Next Article in Journal
The hMetrnl-PLGA-PEG-PLGA Hydrogel Facilitates Skin Wound Healing Through Dual Regulation on eNOS Activity and Stability
Next Article in Special Issue
Unlocking Therapeutic Potential of Novel Thieno-Oxazepine Hybrids as Multi-Target Inhibitors of AChE/BChE and Evaluation Against Alzheimer’s Disease: In Vivo, In Vitro, Histopathological, and Docking Studies
Previous Article in Journal
Machine Learning and Integrative Structural Dynamics Identify Potent ALK Inhibitors from Natural Compound Libraries
 
 
Font Type:
Arial Georgia Verdana
Font Size:
Aa Aa Aa
Line Spacing:
Column Width:
Background:
Review

The Green and Effective Synthesis of Isoxazole-Based Molecules Under Ultrasonic Irradiation Approaches

1
The Second Hospital of Jilin University, Changchun 130041, China
2
College of Plant Science, Jilin University, Changchun 130062, China
3
College of Food Science and Engineering, Jilin University, Changchun 130062, China
4
College of Chemistry, Chemical Engineering and Resource Utilization, Northeast Forestry University, Harbin 150040, China
5
College of Chemistry, Jilin University, Changchun 130012, China
*
Authors to whom correspondence should be addressed.
Pharmaceuticals 2025, 18(8), 1179; https://doi.org/10.3390/ph18081179
Submission received: 6 July 2025 / Revised: 31 July 2025 / Accepted: 7 August 2025 / Published: 10 August 2025
(This article belongs to the Special Issue Heterocyclic Chemistry in Modern Drug Development)

Abstract

Isoxazole-based molecules constitute a crucial category of heterocyclic compounds with wide-ranging applications across pharmaceutical development, advanced materials, and pesticide synthesis. Traditional synthetic approaches for isoxazole derivatives frequently encounter challenges such as extended reaction periods, severe operating conditions, and reliance on toxic solvents. As an eco-friendly alternative, sonochemistry has emerged as a promising approach for organic synthesis, offering enhanced reaction efficiency, reduced energy consumption, and improved yields. In this context, this review introduces the recent advancements in ultrasound-assisted strategies for the synthesis of isoxazole-scaffolds and their derivatives. Various methodologies are discussed, including multi-component reactions, catalytic systems, and solvent-free protocols. The integration of ultrasound not only accelerates reaction kinetics but also minimizes byproduct formation and enables the use of green solvents or catalysts. Key advantages such as shorter reaction durations, higher atom economy, and operational simplicity are emphasized. This work underscores the potential of sonochemical techniques to revolutionize isoxazole-based molecule synthesis, aligning with the principles of sustainable and green chemistry.

1. Introduction

Isoxazole, a pair of isomers of oxazole structured as a five-membered heterocyclic ring containing one oxygen and one nitrogen atom, has emerged as an important scaffold in medicinal chemistry, materials science, and agrochemical research. The structural versatility of isoxazole derivatives enables diverse biological activities, including antimicrobial, antiviral, antioxidant, anticancer, and anti-inflammatory properties [1,2,3,4,5,6,7,8,9,10,11]. Notably, isoxazole motifs are integral to several clinically approved drugs, such as the antibiotic linezolid and the anticancer agent bleomycin. Beyond pharmaceuticals, isoxazole-based compounds find applications in fluorescent materials [12], coordination chemistry [13], and organic electronics [14], underscoring their multidisciplinary significance. Some commercialized isoxazole-containing molecules used in practical applications are shown in Figure 1 [15,16,17,18,19].
Conventional synthetic routes to isoxazole derivatives, such as the cyclization reaction [20,21,22] often suffer from limitations including harsh reaction conditions and the use of highly toxic transition-metal catalysts such as copper metals [23]. These drawbacks highlight the urgent need for green and sustainable methodologies that enhance efficiency, reduce energy consumption, and minimize environmental impact.
Ultrasound-assisted synthesis has emerged as a transformative tool in organic chemistry in recent decades [24,25]. The advantages of this method are mainly based on the acoustic cavitation induced by ultrasonic irradiation (20~100 kHz), a phenomenon where microbubbles form and collapse in the reaction medium, generating localized high temperatures (~5000 K) and pressures (~1000 atm). This mechanical energy enhances mass transfer, accelerates reaction kinetics, and promotes the formation of reactive intermediates, thereby improving yields and reducing side reactions. Crucially, sonochemistry aligns with green chemistry principles by enabling reactions under milder conditions, reducing solvent volumes, and often eliminating the need for toxic catalysts [26,27].
Ultrasound-assisted organic synthesis has many applications, and heterocyclic synthesis is one of the important and successful methods [28,29,30]. For instance, for the synthesis of isoxazole derivatives, sonochemical methods facilitate efficient cyclization, cross-coupling, and multicomponent reactions. For example, Borthakur et al. reported a method for applying an ultrasound-assisted approach to the addition reaction to generate isoxazoline and significantly reduce the reaction time—a significant improvement over traditional thermal methods [31]. These advances underscore the synergy between ultrasound and the synthesis of isoxazole derivatives in optimizing reaction pathways.
In this paper, we give an overview of the last thirty years of ultrasound-assisted organic synthesis of isoxazole-based molecules according to the differences in molecular structure of their products (Figure 2). This review systematically explores the ultrasound-assisted synthesis of isoxazole derivatives, emphasizing the mechanistic role of acoustic cavitation in enhancing selectivity and sustainability. By comparing conventional and sonochemical approaches, we elucidate how ultrasound optimizes reaction pathways, reduces energy consumption, and broadens substrate compatibility. Furthermore, we discuss emerging trends, including the use of recyclable catalysts and solvent-free systems, to inspire future innovations in green heterocyclic chemistry.

2. Development of Ultrasound Irradiation Synthesis of Isoxazole-Based Compounds

2.1. Synthesis of Isoxazole-Based Derivatives

Isoxazole skeleton, versatile N-O heterocycles. Medicinally, they serve as scaffolds for antimicrobial/antitubercular agents, Cyclooxygenase-2 (COX-2) inhibitors, anticancer compounds, and central nervous system (CNS) drugs [32]. Significantly, this skeleton is one of the top 35 most frequently occurring nitrogen heterocyclic compounds in U.S. FDA-approved drugs (January 2013–December 2023) [33].
In 1999, the Valduga group reported a method in which a series of β-enamino ketones 1 underwent cyclization reactions with hydroxylamine hydrochloride 2 under mild conditions, catalyzed by montmorillonite K-10 (MMT-K10) and ultrasound irradiation (50~60 Hz, 110/220 V, 1.0 A) in dichloromethane for 3 h at room temperature, to generate 3-methyl-5-phenylisoxazole derivatives 3 and/or 5-methyl-3-phenylisoxazole derivatives 4. The yields of the isoxazole products varied depending on the substrate, ranging from 89% to 99%. Notably, 1a and 1b exclusively afforded 3a (91%) and 3b (94%), while 1c gave a mixture of 3c and 4c (ratio 1.1:1.0, total yield 89%), and 1d yielded exclusively 4d (99%). The regiochemistry was confirmed through reductive cleavage of the N-O bond using [Mo(CO)6], regenerating the corresponding β-enamino ketones (Scheme 1) [34].
In 2005, the Song group successfully utilized 5-methylisoxazol-3-amine 5, 2-fluorobenzaldehyde or 4-fluorobenzaldehyde 6, and dialkyl phosphite 7 to synthesize a series of 1-[(5-methylisoxazol-3-yl)amino]-1-(2- or 4-fluorophenyl)methanephosphonate derivatives 8 under ultrasound irradiation. This reaction was based on a one-pot Mannich-type reaction conducted without solvent or catalyst. Ultrasonic irradiation (25 kHz, 500 W) significantly accelerated the reaction and improved the yield, increasing from 57.2~71.6% under traditional heating (115~120 °C, 5 h) to 77.6~91.2% under ultrasound conditions (78~80 °C, 1 h). They found the position of the fluorine substituent (2- or 4-) and the alkyl chain length influenced the yield. For the same fluorine substituent, the yield order was ortho > para. These compounds exhibited moderate anticancer activity against PC3 (prostate cancer) and A431 (epidermoid carcinoma) cells in MTT assays. Notably, the compounds 8a~8e showed higher inhibition rates compared with 8f~8j, with compound 8a demonstrating the strongest activity (78.3% and 69.0% inhibition of PC3 and A431 cells, respectively, at 10 µM). This synthesis method was simple, rapid, and high yielding, and marked the first report of anticancer bioactivity for these compounds (Scheme 2) [35].
In 2009, Saleh et al. [36] developed a method for synthesizing isoxazole derivatives 11 using 1-(4-bromophenyl)-2-bromo-2-hydroximinoethanone 9 and β-ketosulphone derivatives 10 under ultrasonic irradiation and with sodium ethoxide in absolute ethanol solution as a catalyst. The sodium ethoxide in ethanol solution acted as both a catalyst and a base in these reactions, facilitating the reaction by generating carbanion intermediates, neutralizing acidic by-products, and maintaining the alkaline environment of the reaction system. This step was crucial for the smooth progression and high yield of the reaction. The reaction was carried out at room temperature for approximately 15~20 min, with yields under ultrasound conditions ranging between 90% and 93% and the reaction did not proceed without sonication under the same conditions. The ultrasound-promoted reaction proved to be an effective method for synthesizing substituted isoxazoles containing sulfonyl groups. This approach not only reduced the reaction time but also improved the yield. The synthesized products exhibited high purity and did not require further purification (Scheme 3).
In 2009, the Silva group described a reaction for synthesizing 3,5-dimethylisoxazole 13 using 2,4-pentanedione 12 and hydroxylamine 2 under ultrasound conditions. Such reactions usually yielded only intermediates, but this process yielded the isoxazole product directly in one pot. This reaction was carried out under ultrasound irradiation for 10 min in aqueous media at room temperature, without the need for catalysts, acids, or a prolonged reaction time. They also conducted antioxidant activity tests on the product. The results showed that 3,5-dimethylisoxazole 13 did not exhibit significant antioxidant activity in either the oxygen radical absorbance capacity (ORAC) or 2,2-diphenylpicrylhydrazyl (DPPH) testing methods. This method not only shortened the reaction time (from 24 h under conventional conditions to 10 min) but also improved the yield with limited increase (from 60% to 70%), providing a new and efficient approach for the synthesis of such heterocyclic derivatives (Scheme 4) [37].
In 2011, the Shen group reported the synthesis of (3-phenylisoxazol-5-yl) methanol derivatives 15 using aromatic aldehydes oxime 14, N-chlorosuccinimide (NCS), dimethylformamide (DMF), triethylamine (Et3N), and propargyl alcohol under ultrasound irradiation. The reaction was carried out under ultrasonic conditions (250 W, 25 kHz) in one pot. Compounds bearing electron-donating groups (e.g., methoxybenzaldehyde oxime, hydroxybenzaldehyde oxime, tert-butylbenzaldehyde oxime) gave higher yields than those with electron-withdrawing groups (e.g., chlorobenzaldehyde oxime, nitrobenzaldehyde oxime). For example, when the substituent was a nitro group, the yield was only 5~7% with conventional methods, increasing to 45~59% with ultrasound-assisted methods. In contrast, when the substituent was an electron-donating group, the yield exceeded 70% under ultrasound conditions, especially when the hydroxyl group, which has strong electron-donating properties, was present, resulting in the highest product yield (87%). The yield of various (3-phenylisoxazol-5-yl)methanol derivatives 15 synthesized by the one-pot method under ultrasound irradiation ranged from 45% to 87%, with a reaction time of 90~270 min. Ultrasonic irradiation significantly accelerated the entire process, shortened the reaction time by over an hour, and increased the product yield by 14~40% (Scheme 5) [38].
In 2014, the Koufaki group synthesized 3,5-disubstituted isoxazoles 16 using hydroxylamine hydrochloride 2, 4-methoxybenzaldehyde 6, chloramine-T, terminal alkyne, copper sulfate pentahydrate, and sodium ascorbate or copper turnings under ultrasound irradiation. The researchers employed a one-pot, three-step process based on a copper(I)-catalyzed cycloaddition reaction, where in situ-generated nitrile oxides (from corresponding aldehydes) react with alkynes. They used t-BuOH/H2O (1:1) at 60 °C for 60 min, and the ultrasound frequency was 40 kHz (ultrasound bath) and 20 kHz (probe). The experimental results indicated that the use of dual-frequency ultrasonic irradiation and copper catalyst could significantly improve the reaction efficiency and yield; in particular, the yield could reach 75% when the ultrasound bath was combined with the probe. Although the yield under metal-free conditions was low, it still had regioselectivity, indicating that this method had certain applicability under different conditions. By combining the copper turnings and copper sulfate pentahydrate as catalysts with the ultrasound bath and probe, the yield could reach 75% within 60 min (Scheme 6) [39].
In 2014, Huang et al. [40] synthesized a series of 5-arylisoxazole derivatives 18 via the reaction of 3-(dimethylamino)-1-arylprop-2-en-1-one 17 with hydroxylamine hydrochloride 2 under ultrasound irradiation using ethanol as the solvent. One of the most striking features of this reaction was that no catalyst was required. Under ultrasound irradiation, the yields of 5-arylisoxazole derivatives 18 ranged from 84% to 96%, whereas reactions without ultrasound irradiation provided lower yields (56~80%). The reaction time was significantly shortened to 30~45 min under sonication, compared to 1~2.5 h under conventional thermal conditions. The reaction temperature was controlled by adjusting the water level in the ultrasonic bath (via addition or removal of H2O), and the crude product was purified through recrystallization from ethanol. Under optimized conditions, various 5-arylisoxazole derivatives 18 were successfully synthesized, generating good yields regardless of whether the aromatic ring bore electron-withdrawing or electron-donating substituents. This method demonstrated advantages such as simple operation, mild reaction conditions, high yields, shorter reaction time, and an environmentally benign procedure (Scheme 7).
In 2017, Alaoui and colleagues reported the synthesis of a novel sulfonamide–isoxazole compound 20 using a one-pot reaction of various aldehydes 6 and alkynes–sulfonamides 19 under ultrasonic radiation. The reaction was carried out at room temperature using a solvent mixture of H2O and acetonitrile (2:1 ratio), and ceric ammonium nitrate (CAN) was used as the key oxidizing agent. Hydroxylamine hydrochloride 2 was used as a precursor for imine formation, and sodium sulfate was used to facilitate the reaction. Under optimal reaction conditions, the sonication method could save 340 to 356 min compared with the conventional stirring method. For ultrasound assistance, two devices were used to increase the efficiency of the reaction: an ultrasonic scavenging bath (47 kHz) and an ultrasonic probe (20 kHz). The reaction could not proceed in the absence of an oxidizing agent, and when CAN was used as an oxidizing agent, the reaction in the ultrasonic scavenging bath took 20 min and yielded 88% of the product. The use of an ultrasonic probe reduced the reaction time to 4 min and increased the yield to 95%. Reducing the amount of CAN to 0.5 mmol resulted in incomplete conversion and lower yields. This one-pot synthesis strategy is carried out in an aqueous medium and uses inexpensive and environmentally friendly CAN as an oxidizing agent, in line with the principles of green chemistry. The process is simple, efficient and uses readily available starting materials, which are important for the further synthesis of 3,5-functionalized isoxazoles (Scheme 8) [41].
In 2018, the group used an ultrasound-assisted reaction of pyrrole-2-carboxaldehyde 21, 1-(4-aryl-1H-pyrazol-3-yl)ethan-1-one 22, and hydroxylamine hydrochloride 2 to generate 3-(4-arylpyrazol-3-yl)-5-(pyrrol-2-yl)isoxazole 25 by using chloranil and xylene as mixed solvents. This was the first synthesis of a triheterocyclic system containing pyrrole, pyrazole, and isoxazole. They determined the antioxidant activity of the compounds 24 and 25 using DPPH, NO, and H2O2. Compound 25 exhibited significant activity in all three antioxidant activity tests, comparable to that of standard ascorbic acid, showing good antioxidant potential. The former of the two studies focused on green processes while the latter explored structural diversity and bioactivity; together, they advanced sonochemistry in organic synthesis (Scheme 9) [42].
In 2017, the Salman group demonstrated the formation of isoxazole derivative 30, which was achieved by reacting chalcone-substituted quinoxaline derivative 29 with hydroxylamine hydrochloride 2 and sodium acetate under ultrasound irradiation. Hydroxylamine underwent a nucleophilic addition reaction with the α,β-unsaturated carbonyl groups of chalcone 26 to form an intermediate. The intermediate 29 was further cyclized to form an isoxazole ring. Ultrasound technology was used in two of these three reaction steps. The reaction process required heating to 50 °C in ethanol solvent for 85 min. The yield of the product obtained by this method was about 65%, which meant that the ultrasound-assisted method significantly improved the synthesis efficiency by about 35 percentage points. This strategy provided an efficient and green synthesis method, which has important reference value for the synthesis of nitrogen-containing heterocyclic compounds. The promotion of ultrasound-assisted synthesis technology is expected to be widely applied in the field of organic synthesis, especially in scenarios where reaction time needs to be shortened and product yield needs to be improved (Scheme 10) [43].
In 2019, the Tachallait group described a method for the preparation of novel N-saccharin isoxazole derivative 33 and isoxazoline derivative 35 using KI/Oxone as a catalyst through a sonication-assisted cycloaddition reaction of hydroxylamine hydrochloride 2, aldehydes 6, and dipolarophiles promoted in water solvent. This is a one-pot three-step reaction utilizing in situ-generated nitrile oxides and dipolarophiles via a 1,3-dipolar cycloaddition reaction. The first step generates an oxime 31, the second generates a nitrile oxide, and the third undergoes a 1,3-dipolar cycloaddition to generate the target product 33 and 35. It is important to note that the first two steps do not require ultrasound, but the second step requires Oxone as the oxidizing agent. The third step in the reaction was carried out at room temperature for 30 min and the exact structure of the product depends on the aldehyde and olefin/alkyne substrate used. The yields ranged from 65% to 85% for isoxazoles 33 and 70% to 95% for isoxazoline 35, indicating that the synthetic method is highly efficient. This reflects the advantages of this green method for the synthesis of N-sulfonamide isoxazole and isoxazoline derivatives. The method used H2O as the solvent, avoiding the use of volatile organic solvents and conforming to the principles of green chemistry (Scheme 11) [44].
In 2021, Talha and co-workers reported a one-pot four-component synthesis of 3,5-disubstituted isoxazole-sulfonates and -sulfonamides 38 using hydroxylamine hydrochloride 2, aromatic aldehydes 6, sulfonyl chloride 36, and propargyl alcohol/amine 37 in water solvent under ultrasound irradiation. The reaction employed sodium dichloroisocyanurate (NaDCC) as a metal-free catalyst and oxidant, combined with ultrasonic activation (47 kHz) at room temperature, achieving completion within 20~28 min. This green methodology utilized H2O as the solvent, avoided toxic organic reagents, and demonstrated broad substrate compatibility, with a product yield of 72~89% depending on the substrate combination. The process proceeded via in situ sulfonylation, oximation, and 1,3-dipolar cycloaddition steps, generating four new bonds (S-O, C-N, C-O, and C-C). Compared with conventional magnetic stirring, ultrasound irradiation significantly enhanced reaction efficiency by improving mass transfer and reducing dimerization side reactions. This study not only provides an environmentally benign route for synthesizing isoxazole derivatives but also highlights the synergistic potential of ultrasound and heterogeneous catalysis in green chemistry and pharmaceutical development (Scheme 12) [45].
In recent years, ultrasound-assisted multicomponent reactions have emerged as powerful tools for sustainable heterocyclic synthesis. In 2022 and 2024, the Bougrin group published two articles describing the generation of isoxazole derivatives 42 in a one-pot, five-component reaction. In the 2022 article, they pioneered a one-pot five-component strategy using CaCl2/K2CO3 as a synergistic catalytic system to synthesize 3,5-disubstituted isoxazole secondary sulfonamides 42 from hydroxylamine hydrochloride 2, aromatic aldehydes 6, primary amines 39, propargyl bromide 40, and saccharin 41. Their aqueous-phase protocol (optimization from MeOH/H2O 4:1 mixed solvent system to pure H2O system) employed ultrasonic cavitation (sonotrode: 20 kHz, 130 W; bath: 37 kHz, 280 W) at 25 °C with K2CO3 (3~4 mmol) and Oxone (2 mmol), achieving 75~96% yields within 13~17 min while emphasizing advantages of ultrasound-assisted reaction (Scheme 12) [46].
Building on this, they developed an advanced Fe3O4@AgZr2(PO4)3 nanocatalyst for a one-pot four-step cascade synthesizing isoxazole-linked 1,2,3-triazoles 42 from propargyl alcohols, benzenesulfonyl chloride, aryl aldoximes, sodium azide, and terminal alkynes in 2024. Their ultrasound-assisted aqueous system (20 kHz, 60% power) demonstrated remarkable efficiency improvements, reducing reaction time from 24 h to 75 min (135 min total) and boosting yields from 79% to 94% under temperature gradient conditions (25~80 °C). This ultimately resulted in 86% to 94% yields of all synthesized compounds 42 in a relatively short reaction time (135 min). Both protocols highlight ultrasonic cavitation’s dual role in enhancing reaction kinetics and selectivity while employing H2O as a green solvent. The Mokhi system further advanced sustainability through magnetic catalyst recyclability (five cycles without significant activity loss), contrasting with Mahmoudi’s homogeneous base system (Scheme 13) [47]. These methodologies collectively exemplify progress in atom-economical heterocycle synthesis, addressing traditional limitations of toxic reagents, energy-intensive conditions, and poor regiocontrol through innovative catalyst design and mechanochemical activation.

2.2. Synthesis of Benzisoxazole-Based Derivatives

Benzisoxazole derivatives demonstrate significant therapeutic value due to their rigid bicyclic scaffold, enabling precise target engagement. Clinically, they form the core of antipsychotics like risperidone and iloperidone. Additional activities include potent antimicrobial (particularly antitubercular), anticonvulsant (via GABAergic modulation), antiglycation (for diabetic complications), and anticancer effects (kinase inhibition/apoptosis induction). Their structural versatility supports multitarget drug development. However, there are few organic synthesis programs based on ultrasound-assisted methods, which need to be further developed [48].
In 2007, the Safaei-Ghomi group described a method of generating 2,1-benzisoxazole derivatives 45 through ultrasonic irradiation in the process of synthesizing 2-aminobenzophenone derivatives via nucleophilic substitution of nitrobenzene derivatives 43 with phenylacetonitrile 44. The effect of ultrasound on organic reactions was attributed to cavitation, a physical process that creates, enlarges, and implodes gaseous and vaporous cavities in an irradiated liquid, resulting in very high local temperatures and pressure inside the bubbles (cavities), leading to turbulent flow in the liquid and enhanced mass transfer. They found that this physical process not only demonstrated the advantage of accelerating the reaction process with ultrasound but also improved the yield in shorter reaction times. The reaction for preparing 2,1-benzisoxazoles 45 required the use of MeOH/THF(3:1) as a solvent and maintenance of low temperature (0 °C) in an ice bath, which required only 30 min under ultrasound conditions (46 kHz, 200 W) (Scheme 14) [49].

2.3. Synthesis of Isoxazolone-Based Derivatives

Isoxazolone derivatives show broad bioactivity potent antifungal, antitubercular, and antileprotic agents; serve as peptide mimetics for conformationally restricted drug design; and act as key enzyme inhibitors (e.g., aldose reductase). Their structural versatility enables development of novel antimicrobials and therapeutic tools, particularly against neglected tropical diseases [50].
In synthesis, 5-isoxazolone derivatives act as key intermediates for constructing bioactive molecules. Materials applications leverage their rigid structure for photochromic devices, energy materials, and liquid crystals. Agriculturally, isoxazoline-based insecticides target GABA receptors. Their structural adaptability drives innovation across these fields [33].
In 1999, the Valduga group also reported a method for ultrasound-assisted generation of isoxazolone derivatives. For the β-enamino esters 46, divergent pathways were observed: Under conventional reflux in dichloromethane for 20 h, compounds 46 reacted to form the expected 3-(4-phenyl-substituted)-4,5-dihydro-5-isoxazolones 47 with yields of 58% to 75%, while 46d remained unreacted. However, employing K-10/ultrasound under identical solvent and temperature conditions for 6 h resulted in the formation of novel ethyl 3-[(4-phenyl-substituted)-5-oxo-4,5-dihydro-4-isoxazolyliden]-3-(4-phenyl-substituted)propanoates 48 as mixtures of E- and Z-isomers, with yields ranging from 56% to 80%. This ultrasound-assisted method activated the unreactive substrate 46d, shortened the reaction time significantly (from 20 h to 6 h), and provided access to rare 5-oxoisoxazolylidene derivatives (Scheme 15) [34].
In 2009, the Cheng group reported a method for synthesizing 3-methyl-4-arylmethylene-isoxazol-5(4H)-one derivatives 50 through a three-component one-pot condensation reaction of hydroxylamine hydrochloride 2, aromatic aldehydes 6 (such as terephthalaldehyde), and methyl (or ethyl) acetoacetate 49 in aqueous media under ultrasonic irradiation. The reaction employed pyridine as an acid-binding agent to neutralize the hydrochloric acid released from hydroxylamine hydrochloride 2, maintaining a neutral or weakly basic environment, thereby reducing side reactions and improving reaction selectivity. Experimental results showed that the reaction proceeded smoothly at room temperature with moderate to good yields (51~96%) regardless of whether the aryl ring was attached to electron-donor groups such as p-dimethylamino and p-methoxy, or to electron-withdrawing groups such as p-nitro and p-fluoro. The ultrasonic irradiation time ranged from 30 to 90 min. The reaction also proceeded well for ortho-substituted aldehydes, α,β-unsaturated aldehydes, and heteroaromatic aldehydes, with yields ranging from 47% to 71%. Additionally, terephthalaldehyde 51 underwent two condensation reactions with methyl acetoacetate 49 and hydroxylamine hydrochloride 2 to form the bis-isoxazolone derivative 52, with a yield of 63% after 90 min. It was experimentally demonstrated that the method is environmentally friendly (aqueous medium), which provides an efficient and green synthesis route for isoxazolone derivatives (Scheme 16) [51].
In 2012, the Ablajan group described a three-component, one-pot reaction of methyl hydroxylamine hydrochloride 2, aromatic aldehydes 6, and 4-methyl-3-oxovalerate 53, to synthesize 4-arylmethylidene-3-isopropylisoxazol-5-ones 54 under ultrasonic irradiation, catalyzed by pyridine in an aqueous medium at room temperature. The study highlighted the advantages of multicomponent reactions (MCRs) in organic synthesis, including straightforward procedures, experimental simplicity, and high product yields (63~96%). The reaction sequence involved an initial 5 min ultrasonic activation of the reactants (methyl 4-methyl-3-oxovalerate 53, hydroxylamine hydrochloride 2 and pyridine) in H2O, followed by the addition of aromatic aldehyde 6 and continued ultrasonic irradiation for 40 min. Notably, the aqueous solvent system is aligned with green chemistry principles as it minimizes environmental impact and operational costs. This experiment confirmed the formation of targeted isoxazol-5-ones 54 using structural characterization while maintaining the advantages of the sonication reaction, in which electron-withdrawing substituents on aromatic aldehydes enhance the reactivity (Scheme 17) [52].
In 2016, the Safari group described an ultrasound-assisted reaction for synthesizing 3-methyl-4-arylmethylene isoxazole-5(4H)-ones 50 using hydroxylamine hydrochloride 2, benzaldehyde derivatives 6, and ethyl acetoacetate 49 under ultrasound irradiation conditions with NH2-MMT as the catalyst. MMT-K10 has received considerable attention as a catalyst and catalyst carrier in chemical synthesis. The group modified MMT by introducing 3-aminopropyltriethoxysilane (APTES), prepared NH2-MMT, and used it as a nanocatalyst for chemical reactions. The reaction was conducted at 30 °C using H2O as the solvent and NH2-MMT as the catalyst, under irradiation with an ultrasonic power of 100 W. The reaction time varied between 10 and 55 min and the yield ranged from 80% to 97% depending on the substrate. The ultrasound-assisted synthesis method using NH2-MMT as a catalyst had a shorter reaction time, easier post-treatment, higher yield, and a simpler experimental process. NH2-MMT exhibited good recovery and reuse in the 6-cycle model reaction, with only a slight decrease in yield (Scheme 18) [53].
In 2017, the Konkala group published an article on the reaction of hydroxylamine hydrochloride 2, pyrazole-4-carbaldehyde 55, and β-ketoesters 56 to generate 4-pyrazolylmethylene-isoxazol-5(4H)-ones derivatives 58 catalyzed by sodium benzoate using sonochemical methods. During the process, they first synthesized the starting material 1,3-diphenyl-1H-pyrazole-4-carbaldehyde 57 via the Vilsmeier–Haack reaction, and then used this compound as the substrate for the one-pot three-component cyclocondensation reaction with the other two reactants. They screened various catalysts and solvents for the reaction. Experimental results indicated that only sodium benzoate, piperidine, and sodium acetate efficiently catalyzed the reaction, with sodium benzoate providing the highest yield (88%) in H2O under ultrasonic irradiation. The reaction was conducted at room temperature, and the one-pot and step-by-step methods had similar times and yields. The one-pot method offers advantages such as operational simplicity, shorter reaction time, and scalability for industrial applications. The step-wise approach, though involving intermediate isolation, is suitable for mechanistic studies and reaction optimization. This protocol aligns with green chemistry principles by avoiding hazardous organic solvents, utilizing H2O as a reaction medium, and enabling catalyst recycling. The method also features high efficiency, minimal by-products, and compatibility with diverse substrates, making it a viable strategy for Knoevenagel condensation reactions (Scheme 19) [54].
In 2018, an ultrasound-assisted method for synthesizing 3-methyl-4-(hetero)arylmethylene isoxazole-5(4H)-ones 50 was reported by Ahmadzadeh et al. [55]. The target compounds 50 were synthesized via a one-pot multicomponent cyclocondensation of hydroxylamine hydrochloride 2, aromatic aldehydes 6, and ethyl acetoacetate 49 catalyzed by SnII-Mont K10. The catalyst exhibited recoverability through simple filtration and maintained consistent catalytic activity over six reuse cycles. Reaction optimization revealed the optimal conditions to be 0.01 g of catalyst, 90 W ultrasonic power, 30 °C temperature, and 20 min reaction time in an aqueous medium, achieving a maximum yield of 96%. Substrates with electron-donating or electron-withdrawing groups demonstrated yields ranging from 87% to 96%. This study pioneered the synergistic combination of SnII-Mont K10 with ultrasound irradiation, leveraging cavitation effects to enhance reaction efficiency under mild, solvent-free conditions. The methodology emphasized green chemistry principles by eliminating organic solvents, reducing energy consumption, and enabling catalyst reuse, offering a novel approach for sustainable heterocyclic compound synthesis (Scheme 20).
In 2019, the Kasar group reported a method of synthesizing 4H-isoxazol-5-ones derivatives 50 via a multicomponent reaction of hydroxylamine hydrochloride 2, aromatic aldehydes 6, and ethyl acetoacetate 49 catalyzed by itaconic acid under ultrasonic irradiation. Optimization studies revealed that under conventional heating (100 °C, 3 h), the reaction achieved a 90% yield. In contrast, ultrasound-assisted conditions (50 °C, 15 min) significantly enhanced efficiency, delivering a 95% yield. Notably, the aqueous solution of itaconic acid could be reused for ten catalytic cycles without loss of activity. The protocol employs H2O as a green solvent and ultrasonication as a non-conventional energy source, aligning with green chemistry principles by eliminating organic solvents, hazardous acids, and metal catalysts. This method demonstrates high efficiency, broad substrate compatibility, and excellent catalyst reusability, providing a sustainable approach for synthesizing biologically active isoxazole derivatives (Scheme 21) [56].
In 2019, Bhatt and co-workers synthesized 4-(substituted-1H-pyrazol-4-yl) methylene)-3-isopropylisoxazol-5(4H)-ones 60 via a one-pot, three-component reaction using hydroxylamine hydrochloride 2, methyl 4-methyl-3-oxovalerate 53 and substituted pyrazole aldehyde 59 under ultrasonic irradiation conditions. The ultrasound-assisted method (300 W, 20~60 kHz) was conducted at 50 °C for 30~45 min, with a product yield of 82~96% with pyridine as the base. The synthesized compounds were evaluated for in vitro anticancer activity, demonstrating significant growth inhibitory effects against various tumor cell lines, particularly leukemia cell lines. Compared with the conventional heating method (70~90 min, 66~79% yield), ultrasonic irradiation provided shorter reaction times (25~60 min), higher yields (3~30%), and reduced impurity formation (Scheme 22) [57]. The synthesized compounds 60 were evaluated for their in vitro anticancer activity using a single high dose (10 μM) against a panel of 60 human tumor cell lines derived from nine cancer types. The results showed that most of the compounds exhibited significant growth inhibitory activity against human tumor cells, particularly the leukemia cell lines, which showed remarkable sensitivity to compounds 60a and 60b. Compound 60a demonstrated the most potent cytotoxic activity, especially against leukemia (HL-60(TB); GI50 = −45.19), melanoma (LOX IMVI; GI50 = 17.99), and colon cancer (HCT-116; GI50 = 28.89) cell lines.
In 2020, the Shirole group investigated the reaction of 1,3-diaryl-1H-pyrazole-4-carboxyaldehyde 56, β-keto ester 55, and hydroxylamine hydrochloride 2 to form 3-methyl-4-((3-aryl-1-phenyl-1H-pyrazol-4-yl)methylene)isoxazol-5(4H)-one derivatives 58 via a one-pot multicomponent reaction catalyzed by the ionic liquid [HNMP][HSO4]. The reaction was conducted under both ultrasound irradiation (45 °C, 30 min) and microwave irradiation (210 W, 5 min), achieving yields of 80~82% for the target products. The authors first optimized the model reaction by determining the optimal catalyst dosage (100 mg) and solvent (ethanol), with the conventional reflux method having a product yield of 70% under optimized conditions. This study emphasizes the typical advantages of ultrasound-assisted methods and highlights their importance in the field of sustainable chemical synthesis and drug development (Scheme 23) [58].
In 2021, the Ren group investigated a method for the synthesis of 3-methyl-4-aromatic methylene isoxazole-5(4H)-ketone 50 using ultrasonic radiation, with hydroxylamine hydrochloride 2, aromatic aldehydes 6, and methyl acetoacetate 49 as substrates, and pyridine as a catalyst to accelerate the reaction. The one-pot preparation simplified the post-reaction treatment steps. Results showed that a 96% yield was obtained with p-dimethylaminobenzaldehyde as the aromatic aldehyde 6, while a 64% yield was achieved with benzaldehyde 6. By comparing the effects of different aromatic aldehydes on product yields, it was observed that aromatic aldehydes 6 with electron-donating groups provided higher yields, whereas those with electron-withdrawing groups resulted in lower yields. During their experiments, they found that the ethanol–water system reacted faster than pure water. The sonication reaction required approximately 60 min at 60 °C, with a product yield of 43~96%. The incorporation of ultrasound technology significantly simplified operations and improved yields while maintaining environmental friendliness; however, this method imposed limitations on solvent choices and generated minor by-products. The application of ultrasonic radiation in organic synthesis could be further improved through the optimization of reaction conditions, exploration of more efficient catalysts, and implementation of real-time monitoring tools (Scheme 24) [59].
In 2022, the Deshmukh group reported a one-pot three-component synthesis of 3-methyl-4-arylmethylene isoxazol-5(4H)-ones 50 using hydroxylamine hydrochloride 2, benzaldehyde derivatives 6, and ethyl acetoacetate 49 in aqueous medium catalyzed by pyruvic acid (5 mol%). The reaction mechanism involves pyruvic acid-mediated activation of ethyl acetoacetate 49, followed by oxime formation, keto-enol tautomerization, nucleophilic attack on the aldehyde 6, intramolecular cyclization, and deprotonation to yield the isoxazole 50 scaffold. They found that ultrasonic irradiation reduced the temperature by 50 °C compared to conventional heating methods; the formation rate increased by only 4%, but the time was reduced to one-tenth of that of the conventional method. The protocol demonstrated broad substrate compatibility, accommodating mono- and di-substituted aromatic aldehydes 6, with a product yield of 73~92%. Key innovations include the use of H2O as a green solvent, biodegradable pyruvic as an acid catalyst, and ultrasound technology to enhance efficiency. This method avoids the use of toxic reagents and highlights its potential in the green synthesis of bioactive isoxazole derivatives (Scheme 25) [60].
In 2022, Maddila and his colleagues published a simple and efficacious preparation of isoxazole-5(4H)-one analogues 50 via multicomponent, single-step condensation of hydroxylamine hydrochloride 2, substituted aldehyde 6, and ethyl acetoacetate 49 in the presence of a recyclable catalyst under ultrasound-assisted reaction at room temperature. The reaction showed various benefits like easy work-up procedure, short reaction times (not more than 10 min), use of greener solvents, lack of toxic reagents, excellent product yields (not less than 94%), and recyclability. The main advantage of this method was that the solid catalyst was utilized for over eight cycles without any significant loss of activity (Scheme 26) [61].
In 2023, Daroughehzadeh and Kiyani reported a three-component organocatalytic approach for the synthesis of 4-arylideneisoxazol-5(4H)-ones 61 using triphenylphosphine (TPP) as a catalyst. The model reaction involved hydroxylamine hydrochloride 2, 4-hydroxy-3-methoxybenzaldehyde 6, and ethyl acetoacetate 56 under aqueous conditions. Optimization studies revealed that 15 mol% TPP at 25 °C in H2O afforded the target product a 98% yield within 50 min. Sonochemical synthesis further enhanced the reaction efficiency, achieving a 99% yield with only 10 mol% TPP in 10 min under ultrasonic irradiation. Comparative analysis demonstrated the superiority of ultrasonication in reducing reaction time and catalyst loading. Notably, the study emphasized the green aspects of the protocol, including H2O as a solvent and high atom economy, but did not report catalyst recyclability data. This work highlights the efficacy of TPP in multicomponent heterocyclization and the benefits of sonochemical activation (Scheme 27) [62].
In 2023, the Zhang group developed an efficient method for the synthesis of 3-methyl-4-(arylmethylene)isoxazol-5(4H)-ones 50 via a vitamin B1-catalyzed cyclocondensation reaction under ultrasound radiation. The model reaction system employed hydroxylamine hydrochloride 2, 2-methoxybenzaldehyde 6, and ethyl acetoacetate 49 in H2O as the solvent. Nucleophilic attack of hydroxylamine hydrochloride 2 on the ethyl acetoacetate 49 carbonyl group first leads to the formation of an oxime intermediate via dehydration. Next, vitamin B1-mediated activation of the aldehyde group occurs in a Knöwenagel condensation reaction with the tautomerized intermediate. Finally, intramolecular cyclization and elimination of ethanol produces the target compound. The reaction achieved a 94% yield under optimized conditions (0.1 equiv vitamin B1, 20 °C, 30 min). Ultrasound-assisted synthesis significantly improved yields (84~94%) and reduced reaction time by 85% compared to conventional stirring. Notably, vitamin B1 exhibited excellent reusability, maintaining yields above 88% after five cycles. This method was metal-free, acid/base-free, and environmentally friendly, leveraging H2O as a green solvent (Scheme 28) [63].
In 2023, the Nongrum group described a three-component condensation reaction comprising hydroxylamine hydrochloride 2, aromatic aldehydes 6, and β-ketoesters 62 using Fe3O4@MAP-SO3H as a catalyst to synthesize 3-methyl-4-(phenyl)methylene-isoxazole-5(4H)-one derivatives 61. The reaction was mediated by ultrasound irradiation in an ethanol–water (1:3) medium under a one-pot protocol. Optimization studies indicated that 20 mg of catalyst in an ethanol–water (1:3) medium under ultrasound irradiation provided the highest yield (92%), significantly accelerated the reaction rate and reaction time to 20 min. The synthesized compounds 61 were evaluated for antifungal and antimycobacterial activity. The 3-chloromethyl-4-(phenyl)methylene-isoxazole-5(4H)-one series (notably compound 61a) exhibited over 50% growth inhibition against Fusarium oxysporum at 100 µg/mL. Compounds 61a and 61b displayed antimycobacterial activity against Mycobacterium tuberculosis H37Rv strain, with MIC values (1.56 µg/mL) equipotent to the standard drug ethambutol. Additionally, these compounds demonstrated efficacy against both active and dormant forms of M. tuberculosis in a nutrient starvation model. This green synthesis method features easy catalyst recovery via an external magnet and the use of eco-friendly solvents. The biological activities of the compounds highlight their potential as candidates for antifungal and antimycobacterial drug development (Scheme 29) [64].
In 2023, the Bankuru group developed a catalyst-free green protocol for synthesizing methyleneisoxazole-5(4H)-ones 50 using ultrasound irradiation. The researchers employed a one-pot, three-component reaction of ethyl acetoacetate 49, aromatic aldehydes 6, and hydroxylamine hydrochloride 2 in ethanol at ambient temperature. Ultrasonic irradiation (40 kHz, 100 W) was applied for ≤10 min, eliminating the need for catalysts. Optimization studies confirmed ethanol as the optimal solvent and 100 W as the ideal ultrasonic power, achieving excellent yields (92~98%) within 10 min across diverse substituted aldehydes 6. Key advantages include operational simplicity, waste reduction, energy efficiency, and avoidance of toxic reagents or laborious purification. This method represents a significant advancement in sustainable heterocyclic synthesis by combining catalyst-free conditions with ultrasonic efficiency (Scheme 30) [65].
In 2025, the Ghevade group developed an ultrasound-promoted ferrite-catalyzed protocol for synthesizing 3,4-disubstituted isoxazole-5(4H)-ones 50 in aqueous media. The methodology employed a one-pot multicomponent reaction of aromatic aldehydes 6, ethyl acetoacetate 49, and hydroxylamine hydrochloride 2 catalyzed by solgel synthesized ferrite nanoparticles (Fe2O3 NPs). Under optimized conditions (10 mol% catalyst, H2O solvent, 90 W ultrasonic irradiation, room temperature), the reaction achieved excellent yields (84~91%) within 20~35 min. This synthetic method eliminates the need for chromatographic purification, employs green solvents and highly efficient reusable catalysts, aligning with the principles of green chemistry. Synthesized compound 50 demonstrated significant antimicrobial activity against Staphylococcus aureus and Pseudomonas aeruginosa via well-diffusion assay. This work establishes Fe2O3 NPs as a sustainable nanocatalyst for ultrasound-enhanced synthesis of bioactive isoxazolones (Scheme 31) [66].

2.4. Synthesis of Isoxazoline-Based Derivatives

Isoxazoline derivatives exhibit multifunctional utility, as potent antitumor, anti-inflammatory, and neuroprotective/antidepressant effective GABA-targeting insecticides; versatile synthetic building blocks enabling stereoselective drug design; and antimicrobial/antiparasitics. Their structural adaptability supports broad therapeutic and agrochemical applications. Therefore, there are more cases of ultrasonic methods applied in the synthesis of isoxazoline [33].
In 1999, the Syassi group published an article about synthesizing 4,5-dihydroisoxazoles derivatives 64, 65, 67, 68, and 70 using 1-sodium-3,5-dichloro-s-triazine-2,4,6-trione (SDCTT), arylaldoximes, and dipolarophiles under ultrasound irradiation conditions. The reaction utilized aluminum oxide as a catalyst and dichloromethane as a solvent. This method was activated by ultrasound in a solid–liquid two-phase system. They developed a new halogenating and oxidizing agent called SDCTT for the synthesis of the target compound. Arylaldoximes were used as substrates. The water bath temperature was maintained at 5~8 °C, and ultrasonic irradiation (47 kHz, 70 W) was applied for 15 min. Ultrasonic radiation had a significant impact on yield improvement. Specifically, ultrasound radiation increased the reaction yield from 37~47% under magnetic stirring to 75~86%. This indicated that ultrasonic radiation highly increased the synthesis yield of 4,5-dihydroisoxazoles, with an average yield increase of approximately 41.5%. This demonstrates the advantages of the ultrasound method (Scheme 32) [67].
In 2006, the Martins group described a reaction in which 1,1,1-trihalo-4-alkoxy-3-alken-2-ones reacted 71 with hydroxylamine hydrochloride 2 and pyridine to generate 5-hydroxy-5-trihalomethyl-4,5-dihydroisoxazoles 72 under ultrasound irradiation in a water bath at 45 °C. Under ultrasound irradiation conditions (20 W), the yields of 5-hydroxy-5-trihalomethy1-4,5-dihydroisoxazoles 72 ranged between 50% and 94%, and the reaction time was 30 min. The use of ultrasound irradiation utilized water as a solvent, thereby reducing environmental impact and cost. The product 72 had high purity and did not require further purification (Scheme 33) [68].
In 2006, the Jia group described a novel procedure for preparing a series of unreported 3-(5-chloro/phenoxy-3-methyl-1-phenyl-4-pyrazolyl)isoxazole-N-substituted phenyl-dehydronorcantharidimide derivatives 78 via ultrasonic-assisted synthesis. The synthesis involved two key steps: first, the reaction of dehydronorcantharidin 75 with substituted aromatic amines 39 to form N-substituted phenyl-dehydronorcantharidimide intermediates 76, and then the 1,3-dipolar cycloaddition of these intermediates with 5-chloro/phenoxy-4-(α-chloro-α-oximidomethyl)-3-methyl-1-phenylpyrazole 77 under ultrasonic conditions. Notably, the ultrasonic-assisted method was applied only in the second step (target product formation), significantly improving reaction efficiency: the average reaction time was reduced by 4~5 h, and yields increased from 30~50% (conventional method) to 65.9~81.3% (ultrasonic method). The reaction utilized anhydrous ether and dichloromethane as solvents under ultrasound irradiation at 40 °C for 10~15 min. This study provided an efficient approach to synthesizing novel pyrazole-containing isoxazole derivatives 78, which might exhibit potential antitumor and other biological activities, offering valuable leads for future drug development (Scheme 34) [69].
In 2011, Tiwari et al. [70] presented an improved synthesis method for the preparation of 5-(2-chloroquinolin-3-yl)-3-phenyl-4,5-dihydroisoxazolines 81 using aqueous acetic acid under ultrasound irradiation, with chalcones and hydroxylamine hydrochloride 2 as substrates and sodium acetate as a base. The reaction was conducted at room temperature for 90~120 min under ultrasound irradiation (40 kHz, 250 W) in an ultrasonic cleaner. The optimized molar ratio of chalcone to hydroxylamine hydrochloride 2 was 1:3, yielding target compounds 81 with 80~90% efficiency. Ultrasonic irradiation shortened the process to 240~330 min, increased the yield compared with the conventional thermal method (72~78%) and its potential for practical applications (Scheme 35).
In 2015, the Nikam group described a study in which a series of new isoxazoline derivatives 85 were synthesized from the corresponding chalcone 84 under ultrasonic radiation. The reaction was carried out in an ultrasonic bath at a frequency of 40 MHz and a power of 100 W. The reaction time was shortened from 2 h to a few min. The reaction yield for the generation of chalcone 84 was 78%, and the yields of isoxazoline derivatives 85 were 78~81%. Some of the synthesized compounds 84 and 85 showed significant biological antimicrobial and antioxidant activities, with compounds 84a and 85a having excellent antimicrobial activity, while compounds 84a, 84b, 85a, and 85b having excellent antioxidant activity, with IC50 values (21.0~26.5 μg/mL) surpassing those of ascorbic acid and BHT. Studies suggested interactions with fungal CYP51, and Absorption, Distribution, Metabolism, Excretion, and Toxicity (ADMET) predictions indicated favorable drug-like properties. This study provides a series of structurally diverse compounds with dual antimicrobial and antioxidant potential, offering promising leads for further development (Scheme 36) [71].
In 2016, Bakht et al. [72] and co-workers developed an efficient method for the synthesis of isoxazoline derivatives 87 based on a DES prepared from benzalkonium chloride (BZK) and urea (1:2 molar ratio) in combination with ultrasonic irradiation (20 kHz, 130 W, 28~32 °C). The reaction was realized via cyclization of chalcone 86 with hydroxylamine hydrochloride 2. In this study, benzalkonium chloride-based DES was used for the first time in organic synthesis with ultrasonication in a green chemistry-oriented approach. DES was produced by mechanically mixing benzalkonium chloride with urea for 30 min at room temperature. The reaction time was drastically shortened from 15 h to 1 h, the product 87 yield was increased from 48~65% to 78~85%, and the energy consumption was reduced by 86~88% compared with conventional solvents (glacial acetic acid/sodium hydroxide) as the reaction medium. Ultrasonication can accelerate molecular collision and mass transfer through the cavitation effect by generating localized high temperature (2000~5000 K) and high pressure (about 18,000 atm), which significantly improve reaction efficiency. In addition, DES showed good recyclability, with only a small decrease in yield after four cycles of reuse (Scheme 37).
In 2017, the Krompiec group reported highly active, regioselective, and reusable crown ether/base catalytic systems (e.g., 15-Crown-5/NaOH, 18-Crown-6/KOH, dibenzo-18-Crown-6/t-BuOK, and 18-Crown-6/t-BuOK) for double bond migration in allylic compounds 88 and 89. These systems are capable of efficiently isomerizing a wide range of allyl substrates under mild conditions (typically 30 °C, 0.25~24 h). Remarkably, ultrasound assistance significantly accelerated reaction rates without compromising selectivity. The reactions proceeded in various solvents (THF, Et2O, DME, toluene, etc.) or under solvent-free conditions, with full regioselectivity observed for C,O- and O,S-diallyl compounds, where only the less substituted allyl group underwent migration. Additionally, a one-pot synthesis of isoxazolines 90 was demonstrated by combining isomerization, nitrile oxide generation, and 1,3-dipolar cycloaddition (Scheme 38) [73].
In 2020, Thari and co-workers reported a method for the synthesis of isoxazoline derivatives 96 from aryl aldehydes 6, thiazolidine-2,4-diones 91, allyl bromide 93, and sodium hydroxide via a one-pot, two-step reaction under ultrasonic irradiation, utilizing NaCl/Oxone/Na3PO4 in an aqueous medium as a chlorine source, oxidant, and catalyst. In the first step, N-allyl-5-arylidenethiazolidine-2,4-diones 94 were synthesized from thiazolidine-2,4-dione 91, aryl aldehydes 6, and allyl bromide 93 through Knoevenagel condensation followed by N-allylation using aqueous NaOH under ultrasonic conditions. This process avoids the separation of intermediates 92 required by conventional methods, and yields can be increased by 7% to 52% under ultrasonic conditions. The second step involved a regioselective 1,3-dipolar cycloaddition reaction using the NaCl/Oxone/Na3PO4 system under ultrasonic activation (130 W, 20 kHz) at 5~25 °C for 30 min in ethanol/water (2:1), yielding 69~90% of the target isoxazoline derivatives 96. The catalyst system efficiently promoted cycloaddition while suppressing byproduct formation. Compared with traditional multi-step approaches, this ultrasound-assisted method simplifies the process, enhances reaction efficiency (24-fold acceleration in cycloaddition), and reduces environmental impact by employing aqueous media and recyclable reagents. The study presents an ecofriendly strategy for synthesizing N-thiazolidine-2,4-dione-isoxazoline hybrids with potential pharmacological applications, emphasizing improved selectivity and scalability (Scheme 39) [74].
In 2020, the Dofe group developed an ultrasound-assisted method for the synthesis of tetrazole-based isoxazoline derivatives 98 using a multi-step protocol. Starting from 1-(4-hydroxy-3-methoxyphenyl)ethenone 6 alkylation with chloroacetonitrile in DMF using K2CO3 yielded 1-(4-(cyanomethoxy)-3-methoxyphenyl)ethanone 97 (90% yield). Subsequent cyclization with sodium azide (NaN3) and ZnBr2 in H2O at 100 °C afforded the tetrazole precursor 1-(4-((1H-tetrazol-5-yl)methoxy)-3-methoxyphenyl)ethanone 97 (87% yield non-ultrasound step). The final yield of 5-((4-(4,5-dihydro-5-phenylisoxazol-3-yl)-2-methoxyphenoxy)methyl)-1H-tetrazole derivatives 98 was 67~98% yield, significantly outperforming conventional methods in both time reduction (hours to minutes) and yield improvement. MTT assays against A549, HepG2 (liver), and MCF-7 (breast) cancer cells revealed potent activity. The compound 98a exhibited the strongest inhibition against A549, with IC50 = 0.78 µM, while 98b and 98c and showed significant tubulin polymerization inhibition, comparable to combretastatin A-4 (CA-4). Molecular docking confirmed binding at the colchicine site of tubulin, mimicking CA-4. This study highlights ultrasound-enhanced efficiency, broad anticancer activity, and the tubulin-targeting mechanism of tetrazole-isoxazoline hybrids, offering a robust platform for novel anticancer drug development (Scheme 40) [75].
In 2021, the Talha group published an article on a novel ultrasound-assisted one-pot three-component method for the synthesis of sulfonamide-isoxazoline hybrids 100 in which the target compounds 100 were obtained through the reaction of hydroxylamine hydrochloride 2, aldehydes 6, alkenes, and trichloroisocyanuric acid (TCCA). The study proposed a dual reaction mechanism supported by controlled experiments. Under ultrasonic irradiation, TCCA undergoes homolytic cleavage of the N–Cl bond to generate chlorine radicals and dichloroisocyanuric acid radicals, which oxidize aldoximes to unstable biradical nitrile oxides. These intermediates undergo regioselective 1,3-dipolar cycloaddition with alkenes to form 4-substituted isoxazolines 100. Alternatively, TCCA may generate electrophilic chlorine atoms and cyanurate anions through mechanical effects, promoting an ionic pathway to nitrile oxides that similarly react with alkenes. The reaction was conducted in ethanol/water (1:1 v/v) under ultrasonic activation (80 W, 47 kHz) at 25 °C. TCCA served as both an oxidant and chlorinating agent, enabling aldehyde-to-nitrile oxide conversion without an additional base. Optimal conditions, using 0.5 mmol of TCCA, afforded products with 52~89% yields within 12~22 min. The synthesized sulfonamide-isoxazoline hybrids were evaluated for antineoplastic activity against hematological malignancies (K562 and HL-60 cell lines). Compound 3h demonstrated significant activity with an EC50 of 60~64 μM against HL-60 cells, inducing caspase-dependent apoptosis as evidenced by PARP and caspase-3 cleavage. Co-treatment with the pan-caspase inhibitor Q-VD-OPh fully restored cell viability, confirming the apoptotic mechanism. The marked difference in activity between 100a and 100e highlights the critical role of sulfonamide substituents in biological efficacy. This green, efficient methodology provides a valuable framework for developing novel antileukemic agents bearing sulfonamide-isoxazoline pharmacophores (Scheme 41) [76].
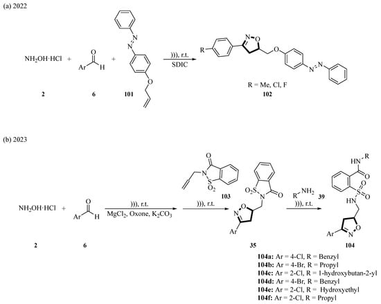
In 2022, the Mahmoudi group developed a green, one-pot, three-component method for the synthesis of novel azo-isoxazolines 102 via ultrasound-assisted 1,3-dipolar cycloaddition. The reaction involved hydroxylamine hydrochloride 2, aromatic aldehydes 6, and 4-(allyloxy)azobenzene 101 as substrates. The process began with the in situ generation of nitrile oxides from hydroxylamine hydrochloride 2 and aldehydes 6 under sodium dichloroisocyanurate (SDIC)-mediated oxidation in H2O. These nitrile oxides then underwent regioselective 1,3-dipolar cycloaddition with 4-(allyloxy)azobenzene 101 under ultrasonic cavitation (47 kHz, 80 W) at room temperature, yielding 75~90% azo-isoxazolines 102 within 25~30 min. The method utilized H2O as a green solvent and SDIC as an eco-friendly, cost-effective oxidant, eliminating the need for toxic catalysts or organic solvents (Scheme 42a) [77].
The following year, Mahmoudi and co-workers successfully synthesized novel 3,5-disubstituted isoxazoline-sulfonamide derivatives 104 via a green ultrasound-assisted four-component reaction in the aqueous phase. The reaction involved hydroxylamine hydrochloride 2, aromatic aldehydes 6, pre-synthesized N-allyl-saccharin 35, and primary amines as substrates. The reactions were consistent with the 2022 protocol in terms of temperature, ultrasound assistance, and solvent selection, with 70~95% yields achieved in 21~26 min, highlighting their efficiency and mild conditions. Bioassays against Sphodroxia maroccana larvae revealed exceptional larvicidal activity for halogenated derivatives 104a~104f, with 104c showing an LC50 of 0.18 mg/mL, outperforming fluralaner (LC50 = 0.99 mg/mL). Both studies used experiments to confirm that the reactions were both somewhat regioselective. The first study focused on the global significance of this research, which was primarily concerned with the application of green chemistry in the field of chemical synthesis, while the second study focused on solving the problem of agricultural pests in a specific region, particularly Sphodroxia maroccana Ley, a cork oak pest in Morocco (Scheme 42b) [78].
In 2024, the Bougrin group cleverly synthesized isoxazolines 108 through a one-pot five-component four-step reaction by modifying the reaction products based on their research on ultrasound-assisted and Fe3O4@AgZr2(PO4)3 nanocatalyst synthesis of isoxazoles. This reaction employed benzenesulfonyl chloride 105 as the sulfonylation reagent and potassium hydroxide as the base, reacting with allyl alcohol in water at 25 °C, and combined aryl aldehyde oxime 14, sodium azide 106, and terminal alkynes 107 to synthesize isoxazoline compounds 108. Their ultrasound-assisted aqueous system (20 kHz, 60% power) under temperature gradient conditions (25~80 °C) reduced the reaction time from 24 h to 75 min (total duration 135 min), with yields of product 108 reaching 89~95%. This method represents an advancement in atom-economical heterocyclic synthesis, addressing limitations such as high energy consumption and poor regioselectivity through innovative catalyst design and sonochemistry activation (Scheme 43) [47].

2.5. Synthesis of Isoxazolidine-Based Derivatives

In 1988, Borthakur and Sandhu utilized conjugated (E)-N-phenylbut-3-en-1-imine 110 and inactivated alkenes 109 as reactants. A Virsonic cell disruptor with an immersed sonic horn was employed as the ultrasound source, and the reaction mixture in toluene was sonicated for 5 min, followed by 5 min of standing. The experimental results demonstrated that the reaction time under ultrasound synthesis was significantly shorter compared with thermal conditions; for instance, the reaction of nitrile with styrene can save up to 33 h under ultrasonic conditions with a constant yield. The only isolable products in these experiments were isoxazolidines 111 or 112, and the formation of regioisomer was explicitly ruled out. Ultrasound technology exhibited notable advantages in 1,3-dipolar cycloaddition reactions and provides a more efficient pathway for cycloaddition reactions in organic synthesis reveal the potential application of ultrasound in low-activity substrate reactions (Scheme 44) [31].
In 2019, the Arafa group described the synthesis of bis-2,1-benzisoxazoles 115 possessing exocyclic nitrogen at the 5-position via reductive cyclization of bis-5-(2-nitrobenzylidene)thiobarbiturates 114. The one-pot consecutive reaction utilized bis-thiobarbituric acid derivatives 113, 2-nitrobenzaldehyde 5, SnCl2·2H2O, and concentrated hydrochloric acid under ultrasound irradiation. Ultrasound irradiation significantly reduced reaction time and improved yields by about 30%. Regioselectivity correlated with the pKa values of the parent amines: the amine with the higher pKa participated in ring nitrogen formation, while the lower-pKa amine remained as an exocyclic nitrogen in the triazole or thiazole moieties. This method demonstrated broad functional group tolerance and scalability (gram-scale synthesis), producing diverse derivatives such as bis-triazoles and bis-thiazolines with 89~99% yields. The protocol scored favorably in terms of green metrics (e.g., low E-factor, high atom economy), aligning with sustainable chemistry principles. Its efficiency, operational simplicity, and environmental compatibility highlight its significance in pharmaceutical and industrial applications (Scheme 45) [79].

3. Conclusions

With the intensive development of the green chemistry concept in recent years, ultrasound-assisted synthesis technology has shown great potential for the preparation of isoxazole and its derivatives due to its unique advantages. As an efficient and environmentally friendly synthesis method, ultrasound technology can significantly improve the reaction rate and product yield through the cavitation effect and reduce dependence on hazardous solvents and high temperature conditions.
In this study, we systematically summarized the recent advances in ultrasound-assisted isoxazole-based molecule synthesis, covering the optimization of classical reactions, the design of novel catalytic systems, and the construction of multifunctional isoxazole skeletons. We have shown that ultrasound irradiation not only simplifies the operation steps but also expands the range of substrate applicability, providing a new strategy for the efficient preparation of complex isoxazole derivatives. Recent innovations further highlight the versatility of ultrasound. For example, ionic liquids (ILs), such as polyoxometalate-based dicationic ionic liquid (POM-DIL), combined with sonication have enabled one-pot syntheses of substituted oxazoles with higher yield.
Although ultrasound-assisted synthesis has achieved remarkable results, some challenges still exist. For example, the sensitivity of some reactions to ultrasound parameters has not been fully clarified, the recycling efficiency of catalysts needs to be improved, and the stereoselective control of some complex isoxazole derivatives still needs to be explored. In addition, the synergistic effect of ultrasound technology with other emerging technologies (microwave-assisted, flow chemistry) has not been fully developed. Hybrid methodologies integrating ultrasound with microwave irradiation or flow chemistry are expanding the scope of accessible isoxazole architectures while enhancing scalability for industrial applications.
In conclusion, ultrasound-assisted synthesis technology has injected new vitality into isoxazole chemistry, and its high efficiency and environmental friendliness perfectly meet the development needs of sustainable chemistry. With the in-depth analysis of the reaction mechanism and the continuous innovation of technology integration, the ultrasonic irradiation strategy is expected to play a bigger role in the fields of agrochemical research, drug discovery, material science, and industrial catalysis, and provide solid support for the creation of functionalized isoxazole-based molecules.

Author Contributions

M.-T.C.: writing—original draft, review and editing, investigation, and visualization; Y.-R.L.: writing—original draft, investigation, and visualization; Z.-Q.W.: investigation, and visualization; S.J.: review and editing; Z.-H.J.: conceptualization, visualization, supervision, resources, and project administration; D.-W.Z.: conceptualization, visualization, supervision, resources, and project administration. All authors have read and agreed to the published version of the manuscript.

Funding

This research was funded by Jilin Province Science and Technology Department (YDZJ202501ZYTS694).

Institutional Review Board Statement

Not applicable.

Informed Consent Statement

Not applicable.

Data Availability Statement

No new data were created or analyzed in this study. Data sharing is not applicable.

Conflicts of Interest

The authors declare no conflicts of interest.

References

  1. Kakkar, S.; Narasimhan, B. A Comprehensive Review on Biological Activities of Oxazole Derivatives. BMC Chem. 2019, 13, 16. [Google Scholar] [CrossRef]
  2. Reddy, A.B.; Hymavathi, R.V.; Swamy, G.N. A New Class of Multi-Substituted Oxazole Derivatives: Synthesis and Antimicrobial Activity. J. Chem. Sci. 2013, 125, 495–509. [Google Scholar] [CrossRef]
  3. Chen, J.Y.; Lv, S.Y.; Liu, J.; Yu, Y.L.; Wang, H.; Zhang, H.W. An Overview of Bioactive 1,3-Oxazole-Containing Alkaloids from Marine Organisms. Pharmaceuticals 2021, 14, 1274. [Google Scholar] [CrossRef] [PubMed]
  4. Sternberg, J.A.; Geffken, D.; Adams, J.B.; Pöstages, R.; Sternberg, C.G.; Campbell, C.L.; Moberg, W.K. Famoxadone: The Discovery and Optimisation of a New Agricultural Fungicide. Pest Manag. Sci. 2001, 57, 143–152. [Google Scholar] [CrossRef] [PubMed]
  5. Kachaeva, M.V.; Pilyo, S.G.; Hartline, C.B.; Harden, E.A.; Prichard, M.N.; Zhirnov, V.V.; Brovarets, V.S. In Vitro Activity of Novel Derivatives of 1,3-Oxazole-4-Carboxylate and 1,3-Oxazole-4-Carbonitrile against Human Cytomegalovirus. Med. Chem. Res. 2019, 28, 1205–1211. [Google Scholar] [CrossRef]
  6. Rayan, S.A.; George, R.F.; Said, M.F. Insight on Development of Oxazole and Imidazole Derivatives as COX Inhibitors with Anti-Inflammatory Effects. J. Mol. Struct. 2025, 1321, 140148. [Google Scholar] [CrossRef]
  7. Hawash, M.; Jaradat, N.; Abualhasan, M.; Thaher, M.; Sawalhi, R.; Younes, N.; Shanaa, A.; Nuseirat, M.; Mousa, A. In Vitro and in Vivo Assessment of the Antioxidant Potential of Isoxazole Derivatives. Sci. Rep. 2022, 12, 18223. [Google Scholar] [CrossRef]
  8. Šagud, I.; Škorić, I.; Burčul, F. Naphthoxazoles and Heterobenzoxazoles: Cholinesterase Inhibition Andantioxidant Activity. Turk. J. Chem. 2019, 43, 118–124. [Google Scholar] [CrossRef]
  9. Zhang, H.Z.; Zhao, Z.L.; Zhou, C.H. Recent Advance in Oxazole-Based Medicinal Chemistry. Eur. J. Med. Chem. 2018, 144, 444–492. [Google Scholar] [CrossRef]
  10. Xu, C.; Wang, Y.Z.; Liu, M.; Ma, X.Y.; Wu, J.J. Research progress of isoxazoline insecticide Fluralaner. J. Technol. 2024, 24, 167–177. [Google Scholar]
  11. Kokkiligadda, S.B.; Musunuri, S.; Maiti, B.; Rao, M.V.B.; Somaiah, N. Synthesis and Biological Evaluation of Amide Derivatives of Quinazoline-Thaizole-Oxazole as Anticancer Agents. Chem. Data Collect. 2023, 48, 101046. [Google Scholar] [CrossRef]
  12. Zheng, Y.J.; Chen, L.N.; Du, G.F.; Yang, B. Determination of Fluorescent Brightener 367 and 393 in Cosmetics by LC-MS/MS. Flavour Fragrance Cosmet. 2021, 6, 19–26. [Google Scholar]
  13. Mastalarz, H.; Mastalarz, A.; Wietrzyk, J.; Milczarek, M.; Kochel, A.; Regiec, A. Studies on the Complexation of Platinum(II) by Some 4-Nitroisoxazoles and Testing the Cytotoxic Activity of the Resulting Complexes. Molecules 2023, 28, 1284. [Google Scholar] [CrossRef]
  14. Walunj, Y.; Mhaske, P.; Kulkarni, P. Application, Reactivity and Synthesis of Isoxazole Derivatives. Mini-Rev. Org. Chem. 2021, 18, 55–77. [Google Scholar]
  15. Curtis, M.P.; Vaillancourt, V.; Goodwin, R.M.; Chubb, N.A.L.; Howson, W.; McTier, T.L.; Pullins, A.; Zinser, E.W.; Meeus, P.F.M.; Woods, D.J.; et al. Design and Synthesis of Sarolaner, a Novel, Once-a-Month, Oral Isoxazoline for the Control of Fleas and Ticks on Dogs. Bioorg. Med. Chem. Lett. 2016, 26, 1831–1835. [Google Scholar] [CrossRef] [PubMed]
  16. Liu, D. Development of Cloxacillin Monoclonal Antibody and Establishment of Electrochemical Immunoassay. Master’s Dissertation, Zhengzhou University, Zhengzhou, China, 2022. [Google Scholar]
  17. Poser, W.; Hasselblatt, A.; Schwabe, U. Die Blutzuckersenkende Wirkung von Sulfafurazol Und Sulfamethoxazol an Der Ratte. Naunyn-Schmiedeberg’s Arch. Pharmacol. 1969, 262, 42–52. [Google Scholar] [CrossRef]
  18. Asahi, M.; Kobayashi, M.; Kagami, T.; Nakahira, K.; Furukawa, Y.; Ozoe, Y. Fluxametamide: A Novel Isoxazoline Insecticide That Acts via Distinctive Antagonism of Insect Ligand-Gated Chloride Channels. Pestic. Biochem. Physiol. 2018, 151, 67–72. [Google Scholar] [CrossRef]
  19. Ye, F.; Zhai, Y.; Kang, T.; Wu, S.L.; Li, J.J.; Gao, S.; Zhao, L.X.; Fu, Y. Rational Design, Synthesis and Structure-Activity Relationship of Novel Substituted Oxazole Isoxazole Carboxamides as Herbicide Safener. Pestic. Biochem. Physiol. 2019, 157, 60–68. [Google Scholar] [CrossRef] [PubMed]
  20. Jasiński, R. Recent Progress in the Synthesis of Nitroisoxazoles and Their Hydrogenated Analogs via [3+2] Cycloaddition Reactions (Microreview). Chem. Heterocycl. Compd. 2023, 59, 730–732. [Google Scholar] [CrossRef]
  21. RamaRao, R.J.; Rao, A.K.S.B.; Sreenivas, N.; Kumar, B.S.; Murthy, Y.L.N. Synthesis and Antibacterial Activity of Novel 5-(Heteroaryl)Isoxazole Derivatives. J. Korean Chem. Soc. 2011, 55, 243–250. [Google Scholar] [CrossRef][Green Version]
  22. Qiu, D.; Jiang, C.; Gao, P.; Yuan, Y. Lewis Acid-Promoted Direct Synthesis of Isoxazole Derivatives. Beilstein J. Org. Chem. 2023, 19, 1562–1567. [Google Scholar] [CrossRef]
  23. Li, Y.; Gao, M.; Liu, B.; Xu, B. Copper Nitrate-Mediated Chemo- and Regioselective Annulation from Two Different Alkynes: A Direct Route to Isoxazoles. Org. Chem. Front. 2017, 4, 445–449. [Google Scholar] [CrossRef]
  24. Draye, M.; Kardos, N. Advances in Green Organic Sonochemistry. Top. Curr. Chem. 2016, 374, 74. [Google Scholar] [CrossRef]
  25. Ellstrom, C.J.; Török, B. Green Chemistry: An Inclusive Approach; Elsevier Inc.: Amsterdam, The Netherlands, 2018; pp. 673–693. ISBN 978-0-12-809270-5. [Google Scholar]
  26. Shabir, G.; Shafique, I.; Saeed, A. Ultrasound Assisted Synthesis of 5–7 Membered Heterocyclic Rings in Organic Molecules. J. Heterocycl. Chem. 2022, 59, 1669–1702. [Google Scholar] [CrossRef]
  27. Draye, M.; Chatel, G.; Duwald, R. Ultrasound for Drug Synthesis: A Green Approach. Pharmaceuticals 2020, 13, 23. [Google Scholar] [CrossRef]
  28. Majee, S.; Shilpa; Sarav, M.; Banik, B.K.; Ray, D. Recent Advances in the Green Synthesis of Active N-Heterocycles and Their Biological Activities. Pharmaceuticals 2023, 16, 873. [Google Scholar] [CrossRef]
  29. Yu, X.L.; Fan, Y.H.; Zheng, X.N.; Gao, J.F.; Zhuang, L.G.; Yu, Y.L.; Xi, J.H.; Zhang, D.W. Synthesis of Imidazole-Based Molecules under Ultrasonic Irradiation Approaches. Molecules 2023, 28, 4845. [Google Scholar] [CrossRef] [PubMed]
  30. Zbancioc, G.; Mangalagiu, I.I.; Moldoveanu, C. The Effective Synthesis of New Benzoquinoline Derivatives as Small Molecules with Anticancer Activity. Pharmaceuticals 2023, 17, 52. [Google Scholar] [CrossRef]
  31. Borthakur, D.R.; Sandhu, J.S. Ultrasound in Cycloaddition Reactions: Sound-Promoted Dipolar Cycloadditions of Nitrones with Unactivated Alkenes. J. Chem. Soc. Chem. Commun. 1988, 12, 1444–1445. [Google Scholar] [CrossRef]
  32. Wang, X.; Hu, Q.; Tang, H.; Pan, X. Isoxazole/Isoxazoline Skeleton in the Structural Modification of Natural Products: A Review. Pharmaceuticals 2023, 16, 228. [Google Scholar] [CrossRef]
  33. Marshall, C.M.; Federice, J.G.; Bell, C.N.; Cox, P.B.; Njardarson, J.T. An Update on the Nitrogen Heterocycle Compositions and Properties of U.S. FDA-Approved Pharmaceuticals (2013–2023). J. Med. Chem. 2024, 67, 11622–11655. [Google Scholar] [CrossRef]
  34. Valduga, C.J.; Santis, D.B.; Braibante, H.S.; Braibante, M.E.F. Reactivity of p-phenyl Substituted β-Enamino Compounds Using K-10/Ultrasound. II. Synthesis of Isoxazoles and 5-Isoxazolones. J. Heterocycl. Chem. 1999, 36, 505–508. [Google Scholar] [CrossRef]
  35. Song, B.A.; Yang, S.; Hong, Y.P.; Zhang, G.P.; Jin, L.H.; Hu, D.Y. Synthesis and Bioactivity of FLuorine Compounds Containing Isoxazolylamino and Phosphonate Groups. J. Fluorine Chem. 2006, 126, 1419–1424. [Google Scholar] [CrossRef]
  36. Saleh, T.S.; Abd EL-Rahman, N.M. Ultrasound Promoted Synthesis of Substituted Pyrazoles and Isoxazoles Containing Sulphone Moiety. Ultrason. Sonochem. 2009, 16, 237–242. [Google Scholar] [CrossRef] [PubMed]
  37. Silva, F.; Galluzzi, M.; Albuquerque, B.; Pizzuti, L.; Gressler, V.; Rivelli, D.; Barros, S.; Pereira, C. Ultrasound Irradiation Promoted Large-Scale Preparation in Aqueous Media and Antioxidant Activity of Azoles. Lett. Drug Des. Discovery. 2009, 6, 323–326. [Google Scholar] [CrossRef]
  38. Shen, C.S.; Zhang, Y.M.; Gan, Y.M.; Zhao, T.Q.; Gu, Q. One-Pot Synthesis of (3-Phenylisoxazol-5-yl)Methanol Derivatives Under Ultrasound. Lett. Org. Chem. 2011, 8, 278–281. [Google Scholar] [CrossRef]
  39. Koufaki, M.; Fotopoulou, T.; Heropoulos, G.A. Synergistic Effect of Dual-Frequency Ultrasound Irradiation in the One-Pot Synthesis of 3,5-Disubstituted Isoxazoles. Ultrason. Sonochem. 2014, 21, 35–39. [Google Scholar] [CrossRef] [PubMed]
  40. Huang, Z.B.; Li, L.L.; Zhao, Y.W.; Wang, H.Y.; Shi, D.Q. An Efficient Synthesis of Isoxazoles and Pyrazoles under Ultrasound Irradiation. J. Heterocycl. Chem. 2014, 51, E309–E313. [Google Scholar] [CrossRef]
  41. Alaoui, S.; Driowya, M.; Demange, L.; Benhida, R.; Bougrin, K. Ultrasound-Assisted Facile One-Pot Sequential Synthesis of Novel Sulfonamide-Isoxazoles Using Cerium (IV) Ammonium Nitrate (CAN) as an Efficient Oxidant in Aqueous Medium. Ultrason. Sonochem. 2018, 40, 289–297. [Google Scholar] [CrossRef]
  42. Nagarjuna, U.; Rekha, T.; Sreenivasulu, T.; Padmavathi, V.; Padmaja, A. Synthesis of Some New Pyrrolyl Dipyrazoles and Pyrrolyl Pyrazolyl Isoxazoles and Biological Evaluation as Antioxidants. Res. Chem. Intermed. 2018, 44, 4375–4396. [Google Scholar] [CrossRef]
  43. Abdula, A.M.; Salman, G.A.; Mohammed, H.H. Comparative Study on Conventional and Ultrasound Irradiation Promoted Synthesis of 2,3-Disubstitutedquinoxaline Derivatives. Al-Mustansiriyah J. Sci. 2018, 28, 141–150. [Google Scholar] [CrossRef]
  44. Tachallait, H.; Driowya, M.; Álvarez, E.; Benhida, R.; Bougrin, K. Water Promoted One-Pot Three-Step Synthesis of Novel N-Saccharin Isoxazolines/Isoxazoles Using KI/Oxone Under Ultrasonic Activation. Curr. Org. Chem. 2019, 23, 1270–1281. [Google Scholar] [CrossRef]
  45. Talha, A.; Tachallait, H.; Benhida, R.; Bougrin, K. Green One-Pot Four-Component Synthesis of 3,5-Disubstituted Isoxazoles- Sulfonates and Sulfonamides Using a Combination of NaDCC as Metal-Free Catalyst and Ultrasonic Activation in Water. Tetrahedron Lett. 2021, 81, 153366. [Google Scholar] [CrossRef]
  46. Mahmoudi, A.E.; Tachallait, H.; Moutaoukil, Z.; Arshad, S.; Karrouchi, K.; Benhida, R.; Bougrin, K. Ultrasound-Assisted Green Synthesis of 3,5-Disubstituted Isoxazole Secondary Sulfonamides via One-Pot Five-Component Reaction Using CaCl2/K2CO3 as Pre-Catalyst in Water. ChemistrySelect 2022, 7, e202203072. [Google Scholar] [CrossRef]
  47. Mokhi, L.; Moussadik, A.; Driowya, M.; El Mahmoudi, A.; Tachallait, H.; Benhida, R.; El Hamidi, A.; Bougrin, K. Magnetically Separable New Fe3O4@AgZr2(PO4)3 Nanocomposite Catalyst for the Synthesis of Novel Isoxazole/Isoxazoline-Linked 1,2,3-Triazoles in Water under Ultrasound Cavitation. J. Mol. Liq. 2024, 395, 123763. [Google Scholar] [CrossRef]
  48. Kabi, A.K.; Gujjarappa, R.; Garg, A.; Sahoo, A.; Roy, A.; Gupta, S.; Malakar, C.C. Tailored Functional Materials, 1st ed.; Springer Nature: Singapore, 2022; Volume 15, pp. 81–98. ISBN 978-981-19-2571-9. [Google Scholar]
  49. Safaei-Ghomi, J.; Fadaeian, M.; Hatami, A. A Convenient Method for the Preparation of 2-Aminobenzophenone Derivatives under Ultrasonic Irradiation. Turk. J. Chem. 2007, 31, 89–95. [Google Scholar]
  50. Nishiwaki, N. Nitroisoxazolones Showing Diverse Chemical Behavior: A Use Ful Building Block for Polyfunctionalized Systems. Curr. Med. Chem. 2017, 24, 3728–3748. [Google Scholar] [CrossRef]
  51. Cheng, Q.F.; Xu, X.Y.; Wang, Q.F.; Liu, L.S.; Liu, W.J.; Lin, Q.; Yang, X.J. One-Pot Synthesis of 3-Methyl-4-arylmethylene-isoxazol-5(4H)-ones in Aqueous Media under Ultrasonic Irradiation. Chin. J. Org. Chem. 2009, 29, 1267–1271. [Google Scholar]
  52. Ablajan, K.; Xiamuxi, H. Efficient One-Pot Synthesis of β-Unsaturated Isoxazol-5-Ones and Pyrazol-5-Ones Under Ultrasonic Irradiation. Synth. Commun. 2012, 42, 1128–1136. [Google Scholar] [CrossRef]
  53. Safari, J.; Ahmadzadeh, M.; Zarnegar, Z. Sonochemical Synthesis of 3-Methyl-4-Arylmethylene Isoxazole-5(4H)-Ones by Amine-Modified Montmorillonite Nanoclay. Appl. Catal. O Open 2016, 86, 91–95. [Google Scholar] [CrossRef]
  54. Konkala, V.S.; Dubey, P.K. One-pot Synthesis of 3-phenyl-4-pyrazolylmethylene-isoxazol-(5H)-ones Catalyzed by Sodium Benzoate in Aqueous Media under the Influence of Ultrasound Waves: A Green Chemistry Approach. J. Heterocycl. Chem. 2017, 54, 2483–2492. [Google Scholar] [CrossRef]
  55. Ahmadzadeh, M.; Zarnegar, Z.; Safari, J. Sonochemical Synthesis of Methyl-4-(Hetero)Arylmethylene Isoxazole-5(4H)-Ones Using SnII -Montmorillonite. Green Chem. Lett. Rev. 2018, 11, 78–85. [Google Scholar] [CrossRef]
  56. Kasar, S.B.; Thopate, S.R. Ultrasonically Assisted Efficient and Green Protocol for the Synthesis of 4H-Isoxazol-5-Ones Using Itaconic Acid as a Homogeneous and Reusable Organocatalyst. Curr. Organocatal. 2019, 6, 231–237. [Google Scholar] [CrossRef]
  57. Bhatt, T.D.; Gojiya, D.G.; Kalavadiya, P.L.; Joshi, H.S. Rapid, Greener and Ultrasound Irradiated One-Pot Synthesis of 4-(Substituted-1H-Pyrazol-4-yl)Methylene)-3-Isopropylisoxazol-5(4H)-ones and Their In Vitro Anticancer Activity. ChemistrySelect 2019, 4, 11125–11129. [Google Scholar] [CrossRef]
  58. Shirole, G.D.; Tambe, A.S.; Shelke, S.N. Ionic Liquid Catalyzed One Pot Green Synthesis of Isoxazolone Derivatives via Multicomponent Reaction. Indian J. Chem. 2020, 59, 459–464. [Google Scholar]
  59. Ren, Y.D. One Pot Synthesis of 3-Methyl-4-Aromatic Methylene Isoxazole-5(4H)-Ketone by Ultrasonic Radiation. Henan Chem. Ind. 2021, 38, 25–28. [Google Scholar]
  60. Deshmukh, S.R.; Nalkar, A.S.; Thopate, S.R. Pyruvic Acid-Catalyzed One-Pot Three-Component Green Synthesis of Isoxazoles in Aqueous Medium: A Comparable Study of Conventional Heating versus Ultra-Sonication. J. Chem. Sci. 2022, 134, 15. [Google Scholar] [CrossRef]
  61. Maddila, S.; Devi, L.; Muralidhar, P.; Nagaraju, K.; Jonnalagadda, S.B. A Facile and Environmental-Friendly Protocol for the Synthesis of Methyleneisoxazole-5(4H)-Ones Catalyzed by CeO2/TiO2 under Ultrasonic Irradiation. Inorg. Chem. Commun. 2022, 143, 109741. [Google Scholar] [CrossRef]
  62. Daroughehzadeh, Z.; Kiyani, H. Arylideneisoxazole-5(4H)-One Synthesis by Organocatalytic Three-Component Hetero-Cyclization. Polycyclic Aromat. Compd. 2024, 44, 3200–3221. [Google Scholar] [CrossRef]
  63. Zhang, D.W.; Liu, C.; Ren, L.; Li, W.Y.; Luan, B.Y.; Zhang, Y.M. Vitamin B1 -Catalyzed Multicomponent Reaction for Efficient Synthesis of an Isoxazolone Compound by Using Ultrasound in a Water and Its Selective Identification of Metal Ions. ChemistrySelect 2023, 8, e202204658. [Google Scholar] [CrossRef]
  64. Nongrum, R.; Nongkhlaw, R.; Majaw, S.P.; Kumari, J.; Sriram, D.; Nongkhlaw, R. A Nano-Organo Catalyst Mediated Approach towards the Green Synthesis of 3-Methyl-4-(Phenyl)Methylene-Isoxazole-5(4H)-One Derivatives and Biological Evaluation of the Derivatives as a Potent Anti-Fungal and Anti-Tubercular Agent. Sustain. Chem. Pharm. 2023, 32, 100967. [Google Scholar] [CrossRef]
  65. Bankuru, J.; Battula, V.R.; Tirumala Santhoshkumar, S.; Gopal, S.; Meena, R.P.; Ahmed, N.Z. A Catalyst-Free, Green and Efficient Protocol for the Synthesis of Methyleneisoxazole-5(4H)-Ones Supported by Ultrasonic Irradiation. JCIS Open 2023, 12, 100097. [Google Scholar] [CrossRef]
  66. Ghevade, S.S.; Kamble, S.B.; Patil, K.N.; Ingale, V.S.; Kumbhar, D.A. Ultrasound-Promoted Ferrite Catalyzed One-Pot Multicomponent Synthesis of 3,4-Disubstituted Isoxazole-5(4H)-One Derivatives in Water as a Green Solvent with Evaluation of Antimicrobial Activity. Russ. J. Gen. Chem. 2025, 95, 671–678. [Google Scholar] [CrossRef]
  67. Syassi, B.; El Bakkali, B.; Benabdellah, G.A.; Hassikou, A.; Dinia, M.N.; Rivière, M.; Bougrin, K.; Soufiaoui, M. New Method for Synthesis of 4,5-Dihydroisoxazoles in a Two-Phase Solid-Liquid Solution with Ultrasound Activation. Tetrahedron Lett. 1999, 40, 7205–7209. [Google Scholar] [CrossRef]
  68. Martins, M.A.P.; Pereira, C.M.P.; Cunico, W.; Moura, S.; Rosa, F.A.; Peres, R.L.; Machado, P.; Zanatta, N.; Bonacorso, H.G. Ultrasound Promoted Synthesis of 5-Hydroxy-5-Trihalomethyl-4,5-Dihydroisoxazoles and β-Enamino Trihalomethyl Ketones in Water. Ultrason. Sonochem. 2006, 13, 364–370. [Google Scholar] [CrossRef]
  69. Jia, Z.X.; Li, Y.P.; Liu, C. Ultrasonic Synthesis of Novel 3-(5-Chloro/phenoxy-3-methyl-1phenylpyrazo-4-yl)isoazolo-N-substituted phenyldehydronorcantharidimide Derivatives. Chin. J. Org. Chem. 2006, 26, 375–378. [Google Scholar]
  70. Tiwari, V.; Parvez, A.; Meshram, J. Benign Methodology and Improved Synthesis of 5-(2-Chloroquinolin-3-yl)-3-Phenyl-4,5-Dihydroisoxazoline Using Acetic Acid Aqueous Solution under Ultrasound Irradiation. Ultrason. Sonochem. 2011, 18, 911–916. [Google Scholar] [CrossRef]
  71. Nikam, M.D.; Mahajan, P.S.; Damale, M.G.; Sangshetti, J.N.; Dabhade, S.K.; Shinde, D.W.; Gill, C.H. Synthesis, Molecular Docking and Biological Evaluation of Some Novel Tetrazolo[1,5-a]Quinoline Incorporated Pyrazoline and Isoxazoline Derivatives. Med. Chem. Res. 2015, 24, 3372–3386. [Google Scholar] [CrossRef]
  72. Bakht, M.A.; Ansari, M.J.; Riadi, Y.; Ajmal, N.; Ahsan, M.J.; Yar, M.S. Physicochemical Characterization of Benzalkonium Chloride and Urea Based Deep Eutectic Solvent (DES): A Novel Catalyst for the Efficient Synthesis of Isoxazolines under Ultrasonic Irradiation. J. Mol. Liq. 2016, 224, 1249–1255. [Google Scholar] [CrossRef]
  73. Krompiec, S.; Marcol, B.; Zych, D.; Kurpanik, A.; Danikiewicz, W.; Matussek, M.; Kuźnik, N. Crown Ether Base: Highly Active, Regioselective and Reusable Catalytic Systems for Double Bond Migration in Allylic Compounds. ChemistrySelect 2017, 2, 6717–6727. [Google Scholar] [CrossRef]
  74. Thari, F.Z.; Tachallait, H.; El Alaoui, N.-E.; Talha, A.; Arshad, S.; Álvarez, E.; Karrouchi, K.; Bougrin, K. Ultrasound-Assisted One-Pot Green Synthesis of New N-Substituted-5-Arylidene-Thiazolidine-2,4-Dione-Isoxazoline Derivatives Using NaCl/Oxone/Na3PO4 in Aqueous Media. Ultrason. Sonochem. 2020, 68, 105222. [Google Scholar] [CrossRef]
  75. Dofe, V.S.; Sarkate, A.P.; Tiwari, S.V.; Lokwani, D.K.; Karnik, K.S.; Kale, I.A.; Dodamani, S.; Jalalpure, S.S.; Burra, P.V.L.S. Ultrasound Assisted Synthesis of Tetrazole Based Pyrazolines and Isoxazolines as Potent Anticancer Agents via Inhibition of Tubulin Polymerization. Bioorg. Med. Chem. Lett. 2020, 30, 127592. [Google Scholar] [CrossRef]
  76. Talha, A.; Favreau, C.; Bourgoin, M.; Robert, G.; Auberger, P.; El Ammari, L.; Saadi, M.; Benhida, R.; Martin, A.R.; Bougrin, K. Ultrasound-Assisted One-Pot Three-Component Synthesis of New Isoxazolines Bearing Sulfonamides and Their Evaluation against Hematological Malignancies. Ultrason. Sonochem. 2021, 78, 105748. [Google Scholar] [CrossRef]
  77. El Mahmoudi, A.; Karrouchi, K.; Tachallait, H.; Bougrin, K. Ultrasound Assisted One-Pot Synthesis of Novel 3-(Aryl)-5-((4-(Phenyldiazenyl)Phenoxy)Methyl)Isoxazolines in Water. Molbank. 2022, 2022, M1529. [Google Scholar] [CrossRef]
  78. El Mahmoudi, A.; Fegrouche, R.; Tachallait, H.; Lumaret, J.; Arshad, S.; Karrouchi, K.; Bougrin, K. Green Synthesis, Characterization, and Biochemical Impacts of New Bioactive Isoxazoline-sulfonamides as Potential Insecticidal Agents against the Sphodroxia Maroccana Ley. Pest Manag. Sci. 2023, 79, 4847–4857. [Google Scholar] [CrossRef]
  79. Arafa, W.A.A.; Ibrahim, H.M. Sustainable and Scalable Synthesis of Polysubstituted Bis-1,2,4-Triazoles, Bis-2-Iminothiazolines and Bis-Thiobarbiturates Using Bis-N,N-Disubstituted Thioureas as Versatile Substrate. R. Soc. Open Sci. 2019, 6, 181963. [Google Scholar] [CrossRef]
Figure 1. The chemical structure and application of commercialized isoxazole-containing molecules.
Figure 1. The chemical structure and application of commercialized isoxazole-containing molecules.
Pharmaceuticals 18 01179 g001
Figure 2. Chemical structures of isoxazole-based derivatives.
Figure 2. Chemical structures of isoxazole-based derivatives.
Pharmaceuticals 18 01179 g002
Scheme 1. Synthesis of 3 and 4.
Scheme 1. Synthesis of 3 and 4.
Pharmaceuticals 18 01179 sch001
Scheme 2. Synthesis of 8.
Scheme 2. Synthesis of 8.
Pharmaceuticals 18 01179 sch002
Scheme 3. Synthesis of 11.
Scheme 3. Synthesis of 11.
Pharmaceuticals 18 01179 sch003
Scheme 4. Synthesis of 13.
Scheme 4. Synthesis of 13.
Pharmaceuticals 18 01179 sch004
Scheme 5. Synthesis of 15.
Scheme 5. Synthesis of 15.
Pharmaceuticals 18 01179 sch005
Scheme 6. Synthesis of 16.
Scheme 6. Synthesis of 16.
Pharmaceuticals 18 01179 sch006
Scheme 7. Synthesis of 18.
Scheme 7. Synthesis of 18.
Pharmaceuticals 18 01179 sch007
Scheme 8. Synthesis of 20.
Scheme 8. Synthesis of 20.
Pharmaceuticals 18 01179 sch008
Scheme 9. Synthesis of 25.
Scheme 9. Synthesis of 25.
Pharmaceuticals 18 01179 sch009
Scheme 10. Synthesis of 30.
Scheme 10. Synthesis of 30.
Pharmaceuticals 18 01179 sch010
Scheme 11. Synthesis of 33 and 35.
Scheme 11. Synthesis of 33 and 35.
Pharmaceuticals 18 01179 sch011
Scheme 12. Synthesis of 38.
Scheme 12. Synthesis of 38.
Pharmaceuticals 18 01179 sch012
Scheme 13. Synthesis of 42.
Scheme 13. Synthesis of 42.
Pharmaceuticals 18 01179 sch013
Scheme 14. Synthesis of 45.
Scheme 14. Synthesis of 45.
Pharmaceuticals 18 01179 sch014
Scheme 15. Synthesis of 47 and 48.
Scheme 15. Synthesis of 47 and 48.
Pharmaceuticals 18 01179 sch015
Scheme 16. Synthesis of 50 and 52.
Scheme 16. Synthesis of 50 and 52.
Pharmaceuticals 18 01179 sch016
Scheme 17. Synthesis of 54.
Scheme 17. Synthesis of 54.
Pharmaceuticals 18 01179 sch017
Scheme 18. Synthesis of 50.
Scheme 18. Synthesis of 50.
Pharmaceuticals 18 01179 sch018
Scheme 19. Synthesis of 58.
Scheme 19. Synthesis of 58.
Pharmaceuticals 18 01179 sch019
Scheme 20. Synthesis of 50.
Scheme 20. Synthesis of 50.
Pharmaceuticals 18 01179 sch020
Scheme 21. Synthesis of 50.
Scheme 21. Synthesis of 50.
Pharmaceuticals 18 01179 sch021
Scheme 22. Synthesis of 60.
Scheme 22. Synthesis of 60.
Pharmaceuticals 18 01179 sch022
Scheme 23. Synthesis of 58.
Scheme 23. Synthesis of 58.
Pharmaceuticals 18 01179 sch023
Scheme 24. Synthesis of 50.
Scheme 24. Synthesis of 50.
Pharmaceuticals 18 01179 sch024
Scheme 25. Synthesis of 50.
Scheme 25. Synthesis of 50.
Pharmaceuticals 18 01179 sch025
Scheme 26. Synthesis of 50.
Scheme 26. Synthesis of 50.
Pharmaceuticals 18 01179 sch026
Scheme 27. Synthesis of 61.
Scheme 27. Synthesis of 61.
Pharmaceuticals 18 01179 sch027
Scheme 28. Synthesis of 50.
Scheme 28. Synthesis of 50.
Pharmaceuticals 18 01179 sch028
Scheme 29. Synthesis of 61.
Scheme 29. Synthesis of 61.
Pharmaceuticals 18 01179 sch029
Scheme 30. Synthesis of 50.
Scheme 30. Synthesis of 50.
Pharmaceuticals 18 01179 sch030
Scheme 31. Synthesis of 50.
Scheme 31. Synthesis of 50.
Pharmaceuticals 18 01179 sch031
Scheme 32. Synthesis of 64, 65, 67, 68, and 70.
Scheme 32. Synthesis of 64, 65, 67, 68, and 70.
Pharmaceuticals 18 01179 sch032
Scheme 33. Synthesis of 72.
Scheme 33. Synthesis of 72.
Pharmaceuticals 18 01179 sch033
Scheme 34. Synthesis of 78.
Scheme 34. Synthesis of 78.
Pharmaceuticals 18 01179 sch034
Scheme 35. Synthesis of 81.
Scheme 35. Synthesis of 81.
Pharmaceuticals 18 01179 sch035
Scheme 36. Synthesis of 85.
Scheme 36. Synthesis of 85.
Pharmaceuticals 18 01179 sch036
Scheme 37. Synthesis of 87.
Scheme 37. Synthesis of 87.
Pharmaceuticals 18 01179 sch037
Scheme 38. Synthesis of 90.
Scheme 38. Synthesis of 90.
Pharmaceuticals 18 01179 sch038
Scheme 39. Synthesis of 96.
Scheme 39. Synthesis of 96.
Pharmaceuticals 18 01179 sch039
Scheme 40. Synthesis of 98.
Scheme 40. Synthesis of 98.
Pharmaceuticals 18 01179 sch040
Scheme 41. Synthesis of 100.
Scheme 41. Synthesis of 100.
Pharmaceuticals 18 01179 sch041
Scheme 42. Synthesis of 102 and 104.
Scheme 42. Synthesis of 102 and 104.
Pharmaceuticals 18 01179 sch042
Scheme 43. Synthesis of 108.
Scheme 43. Synthesis of 108.
Pharmaceuticals 18 01179 sch043
Scheme 44. Synthesis of 111 or 112.
Scheme 44. Synthesis of 111 or 112.
Pharmaceuticals 18 01179 sch044
Scheme 45. Synthesis of 115.
Scheme 45. Synthesis of 115.
Pharmaceuticals 18 01179 sch045
Disclaimer/Publisher’s Note: The statements, opinions and data contained in all publications are solely those of the individual author(s) and contributor(s) and not of MDPI and/or the editor(s). MDPI and/or the editor(s) disclaim responsibility for any injury to people or property resulting from any ideas, methods, instructions or products referred to in the content.

Share and Cite

MDPI and ACS Style

Chen, M.-T.; Li, Y.-R.; Wang, Z.-Q.; Jiang, S.; Jia, Z.-H.; Zhang, D.-W. The Green and Effective Synthesis of Isoxazole-Based Molecules Under Ultrasonic Irradiation Approaches. Pharmaceuticals 2025, 18, 1179. https://doi.org/10.3390/ph18081179

AMA Style

Chen M-T, Li Y-R, Wang Z-Q, Jiang S, Jia Z-H, Zhang D-W. The Green and Effective Synthesis of Isoxazole-Based Molecules Under Ultrasonic Irradiation Approaches. Pharmaceuticals. 2025; 18(8):1179. https://doi.org/10.3390/ph18081179

Chicago/Turabian Style

Chen, Mei-Tong, Yao-Rong Li, Zhao-Qi Wang, Shan Jiang, Zan-Hui Jia, and Da-Wei Zhang. 2025. "The Green and Effective Synthesis of Isoxazole-Based Molecules Under Ultrasonic Irradiation Approaches" Pharmaceuticals 18, no. 8: 1179. https://doi.org/10.3390/ph18081179

APA Style

Chen, M.-T., Li, Y.-R., Wang, Z.-Q., Jiang, S., Jia, Z.-H., & Zhang, D.-W. (2025). The Green and Effective Synthesis of Isoxazole-Based Molecules Under Ultrasonic Irradiation Approaches. Pharmaceuticals, 18(8), 1179. https://doi.org/10.3390/ph18081179

Note that from the first issue of 2016, this journal uses article numbers instead of page numbers. See further details here.

Article Metrics

Back to TopTop