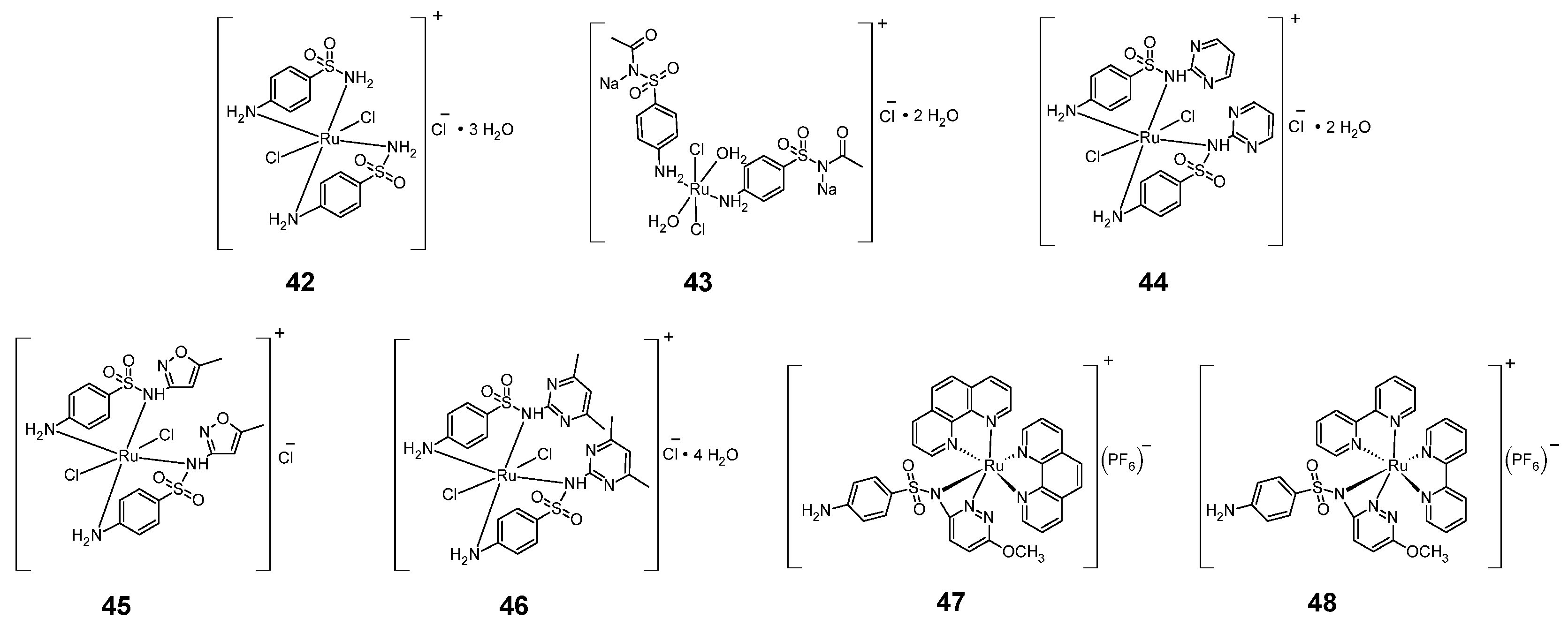
Examples of sulfonamide complexes with ruthenium are shown in Figure 9. Among the sulfonamide ruthenium complexes with anticancer activity are chloride hexacoordinated complexes 4246. These complexes contain sulfonamides, commonly used in medicine, as ligands: sulfanilamide, sulfacetamide sodium, sulfadiazine, sulfamethoxazole and sulfadimidine [38]. These complexes were tested for cytotoxic activity against cells of the HCT-116 colon cancer line and compared with doxorubicin (Table 16). All five tested complexes showed less cytotoxicity against the HCT-116 cell line than doxorubicin. Complexes 4244 were the least cytotoxic, but complex 46 was the most cytotoxic.
Another group of sulfonamide anti-cancer ruthenium complexes are sulfamethoxypyridazine complexes (4748) [39]. The antitumor activity of these complexes against chronic myelogenous leukemia cells (K562 cell line) is shown in Table 17. Complex 48 was more active than complex 47, however both of these complexes were much more cytotoxic than the non-sulfonamide Ru complexes: cis-[RuCl2(bpy)2] and cis-[RuCl2(phen)2].
Also of interest are organometallic compounds of ruthenium (II), the general formulas of which are shown in Figure 10. These are monoarene complexes of the “piano stool” type with pseudo-tetrahedral geometry, where the individual ligands X, Y, Z both mono- and bidentate can be varied, thus modeling their chemical properties. They are either ionic or inert compounds.
An example of such a sulfonamide ruthenium complex of the “piano stool” type is complex 49, in which the arene, complexing the metal atom via six π electrons, is p-cymene [40]. The other ligands in this complex are triphenylphosphine and a sulfonamide ligand complexing through the nitrogen atom of pyridine and the sulfur atom of the thioamide group. Complex 49 was tested for cytostatic activity against SiHa cell line of cervical cancer and compared with cisplatin. This compound was more cytotoxic against SiHa cell line (IC50 = 1.9 ± 0.5 μM) than cisplatin (IC50 = 3.0 ± 1.1 μM).
Another example of sulfonamide ruthenium complexes of the “piano stool” type are compounds 50ah, in which the ruthenium atom is complexed through the nitrogen atom of the sulfonamide group, the nitrogen atom of the secondary amine group, the halogen atom (chlorine or iodine) and the aromatic ring [41]. Compounds 50ah were tested for cytotoxic activity against A2780 (ovarian cancer) and A549 (lung cancer) cell lines. The reference compound was cisplatin (Table 18).
In the case of the A2780 cell line, the greatest cytotoxic activity was exhibited by complex 50e, which was slightly less active than cisplatin. The least active complex against the A2780 cell line was compound 50g. However, compound 50g was the most cytotoxic active against the A549 cell line, slightly less active than cisplatin. The least cytotoxic compound against the A549 cell line was 50h.
Piano stool-type ruthenium sulfonamide complexes also include organometallic, chloride complexes of acetazolamide with ruthenium 51ab (Figure 10) [42]. These complexes were tested for inhibition of the cancer-associated carbonic anhydrase isoforms hCA IX and hCA XII. The reference compound was acetazolamide (Table 19).
Both complexes 51a and 51b were better inhibitors of hCA IX and hCA XII isoforms than acetazolamide. Complex 51b was a better inhibitor of both isoforms than complex 51a. It follows that the binding of acetazolamide to the ruthenium atom enhances its ability to inhibit cancer-associated isoforms hCA IX and hCA XII. The 1,3,4-thiadiazole ring linked to a sulfonamide group also causes carbonate anhydrase inhibition by binding the zinc ion. In addition, the nitrogen atoms of the 1,3,4-thiadiazole ring form hydrogen bonds with the OH group of the T200 residue of the active site [24].
Another example of sulfonamide ruthenium complexes of the piano stool type are complexes 52ab, containing an imidazole ring [43]. The anticancer activity of these compounds under normoxia and hypoxia against MIA PaCa-2 (human pancreas ductal adenocarcinoma) and MDA-MB-231 (breast adenocarcinoma) cancer cell lines is shown in Table 20. The activity of these compounds was compared against non-cancerous cells: CHO (Chinese hamster ovary) and MDCK (Madin-Darby canine kidney). Both complexes were much less cytotoxic against normal cell lines than against tumor cells.
Also known are ruthenium complexes with chiral sulfonamide (N-Tosyl) ligands 5356. Their activity against the A2780 cell line (ovarian carcinoma) is shown in Table 21, which shows that compounds 55 and 56 were more cytotoxic than cisplatin [44].
Azo sulfonamides (N-tosyl and N-mesyl) form monoarene complexes with ruthenium 5761 [45]. The cytotoxicity of these compounds against four cancer cell lines: HeLa, A549, HCT-116 and MCF-7 are shown in Table 22. As can be seen from this table, the 57g complex was the most cytostatically active against all four cell lines. It showed greater activity than cisplatin in each case.

2.7. Osmium Complexes

Sulfonamide osmium complexes with anti-cancer activity are shown in Figure 11. Examples of such compounds are 62ab [46], 62cd [47] and 63ah [48] which also belong to the “piano stool” type complexes.
The compounds 62ab showed anticancer activity against the MRC5 (lung cancer) and A2780Cis (ovarian cancer) cell lines (Table 23).
In the case of the MRC5 cell line, the 62b complex was more cytotoxic than cisplatin, used as a reference compound. Compound 62a was only slightly less cytotoxic to the MRC5 cell line than cisplatin. In the case of the A2780Cis cell line, complex 62b was also more cytotoxic than cisplatin, while complex 62a was less cytotoxic than cisplatin.
Complexes 62c and 62d were tested for cytostatic activity against 7 cell lines: A2780 (ovarian cancer), A549 (lung cancer), HCT-116 (colon cancer), MCF7 (breast cancer), MCF7−TAMR-1 (tamoxifen resistant breast cancer), MCF10-A (non-tumorigenic breast cells) and MDA−MB-231 (breast cancer). The results of cytotoxic activity of 62cd complexes are summarized in Table 24. The reference compounds were cisplatin and tamoxifen. Cell lines were treated for 24 h and allowed 72 h recovery time in drug-free medium.
Table 24 shows that in the case of the A2780 cell line, compound 62d showed greater cytotoxic activity than tamoxifen. In the case of A549, HCT-116 and MCF7 cell lines, both compounds showed less cytotoxic activity than the reference compounds, while in the case of tamoxifen-resistant MCF7-TAMR-1 cell line, compound 62d showed only slightly less cytotoxic activity than cisplatin. Compound 62d was also more cytotoxic against the MDA-MB-231 cell line than both reference compounds.
Table 25 shows the cytotoxic activity of 63ah complexes against cell lines: A2780 and A549. Compound 63a was most active against both of these cell lines.
The anticancer sulfonamide osmium complexes also include compounds 6465, which are not “piano stool” type complexes [49]. These complexes were tested for phototoxic activity against two cell lines in normoxia and hypoxia: A549 and MDA-MB-231 and compared with protoporphyrin IX (PPIX)—Table 26.
These complexes (both 64 and 65) showed greatest anti-tumor activity with 540 nm radiation. In the case of the A549 cell line in the normoxic state (at 540 nm)—complex 65 was the most active, slightly less active than protoporphyrin IX. The same cell line, being in hypoxia, was the most sensitive to Complex 64 (at 540 nm). However, this complex was less active than PPIX. Promising activity results were obtained for complex 64 at 540 nm, acting on the normoxic MDA-MB-231 cell line. This complex was only slightly less active than PPIX. For the same cell line under hypoxia, complex 64 was most active with 620 nm radiation. Complex 65, active at 670 nm, was even more active against the MDA-MB-231 cell line under hypoxia.

2.8. Iridium Complexes

An example of sulfonamide iridium(III) complexes with anti-cancer activity is cyclopentadienyl complexes 66ac, shown in Figure 12 [50]. These compounds have been studied towards 13 human cell lines (Table 27). For most cancer cell lines, compound 66c showed the highest activity (against A2780cis and MCF-7 cell lines, it showed higher cytotoxic activity than cisplatin).

2.9. Palladium Complexes

Sulfonamide palladium complexes (Figure 13) with anticancer activity include palladium-saccharin complexes, for example complex 67, containing Pd-Pd bond [51] and the cationic complexes 68 and 69, in which saccharin is the anion [52].
K. Kazemi’s research team examined the cytotoxic activity of complex 67 against four cell lines: HeLa (cervical cancer), A549 (lung cancer), MCF-7 (breast cancer) and NIH (normal fibroblast cells). The reference compound in this study was cisplatin, sodium saccharin and free imine ligand (Table 28).
Compound 67 is more cytotoxic against A549 and MCF-7 cell lines than cisplatin, imine ligand and sodium saccharin. The cytotoxicity of compound 67 against the HeLa cell line was less than that of cisplatin, however, the palladium complex tested was much less cytotoxic against the non-cancerous NIH cell line.
E. Ulukaya’s research team tested cationic palladium-saccharin complexes (6869) against four cell lines: A549 (lung cancer), H1299 (non-small cell lung carcinoma), PC-3 (prostatic adenocarcinoma) and CHO—chinese hamster ovary lung fibroblast (Table 29).
Compound 69 was more cytotoxic against all three cancer cell lines: A549, H1299 and PC-3 than cisplatin, but was also more cytotoxic against the non-cancer CHO cell line. Compound 68, on the other hand, was more cytotoxic than the reference compound only to the A549 cell line, while it also showed less toxicity to non-cancerous CHO cells.
The second group of sulfonamide palladium complexes with anticancer activity are complexes of p-toluenesulfonyl-L-amino acid derivatives. These include complexes with ethylenediamine (70ae) [53] and azaheteroaromatic ligands [54]: 2,2′-bipyridyl (71ab), 1,10-phenanthroline (72ab) and 2,2′-biquinoline (73). All of these complexes were tested for anticancer activity against four cell lines: HL-60, BGC-823, Bel-7402 and KB (Table 30).
In the case of the HL-60 cell line, the most active palladium complex was complex 72a, less active than cisplatin. This compound is also the most active against the BGC-823 and Bel-7402 cell lines (however also less active than cisplatin). In contrast, in the KB cell line, the most active palladium complex is complex 72b, which is slightly less cytotoxic than the reference compound.
Sulfamethoxazole forms a complex 74 with palladium, whose anticancer activity is shown in Table 31. The complex showed slightly lower cytotoxic activity than cisplatin against the MCF-7 cell line [31].

2.10. Platinum Complexes

Platinum forms many complexes with sulfonamides with anti-cancer activity (Figure 14). An example of sulfonamides forming such complexes is saccharin, which forms complexes 7581.
The earliest studied saccharin-platinum complex was complex 75 [55]. This complex has a flat, square geometry with trans isomerism. 75 was tested for cytotoxic activity against four cell lines: A549, PC3, Hep3B, C6 and compared with carboplatin (Table 32).
As shown in Table 32, complex 75 was found to be more active against the PC3 cell line than carboplatin. For the other cell lines, complex 75 was less cytotoxic than the reference compound.
In 2018, V. T. Yilmaz’s research team published the results of cytotoxic activity of another complexes of platinum with saccharin 7678 [56]. The complexes were tested for anticancer activity against: MCF-7 (breast cancer), A549 (lung cancer), DU145 (prostate cancer), HCT116 (colon cancer) cell lines and compared with cytotoxicity against normal bronchial epithelial (BEAS-2B) cells. The reference compound in these researches was cisplatin (Table 33).
Complex 77 was the most cytostatically active against all four cancer cell lines. However, it was also the most cytotoxic against non-cancerous BEAS-2B cells (more so than cisplatin). In the case of the MCF-7 cell line, all three complexes were more cytotoxic than cisplatin. In the case of the DU145 and HCT116 cell lines, compound 77 was more cytotoxic compared to cisplatin, while compound 77’s activity against the A549 cell line was slightly less than that of cisplatin.
In 2019, Ceyd Icsel’s research team published the results of a study of the anticancer activity of two platinum-saccharin complexes: 79 and 80 [57]. The cytotoxic activity of these compounds against three cancer cell lines: A549, MCF-7, HCT-116 and one non-cancerous BEAS-2B cell line is shown in the form of three parameters in Table 34: GI50 (dose of 50% growth inhibition), TGI (dose of total growth inhibition) and LC50 (dose of 50% cell death).
Complex 79 showed slightly less cytotoxic activity against the A549 cell line than cisplatin. Good results were obtained in the MCF-7 cell line, where both complexes showed greater cytotoxic activity than cisplatin. Both complex 79 and complex 80 were less cytotoxic against the normal BEAS-2B cell line than cisplatin.
In 2023, the research team of D. I. Ugwu published the results of a cytotoxicity study of complex 81 [58]. The compound showed very good cytotoxic activity against A549 and HCT-116 cell lines, better than cisplatin. The anticancer activity against the MCF-7 cell line was slightly weaker than cisplatin, while the cytotoxicity against the non-cancerous BEAS-2B cell line was comparable to that of cisplatin (Table 35).
Sulfonamide ligands containing an azo group can forming a stable six-membered chelate ring as in the case of compound 82 (Figure 14) [59]. This complex showed cytotoxic activity against the A2780 (ovarian cancer) and A2780CP70 (cisplatin-resistant ovarian cancer) cell lines (Table 36). 82 was more cytotoxic against the A2780 cell line when DMF was used as a solubilizing solvent than when DMSO was used. The activity was slightly weaker than cisplatin, while the activity of this compound against the A2870CP70 cell line was significantly greater than cisplatin.
Other known compounds are the six-coordinate analogs (83 and 84) of the commonly used in oncology platinum drugs: cisplatin and oxaliplatin, containing additional axial sulfonamide ligands in trans position [60]. As shown in the Table 37, the compounds showed strong anticancer properties, under both normoxia and hypoxia conditions, against cancer cell lines: MDA-MB-231, HeLa and HepG2, more potent than cisplatin and oxaliplatin, while having reduced cytotoxic properties against normal cells: MCF-10A, LO2 and HLF.
Replacement of the ammonia molecules in the basic structure of cisplatin with molecules of the sulfonamide bipyridine ligand yields complexes 8587 [61]. Compound 85 and 86 showed less cytotoxic activity against the MCF-7 breast cancer cell line than cisplatin, while complex 87 was more active against these cells (Table 38).
In addition to sulfonamide-based, planar square platinum complexes of cis geometry, compound 88 of trans geometry is also known [62]. Complex 88 had similar anticancer activity against melanoma cell line SK-MEL-5 to cisplatin. This compound, however, had higher activity than cisplatin against SK-MEL-28 cell line (Table 39).
Another sulfonamide-platinum complexes described in the 2022 publication are complexes 8990, whose cytotoxic activity against the NCl-H292 cell line is summarized in Table 40 [63]. These complexes showed higher anti-cancer activity than their free ligands. The most active after 24 h was compound 89.
Sulfamethoxazole forms a complex 91 with platinum, whose anti-cancer activity is shown in Table 41. This compound showed less anti-cancer activity than cisplatin against three cell lines: K562, HT-29 and MCF-7 [31].

2.11. Copper Complexes

There are many sulfonamide copper complexes with anticancer activity (Figure 15). Among the sulfonamide copper complexes with anticancer activity are complexes with saccharin, 9294.
The 2017 publication described the anticancer activity of complex 92, containing two copper atoms, against human breast cancer cell lines: MCF-7 and MDA-MB-231 [64]. This compound was more active against both of these cell lines than tamoxifen, used as the reference compound (Table 42).
In 2021, in turn, there was a publication describing the anticancer activity of complexes 93 and 94, each containing one copper atom [65]. Compound 93 had higher activity against MCF-7 cells than unbound saccharin and cisplatin, used as a reference compound (Table 43). However, compound 93 was also slightly more cytotoxic against the non-cancerous HEK-293 cell line than saccharin and cisplatin.
Some anticancer compounds produce reactive oxygen species (ROS) and thus induce cell death. An example of such compounds are five-coordinated complexes of copper(II) with terpyridine (95ae) [66]. These complexes had tested their anti-breast cancer stem cell (CSC) properties. For this purpose, 95ae were tested for cytotoxic activity against the bulk breast cancer cells (HMLER) and breast CSC-enriched cells (HMLER-shEcad) cultured in monolayers (Table 44). In addition, researches were conducted for cytotoxic activity against serum-free cultures of breast CSCs, which can generate three-dimensional structures called mammospheres. All complexes were more active against HMLER cells, HMLER-shEcad cells, and HMLER-shEcad mammospheres than cisplatin and salinomycin (Table 44).
Another group of sulfonamide complexes showing anti-cancer activity are five-coordinated copper complexes with 1,3,4-thiadiazole sulfonamides (96 and 97) [67]. As shown in the Table 45, considering activity after 24 h—compound 97 had higher cytotoxic activity against HeLa and MW35 cell lines than cisplatin, while being less cytotoxic against the HFL1, than the reference compound.
The copper atom can also take the coordination number 6 in many complexes with azaheteroaromatic ligands, for example with pyrimidine sulfonamides (98100) [68]. Compounds 98100 were tested for cytotoxic activity against nine cancer cell lines and one non-cancer HaCat cell line and were compared with doxorubicin (Table 46).
Complex 98 was more cytotoxic against the tumor cell lines MCF-7, NCI-H460, OVCAR-3 and HT29 than doxorubicin, but was also more cytotoxic against the normal cell line HaCat. Compound 99, in turn, showed greater activity than doxorubicin against cancerous cell lines: NCI-H460, OVCAR-3 and HT29. Its activity against HaCat cells was comparable to the reference compound.
Schiff bases derived from N-tosylbenzene-1,2-diamine form four- and five-coordinate complexes with copper(II) (101105), showing anticancer activity (Figure 15) [69]. Table 47 shows the cytotoxic activity of compounds 101105 against the SH-SY5Y, U87-MG, U373-MG cell lines and the non-cancerous MRC-5 cell line. All these compounds showed significantly greater cytotoxic activity against the SH-SY5Y neuroblastoma cell line (compound 101 was the most active) than cisplatin, used as a reference compound. Also against the U87-MG and U373-MG glioblastoma cell lines, all tested copper(II) complexes were more cytotoxic than cisplatin (compound 102 was the most active against these two cell lines).
Another sulfonamide copper complexes with potent anti-cancer properties are four-coordinated, tetrahedral biphosphine complexes of Cu(I) 106ab [70]. Both copper complexes showed greater cytotoxic activity after 12 h against the B16-F10 melanoma cell line than cisplatin, doxorubicin and their unbound ligands. The most active after 12 h was compound 106a (Table 48).
Sulfaclozine (SCZ) forms a complex 107 with copper, which shows stronger cytotoxic properties against MCF-7 and CaCo-2 cell lines than sulfaclozine as a free ligand (Table 49) [30].
An example of copper complexes with primary sulfonamides is complex 108, whose activity on carbonate anhydrase inhibition of hCA IX and hCA XII is shown in Table 50 [71]. This table shows that compound 108 is more active against hCA IX than all three reference compounds and the free ligand, while activity against hCA XII is similar to acetazolamide.
Compound 109 is an example of a complex of an azo derivative of sulfafurazole with copper [34]. 109 is more cytostatic active against the A-549 cell line than unbounded ligand and vinblastine sulfate (Table 51).
It is also known an analog of complex 4, containing a copper atom instead of chromium (Figure 3). This complex showed cell viability after treatment of 80.67% for the MCF-7 cell line and 25.88% for the HCEC cell line [20].
Azo derivatives of sulfathiazole form complex 110 with Cu(II) [35]. As shown in Table 52, this compound is more cytotoxic against HepG-2 and MCF-7 cells than the unbound sulfathiazole ligand, and is more active against the MCF-7 cell line than 5-fluorouracil.
Sulfonamide derivatives of 1,3-diaryltriazene form 111ae complexes with copper [72]. These compounds were tested for their cytostatic activity against cancer cell lines: colorectal adenocarcinoma (DLD-1), cervix carcinoma (HeLa), breast adenocarcinoma (MDA-MB-231), colon adenocarcinoma (HT-29), endometrial adenocarcinoma (ECC-1), prostate cancer (DU-145 and PC-3), and compared with the normal cells: embryonic kidney (HEK-293), prostate epithelium (PNT-1A) and retinal pigment epithelium (ARPE-19) cells. The reference compound was 5-fluorouracil. The results of these studies are presented in the Table 53. In many cases, these compounds exhibited greater cytotoxic activity against cancer cell lines than 5-fluorouracil, while at the same time exhibiting less cytostatic activity against normal cell lines. For example, compound 111b exhibited very strong cytostatic activity against the HeLa cell line (greater than 5-fluorouracil) and was much less active against normal cell lines.

2.12. Silver Complexes

Sulfonamide silver complexes with anticancer properties include complexes with saccharin 112115 [73] and 116118 (Figure 16) [74]. Compounds 112115 are examples of complexes with monophosphane ligands, while compounds 116118 are complexes with biphosphane ligands.
All six complexes (except for 118) showed higher cytotoxic activity against A549 and MCF-7 cells than cisplatin and AgNO3. However, they were also more cytotoxic against normal WI-38 cells. Compound 113 was the most cytotoxic against these two tumor cell lines (Table 54).
Sulfonamide derivatives of 1,3-diaryltriazene form 119ae complexes with silver [72]. Cytotoxic activity against seven cancerous and three normal cell lines is presented in Table 55. Noteworthy is compound 119b, which showed the highest cytotoxic activity against the HeLa cancer cell line among all silver complexes and higher than 5-fluorouracil (5-FU). This compound was less active against normal cell lines compared to cancer cell lines.

2.13. Gold Complexes

Sulfonamide-gold complexes with anticancer activity are shown in the Figure 17. Among the sulfonamide gold complexes, gold complexes with saccharin are known, having a coordination number of 2 or 4 (120125) [75]. Compounds 120121 and 123124 are in the form of salts in which the complex ion is an anion, while compound 122 is a non-ionic complex.
As shown in Table 56, complexes 120124 showed less cytotoxic activity than cisplatin against cisplatin-sensitive ovarian cancer A2780/S cells; however, complexes 122 and 124 showed slightly greater activity than cisplatin against the cisplatin-resistant A2780/R cell line.
Sulfamethoxazole, an antimicrobial drug, complexes gold, forming complex 126 [76]. However, this compound showed less anti-tumor activity than doxorubicin (used as a reference compound) against the HepG-2 and HCT-116 cell lines (Table 57).
Saccharin 125a and 125b complexes with gold(III) were tested for cytostatic activity against the P388 cell line [77]. Compound 125a showed an IC50 > 34.3 µM, while compound 125b showed an IC50 > 36.0 µM.
The 8-substituted quinoline sulfonamides form 4-coordination complexes with gold(III) (127ab) [78]. The anticancer activity of these complexes has been tested against cell lines: HBL-100, T-47D (breast cancer), HeLa (cervical cancer), SW1573 (non-small cell lung cancer), A549 (lung cancer) and WiDr (colon carcinoma). The study showed that compound 127b exhibited greater cytotoxic activity than cisplatin against the T-47D cell line and WiDr cell lines (Table 58).
Complexes 128134 are an example of complexes containing chelating bis(amidate) ligands [79]. Their anticancer activity against the P388 cell line (murine leukemia cells) is shown in Table 59, which shows that complex 131 was the most active (and also more active than cisplatin).

2.14. Group 10 Metal Complexes (Zinc, Cadmium and Mercury)

The structures of sulfonamide complexes with group 10 metals (zinc, cadmium and mercury), are shown in Figure 18. Zn, Cd and Hg form complexes with saccharin (135 and 136ab), showing cytotoxic activity. In the case of zinc complex 135, saccharin forms an anion, while in the case of complexes 136ab saccharin is a ligand [80].
135 and 136ab showed cytotoxic activity against cell lines A549 (lung cancer), MCF-7 (breast cancer) and HT29 (colon cancer), as shown in Table 60. The toxicity of these complexes was compared towards normal human breast epithelial MCF10A cells.
Complex 135 (zinc complex) showed much greater cytotoxic activity than cisplatin against tumor cells: A549 and MCF-7, however it also showed higher cytotoxic activity against normal cells MCF10A than cisplatin. In the case of the HT29 cell line, compound 135 was also the most active of the complexes tested; however, it was less cytotoxic against these cells than cisplatin.
Zinc forms also 137ad complexes with sulfonamides, containing a carboxyl group [81]. The cytotoxic activity of the 137ad complexes is summarized in Table 61. The most active zinc complex against the H-157 cell line was compound 137a (however, less cytotoxic than vincristine). This compound was also less cytotoxic to non-cancerous BHK-21 cells than vincristine.
Another example of a sulfonamide zinc complex is complex 138, which is a complex of sulfaclozine (SCZ) with zinc [30]. This complex was more cytotoxic to the MCF-7 cell line than sulfaclozine, but was less cytotoxic to the CaCo-2 cell line (Table 62).
Compound 139, which is a cadmium-containing analogue of complex 4 (Figure 3), showed no cytotoxic activity against the MCF-7 cell line (cell viability after treatment was 100%) [20].
Compound 140 is an analog of compound 108, containing a zinc atom in place of a copper atom [71]. The compound shows inhibition of carbonic anhydrase hCA IX at Ki = 28 nM and hCA XII at Ki = 6.8 nM. Comparing the data in Table 50, it appears that compound 140 is less active against hCA IX and hCA XII than compound 108.
Zinc forms a complex 141 with the azo derivative of sulfafurazole [34]. This compound shows cytostatic activity IC50 = 137.81 ± 10.23 µg/mL against the A-549 cell line and IC50 = 98.94 ± 5.78 µg/mL against the PANC-1 cell line. Thus, it is more active than the unbound sulfafurazole ligand, but less active than vinblastine sulfate and an analog containing a copper atom (compare Table 16 and Table 38).
The azo derivative of sulfathiazole forms a complex 142 with zinc [35]. The compound shows cytotoxic activity against the HepG-2 cell line at IC50 > 658.45 µM and against the MCF-7 cell line at IC50 = 30.28 µM. The complex is therefore more cytotoxic against both of these cell lines than the unbound ligand (IC50 > 1236.30 µM against both cell lines) and more cytotoxic against the MCF-7 cell line than 5-fluorouracil, with IC50 = 215.26 µM.
Sulfanilamide Schiff base derivatives form a complex with cadmium 143 and 144 [82]. The results of cytotoxicity tests on the HeLa cell line showed that complex 143 is more active than the free sulfanilamide ligand (complete inhibition of cell growth using this complex was observed at a concentration of 48.1 μg/mL, while using the ligand, this concentration was 57.1 μg/mL). Comparing the analogue of complex 143, containing bromine atoms instead of chlorine (144), with its ligand, a similar correlation can be observed—complex 144 (showing complete inhibition of HeLa cell growth at a concentration of 22.5 μg/mL) is more cytostatically active than its free ligand (showing complete inhibition of HeLa cell growth at a concentration of 39.8 μg/mL).

2.15. Complexes of Metals Outside the d Block of the Periodic Table

Sulfonamides are also known to complex with metals outside the d block of the periodic table. Their structures are shown in Figure 19.

2.15.1. Metal Complexes of the s-Block

Examples of s-block sulfonamide metal complexes are magnesium and calcium complexes, 145 and 146, respectively [83]. The calcium complex (146) showed slightly greater anti-cancer activity against colon cancer cells than doxorubicin, used as a reference compound (Table 63).
It is also known strontium complex 147, which is an analogue of chromium complex 4 [20], but it wasn’t active against MCF-7 cell line (Cell viability after treatment was 100%).

2.15.2. Metal Complexes of the p-Block

The antimicrobial drug, sulfapyridine, forms a six-coordinated complex 148 with bismuth(III) [84]. Complex 148 with IC50 = 44 μM showed greater cytotoxic activity against the K562 leukemia cell line than the free sulfapyridine ligand used as a reference compound, with IC50 > 100 μM.
The cytotoxic activity (as a cell viability after treatment) of the tin (149) and lead (150) complex is shown in Table 64 [20]. Tin complex (149) was more cytotoxic than the lead complex, 150 (which wasn’t active) and then uncomplexed sufonamide.

2.15.3. Uranium Complex

Sulfaclozine forms complex 151 with uranium, occurring as a uranyl ion [85]. The cytotoxic activity of 151 against Caco-2 cell line is shown in Table 65. The activity of this complex was compared with three reference compounds: carbimazole, 6-mercaptopurine and the free ligand sulfaclozine. Compound 151 is more cytotoxic against this cell line compared to the three given reference compounds.

3. Conclusions

Sulfonamides form many complexes with anti-cancer properties with metals: Ti, Mn, Re, Fe, Ru, Os, Ir, Pd, Pt, Cu, Ag, Au, Zn, Cd, Hg, U and Bi. The sulfonamide group can complex the metal atom via a nitrogen atom or an oxygen atom, or it may not participate in complexation (in this case, the metal atom is complexed by other structural elements of the molecule, containing donor atoms). The most popular type of sulfonamide complexes with metals such as rhenium, ruthenium, iridium, and osmium are “piano stool” complexes. The examples of these compounds presented here show that sulfonamide-metal complexes exhibit high anticancer activity, often greater than the reference compounds commonly used in medicine to treat cancer. Modification of the structure of sulfonamide ligands alters the cytotoxic activity of the complexes. One of the most popular sulfonamide ligands in anti-cancer complexes is saccharin. Some of the described complexes, such as for example 66c, 82, 122, 124 show cytotoxic activity against cell lines resistant to some commonly used anticancer drugs (cisplatin). Many sulfonamide metal complexes, especially rhenium complexes, are involved in the inhibition of cancer-related carbonic anhydrase hCA IX and hCA XII. Most often, these are complexes of primary benzenesulfonamides. The described heterometallic complexes showed higher activity than complexes containing one metal atom—comparing complexes 15 and 16, which contain only iron, with complexes 17 and 18 (which contain—in addition to iron—another metal), it can be concluded that the addition of another metal to the complex molecule results in increased cytotoxicity against the MDA-MB-231 cell line, but also increased cytotoxicity against the normal BJ cell line. The results of these studies may be helpful in developing new sulfonamide complexes with metals to enhance anti-cancer activity against specific cell lines. Complexes 64 and 65 as an effective drug for photodynamic therapy in oncology. Their ability to make phototoxicity in the visible and near-infrared regions of electromagnetic radiation, as well as under hypoxic conditions, carry a promise for targeted anticancer therapy. Additional axial sulfonamide ligands in cisplatin and carboplatin (compounds 83 and 84) positively affect the activity of known platinum drugs (increasing cytotoxicity against cancerous cells, while decreasing cytotoxicity against healthy cells). Comparing the anti-cancer activity of complexes of the same ligand but with different metals, it can be deduced that swapping its metal atom for another has a major effect on activity. For example, comparing complexes of azo derivatives of sulfathiazole with various metals (copper, cobalt, nickel and zinc), 40, 41, 110, 142 it can be deduced that the most cytostatic active against MCF-7 and HepG-2 cell lines is the cobalt(II) complex (40). However, when comparing the cytotoxic activity of carboxylate sulfonamide complexes (analogues of chromium complex 4) with various metals based on cell viability parameters, it can be concluded that the manganese complex (an analogue of complex 4 containing manganese instead of chromium) is the most active of these compounds. Optically active sulfonamide complexes differ in their anticancer activity depending on the enantiomer, as can be seen in the example of chiral ruthenium complexes 5354.

Author Contributions

Conceptualization, P.R.; writing and review, P.R. and D.B. All authors have read and agreed to the published version of the manuscript.

Funding

D.B.: Polish Ministry of Science and Higher Education (No. 19/20/B).

Institutional Review Board Statement

Not applicable.

Informed Consent Statement

Not applicable.

Data Availability Statement

Not applicable.

Conflicts of Interest

The authors declare no conflicts of interest.

References

  1. Available online: https://go.drugbank.com/unearth/q?searcher=drugs&query=sulfonamides&button=&_gl=1*3oe4tx*_up*MQ..*_ga*NTMzODY1MzQ1LjE3NTYwNjEyMDk.*_ga_DDLJ7EEV9M*czE3NTYwNjEyMDckbzEkZzAkdDE3NTYwNjEyMDckajYwJGwwJGgw (accessed on 24 August 2025).
  2. Alqahtani, A.S.; Ghorab, M.M.; Nasr, F.A.; Ahmed, M.Z.; Al Mishari, A.A.; Attia, S.M.; Khan, M.F. Cytotoxicity of Newly Synthesized Quinazoline–Sulfonamide Derivatives in Human Leukemia Cell Lines and Their Effect on Hematopoiesis in Zebrafish Embryos. Int. J. Mol. Sci. 2022, 23, 4720. [Google Scholar] [CrossRef]
  3. Żołnowska, B.; Sławiński, J.; Pogorzelska, A.; Szafrański, K.; Kawiak, A.; Stasiłojć, G.; Belka, M.; Ulenberg, S.; Bączek, T.; Chojnacki, J. Novel 5-Substituted 2-(Aylmethylthio)-4-chloro-N-(5-aryl-1,2,4-triazin-3-yl)benzenesulfonamides: Synthesis, Molecular Structure, Anticancer Activity, Apoptosis-Inducing Activity and Metabolic Stability. Molecules 2016, 21, 808. [Google Scholar] [CrossRef]
  4. Alelaimat, M.A.; Al-Sha’er, M.A.; Basheer, H.A. Novel Sulfonamide–Triazine Hybrid Derivatives: Docking, Synthesis, and Biological Evaluation as Anticancer Agents. ACS Omega 2023, 8, 14247. [Google Scholar] [CrossRef]
  5. Wani, T.A.; Zargar, S.; Alkahtani, H.M.; Altwaijry, N.; Al-Rasheed, L.S. Anticancer Potential of Sulfonamide Moieties via In-Vitro and In-Silico Approaches: Comparative Investigations for Future Drug Development. Int. J. Mol. Sci. 2023, 24, 7953. [Google Scholar] [CrossRef]
  6. Ma, J.; Gong, G.-H. Discovery of Novel 3,4-Dihydro2(1H)-Quinolinone Sulfonamide Derivatives as New Tubulin Polymerization Inhibitors with Anti-Cancer Activity. Molecules 2022, 27, 1537. [Google Scholar] [CrossRef] [PubMed]
  7. Sisco, E.; Barnes, K.L. Design, Synthesis, and Biological Evaluation of Novel 1,3-Oxazole Sulfonamides as Tubulin Polymerization Inhibitors. ACS Med. Chem. Lett. 2021, 12, 1030. [Google Scholar] [CrossRef] [PubMed]
  8. Ghorab, M.M.; Alsaid, M.S.; El-Gaby, M.S.A.; Elaasser, M.M.; Nissan, Y.M. Antimicrobial and anticancer activity of some novel fluorinated thiourea derivatives carrying sulfonamide moieties: Synthesis, biological evaluation and molecular docking. Chem. Central J. 2017, 11, 32. [Google Scholar] [CrossRef] [PubMed]
  9. Vaickelionienė, R.; Petrikaitė, V.; Vaškevičienė, I.; Pavilonis, A.; Mickevičius, V. Synthesis of novel sulphamethoxazole derivatives and exploration of their anticancer and antimicrobial properties. PLoS ONE 2023, 18, e0283289. [Google Scholar] [CrossRef]
  10. Bukowski, K.; Marciniak, B.; Kciuk, M.; Mojzych, M.; Kontek, R. Pyrazolo [4,3-e]tetrazolo [1,5-b][1,2,4]triazine Sulfonamides as Novel Potential Anticancer Agents: Cytotoxic and Genotoxic Activities In Vitro. Molecules 2022, 27, 3761. [Google Scholar] [CrossRef]
  11. Milling, R.V.; Grimm, D.; Krüger, M.; Grosse, J.; Kopp, S.; Bauer, J.; Infanger, M.; Wehland, M. Pazopanib, Cabozantinib, and Vandetanib in the Treatment of Progressive Medullary Thyroid Cancer with a Special Focus on the Adverse Effects on Hypertension. Int. J. Mol. Sci. 2018, 19, 3258. [Google Scholar] [CrossRef]
  12. Ketron, A.C.; Denny, W.A.; Graves, D.E.; Osheroff, N. Amsacrine as a Topoisomerase II Poison: Importance of Drug–DNA Interactions. Biochemistry 2012, 51, 1730. [Google Scholar] [CrossRef]
  13. Sawas, A.; Radeski, D.; O’Connor, O.A. Belinostat in patients with refractory or relapsed peripheral T-cell lymphoma: A perspective review. Ther. Adv. Hematol. 2015, 6, 202. [Google Scholar] [CrossRef]
  14. Panduranga, P.; Makam, P.; Katari, N.K.; Gundla, R.; Jonnalagadda, S.B.; Tripuramallu, B.K. Molecular Hybrids of Quinoline and Sulfonamide: Design, Synthesis and in Vitro Anticancer Studies. ChemistryOpen 2025, 14, e202400334. [Google Scholar] [CrossRef] [PubMed]
  15. Kozak, K.; Świtaj, T.; Koseła-Paterczyk, H.; Jagodzińska-Mucha, P.; Rogala, P.; Teterycz, P.; Rutkowski, P. Summary of experience of melanoma patients treated with BRAF/MEK inhibitors according to Polish National Drug Reimbursement Program Guidelines. Oncol. Clin. Pract. 2020, 16, 109. [Google Scholar] [CrossRef]
  16. Zhao, C.; Rakesh, K.P.; Ravidar, L.; Fang, W.-Y.; Qin, H.-L. Pharmaceutical and medicinal significance of sulfur (SVI)-Containing motifs for drug discovery: A critical review. Eur. J. Med. Chem. 2019, 162, 679. [Google Scholar] [CrossRef] [PubMed]
  17. Elsayad, K.A.; Elmasry, G.F.; Mahmoud, S.T.; Awadallah, F.M. Sulfonamides as anticancer agents: A brief review on sulfonamide derivatives as inhibitors of various proteins overexpressed in cancer. Bioorg. Chem. 2024, 147, 107409. [Google Scholar] [CrossRef]
  18. Zhao, T.; Grützke, M.; Götz, K.H.; Druzhenko, T.; Huhn, T. Synthesis and X-ray structure analysis of cytotoxic heptacoordinate sulfonamide salan titanium(IV)-bis-chelates. Dalton Trans. 2015, 44, 16475. [Google Scholar] [CrossRef]
  19. El-Shekeil, A.G.; Abubakr, A.O.; Al-Aghbari, S.A.; Nassar, M.Y. Anticancer 4: Anticancer and DNA Cleavage Studies of Some New Schiff Base Titanium (IV) Complexes. Eur. J. Chem. 2014, 5, 410. [Google Scholar] [CrossRef][Green Version]
  20. Danish, M.; Raza, M.A.; Khalid, H.; Iftikhar, U.; Arshad, M.N. New metal complexes of sulfonamide: Synthesis, characterization, in-vitro anticancer, anticholinesterase, antioxidant, and antibacterial studies. Appl. Organomet. Chem. 2020, 35, e6033. [Google Scholar] [CrossRef]
  21. Icsel, C.; Yilmaz, V.T.; Aydinlik, Ş.; Aygun, M. New manganese(II), iron(II), cobalt(II), nickel(II) and copper(II) saccharinate complexes of 2,6-bis(2-benzimidazolyl)pyridine as potential anticancer agents. Eur. J. Med. Chem. 2020, 202, 112535. [Google Scholar]
  22. Can, D.; Spingler, B.; Schmutz, P.; Mendes, F.; Raposinho, P.; Fernandes, C.; Carta, F.; Innocenti, A.; Santos, I.; Supuran, C.T.; et al. [(Cp-R)M(CO)3] (M = Re or 99mTc) Arylsulfonamide, Arylsulfamide, and Arylsulfamate Conjugates for Selective Targeting of Human Carbonic Anhydrase IX. Angew. Chem. Int. Ed. 2012, 51, 3354. [Google Scholar] [CrossRef]
  23. Aimene, Y.; Eychenne, R.; Rodriguez, F.; Mallet-Ladeira, S.; Saffon-Merceron, N.; Winum, J.; Nocentini, A.; Supuran, C.T.; Benoist, E.; Seridi, A. Synthesis, Crystal Structure, Inhibitory Activity and Molecular Docking of Coumarins/Sulfonamides Containing Triazolyl Pyridine Moiety as Potent Selective Carbonic Anhydrase IX and XII Inhibitors. Crystals 2021, 11, 1076. [Google Scholar] [CrossRef]
  24. D’Ambrosio, K.; Fiore, A.D.; Alterio, V.; Langella, E.; Monti, S.M.; Supuran, C.T.; Simone, G.D. Multiple Binding Modes of Inhibitors to Human Carbonic Anhydrases: An Update on the Design of Isoform-Specific Modulators of Activity. Chem. Rev. 2025, 125, 150. [Google Scholar] [CrossRef] [PubMed]
  25. Kaushalya, C.; Darshani, T.; Samarakoon, S.R.; Fronczek, F.R.; Perera, I.C.; Perera, T. Synthesis, Characterization and Remarkable Anticancer Activity of Rhenium Complexes Containing Biphenyl Appended NNN Donor Sulfonamide Ligands. Vidyodaya J. Sci. 2022, 25, 103. [Google Scholar] [CrossRef]
  26. Darshani, T.; Fronczek, F.R.; Priyadarshani, V.V.; Samarakoon, S.R.; Perera, I.C.; Perera, T. Synthesis and characterization of novel naphthalene-derivatized tridentate ligands and their net neutral rhenium tricarbonyl complexes and cytotoxic effects on non-small cell lung cancer cells of interest. Polyhedron 2020, 187, 114652. [Google Scholar] [CrossRef]
  27. Concha, C.; Quintana, C.; Klahn, A.H.; Artigas, V.; Fuentealba, M.; Biot, C.; Halloum, I.; Kremer, L.; López, R.; Romanos, J.; et al. Organometallic tosyl hydrazones: Synthesis, characterization, crystal structures and in vitro evaluation for anti-mycobacterium tuberculosis and antiproliferative activities. Polyhedron 2017, 131, 40. [Google Scholar] [CrossRef]
  28. Lu, G.; Hillier, S.M.; Maresca, K.P.; Zimmerman, C.N.; Eckelman, W.C.; Joyal, J.L.; Babich, J.W. Synthesis and SAR of Novel Re/99mTc-Labeled Benzenesulfonamide Carbonic Anhydrase IX Inhibitors for Molecular Imaging of Tumor Hypoxia. J. Med. Chem. 2013, 56, 510. [Google Scholar] [CrossRef]
  29. Huentupil, Y.; Chung, P.; Novoa, N.; Arancibia, R.; Roussel, P.; Oyarzo, J.; Klahn, A.H.; Silva, C.P.; Calvis, C.; Messeguer, R.; et al. Novel multifunctional and multitarget homo- (Fe2) and heterobimetallic [(Fe,M) with M = Re or Mn] sulfonyl hydrazones. Dalton Trans. 2020, 49, 12249. [Google Scholar] [CrossRef]
  30. Sharfalddin, A.A.; Emwas, A.-H.; Jaremko, M.; Hussien, M.A. Practical and Computational Studies of Bivalence Metal Complexes of Sulfaclozine and Biological Studies. Front. Chem. 2021, 9, 644691. [Google Scholar] [CrossRef]
  31. Bouchoucha, A.; Zaater, S.; Bouacida, S.; Merazig, H.; Djabbar, S. Synthesis and characterization of new complexes of nickel (II), palladium (II) and platinum(II) with derived sulfonamide ligand: Structure, DFT study, antibacterial and cytotoxicity activities. J. Mol. Struct. 2018, 1161, 345. [Google Scholar] [CrossRef]
  32. Salmon, A.J.; Williams, M.L.; Wu, Q.K.; Morizzi, J.; Gregg, D.; Charman, S.A.; Vullo, D.; Supuran, C.T.; Poulsen, S.-A. Metallocene-Based Inhibitors of Cancer-Associated Carbonic Anhydrase Enzymes IX and XII. J. Med. Chem. 2012, 55, 5506. [Google Scholar] [CrossRef]
  33. Elsamra, R.M.I.; Masoud, M.S.; Ramadan, A.M. Designing metal chelates of halogenated sulfonamide Schiff bases as potent nonplatinum anticancer drugs using spectroscopic, molecular docking and biological studies. Sci Rep. 2022, 12, 20192. [Google Scholar] [CrossRef]
  34. El-Ghamry, H.A.; Al-Ziyadi, R.O.; Alkhatib, F.M.; Takroni, K.M.; Khedr, A.M. Metal Chelates of Sulfafurazole Azo Dye Derivative: Synthesis, Structure Affirmation, Antimicrobial, Antitumor, DNA Binding, and Molecular Docking Simulation. Bioinorg. Chem. Appl. 2023, 2023, 2239976. [Google Scholar] [CrossRef]
  35. Khedr, A.M.; El-Ghamry, H.; Kassem, M.A.; Saad, F.A.; El-Guesmi, N. Novel series of nanosized mono- and homobi-nuclear metal complexes of sulfathiazole azo dye ligand: Synthesis, characterization, DNA-binding affinity, and anticancer activity. Inorg. Chem. Commun. 2019, 108, 107496. [Google Scholar] [CrossRef]
  36. Mijatović, A.M.; Jelić, R.M.; Bogojeski, J.; Bugarčić, Ž.D.; Petrović, B. Kinetics, mechanism, and equilibrium studies of the reactions between a ruthenium(II) complex and some nitrogen- and sulfur-donor nucleophiles. Monatsh. Chem. 2013, 144, 1489. [Google Scholar] [CrossRef]
  37. Pal, M.; Nandi, U.; Mukherjee, D. Detailed account on activation mechanisms of ruthenium coordination complexes and their role as antineoplastic agents. Eur. J. Med. Chem. 2018, 150, 419. [Google Scholar] [CrossRef] [PubMed]
  38. Refat, M.S.; Sharshar, T.; Elsabawy, K.M.; El-Sayed, M.Y.; Adam, A.M.A. Synthesis, physicochemical characterization and anticancer screening of sulfa drug ruthenium complexes as anticancer agent. J. Mol. Liquids 2016, 222, 334. [Google Scholar] [CrossRef]
  39. de Melo, A.C.C.; Santana, J.M.S.V.P.; Nunes, K.J.R.C.; Rodrigues, B.L.; Castilho, N.; Gabriel, P.; Moraes, A.H.; Marques, M.A.; de Oliveira, G.A.P.; de Souza, Í.P.; et al. New Heteroleptic Ruthenium(II) Complexes with Sulfamethoxypyridazine and Diimines as Potential Antitumor Agents. Molecules 2019, 24, 2154. [Google Scholar] [CrossRef]
  40. Iqbal, S.; Siddiqui, W.A.; Ashraf, A.; Tong, K.K.H.; Aman, F.; Söhnel, T.; Jamieson, S.M.F.; Hanif, M.; Hartinger, C.G. Substitution of the chlorido ligand for PPh3 in anticancer organoruthenium complexes of sulfonamide-functionalized pyridine-2-carbothioamides leads to high cytotoxic activity. Inorg. Chim. Acta 2022, 536, 120889. [Google Scholar] [CrossRef]
  41. Chen, F.; Canelón, I.R.; Habtemariam, A.; Song, J.I.; Banerjee, S.; Clarkson, G.J.; Song, L.; Prokes, I.; Sadler, P.J. Effect of cysteine thiols on the catalytic and anticancer activity of Ru(II) sulfonyl-ethylenediamine complexes. Dalton Trans. 2022, 51, 4447. [Google Scholar] [CrossRef]
  42. Seršen, S.; Traven, K.; Kljun, J.; Turel, I.; Supuran, C.T. Organoruthenium(II) complexes of acetazolamide potently inhibit human carbonic anhydrase isoforms I, II, IX and XII. J. Enzyme Inhib. Med. Chem. 2019, 34, 388. [Google Scholar] [CrossRef] [PubMed]
  43. Maji, M.; Acharya, S.; Bhattacharya, I.; Gupta, A.; Mukherjee, A. Effect of an Imidazole-Containing Schiff Base of an Aromatic Sulfonamide on the Cytotoxic Efficacy of N,N-Coordinated Half-Sandwich Ruthenium(II) p-Cymene Complexes. Inorg. Chem. 2021, 60, 4744. [Google Scholar] [CrossRef]
  44. Fu, Y.; Sanchez-Cano, C.; Soni, R.; Romero-Canelon, I.; Hearn, J.M.; Liu, Z.; Wills, M.; Sadler, P.J. The contrasting catalytic efficiency and cancer cell antiproliferative activity of stereoselective organoruthenium transfer hydrogenation catalysts. Dalton Trans. 2016, 45, 8367. [Google Scholar] [CrossRef] [PubMed]
  45. Deo, C.; Wang, H.; Bogliotti, N.; Zang, Y.; Retailleau, P.; He, X.-P.; Li, J.; Xie, J. Photoswitchable arene ruthenium and pentamethylcyclopentadienyl rhodium complexes containing o-sulfonamide azobenzene ligands: Synthesis, characterization and cytotoxicity. J. Organomet. Chem. 2016, 820, 111–119. [Google Scholar] [CrossRef]
  46. Coverdale, J.P.C.; Bridgewater, H.E.; Song, J.-I.; Smith, N.A.; Barry, N.P.E.; Bagley, I.; Sadler, P.J.; Romero-Canelón, I. In Vivo Selectivity and Localization of Reactive Oxygen Species (ROS) Induction by Osmium Anticancer Complexes That Circumvent Platinum Resistance. J. Med. Chem. 2018, 61, 9246. [Google Scholar] [CrossRef]
  47. Coverdale, J.P.C.; Bedford, R.A.; Carter, O.W.L.; Cao, S.; Wills, M.; Sadler, P.J. In-cell Catalysis by Tethered Organo−Osmium Complexes Generates Selectivity for Breast Cancer Cells. ChemBioChem 2024, 25, e202400374. [Google Scholar] [CrossRef]
  48. Bolitho, E.M.; Coverdale, J.P.C.; Bridgewater, H.E.; Clarkson, G.J.; Quinn, P.D.; Sanchez-Cano, C.; Sadler, P.J. Tracking Reactions of Asymmetric Organo-Osmium Transfer Hydrogenation Catalysts in Cancer Cells. Angew. Chem. 2021, 133, 6536. [Google Scholar] [CrossRef]
  49. Wang, Y.; Mesdom, P.; Purkait, K.; Saubaméa, B.; Burckel, P.; Arnoux, P.; Frochot, C.; Cariou, K.; Rossel, T.; Gasser, G. Ru(II)/Os(II)-based carbonic anhydrase inhibitors as photodynamic therapy photosensitizers for the treatment of hypoxic tumours. Chem. Sci. 2023, 14, 11749. [Google Scholar] [CrossRef]
  50. Fry, M.E.; Alsaif, S.A.; Khanom, Y.; Keirle, A.K.; Pheasey, C.E.; Song, J.I.; Bedford, R.A.; Romero-Canelon, I.; Sadler, P.J.; Coverdale, J.P.C. Ir(III) Diamine Transfer Hydrogenation Catalysts in Cancer Cells. ChemCatChem 2025, 17, e202401490. [Google Scholar] [CrossRef]
  51. Karami, K.; Alinaghi, M.; Amirghofran, Z.; Lipkowski, J.; Momtazi-borojeni, A.A. A saccharinate-bridged palladacyclic dimer with a Pd–Pd bond: Experimental and molecular docking studies of the interaction with DNA and BSA and in vitro cytotoxicity against human cancer cell lines. New J. Chem. 2018, 42, 574. [Google Scholar] [CrossRef]
  52. Ulukaya, E.; Ari, F.; Dimas, K.; Sarimahmut, M.; Guney, E.; Sakellaridis, N.; Yilmaz, V.T. Cell death-inducing effect of novel palladium(II) and platinum(II) complexes on non-small cell lung cancer cells in vitro. J. Cancer Res. Clin. Oncol. 2011, 137, 1425. [Google Scholar] [CrossRef] [PubMed]
  53. Zhang, J.; Ma, L.; Zhang, F.; Zhang, Z.; Li, L.; Wang, S. Synthesis, characterization, and biological activity of five new mixed-ligand palladium(II) complexes with ethylenediamine and 4-toluenesulfonyl-L-amino acid dianion. J. Coord. Chem. 2012, 65, 239. [Google Scholar] [CrossRef]
  54. Li, L.; Zhang, J.; Ma, L.; Zhang, Z.; Wang, S.; Li, S.; Zhou, G. Synthesis, characterization and cytotoxicity of platinum(II)/palladium(II) complexes with 4-toluenesulfonyl-L-amino acid dianion and diimine/diamine. J. Coord. Chem. 2013, 66, 638. [Google Scholar] [CrossRef]
  55. Ari, F.; Aztopal, N.; Icsel, C.; Yilmaz, V.T.; Guney, E.; Buyukgungor, O.; Ulukaya, E. Synthesis, structural characterization and cell death-inducing effect of novel palladium(II) and platinum(II) saccharinate complexes with 2-(hydroxymethyl)pyridine and 2-(2-hydroxyethyl)pyridine on cancer cells in vitro. Bioorg. Med. Chem. 2013, 21, 6427. [Google Scholar] [CrossRef]
  56. Yilmaz, V.T.; Icsel, C.; Turgut, O.R.; Aygun, M.; Erkisa, M.; Turkdemir, M.H.; Ulukaya, E. Synthesis, structures and anticancer potentials of platinum(II) saccharinate complexes of tertiary phosphines with phenyl and cyclohexyl groups targeting mitochondria and DNA. Eur. J. Med. Chem. 2018, 155, 609. [Google Scholar] [CrossRef]
  57. Icsel, C.; Yilmaz, V.T.; Cevatemre, B.; Aygun, M.; Ulukaya, E. Structures and anticancer activity of chlorido platinum(II) saccharinate complexes with mono- and dialkylphenylphosphines. J. Inorg. Biochem. 2019, 195, 39. [Google Scholar] [CrossRef]
  58. Ugwu, D.I.; Conradie, J. Anticancer properties of complexes derived from bidentate ligands. J. Inorg. Biochem. 2023, 246, 112268. [Google Scholar] [CrossRef]
  59. Samper, K.G.; Marker, S.C.; Bayón, P.; MacMillan, S.N.; Keresztes, I.; Palacios, Ò.; Wilson, J.J. Reprint of “Anticancer activity of hydroxy- and sulfonamide-azobenzene platinum(II) complexes in cisplatin-resistant ovarian cancer cells”. J. Inorg. Biochem. 2017, 177, 335. [Google Scholar] [CrossRef]
  60. Cao, Q.; Zhou, D.J.; Pan, Z.Y.; Yang, G.G.; Zhang, H.; Ji, L.N.; Mao, Z.W. CAIXplatins: Highly Potent Platinum(IV) Prodrugs Selective Against Carbonic Anhydrase IX for the Treatment of Hypoxic Tumors. Angew. Chem. Int. Ed. 2020, 59, 18556. [Google Scholar] [CrossRef]
  61. Thushara, N.; Darshania, T.; Samarakoon, S.R.; Perera, I.C.; Fronczek, F.R.; Sameera, W.M.C.; Perera, T. Synthesis, characterization and biological evaluation of dipicolylamine sulfonamide derivatized platinum complexes as potential anticancer agents. RSC Adv. 2021, 11, 17658. [Google Scholar] [CrossRef]
  62. Agudo-López, A.; Prieto-García, E.; Alemán, J.; Pérez, C.; Díaz-García, C.V.; Parrilla-Rubio, L.; Cabrera, S.; Navarro-Ranninger, C.; Cortés-Funes, H.; López-Martín, J.A.; et al. Mechanistic added value of a trans-Sulfonamide-Platinum-Complex in human melanoma cell lines and synergism with cis-Platin. Mol. Cancer 2017, 16, 45. [Google Scholar] [CrossRef]
  63. Maladeniya, C.; Darshani, T.; Samarakoon, S.R.; Fronczek, F.R.; Sameera, W.M.C.; Perera, I.C.; Perera, T. Biological Evaluation of Platinum(II) Sulfonamido Complexes: Synthesis, Characterization, Cytotoxicity, and Biological Imaging. Bioinorg. Chem. Appl. 2022, 9, 7821284. [Google Scholar] [CrossRef] [PubMed]
  64. Mokhtaruddin, N.S.M.; Yusof, E.N.M.; Ravoof, T.B.S.A.; Tiekink, E.R.T.; Veerakumarasivam, A.; Tahir, M.I.M. Unusual saccharin-N,O (carbonyl) coordination in mixed-ligand copper(II) complexes: Synthesis, X-ray crystallography and biological activity. J. Mol. Struc. 2017, 1139, 1–9. [Google Scholar] [CrossRef]
  65. Eraj, M.Z.; Eriksson, L.; Ramezani, M.; Alibolandi, M.; Babaei, M.; Saljooghi, A.S. Three novel complexes of copper: Synthesis, characterization, crystal structure, HSA-binding and docking studies, and antiproliferative activity. J. Iran. Chem. Soc. 2021, 18, 765. [Google Scholar] [CrossRef]
  66. Singh, K.; Northcote-Smith, J.; Singh, K.; Suntharalingam, K. Cancer stem cell activity of copper(II)-terpyridine complexes with aryl sulfonamide groups. Dalton Trans. 2023, 52, 9694. [Google Scholar] [CrossRef]
  67. Hangan, A.C.; Turza, A.; Lucaciu, R.L.; Sevastre, B.; Páll, E.; Oprean, L.S.; Borodi, G. New Cu+2 Complexes with N-Sulfonamide Ligands: Potential Antitumor, Antibacterial, and Antioxidant Agents. Molecules 2022, 27, 3338. [Google Scholar] [CrossRef]
  68. Nakahata, D.H.; de Paiva, R.E.F.; Lustri, W.R.; Ribeiro, C.M.; Pavan, F.R.; da Silva, G.G.; Ruiz, A.L.T.G.; de Carvalho, J.E.; Corbi, P.P. Sulfonamide-containing copper(II) metallonucleases: Correlations with in vitro antimycobacterial and antiproliferative activities. J. Inorg. Biochem. 2018, 187, 85. [Google Scholar] [CrossRef]
  69. Diz, M.; Durán-Carril, M.L.; Castro, J.; Alvo, S.; Bada, L.; Viña, D.; García-Vázquez, J.A. Antitumor activity of copper(II) complexes with Schiff bases derived from N′-tosylbenzene-1,2-diamine. J. Inorg. Biochem. 2022, 236, 111975. [Google Scholar] [CrossRef]
  70. Borges, A.P.; Carneiro, Z.A.; Prado, F.S.; Souza, J.R.; Furlan e Silva, L.H.; Oliveira, C.G.; Deflon, V.M.; de Albuquerque, S.; Leite, N.B.; Machado, A.E.H.; et al. Cu(I) complexes with thiosemicarbazides derived from p-toluenesulfohydrazide: Structural, luminescence and biological studies. Polyhedron 2018, 155, 170. [Google Scholar] [CrossRef]
  71. Dilworth, J.R.; Pascu, S.I.; Waghorn, P.A.; Vullo, D.; Bayly, S.R.; Christlieb, M.; Sun, X.; Supuran, C.T. Synthesis of sulfonamide conjugates of Cu(II), Ga(III), In(III), Re(V) and Zn(II) complexes: Carbonic anhydrase inhibition studies and cellular imaging investigations. Dalton Trans. 2015, 44, 4859. [Google Scholar] [CrossRef]
  72. Canakci, D.; Koyuncu, I.; Lolak, N.; Durgun, M.; Akocak, S.; Supuran, C.T. Synthesis and cytotoxic activities of novel copper and silver complexes of 1,3-diaryltriazene-substituted sulfonamides. J. Enz. Inhib. Med. Chem. 2018, 34, 110. [Google Scholar] [CrossRef]
  73. Yilmaz, V.T.; Gocmen, E.; Icsel, C.; Cengiz, M.; Susluer, S.Y.; Buyukgungor, O. Synthesis, crystal structures, in vitro DNA binding, antibacterial and cytotoxic activities of new di- and polynuclear silver(I) saccharinate complexes with tertiary monophosphanes. J. Photochem. Photobiol. B Biol. 2014, 131, 31. [Google Scholar] [CrossRef] [PubMed]
  74. Yilmaz, V.T.; Gocmen, E.; Icsel, C.; Cengiz, M.; Susluer, S.Y.; Buyukgungor, O. Di- and polynuclear silver(I) saccharinate complexes of tertiary diphosphane ligands: Synthesis, structures, in vitro DNA binding, and antibacterial and anticancer properties. J. Biol. Inorg. Chem. 2014, 19, 29. [Google Scholar] [CrossRef] [PubMed]
  75. Maiore, L.; Cinellu, M.A.; Michelucci, E.; Moneti, G.; Nobili, S.; Landini, I.; Mini, E.; Guerri, A.; Gabbiani, C.; Messori, L. Structural and solution chemistry, protein binding and antiproliferative profiles of gold(I)/(III) complexes bearing the saccharinato ligand. J. Inorg. Biochem. 2011, 105, 348. [Google Scholar] [CrossRef] [PubMed]
  76. Al-Khodir, F.A.I. Ca(II), Zn(II) and Au(III) Sulfamethoxazole Sulfa-drug Complexes: Synthesis, Spectroscopic and Anticancer Evaluation studies. Orient. J. Chem. 2015, 31, 1277. [Google Scholar] [CrossRef]
  77. Kilpin, K.J.; Henderson, W.; Nicholson, B.K. Synthesis, characterisation and biological activity of cycloaurated organogold(III) complexes with imidate ligands. Polyhedron 2007, 26, 204. [Google Scholar] [CrossRef]
  78. Casado-Sánchez, A.; Martín-Santos, C.; Padrón, J.M.; Mas-Ballesté, R.; Navarro-Ranninger, C.; Alemán, J.; Cabrera, S. Effect of electronic and steric properties of 8-substituted quinolines in gold(III) complexes: Synthesis, electrochemistry, stability, interactions and antiproliferative studies. J. Inorg. Biochem. 2017, 174, 111. [Google Scholar] [CrossRef]
  79. Kilpin, K.J.; Henderson, W.; Nicholson, B.K. Organogold(III) complexes containing chelating bis(amidate) ligands: Synthesis, characterisation and biological activity. Polyhedron 2007, 26, 434. [Google Scholar] [CrossRef]
  80. Icsel, C.; Yilmaz, V.T.; Aydinlikb, S.; Aygun, M. Zn(II), Cd(II) and Hg(II) saccharinate complexes with 2,6-bis(2-benzimidazolyl)pyridine as promising anticancer agents in breast and lung cancer cell lines via ROS-induced apoptosis. Dalton Trans. 2020, 49, 7842. [Google Scholar] [CrossRef]
  81. Khan, N.U.H.; Zaib, S.; Sultana, K.; Khan, I.; Mougang-Soume, B.; Nadeem, H.; Hassan, M.; Iqbal, J. Metal complexes of tosyl sulfonamides: Design, X-ray structure, biological activities and molecular docking studies. RSC Adv. 2015, 5, 30125. [Google Scholar] [CrossRef]
  82. Zafar, W.; Summra, S.H.; Hassan, A.U.; Chohan, Z.H. A review on ‘sulfonamides’: Their chemistry and pharmacological potentials for designing therapeutic drugs in medical science. J. Coord. Chem. 2023, 76, 546. [Google Scholar] [CrossRef]
  83. Refat, M.S.; Mohamed, S.F. Spectroscopic, thermal and antitumor investigations of sulfasalazine drug in situ complexation with alkaline earth metal ions. Spectrochim. Acta Part A Mol. Biomol. Spect. 2011, 82, 108. [Google Scholar] [CrossRef]
  84. Marzano, I.M.; Franco, M.S.; Silva, P.P.; Augusti, R.; Santos, G.C.; Fernandes, N.G.; Rodriguez, M.B.; Souza, E.C.; Pereira-Maia, E.C. Crystal Structure, Antibacterial and Cytotoxic Activities of a New Complex of Bismuth(III) with Sulfapyridine. Molecules 2013, 18, 1464. [Google Scholar] [CrossRef]
  85. Sharfalddin, A.A.; Emwas, A.-H.; Jaremko, M.; Hussien, M.A. Complexation of uranyl (UO2)2+ with bidentate ligands: XRD, spectroscopic, computational, and biological studies. PLoS ONE 2021, 16, e0256186. [Google Scholar] [CrossRef]
Figure 1. Structures of platinum complexes commonly used in medicine for cancer therapy.
Figure 1. Structures of platinum complexes commonly used in medicine for cancer therapy.
Pharmaceuticals 18 01414 g001
Figure 2. Sulfonamide complexes of titanium with antitumor activities 13.
Figure 2. Sulfonamide complexes of titanium with antitumor activities 13.
Pharmaceuticals 18 01414 g002
Figure 3. Sulfonamide complex of chromium(II) 4.
Figure 3. Sulfonamide complex of chromium(II) 4.
Pharmaceuticals 18 01414 g003
Figure 4. Manganese(II) complex with saccharin 5.
Figure 4. Manganese(II) complex with saccharin 5.
Pharmaceuticals 18 01414 g004
Figure 5. Structure of anticancer sulfonamides complexes with rhenium 613.
Figure 5. Structure of anticancer sulfonamides complexes with rhenium 613.
Pharmaceuticals 18 01414 g005
Figure 6. Binding of benzenesulfonamide derivatives to the carbonic anhydrase active site (Drawing made independently based on publication [24] with permission from the authors and the American Chemical Society, license number 6111840111235).
Figure 6. Binding of benzenesulfonamide derivatives to the carbonic anhydrase active site (Drawing made independently based on publication [24] with permission from the authors and the American Chemical Society, license number 6111840111235).
Pharmaceuticals 18 01414 g006
Figure 7. General formula of benzenesulfonamide carbonyl rhenium complexes 14am.
Figure 7. General formula of benzenesulfonamide carbonyl rhenium complexes 14am.
Pharmaceuticals 18 01414 g007
Figure 8. Anticancer sulfonamide complexes with iron, cobalt and nickel 1541.
Figure 8. Anticancer sulfonamide complexes with iron, cobalt and nickel 1541.
Pharmaceuticals 18 01414 g008
Figure 9. Structures of ruthenium complexes 4248.
Figure 9. Structures of ruthenium complexes 4248.
Pharmaceuticals 18 01414 g009
Figure 10. Monoarene organometallic sulfonamide complexes of ruthenium(II) of the “piano stool” type 4961.
Figure 10. Monoarene organometallic sulfonamide complexes of ruthenium(II) of the “piano stool” type 4961.
Pharmaceuticals 18 01414 g010
Figure 11. Anticancer sulfonamide complexes with osmium 6265.
Figure 11. Anticancer sulfonamide complexes with osmium 6265.
Pharmaceuticals 18 01414 g011
Figure 12. Anticancer sulfonamide complexes with iridium(III) 66ac.
Figure 12. Anticancer sulfonamide complexes with iridium(III) 66ac.
Pharmaceuticals 18 01414 g012
Figure 13. Structures of palladium-sulfonamide complexes (6774).
Figure 13. Structures of palladium-sulfonamide complexes (6774).
Pharmaceuticals 18 01414 g013
Figure 14. Structure of platinum complexes with sulfonamides 7591.
Figure 14. Structure of platinum complexes with sulfonamides 7591.
Pharmaceuticals 18 01414 g014
Figure 15. Structures of copper complexes with sulfonamides 92111.
Figure 15. Structures of copper complexes with sulfonamides 92111.
Pharmaceuticals 18 01414 g015
Figure 16. Structures of silver complexes with sulfonamides 112119.
Figure 16. Structures of silver complexes with sulfonamides 112119.
Pharmaceuticals 18 01414 g016
Figure 17. Structures of sulfonamide complexes of gold 120134.
Figure 17. Structures of sulfonamide complexes of gold 120134.
Pharmaceuticals 18 01414 g017
Figure 18. Structures of complexes of sulfonamides with zinc, cadmium and mercury 135144.
Figure 18. Structures of complexes of sulfonamides with zinc, cadmium and mercury 135144.
Pharmaceuticals 18 01414 g018
Figure 19. Structures of sulfonamide complexes with non-d-block metals with anti-cancer activity 145151.
Figure 19. Structures of sulfonamide complexes with non-d-block metals with anti-cancer activity 145151.
Pharmaceuticals 18 01414 g019
Table 1. Anticancer activity of complexes 1ad.
Table 1. Anticancer activity of complexes 1ad.
CompoundIC50 (μM)
Hela S3Hep G2
1a3.1 ± 0.29.3 ± 0.2
1b0.9 ± 0.11.8 ± 0.2
1c0.5 ± 0.11 ± 0.1
1d19 ± 4Non-toxic
Cisplatin2.0 ± 0.34.8 ± 1.2
Table 2. Anticancer activity of complexes 2 and 3.
Table 2. Anticancer activity of complexes 2 and 3.
CompoundIC50 (μM)
PC3 (Prostate Cancer)HeLa (Cervical Cancer)
232.6 ± 0.536.75 ± 1.0
3>100>100
Doxorubicin0.912 ± 0.1203.10 ± 0.2
Table 3. Anticancer activity of complex 5.
Table 3. Anticancer activity of complex 5.
CompoundIC50 (μM)
A549HT29MCF-7MCF-10A
51.60 ± 0.0389.50 ± 2.523.50 ± 0.20>100
Bzimpy ligand8.42 ± 0.3719.22 ± 2.8425.33 ± 0.84>100
Cisplatin5.21 ± 0.1811.25 ± 1.3510.57 ± 0.3913.80 ± 2.36
Table 4. Inhibition data of complexes 610 (AZA = acetazolamide).
Table 4. Inhibition data of complexes 610 (AZA = acetazolamide).
CA IsozymesKi [nM]
678910AZA
hCA IX433.75.2729.725
hCA XII6.74.56.94.445.55.7
Table 5. Anticancer activities of 11ab and 12ab.
Table 5. Anticancer activities of 11ab and 12ab.
NCI-H292 Cell Line
CompoundIC50 [µM]
11a97.72
11b39.91
12a17.33
12b82.54
Cisplatin88.18
Table 6. Antitumor activity of compounds 13ab against the H1299 cell line.
Table 6. Antitumor activity of compounds 13ab against the H1299 cell line.
CompoundH1299 Cell Line
IC50 [μM]
13a37.5 ± 6.6
13b24.3 ± 8.3
Cisplatin12.8 ± 5.6
Table 7. Competitive Binding of complexes 14am to Hypoxic CA-IX Expressing HeLa Cell.
Table 7. Competitive Binding of complexes 14am to Hypoxic CA-IX Expressing HeLa Cell.
CompoundLZIC50 [nM]
Acetazolamide7
14a(CH2)2Re-DPA116
14b(CH2)2Re-PAMA28
14c(CH2)2Re-NMI53
14d(CH2)2Re-CIM4
14e(CH2)2Re-CIM/TIM3
14f(CH2)2Re-TIM9
14g(CH2)2Re-TIM/HIM44
14h(CH2)2Re-HIM109
14iCH2Re-CIM51
14jCH2Re-TIM116
14kO(CH2)4Re-TIM43
14lO(CH2)4Re-HIM35
14mO(CH2)6Re-HIM33
Table 8. Antitumor activity of compounds 1518.
Table 8. Antitumor activity of compounds 1518.
IC50 [μM]
CompoundCancer Cell LinesNon-Cancer Cell Line
HCT116MCF7MDA-MB-231BJ
15>100>100>100>100
1655 ± 942 ± 768 ± 10>100
1764 ± 1163 ± 727 ± 263 ± 6
1856 ± 1633 ± 424 ± 262 ± 3
Cisplatin21 ± 39.5 ± 1.529 ± 425 ± 5
Table 9. Antitumor activity of 1920.
Table 9. Antitumor activity of 1920.
CompoundIC50 (µg/mL)
MCF-7CaCo-2
SCZ ligand215.24 ± 0.6797.6 ± 0.45
1954.23 ± 0.52190.1 ± 0.30
20a45.62 ± 0.28106.87 ± 0.34
20b284.25 ± 0.31362.9 ± 0.41
Table 10. Anticancer activity of 21.
Table 10. Anticancer activity of 21.
CompoundIC50(µM)
K562 (Chronic Myelogenous Leukemia)HT-29 (Colon Adenocarcinoma)MCF-7 (Breast Cancer)
2151.0644.2142.34
Cisplatin4.108.007.61
Table 11. Cytotoxic activity of analogs of complex 4 containing iron, cobalt and nickel atoms.
Table 11. Cytotoxic activity of analogs of complex 4 containing iron, cobalt and nickel atoms.
CompoundCell Viability After Treatment (%)
MCF-7HCEC
Iron analogue of complex 4100100
Cobalt analogue of complex 452.9241.27
Nickel analogue of complex 447.5258.11
Table 12. CA inhibition data for compounds 2233 against hCA IX and XII.
Table 12. CA inhibition data for compounds 2233 against hCA IX and XII.
CompoundKi (nM)
CA IXCA XII
2285-
2365-
2433.118.8
255.96.8
26a809.2
26b818.0
26c7.96.8
27a9.67.9
27b9.17.3
27c8.17.0
2875.58.7
2913626.2
3076.29.1
3118631.5
3213721.1
3382.321.4
Table 13. Anticancer activity of nickel complexes 3436.
Table 13. Anticancer activity of nickel complexes 3436.
CompoundIC50 (μg/mL)
MCF-7OEC
3411.3 ± 1.162.23 ± 3.11
355.04 ± 0.633.59 ± 1.68
36365 ± 24.6>100
Cisplatin5.71 ± 0.732.68 ± 2.74
Table 14. Anticancer activity of 3739.
Table 14. Anticancer activity of 3739.
CompoundIC50 (µg/mL)
A-549 (Lung Cancer)PANC-1 (Pancreatic Cancer)
37154.73 ± 11.48102.03 ± 5.95
38248.38 ± 14.65185.81 ± 9.73
39176.48 ± 10.72120.84 ± 6.28
Ligand466.25 ± 17.52360.61 ± 14.63
Vinblastine sulfate24.6 ± 0.654.68 ± 0.65
Table 15. Anticancer activity of 4041.
Table 15. Anticancer activity of 4041.
CompoundIC50 (µM)
Hep-G2 (Hepatocellular Carcinoma)MCF-7 (Breast Cancer)
Ligand>1236.30>1236.30
40197.4526.41
41562.00224.80
Cisplatin40.76-
5-fluorouracil-215.26
Table 16. Cytotoxic activities against HCT-116 cell line for the Ru(III) complexes 4246.
Table 16. Cytotoxic activities against HCT-116 cell line for the Ru(III) complexes 4246.
CompoundIC50 [μg]
HCT-116 Cell Line
42>50
43>50
44>50
4524.5
4610.3
Doxorubicin0.471
Table 17. Cytotoxic activities against K562 cell line for the complexes 4748.
Table 17. Cytotoxic activities against K562 cell line for the complexes 4748.
CompoundIC50 (μM)
K562 Cell Line
473.80 ± 0.19
482.00 ± 0.10
cis-[RuCl2(bpy)2]>100
cis-[RuCl2(phen)2]>100
Table 18. Cytotoxic activity of complexes 50ah.
Table 18. Cytotoxic activity of complexes 50ah.
CompoundIC50 [μM]
A2780 Cell LineA549 Cell Line
50a8.32 ± 0.5428.8 ± 2.6
50b11.25 ± 0.0813.5 ± 1.4
50c18.4 ± 1.232.2 ± 0.7
50d14.25 ± 0.0616.1 ± 2.4
50e3.57 ± 0.9829.8 ± 1.1
50f5.6 ± 0.513.7 ± 0.1
50g>504.1 ± 1.3
50h39.4 ± 3.438.5 ± 1.9
Cisplatin1.2 ± 0.023.1 ± 0.1
Table 19. Inhibition of isoforms hCA IX and hCA XII by acetazolamide and 51ab.
Table 19. Inhibition of isoforms hCA IX and hCA XII by acetazolamide and 51ab.
CompoundKI [nM]
hCA IXhCA XII
51a3.80.52
51b0.630.04
Acetazolamide25.25.7
Table 20. Anticancer activity of 52ab.
Table 20. Anticancer activity of 52ab.
CompoundIC50 (μM)
Normoxia (~12% O2)Hypoxia (~1.5% O2)
CHOMDCKMIA PaCa-2MDA-MB-231MDA-MB231
52a>200>20022.5 ± 1.538.3 ± 1.527.9 ± 1.0
52b>200>20017.1 ± 1.039.6 ± 3.217.7 ± 1.8
Table 21. Anticancer activity of 5356 against A2780 cell line.
Table 21. Anticancer activity of 5356 against A2780 cell line.
CompoundGI50 (μM)
A2780 Cell Line
535.5 ± 0.5
5413.7 ± 0.4
551.2 ± 0.3
561.8 ± 0.2
Cisplatin2.0 ± 0.2
Table 22. Anticancer activity of 5761.
Table 22. Anticancer activity of 5761.
CompoundIC50 (µM)
HeLaA549HCT-116MCF-7
57a10.3 ± 1.3n.d.n.d.n.d.
57b3.3 ± 0.4n.d.n.d.n.d.
57c3.1 ± 0.4n.d.n.d.n.d.
57d7.0 ± 0.5n.d.n.d.n.d.
57e4.1 ± 0.713.8 ± 2.011.2 ± 2.821.9 ± 2.0
57f3.6 ± 0.512.6 ± 1.49.8 ± 0.79.2 ± 0.7
57g1.7 ± 0.42.5 ± 0.31.3 ± 0.18.5 ± 1.8
58>100n.d.n.d.n.d.
599.3 ± 1.0n.d.n.d.n.d.
6013.0 ± 1.4n.d.n.d.n.d.
61>100n.d.n.d.n.d.
Cisplatin7.0 ± 1.511.7 ± 2.016.0 ± 2.312.5 ± 0.9
n.d. = not determined.
Table 23. Anticancer activities of 62ab.
Table 23. Anticancer activities of 62ab.
CompoundIC50 [μM]
MRC5 Cell LineA2780Cis
62a15.1 ± 0.525.9 ± 0.7
62b9.7 ± 0.210.4 ± 0.5
Cisplatin13.5 ± 0.911.5 ± 0.2
Table 24. Anticancer activities of 62cd against seven cell lines (N.D. = not determined).
Table 24. Anticancer activities of 62cd against seven cell lines (N.D. = not determined).
CompoundIC50 [μM]
A2780A549HCT-116MCF7MCF7−TAMR-1MCF10-AMDA−MB-231
62c15.5 ± 0.521.1 ± 0.337 ± 111.0 ± 0.3N.D.N.D15 ± 1
62d10.5 ± 0.114.1 ± 0.336.4 ± 0.28.1 ± 0.29 ± 130.9 ± 0.49.1 ± 0.9
Cisplatin1.2 ± 0.33.2 ± 0.15.2 ± 0.36.6 ± 0.26.0 ± 0.76 ± 19.6 ± 0.4
Tamoxifen12.4 ± 0.113.5 ± 0.119 ± 35.9 ± 0.414.5 ± 0.125.0 ± 0.212.9 ± 0.2
Table 25. Anticancer activity of 63ah.
Table 25. Anticancer activity of 63ah.
CompoundIC50 (μM)
A2780 (Ovarian Cancer)A549 (Lung Cancer)
63a15.2 ± 0.521.1 ± 0.3
63b15.5 ± 0.531 ± 1
63c31 ± 229.5 ± 0.5
63d27.4 ± 0.633 ± 0.4
63e27.5 ± 0.832 ± 0.4
63f29 ± 3-
63g17 ± 132 ± 2
63h27 ± 221.1 ± 0.3
Table 26. Phototoxic activity of compounds 64 and 65 against A549 and MDA-MB-231 cell lines (in normoxia and hypoxia) at four wavelengths of radiation.
Table 26. Phototoxic activity of compounds 64 and 65 against A549 and MDA-MB-231 cell lines (in normoxia and hypoxia) at four wavelengths of radiation.
CompoundIC50 (540 nm) [μM]IC50 (620 nm) [μM]IC50 (670 nm) [μM]IC50 (740 nm) [μM]
A549 cell line (Normoxia 20%)
648 . 1 ± 1.9 >3026.2 ± 5.422.5 ± 3.8
654.4   ±   0.110.4 ± 0.79.9 ± 0.9 7.0   ±   0 .1
PPIX0.3 ± 0.12.7 ± 0.13.0 ± 0.1>100
A549 cell line (Hipoxia 2%)
6414.6   ±   3.1>30>100>100
65>30>30>100>100
PPIX0.7 ± 0.22.2 ± 0.93.5 ± 0.3>100
MDA-MB-231 cell line (Normoxia 20%)
641.2 ±   0.1 6.2 ± 2.8.3.9 ± 0.53.6 ± 0.4
652.2 ± 0.12.6 ± 0.53.0 ± 1.20.7 ± 0.2
PPIX0.8 ± 0.41.0 ± 0.50.7 ± 0.3-
MDA-MB-231 cell line (Hipoxia, 2%)
64>109.2 ± 3.012.0 ± 1.0>30
65>30>304.6 ± 0.6>30
PPIX0.6 ± 0.11.8 ± 0.40.4 ± 0.1-
Table 27. Anticancer activity of sulfonamide complexes with iridium 66ac (N.D. = not determined).
Table 27. Anticancer activity of sulfonamide complexes with iridium 66ac (N.D. = not determined).
Cell LinesIC50 (μM)
66a66b66cCisplatin
A2780 (ovarian cancer)20.9 ± 0.714 ± 210.2 ± 0.61.2 ± 0.3
A2780cis (ovarian, cisplatin-resistant)17 ± 218 ± 16.3 ± 0.813.4 ± 0.3
A549 (lung cancer)38 ± 225.2 ± 0.317 ± 33.2 ± 0.1
HCT116 (colorectal cancer)40.3 ± 0.758.2 ± 0.915.0 ± 0.15.2 ± 0.3
HCT116-p21-/- (colorectal cancer, p21 knockout)62.4 ± 0.3N.D.N.D.9.2 ± 0.5
HCT116-p53-/- (colorectal cancer, p53 knockout)63 ± 2N.D.N.D.36.7 ± 0.3
MCF10-A (breast, non-tumorigenic)42 ± 3N.D.N.D.6 ± 1
HOF (ovarian, non-tumorigenic)19.0 ± 0.126.8 ± 0.615.0 ± 0.710.2 ± 0.7
MCF7 (breast cancer)14.6 ± 0.28 ± 13.7 ± 0.76.6 ± 0.4
MCF7-TAMR1 (breast, tamoxifen-resistant)17.8 ± 0.6N.D.N.D.6.0 ± 0.7
MRC5 (lung, non-tumorigenic)17.3 ± 0.411.9 ± 0.95.9 ± 0.212.8 ± 0.5
OE19 (esophageal cancer)>5033.2 ± 0.512.9 ± 0.39 ± 1
PC3 (prostate cancer)35.1 ± 0.618.8 ± 0.212 ± 14.1 ± 0.5
Table 28. Anticancer activities of 67.
Table 28. Anticancer activities of 67.
CompoundIC50 [µM]
HeLaA549MCF-7NIH
sodium saccharin>200>200>200-
Ligand>20093.8 ± 4>200-
6730.4 ± 223.1 ± 122.2 ± 1165 ± 1
Cisplatin17.6 ± 124.3 ± 126.3 ± 138.67 ± 4
Table 29. Cytotoxic activities of 68 and 69.
Table 29. Cytotoxic activities of 68 and 69.
CompoundIC50 [µM]
A549H1299PC-3CHO
682.38.69.65.8
692.11.81.81.9
Cisplatin23.13.28.63.2
Table 30. Cytotoxic activities of palladium complexes 7073.
Table 30. Cytotoxic activities of palladium complexes 7073.
CompoundIC50 [µM]
HL-60 (Leukemia)BGC-823 (Gastrocarcinoma)Bel-7402 (Liver Carcinoma)KB (Nasopharyngeal Carcinoma)
70a26 ± 148 ± 245 ± 132 ± 2
70b23 ± 138 ± 2 35.8   ±   0 .9 37   ±   2
70c15.9 ±   0.5 41   ±   1 33.9 ± 0.612 ± 1
70d12.9 ± 0.935.8 ± 0.833 ± 215.6 ± 0.9
70e12 ± 1 34   ±   2 28 ±   1 11.8 ± 0.5
71a18.66 ± 1.0723.74 ± 1.2344.52 ± 1.439.28 ± 1.07
71b16.76 ± 1.0825.78 ± 1.1140.76 ± 1.456.54 ± 0.97
72a9.20 ± 0.9721.70 ± 2.0818.01 ± 1.326.08 ± 0.87
72b12.46 ± 1.0523.45 ± 1.3238.98 ± 2.085.98 ± 0.65
7316.54 ± 1.2130.89 ± 1.3430.76 ± 2.0722.54 ± 1.23
Cisplatin2.89 ± 0.346.48 ± 0.818.12 ± 0.972.65 ± 0.33
Table 31. Anticancer activity of palladium complex with sulfamethoxazole (74).
Table 31. Anticancer activity of palladium complex with sulfamethoxazole (74).
CompoundIC50(µM)
K562HT-29MCF-7
747.2010.428.64
Cisplatin4.108.007.61
Table 32. Cytotoxic activities of 75 against four cancer cell lines.
Table 32. Cytotoxic activities of 75 against four cancer cell lines.
Cell LinesIC50 [µM]IC90 [µM]
A549 (lung cancer)75117.5192.4
Carboplatin70.5>85.1
PC3 (prostate cancer)7572.295.6
Carboplatin85.1>85.1
Hep3B (liver cancer)7535.082.1
Carboplatin6.828.7
C6 (glioma)7538.990.9
Carboplatin7.642.7
Table 33. Antitumor activities of 7678.
Table 33. Antitumor activities of 7678.
CompoundIC50 [µM]
MCF-7A549DU145HCT116BEAS-2B
768.4 ± 0.110.1 ± 1.714.5 ± 0.513.0 ± 0.78.1 ± 0.3
773.8 ± 0.44.0 ± 0.14.6 ± 0.14.8 ± 0.12.4 ± 0.1
7817.0 ± 3.730.1 ± 1.037.7 ± 0.136.7 ± 0.227.7 ± 1.2
Cisplatin24.0 ± 4.02.5 ± 0.99.8 ± 4.515.5 ± 2.34.6 ± 0.2
Table 34. GI50, TGI and LC50 values (after 48 h) for complexes 79 and 80.
Table 34. GI50, TGI and LC50 values (after 48 h) for complexes 79 and 80.
Cell Lines7980Cisplatin
A549GI50 [µM]16.42 ± 0.8524.56 ± 4.3414.38 ± 0.47
TGI [µM]29.13 ± 1.43>4022.63 ± 0.38
LC50 [µM]>40>4037.77 ± 0.65
MCF-7GI50 [µM]7.38 ± 0.645.38 ± 0.0310.88 ± 0.18
TGI [µM]13.40 ± 0.6622.06 ± 0.5715.19 ± 0.10
LC50 [µM]18.93 ± 0.6438.64 ± 0.6819.50 ± 0.01
HCT-116GI50 [µM]12.19 ± 0.2612.72 ± 1.559.03 ± 1.46
TGI [µM]17.12 ± 0.2324.39 ± 2.5321.24 ± 1.71
LC50 [µM]28.18 ± 0.49>4034.28 ± 1.10
BEAS-2BGI50 [µM]8.52 ± 0.6321.46 ± 0.763.85 ± 0.03
TGI [µM]14.06 ± 0.8131.06 ± 0.596.18 ± 0.17
LC50 [µM]26.95 ± 2.56>4010.83 ± 1.24
Table 35. Cytotoxic activity of 81.
Table 35. Cytotoxic activity of 81.
CompoundIC50 [µM]
A549MCF-7HCT-116BEAS-2B
817.3216.896.886.82
Cisplatin17.2311.6814.696.29
Table 36. The cytotoxic activity of 82 depending on the solubilizing solvent used.
Table 36. The cytotoxic activity of 82 depending on the solubilizing solvent used.
CompoundSolubilizing SolventIC50 [µM]
A2780A2870CP70
82DMSO1.0 ± 0.32.7 ± 0.6
DMF0.43 ± 0.050.8 ± 0.1
CisplatinPBS (Phosphate-buffered saline)0.18 ± 0.075 ± 1
Table 37. Anti-cancer activity of compounds 83 and 84 against cell lines under normoxia and hypoxia.
Table 37. Anti-cancer activity of compounds 83 and 84 against cell lines under normoxia and hypoxia.
Cell LinesIC50 [μM]
8384CisplatinOxaliplatin
Normoxia (20% O2)
MDA-MB-231 (breast cancer)18.0 ± 1.827.6 ± 2.314.6 ± 0.835.4 ± 2.0
HeLa (cervical cancer)12.6 ± 1.241.7 ± 2.315.9 ± 1.328.1 ± 2.6
HepG2 (hepatocellular carcinoma)28.6 ± 0.630.4 ± 0.817.9 ± 1.98.1 ± 0.8
LO2 (hepatocyte cell line)158.5 ± 3.4>20012.0 ± 1.531.0 ± 5.3
HLF (lung fibroblast)102.6 ± 8.6>20010.7 ± 2.923.7 ± 1.9
MCF-10A ((mammary epithelial cell line)153.7 ± 3.6>20017.9 ± 1.98.9 ± 0.4
Hipoxia (1% O2)
MDA-MB-2311.9 ± 0.95.8 ± 2.121.9 ± 5.965.7 ± 5.3
HeLa3.6 ± 0.315.8 ± 2.628.2 ± 1.7>50
HepG28.3 ± 1.85.6 ± 1.520.2 ± 3.818.1 ± 2.1
Table 38. Antitumor activity of 8587 complexes against MCF-7 cells.
Table 38. Antitumor activity of 8587 complexes against MCF-7 cells.
CompoundIC50 [μM]
MCF-7 Cell Line
85529.3 ± 0.22
86135.7 ± 0.06
8716.1 ± 0.08
Cisplatin97.86
Table 39. Antitumor activity of 88 against melanoma cell lines: SK-MEL-5 and SK-MEL-28.
Table 39. Antitumor activity of 88 against melanoma cell lines: SK-MEL-5 and SK-MEL-28.
CompoundIC50 [μM]
SK-MEL-5SK-MEL-28
883.24  ±  1.085.83  ±  1.06
Cisplatin2.89  ±  1.1210.17  ±  1.29
Table 40. Antitumor activity of 8990 and their ligands against NCl–H292 lung cancer cells after 24, 48 and 72 h.
Table 40. Antitumor activity of 8990 and their ligands against NCl–H292 lung cancer cells after 24, 48 and 72 h.
CompoundIC50 [μg/mL]
24 h48 h72 h
8937.8315.949.01
Ligand of 8922531.8236.49
90112.826.2112.13
Ligand of 90612.417.8813.95
Table 41. Anticancer activity of 91.
Table 41. Anticancer activity of 91.
CompoundIC50(µM)
K562HT-29MCF-7
919.6712.1211.37
Cisplatin4.108.007.61
Table 42. Antitumor activity of 92.
Table 42. Antitumor activity of 92.
CompoundIC50 [μM]
MCF-7MDA-MB-231
923.603.81
Tamoxifen4.0413.46
Table 43. Anticancer activity of 93 and 94.
Table 43. Anticancer activity of 93 and 94.
CompoundIC50 [μM]
MCF-7HEK-293
935.62 ± 2.2893.44 ± 12.17
9418.86 ± 1.0194.43 ± 10.18
Saccharine46.60 ± 7.92>100
Cisplatin10.37 ± 3.11>100
Table 44. IC50 values of the complexes 95ae against HMLER cells, HMLER-shEcad cells, and HMLER-shEcad mammospheres.
Table 44. IC50 values of the complexes 95ae against HMLER cells, HMLER-shEcad cells, and HMLER-shEcad mammospheres.
CompoundIC50 [μM]
HMLERHMLER-shEcadHMLER-shEcad Mammospheres
95a0.85 ± 0.040.69 ± 0.123.44 ± 0.03
95b0.85 ± 0.140.83 ± 0.012.98 ± 0.01
95c0.83 ± 0.060.73 ± 0.042.63 ± 0.08
95d0.83 ± 0.190.78 ± 0.032.99 ± 0.53
95e0.81 ± 0.020.79 ± 0.183.34 ± 0.36
Cisplatin2.57 ± 0.025.65 ± 0.3013.50 ± 2.34
Salinomycin11.43 ± 0.424.23 ± 0.3518.50 ± 1.50
Table 45. IC50 values of 96, 97 and cisplatin on the HeLa, WM35, and HFL1 cell lines after 24, 48 and 72 h.
Table 45. IC50 values of 96, 97 and cisplatin on the HeLa, WM35, and HFL1 cell lines after 24, 48 and 72 h.
Cell LineCompoundIC50 [μM]
24 h48 h72 h
HeLa (cervical carcinoma)9633.18 ± 0.1916.36 ± 0.126.47 ± 0.06
978.79 ± 0.214.06 ± 0.051.45 ± 0.09
Cisplatin21.03 ± 0.1421.03 ± 0.142.39 ± 0.04
MW35 (radical growth phase melanoma)9641.35 ± 0.1923.87 ± 0.1715.42 ± 0.08
9713.01 ± 0.158.11 ± 0.134.66 ± 0.07
Cisplatin26.07 ± 0.4311.15 ± 0.095.98 ± 0.03
HFL1 (normal fibroblastic epithelial cell line)9644.67 ± 0.517.38 ± 0.123.75 ± 0.15
9717.99 ± 1.085.55 ± 0.222.03 ± 0.04
Cisplatin13.22 ± 0.893.99 ± 0.221.18 ± 0.13
Table 46. Total Growth Inhibition (TGI) [μM] values of the copper(II) complexes 98100.
Table 46. Total Growth Inhibition (TGI) [μM] values of the copper(II) complexes 98100.
Cell LineTGI [μM]
9899100Doxorubicin
U251 (glioma)1.4<0.335.30.1
UACC-62 (melanoma)5.17.851.21.4
MCF-7 (breast cancer)15.446.4217.046.0
NCI-ADR/RES (multidrug resistant ovarian cancer)291.9111.0298.246.0
7860 (renal cancer)291.947.9298.20.4
NCI-H460 (lung, non-small cancer cells)7.97.164.846.0
OVCAR-3 (ovarian cancer)3.34.775.926.5
HT29 (colon cancer)6.34.9129.346.0
K562 (leukemia)35.432.5298.211.6
HaCat (immortal keratinocyte, non-tumor human line)14.046.1298.246.0
Table 47. Cytotoxicity of copper(II) complexes 101105 towards the SH-SY5Y, U87-MG, U373-MG and MRC-5 cell lines.
Table 47. Cytotoxicity of copper(II) complexes 101105 towards the SH-SY5Y, U87-MG, U373-MG and MRC-5 cell lines.
CompoundIC50 [μM]
SH-SY5Y
(Neuroblastoma)
U87-MG
(Glioblastoma)
U373-MG
(Glioblastoma)
MRC-5
(Mortal Human MRC5 Fibroblasts)
1012.63 ± 0.4020.09 ± 0.0514.42 ± 0.9616.85 ± 0.57
1022.85 ± 0.4311.83 ± 1.0712.92 ± 1.0519.94 ± 1.72
1039.06 ± 1.3626.73 ± 5.2617.61 ± 2.2725.39 ± 1.32
10423.55 ± 3.5322.25 ± 0.8919.78 ± 2.0324.91 ± 1.26
1055.57 ± 0.8425.92 ± 1.2522.52 ± 1.3524.92 ± 2.28
Cisplatin27.50 ± 4.30>100~150
Table 48. IC50 values of 106ab complexes, ligands, cisplatin and doxorubicin against B16-F10 melanoma cell line.
Table 48. IC50 values of 106ab complexes, ligands, cisplatin and doxorubicin against B16-F10 melanoma cell line.
CompoundIC50 [µM]
B16-F10 Cell Line
12 h24 h36 h48 h
106a14.4 ± 2.413.0 ± 3.716.5 ± 2.411.6 ± 1.9
Ligand of 106a256.1 ± 21.3152.9 ± 13.262.9 ± 5.241.7 ± 2.0
106b32.6 ± 3.122.8 ± 2.019.5 ± 1.918.4 ± 1.7
Ligand of 106b265.0 ± 22.1112.5 ± 9.058.2 ± 4.155.9 ± 3.4
Cisplatin132.9 ± 10.558.2 ± 2.338.4 ± 3.236.7 ± 2.1
Doxorubicin288.0 ± 10.010.1 ± 2.13.1 ± 1.32.2 ± 1.1
Table 49. Anticancer activity of 107.
Table 49. Anticancer activity of 107.
CompoundIC50 (µg/mL)
MCF-7CaCo-2
10786.2 ± 0.6423.84 ± 0.33
Sulfaclozine (SCZ)215.24 ± 0.6797.6 ± 0.45
Table 50. Enzyme inhibition for 108 and reference compounds (FTES = (4-sulfamoylphenylethyl-thioureido)-fluorescein, ABS = 4-(2-aminoethyl)-benzenesulfonamide).
Table 50. Enzyme inhibition for 108 and reference compounds (FTES = (4-sulfamoylphenylethyl-thioureido)-fluorescein, ABS = 4-(2-aminoethyl)-benzenesulfonamide).
CompoundKi (nM)
CA IXCA XII
Ligand6273
1089.06.1
ABS333.2
Acetazolamide (AZA)255.7
FTES24-
Table 51. Anticancer activity of 109.
Table 51. Anticancer activity of 109.
CompoundIC50 (µg/mL)
A-549 (Lung Cancer)PANC-1 (Pancreatic Cancer)
10912.26 ± 0.7313.43 ± 0.81
Ligand466.25 ± 17.52360.61 ± 14.63
Vinblastine sulfate24.6 ± 0.654.68 ± 0.65
Table 52. Anticancer activity of 110.
Table 52. Anticancer activity of 110.
CompoundIC50 (µM)
HepG-2 (Hepatocellular Carcinoma)MCF-7 (Breast Cancer)
Ligand>1236.30>1236.30
110357.90179.88
Cisplatin40.76-
5-fluorouracil-215.26
Table 53. Anticancer activity of 111ae (5-FU = 5-fluorouracil).
Table 53. Anticancer activity of 111ae (5-FU = 5-fluorouracil).
Cell Line
IC50 [µM]
Compound
111a111b111c111d111e5-FU
Cancer cells
DLD-147.1  ±  4.742.7  ±  3.365.2  ±  2.558.4  ±  5.858.8  ±  3.950.2  ±  21.0
HeLa5.0  ±  0.42.1  ±  0.163.9  ±  4.3115.8  ±  9.215.2  ±  1.019.2  ±  1.2
MDA-MB-231116.8  ±  14.250.0  ±  2.448.3  ±  2.5205.5  ±  25.126.0  ±  2.522.4  ±  2.5
HT-29198.9  ±  24.394.9  ±  9.4205.1  ±  20.3198.7  ±  22.584.4  ±  8.424.2  ±  2.4
ECC-126.2  ±  2.639.5  ±  2.5362.1  ±  38.1307.5  ±  34.297.6  ±  9.730.6  ±  3.5
DU-145104.9  ±  13.5116.4  ±  14.658.3  ±  6.4160.5   ±  18.032.4  ±  3.237.3  ±  5.8
PC-3102.0  ±  10.265.3  ±  8.5196.4  ±  22.6296.8  ±  32.479.2  ±  8.545.5  ±  4.5
Normal cells
HEK-23968.8  ±  8.7159.2  ±  19.4134.7  ±  15.6196.8  ±  23.536.3  ±  3.665.3  ±  8.6
PNT-1A76.5  ±  8.595.1  ±  11.1119.5  ±  13.5125.1  ±  14.846.4  ±  4.6142.3  ±  18.6
ARPE-19119.0  ±  13.5131.7  ±  15.6>300105.2  ±  13.584.3  ±  8.475.3  ±  7.5
Table 54. Antitumor activity of silver(I) complexes with saccharin 112118.
Table 54. Antitumor activity of silver(I) complexes with saccharin 112118.
CompoundIC50 [µM]
A549 (Lung Carcinoma)MCF-7 (Breast Adenocarcinoma)WI-38 (Fibroblast)
1121.18 ± 0.441.14 ± 0.191.41 ± 0.37
1130.84 ± 0.250.82 ± 0.140.77 ± 0.25
1141.01 ± 0.120.88 ± 0.160.74 ± 0.28
1151.79 ± 0.333.13 ± 1.551.31 ± 0.39
1162.58 ± 0.832.32 ± 1.009.54 ± 2.40
1179.11 ± 2.323.18 ± 1.012.61 ± 1.16
11886.4 ± 4.755.30 ± 1.6110.78 ± 2.22
AgNO321.51 ± 3.632.62 ± 1.448.14 ± 1.88
Cisplatin10.92 ± 1.814.58 ± 1.252.62 ± 1.04
Table 55. Antitumor activity of silver(I) complexes 119ae.
Table 55. Antitumor activity of silver(I) complexes 119ae.
Cell Line
IC50 [µM]
Compound
119a119b119c119d119e5-FU
Cancer cells
DLD-1279.3  ±  12.931.6  ±  3.23.3  ±  0.3173.3  ±  10.3110.7  ±  9.050.2  ±  21.0
HeLa>3002.8  ±  0.13.4  ±  0.2139.3  ±  289.6  ±  0.619.2  ±  1.2
MDA-MB-23196.8  ±  9.630.3  ±  3.09.8  ±  0.9>300148.4  ±  19.522.4  ±  2.5
HT-29185.7  ±  16.524.9  ±  2.510.1  ±  3.1240.7  ±  28.5161.6  ±  16.124.2  ±  2.4
ECC-1207.0  ±  25.629.1  ±  3.016.2  ±  1.6103.6  ±  10.3135.9  ±  13.530.6  ±  3.5
DU-145136.7 ±  16.518.6  ±  1.84.8  ±  0.4236.7  ±  28.5100.3 ±  10.137.3  ±  5.8
PC-3612.0  ±  61.228.2  ±  3.55.1  ±  0.5136.6  ±  15.8111.7  ±  13.445.5  ±  4.5
Normal cells
HEK-239>30017.8  ±  1.79.9  ±  0.95.5  ±  0.630.5  ±  4.565.3  ±  8.6
PNT-1A209.7  ±  20.917.5  ±  17.59.2  ±  0.9139.1  ±  16.5110.8  ±  11.0142.3  ±  18.6
ARPE-19>30022.0  ±  10.29.5  ±  0.9284.8  ±  30.5109.4  ±  11.075.3  ±  7.5
Table 56. Antitumor activity of 120124.
Table 56. Antitumor activity of 120124.
CompoundIC50 [µM]
A2780/SA2780/R
12048.2 ± 0.154.0 ± 2.4
121a52.7 ± 2.444.2 ± 3.2
121b52.4 ± 2.240.3 ± 3.7
1228.5 ± 2.415.8 ± 0.2
12323.6 ± 1.540.8 ± 1.8
12414.9 ± 1.414.3 ± 0.9
Cisplatin2.1 ± 0.316.1 ± 0.5
Table 57. Anticancer activity of 126 against HepG-2 and HCT-116 cell lines.
Table 57. Anticancer activity of 126 against HepG-2 and HCT-116 cell lines.
CompoundIC50 [μg]
HepG-2 (Hepatocellular Carcinoma)HCT-116 (Colon Cancer)
1262.773.41
Doxorubicin0.4670.471
Table 58. Antitumor activity of 127ab and cisplatin, used as a reference compound.
Table 58. Antitumor activity of 127ab and cisplatin, used as a reference compound.
CompoundGI50 [µM]
HBL-100T-47DHeLaSW1573A549WiDr
127a6.6 ± 1.824.0 ± 5.73.8 ± 0.817.0 ± 2.032 ± 2.126.0 ± 1.1
127b3.8 ± 0.36.5 ± 0.73.1 ± 0.55.2 ± 0.154.7 ± 1.19.8 ± 1.2
Cisplatin1.9 ± 0.1615 ± 2.32.0 ± 0.323.0 ± 0.371.9 ± 0.6426 ± 5.3
Table 59. Antitumor activity of 128134 against P388 cell line.
Table 59. Antitumor activity of 128134 against P388 cell line.
CompoundIC50 [µM]
P388 Cell Line
128a0.30
128b>80.13
12952.89
1306.68
1310.22
132a0.33
132b1.58
1334.35
1341.09
Cisplatin8.15
Table 60. Antitumor activity of saccharin complexes with zinc, cadmium and mercury (135 and 136ab) after 48h.
Table 60. Antitumor activity of saccharin complexes with zinc, cadmium and mercury (135 and 136ab) after 48h.
CompoundIC50 [µM]
A549MCF-7HT29MCF10A
1351.74 ± 0.063.15 ± 0.1015.40 ± 0.737.94 ± 0.18
136a36.91 ± 0.4723.01 ± 1.2836.96 ± 0.7526.29 ± 1.25
136b80.06 ± 1.358.61 ± 0.9824.27 ± 1.3642.76 ± 1.43
Cisplatin5.21 ± 0.1810.57 ± 0.3911.25 ± 1.3513.80 ± 2.36
Table 61. IC50 values of complexes 137ad.
Table 61. IC50 values of complexes 137ad.
CompoundIC50 [µM]
H-157 (Lung Cancer)BHK-21 (Hamster Kidney Fibroblasts)
137a1.82 ± 0.112.19 ± 0.15
137b2.48 ± 0.133.01 ± 1.43
137c3.17 ± 0.282.93 ± 0.17
137d1.97 ± 0.172.74 ± 0.12
Vincristine1.08 ± 0.091.08 ± 0.09
Table 62. Anticancer activity of 79 against MCF-7 and CaCo-2 cell lines.
Table 62. Anticancer activity of 79 against MCF-7 and CaCo-2 cell lines.
CompoundIC50 (µg/mL)
MCF-7CaCo-2
Sulfaclozine215.24 ± 0.6797.6 ± 0.45
138111.91 ± 0.36198.44 ± 0.25
Table 63. Anticancer activity of 145146.
Table 63. Anticancer activity of 145146.
CompoundIC50 [μg]
Liver Cancer CellsColon Cancer Cells
1450.541.54
1460.940.67
Doxorubicin0.40.69
Table 64. Anticancer activity of 149150.
Table 64. Anticancer activity of 149150.
CompoundCell Viability After Treatment (%)
MCF-7 (Breast Cancer)HCEC (Human Corneal Epithelial Cells)
14970.8926.79
15010025.72
Ligand10022.97
Table 65. Antitumor activity of 151, carbimazole, 6-mercaptopurine and sulfaclozine.
Table 65. Antitumor activity of 151, carbimazole, 6-mercaptopurine and sulfaclozine.
CompoundIC50 [µg/mL]
Caco-2 (Colorectal Adenocarcinoma)
15142.15
Carbimazole103.477
6-mercaptopurine98.79
Sulfaclozine97.6
Disclaimer/Publisher’s Note: The statements, opinions and data contained in all publications are solely those of the individual author(s) and contributor(s) and not of MDPI and/or the editor(s). MDPI and/or the editor(s) disclaim responsibility for any injury to people or property resulting from any ideas, methods, instructions or products referred to in the content.

Share and Cite

MDPI and ACS Style

Rozbicki, P.; Branowska, D. A Review on Sulfonamide Complexes with Metals: Their Pharmacological Potential as Anticancer Drugs. Pharmaceuticals 2025, 18, 1414. https://doi.org/10.3390/ph18091414

AMA Style

Rozbicki P, Branowska D. A Review on Sulfonamide Complexes with Metals: Their Pharmacological Potential as Anticancer Drugs. Pharmaceuticals. 2025; 18(9):1414. https://doi.org/10.3390/ph18091414

Chicago/Turabian Style

Rozbicki, Przemysław, and Danuta Branowska. 2025. "A Review on Sulfonamide Complexes with Metals: Their Pharmacological Potential as Anticancer Drugs" Pharmaceuticals 18, no. 9: 1414. https://doi.org/10.3390/ph18091414

APA Style

Rozbicki, P., & Branowska, D. (2025). A Review on Sulfonamide Complexes with Metals: Their Pharmacological Potential as Anticancer Drugs. Pharmaceuticals, 18(9), 1414. https://doi.org/10.3390/ph18091414

Note that from the first issue of 2016, this journal uses article numbers instead of page numbers. See further details here.

Article Metrics

Back to TopTop